Abstract
Addition of a carbene to a glycal is the prominent method for the synthesis of 1,2-cyclopropyl carbohydrates. This incorporation of a cyclopropane into a carbohydrate scaffold enables divergent reactivity, with the two main classes being ring expansion and cleavage to 2-C-branched carbohydrates. A wide variety of products are obtained depending on the functionality attached to the cyclopropane (none or ester or halogens) and the promoter (Lewis acid, Brønsted acid, halophile or base) used in the reaction. This article reviews progress in the synthesis and reactions of 1,2-cyclopropyl carbohydrates since 2000 and discloses efforts by our group in the area.
Introduction
Cyclopropyl carbohydrates marry the high reactivity of cyclopropanes [1–9] with the rich functionality and unambiguous stereochemistry of carbohydrate chiral pool reagents [10–13]. A range of product structures are preparable through ring opening reactions of the cyclopropanes (vide infra). Products derived from reactions of cyclopropyl carbohydrates represent glycosyl mimetics [14–20], with potential as therapeutics [21–23]. Therefore the pursuit of new target structures in this way has gained much recent attention [24–27].
The ready availability of glycals facilitates the synthesis of cyclopropyl carbohydrates derived from these 1,2-unsaturated sugars; additionally, the resulting 1,2-cyclopropyl sugars undergo highly regioselective ring opening due to electronic participation by the endocyclic oxygen.
A great diversity of ring opening modalities is observed with glycal-derived cyclopropanes under different conditions (Scheme 1). For example, cleavage of the fused 1,2-bond can lead to ring expanded products: oxepines from pyranoses and dihydropyrans from furanoses. Alternatively, breakage of the non-shared 1,1′-cyclopropane bond provides 2-C-branched products. Due to stabilization of the cationic (or radical) intermediates through oxonium intermediates, these products dominate greatly over their regioisomers. However, rare cases of cleavage at the 1′,2-bond are known and lead to C-glycosides.

Diverse ring opening reactions of glycal-derived cyclopropanes.
The synthesis and reactions of cyclopropyl carbohydrates were reviewed by Cousins and Hoberg in 2000 [28]. The focus of the present article is on work published subsequently, particularly as it relates to the diversity of products obtainable by ring opening of glycal-derived cyclopropanes.
Synthesis of 1,2-cyclopropyl carbohydrates
The synthesis of 1,2-cyclopropyl carbohydrates is most often achieved by reaction of the corresponding glycal with a carbene under Simmons-Smith conditions (for cyclopropanes with an unsubstituted external methylene group) [29–31], with the Mąkosza two-phase method (for gem-dihalocyclopropanes) [32, 33] or with diazoesters (for ester substituted cyclopropanes) [34] (Scheme 2). Examples of cyclopropane formation by non-carbene methods, including through substitution of a leaving group attached to a carbohydrate scaffold with a carbon nucleophile, are also known [35–37].

Synthesis of 1,2-cyclopropyl carbohydrates by carbene addition to glycals.
The first cyclopropyl carbohydrate synthesized was the dichlorocyclopropane 2 (Scheme 3) [38]. The method involved formation of dichlorocarbene under anhydrous conditions, using ethyl trichloroacetate and sodium methoxide, and its trapping by glucal 1.
![Scheme 3 First reported synthesis of a cyclopropyl carbohydrate [38].](/document/doi/10.1515/pac-2014-0403/asset/graphic/pac-2014-0403_scheme3.jpg)
First reported synthesis of a cyclopropyl carbohydrate [38].
The Simmons-Smith protocol typically delivers the carbene to the same face of the alkene as the nearest oxygen substituent due to complexation to such donor groups. In contrast, the major diastereomer resulting from Mąkosza or diazoester cyclopropanation usually results from carbene addition to the sterically less hindered face of the glycal. Selective access to either diastereomer of the methylene cyclopropanes may be obtained by the Simmons-Smith method or by Mąkosza cyclopropanation followed by reductive removal of the halogens with lithium aluminum hydride (see Scheme 2) [38, 39]. The selective synthesis of both stereoisomeric cyclopropanes from each of d-glucal, d-galactal and l-rhamnal (viz. 5 and 9, 6 and 10, 12 and 14) has been achieved via these pathways (Scheme 4) [40].
![Scheme 4 Synthesis of stereoisomeric cyclopropanes by Simmons-Smith and Mąkosza-reduction methods [40].](/document/doi/10.1515/pac-2014-0403/asset/graphic/pac-2014-0403_scheme4.jpg)
Synthesis of stereoisomeric cyclopropanes by Simmons-Smith and Mąkosza-reduction methods [40].
In preparation for our research in this area, we synthesized the gem-dibromocyclopropanes from d-glucal, d-galactal and d-xylal, 16–18, and the d-glucal-derived gem-dichlorocyclopropane 7 that had been previously reported [40]. In addition, we isolated the previously unknown minor diastereomers 19, 20 and 21 from these reactions (Scheme 5) [41]. In the d-galactal case, 4, only one cyclopropane isomer, 17, was formed. Presumably, the β-face of 4 is sufficiently crowded to prevent carbene attack from that side (Fig. 1). In contrast, the d-glucal 3 and d-xylal 15 have substituents shielding both faces to some extent, so a mixture is seen.
![Scheme 5 Synthesis of stereoisomeric dichloro- and dibromocyclopropanes by Mąkosza reaction [41].](/document/doi/10.1515/pac-2014-0403/asset/graphic/pac-2014-0403_scheme5.jpg)
Synthesis of stereoisomeric dichloro- and dibromocyclopropanes by Mąkosza reaction [41].

Carbene approach to benzylated d-glucal 3, d-galactal 4, and d-xylal 15.
The synthesis of cyclopropanes has been thoroughly reviewed [1–9, 28] so no further analysis will be attempted here. Instead, the synthesis of cyclopropyl substrates will be mentioned in the subsequent sections where pertinent to the discussion of their reactions.
Ring expansion of glycal-derived cyclopropanes
The ring expansion of cyclopropane-fused ring systems involves cleavage of the internal, shared bond. For glycal-derived cyclopropanes, the adjacent endocyclic oxygen provides stabilization of the cation intermediate, which results in attack of a nucleophile predominately at the anomeric center.
Ring expansion of unfunctionalized 1,2-cyclopropyl carbohydrates
Hoberg has extensively demonstrated the ring expansion of Simmons-Smith cyclopropanes that possess a leaving group at the neighboring carbon [42–44]. A great variety of nucleophiles (Nu) are able to quench the resulting glycosyl cation, including triethylsilane (Nu = H), allyltrimethylsilane (Nu = allyl), trimethylsilyl azide (Nu = N3), trimethylthiophenylsilane (Nu = SPh), trimethylsilyl allyloxide (Nu = OAllyl), trimethylpropargylsilane (Nu = propargyl) and silyl enol acetals (Nu = –CR2 CO2 R′), and provide diverse oxepine products substituted at C1 with H, C, N, S or O. For instance, the cyclopropane 23, with an acetate leaving group, was generated from the d-galactal 22 and reacted with a silyl enol acetal to afford oxepine 24 in high yield and stereoselectivity (Scheme 6) [42]. This process represents a cyclopropyl homolog of the Ferrier reaction [45–48]. Extension of this chemistry to hydroxyls activated by a silyl Lewis acid has also been demonstrated [49].
![Scheme 6 Ring expansion of Simmons-Smith cyclopropyl carbohydrate 23 [42].](/document/doi/10.1515/pac-2014-0403/asset/graphic/pac-2014-0403_scheme6.jpg)
Ring expansion of Simmons-Smith cyclopropyl carbohydrate 23 [42].
In a related vein, Sridhar has used cyclopropyl ketones to produce disaccharides and trisaccharides containing septanoside residues [50]. For example, cyclopropyl ketone 25 reacted with protected methyl glucoside 26 to afford coupled 27 in high yield (Scheme 7). Here, the reaction proceeds through cleavage of the shared cyclopropane bond and stabilization of the resulting negative charge by enolate formation at the adjacent ketone. Reduction and Mitsunobu inversion of 27 then provided a disaccharide glycosyl acceptor 28 that, upon reaction with cyclopropane 25, gave the trisaccharide 29. An alternative iterative procedure, whereby cyclopropyl ketone 30 reacted with the enone 31, gave an unsaturated disaccharide 32. This could be cyclopropanated (by a sequence involving Luche reduction, alcohol-directed Simmons-Smith cyclopropanation, and oxidation) to produce 33, which was subjected to further coupling with 31 to form trisaccharide 34. Continuation of this process would enable the preparation of oligoseptanosides.
