Abstract
Conformational analysis of unnatural seven-membered sugars, namely, septanoses and septanosides are discussed herein. The conformational properties of these sugars in the solid state, solution phase and computational methods are presented. The analyses reveal that conformations of septanosides are diverse and largely unpredictable, as compared furanosides and pyranosides.
Introduction
Conformations of five-membered furanosides and six-membered pyranosides are well established. Thermodynamically stable conformations of naturally-occurring furanosides and pyranosides exhibit an envelop or chair conformation, respectively, in spite of a number of energetically less stable conformations not uncommon with these sugars. Lower symmetries of sugars in comparison to the corresponding cycloalkane congeners make sugar conformations more complex, an example is the 4C1 and 1C4 conformations of a pyranoside, in which the former is seen to be more stable than the latter [1]. The focus of this article pertains to the seven-membered septanoside sugars, about which the conformational studies continue to be scarce, despite early reports of their conformational features demonstrated experimentally in early 1970s. The larger ring size brings more flexibility, involves complex pseudorotational equilibria, leading to various conformations of similar energy with minimal barrier [2, 3]. Resurgence of interest in seven-membered sugars during the last decade can be attributed to the development several synthetic methodologies to access these un-natural sugars and thus increased possibilities to study their structural features. Despite number of synthetic methodologies development, reports on studies of septanoside structures are evolving slowly. Thus, in discussing the septanoside structures, studies over a long period of time has to be taken in to account, as opposed to development in this field in recent years or a decade. Conformational behavior of seven-membered heterocycles was reviewed by Espinosa and co-workers in 2005, which included aspects of oxepanes also [4]. The present article is devoted fully to the septanoside structures, classified according to the conformations in the solid state, solution phase and computational methods. Theoretical studies were instrumental, in order to identify conformations that were energetically closer and difficult to assign [5, 6], for example, through solution phase technique, primarily, that of NMR spectroscopy. Theoretical study on seven-membered cycloheptanes by Hendrickson in 1961 [7, 8] is the foremost that laid the basis for conformational analysis of seven-membered ring systems in general. Four major conformers of cycloheptanes are the twist-chair, chair, boat and twist-boat, each with distinct energy barrier (Fig. 1) and among these the twist-chair is the ground-state conformer, with ΔG 7.61 kcal mol–1. A plane of symmetry, passing through an atom and bisects a bond at the distal end of the ring, characterizes the chair and boat conformations through a CS symmetry, whereas a binary axis, passing through atoms at the farthest ends within the ring, typifies a twist-chair and twist-boat conformations, through a C2 symmetry [7, 8]. The energy difference between chair and twist-chair conformations are relatively smaller (ΔG 1.3 kcal mol–1), as compared to twist-chair to twist-boat conformations (ΔG 3.4 kcal mol–1). Subsequent major theoretical advancement pertains to the report of Strauss and co-workers on the conformation of oxepane in mid-1970s, using potential energy functions as that used for cycloheptane [9]. The oxepane ring system could broadly be divided in to twist-chair, chair, twist-boat and boat conformation, similar to a cycloheptane system. The out-of-plane displacement parameter z was also used for the conformational analysis of oxepane. When calculated as a function of pseudorotational angles, the twist-chair corresponded to the lower energy conformer, whereas chair conformer corresponded to that in between two twist-chair conformers. There are 14 possible chair conformers and 14 twist-chair conformers for an oxepane, so as to provide 28 conformers related by a pseudorotation, each with distinct energy barrier [9]. Similarly, twist-boat – boat – twist-boat conversion envelops 28 conformers, related through the pseudorotational itinerary. Inter-conversion of a twist-chair conformer to either a boat or twist-boat is higher in energy. It was shown that the boat to chair conversion required ∼ 9 kcal mol–1 energy above the minimum energy of twist-chair [9, 10]. More accurate energy difference between chair and twist-chair was reported using force fields, such as, MM2 and MM3(92) [11]. Strauss and co-workers used dihedral angles to simplify the complex pseudorotational parameters, in order to describe four categories of oxepane ring. Geometry of the oxepane ring in terms of dihedral angles is given in Table 1. It is observed that solid state structure of all septanoside derivatives generally fall in to similar torsional angles as given in Table 1. Concerning septanosides, there are very few examples where the ring adopts a boat or twist-boat conformation. The chair and twist-chair, as well as boat and twist-boat conformers are related by pseudorotational itinerary as given in Fig. 2.

Conformations of cycloheptane.
Molecular structure and torsion angles (°) of oxepane (calculated).
| Oxepane | Conformations | ϕ1 | ϕ2 | ϕ3 | ϕ4 | ϕ5 | ϕ6 | ϕ7 |
|---|---|---|---|---|---|---|---|---|
![]() | Twist-chair B | 50.8 | –72.9 | 96.4 | –43.0 | –44.4 | 90.9 | –67.7 |
| Twist-chair C | 70.0 | –54.3 | 80.2 | –101.9 | 46.6 | 34.2 | –83.7 | |
| Chair | –79.5 | 62.4 | –73.0 | 97.2 | –71.1 | 2.1 | 62.8 | |
| Twist-boat | 64.2 | 22.3 | –91.4 | 33.5 | 56.7 | –40.8 | –48.3 | |
| Boat | 73.5 | 1.7 | –86.0 | 46.5 | 53.1 | –55.6 | –34.6 |
ϕ1 = C3-C4-C5-C6; ϕ2 = C4-C5-C6-O6; ϕ3 = C5-C6-O6-C1; ϕ4 = C6-O6-C1-C2; ϕ5 = O6-C1-C2-C3; ϕ6 = C1-C2-C3-C4; ϕ7 =C2-C3-C4-C5.

Pseudorotational itinerary for chair-twist-chair and boat-twist-boat conversions of an oxepane.
Synthetic approaches to septanosides
Although synthetic methods to secure septanosides are not the focus of this article, it is pertinent to mention methods as it evolved over the years. These are: (i) hemiacetal and acetal formation of a synthon containing aldehyde and appropriately positioned hydroxyl group [12–19]; (ii) cyclization and epoxidation of 6-deoxy hex-5-enopyranoside [20]; (iii) Knoevenagel condensation of sugar aldehyde with active methylene compounds [21, 22]; (iv) Baeyer-Villiger oxidation of inositol derivatives [23]; (v) electrophile-induced cyclization of sugar derived alkenes [24]; (vi) Grignard reaction of vinyl magnesium bromide with suitably protected glucose and glucosyl amine derivatives [25, 26]; (vii) acid-catalyzed cyclization of protected enitols [27, 28]; (viii) metal-catalyzed cyclizations of sugar derived dienes, primarily, ring closing metathesis reactions [29–32]; (ix) photo-cycloisomerization of alkynyldiols [33, 34] and (x) ring opening of glycal derived 1,2-cyclopropane derivative [35, 36].
Oxyglycal or hydroxyglycal ether or ester as a precursor of a ring expansion, followed by further synthetic manipulations was developed by us to secure various septanoside derivatives. The double bond in oxyglycal was subjected to a cyclopropanation, so as to generate a strained bicyclic system, which was then reacted with nucleophiles to afford an oxepine. Subsequent oxidation and reduction reactions on the resulting oxepine afforded fully functionalized septanosides derivatives. Synthesis of methyl, alkyl, aryl, azidoseptanosides were thus prepared [37–39]. The methodology was extended to the synthesis of septanoside containing disaccharides and trisaccharides [40, 41]. Synthesis of 2-C-branched alkyl/aryl/alkynylseptanosides were accomplished from 2-bromo-oxepine, using metal-catalyzed cross-coupling reactions [42]. Harvey and co-workers discuss synthetic methods of septanoses and septanosides in an adjoining article in a greater detail.
Solid state structures of oxepane
Altenhein and co-workers reported solid state structure of oxepane 1 at 105 K [43]. The crystal exhibited monoclinic system, with C2/c space group. The ring adopted a twist-chair conformation, with a pseudo two-fold axis passing through C1. The bond angles were greater than ideal tetrahedral value of 109.28°. The angle O6-C6-C5 was 110.0°, whereas other angles were close to 114.4°. The analysis showed that the septanoside ring adopted a twist-chair conformation, the torsion angles matched closely to that derived from theoretical calculations [10] (Table 2). Introduction of substitution in the oxepane skeleton generated septanoside derivatives. There are a number of reports on the conformation of septanoside in the solid-state and solution state. Details of the conformation and its analysis are described herein.
Calculated and observed torsion angles (°) of oxepane 1 [43].
| Oxepane | Sequence | Torsion angle (observed) | Torsion angle (calculated) |
|---|---|---|---|
![]() | O6-C1-C2-C3 | 34.0 | 44.4 |
| C1-C2-C3-C4 | –83.9 | –90.9 | |
| C2-C3-C4-C5 | 68.4 | 67.7 | |
| C3-C4-C5-C6 | –51.0 | –50.8 | |
| C4-C5-C6-O6 | 73.0 | 72.9 | |
| C5-C6-O6-C1 | –98.6 | –96.4 | |
| C6-O6-C1-C2 | 49.5 | 43.0 |
Solid-state structures of septanosides
A first report on the solid state structure of a septanoside was disclosed by Sundaralingam and co-workers, in1970 [44], followed by a number of septanoside structures reported by Stevens and co-workers. These reports formed early basis to understand the conformational properties of septanosides. The solid-state structures of septanoses and septanosides are divided in to major two classes: (i) chair and twist-chair conformation and (ii) boat conformation. These are discussed below.
