Abstract
Pyranosidic allylic (Ferrier) cations that share dicobalt hexacarbonyl propargyl (Nicholas) stabilization at C-1, can be easily generated by treatment of hexacarbonyldicobalt alkynyl glycals with BF3·OEt2, and display a remarkable reactivity leading to a variety of products. The substituent at O-6 in these glycals plays a pivotal role in directing the outcome of the transformations. Accordingly, 6-O-benzyl or 6-O-allyl groups cause a series of transformations resulting in the stereoselective formation of oxepanes through a process that involves an initial hydride transfer step from the allyl or benzyl substituent to the Ferrier–Nicholas cation. On the contrary, 6-OH derivatives undergo an overall ring contraction to branched tetrahydrofuran derivatives. 6-O-Silyl derivatives, in the presence of heteroaryl nucleophiles, were transformed into C-3 branched bis-C-C-glycosides, containing two of such molecules.
Introduction
In contrast to target-oriented synthesis (TOS) aimed at synthesizing discrete target molecules by way of retrosynthetic analysis [1], Schreiber introduced diversity-oriented synthesis (DOS) [2] aimed at accessing a collection of many compounds having structural diversity and complexity in order to populate chemical space broadly, and in search for new lead compounds [3]. A successful DOS algorithm must address four types of diversity: substitutional (appendage), functional group, stereochemical, and skeletal diversity [4]. In this context, carbohydrates because of their conformational rigidity and the stereo-defined display of their hydroxyl groups were early recognized as valuable substrates for the attainment of substitutional (appendage), stereochemical, and functional group diversity [5, 6]. Thus, after some seminal contributions by Smith, Nicolaou, Hirschmann and co-workers on d-glucose based peptidomimetics of somatostatin [7–9], reports appeared that focused on the use of pyranose cores for the incorporation of different functional groups. Sofia and co-workers reported the preparation of pyranose templates with three sites of diversification aiming to provide the minimal requirements needed for pharmacophoric molecular recognition [10]. In their design, they incorporated a carboxylic acid moiety, a free hydroxyl group, and a protected amino group (Fig. 1) [11].

Sofia’s carbohydrate-based small-molecule scaffolds for a pharmacophore mapping library.
Kunz and co-workers, on the other hand, developed some pyranose templates with orthogonal protecting groups that allowed selective deprotection at all-four positions of the carbohydrate regardless of the synthetic sequence [12, 13]; they also managed to prepare pyranosidic cores with five points of diversity with application in solid phase synthesis [14, 15] (Fig. 2).

Kunz’s orthogonally protected carbohydrate scaffolds for combinatorial chemistry.
In these strategies, the substitutional diversity had been achieved by modification of the carbohydrate hydroxy-groups. On the other hand, our research group focused in an approach to appendage diversity consisting on “decorating” the carbohydrate moiety with additional functionalities that could be exploited in synthetic transfomations aimed at the formation of C–C, C–N, and C–O bonds [16, 17]. In this context, we designed a furanose epoxy exo-glycal endowed with an exocyclic (enol-ether type) olefin and an oxirane moiety, i.e., 1 (Scheme 1). Such derivative was engaged in diverse types of reactions including electrophilic addition to the double bond, nucleophilic opening of the oxirane, and Pd-mediated reactions of the vinyl oxirane moiety. The additional presence of a halogen in the olefin, i.e., 2, permitted us to engage these derivatives in Sonogashira [18, 19], Stille [20], and Suzuki cross-coupling reactions [21] leading to a variety of furanose-based templates [22].

Gomez, Lopez, and co-workers approach to appendage diversity in furanoses from epoxy exo-glycals.
Ferrier–Nicholas cations and skeletal diversity
More recently, we have drawn our attention to the more elusive task of developing an approach to skeletal diversity from glycal derivatives. Skeletal diversity [23] can be achieved mainly by two strategies: “reagent-based approach”, which involves exposition of one common starting material to different reagents [24], or “substrate-based approach” where different starting materials, containing pre-encoded information [25], are subjected to a common set of reaction conditions resulting in different skeletal outcomes [26].