![Scheme 7 Synthesis of di- and trisaccharides by iterative ring opening of cyclopropyl ketones [50].](/document/doi/10.1515/pac-2014-0403/asset/graphic/pac-2014-0403_scheme7.jpg)
Synthesis of di- and trisaccharides by iterative ring opening of cyclopropyl ketones [50].
Intriguingly, treatment of cyclopropyl ketones with sulfur nucleophiles also allowed preparation of oxepine-containing disaccharides, albeit not in a single step [51]. For example, ring opening of cyclopropane 25 produced acyclic dithioacetal 35, presumably via the thiophenol-substituted oxepine. Treatment of the dithioacetal 35 with N-iodosuccinimide and silver triflate in the presence of sugar alcohols afforded disaccharides such as 36 (Scheme 8).
![Scheme 8 Two-step synthesis of disaccharides from cyclopropyl ketones [51].](/document/doi/10.1515/pac-2014-0403/asset/graphic/pac-2014-0403_scheme8.jpg)
Two-step synthesis of disaccharides from cyclopropyl ketones [51].
Ring expansion of carbonyl-substituted 1,2-cyclopropyl carbohydrates
The electronics of cyclopropanes substituted with an electron-withdrawing group (most commonly esters) favor cleavage of the bonds adjacent to the carbonyl-bearing cyclopropyl carbon. Therefore, cases of cyclopropane ring expansion for such substrates are rare. Nonetheless, Yu and Pagenkopf reported the ring expansion of the donor-acceptor cyclopropane 37 that contains an acetate leaving group (Scheme 9) [52]. In this reaction, the leaving group at the 3-position provides an electron sink in formation of the oxepine 38. Related processes have also been invoked as side reactions in other cases [53].
![Scheme 9 Ring expansion of ester-substituted cyclopropyl carbohydrate 37 [52].](/document/doi/10.1515/pac-2014-0403/asset/graphic/pac-2014-0403_scheme9.jpg)
Ring expansion of ester-substituted cyclopropyl carbohydrate 37 [52].
Ring expansion of gem-dihalogenated 1,2-cyclopropyl carbohydrates
Nagarajan and co-workers reported in 1997 that treatment of the gem-dibromocyclopropanes 16 and 17 with potassium carbonate in refluxing methanol provided the corresponding oxepines [40]. However, we later showed that these structures were incorrectly assigned and that the products were branched pyranosides (vide infra, see Scheme 29) [54]. In fact, the ring expansion of these 1,2-cyclopropyl carbohydrates is difficult to achieve because it is very sluggish at ambient temperatures. Nagarajan reported that attempted ring expansion using silver salts and other Lewis acids was unsuccessful: when the reaction was carried out in acetic acid at room temperature, no reaction occurred, whereas at reflux the starting material degraded [40]. With the benefit of hindsight (and the knowledge that the basic conditions did not afford the ring expanded products), we carefully re-examined the reaction of 16. We observed the same outcomes as Nagarajan at reflux and room temperature. However, use of silver acetate in acetic acid at an intermediate temperature (100 °C) allowed sufficient reactivity whilst avoiding significant degradation, and in this way the acetate 39 was obtained in a 52 % yield and a 3.5:1 ratio of α- and β-anomers [54] (Scheme 10). These solvolytic reaction conditions were modified to ultimately replace the acetic acid with sodium acetate as the nucleophilic source (in addition to the silver counterion) and toluene as the solvent (Scheme 10). Similar reactions with the d-galactal- and d-xylal-derived cyclopropanes 17 and 18 afforded the acetates 40 (as a single diastereomer) and 41 (as a 1:1 mixture of anomers) [41]. Taken together, these results indicate that nucleophile attack is affected by steric factors operating in the intermediate cation (see Scheme 11 below). In the galactal system, the top face is significantly more crowded than the bottom face and exclusive formation of the α-anomer is observed. In comparison, nucleophilic approach to the d-glucal and d-xylal intermediates would encounter competing steric effects due to the groups on both faces of the sugar ring, and hence mixtures of product isomers are formed. It is possible that electronic factors, such as the anomeric effect, may also play a role in the selectivity.
![Scheme 10 Silver-promoted ring expansion of glycal-derived gem-dihalocyclopropane 16–18 with acetate [54].](/document/doi/10.1515/pac-2014-0403/asset/graphic/pac-2014-0403_scheme10.jpg)
Silver-promoted ring expansion of glycal-derived gem-dihalocyclopropane 16–18 with acetate [54].

Mechanism of ring expansion of gem-dibromocyclopropane 16 and formation of acetate 39.
The mechanism of the ring expansion of gem-dibromocyclopropane 16 involves abstraction of a bromide and concomitant ring expansion, resulting in an oxonium-stabilized allylic cation 36 that is attacked by the acetate nucleophile to afford the oxepine isomers 33 (Scheme 11).
Moving on to reactions with alcohols as nucleophiles, we found the use of methanol to be unsatisfactory because its low boiling point limits the temperature at which the reaction can be performed. Nonetheless, a lengthy reaction of cyclopropane 16 with silver acetate in methanol maintained at reflux for 5 days afforded a small quantity (15 % yield) of the desired oxepine 43 as a 2.8:1 mixture of α- and β-anomers, accompanied by recovered starting material (61 %) (Scheme 12) [54].
![Scheme 12 Silver-promoted ring expansion of glycal-derived gem-dihalocyclopropane 16 with methanol [54].](/document/doi/10.1515/pac-2014-0403/asset/graphic/pac-2014-0403_scheme12.jpg)
Silver-promoted ring expansion of glycal-derived gem-dihalocyclopropane 16 with methanol [54].
This chemistry was extended to a range of nucleophiles, including allyl alcohol, benzyl alcohol and phenol to afford oxepines 44–47 in moderate yields (Scheme 13) [41]. However, non-alcohol nucleophiles were less satisfactory, in that the reaction with benzylamine provided none of the anticipated aminooxepine, but instead a small quantity of the benzyloxy product 46, which may result from loss of a benzyl protecting group from some of the substrate under the reaction conditions. Furthermore, an attempted C-glycosidation with the anion derived from Meldrum’s acid in the presence of silver acetate was unsuccessful, producing only small quantities of acetate 39 and bridged bicyclic acetal 48 [41]. The O-substituted oxepines showed a tendency to undergo ring contraction upon prolonged heating. For instance, performing the ring expansion of 16 with silver nitrate in allyl alcohol at reflux for 3 days afforded none of the oxepine 44; instead the C-furanosides 49 and 50 were obtained (Scheme 14) [55]. Similar results were obtained by heating cyclopropane 16 in allyl alcohol in the absence of silver salt. It was demonstrated that the C-furanosides form via the oxepine 44 rather than through an alternative process from 16 [55]. Interestingly, no corresponding ring contraction occurred with oxyglycals (vide infra) [56].
Jayaraman’s group recently demonstrated that the oxyglycal-derived cyclopropanes cleanly produce ring expanded products upon treatment with silver acetate (Scheme 15) [56]. In the presence of alcohols, the corresponding glycosides 52–58 were obtained from d-glucal-derived 51, while addition of sodium acetate afforded the acetate 59. Cyclopropanes formed from 2-oxyglycals also undergo very effective ring expansion in the presence of an alcohol and base to afford highly oxygenated oxepines [57–59]. Jayaraman and co-workers have demonstrated the efficient synthesis of alkyl [57], aryl septanosides [58], disaccharides [58, 59] and trisaccharides [59] in this way. For example, the lactose-derived 2-oxyglucal disaccharide 60 reacted with chloroform under Mąkosza conditions to afford gem-dichlorocyclopropane 61 (Scheme 16). Base-promoted ring expansion in the presence of 5-hydroxypentofuranoside 62 generated the trisaccharide 63. A similar reaction with the 6-hydroxyhexopyranoside 64 provided the trisaccharide 65. It should be noted that the 2-oxyglycal-derived cyclopropanes cleanly undergo ring expansion, even under the basic conditions that form exclusively 2-C-branched products in the glycal series!
![Scheme 13 Ring expansion of glucal-derived gem-dihalocyclopropane 16 [41].](/document/doi/10.1515/pac-2014-0403/asset/graphic/pac-2014-0403_scheme13.jpg)
Ring expansion of glucal-derived gem-dihalocyclopropane 16 [41].
![Scheme 14 Production of C-furanosides 49 and 50 by ring contraction of oxepine 44 [55].](/document/doi/10.1515/pac-2014-0403/asset/graphic/pac-2014-0403_scheme14.jpg)
Production of C-furanosides 49 and 50 by ring contraction of oxepine 44 [55].