Chair and twist-chair conformations
α-d/l-Septanoses and septanosides
Crystal structures of septanoses and septanosides showed that the ring adopted twist-chair conformation in majority of the cases. Both α- and β-d/l-septanoses adopt chair and twist-chair conformations. Variation of the conformation was attributed generally to the effect of protecting groups and the ring flexibility. One of the early crystal structures of septanoside was the report of Sundaralingam and co-workers on 1,2:3,4-di-O-isopropylidene-5-O-chloro-acetyl-α-d-glucoseptanoside 2 [44]. An analysis of the crystal structure, belonging to orthorhombic system with P21 21 21 space group, confirmed that the structure was in between chair and twist-chair conformation. The reason for the intermediate conformation was thought to be due to an influence of the O-isopropylidene rings, which imposed a degree of rigidity on the septanose ring. Torsional angles were well in agreement with the theoretical values of cycloheptane in a twist-chair conformation [7, 8]. Torsion angles involving the seven-membered ring along with molecular structure and ORTEP diagram are given in Table 3. On the other hand, the isopropylidene rings adopted an envelop conformation.
Torsional angles (°) of 2 in comparison to chair and twist-chair conformations in cycloheptane [44].
| Molecular structure and ORTEP diagram (40 % probability) | Sequence | 2 | Cycloheptane | |
|---|---|---|---|---|
| Chair | Twist-chair | |||
![]() | O6-C1-C2-C3 | –32 | 0 | –53 |
| C1-C2-C3-C4 | –48 | –71 | 76 | |
| C2-C3-C4-C5 | 92 | 92 | –97 | |
| C3-C4-C5-C6 | –65 | –70 | 41 | |
| C4-C5-C6-O6 | 50 | 70 | 41 | |
| C5-C6-O6-C1 | –84 | –92 | –97 | |
| C6-O6-C1-C2 | 97 | 71 | 76 | |
The structure of 2 was refined further, using a combination of heavy atom technique and tangent method [45]. The anomeric bond length in 2 of 1.391 Å was shorter than that of anomeric bond length generally observed forpyranosides [46]. Interestingly, average bond angles involving odd numbered carbons (111.5°) was less than that of the even membered carbons (114.0°), whereas the angles at the oxygen atoms were closer to the value observed for pyranosides [47]. Torsional angle analysis showed that 2 adopted a twist-chair conformation, in which C2 and C4 atoms were puckered, due to the strain imposed by the dioxolane rings. On the other hand, both dioxolane rings adopted envelop shape, which forced C2 and C4 atoms of the seven-membered ring to be puckered. The chloroacetate group was in planar disposition, whereas methyl groups in the dioxolane rings were semi-eclipsed. Molecular packing in the crystal structure showed that there was no hydrogen bonding interactions and only van der Waals interactions were present.
Stevens and co-workers reported the crystal structures of isomeric septanoses, namely, 3-O-acetyl-1,2:4,5-di-O-isopropylidene-α-d-glucoseptanose 3 [48] and 5-O-acetyl-1,2:3,4-di-O-isopropylidene-α-d-glucoseptanose 4 [49]. All bond angles in 3 within the seven-membered ring were greater than the ideal tetrahedral value of 109.28°. Interestingly, average bond angles of odd numbered carbons (115.0°) were less than that of the even membered carbon atoms (118.0°). The torsion angles within the seven-membered ring matched closely with the torsion angles of chair conformation of cycloheptane (Table 4). The fulfilment of the angular requirements for the dioxolane ring, in turn, flattened the septanoside ring, by positioning C5 towards the plane consisting C6, O6 and C3. Thus, the seven-membered ring adopted a distorted chair conformation, whereas both dioxolane rings adopted distorted twist forms [48].
Torsional angles (°) of 3 in comparison with those of the chair and twist-chair conformations in cycloheptane [48].
| Molecular structure and ORTEP diagram (40 % probability) | Sequence | 3 | Cycloheptane | |
|---|---|---|---|---|
| Chair | Twist-chair | |||
![]() | O6-C1-C2-C3 | –9 | 0 | –39 |
| C1-C2-C3-C4 | –64 | –66 | –39 | |
| C2-C3-C4-C5 | 73 | 84 | 88 | |
| C3-C4-C5-C6 | –42 | –64 | –72 | |
| C4-C5-C6-O6 | 46 | 64 | 54 | |
| C5-C6-O6-C1 | –89 | –84 | –72 | |
| C6-O6-C1-C2 | 85 | 66 | 88 | |
On the other hand, isomeric, 5-O-acetyl-1,2:3,4-di-O-isopropylidene-α-d-glucoseptanose 4 adopted a twist-chair conformation [49]. A combined X-ray and neutron diffraction studies were performed, in order to determine the conformation. The bond distances C1-O1 of 1.398 Å was 0.027 Å shorter than intracyclic C1-O6 (1.425 Å). Here too, average bond angles involving odd-numbered carbons (112.5°) was less than that of the even-numbered carbons atoms (114.0°). The twist-chair conformation of the seven-membered ring was confirmed by comparing the torsion angles values with the computed values for the oxepane ring (Table 5) [50]. The torsion angles O6-C1-C2-C3 of –28.6° and C1-C2-C3-C4 of –49.1° led the authors to consider C1-C2-C3 constructing the mean plane. The twist-chair conformation was 4,5TC6,0, indicating that C1-C2-C3 of the sugar ring formed the mean plane in which C4 and C5 above the plane, whereas, endocyclic oxygen and C6 were below the plane. Examination of the torsion angles for the cis-fused and trans-fused dioxolane rings revealed that the former adopted distorted twist-forms and the latter in an envelop form.
Torsional angles (°) of 4 in comparison with those of the chair and twist-chair conformations in oxepane [49].
| Molecular structure | Sequence | 4 | Oxepane twist-chair |
|---|---|---|---|
![]() | O6-C1-C2-C3 | –28.6 | 44.4 |
| C1-C2-C3-C4 | –49.1 | –90.9 | |
| C2-C3-C4-C5 | 90.2 | 67.7 | |
| C3-C4-C5-C6 | –65.5 | –50.8 | |
| C4-C5-C6-O6 | 51.8 | 72.9 | |
| C5-C6-O6-C1 | –83.8 | –96.4 | |
| C6-O6-C1-C2 | 94.4 | 43.0 |
A change in the protecting group was found to impact the solid state structure of septanosides. Thus the structure of methyl 2,3,4,5-tetra-O-acetyl-α-d-glucoseptanoside 5 adopted a twist-chair conformation differently, in comparison to other α-d-glucoseptanosides mentioned previously [51]. C1-O1 bond length of 1.388 Å in 5 was shorter than C1-O6 (1.415 Å) and C6-O6 (1.411 Å), as a result of the anomeric effect. Bond angles within the seven-membered ring were greater than the ideal tetrahedral value, as seen commonly in septanoside structures. Further, average bond angles of odd numbered carbons (113.7°) were less than that of the even membered carbons atoms (114.3°). An analysis of torsion angles within the seven-membered ring indicated a twist-chair conformation (Table 6), specifically, 4,5TC6,0 conformation, in which the axis of symmetry passed through C2. The observed torsion angles involving septanoside ring was in agreement with calculated torsion angles of cycloheptane twist-chair conformation. The ORTEP diagram and the torsion angles of the seven-membered ring are given Table 6.
Torsion angles (°) of 5 in comparison with those of the chair and twist-chair conformations in cycloheptane [51].
| Molecular structure and ORTEP diagram (40 % probability) | Sequence | 5 | Cycloheptane twist-chair |
|---|---|---|---|
![]() | O6-C1-C2-C3 | –31.1 | 44.4 |
| C1-C2-C3-C4 | –46.0 | –90.9 | |
| C2-C3-C4-C5 | 84.0 | 67.7 | |
| C3-C4-C5-C6 | –63.0 | –50.8 | |
| C4-C5-C6-O6 | 53.0 | 72.9 | |
| C5-C6-O6-C1 | –85.0 | –96.4 | |
| C6-O6-C1-C2 | 95.0 | 43.0 |
The solid state structure of n-pentyl 2-chloro-2-deoxy-α-d-manno-sept-3-uloside 6 was reported by us recently [52]. Compound 6 crystallized in the monoclinic C2 space group with four molecules constituted the unit cell (Z = 4), whereas asymmetric unit contained one molecule. An analysis of the C–C bond lengths within the septanoside ring showed that the bond lengths were between 1.50 and 1.60 Å. The exocyclic C1–O1 (1.41 Å) was shorter than C6–O6 (1.47 Å) and O6–C1 (1.42 Å). The shortening C1-O1 bond compared to O6–C1 indicated a significant anomeric effect, as in the case of free sugar derivatives. An interesting feature of the ring C–C bond distances was that C1–C2 (1.59 Å) and C3–C4 (1.54 Å) were significantly higher than remaining endocyclic C–C bond in 6. Bond angles within the septanoside ring were greater than an ideal tetrahedron. The presence of carbonyl moiety imposed a strain, as was evident from the C2–C3–C4 angle (114.7°). Large deviation of the bond angle C3–C4–C5 of 121.5° appeared from the eclipsing of C–OH and C=O, when viewed along C3–C4. The valence bond angles of 115.5° and 112.7° in the sequence C6–O6–C1–O1, respectively, and the torsion angle of –65.0° (C6–O6–C1–O1) indicated the α-configuration at the anomeric centre. A contiguous positive sign and remaining alternate positive and negative signs of dihedral angles indicated a twist-chair conformation (Table 7) [52]. Torsion angles of C6–O6–C1–C2 and O6–C1–C2–C3 were 48.7° and 39.6°, respectively, leading to select the least-square plane passing through O6, C1 and C2. The mean square plane consisted of O6, C1 and C2 atoms passing through the midpoint of C4–C5 bond, and thus a twist-chair conformation 5,6TC3,4 was assigned. Crystal structure analysis of 6 brought out important observations relating to the non-covalent interactions. An array of intermolecular O–H···O and C–H···O hydrogen bonding interactions stabilized the molecular packing in 6. The hydroxyl groups O4–H4, O5–H5 and O7–H7 acted both as hydrogen bond donors and as acceptors. Each molecule interacted with neighbors, through six intermolecular hydrogen bonding interactions. Two intermolecular hydrogen bonds formed between the pairs of molecules related by two-fold rotation along crystallographic ‘b’ axis and rest of the four formed between the unit translated molecules along ‘b’ and ‘c’ axis. O3, O5 and H4 (O4) were involved in a three-centred hydrogen bond, in which O4–H4 was a bifurcated donor for an intramolecular hydrogen bond in O4–H4···O3 and an intermolecular hydrogen bond in O4–H4···O5 (x, y-1, z).
