Abstract
We demonstrate all-optical spatial mode-cleaning in non-Hermitian waveguides. The effect is accounted by a unidirectional coupling among the modes resulting from a simultaneous modulation of the refractive index and the gain/loss along graded index multimodal waveguides. Depending on the spatial delay between the real and imaginary part of the potential modulation, higher or lower order modes are favored, which in latter case eventually leads to an nearly-monomode propagation. In this way, for any arbitrary initial field distribution an antisymmetric non-Hermitian modulation results in an effective mode-cleaning. The effect is demonstrated analytically, based on coupled mode theory in 1D waveguides, and numerically proven by solving the wave propagation equation with the antisymmetric non-Hermitian potential. The proposal is also generalized to the more involved case of 2D waveguides, leading to a significant reduction of the beam quality factor and improvement of beam spatial quality.
1 Introduction
Non-Hermitian systems have boosted attention in photonics, since gain and loss are natural ingredients that can be integrated to design artificial materials holding unconventional properties in the generation, transportation, manipulation and transmission of light [1], [2], [3], [4]. In particular, non-Hermiticity has brought the opportunity to control the modal coupling, for instance to manipulate the flow of light [5], [6], stabilize multimode lasers [7], [8], or for asymmetric two-mode switching in waveguides [9], among others. Precisely in guided wave optics great efforts have been made to achieve tailored gain and loss platforms for efficient realizations, as for instance for non-Hermitian asymmetric mode transfer [10], [11], [12].
In turn, the idea that non-Hermitian spatiotemporal modulation of the background potential can strongly influence the mode dynamics was recently proposed in Ref. [13]. Periodic potentials in space and time in the form V(x, t) ∼ cos(qx)[m
re cos(Ωt) + im
im cos(Ωt + ϕ)] can unconventionally affect the field dynamics. Depending on the spatial delay between real and imaginary parts of the potential modulation, ϕ, either the higher or lower order modes are favored. Indeed in the simplest case ϕ = π/2, m
re = m
im = m, the potential reads as
In the present paper, we show that particular non-Hermitian modulation in one- and two-dimensional (2D) waveguides can indeed control all modes, and can result in effective mode-cleaning for any arbitrary initial field distribution. Efforts to tackle issues related to the randomization in optical fibers have been reported involving different techniques [15], [16], [17]. A recently uncovered interesting effect, the so-called beam self-cleaning, was proposed in Ref. [18] and further explored in Refs. [19], [20]. However, this nonlinear mechanism relays on very high intensities, and may not directly lead to a reduction of the beam quality parameter M 2.
We first start analytically exploring the action of a non-Hermitian potential in 1D waveguides with a transverse antisymmetric profile, as illustrated in Figure 1. We generalize the idea to the more involved case of 2D waveguides.

Antisymmetrically modulated non-Hermitian waveguides. (a) Schematic representation of a periodically modulated non-Hermitian 1D waveguide with a parabolic index profile, with a central symmetry axis. The index modulation along the propagation direction is accounted by the fiber snaking, resulting in a transverse antisymmetric index perturbation. The gain/loss also antisymmetric in the transverse direction as indicated by colours. (b) Lowest order Hermite modes of the 1D (unmodulated) parabolic waveguide assuming fundamental mode in transverse direction. (c) Periodically modulated non-Hermitian 2D waveguide, with index and gain/loss modulation along the waveguide. (d) Lowest order Hermite–Gauss modes of the 2D (unmodulated) parabolic waveguide.
2 Model
Light propagation along parabolic refraction index 2D waveguides in paraxial approximation is described by a linear Schrödinger equation:
where
In the absence of modulation, for
3 Analytics
In order to analytically asses the interaction among modes for the 1D case, we derive an approximate model, assuming a driven antisymmetric potential with longitudinal frequency q close to Δk z . The linear Schrödinger equation in the presence of the antisymmetric non-Hermitian potential in the 1D waveguide, Eq. (1), simplifies into:
where
where m re and m im are the amplitude of the refractive index and gain/loss modulations.
In absence of the z-dependent potential
where H n (x) are the Hermite polynomials, with n being the non-negative integer mode index.
We expand the solution of the modulated system,
Then, we obtain:
where m + = m re + im imeiϕ , m − = m re + im ime −iϕ .
Multiplying by
here
Next, collecting the terms with coefficients e−imqz from both the sides of Eq. (8), we derive the chain of coupled equations with couplings to the nearest neighboring modes. Such truncation is justified by the fact that C nm = 0 for m = n and m = n ± 2, while C m±3,m ≪ C m±1,m due to the symmetry of Hermite polynomials.
This expansion results extremely useful when β m ≃ −mq, i. e. close to the resonances, and we write Δq m = β m + mq.
The general coupling matrix for n modes, as derived from Eq. (9) is expressed as:
In order to determine the eigenvalues of this coupling, we consider a reduced number of modes, up to n = 9. The real part of eigenvalues determines the growth rates of the corresponding eigenvectors, defining the mode composition in the locked-mode state. After a sufficiently long propagation along the fiber, we expect the field profile to be the eigenvector with largest positive real part of the eigenvalue. As an example, Figure 2a and b presents such eigenvector as a function of the spatial delay between the real and imaginary modulations, for a truncation of 3 and 9 modes, respectively. Importantly, in both cases, and even for the 3-modes approach, we observe a wide range, for ϕ ≈ π with a bell-shaped profile. Therefore, we expect that, for such parameters, a beam propagating along the fiber evolves towards this shape, irrespectively of the initial input beam. We note that for ϕ = π/2 and 3π/2 the real parts of the eigenvalues are 0, therefore no effect is expected. Finally, we note that for −π/2 < ϕ < π/2 the eigenmode profile indicates the participation of higher order modes, see Figure 2a and b. Therefore, irrespectively of the initial shape of the propagating beam, high order modes are expected to be predominant in propagation along the waveguide.