![Scheme 15 Ring expansion of 2-oxyglycal-derived gem-dihalocyclopropanes in the presence of silver(I) [56].](/document/doi/10.1515/pac-2014-0403/asset/graphic/pac-2014-0403_scheme15.jpg)
Ring expansion of 2-oxyglycal-derived gem-dihalocyclopropanes in the presence of silver(I) [56].
![Scheme 16 Ring expansion of 2-oxyglycal-derived gem-dihalocyclopropanes to afford trisaccaharides [59].](/document/doi/10.1515/pac-2014-0403/asset/graphic/pac-2014-0403_scheme16.jpg)
Ring expansion of 2-oxyglycal-derived gem-dihalocyclopropanes to afford trisaccaharides [59].
As can be seen in the examples above, gem-dibromo- and gem-dichlorocyclopropanes have both been variously used in ring expansion reactions. Ring expansions of the chloro compounds are expected to be slower than those of the corresponding bromides because loss of a halide is likely to be involved in the rate-limiting step (loss of halide is known to be concerted with cyclopropane ring cleavage, such that no discrete cyclopropyl cationic intermediate forms) [60–62]. To our knowledge, there have been no systematic studies of the relative rates of 1,2-(gem-dibromo- and -dichlorocyclopropyl) carbohydrates in ring expansion. Nonetheless, results from Jayaraman’s group provide evidence that the chlorides react significantly more slowly than the bromides: for example, the 2-oxy-d-glucal-derived gem-dibromocyclopropane 66 underwent ring expansion in the presence of sodium methoxide to provide the oxepine 67 in 94 % yield after 8 h at toluene reflux [57], whereas reaction of the dichlorocyclopropane 61 under the same conditions took 4–5 days to deliver 68 (Scheme 17) [59].
![Scheme 17 Rate differences in the ring expansion of dichloro- and dibromocyclopropanes [57, 59].](/document/doi/10.1515/pac-2014-0403/asset/graphic/pac-2014-0403_scheme17.jpg)
Rate differences in the ring expansion of dichloro- and dibromocyclopropanes [57, 59].
Ring opening of glycal-derived cyclopropanes to branched products
Carbon-branched carbohydrates are considered to be possible therapeutic agents [21–23] because they mimic natural cell-surface glycans. The ring opening of cyclopropyl carbohydrates by cleavage of a non-shared cyclopropane bond produces 2-C-branched products without ring expansion, and is one of the major strategies for synthesis of these useful compounds [24].
Non-expansive ring opening of unfunctionalized 1,2-cyclopropyl carbohydrates
Typically, ring opening of unfunctionalized glycal-derived cyclopropanes has been achieved with an electrophile to induce cyclopropane opening and provide 2-C-branched products. Several formulations of this process are exemplified in Scheme 18, where Simmons-Smith cyclopropane 5 is shown to react with a Lewis acidic metal [Hg(II) or Zeise’s Pt(II) dimer] in the presence of a nucleophile to afford 2-C-branched pyranosides 69 or 70 after demetalation [63, 64]. Heathcock further reported that the 2-C-branched hemiacetal 69 could be converted (Ms2 O, NEt3) into benzyl-protected 2-methyl-d-glucal [63]. Madsen demonstrated that the reaction catalyzed by Zeise’s dimer was general to cyclopropanes derived from different sugars and various nucleophiles, such that disaccharides (e.g. 72) were obtained from reaction with a hydroxyl monosaccharide (e.g. 71) [64].
![Scheme 18 Cyclopropane opening to 2-C-branched pyranosides using metal catalysts/promoters [63, 64].](/document/doi/10.1515/pac-2014-0403/asset/graphic/pac-2014-0403_scheme18.jpg)
Cyclopropane opening to 2-C-branched pyranosides using metal catalysts/promoters [63, 64].
An alternative process resulted from use of the highly electrophilic palladium(II) catalyst PdCl2(PhCN)2, producing 2-C-branched Ferrier rearranged products [64]. The 2-methyl-2,3-unsaturated glycoside 73 was prepared from cyclopropane 5 in this way (Scheme 18 above).
Unfunctionalized carbohydrate-fused cyclopropanes undergo a similar ring opening in the presence of electrophilic halogen. Nagarajan studied this process extensively and demonstrated that stereoisomeric cyclopropanes react with N-bromo- or N-iodosuccinimide (NBS or NIS) in various alcohols or water to afford saturated 2-C-branched pyranosides (Scheme 19) [40]. Interestingly, considerable rate differences were observed between ring opening reactions of the cyclopropane 9, prepared by reduction of the dichlorocyclopropane, and Simmons-Smith-derived cyclopropane 5. Thus, for example, the α-cyclopropane 9 reacted in 4 h with 2-chloroethanol and NBS to afford the bromomethyl branched product 74 as a mixture of anomers, whereas the β-cyclopropane 5 reacted under the same conditions much more slowly and afforded only the α-anomer 75 after 12 h. It was suggested that the differences in rates and selectivity could be due to competing SN 2 (stereospecific) and SN 1 (partially selective) processes [40]. It is mechanistically possible that the rates of electrophile-induced ring opening, which is aided by participation of the endocyclic oxygen and forms epimeric oxonium intermediates, are different for the two isomeric cyclopropanes because of conformational differences that alter the degree of orbital overlap between an oxygen lone pair and the adjacent antibonding orbital of the cyclopropane, thus affecting the ability of the oxygen to participate in the process. The slower ring opening of the β-cyclopropane by this SN 1-like process could allow for the intervention of a stereospecific SN 2-type mechanism. The partial selectivity of the SN 1-type process could result from the relative steric crowding of the top and bottom faces of the oxonium intermediate according to the stereochemical interplay of the adjacent bromomethyl group and the other substituents. This scenario is consistent with the results obtained from intramolecular reactions of the 6-hydroxy cyclopropylcarbohydrates 76 and 78, which delivered bridged products 77 and 79, respectively, with very different reaction rates (Scheme 20) [40].
![Scheme 19 Cyclopropane opening to 2-C-branched pyranosides using N-halosuccinimide [40].](/document/doi/10.1515/pac-2014-0403/asset/graphic/pac-2014-0403_scheme19.jpg)
Cyclopropane opening to 2-C-branched pyranosides using N-halosuccinimide [40].
![Scheme 20 Cyclopropane opening to bicyclic 2-C-branched pyranosides using N-halosuccinimide [40].](/document/doi/10.1515/pac-2014-0403/asset/graphic/pac-2014-0403_scheme20.jpg)
Cyclopropane opening to bicyclic 2-C-branched pyranosides using N-halosuccinimide [40].
A related reaction was employed in Danishefsky’s synthesis of epothilone A [65]. Simmons-Smith cyclopropanation of 80 and NIS-induced ring opening of the resulting 81 in the presence of methanol, followed by reductive deiodination, delivered gem-dimethylpyran 82 in high yield (Scheme 21) [65]. In this way, the C3–C9 fragment of epothilone A and analogs was generated in a stereocontrolled manner.
![Scheme 21 Cyclopropane ring opening to gem-dimethyl branched product 82, an intermediate in epothilone A synthesis [65].](/document/doi/10.1515/pac-2014-0403/asset/graphic/pac-2014-0403_scheme21.jpg)
Cyclopropane ring opening to gem-dimethyl branched product 82, an intermediate in epothilone A synthesis [65].
Extension of this chemistry to acetate nucleophiles would provide acetyl glycosides, useful glycosyl donors for glycosidations. Gammon et al. have reported such reactions on benzyl- and acetyl-protected cyclopropyl carbohydrates 9 and 83, to afford 2-C-branched iodomethyl acetyl glycosides 84 and 85, respectively (Scheme 22) [66]. In keeping with the hypothesis described above, the β-cyclopropyl variant of 9 (viz. 5) was unreactive under the same conditions.
![Scheme 22 Cyclopropane ring opening to form 2-C-branched glycosides [66].](/document/doi/10.1515/pac-2014-0403/asset/graphic/pac-2014-0403_scheme22.jpg)
Cyclopropane ring opening to form 2-C-branched glycosides [66].
Very rarely, 1,2-cyclopropylcarbohydrates undergo ring cleavage with unusual regioselectivity, viz. with cleavage of the 1′,2-bond (see Scheme 1). In such cases, a highly reactive moiety must be generated at the C3 position. Balasubramanian and co-workers achieved this type of ring opening by treating the C3-xanthate 86 with AIBN and tributyltin hydride, thus forming the methyl C-glycoside 87 in high yield (Scheme 23) [67].