Comparison of the torsion angles of 6 (°), with those of the chair and twist-chair conformations in oxepane [52].
| Molecular structure and ORTEP diagram (10 % probability) | Sequence | 6 | Computed torsional angles | |
|---|---|---|---|---|
| Twist-boat | Twist-chair | |||
![]() | O6-C1-C2-C3 | 39.6 | –46.6 | 44.4 |
| C1-C2-C3-C4 | –85.9 | –34.2 | –90.9 | |
| C2-C3-C4-C5 | 60.8 | 83.7 | 67.7 | |
| C3-C4-C5-C6 | –36.1 | –70.0 | –50.8 | |
| C4-C5-C6-O6 | 63.3 | 54.3 | 72.9 | |
| C5-C6-O6-C1 | –102.2 | –80.2 | –96.4 | |
| C6-O6-C1-C2 | 48.7 | 101.9 | 43.0 | |
Apart from strong O–H···O hydrogen-bonding interactions, C–H···O interactions [53–57] were also observed. The carbonyl oxygen at C3 participated in as many as four C–H···O interactions, namely, C4–H4A, C2–H2, C8–H8B and C6–H6. Molecular packing showed a bi-layer arrangement of the molecules, with sugar head-head interactions phase segregating from the lipophilic alkyl chains. The head group involved O–H···O and C–H···O interactions, whereas, van der Waals interaction was observed across alkyl chains within a distance 2.40 Å between adjacent layers. Thus, dense, infinite hydrogen-bonding and other non-covalent interactions within and across the planar bilayer resulted in a highly-ordered molecular packing in the crystal lattice of 6.
β-d/l-Septanoses and septanosides
Apart from the solid state structures of α-d-septanosides, solid-state structures of β-d/l-septanoses and septanosides are also known. In majority of the cases, the structure of β-d/l-septanoses showed a twist-chair or chair conformation. The crystal structure of methyl 2,3,4,5-tetra-O-acetyl-β-d-glucoseptanoside 7 was reported by Stevens and co-workers [58]. The orthorhombic crystal system with space group P21 21 21, with four molecules in the unit cell, showed a twist-chair conformation (Table 8). Small torsion angle O6-C1-C2-C3 of 14.0° forced the ring to adopt a conformation in-between chair and twist-chair, being close to chair conformation, in which axis of symmetry passed through C5. C5 displaced 0.65 Å on one side, C1 and C2 displaced 1.00 A and 1.21 Å, respectively, on the other side of the least-square plane passing through C3, C4, C6 and O6.
Comparison of the torsion angles of 7 (°) with those of the chair and twist-chair conformations in oxepane [58].
| Molecular structure | Sequence | 7 | Computed torsional angles | |
|---|---|---|---|---|
| Twist-boat | Twist-chair | |||
![]() | O6-C1-C2-C3 | 14.0 | –46.6 | 44.4 |
| C1-C2-C3-C4 | –72.0 | –34.2 | –90.9 | |
| C2-C3-C4-C5 | 76.0 | 83.7 | 67.7 | |
| C3-C4-C5-C6 | –56.1 | –70.0 | –50.8 | |
| C4-C5-C6-O6 | 65.0 | 54.3 | 72.9 | |
| C5-C6-O6-C1 | –96.0 | –80.2 | –96.4 | |
| C6-O6-C1-C2 | 65.0 | 101.9 | 43.0 | |
Stevens and co-workers also reported the crystal structure of methyl-β-d-glucoseptansoside 8 [59]. Colorless crystals of 8 belonged to monoclinic system, with P21 space group. Bond length of C1-O1 of 1.389 Å was shorter than C1-O6 (1.409 Å) and C6-O6 (1.425 Å), which was in agreement with the theoretical predictions for a β anomeric pyranosides. Torsion angles within septanoside ring indicated that it adopted a chair 2C5,6 conformation (Table 9).
ORTEP diagram (40 % probability) and the torsion angles of 8 (°) in comparison with those of the chair and twist-chair conformations in oxepane (in degree).
| Molecular structure and ORTEP diagram | Sequence | 8 | Computed torsional angles | |
|---|---|---|---|---|
| Twist-boat | Twist-chair | |||
![]() | O6-C1-C2-C3 | 61.5 | –46.6 | 44.4 |
| C1-C2-C3-C4 | –54.4 | –34.2 | –90.9 | |
| C2-C3-C4-C5 | 79.8 | 83.7 | 67.7 | |
| C3-C4-C5-C6 | –73.2 | –70.0 | –50.8 | |
| C4-C5-C6-O6 | 7.8 | 54.3 | 72.9 | |
| C5-C6-O6-C1 | 74.2 | –80.2 | –96.4 | |
| C6-O6-C1-C2 | –97.8 | 101.9 | 43.0 | |
Further analysis showed that the hydroxyl groups in the molecule participated in extensive intermolecular hydrogen bonding interactions [60]. Each molecule hydrogen-bonded to six neighboring molecules, along the crystallographic ‘a’ axis. The hydroxyl group at C2 was involved in hydrogen-bonding interactions with three molecules and acted as both donor and acceptor in the same chain. The endocyclic O6 was not involved in the hydrogen-bonding interactions, whereas O3-H3 was involved in the intramolecular hydrogen-bonding interactions. The effect of the protecting group in controlling the conformation was also very crucial, as the corresponding O-acetyl derivative, i.e. methyl 2,3,4,5-tetra-O-acetyl-β-d-glucoseptanoside 7 adopted a twist-chair conformation, whereas removal of the acetyl group led to a chair conformation of 8.
The conformation of S-septanoside was studied, in order to analyze the impact of the thiol substitution at the anomeric position. For this purpose, the solid state structure and conformation of ethyl 2,3:4,5-di-O-isopropylidene-1-thio-β-d-glucoseptanoside 9 was analyzed [61]. Compound 9 crystallized in orthorhombic space group P21 21 21, with four molecules in a unit cell. The analysis of bond lengths showed that C1-C2 (1.49 Å), C3-C4 (1.50 Å) and C5-C6 (1.49 Å) were shorter than C2-C3 (1.54 Å) and C4-C5 (1.57 Å). Bonds involved in the formation of trans-dioxolane ring were significantly longer than other C-C bond of septanoside. On the other hand, bond angles involving septanoside ring were greater than ideal tetrahedral value, except in case of C4-C5-C6 (119.0°). All the angles within dioxolane rings were less than the tetrahedral value, angles involving oxygen atom being larger (∼108.0°), whereas those involving carbons atoms are smaller (∼103.0°). The molecule adopted a twist-chair conformation, having consecutive positive and negative signs of the torsion angles within the seven-membered ring (Table 10). Positive signs and closer torsion angles of C6-O6-C1-C2 = 53.5° and O6-C1-C2-C3 = 35.7° led the authors to assign O6, C1 and C2 as a mean square plane, in which atoms C3 and C4 are displaced 0.99 Å and 0.31 Å, respectively, whereas, C5 and C6 are displaced 0.64 Å and 1.08 Å, respectively, on either side of the plane. The twist-chair conformation was thus 5,6TC3,4. β-Anomeric configuration was inferred from the torsion angle value C13-S-C1-C2 of 177.0°. The conformation of the five-membered rings was deduced to be in the twist form.
Molecular structure, ORTEP diagram (40 % probability) and torsion angles of 9 (°) [61].
| Molecular structure and ORTEP diagram | Sequence | 9 | Cycloheptane twist-chair |
|---|---|---|---|
![]() | C6-O6-C1-C2 | 53.5 | 39.1 |
| C1-C2-C3-C4 | –91.1 | –88.0 | |
| C2-C3-C4-C5 | 60.4 | 72.0 | |
| C3-C4-C5-C6 | –34.0 | –54.0 | |
| C4-C5-C6-O6 | 58.0 | 72.0 | |
| C5-C6-O6-C1 | –98.0 | –88.0 | |
| O6-C1-C2-C3 | 35.7 | 39.0 | |
| C13-S-C1-C2 | 177.0 | – |
Most recently, the preparation and solid state structure analysis β-d-glucoseptanose pentaacetate 10 was reported [62]. The torsion angles analysis of 10 showed that it was in agreement with the torsion angles of oxepane (Table 11). The crystal structure of 10 was determined and the ring conformation was found to be twist-chair, 5,6TC3,4, in which the axis of symmetry passed through C1. The ORTEP diagram (40 % probability) along with torsion angles involving the septanoside ring are given in Table 11.