Transverse profile of the eigenmode with largest eigenvalue assuming: (a) 3 modes system, (b) 9 modes system. Parameters used: m re = m im = 1.5 × 10−4, q = 0.9Δk z (below resonance).
4 Results
4.1 1D non-Hermitian waveguide
For the simplest case, the 1D system is described by Eq. (3), and the eigenmodes of the modulated system may be expanded in terms of the Hermite polynomials, Eq. (6). We introduce the potential of Eq. (4) with an antisymmetric shape in x, the transverse direction. In order to characterize the mode coupling we calculate the relative intensity as the overlap integral (OI) of the relative modes to the total field, A(x), in linear scale given by:
To assess the mode-cleaning effect, we first numerically explore the parameter space of (ϕ, m im) for a fixed value of m re. We propagate along the fiber an initially random beam, and map the participation of the lower order mode, H 0, after a sufficiently long propagation distance, namely 3·103 self-imaging periods, see Figure 3a. Indeed, we observe a region, near ϕ = π, and for a small, m Im < 0.0002, where the H 0 mode participation is maximized. In the following calculations, we will consider this range of parameters. Note that, in systems near resonance the effect is shifted by π/2 [14]. Notably, we observe condensation of energy in the lowest mode, mode-cleaning, for moderate amplitudes of the modulations of the refractive index and gain/loss. Besides such feasible conditions, the effect seems robust over a wide range of values, see Figure 3b.

Map of the participations the lowest mode, H 0, in the total field, after propagation along 3·103 self-imaging periods: (a) in the parameter space (ϕ, m im) for a fixed m re = 1.5 × 10−4, (b) in the parameter space (m re, m im) for a fixed ϕ = π; for both maps upon incidence of a noisy multimodal beam. The insets in figure a) present the final field profile for three situations, ϕ = ±π/4, π where m im = 1.5 × 10−4 and q = 0.9Δk z .
Figure 4a shows the participation of the modes in propagation along the fiber for a multimode input for parameter of the modulated non-Hermitian fiber within the mode-cleaning regime. Note that the lowest order mode (H 0) increases asymptotically approaching to unity as the beam propagates along the fiber, while the participation of higher order modes decreases. The inset depicts the evolution of the beam quality factor, M 2, which decreases towards 1. In turn, Figure 4b shows the evolution of intensity in propagation. The highly multimodal input distribution of the beam gradually evolves towards a bell-shaped transverse profile. Note that for −π/2 ≤ ϕ ≤ π/2 the effect is reversed and the relative participation of the lowest order modes decreases, as the higher order modes become predominant.

Mode-cleaning in 1D waveguide. (a) Relative mode intensities, OI, for an incident noisy beam as a function of the propagation distance, normalized to the self-imaging period. The inset shows the evolution in space of the beam quality factor. (b) Evolution in propagation of the corresponding with profiles depicts at particular distances, namely: z = ζ, 230ζ , 1020ζ, 1920ζ, and 2990ζ. (c) Relative mode intensities, OI, for an incident monomode H 4 as a function of the propagation distance, normalized to the self-imaging period. The inset shows the modal growth of the lower five modes. Parameters used in the numerical integration: m re = m im = 1.5 × 10−4, ϕ = π, q = 0.9Δk z .
Finally, we show the effect holds even when the initial beam does not contain the lowest order mode. As an example, we provide a particular situation: we start with the H 4 mode at the input of the fiber, and we observe that as light propagates along the fiber, the participation of other modes appears, as energy cascades towards lower order modes and finally condensates in the lowest one, H 0. Figure 4c depicts the relative intensity of the five lower order modes, we observe the participation of H 0 mode almost reaches 1. The system may be characterized by a second figure of merit; the absolute modal intensity of in logarithmic scale as:
which determines the growth rate of every particular mode, see the inset in Figure 4c. Note, the absolute mode intensity of the H 0 mode grows faster than the other after 103 self-imaging periods. Eventually, all growth rates become equal, upon reaching the eigenstate of the system.
4.2 2D non-Hermitian waveguide
Next, we consider the more involved case of 2D waveguide schematically presented in in Figure 1c. In this case the eigenmodes of the 2D fiber may be expanded in terms of the by Hermite–Gauss modes, HG mn , as shown in Figure 1d. The character of the modulation in the z direction is assumed to be the same as in the 1D case, but we have several possibilities to modulate in transverse space. In the simplest case, we assume a potential of the form:
Being the V(z) the non-Hermitian longitudinal profile of Eq. (4) and V(x,y) a Gaussian transverse profile, of this potential is depicted in the first inset of Figure 5a. We numerically simulate the propagation an incident monomode HG 20 beam, and we observe the unidirectional coupling towards the lower modes along the fiber. As expected, the energy cascades from mode HG 20 to mode HG 10 and HG 00, as shown in the right inset of Figure 5a. Figure 5b provides the numerically propagated 2D evolution, stressing the spatial 2D distributions of the intensity profile at different propagation lengths.