![Scheme 23 Cyclopropane ring opening of xanthate 86 to C-glycoside 87 [67].](/document/doi/10.1515/pac-2014-0403/asset/graphic/pac-2014-0403_scheme23.jpg)
Cyclopropane ring opening of xanthate 86 to C-glycoside 87 [67].
Non-expansive ring opening of carbonyl-substituted 1,2-cyclopropyl carbohydrates or their derivatives
Carbonyl-substituted glycal-derived cyclopropanes are electronically tuned for ring opening through cleavage of the bond proximal to the electron-withdrawing group and the electron-donating endocyclic oxygen. The synthesis and reactions of such donor-acceptor cyclopropanes have been reviewed [52, 68–70].
In the first systematic investigation of glycal-derived carboxylcyclopropanes, Fraser-Reid and co-workers demonstrated that several parent glycals (d-glucal, d-galactal and l-rhamnal) with varied protecting groups were amenable to high-yielding cyclopropanation with ethyl diazoacetate and copper(0) powder [53]. In the case of d-galactal-derived 88, cyclopropane 89 was obtained in high yields as a mixture of isomers at the ester linkage. Following reduction of the ester, treatment of the corresponding alcohol under Mitsunobu reaction conditions caused a homoallylic rearrangement to the 2-vinyl-substituted glycoside 90 (Scheme 24).
![Scheme 24 Cyclopropane opening by Mitsunobu-type homoallylic rearrangement [53].](/document/doi/10.1515/pac-2014-0403/asset/graphic/pac-2014-0403_scheme24.jpg)
Cyclopropane opening by Mitsunobu-type homoallylic rearrangement [53].
This homoallylic rearrangement has been extended and made more general by the introduction of an acetate leaving group onto the cyclopropane ring [71]. Thus, for example, the ester 91 was reduced and acetylated to afford 92 (Scheme 25). This was amenable to cyclopropyl ring cleavage under the influence of Lewis acid aluminum triflate (or boron trifluoride) in the presence of oxygen, sulfur or nitrogen nucleophiles to afford the 2-vinyl-substituted glycosides 93–96. The more highly substituted hexenyl compound 98 could be generated from the acetate 97 through a stereoselective homoallylic rearrangement [71].
![Scheme 25 Cyclopropane opening by acetate displacement and homoallylic rearrangement [71].](/document/doi/10.1515/pac-2014-0403/asset/graphic/pac-2014-0403_scheme25.jpg)
Cyclopropane opening by acetate displacement and homoallylic rearrangement [71].
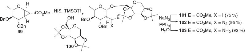
More typically, the donor-acceptor cyclopropanes themselves are subjected to the ring-opening process, without the reduction step. The reaction of ester-substituted cyclopropanes with halonium electrophiles leads to 2-C-ester-branched glycosides. Chandrasekaran and Sridhar have thus prepared α-iodoester-branched glycosides [72–74]. The iodide on the branch provides a synthetic handle for further functionalization, such as conversion into glycosyl amino acids. For example, donor-acceptor cyclopropane 99 reacted with NIS and alcohol 100 to produce α-iodoester 101. Substitution of the iodide with azide afforded 102 and Staudinger reduction gave the amino ester 103 (Scheme 26) [72–74].
![Scheme 26 Cyclopropane opening of ester-substituted cyclopropane 99 [74].](/document/doi/10.1515/pac-2014-0403/asset/graphic/pac-2014-0403_scheme26.jpg)
Cyclopropane opening of ester-substituted cyclopropane 99 [74].
The preparation of 2-C-branched pyranosides by in situ formation and ring opening of formyl- and acetyl-substituted cyclopropanes has been demonstrated by Zou et al. with numerous nucleophiles (Scheme 27) [75]. The cyclopropanes 107 and 108 were generated in situ through SN 2 displacement of the mesylate or tosylate leaving group at C2 by an enolate derived from the aldehyde or ketone C-glycosides 104–106. The branched products of the cyclopropyl ring opening, 109–119, contain aldehyde or ketone functionalities that may be convenient for future transformations, and various aglycons (O-, S- or N-). Formally, the reaction represents a 1,2-migration of the aldehyde or ketone chain.
![Scheme 27 Cyclopropane opening of carbonyl-substituted cyclopropanes [75].](/document/doi/10.1515/pac-2014-0403/asset/graphic/pac-2014-0403_scheme27.jpg)
Cyclopropane opening of carbonyl-substituted cyclopropanes [75].
Pagenkopf and Yu have shown that the lactone cyclopropane 120, prepared by intramolecular delivery of a diazoester-derived carbene onto the glycal, undergoes ring opening (Scheme 28) [76]. Trapping of the zwitterionic intermediate by the internal hydroxyl group at C6 gave 121, while addition of various nitriles provided tetracyclic dihydropyrroles 122–126 through [3+2] cycloadditions.
![Scheme 28 Cyclopropane opening of lactone-substituted cyclopropane 120 and trapping with a hydroxyl nucleophile or nitrile dipolarophile [76].](/document/doi/10.1515/pac-2014-0403/asset/graphic/pac-2014-0403_scheme28.jpg)
Cyclopropane opening of lactone-substituted cyclopropane 120 and trapping with a hydroxyl nucleophile or nitrile dipolarophile [76].
Non-expansive ring opening of gem-dihalogenated 1,2-cyclopropyl carbohydrates
Ring opening of gem-dibromocyclopropane 16 with potassium carbonate in refluxing methanol was shown by us not to give the oxepines previously reported [40], but instead the 2-exobromomethylene anomers α-127 and β-127 [54] (Scheme 29). The structural revision was not a trivial matter. The small coupling constant and downfield chemical shift (δ ca. 6.8, J = 0–1.7 Hz) for the alkene proton were cause for suspicion, but not enough to disprove the assigned structure. Indeed, the 2D NMR spectra (COSY, HSQC, HMBC) were generally consistent with the oxepine structure. However, an NOE correlation between the alkene and anomeric protons did not support the oxepine structure [54]. Indeed, preparation of the oxepine 43 (with distinct spectroscopic data) from cyclopropane 16 by use of silver salts (see Scheme 12) allowed us to definitively determine that the base-induced product was not the oxepine 43. The nature of this product was ultimately revealed by bromine-for-lithium exchange and quenching with water, which delivered the unmistakable 2-methylene-substituted compound 128 [77].
![Scheme 29 Ring opening of glucal-derived gem-dibromocyclopropane 16 to 2-C-branched bromomethylene pyranoside 127 and dehalogenation [54].](/document/doi/10.1515/pac-2014-0403/asset/graphic/pac-2014-0403_scheme29.jpg)
Ring opening of glucal-derived gem-dibromocyclopropane 16 to 2-C-branched bromomethylene pyranoside 127 and dehalogenation [54].
This unusual ring opening process operates with a variety of alcohols to afford glycosides 129–131, as well as with thiophenol and diethylamine to produce thioglycoside 132 and aminoglycoside 133, respectively (Scheme 30) [41]. Use of the galactal-derived substrate 17 produced the corresponding methyl glycoside 134 in a good yield. In all cases, only the E-bromoalkene was observed.
![Scheme 30 Ring opening of gem-dibromocyclopropanes 16 and 17 to 2-C-branched bromomethylenes 129–134 [41].](/document/doi/10.1515/pac-2014-0403/asset/graphic/pac-2014-0403_scheme30.jpg)
Ring opening of gem-dibromocyclopropanes 16 and 17 to 2-C-branched bromomethylenes 129–134 [41].
We have found that the isomeric d-glucal-derived cyclopropane 19 reacts in a similar way but significantly more slowly than the major cyclopropane isomer [41]. Thus, reaction of the α-cyclopropane with sodium methoxide and methanol provided a high yield of the methyl glycoside 129 (2.2:1 d.r.) after 75 min refluxing in THF, whereas the β-cyclopropane failed to reach completion after 3 h, at which point some of the product 129 (48 % yield, 2.3:1 d.r.) was obtained, along with recovered starting material (16 % yield) (Scheme 31) [41]. The similarity of the ratios of glycoside products from both cyclopropane isomers indicates that the mechanism does not change but rather that it is significantly less favored for the β-cyclopropane (possibly due to poorer orbital overlap in the favored conformation, vide supra). A competition study was carried out on an (approximately) equimolar mixture of α- and β-cyclopropanes 16 and 19 with sodium allyloxide and allyl alcohol in THF at room temperature [41]. After 4 h, all of the α-cyclopropane but almost none of the β-cyclopropane had been consumed. The reaction was terminated after 60 h, at which point only ca. 20 % of the β-cyclopropane had reacted.