Molecular structure, ORTEP diagram (40 % probability) and torsion angles of 10 (°) [62].
| Molecular structure and ORTEP diagram | Sequence | 10 | Oxepane twist-chair |
|---|---|---|---|
![]() | C6-O6-C1-C2 | 40.5 | 43.0 |
| O6-C1-C2-C3 | 45.0 | 44.4 | |
| C1-C2-C3-C4 | –88.4 | –90.9 | |
| C2-C3-C4-C5 | 63.9 | 67.7 | |
| C3-C4-C5-C6 | –44.6 | –50.8 | |
| C4-C5-C6-O6 | 69.0 | 72.9 | |
| C5-C6-O6-C1 | –95.9 | –96.4 |
Solid state structure of methyl-5-O-acetyl-2-O-benzo-3,4-O-isopropylidene-β-l-idoseptanoside 11 was reported (Table 12) [63]. The needle type crystal belonged to orthorhombic space group P21 21 21, with four molecules in the unit cell. Presence of anomeric effect led to bond lengths C1-O1 of 1.361 Å and O6-C1 of 1.42 Å. Continuous positive and negative signs of the torsional angles were in agreement with the computed values of oxepane (Table 12), which indicated a twist-chair conformation. Values of the torsional angles C3-C4-C5-C6 of –49° and C4-C5-C6-O6 of –32° defined the mean square plane consisting of C4, C5 and C6 atoms. The conformation was thus assigned as 0,1TC2,3.
Molecular structure, ORTEP diagram (40 % probability) and torsion angles (°) for methyl-5-O-acetyl-2-O-benzo-3,4-O-isopropylidene-β-l-idoseptanoside11 [63].
| Molecular structure and ORTEP diagram | Sequence | 11 | Oxepane twist-chair |
|---|---|---|---|
![]() | O6-C6-C5-C4 | –32 | –47 |
| C6-C5-C4-C3 | –49 | –34 | |
| C5-C4-C3-C2 | 95 | 84 | |
| C4-C3-C2-C1 | –68 | –70 | |
| C3-C2-C1-O6 | 49 | 54 | |
| C2-C1-O6-C6 | –79 | –80 | |
| C1-O6-C6-C5 | 98 | 102 |
Apart from the functionalized seven-membered septanoside ring, X-ray crystal structure of unsaturated seven-membered ring, namely, oxepine, is also reported. Peczuh and co-workers reported synthesis and crystal structure of d-xylose based oxepine 12 [64]. Structural studies showed that the crystal belonged to monoclinic space group P21, with two molecules in the unit cell. An analysis of torsion angles involving septanoside ring indicated a distorted twist-chair conformation of 12 (Fig. 3). The torsional angles of O1-C1-C2-C3 of 52.49° and C1-C2-C3-C4 of 33.28° led the authors to consider C1, C2 and C3 to form the mean square plane. The twist-chair conformation was represented as 6,0TC4,5, indicating that C6 and endocyclic oxygen atoms were above the plane, whereas, C4 and C5 below the mean plane. Torsion angle of O1-C6-C5-C4 of 6.3°, corresponding to the enol ether functionality, was found to be nearly co-planar.

ORTEP diagram (40 % probability) of d-xylose based oxepine 12.
Boat conformation
Solid state structures of septanosides showed that seven-membered ring adopted twist-chair conformation predominantly, yet there are reports on septanoses adopting boat conformation. The following discussion pertains to solid state structures of septanoses and septanosides adopting boat conformation.
A study of the needle-shaped 5-O-acetyl-1,2:3,4-di-O-isopropylidene-α-d-galactoseptanose 13, belonging to tetragonal system with space group P41, indicated that it adopted a boat conformation, even when the corresponding un-protected α-d-glucoseptanose adopted a twist-chair conformation,4,5TC6,0 [65]. The bond lengths involving septanoside ring showed that exocyclic C1-O1 (1.378 Å) was significantly shorter than O6-C1 (1.411 Å), due to the anomeric effect. C-C bond lengths of C1-C2 (1.537 Å) and C3-C4 (1.551 Å) were significantly longer than remaining C-C bonds of the molecule. Bond angles within the septanoside ring were greater than the tetrahedral value. Torsion angles within the septanoside ring were in agreement with the computed values for oxepane boat conformation (Table 13). The analysis of torsion angles within seven-membered ring indicated that it adopted 1,2,5B conformation, in which plane of symmetry passed through C5. Molecular structure, ORTEP diagram (40 % probability) and the torsion angles involving septanoside ring are given in Table 13. The torsion angle of C2-C3-C4-C5 was 12°, which indicated that septanose ring was flattened nearly at C3 and C4. This decrease of torsion angle subsequently increased C1-C2-C3-C4 and C3-C4-C5-C6 torsion angles.
ORTEP diagram and torsion angles of 13 (°) [65].
| Molecular structure and ORTEP diagram | Sequence | 13 | Oxepane boat |
|---|---|---|---|
![]() | O6-C1-C2-C3 | –5 | –2 |
| C1-C2-C3-C4 | –56 | –74 | |
| C2-C3-C4-C5 | 12 | 34 | |
| C3-C4-C5-C6 | 68 | 56 | |
| C4-C5-C6-O6 | –49 | –53 | |
| C5-C6-O6-C1 | –53 | –47 | |
| C6-O6-C1-C2 | 89 | 86 |
1,2:3,4-Di-O-isopropylidene-4-C-methylthio methoxy-β-l-arabino-hexoseptanos-5-ulose 14 also adopted a boat conformation in the solid state [66]. The needle type crystals of 14, obtained from EtOH-H2 O, belonged to orthorhombic system, with space group P21 21 2. ORTEP diagram and torsion angles of the septanoside ring are given in Table 14. An analysis of bond lengths showed that C6-O6 (1.427 Å), O6-C1 (1.398 Å) and C1-O1 (1.425 Å) indicating that anomeric effect was not present predominantly. Bond angles involving the septanoside ring were higher than tetrahedral value. The torsional angles involving the seven-membered ring along with the ORTEP diagram (40 % probability) are given in Table 14. Analysis of torsion angles led to the assignment of 3,4,OB(L) conformation of the septanoside ring, with two dioxolane rings orientated axially in envelop forms.
Torsion angles (°) of 14 along with ORTEP diagram (40 % probability) [66].
| ORTEP diagram | Sequence | 14 |
|---|---|---|
![]() | O6-C1-C2-C3 | –23.9 |
| C1-C2-C3-C4 | 61.8 | |
| C2-C3-C4-C5 | –1.0 | |
| C3-C4-C5-C6 | –60.2 | |
| C4-C5-C6-O6 | 23.1 | |
| C5-C6-O6-C1 | 65.5 | |
| C6-O6-C1-C2 | –64.8 |
Solution state conformation of septanosides
The conformation of seven-membered β-l-idoseptanoside in solution was studied early by Stevens and co-workers [16, 67]. The solution phase conformation of methyl 2-O-benzoyl-3,4-O-isopropylidene-α-d-glucoseptanoside 15 and methyl 5-O-acetyl-2-O-benzoyl-3,4-O-isopropylidene-β-l-idoseptanoside 16 were determined through proton-proton spin-coupling constants (Fig. 4). The stereochemical restriction imposed by dioxolane ring restricted possible conformation to the following segment: 4,5TC6,O, 1,2C5, 5,6TC3,4, 4CO,1, 2,3TC4,5, 6,OC3, 3,4TC1,2, 2C5,6, O,1TC2,3, 4,5C1, 1,2TC6,O, depending on the pseudorotation and coupling constant. Among this 11 possible conformations, 2C5,6 was identified to fulfil the experimental coupling constant. A geminal coupling J6a,6b = 18.56 Hz required a conformation in which H6a-H6b was perpendicular to the mean plane constructed by C4, C5 and C6 atoms and also C5 carbonyl group bisecting the angle between the geminal hydrogen at C6 [68].

Molecular structures of 15–18.
The conformation of 16 was determined from the observed coupling constants J5,6a and J5,6b of 2.6 and 4.6 Hz, respectively. With these values, septanoside ring was assigned to O,1TC2,3 conformation [69]. Solution state conformation of methyl 2-O-benzoyl-5-deoxy-3,4-O-isopropylidene-β-l-threo-hex-4-enoseptanoside 17 was derived using coupling constants. Detailed analysis of the 1H NMR spectrum of 17 showed absence of signal due to H4 and presence of signals of the germinal hydrogen on C6, which, in turn, confirmed unsaturation being present in C4-C5, rather than C5-C6. Coupling of H3 with both H6a and H6b (J3,6b = 1.74 Hz and J3,6a = 0.89 Hz) along with J3,5 = 2.29 Hz was identified. A four bond W-type coupling of H1 and H6a was detected (J1,6a = 0.65 Hz). These analyses indicated 4,5C1 conformation of 17 [70–72].
The solution state conformation of bicyclic septanoside derivative methyl 2,3:4,5-di-O-isopropylidene-β-l-idoseptanoside 18 was reported [67]. The conformation of 18 was deduced from experimentally observed coupling constants and also the pseudorotational restriction imposed on seven-membered ring by two adjacent trans-fused dioxolane rings. Possible conformations 2C5,6, 3,4TC1,2, 6,OC3, 2,3TC4,5, 4CO,1, 5,6TC3,4, 1,2C5 were selected initially. The coupling constant J1,2 of 1.24 Hz, indicating a dihedral angle between H1 and H2 of 90°, was found to agree either 6,OC3 or 2,3TC4,5 conformation. The coupling constants J5,6a = 2.95 Hz and J5,6b = 10.50 Hz indicated that the predominant conformation of 18 was 6,OC3 (Fig. 4).