Glycals, i.e., Δ1,2-unsaturated carbohydrate derivatives, have already shown its usefulness in DOS. For instance, Schreiber and co-workers reported the combination of Ferrier [27, 28] and Pauson–Khand [29, 30] reactions to gain access to a library of tricyclic compounds [31], whereas Porco and co-workers employed a glycal-derived scaffold to produce a collection of highly substituted tetrahydrofurans [32]. In line with our previous approach to appendage diversity based in polyfunctionalized carbohydrate derivatives, we have studied the behavior of, previously unknown, Ferrier–Nicholas cations, e.g., 4 [33]. These species were generated by BF3·OEt2 treatment of differently-(O-6)-substituted dicobalt hexacarbonyl (C-1)-alkynyl glycals, i.e., 3, (Scheme 2), the latter, in their turn, obtained by incorporation of the dicobalt hexacarbonyl group by treatment of the corresponding C-1 alkynyl glycals with Co2(CO)8.

Ferrier–Nicholas cation 4, a combination of a Ferrier allylic cation and a hexacarbonyl dicobalt Nicholas cation.
Results and discussion
6-O-Benzyl and 6-O-allyl derivatives
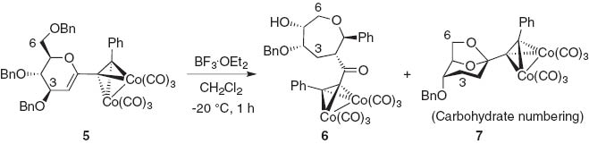
The reaction of 6-O-benzyl dicobalt hexacarbonyl derivative 5, with BF3·OEt2 in CH2 Cl2 at –20 °C took place smoothly to give a mixture of oxepane 6 and 1,6-anhydro derivative 7. The composition of this mixture proved to be highly dependent on the presence (or absence) of H2 O in the reaction media, as detailed in Table 1. Thus in the presence of H2 O, 1,6-anhydro derivative 7 became the major product of the reaction (entry iv, Table 1), whereas gradual exclusion of H2 O from the reaction mixture resulted in an increased yield of oxepane 6 (compare entries i, ii, and iii, Table 1).
Reaction of C-1 alkynyl glycal 5 in CH2 Cl2 the presence of BF3·OEt2 with variable H2 O content.
![]() | |||
| Entry | Reaction conditions | 6 (%) | 7 (%) |
| i | CH2 Cl2 | 34 | 63 |
| ii | CH2 Cl2/4 Å MS (pellets) | 45 | 34 |
| iii | CH2 Cl2/4 Å MS (powder) | 61 | 23 |
| iv | CH2 Cl2/H2 O (2 equiv) | 18 | 67 |
From these data we were able to postulate the reaction pathway outlined in Scheme 3. The transformation is initiated by a 1,6-hydride transfer from the 6-O-benzyl group to C-3 of cation 4 (R1 = Bn, R2 = Ph) [34, 35], which generates an oxocarbenium ion 8. The latter might evolve by two different routes: i) hydrolysis and loss of benzaldehyde to give 6-hydroxy derivative 9, which by protonation would generate a pyranosidic Nicholas-oxocarbenium ion 10 [36] whose cyclization will lead to 1,6-anhydro derivative 6; ii) a Prins-type cyclization [37–39] leading to bicyclic Nicholas-oxocarbenium ion 11, and thence hemiketal 12, whose ring opening will lead to oxepane hydroxy-ketone 7.

Proposed reaction pathway leading to oxepane 7 and 1,6-anhydro derivative 6.