![Scheme 31 Comparison of ring opening of isomeric gem-dibromocyclopropanes 16 and 19 [41].](/document/doi/10.1515/pac-2014-0403/asset/graphic/pac-2014-0403_scheme31.jpg)
Comparison of ring opening of isomeric gem-dibromocyclopropanes 16 and 19 [41].
At present, the mechanism of this ring opening to form exo-bromomethylene pyranosides is not fully elucidated. There are two broad pathways that seem plausible and have some precedent [5, 6, 78–81]. One of these (A) involves an early (and probably rate determining) cyclopropane opening with participation from the endocyclic oxygen to afford the zwitterionic intermediate 135 (Scheme 32). At this point, the route diverges, according to the order of the subsequent steps, which involve addition of the alcohol and elimination of HBr. The second main mechanistic pathway (B) involves an initial, rate determining elimination of the elements of HBr to form a cyclopropene 136, which may occur in a single, concerted step or by deprotonation followed by loss of bromide ion. Ring opening of this strained intermediate would form the zwitterionic intermediate 137, which has a carbene resonance structure (not shown), and addition of the alcohol would produce the branched product 138. Such a mechanism has been proposed previously for the ring opening of a chlorocyclopropene [81]. The difference in reaction rates of the cyclopropane isomers could be consistent with either mechanism, as the conformation of the bicyclic precursor could influence the facility of either the rate-determining ring opening or the cyclopropene formation. The production of only the E-alkene isomer points towards the cyclopropene mechanism, as the stereochemical integrity could certainly be maintained in the ring opening to the zwitterionic intermediate 137, but it is not inconsistent with the other mechanism, as a stereoselective loss of bromide at a late stage is possible. We have undertaken trapping and deuteration experiments, but these have not yet definitively discounted either mechanism [82].

Plausible mechanisms for ring opening reactions of gem-dibromocyclopropane 16 to 2-C-branched bromomethylenes 138.
The corresponding gem-dichlorocyclopropane 7 was found to react in a similar manner to the bromo compound, but much more slowly. Thus, after 14 h at reflux in THF, some starting material remained, and the product 139 was isolated in 77 % yield as a 1.1:1 mixture of α- and β-anomers (Scheme 33) [41].
![Scheme 33 Ring opening of glucal-derived gem-dichlorocyclopropane 7 to 2-C-branched chloromethylene anomers 139 [41].](/document/doi/10.1515/pac-2014-0403/asset/graphic/pac-2014-0403_scheme33.jpg)
Ring opening of glucal-derived gem-dichlorocyclopropane 7 to 2-C-branched chloromethylene anomers 139 [41].
Synthesis and reactions of furanose glycal-derived cyclopropanes
There are relatively few examples of cyclopropanes derived from five-membered ring glycals. This may be partly due to difficulties in synthesis and isolation of these highly reactive bicyclo[3.1.0]hexanes. Nonetheless, several furanose cyclopropanes are known and have been deemed worth addressing in a separate section to highlight this class of compounds and the challenges associated with their preparation.
Synthesis of furanose cyclopropanes
Several early examples of furanose cyclopropanes are shown in Scheme 34. The ester-substituted cyclopropane 141 was prepared from the furanose glycal 140, derived from d-xylal (Scheme 34) [83]. A substitution process has been employed for the preparation of the furanose-based cyclopropane 143 from tosylate 142 [84]. The gem-dichlorocyclopropane 145 was available by addition of dichlorocarbene (generated from ethyl trichloroacetate by the action of sodium methoxide) to the glycal 144 and the chlorides removed reductively with lithium aluminum hydride to give 146 [38].
![Scheme 34 Synthesis of furanose cyclopropanes 141, 143, 145 and 146 [38, 83, 84].](/document/doi/10.1515/pac-2014-0403/asset/graphic/pac-2014-0403_scheme34.jpg)
Synthesis of furanose cyclopropanes 141, 143, 145 and 146 [38, 83, 84].
Ring expansion of furanose cyclopropanes
The strain in the bicyclo[3.1.0]hexane system and the donor properties of the endocyclic oxygen greatly facilitate ring opening of furanose-fused cyclopropanes. Ring expansion is typically seen in systems that develop a positive charge at the exterior carbon, such as with halogenated cyclopropanes.
Gross and co-workers found that Mąkosza conditions were also suitable for synthesis of the gem-dichlorocyclopropane 145 (previously prepared from ethyl trichloroacetate as described above) and that the bromine variant 147 could be made in a similar way, although the gem-dibromocyclopropane 147 was not stable enough to characterize (Scheme 35) [85]. These cyclopropanes underwent ring expansion to afford the dihydropyrans 148 and 149 as mixtures of diastereomers.
![Scheme 35 Synthesis and ring expansion of furanose cyclopropanes 145 and 147 [85].](/document/doi/10.1515/pac-2014-0403/asset/graphic/pac-2014-0403_scheme35.jpg)
Synthesis and ring expansion of furanose cyclopropanes 145 and 147 [85].
We have employed the ring expansion of gem-dichloro- and dibromocyclopropanes prepared from the d-mannose derivative 150 [86] to synthesize dihydropyrans 152 and 154 (Scheme 36) [87, 88]. Chloride 152 was used in the first synthesis of the ring system of the natural product TAN-2483B [87]. Synthesis of dichlorocyclopropane 151 was a facile, clean process, although the reactivity of the system was evident from the variable yields obtained after column chromatography. Improved results were achieved by immediate ring expansion of the crude material in the presence of silver acetate and acetic acid, to provide the dihydropyran acetate 152 as a mixture of anomers in consistently good yields. In contrast, preparation of the dibromocyclopropane 153 was fraught with difficulty, in part due to the even higher reactivity of this strained cyclopropane containing bromide leaving groups. Nonetheless, the bromide 154 was deemed to be more versatile in subsequent derivatizations (vide infra), so preparation of the dibromocyclopropane was exhaustively pursued. Reaction of glycal 150 with bromoform under Mąkosza phase-transfer conditions led to none of the desired cyclopropane, although use of undistilled bromoform, containing 1–3 % ethanol as stabilizer, afforded small quantities of ethyl 2-deoxyhexofuranoside 155 as a mixture of isomers (26 %, 1:1.2 d.r.) [89]. Performing the reaction with distilled bromoform provided complex mixtures of unidentified products [88, 89], as did carbene formation with anhydrous potassium tert-butoxide [88]. Numerous other methods were attempted for the dibromocyclopropanation, to no avail. The method of Galin et al. for cyclopropanation with bromoform and potassium carbonate in the presence of methanol [90] produced the ring-expanded methyl pyranoside when applied in this setting. These conditions were adapted to incorporate an acetate nucleophile and afforded the bromoalkene-containing dihydropyran 154 in reasonable yield after recycling of the recovered starting material [88]. It should be noted that, for both dichloro- and dibromocarbene addition, only a single stereoisomeric cyclopropane was observed, which is accounted for by the high steric loading of the top face.
![Scheme 36 Synthesis and ring expansion of furanose cyclopropanes 151 and 153 [87–89].](/document/doi/10.1515/pac-2014-0403/asset/graphic/pac-2014-0403_scheme36.jpg)
Synthesis and ring expansion of furanose cyclopropanes 151 and 153 [87–89].
Ring opening of furanose cyclopropanes to branched products
Isolated examples exist of branched furanosides formed from furanose cyclopropanes. The use of an electron-withdrawing substituent (usually an ester) generally favors non-expansive cyclopropane ring opening, because the anion derived from heterolytic cleavage of a cyclopropane bond adjacent to the ester is stabilized as the enolate.
Madsen and co-workers found that ester-substituted furanose cyclopropane 141 reacted with benzyl alcohol in the presence of Zeise’s dimer as catalyst, at higher temperature (70 °C) than with the unfunctionalized cyclopropanes, to produce branched furanoside 156 as a mixture of anomers (Scheme 37) [64]. Unfortunately, this process was not entirely general. When the smaller nucleophile methanol was employed, transesterification was observed to a small degree. In a testimony to the lower reactivity of the homologous pyranose cyclopropanes, transesterification was a major problem for the ester-substituted glucal-derived cyclopropane, even with benzyl alcohol.
![Scheme 37 Synthesis of branched furanoside 156 from furanose cyclopropane 141 [64].](/document/doi/10.1515/pac-2014-0403/asset/graphic/pac-2014-0403_scheme37.jpg)
Synthesis of branched furanoside 156 from furanose cyclopropane 141 [64].