The solution state conformation of isomeric septanoside derivatives 19 and 20 were also reported using observed coupling constants (Fig. 5) [67]. Possible conformation of 19 was restricted by the presence of trans-fused O-isopropylidene group. Coupling constants of J4,5 = 1.74 Hz,J5,6a = 0.89 Hz and J5,6b = 4.79 Hz indicated that the seven-membered ring adopted 1,2TC6,O conformation. Long range coupling constants were also observed 4J4,6a = 1.14 Hz, 4J1,3 = 0.50 Hz, 4J1,6a = 0.58 Hz and 5J1,5 = 0.42 Hz, similar to that of equatorial H1 and H5 in pyranoside derivatives. These observations supported 1,2TC6,O conformation. On the other hand, conformation for isomeric septanoside 20 was determined by observing the following coupling constants: J5,6b = 9.48 Hz, J5,6a = 5.68 Hz, J1,2 = 2.30 Hz and J2,3 = 8.01 Hz. The coupling constant J5,6b = 9.48 Hz indicated that H5 and H6a were antiperiplanar to each other. These experimental coupling constant values were supportive to 3,4TC1,2 conformation of 20 (Fig. 5).

Molecular structures of 19–22.
The conformation analysis of methyl 2,5-di-O-acetyl-3,4-O-isopropylidene-α-d-glucoseptanoside 21 and isomeric methyl 4,5-di-O-acetyl-2,3-di-O-isopropylidene-α-d-glucoseptanoside 22 were reported [73]. The solution state structure of methyl 4,5-di-O-acetyl-2,3-O-isopropylidene-α-d-glucoseptanoside 22 was determined by analyzing observed coupling constant and comparing the torsional angles between hydrogen atoms in various possible chair and twist-chair conformation. The values J4,5 = 5.14 Hz, J5,6a = 8.64 Hz, J5,6b = 1.29 Hz and J6a,6b = 13.13 Hz were considered to fulfil H5 in synclinal orientation with H6b and eclipsed with H6a. These orientations of protons suggested the following conformations of the seven-membered ring: OC3,4, 1,2TC6,O, 4,5C1, O,1TC2,3 and 2C5,6. The conformation OC3,4 was excluded, for reasons that the observed 3J4,5 value of 5.14 Hz was higher than a coupling constant which was expected for dihedral angle between H4 and H5 of 120° for OC3,4 conformation. Similarly, conformations 4,5C1 was excluded (J4,5 = 5.14 Hz not consistent with the dihedral angle ϕ4,5 = 0°) and 2C5,6 was also excluded as the dihedral angles (ϕ4,5 = 66°) that could not satisfy the observed J4,5 = 5.14 Hz. The conformation in which the dihedral angle H5 and H6b was close to 90° and the observed J5,6b = 1.29 Hz, was thus identified to be 1,2TC6,O. This conformation also accounted for the long range coupling 4J4,6b = 1.64 Hz, 4J1,6a = 0.56Hz, as H4 and H6a were in a ‘W’ arrangement. On the other hand, isomeric methyl 2,5-di-O-acetyl-3,4-O-isopropylidene-α-d-glucoseptanoside 21 adopted a twist-chair 4,5TC6,O conformation, which satisfied the following coupling constants: J4,5 = 2.47 Hz, J5,6a = 1.66 Hz, J5,6b = 2.60 Hz and J6a,6b = 14.05 Hz, along with long range 4J3,5 = 0.51Hz. Figure 5 shows the twist-chair conformations of both 21 and 22.
Solution state conformation of 3,4,5-tri-O-acetyl-1,2-O-isopropylidene-α-d-galactoseptanose 23 showed that it adopted a twist-chair conformation (Fig. 6) [73]. The observed coupling constants of 23 were: J4,5 = 6.01 Hz, J5,6a = 2.22 Hz, J5,6b = 2.28 Hz and J6a,6b = 14.17 Hz, along with long range 4J4,6a = 1.15 Hz. These values were considered to fulfil seven-membered ring adopting a twist-chair conformation, 4,5TC6,O. The observed four bond coupling was due to the W-arrangement of H4 and H6a. Similarly, solution state conformation of 5-O-acetyl-1,2:3,4-di-O-isopropylidene-α-d-galactoseptanose 24 was also studied. The solution state conformation of 24 was derived using observed coupling constants: J3,4 = 7.61 Hz, J4,5 = 9.97 Hz, J5,6a = 6.28 Hz, J5,6b = 10.66 Hz and J6a,6b = 11.35 Hz. It was presumed that one of the three boat conformations, namely, 1,2,5B, 1,2TB3,4 and 3,4,OB, could represent the conformation of 24. The observed coupling constant J3,4 = 7.61 Hz satisfied 1,2,5B conformation, provided C3-C4 region was flattened as observed for the solid-state structure of 24 [74]. The actual twist-chair conformations of 23 and 24 are given in Fig. 6.

Solution state conformation of 23–26.
The conformation of 3-O-acetyl-1,2:4,5-di-O-isopropylidene-α-d-galactoseptanose 25 was determined in solution [73, 75]. Solution state conformation 25 was deduced from the observed coupling constants J3,4 = 1.5 Hz, J2,3 = 3.0 Hz. These values supported two twist-chair conformations: 6,OTC4,5 and 3,4TC5,6. For 3,4TC5,6 conformer, the dihedral angle of H2 and H3 of 32° could not support the experimentally observed J2,3 = 3.0 Hz. Thus, the conformation of 26 was proposed to be 6,OTC4,5, which accounted the observed coupling constants (Fig. 6).
Conformation of 4,5-di-O-acetyl-1,2-O-isopropylidene-3-O-methyl-α-d-glucoseptanoside 26 was also reported. The following coupling constants were observed for 26: J3,4 = 10.16 Hz, J4,5 = 9.44 Hz, J5,6a = 10.86 Hz and J5,6b = 4.42 Hz. The large coupling constants required H3-H4 and H5-H6a pairs of hydrogens to be anti-periplanar, whereas H5 synclinal with H6b. The observed coupling constants suggested twist-chair conformations 3,4TC5,6, 6,OTC4,5 and chair conformation 5C1,2, in which the latter was preferred in conjunction with the anomeric effect (Fig. 6) [76].
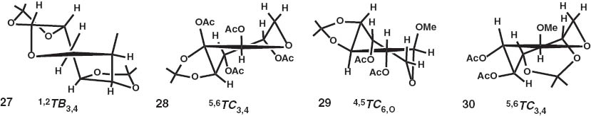
Conformation analysis of l-septanoside, namely, 5-O-acetyl-1,2:3,4-di-O-isopropylidene-β-l-altroseptanoside 27 was reported. The solution state conformation of 27 showed that it adopted a twist-boat 1,2TB3,4, (Fig. 7) which was consistent with J6a,6b = 13.5 Hz and the antiperiplanar arrangement of O5 with one of the geminal hydrogen at C6 [73].

Solution state conformation of 27–30.
Synthesis and conformation of various mono-O-isopropylidene derivatives of methyl β-d-glucoseptanoside and methyl α-l-idoseptanoside were reported [76]. Conformational analysis of methyl 4,5-di-O-acetyl-2,3-O-isopropylidene-β-d-glucoseptanoside 28, methyl 2,3-di-O-acetyl-4,5-O-isopropylidene-β-d-glucoseptanoside 29 and methyl 2,5-di-O-acetyl-3,4-O-isopropylidene-β-d-glucoseptanoside 30 were conducted in solution. The observed coupling constants for 28, 29 and 30 are given in Table 15. For both 28 and 29, the large values of J2,3 and J3,4 indicated that H2-H3 and H3-H4 were in antiperiplanar arrangement. The observed coupling constants indicated the following conformers: 3,4TC1,2, 6,OC3, 2,3TC4,5, 4CO,1, 5,6TC3,4, 1,2C5, 4,5TC6,O,among which 5,6TC3,4 and 4,5TC6,O accounted the observed coupling constants. Solution state conformation of 30 showed that it also adopted a twist-chair conformation. The magnitude of J2,3 and J3,4 indicated that H2/H3 and H3/H4 orientated in anti-periplanar fashion. The coupling constant values of J5,6a and J5,6b indicated that H5 was synclinal to both H6a and H6b (Fig. 7).
Observed coupling constants (J) for 28–30.
| Compound | Coupling constant (Hz) | ||||||
|---|---|---|---|---|---|---|---|
| J1,2 | J2,3 | J3,4 | J4,5 | J5,6a | J5,6b | J6a,6b | |
| 28 | 6.52 | 9.26 | 10.25 | 4.38 | 0.60 | 3.81 | 14.52 |
| 29 | 7.17 | 10.35 | 9.06 | 6.05 | 1.80 | 2.77 | 14.60 |
| 30 | 3.41 | 9.33 | 9.31 | 2.74 | 2.71 | 2.50 | 14.11 |
Conformational analysis of methyl 4-O-acetyl-2,3-O-isopropylidene-β-d-hexoseptanosid-5-ulose 31. and 4,5-di-O-acetyl-2,3-O-isopropylidene-α-l-idoseptanoside 32 (Fig. 8) were performed by analyzing the observed coupling constants. The coupling constants for 31 were J1,2 = 6.2 Hz, J2,3 = 9.2 Hz, J3,4 = 9.0 Hz and J6a,6b = 15.5 Hz. These coupling constants suggested a twist-chair conformation, 5,6TC3,4 [67, 71], which was similar to the conformation of 28. The observed coupling constants for 32 of J4,5 = 8.86 Hz, J2,3 = 9.53 Hz, J3,4 = 9.76 Hz and J5,6a = 11.01 Hz indicated that these hydrogen pairs were antiperiplanar. Possible conformers were thus 2C5,6, 3,4TC1,2, 6,OC3, 2,3TC4,5, 4CO,1, 5,6TC3,4 and 1,2C5. Among these conformers, 5,6TC3,4 and 3,4TC1,2 were considered further, matching with the coupling constants. Within these two, 5,6TC3,4 conformation was chosen for 32, as the dihedral angle O2-C2-C3-O3, considering a stable five-membered 1,3-dioxane ring and the anomericeffect [76].

Solution state conformation of 31–34.