We have also shown that some of these transformations are reversible, e.g., oxepane 7 evolved to 1,6-anhydro derivative 6 upon treatment with BF3·OEt2 (CH2 Cl2, –20 °C, 8 h), thus implying reversibility in the steps 7 →12 →11 →8, the latter step being a retro-Prins fragmentation [40]. Likewise, treatment of 6-hydroxy derivative 9 with benzaldehyde in the presence of BF3·OEt2 led to compounds 7 and 6, then demonstrating the reversibility in the transformation 8 →9. Finally, we have observed that treatment of 6 with benzaldehyde in the presence of BF3. OEt2 did not result in any transformation, leaving the 1,6-anhydro derivative unchanged [41].
We have also found that vinyl oxepanes, e.g., 14, 17, can be obtained by reaction of related 6-O-allyl glycals, e.g., 13, 16, with BF3·OEt2 (Schemes 4a,b) [41]. Thus implying that 1,6-hydride transfer from 6-O-allyl substituents is also possible. On the other hand, we have shown that oxepane formation can be optimized in terms of yield and ratio oxepane/1,6-anhydro derivative by use of unsubstituted terminal alkynes (Schemes 4b,c, also compare Scheme 4a with Scheme 4b). We have ascribed this behavior to the higher electrophilicity of the Nicholas cation arising from the unsubstituted alkyne compared to the cation from the alkyne with the terminal phenyl substituent [42]. We believe that the higher electrophilicity of the corresponding intermediate Nicholas cation would render the ionization of hemiketal, leading back to the Nicholas cation, more difficult, e.g., 12→11 (Scheme 3).

Improving the oxepane yield and the ratio oxepane/1,6-anhydro derivative.
6-O-Silyl derivatives
In line with these findings reaction of 6-O-triisopropylsilyl derivative 22 (where the above-mentioned 1,6-hydride transfer is not possible) with nucleophiles in the presence of BF3·OEt2 provided regio- and stereocontrolled access to C-3 branched glycals 23a–e (Table 2).
Reaction of 6-O-triisopropylsilyl C-1 alkynyl glycal 22 in the presence of allyltrimethyl silane and some heteroaryl derivatives mediated by BF3·OEt2 in CH2 Cl2 at –20 °C.
![]() |
Analogous reaction of 22 with pyrrole in CH2 Cl2 at –20 °C provided a mixture of C-3 branched glycal 23f (15 %), and C-3 branched bis-C,C-glycoside 24 (48 %) [41]; where incorporation of two pyrrole molecules had taken place, thence indicating a higher reactivity of pyrrole compared to the rest of heteroaryl derivatives employed (Scheme 5a). On the other hand, exclusive access to 23f (51 %) was accomplished when the reaction was performed at –78 °C (Scheme 5b).

Reaction of hexacarbonyl dicobalt alkynyl glycal 22 with pyrrole at –20 and –78 °C.
Based on these discoveries, a sequential two-nucleophile incorporation leading to tri-substituted derivatives 25, was developed by reaction of C-3 branched glycals 23 with pyrrole at –20 °C in the presence of BF3·OEt2 (Table 3). A variety of trisubstituted derivatives were obtained by this approach in modest to good yields.
Reaction of C-3 branched glycals 23, with pyrrole in the presence BF3. OEt2 in CH2 Cl2 at –20 °C.
![]() |
6-OH derivatives
Intramolecular trapping of hydroxyl groups by Nicholas cations has been extensively used to gain access to oxacycles of different sizes [43]. Accordingly, we treated hydroxy-derivative 26 with BF3·OEt2 in the absence of an external nucleophile and observed the formation of three compounds: C-3 epimeric-1,6-anhydro, derivatives 27, and ring contraction product 28, whose relative ratios changed with the reaction time (Scheme 6). Prolonged reaction times favored formation of larger amounts of tetrahydrofuran 28 (45 min, 70 % yield compared to 15 min, 36 % yield) over 27, whereas short reaction times led to a more uniform distribution of reaction products 27, 28 (Scheme 6).