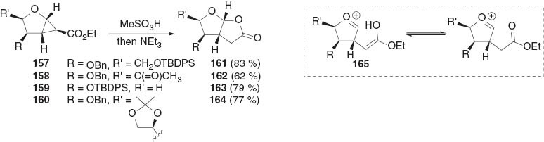
Conversion of a range of ester-substituted furanose cyclopropanes 157–160 into lactones 161–164 was achieved in high yields by Theodorakis and co-workers (Scheme 38) [91]. The reaction presumably proceeds through acid-promoted cyclopropane cleavage via oxonium intermediate 165. In the absence of a better nucleophile, the ester oxygen attacks the oxonium ion to produce, after quenching with base, the furo[2,3-b]furanones 161–164.
![Scheme 38 Synthesis of lactones 161–164 from furanose cyclopropanes 157–160 [91].](/document/doi/10.1515/pac-2014-0403/asset/graphic/pac-2014-0403_scheme38.jpg)
Synthesis of lactones 161–164 from furanose cyclopropanes 157–160 [91].
Further manipulations of products from cyclopropane ring opening
Functionalization of oxepines and preparation of septanosides
Ring expansion of pyranose cyclopropanes reveals seven-membered oxepine rings with high functional density. The presence of an alkene double bond, resulting from the ring expansion process, provides the opportunity for further functionalization. Oxygenation of the olefin leads to septanosides, seven-membered ring sugar analogs, while cross-coupling reactions of haloalkenes produce branched oxepines, amenable to further modifications.
Oxyglycal-derived oxepines 166 have been shown extensively by Jayaraman and co-workers to provide septanosides 167 by a process involving dioxygenation of the haloalkene, reduction of the resulting diketone and hydrogenolysis of the benzyl protecting groups (Scheme 39) [57–59].
![Scheme 39 Synthesis of septanosides 167 from oxepines 166 [57–59].](/document/doi/10.1515/pac-2014-0403/asset/graphic/pac-2014-0403_scheme39.jpg)
Synthesis of septanosides 167 from oxepines 166 [57–59].
A diverse array of heteroatom-functionalized 2-deoxyseptanosides can be prepared from oxepines [92]. For example, dioxygenation of oxepine 168 affords 2-deoxyseptanoside 169, while epoxidation and ring opening with azide provides 2,3-dideoxy-3-azidoseptanoside 170 with potential for transformation into aminosugar analogs (Scheme 40).
![Scheme 40 Synthesis of septanosides 169 and 170 from oxepine 168 [92].](/document/doi/10.1515/pac-2014-0403/asset/graphic/pac-2014-0403_scheme40.jpg)
Synthesis of septanosides 169 and 170 from oxepine 168 [92].
Dehalogenation of the haloalkenes formed by ring expansion of dihalocyclopropanes affords oxepines through halogen-for-lithium exchange and quenching. For instance, glycal-derived bromooxepine 44 reacted with butyllithium to yield oxepine 171 [89] while oxyglycal-derived 67 produced 172 in a similar manner [56] (Scheme 41). This demonstrates an alternative mode of halogen substitution with the capacity for further olefin transformations [56].
![Scheme 41 Dehalogenation of haloalkenes 44 and 67 to form oxepines 171 and 172 [57, 89].](/document/doi/10.1515/pac-2014-0403/asset/graphic/pac-2014-0403_scheme41.jpg)
Dehalogenation of haloalkenes 44 and 67 to form oxepines 171 and 172 [57, 89].
Complex oxepine derivatives can be prepared by cross coupling of the haloalkenes generated by ring expansion of gem-dihalocyclopropylglycals. Thus, both we and Jayaraman have recently demonstrated the potential of such a strategy for divergent formation of multiple carbohydrate mimics [41, 93].
A number of Suzuki, Heck and Sonogashira reactions were carried out with the bromoalkene 67 (Scheme 42) [93]. For example, Suzuki reaction of bromooxepine 67 with phenylboronic acid led to a high yield of phenyl coupled 173, while Sonogashira reaction with phenylacetylene gave the alkyne 174. Heck reaction of 67 with tert-butyl acrylate provided conjugated diene 175, which was hydrogenated and hydrogenolyzed, and the resulting ketone reduced to afford 2-deoxy-2-branched septanoside 176.
![Scheme 42 Derivatization of bromoalkene 67 with Suzuki, Sonogashira and Heck reactions and formation of a 2-deoxyseptanoside 176 [93].](/document/doi/10.1515/pac-2014-0403/asset/graphic/pac-2014-0403_scheme42.jpg)
Derivatization of bromoalkene 67 with Suzuki, Sonogashira and Heck reactions and formation of a 2-deoxyseptanoside 176 [93].
We performed Suzuki cross couplings of tetra-O-benzyloxepine β-46, prepared from the d-glucal-derived gem-dibromocyclopropane 16 (see Scheme 13), with several boronic acids including 4-acetylphenylboronic acid, which gave product 177 (Scheme 43) [41]. Intramolecular Heck reaction of allylated oxepine α-44 afforded the furo[2,3-b]oxepine 178 [41].
![Scheme 43 Derivatization of bromoalkenes β-46 and α-44 with Suzuki and intramolecular Heck reactions [41].](/document/doi/10.1515/pac-2014-0403/asset/graphic/pac-2014-0403_scheme43.jpg)
Derivatization of bromoalkenes β-46 and α-44 with Suzuki and intramolecular Heck reactions [41].
Functionalization of 2-branched sugars
Formation of 2-C-branched pyranosides through the ring opening of 1,2-cyclopropyl carbohydrates provides the potential for further functionalization, due to the synthetic handles usually present on the branch. Branched pyranosides derived from dihalocyclopropanes contain a halide, those from ester-substituted cyclopropanes contain an ester group and those from unfunctionalized cyclopropanes often have a halogen installed by the electrophilic reagent. These functionalities provide the capacity for further transformation.
Such a strategy has already been discussed (see Scheme 26) in the derivatization of iodomethyl-branched pyranosides to glycosyl amino acids through substitution of the iodide by azide and then reduction to the α-aminoester [74].
We have performed cross-coupling reactions of the bromoalkene-branched products obtained by base-promoted ring opening of gem-dihalocyclopropyl carbohydrates [41]. Suzuki reactions of E-bromoalkene β-131 with several arylboronic acids afforded modest yields of the coupled products, while use of potassium 2-thiophenyltrifluoroboronate provided compound 179 in reasonable yield (Scheme 44). Stille reaction of methylated E-bromoalkene α-129 with allyltributylstannane produced skipped diene 180. The allylated E-bromoalkene α-131 reacted in a Sonogashira reaction with trimethylsilylacetylene to give enyne 181.
![Scheme 44 Derivatization of 2-C-branched bromoalkenes with Suzuki, Stille and Sonogashira reactions [41].](/document/doi/10.1515/pac-2014-0403/asset/graphic/pac-2014-0403_scheme44.jpg)
Derivatization of 2-C-branched bromoalkenes with Suzuki, Stille and Sonogashira reactions [41].
Functionalization of dihydropyrans from ring-expansion of furanose cyclopropanes
As mentioned earlier, we have converted the dihydropyran 152 into the core of the fungal natural product TAN-2483B [87]. The acetate 152, prepared by ring expansion of a gem-dichlorocyclopropyl furanose (see Scheme 36) was saponified and the resulting hemiacetal underwent a Wittig reaction with methylene ylide to provide diene 182 (Scheme 45). Epoxidation of the terminal alkene (not stereoselective) and base-promoted attack of the alcohol on the epoxide gave C-glycoside 183. Palladium-catalyzed carbonylative lactonization then afforded the furo[3,4-b]pyran 184, containing the ring system of TAN-2483B with the correct stereochemistry at the ring junction. Unfortunately, poor selectivity in the epoxidation (even with Jacobsen catalyst [88, 89]) and low yields in the final steps do not recommend this route for attaining access to the natural product itself. Through use of the brominated dihydropyran 154 to facilitate the carbonylation and considerable adaptation of the synthetic strategy to install the required two-carbon substituent at the anomeric center, we have very recently achieved the synthesis of 185, containing the full carbon skeleton of TAN-2483B [88].
![Scheme 45 Derivatization of the chloro- and bromo-substituted dihydropyrans 152 and 154 to the ring system of TAN-2483B [87].](/document/doi/10.1515/pac-2014-0403/asset/graphic/pac-2014-0403_scheme45.jpg)
Derivatization of the chloro- and bromo-substituted dihydropyrans 152 and 154 to the ring system of TAN-2483B [87].
Final comments and outlook
As described in the preceding sections, there is a great diversity in the products that can be prepared through the ring opening or expansion of 1,2-cyclopropyl carbohydrates. The examples chosen have demonstrated some of the scope available for generating structural novelty through such chemistry. They have, furthermore, shown that many typical sugar protecting groups, such as ethers, acetals, silyl ethers and esters, are compatible with the conditions required for the synthesis and ring openings of cyclopropanes. In our experience, however, certain protecting groups are not ideally suited to dibromocyclopropanations by the Mąkosza method, such as acetates and PMB-ethers [89].