The conformation of methyl 2-O-benzoyl-3,4-O-isopropylidene-β-d-xylo-hexoseptanosid-5-ulose 33 in solution was identified to be a chair conformation. Among the observed coupling constants, a notable feature was J6a,6b = 18.75 Hz and was accounted by a conformation in which the plane of the ketone moiety bisecting the H6a-C6-H6b angle. The conformation of 33 was thus identified to be 2C5,6. Solution state structure of methyl 2,5-di-O-acetyl-α-l-idoseptanoside 34 was reported [76]. The following coupling constants were observed for 34: J1,2 = 6.39 Hz, J2,3 = 10.04 Hz, J3,4 = 9.31 Hz, J4,5 = 8.51 Hz, J5,6a = 5.01 Hz, J5,6b = 4.87 Hz and J6a,6b = 13.61 Hz. These coupling constants could not account neither chair nor twist-chair conformation, rather a conformational equilibrium was visualized (Fig. 9). The following conformational equilibrium could account the observed J values.
![Fig. 9 Conformational equilibrium of 34 [76].](/document/doi/10.1515/pac-2014-0609/asset/graphic/pac-2014-0609_fig9.jpg)
Conformational equilibrium of 34 [76].
Solution state conformation of methyl 2,3,4,5-tetra-O-acetyl-α-l-idoseptanoside 35 was also determined. The observed coupling constants J2,3 = 9.48 Hz, J3,4 = 9.56 Hz, J4,5 = 9.90 Hz supported twist-chair conformation, 5,6TC3,4 [76]. Conformation of the bicyclic analogue, namely, 2,3:4,5-di-O-isopropylidene-α-l-idoseptanoside 36 was determined using the observed coupling constants (J4,5 = 8.4 Hz, J5,6a = 10.0 Hz, J5,6b = 2.5 Hz), that suggested two twist-chair conformations, namely, 5,6TC3,4 and 2,3TC4,5 [77]. The conformer 5,6TC3,4 posed geometrical constraints on the isopropylidene rings. Thus 2,3TC4,5 conformation was assigned (Fig. 10), in which axis of symmetry passed through endocyclic oxygen.

Molecular structures of 35–39.
Solution state conformation of 3-O-acetyl-1,2:4,5-di-O-isopropylidene-β-l-idoseptanoside 37, closely resembling to 36, was also reported [75]. The observed coupling constants J2,3 = 6.0 Hz, J5,6a = 4.6 Hz, J5,6b = 9.7 Hz suggested O,1TC2,3, 3,4TC1,2, 5,6TC3,4 and 4,5TC6,O conformers initially. Of these, O,1TC2,3, 5,6TC3,4 and 3,4TC1,2 could not account the larger value of J5,6b and a stable 1,2-O-isopropylidene ring. Thus, 4,5TC6,O was suggested as the conformation of 37 (Fig. 10).
Conformation analysis on 1,2:3,4-di-O-isopropylidene-5-C-methyl-α-d-glucoseptanoside 38 and 1,2:3,4-di-O-isopropylidene-5-C-methyl-β-l-idoseptanoside 39 were conducted by Stevens and co-workers (Fig. 10) [75]. The observed coupling constants are given in Table 16. The larger magnitude of J6a,6b in both 38 and 39 indicated that oxygen atom at C5 was anti-periplanar to one of the hydrogens of C6. On the basis of coupling constants, both the epimers were assigned a twist-chair conformation, 5,6TC3,4.
Observed coupling constants for 38 and 39.
| Compound | Coupling constant (Hz) | |||
|---|---|---|---|---|
| J1,2 | J2,3 | J3,4 | J6a,6b | |
| 38 | 3.90 | 7.32 | 9.28 | 13.67 |
| 39 | 4.03 | 6.71 | 9.89 | 12.57 |
Computational approaches
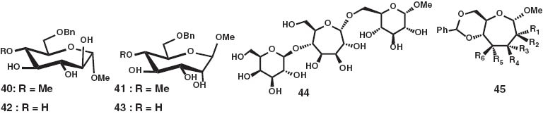
Apart from the solid- and solution-state analyses of septanoside sugars, computational methods were developed to determine septanoside conformations in recent years. Peczuh and co-workers reported synthesis and conformational analysis of methyl d-septanoside and methyl 5-O-methyl d-septanoside using a combination of ab initio/DFT calculations along with observed coupling constants [77, 78]. Monte Carlo protocol was used for the initial conformational search for both 40 and 41. The conformations were minimized using AMBER* force field and all the conformation within ∼ 3.5 kcal/mol of the global minimum was considered further for DFT studies. It was observed that most low energy conformers belonged to 3,4TC5,6 conformation. All the low energy conformers were initially optimized using HF/6-31+G* level of theory and later on B3LYP/6-311+G** level of theory. The conformation 3,4TC5,6 was favored due to the high degree of intramolecular hydrogen bonding between all available hydroxyl groups, even though the calculation was performed in water, a high dielectric constant medium. The conformation was also favored by anomeric effect, isoclinal positioning of OCH3 group and equatorial orientation of hydroxymethyl group to minimize steric interactions. The observed conformation contributed 69 % of the Boltzmann distribution, in which the exocyclic C6-C7 rotamer was in gg-orientation. Monte Carlo search and AMBER force field calculations on 40 resulted in 1050 unique conformers within 12 kcal/mol of the global minimum. The conformation of the ring was assigned by adopting all the conformers within the range of 3.5 kcal mol–1. It was observed that 3,4TC5,6 was the lowest energy conformer and all the hydroxyl groups were involved in intramolecular hydrogen bonding interactions. The exocyclic C6-C7 was orientated in gauche-gauche orientation, in order to maximize the hydrogen bonding interactions. Single point energy calculation at the B3LYP/6-311+G** level of theory showed equal contribution of 3,4TC5,6 and 6,OTC4,5. The result using polarisable continuum model using the dielectric of methanol at same level of theory predicted that global minima was populated by 6,OTC4,5 conformer, even though the contribution of the conformer to the Boltzmann distribution was only 15 %. Thus these two conformers comprise more than 99 % at the equilibrium, with average energy of 6,OTC4,5 (1.13 kcal/mol) and 3,4TC5,6 (2.74 kcal/mol) (Fig. 11). Calculated coupling constants for both 40 and 41 were matching closely with the observed coupling constants, as given in Table 17.

Molecular structures of 40–45.
Comparison of coupling constants (J) for 40 and 41.
| Compound | Coupling constant (Hz) | |||
|---|---|---|---|---|
| Observed | Calculated | |||
| J2,3 | J3,4 | J3,4 | J6a,6b | |
| 40 | 8.49 | 7.74 | 8.50 | 7.70 |
| 41 | 5.05 | 8.69 | 2.70 | 8.30 |
On the other hand, conformational analysis of 42 and 43 was performed using similar protocol. Initial Monte Carlo search for 42 resulted in 800 conformers, with a wide range of dihedral angles. All the conformers within the energy range of 4 kcal/mol were considered, wherein a twist-chair conformation 3,4TC5,6 was found to be within 2 kcal/mol. The conformations in the global minima were further optimized using SM5.42/HF/6-31+G* level of theory. There were differences in the global minima conformers depending on the force field used and the difference was in the orientation of the C6-C7 rotamer. SM5.42/HF/6-31+G* theory indicated C6-C7 to be in the tg orientation, thereby allowing C5-OH to be hydrogen bonded with C7-OH, whereas AMBER* force field predicted that C6-C7 was in gt orientation and C7-OH was hydrogen bonded with endocyclic ring oxygen. Due to the accuracy with SM5.42/HF/6-31+G* level of theory, the conformation 3,4TC5,6 with C6-C7 in tg orientation was considered as the global minima conformation with 73 % of Boltzmann population. All the lower energy conformers were involved in extensive intermolecular hydrogen bonding interactions also.
On the other hand, Monte Carlo search on 43 generated initially 850 conformations within an energy cut-off value of ∼5 kcal/mol that were optimized again using SM5.42/HF/6-31+G*. From these minimizations, conformation 6,OTC4,5 was found to occupy the global minimum. Theoretically calculated coupling constants for 42 and 43 were in agreement with experimentally observed values (Table 18).
Comparison of coupling constants J (Hz) for 42 and 43 [77, 78].
| Coupling constant | 42 | 43 | ||
|---|---|---|---|---|
| Calculated | Observed | Calculated | Observed | |
| J1,2 | 5.81 | 6.20 | 5.92 | 5.40 |
| J2,3 | 8.86 | 9.80 | 5.42 | 3.30 |
| J3,4 | 7.48 | 8.30 | 9.11 | 9.20 |
| J4,5 | 7.17 | 8.30 | 7.38 | 7.20 |
| J5,6 | 8.50 | 10.2 | 8.32 | 9.60 |
| J6,7R | 3.08 | 5.20 | 3.68 | 6.70 |
| J6,7S | 6.41 | 2.80 | 3.85 | 2.50 |
Apart from the conformation of septanosyl monosaccharide, conformational analysis of septanosyltrisaccharide 44 was reported from our laboratory (Fig. 11) [40]. The solution state conformational analysis of 44 was performed using NMR technique and computational methods. Nuclear Overhauser spectroscopy (NOE) and rotating frame Overhauser spectroscopy (ROSEY) were used for the assignment of the conformations. A strong cross-coupling was observed between Sep-H1 nucleus with H6a of methyl pyranoside and between Sep-H2 and Sep H7a. Gal-H1 showed cross peak relation with Gal-H5, Sep-H4 and Sep-H6, whereas weak cross peak with Sep-H7a. Molecular modelling study was performed subsequently in order to identify the low energy conformer of the trisaccharide 44, defined by the dihedral angles involving sugar rings, as well as the glycosidic linkages. Monte Carlo search generated initially a large pool of conformers. Molecular dynamics was performed with AMBER* force field, which generated 114 unique conformers within <1 kcal/mol of global minimum. Conformations within the energy cut-off value of <0.3 kcal/mol were further optimized using B3LYP/6-31+G* level of theory in gas phase. It was observed that septanoside moiety of the trisaccharide adopted a twist-chair O,1TC5,6 conformation with C2-C3-C4 as the mean plane. The exocyclic C6-C7 rotamer of septanoside ring adopted a gauche-trans conformation. The exocyclic hydroxymethyl group of the septanoside ring and endocyclic oxygen of glucopyranoside were involved in hydrogen-bonding interactions.