Intramolecular Nicholas reaction of 26 leading to 1,6-anhydro derivatives 27 and branched tetrahydrofuran 28, and variation in the final-products ratio with the reaction time.
In addition, the formation of branched tetrahydrofuran 28 proved to be irreversible, since it remained unchanged upon treatment with BF3·OEt2. However, bicyclic derivative 27-α evolved, under related reaction conditions, to give a mixture of 27-β, 27-α and 28, analogous to that obtained by reaction of glycal 26 [44].

Pauson–Khand reaction of hexacarbonyl dicobalt derivative 17.
Unmasking of alkynes from hexacarbonyl dicobalt derivatives
Even though there have been reports of cytotoxic activity associated to some hexacarbonyl dicobalt complexes [45, 46], the compounds described in this study have not yet been submitted to biological evaluation. However, decobaltation of these derivatives was straightforward and several methods were used to that end: tetrabutylamonnium fluoride (TBAF) in THF [47], trimethylamine N-oxide (TMANO) [48], and iodine/THF [49]. In our hands, TBAF/THF proved to work better for the decobaltation of these derivatives.
Tandem Ferrier–Nicholas/Pauson–Khand: Access to tricyclic derivatives
Besides transformations based in decobaltation of hexacarbonyl dicobalt derivatives to alkynes or alkenes [50] these complexes have proven useful in a series of reactions in which the dicobalt complex played a key role, such as the Pauson–Khand cyclization [51]. In this context, vinyl oxepane 17 was a particularly well-suited intermediate to test this possibility. In fact, we found that upon treatment with TMANO·2H2 O oxepane 17 was transformed, in a completely stereoselective manner, to tricyclic derivative 29 in 49 % yield (Scheme 7) [52].
Conclusion
Ferrier-Nicholas cations, a singular type of vinilogous Nicholas cations [53] that arise from dicobalt hexacarbonyl (C-1)-alkynyl glycals, can be used to generate skeletal diversity in a substrate-based approach to diversity-oriented synthesis (DOS). In transformations of 6-O-benzyl or 6-O-allyl glycal derivatives treatment with BF3·OEt2 induced a series of processes including: 1,6-hydride transfer, Prins cyclization, and retroketalization of the ensuing hemiketal, to give a polyfunctionalized oxepane in a completely stereocontrolled manner, in a ring-expansion process. In reactions of 6-O-TIPS derivatives the 1,6-hydride transfer is avoided and, in the presence of a nucleophile, a “normal“ Ferrier rearrangement takes place to generate C-3 branched pyranose glycals. Furthermore, C-3 branched pyranose glycals reacted in the presence of pyrrole under the agency of BF3·OEt2 to give C-3 branched, bis-C-C-glycosides where the pyrrole moiety occupies the anomeric center with an exclusive α-orientation. Finally, from 6-OH derivatives a ring contraction process generating a branched tetrahydrofuran structure can be observed, the tetrahydrofuran being the thermodynamic product of an equilibrium that involves initial formation of functionalized 1,6-anhydro pyranoses. When a 6-O-allyl group is present in the ensuing dicobalt hexacarbonyl alkynyl oxepane, an intramolecular Pauson-Khand cyclization can take place by treatment with TMANO·2H2 O, leading to a single tricyclic derivative.
Article note
A collection of invited papers based on presentations at the 27th International Carbohydrate Symposium (ICS-27), Bangalore, India, 12–17 January 2014.
Acknowledgments
The authors wish to thank Ministerio de Ciencia e Innovación (grants CTQ2009-10343, CTQ2012-32114) and Comunidad de Madrid (grant S2009/PPQ-1752) for financial support. F.L. and S.M. are grateful to Consejo Superior de Investigaciones Científicas (CSIC) and Ministerio de Economia y Competitividad, respectively, for predoctoral scholarships.