In recent years, reactions of cyclopropyl carbohydrates have enjoyed a surge in popularity, as indicated in this article, with several groups worldwide showing a sustained interest in such chemistry. The impetus driving such research can include the search for new bioactive materials, exploration of the diverse chemistry associated with cyclopropanes fused to a stereochemically rich scaffold, and obtaining building blocks for total synthesis. In light of these motivations, it is certain that there will continue to be many advances in this area in future years.
Article note
A collection of invited papers based on presentations at the 27th International Carbohydrate Symposium (ICS-27), Bangalore, India, 12–17 January 2014.
Acknowledgments
We thank the co-workers and collaborators named in the appropriate references who also conducted the original scientific research discussed in this overview. We are grateful to the Cancer Society of NZ, who funded part of our research in this area. The helpful suggestions from referees with respect to the manuscript are gratefully acknowledged.
References
[1] M. G. Banwell, N. (Y.) Gao, X. Ma, L. Petit, L. V. White, B. D. Schwartz, A. C. Willis, I. A. Cade. Pure Appl. Chem.94, 1329 (2012).Search in Google Scholar
[2] B. Halton, J. E. Harvey. Synlett 1975 (2006).10.1055/s-2006-948193Search in Google Scholar
[3] M. Fedoryński. Chem. Rev.103, 1099 (2003).10.1021/cr0100087Search in Google Scholar PubMed
[4] M. G. Banwell, M. E. Reum. gem-Dihalocyclopropanes in Chemical Synthesis. In Advances in Strain in Organic Chemistry, B. Halton (Ed.), Vol. 1, pp. 19–64, JAI Press, London (1991).Search in Google Scholar
[5] M. S. Baird. 1-Halo- and 1,2-Dihalocyclopropenes: Useful Synthetic Intermediates. In Advances in Strain in Organic Chemistry, B. Halton (Ed.), Vol. 1, pp. 65–116, JAI Press, London (1991).Search in Google Scholar
[6] R. R. Kostikov, A. P. Molchanov, H. Hopf. Top. Curr. Chem.155, 41 (1990).Search in Google Scholar
[7] Z. Rappoport. Chemistry of the Cyclopropyl Group, Vol. 1, John Wiley and Sons, Inc., New York (1987).Search in Google Scholar
[8] Z. Rappoport. Chemistry of the Cyclopropyl Group, Vol. 2, John Wiley and Sons, Inc., New York (1995).10.1002/0470023481Search in Google Scholar
[9] R. Barlet, Y. Vo-Quang. Bull. Soc. Chim. Fr. 3729 (1969).Search in Google Scholar
[10] B. Fraser-Reid, J. C. Lopez. Curr. Org. Chem.13, 532 (2009).Search in Google Scholar
[11] B. G. Davis, A. J. Fairbanks. Carbohydrate Chemistry, Oxford University Press, Oxford (2002).Search in Google Scholar
[12] S. Hanessian. Acc. Chem. Res.12, 159 (1979).10.1021/ar50137a001Search in Google Scholar
[13] N. Chida, T. Sato. Comprehensive Chirality2, 207 (2012).10.1016/B978-0-08-095167-6.00203-2Search in Google Scholar
[14] D. C. Koester, A. Holkenbrink, D. B. Werz. Synthesis 3217 (2010).10.1055/s-0030-1258228Search in Google Scholar
[15] F. Nicotra, L. Cipolla, B. La Ferla, C. Airoldi, C. Zona, A. Orsato, N. Shaikh, L. Russo. J. Biotech.144, 234 (2009).Search in Google Scholar
[16] B. Ernst, J. L. Magnani. Nat. Rev. Drug Discov.8, 661 (2009).Search in Google Scholar
[17] A. Bernardi, P. Cheshev. Chem. – Eur. J.14, 7434 (2008).Search in Google Scholar
[18] C. R. Bertozzi, L. L. Kiessling. Science291, 2357 (2001).10.1126/science.1059820Search in Google Scholar PubMed
[19] P. Sinay. Pure Appl. Chem.70, 1495 (1998).10.1351/pac199870081495Search in Google Scholar
[20] J.-M. Beau, T. Gallagher. Top. Curr. Chem.187, 1 (1997).Search in Google Scholar
[21] S. D. Haveli, S. Roy, S. Chandrasekaran. Synlett3, 451 (2009).10.1055/s-0028-1087545Search in Google Scholar
[22] M. Meldgaard, J. Wengel. J. Chem. Soc., Perkin Trans.1 3539 (2000).10.1039/b000114gSearch in Google Scholar
[23] D. Sabatino, M. J. Damha. J. Am. Chem. Soc. 129, 8259 (2007).Search in Google Scholar
[24] J. Yin, T. Linker. Org. Biomol. Chem.10, 2351 (2012).Search in Google Scholar
[25] C. A. Carson, M. A. Kerr. Chem. Soc. Rev. 38, 3051 (2009).Search in Google Scholar
[26] P. Tang, Y. Qin. Synthesis44, 2969 (2012).10.1055/s-0032-1317011Search in Google Scholar
[27] H.-U. Reissig, R. Zimmer. Chem. Rev. 103, 1151 (2003).Search in Google Scholar
[28] G. S. Cousins, J. O. Hoberg. Chem. Soc. Rev.29, 165 (2000).Search in Google Scholar
[29] H. E. Simmons, R. D. Smith. J. Am. Chem. Soc. 80, 5323 (1958).Search in Google Scholar
[30] H. E. Simmons, R. D. Smith. J. Am. Chem. Soc. 81, 4256 (1959).Search in Google Scholar
[31] H. Lebel, J.-F. Marcoux, C. Molinaro, A. B. Charette. Chem. Rev.103, 977 (2003).Search in Google Scholar
[32] M. Mąkosza, M. Wawrzyniewicz. Tetrahedron Lett.10, 4659 (1969).Search in Google Scholar
[33] M. Fedoryński, M. Mąkosza. J. Organomet. Chem.51, 89 (1973).Search in Google Scholar
[34] P. D. Michael. Chem. Rev. 66, 919 (1986).Search in Google Scholar
[35] B. Fraser-Reid, N. L. Holder, D. R. Hicks, D. L. Walker. Can. J. Chem.55, 3978 (1977).Search in Google Scholar
[36] S. A. Testero, R. A. Spanevello. Carbohydr. Res.341, 1057 (2006).Search in Google Scholar
[37] C. Laroche, J. B. Behr, J. Szymoniak, P. Bertus, R. Plantier-Royon. Eur. J. Org. Chem. 5084 (2005).10.1002/ejoc.200500406Search in Google Scholar
[38] J. S. Brimacombe, M. E. Evans, E. J. Forbes, A. B. Foster, J. M. Webber. Carbohydr. Res.4, 239 (1967).Search in Google Scholar
[39] A. Corsaro, U. Chiacchio, R. Adamo, V. Pistarà, A. Rescifina, R. Romeo, G. Catelani, F. D’Andrea, M. Mariani, E. Attolino. Tetrahedron60, 3787 (2004).10.1016/j.tet.2004.03.018Search in Google Scholar
[40] C. V. Ramana, R. Murali, M. Nagarajan. J. Org. Chem.62, 7694 (1997).Search in Google Scholar
[41] P. W. Moore, J. K. Schuster, R. J. Hewitt, M. R. L. Stone, P. H. Teesdale-Spittle, J. E. Harvey. Tetrahedron accepted for publication (2014).Search in Google Scholar
[42] R. Batchelor, J. O. Hoberg. Tetrahedron Lett.44, 9043 (2003).Search in Google Scholar
[43] J. O. Hoberg, J. J. Bozell. Tetrahedron Lett.36, 6831 (1995).Search in Google Scholar
[44] J. O. Hoberg, D. J. Claffey. Tetrahedron Lett.37, 2533 (1996).Search in Google Scholar
[45] R. J. Ferrier, W. G. Overend, A. E. Ryan. J. Chem. Soc. C 3667 (1962).10.1039/jr9620003667Search in Google Scholar
[46] R. J. Ferrier, J. O. Hoberg. Adv.Carbohydr. Chem. Biochem. 58, 55 (2003).Search in Google Scholar
[47] R. J. Ferrier, O. A. Zubkov. Org. React.62, 569 (2003).Search in Google Scholar