The effect of the substitution in the ring conformation with replacement of one of the hydroxyl group by a nitro group, i.e. 5,7-O-benzylidene-3-deoxy-3-nitro-d-glycero-α-d-ido-heptoseptanoside 45 was studied theoretically by Baer and co-workers [79]. Conformational analysis of a series of 3-deoxy-3-nitroheptoseptanoside using molecular mechanics (MM2) and theoretical calculated coupling constants (3JH-H) were used as key tools for the analysis. Molecular mechanics calculation showed the presence of two major conformers, 5C1,2 and OC3,4 for the nitro-septanoside 45. Further analysis led to 8 possible configurational isomers for 45a-h, out of which 45g and 45h were not observed experimentally (Table 19). For 45a-c, O6-C1-C2-C3 angles ranged from –31° to –36°, which was a large deviation from the chair 5C1,2 conformation (O6-C1-C2-C3 = 0°). The dihedral angle of ϕH1-H2 was close to 152.0°, a 30° deviation for the 5C1,2 conformation. Twist-chair conformer originating from OC3,4 was higher in energy (∼7.3 kcal mol–1 for 45a and 3.4 kcal/mol for 45b), as compared to the twist-chair conformers originating from 5C1,2 conformation. The calculation showed that the conformer 45d adopted 5C1,2 conformation, rather than OC3,4, as verified by 3JH-H. The axial orientation of nitro group in 45d provided stabilization, due to the less steric hindrance. The second predominant structure for 45d was OC3,4, almost 3 kcal mol–1 higher in energy than 5C1,2 conformation. d-Glycero-α-d-galacto-configured 45e adopted a twist-chair conformation OC3,4(3T). The twist-chair form arised due to counter clock-wise rotation of C3-C4 bond, which resulted in an upward displacement of C4 (ϕ3 = –36.4°). The energy difference between two possible conformers, OC3,4(3T) and 5C1,2(T2) was low, which was further confirmed by the equilibrium ratio (OC 3,4(3T):5C1,2(T2) = 1.1:1). On the other hand 45f, the low energy conformer OC3,4(4T) was stable by 0.33 kcal mol–1 than 5C1,2(T2), representing an equilibrium ratio of (OC3,4(4T):5C1,2(T2) = 0.86:1).
Possible configurational isomers of 45 [79].
| Compound | Configuration | R1 | R2 | R3 | R4 | R5 | R6 |
|---|---|---|---|---|---|---|---|
| 45a | d-glycero-α-d-ido | H | OH | NO2 | H | H | OH |
| 45b | d-glycero-α- d-gulo | OH | H | NO2 | H | H | OH |
| 45c | d-glycero-α- d-altro | H | OH | NO2 | H | OH | H |
| 45d | d-glycero-α- d-talo | H | OH | H | NO2 | H | OH |
| 45e | d-glycero-α- d-galacto | OH | H | H | NO2 | H | OH |
| 45f | d-glycero-α-d-manno | H | OH | H | NO2 | OH | H |
| 45g | d-glycero-α-d-allo | OH | H | NO2 | H | OH | H |
| 45h | d-glycero-α-d-gluco | OH | H | H | NO2 | OH | H |
Conclusion
In conclusion, the solid state and solution phase conformation of seven-membered sugars, namely, septanoses and septanosides are being reported periodically, although with a long gestation period. Torsion angles about the septanoside ring are the determining factor, along with bond angles and bond lengths, in order to identify the conformation, as studied by single crystal X-ray structural analysis. It was observed that in the solid-state, septanoside adopted a twist-chair conformation and in few cases, chair and boat conformations, that were dependant on the nature of the protecting group. It was observed that gluco-configured septanosides with O-isopropylidene protecting group adopted generally a twist-chair conformation, whereas similar protecting group caused galacto-configured septanosides to adopt a boat conformation. The anomeric configuration led to a minor effect in altering the conformation of the septanoside, as for example, α- and β-anomer of methyl 2,3,4,5-tetra-O-acetyl-d-glucoseptanoside both adopted a twist-chair conformation. However, the conformation was dependant on the site of heteroatom substituent, as for example, ethyl 2,3:4,5-di-O-isopropylidene-1-thio-β-d-glucoseptanoside adopting a twist chair conformation, whereas, 1,2:3,4-di-O-isopropylidene-4-C-methylthiomethoxy-β-l-arabino-hexoseptanos-5-ulose adopting a boat conformation.
On the other hand, the solution-state conformations were deduced from the proton-proton coupling constants (3J and 4J), as conformation is dependent on the configuration at each carbon associated with the septanoside ring. The observed conformational span is found to be larger than that is possible in the solid-state structural analysis. Chair, twist-chair, boat and even unstable twist-boat conformations were observed in the solution state. Computational approaches using Monte Carlo protocol, AMBER force field and B3LYP/6-311+G* were used to determine conformation of methyl d-septanoside and methyl 5-O-methyl-d-septanoside. The former adopted 3,4TC5,6, whereas later a 6,0TC4,5 conformation. The conformational analysis of septanoside-containing trisaccharide showed a twist-chair conformation, O,1TC5,6. Molecular mechanics calculation was used in order to identify the possible conformation of deoxy-nitro septanoside and it was observed that conformation was solely depended on the configuration of each carbon atoms of the septanoside ring.
The conformation of septanoside sugars vary greatly, in combination with factors, such as, the nature of protecting groups, orientation of the substituent, configuration at each carbon atoms and more, and as a result the conformations are not easily predictable. The studies are emerging and one can anticipate enormous opportunity to predict and determine the conformations of these un-natural sugars.
References
[1] J. F. Stoddart. Stereochemistry of Carbohydrates, John Wiley and Sons, New York (1971).Search in Google Scholar
[2] P. Dione, M. St-Jacques. Can. J. Chem. 67, 11 (1989).Search in Google Scholar
[3] S. Désilets, M. St-Jacques. J. Am. Chem. Soc. 109, 1641 (1987).Search in Google Scholar
[4] A. Entrena, J. M. Campos, M. A. Gallo, A. Espinosa. ARKIVOC6, 88 (2005).10.3998/ark.5550190.0006.608Search in Google Scholar
[5] U. Burkert, N. L. Allinger. Molecular Mechanics; ACS Monograph No. 177, 1982.Search in Google Scholar
[6] E. Ōsawa, H. Musso. Angew. Chem. Int. Ed. 22, 1 (1983).Search in Google Scholar
[7] J. B. Hendrickson. J. Am. Chem. Soc. 83, 4537 (1961).10.1021/ja01483a011Search in Google Scholar
[8] J. B. Hendrickson. J. Am. Chem. Soc. 89, 7036 (1967).10.1021/ja01002a036Search in Google Scholar
[9] D. F. Bocian, H. M. Pickett, T. C. Rounds, H. L. Strauss. J. Am. Chem. Soc. 97, 687 (1975).Search in Google Scholar
[10] D. F. Bocian, H. L. Strauss. J. Am. Chem. Soc. 99, 2876 (1977).Search in Google Scholar
[11] N. L. Allinger. J. Am. Chem. Soc. 99, 8127 (1977).10.1021/ja00467a001Search in Google Scholar
[12] F. Micheel, F. Suckfüll. Ann. Chem. 502, 85 (1933).Search in Google Scholar
[13] F. Micheel, W. Spruck. Ber. B 67, 1665 (1934).10.1002/cber.19340671004Search in Google Scholar
[14] J. D. Stevens. J. Chem. Soc.,Chem. Commun. 1140 (1969).10.1039/c29690001140Search in Google Scholar
[15] J. D. Stevens. Carbohydr. Res.21, 490 (1972).10.1016/S0008-6215(00)84936-8Search in Google Scholar
[16] C. J. Ng, J. D. Stevens. Carbohydr. Res.284, 241 (1996).Search in Google Scholar
[17] M. O. Contour, C. Fayet, J. Gelas. Carbohydr. Res.201, 150 (1990).Search in Google Scholar
[18] A. Tauss, A. J. Steiner, A. E. Stütz, C. A. Tarling, S. G. Withers, T. M. Wrodnigg. Tetrahedron: Asymmetry17, 234 (2006).10.1016/j.tetasy.2005.12.007Search in Google Scholar
[19] G. Sizun, D. Dukhan, J. Griffon, L. Griffe, J. Meillon, F. Leroy, R. Storer, G. Gosselin. Carbohydr. Res.344, 448 (2009).Search in Google Scholar