References
[1] E. J. Corey, X.-M Cheng. The Logic of Chemical Synthesis, Wiley, New York (1989).Search in Google Scholar
[2] S. L. Schreiber. Science287, 1964 (2000).10.1126/science.287.5460.1964Search in Google Scholar
[3] M. D. Burke, S. L Schreiber. Angew. Chem. Int. Ed. 43, 46 (2004).Search in Google Scholar
[4] C. J. O’Connor, H. S. G. Beckmann, D. R. Spring. Chem. Soc. Rev. 41, 4444 (2012).Search in Google Scholar
[5] W. Meutermans, G. T. Le, B. Becker. Chem. Med. Chem. 1, 1164 (2006).Search in Google Scholar
[6] G. T. Le, G. Abbenante, B. Becker, M. Grathwohl, J. Halliday, G. Tometzki, J. Zuegg, W. Meutermans. Drug Discov. Today8, 701 (2003).10.1016/S1359-6446(03)02751-XSearch in Google Scholar
[7] V. Prasad, E. T. Birzin, C. T. McVaugh, R. D. van Rijn, S. P. Rohrer, G. Chicchi, D. J. Underwood, E. R. Thornton, A. B. Smith, III, R. Hirschmann. J. Med. Chem. 46, 1858 (2003).Search in Google Scholar
[8] R. Hirschmann, K. C. Nicolaou, S. Pietranico, E. M. Leahy, J. Salvino, B. H. Arison, M. A. Cichy, P. G. Spoors, W. C. Shakespeare, P. A. Sprengeler, P. Hamley, A. B., Smith, III, T. Reisine, K. Raynor, L. Maechler, C. Donaldson, W. Vale, R. M. Freidinger, M. A. Cascieri, C. D. Strader. J. Am. Chem. Soc.115, 12550 (1993).Search in Google Scholar
[9] R. Hirschmann, K. C. Nicolaou, S. Pietranico, J. Salvino, E. M. Leahy, P. A. Sprengeler, G. Furst, A. B. Smith, III, C. D. Strader, M. A. Cascieri, M. R. Candelore, C. Donaldson, W. Vale, L. Maechler. J. Am. Chem. Soc.114, 9217 (1992).Search in Google Scholar
[10] M. J. Sofia, R. Hunter, T. Y. Chan, A. Vaughan, R. Dulina, H. Wang, D. Gange. J. Org. Chem.63, 2802 (1998).Search in Google Scholar
[11] M. Ghosh, R. G. Dulina, R. Kakarla, M. J. Sofia. J. Org. Chem.65, 8387 (2000).Search in Google Scholar
[12] T. Wunberg, C. Kallus, T. Opatz, S. Henke, W. Schmidt, H. Kunz. Angew. Chem. Int. Ed. 37, 2503 (1998).Search in Google Scholar
[13] U. Hünger, J. Ohnsmann, H. Kunz. Angew. Chem. Int. Ed. 43, 1104 (2004).Search in Google Scholar
[14] C. Kallus, T. Opatz, T. Wunberg, W. Schmidt, S. Henke, H. Kunz. Tetrahedron Lett. 40, 7783 (1999).Search in Google Scholar
[15] T. Opatz, C. Kallus, T. Wunberg, W. Schmidt, S. Henke, H. Kunz. Eur. J. Org. Chem. 1527 (2003).10.1002/ejoc.200390211Search in Google Scholar
[16] A. M. Gomez, A. Pedregosa, C. Uriel, S. Valverde, J. C. Lopez. Eur. J. Org. Chem. 5619 (2010).10.1002/ejoc.201000612Search in Google Scholar
[17] A. M. Gomez, C. Uriel, J. C. Lopez. Specialist Periodical Reports. Carbohydr. Chemistry, 38, 376 (2012).Search in Google Scholar
[18] A. M. Gomez, A. Pedregosa, A. Barrio, S. Valverde, J. C. Lopez. Tetrahedron Lett. 45, 6307 (2004).Search in Google Scholar
[19] A. M. Gomez, A. Pedregosa, A. Barrio, C. Uriel, S. Valverde, J. C. Lopez. Eur. J. Org. Chem. 2910 (2010).10.1002/ejoc.201000170Search in Google Scholar