[48] For a recent review, see A. M. Gómez, F. Lobo, C. Uriel, J. C. López. Eur. J. Org. Chem.32, 7221 (2013).Search in Google Scholar
[49] R. Batchelor, J. E. Harvey, P. Teesdale-Spittle, J. O. Hoberg. Tetrahedron Lett.50, 7283 (2009).Search in Google Scholar
[50] P. R. Sridhar, P. Venukumar. Org. Lett.14, 5558 (2012).Search in Google Scholar
[51] P. Venukumar, C. Sudharani, P. R. Sridhar. Chem. Commun.50, 2218 (2014).Search in Google Scholar
[52] M. Yu, B. L. Pagenkopf. Tetrahedron61, 321 (2005).10.1016/j.tet.2004.10.077Search in Google Scholar
[53] K. J. Henry Jr., B. Fraser-Reid. Tetrahedron Lett.36, 8901 (1995).Search in Google Scholar
[54] R. J. Hewitt, J. E. Harvey. J. Org. Chem.75, 955 (2010).Search in Google Scholar
[55] R. J. Hewitt, J. E. Harvey. Chem. Commun.47, 421 (2011).Search in Google Scholar
[56] S. Dey, N. Jayaraman. Carbohydr. Res.389, 66 (2014).Search in Google Scholar
[57] N. V. Ganesh, N. Jayaraman. J. Org. Chem.72, 5500 (2007).Search in Google Scholar
[58] N. V. Ganesh, N. Jayaraman. J. Org. Chem.74, 739 (2009).Search in Google Scholar
[59] N. V. Ganesh, S. Raghothama, R. Sonti, N. Jayaraman. J. Org. Chem.75, 215 (2010).Search in Google Scholar
[60] R. B. Woodward, R. Hoffmann. J. Am. Chem. Soc.87, 395 (1965).Search in Google Scholar
[61] C. H. DePuy, L. H. Schack, J. W. Hausser, W. Wiedemann. J. Am. Chem. Soc.87, 4006 (1965).Search in Google Scholar
[62] S. J. Cristol, R. M. Sequeira, C. H. DePuy. J. Am. Chem. Soc. 87, 4007 (1965).Search in Google Scholar
[63] R. W. Scott, C. H. Heathcock. Carbohydr. Res.291, 205 (1996).Search in Google Scholar
[64] J. Beyer, P. R. Skaanderup, R. Madsen. J. Am. Chem. Soc.122, 9575 (2000).Search in Google Scholar
[65] D. Meng, P. Bertinato, A. Balog, D.-S. Su, T. Kamenecka, E. J. Sorensen, S. J. Danishefsky. J. Am. Chem. Soc.119, 10073 (1997).Search in Google Scholar
[66] D. W. Gammon, H. H. Kinfe, D. E. De Vos, P. A. Jacobs, B. F. Sels. J. Carbohydr. Chem.26, 141 (2007).Search in Google Scholar
[67] B. Shanmugasundaram, B. Varghese, K. K. Balasubramanian. Carbohydr. Res.337, 1523 (2002).Search in Google Scholar
[68] H. M. L. Davies, J. R. Denton. Chem. Soc. Rev.11, 3061 (2009).Search in Google Scholar
[69] M. A. Cavitt, L. H. Phun, S. France. Chem. Soc. Rev. 43, 804 (2014).Search in Google Scholar
[70] T. F. Schneider, J. Kaschel, D. B. Werz. Angew. Chem. Int. Ed.53, 5504 (2014).Search in Google Scholar
[71] M. Munyololo, D. W. Gammon, I. Mohrholz. Carbohydr. Res.351, 49 (2012).Search in Google Scholar
[72] P. R. Sridhar, K. C. Ashalu, S. Chandrasekaran. Org. Lett.11, 1777 (2004).Search in Google Scholar
[73] S. D. Haveli, S. Roy, V. Gautam, K. C. Parmar, S. Chandrasekaran. Tetrahedron69, 11138 (2013).10.1016/j.tet.2013.11.005Search in Google Scholar
[74] P. R. Sridhar, P. V. Kumar, K. Seshadri, R. Satyavathi. Chem. – Eur. J.15, 7526 (2009).Search in Google Scholar
[75] H. Shao, S. Ekthawatchai, C.-S. Chen, S.-H. Wu, W. Zou. J. Org. Chem.70, 4726 (2005).Search in Google Scholar
[76] M. Yu, B. L. Pagenkopf. J. Am. Chem. Soc.125, 8122 (2003).Search in Google Scholar
[77] C. Booma, K. K. Balasubramanian. J. Chem. Soc., Chem. Commun. 1394 (1993).10.1039/c39930001394Search in Google Scholar
[78] M. S. Baird. Chem. Rev.103, 1271 (2003).10.1021/cr010021rSearch in Google Scholar PubMed
[79] M. G. Banwell, A. T. Phillis, A. C. Willis. Org. Lett.8, 5341 (2006).Search in Google Scholar
[80] M. G. Banwell, R. W. Gable, B. Halton, J. R. Phyland. Aust. J. Chem.47, 1879 (1994).Search in Google Scholar
[81] M. G. Banwell, M. Corbett, J. Gulbis, M. F. Mackay, M. E. Reum. J. Chem. Soc., Perkin Trans.1 945 (1993).10.1039/p19930000945Search in Google Scholar
[82] P. W. Moore. Synthesis of 2-C-Branched Sugars, MSc Thesis, Victoria University of Wellington, Wellington, N.Z. (2012).Search in Google Scholar
[83] C. M. Timmers, M. A. Leeuwenburgh, J. C. Verheijen, G. A. van der Marel, J. H. van Boom. Tetrahedron Asym.7, 49 (1996).Search in Google Scholar
[84] M. Kawana, H. Kuzuhara. Synthesis 544 (1995).10.1055/s-1995-3945Search in Google Scholar
[85] P. Duchaussoy, P. Di Cesare, B. Gross. Synthesis 198 (1979).10.1055/s-1979-28616Search in Google Scholar
[86] C. Kim, R. Hoang, E. A. Theodorakis. Org. Lett.1, 1295 (1999).Search in Google Scholar
[87] R. J. Hewitt, J. E. Harvey. Org. Biomol. Chem.9, 998 (2011).Search in Google Scholar
[88] Results will be disclosed in a future publication.Search in Google Scholar
[89] R. J. Hewitt. Investigations of Ring–Opening Reactions of Cyclopropanated Carbohydrates: Towards the Synthesis of the Natural Product (–)-TAN-2483B, PhD Thesis, Victoria University of Wellington, Wellington, N.Z. (2010).Search in Google Scholar
[90] V. G. Kasradze, I. I. Gilyazetdinova, O. S. Kukovinets, E. V. Salimova, I. V. Naleukhin, R. A. Zainullin, A. N. Lobov, L. V. Spirikhin, F. Z. Galin. Russian J. Org. Chem.43, 834 (2007).Search in Google Scholar
[91] C. Kim, T. Brady, S. H. Kim, E. A. Theodorakis. Synth. Commun.34, 1951 (2004).Search in Google Scholar
[92] R. Batchelor, J. E. Harvey, P. T. Northcote, P. Teesdale-Spittle, J. O. Hoberg. J. Org. Chem.74, 7627 (2009).Search in Google Scholar
[93] S. Dey, N. Jayaraman. Beilstein J. Org. Chem.8, 522 (2012).Search in Google Scholar
©2014 IUPAC & De Gruyter
Articles in the same Issue
- Frontmatter
- Preface
- 27th International Carbohydrate Symposium (ICS-27)
- Conference papers
- Extended metal-carbohydrate frameworks
- Structural diversity and ligand specificity of lectins. The Bangalore effort
- Ferrier–Nicholas pyranosidic cations: application to diversity-oriented synthesis
- Fucoidans as a platform for new anticoagulant drugs discovery
- Reactions of 1,2-cyclopropyl carbohydrates
- Analysis of the conformations of septanoside sugars
- IUPAC Technical Report
- Variation in the terrestrial isotopic composition and atomic weight of argon (IUPAC Technical Report)
Articles in the same Issue
- Frontmatter
- Preface
- 27th International Carbohydrate Symposium (ICS-27)
- Conference papers
- Extended metal-carbohydrate frameworks
- Structural diversity and ligand specificity of lectins. The Bangalore effort
- Ferrier–Nicholas pyranosidic cations: application to diversity-oriented synthesis
- Fucoidans as a platform for new anticoagulant drugs discovery
- Reactions of 1,2-cyclopropyl carbohydrates
- Analysis of the conformations of septanoside sugars
- IUPAC Technical Report
- Variation in the terrestrial isotopic composition and atomic weight of argon (IUPAC Technical Report)