[20] P. M. Enright, M. Tosin, M. Nieuwenhuyzen, L. Cronin, P. V. Murphy. J. Org. Chem.67, 3733 (2002).Search in Google Scholar
[21] G. Baschang. Ann. Chem. 663, 167 (1963).10.1002/jlac.19636630123Search in Google Scholar
[22] M. E. Butcher, J. C. Ireson, J. B. Lee, M. J. Tyler. Tetrahedron33, 1501 (1977).10.1016/0040-4020(77)88012-5Search in Google Scholar
[23] Z. Wang, S. M. Miller, O. P. Anderson, Y. Shi. J. Org. Chem.64, 6443 (1999).Search in Google Scholar
[24] A. Köver, M. I. Matheu, Y. Díaz, S. Castillón. ARKIVOC.4, 364 (2007).Search in Google Scholar
[25] J. Saha, M. W. Peczuh. Org. Lett.11, 4482 (2009).Search in Google Scholar
[26] R. Vannam, M. W. Peczuh. Org. Lett.15, 4122 (2013).Search in Google Scholar
[27] S. Castro, M. W. Peczuh. J. Org. Chem.70, 3312 (2005).Search in Google Scholar
[28] C. Pavlik, A. Onorato, S. Castro, M. Morton, M. W. Peczuh, M. B. Org. Lett.11, 3722 (2009).Search in Google Scholar
[29] H. Ovaa, M. A. Leeuwenburgh, H. S. Overkleeft, G. A. van der Marel, J. H. van Boom. Tetrahedron Lett.39, 3025 (1998).Search in Google Scholar
[30] M. W. Peczuh, N. L. Snyder. Tetrahedron Lett.44, 4057 (2003).Search in Google Scholar
[31] B. Schmidt, A. Biernat. Chem. Eur. J. 14, 6135 (2008).Search in Google Scholar
[32] B. Schmidt, A. Biernat. Org. Lett.10, 105 (2008).Search in Google Scholar
[33] E. Alcázar, J. M. Pletcher, F. E. McDonald. Org. Lett.6, 3877 (2004).Search in Google Scholar
[34] S. Castro, C. S. Johnson, B. Surana, M. W. Peczuh. Tetrahedron65, 7921 (2009).10.1016/j.tet.2009.07.041Search in Google Scholar
[35] J. O. Hoberg. J. Org. Chem.62, 6615 (1997).10.1021/jo970649vSearch in Google Scholar
[36] R. J. Hewitt, J. E. Harvey. J. Org. Chem.75, 955 (2010).Search in Google Scholar
[37] N. V. Ganesh, N. Jayaraman. J. Org. Chem.72, 5000 (2007).Search in Google Scholar
[38] N. V. Ganesh, N. Jayaraman. J. Org. Chem.74, 739 (2009).Search in Google Scholar
[39] S. Dey, N. Jayaraman. Carbohydr. Res.389, 66 (2014).Search in Google Scholar
[40] N. V. Ganesh, S. Raghothama, R. Sonti, N. Jayaraman. J. Org. Chem.75, 215 (2010).Search in Google Scholar
[41] S. Dey, N. Jayaraman. Carbohydr. Res. (2014), DOI: 10.1016/j.carres.2014.05.013.10.1016/j.carres.2014.05.013Search in Google Scholar PubMed
[42] S. Dey, N. Jayaraman. Beilstein J. Org. Chem.8, 522 (2012).Search in Google Scholar
[43] P. Luger, J. Buschmann, C. Altenhein. Acta Crystallogr. C47, 102 (1991).10.1107/S0108270190000488Search in Google Scholar
[44] J. Jackobs, M. Sundaralingam. J. Chem. Soc., Chem. Commun. 157 (1970).Search in Google Scholar
[45] J. Jackobs, M. A. Reno, M. Sundaralingam. Carbohydr. Res.28, 75 (1973).Search in Google Scholar
[46] M. Sundaralingam. Biopolymer. 28, 75 (1973).10.1097/00006254-197302000-00027Search in Google Scholar PubMed
[47] H. M. Berman, S. S. C. Chu, G. A. Jeffrey, Science.157, 1576 (1967).Search in Google Scholar
[48] E. T. Pallister, N. C. Stephenson, J. D. Stevens. J. Chem. Soc., Chem. Commun. 98 (1972).10.1039/C39720000098Search in Google Scholar
[49] R. A. Wood, V. J. James, A. D. Rae, J. D. Stevens, F. H. Moore. Aust. J. Chem. 36, 2269 (1983).Search in Google Scholar
[50] C. K. Johnson. ORTEP, 1965, Report ORNL-3749, Oak Ridge National Library, Oak Ridge, Tennessee, USA.Search in Google Scholar
[51] J. F. McConnell, J. D. Stevens. J. Chem. Soc., Perkin Trans. 2, 3, 77 (1974).Search in Google Scholar
[52] S. Dey, K. Basuroy, N. Jayaraman. Carbohydr. Res.393, 37 (2014).Search in Google Scholar
[53] D. J. Sutor. Nature195, 68 (1962).10.1038/195068a0Search in Google Scholar
[54] D. J. Sutor. J. Chem. Soc. 1105 (1963).10.1039/JR9630001105Search in Google Scholar
[55] G. R. Desiraju. J. Chem. Soc., Chem. Commun. 179 (1989).10.1039/C39890000179Search in Google Scholar
[56] T. Steiner. J. Chem. Soc., Chem. Commun. 2341 (1994).10.1039/C39940002341Search in Google Scholar
[57] G. R. Desiraju. Acc. Chem. Res.29, 441 (1996).10.1021/ar950135nSearch in Google Scholar
[58] J. P. Beale, N. C. Stephenson, J. D. Stevens. J. Chem. Soc., Chem. Commun. 25 (1971).Search in Google Scholar
[59] S. J. Foster, V. J. James, J. D. Stevens. Acta Crystallogr. C39, 610 (1983).10.1107/S0108270183005648Search in Google Scholar
[60] G. A. Jeffrey, J. A. Pople, J. S. Binkley, S. Vishveshwara. J. Am. Chem. Soc. 100, 373 (1978).Search in Google Scholar
[61] J. P. Beale, N. C. Stephenson, J. D. Stevens. Acta Crystallogr. B28, 3115 (1972).10.1107/S0567740872002742Search in Google Scholar
[62] M. Bhadbhade, D. C. Craig, C. J. Ng, J. D. Stevens. Carbohydr. Res.353, 86 (2012).Search in Google Scholar
[63] C. J. Bailey, D. C. Craig, C. T. Grainger, V. J. James, J. D. Stevens. Carbohydr. Res.284, 265 (1996).Search in Google Scholar
[64] M. W. Peczuh, N. L. Snyder, W. S. Fyvie. Carbohydr. Res.339, 1163 (2004).Search in Google Scholar
[65] V. J. James, J. D. Stevens. Carbohydr. Res.82, 167 (1980).Search in Google Scholar
[66] D. C. Craig, V. J. James, J. D. Stevens. Aust. J. Chem. 43, 2083 (1990).Search in Google Scholar
[67] C. J. Ng, D. C. Craig, J. D. Stevens. Carbohydr. Res.284, 249 (1996).Search in Google Scholar
[68] R. C. Cookson, T. A. Crabb, J. J. Frankel, J. Hudec, Tetrahedron22, 355 (1966).10.1016/S0040-4020(01)99123-9Search in Google Scholar
[69] M. A. Murcko, R. A. Dipaola. J. Am. Chem. Soc. 114, 10010 (1992).Search in Google Scholar
[70] R. U. Lemieux, J. D. Stevens. Can. J. Chem. 43, 2059 (1965).Search in Google Scholar
[71] N. S. Bhacca, D. Horton, H. Paulsen. J. Org. Chem.33, 2484 (1968).Search in Google Scholar
[72] R. H. Shah, O. P. Bahl. Carbohydr. Res.65, 47 (1978).Search in Google Scholar
[73] G. E. Driver, J. D. Stevens. Carbohydr. Res.334, 81 (2001).Search in Google Scholar
[74] V. J. James, J. D. Stevens. Cryst. Struct. Commun. 11, 1933 (1982).Search in Google Scholar
[75] G. E. Driver, J. D. Stevens. Aust. J. Chem. 43, 2063 (1990).Search in Google Scholar
[76] J. D. Stevens. Aust. J. Chem. 28, 525 (1975).10.1071/CH9750525cSearch in Google Scholar
[77] M. P. Dematteo, S. Mei, R. Fenton, M. Morton, D. M. Baldisseri, C. M. Hadad, M. W. Peczuh. Carbohydr. Res.341, 2927 (2006).Search in Google Scholar
[78] M. P. Dematteo, N. L. Snyder, M. Morton, D. M. Baldisseri, C. M. Hadad, M. W. Peczuh. J. Org. Chem.70, 24 (2005).Search in Google Scholar
[79] J. M. Molina, D. P. Olea, H. H. Baer. Carbohydr. Res.273, 1 (1995).Search in Google Scholar
©2014 IUPAC & De Gruyter
Articles in the same Issue
- Frontmatter
- Preface
- 27th International Carbohydrate Symposium (ICS-27)
- Conference papers
- Extended metal-carbohydrate frameworks
- Structural diversity and ligand specificity of lectins. The Bangalore effort
- Ferrier–Nicholas pyranosidic cations: application to diversity-oriented synthesis
- Fucoidans as a platform for new anticoagulant drugs discovery
- Reactions of 1,2-cyclopropyl carbohydrates
- Analysis of the conformations of septanoside sugars
- IUPAC Technical Report
- Variation in the terrestrial isotopic composition and atomic weight of argon (IUPAC Technical Report)
Articles in the same Issue
- Frontmatter
- Preface
- 27th International Carbohydrate Symposium (ICS-27)
- Conference papers
- Extended metal-carbohydrate frameworks
- Structural diversity and ligand specificity of lectins. The Bangalore effort
- Ferrier–Nicholas pyranosidic cations: application to diversity-oriented synthesis
- Fucoidans as a platform for new anticoagulant drugs discovery
- Reactions of 1,2-cyclopropyl carbohydrates
- Analysis of the conformations of septanoside sugars
- IUPAC Technical Report
- Variation in the terrestrial isotopic composition and atomic weight of argon (IUPAC Technical Report)