[20] A. M. Gomez, A. Barrio, I. Amurrio, S. Valverde, S. Jarosz, J. C: Lopez. Tetrahedron Lett. 47, 6243 (2006).Search in Google Scholar
[21] A. M. Gomez, G. O. Danelón, A. Pedregosa, S. Valverde, J. C. Lopez. Chem. Commun. 2024 (2002).10.1039/B205121DSearch in Google Scholar
[22] A. M. Gomez, C. Uriel, F. Lobo, J. C. Lopez. Curr. Org. Synth. (2014) DOI: 10.2174/15701794113109990068.10.2174/15701794113109990068Search in Google Scholar
[23] M. D. Burke, E. M. Berger, S. L. Schreiber. J. Am. Chem. Soc.126, 14095 (2004).Search in Google Scholar
[24] E. A. Wyatt, S. Fergus, W. R. J. D. Galloway, A. Bender, D. J. Fox, A. T. Plowright, A. S. Jessiman, M. Welch, D. R. Spring. Chem. Commun. 3296 (2006).10.1039/b607710bSearch in Google Scholar
[25] J. K. Sello, P. R. Andreana, D. Lee, S. L. Schreiber. Org. Lett.5, 4125 (2003).Search in Google Scholar
[26] H. Oguri, S. L Schreiber. Org. Lett.7, 47 (2005).Search in Google Scholar
[27] R. J. Ferrier, J. O. Hoberg. Adv. Carbohydr. Chem. Biochem.58, 55 (2003).Search in Google Scholar
[28] A. M. Gomez, F. Lobo, C. Uriel, J. C. Lopez. Eur. J. Org. Chem. 7221 (2013).10.1002/ejoc.201300798Search in Google Scholar
[29] P. L. Pauson. Tetrahedron56, 3263 (2000).10.1016/S0040-4020(00)00148-4Search in Google Scholar
[30] K. M. Brummond, J. L. Kent. Tetrahedron41, 5855 (1985).Search in Google Scholar
[31] H. Kubota, J. Lim, K. M. Depew, S. L. Schreiber. Chem. Biol. 9, 265 (2002).Search in Google Scholar
[32] A. R. Yeager, G. K. Min, J. A. Porco, Jr., S. E. Schaus. Org. Lett. 8, 5065 (2006).Search in Google Scholar
[33] A. M. Gomez, F. Lobo, D. Perez de las Vacas, S. Valverde, J. C. Lopez, Chem. Commun. 46, 6159 (2010).Search in Google Scholar
[34] For a related 1,5-hydride transfer to Nicholas cations, see: D. D. Diaz, M. A. Ramirez, V. S. Martin. Chem. Eur. J. 12, 2593 (2006), and references cited therein.Search in Google Scholar
[35] For a related 1,6-hydride transfer on a glycal, see: A. L. J. Byerley, A. M. Kenwright, C. W. Lehmann, J. A. H. MacBride and P. G. Steel. J. Org. Chem. 63, 193 (1998).Search in Google Scholar
[36] A. M. Gomez, C. Uriel, S. Valverde, J. C. Lopez. Org. Lett. 8, 3187 (2006).Search in Google Scholar
[37] Review: I. M. Pastor, M. Yus. Curr. Org. Chem. 16, 1277 (2012).Search in Google Scholar
[38] For a Nicholas-Prins cyclization, see: C. Olier, S. Gastaldi, G. Gilb, M. P. Bertrand. Tetrahedron Lett.48, 7801 (2007).Search in Google Scholar
[39] For a related Prins cyclization process where the oxocarbenium ion is formed by hydride transfer, see: K. M. McQuaid, D. Sames. J. Am. Chem. Soc. 131, 402 (2009).10.1021/ja806068hSearch in Google Scholar PubMed PubMed Central
[40] J. Jiang, D. E. Cane. J. Am. Chem. Soc. 130, 130, 428 (2008).10.1021/ja077792iSearch in Google Scholar PubMed PubMed Central
[41] F. Lobo, A. M. Gomez, S. Miranda, J. C. Lopez, Chem. Eur. J. DOI: 10.1002/chem.201402149.10.1002/chem.201402149Search in Google Scholar PubMed
[42] See Figure 6, in: H. Mayr, B. Kempf, A. R. Ofial. Acc. Chem. Res. 36, 66 (2003).Search in Google Scholar
[43] D. Diaz, J. M. Betancort, V. S. Martín. Synlett 343 (2007).Search in Google Scholar
[44] Treatment of compound 27-α with BF3·OEt2 provided a reaction mixture consisting of 27-β (13 %), 27-α (21 %) and 28 (24 %).Search in Google Scholar
[45] S. D. Schimler, D. J. Hall, S. L. Debbert, J. Inorg. Biochem. 119, 28 (2013).Search in Google Scholar
[46] I. Ott, B. Kircher, C. P. Bagowski, D. H. W. Vlecken, E. B. Ott, J. Will, K. Bensdorf, W. S. Sheldrick, R. Gust. Angew. Chem. Int. Ed.48, 1160 (2009).Search in Google Scholar
[47] G. B. Jones, J. M. Wright, T. M. Rush, G. W. Plourde, II, T. F. Kelton, J. E. Mathews, R. S. Huber, J. P. Davidson. J. Org. Chem.62, 9379 (1997).Search in Google Scholar
[48] For an overview see: S. G. Davies, Organotransition Metal Chemistry: Applications to Synthesis; Pergamon Press: Oxford, 1982.Search in Google Scholar
[49] P. Magnus, M. Davies. J. Chem. Soc., Chem Commun. 1522 (1991).Search in Google Scholar
[50] S. Hosokawa, M. Isobe. Tetrahedron Lett. 39, 2609 (1998).Search in Google Scholar
[51] T. F. Jamison, S. Shambayati, W. E. Crowe, S. L. Schreiber. J. Am. Chem. Soc. 119, 4353 (1987).Search in Google Scholar
[52] J. Adrio, M. Rodríguez Rivero, J. C. Carretero. Chem. Eur. J. 7, 2435 (2001).Search in Google Scholar
[53] I. Kolodziej, J. R. Green. Synlett2011, 2397 (2011).10.1055/s-0030-1261221Search in Google Scholar
©2014 IUPAC & De Gruyter
Articles in the same Issue
- Frontmatter
- Preface
- 27th International Carbohydrate Symposium (ICS-27)
- Conference papers
- Extended metal-carbohydrate frameworks
- Structural diversity and ligand specificity of lectins. The Bangalore effort
- Ferrier–Nicholas pyranosidic cations: application to diversity-oriented synthesis
- Fucoidans as a platform for new anticoagulant drugs discovery
- Reactions of 1,2-cyclopropyl carbohydrates
- Analysis of the conformations of septanoside sugars
- IUPAC Technical Report
- Variation in the terrestrial isotopic composition and atomic weight of argon (IUPAC Technical Report)
Articles in the same Issue
- Frontmatter
- Preface
- 27th International Carbohydrate Symposium (ICS-27)
- Conference papers
- Extended metal-carbohydrate frameworks
- Structural diversity and ligand specificity of lectins. The Bangalore effort
- Ferrier–Nicholas pyranosidic cations: application to diversity-oriented synthesis
- Fucoidans as a platform for new anticoagulant drugs discovery
- Reactions of 1,2-cyclopropyl carbohydrates
- Analysis of the conformations of septanoside sugars
- IUPAC Technical Report
- Variation in the terrestrial isotopic composition and atomic weight of argon (IUPAC Technical Report)