Evolution of mode participations and intensity profile. (a) Relative mode intensities, OI, for an incident monomode HG 20 beam, as a function of the propagation distance, normalized to the self-imaging period. The first inset shows the transverse profile of the applied non-Hermitian potential and the second inset shows the direction of the coupling. (b) Distribution of the propagated intensity along the fiber, the right-hand panels provide the transverses profiles at articular distances, namely: (I) z = 5ζ, (II) z = 670ζ and (III) z = 2810ζ. The parameters used are the same as in Figure 4.
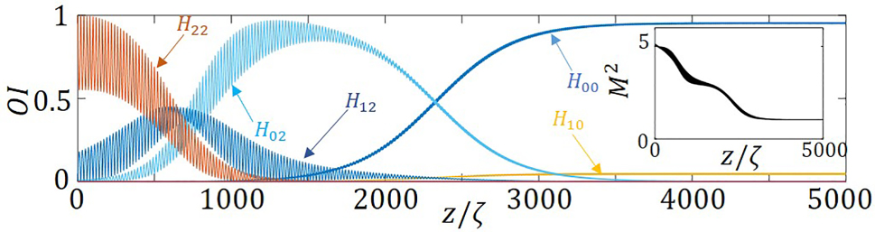
Analogously, injecting a monomode HG 22 beam, also leads to a mode-cleaned beam. Figure 6 shows how energy cascades from mode HG 22 to HG 12, to HG 02, and after a sufficient propagation distance HG 00 mode starts growing to become dominant. Note that an unexpected HG 02 → HG 00 transition occurs due to the potential modulation in the y direction, through the Gaussian part of the potential, V(x, y), in Eq. (13). To characterize it we also calculate the beam quality factor, M 2, which gradually decreases to unity, as can be seen in the inset of Figure 6.

Relative mode intensities, OI, for an incident monomode HG 22, as a function of the propagation distance, normalized to the self-imaging period. The inset shows the evolution in space of the beam quality factor. The parameters used are same as in Figure 4.
The x-multiplying factor of the potential couples every neighboring mode in the x direction with frequency difference q (near Δk z ), while in the y direction every second mode with frequency difference 2q is coupled because of the Gaussian potential as discussed in Ref. [14].
To better understand this HG 02 → HG 00 transition we consider a potential uniform in the y direction as:
which is antisymmetric in x but uniform in y, as shown in the first inset of Figure 7a. Figure 7 summarizes the scenario of the evolution of mode HG 22 under the potential (14). The relative mode intensities of the HG 22, HG 12 and HG 02 modes decrease along the fiber, while we do not observe the participation of the mode HG 00, mode as in the previous case. Only a unidirectional cascade coupling from mode HG 22 to HG 12, and to HG 02 is observed, and it is this last mode, which relative intensity almost reaches 1. No transition from HG 02 to HG 00 is induced in this case, as shown in Figure 7. This is also evident from the 2D transverse profiles of the propagated beam at some particular propagation distances, provided in Figure 7b.

Evolution of mode participations. (a) Relative mode intensities, OI, for an incident monomode HG 22, as a function of the propagation distance, normalized to the self-imaging period. The first inset shows the transverse profile of the applied non-Hermitian potential and the second inset shows the direction of the coupling. (b) The panels on the right provide the 2D transverse distributions of the corresponding at particular distances, namely: (I) z = 25ζ, (II) z = 470ζ, and (III) z = 2370ζ. The parameters used are same as in Figure 4.
In turn, a potential being antisymmetric in the y direction as
yields the cascading HG 22 → HG 21 → HG 20 as an analogous effect of the previously described antisymmetric case in x transverse direction.
Next, we apply a diagonal potential of the form:
with a transverse profile as shown in Figure 8a. Such a potential is expected to couple mode HG 22 simultaneously to modes HG 12 and HG 21, as shown by the red arrows in Figure 8b by the red arrows. Indeed, Figure 8c shows the relative mode intensities, OI, for an incident monomode HG 22 beam, as a function of the propagation distance. We observe such coupling in both the x and y directions effectively leads to a predominance of the HG 00 mode, as the other relative mode intensities rapidly decrease. Note that due to the x–y symmetry, the plots corresponding to modes (HG 12 and HG 21), (HG 02 and HG 20) and (HG 01 and HG 10) share the same evolution, and therefore appear superposed in Figure 8c.

2D mode-cleaning. (a) Transverse profile of the applied non-Hermitian potential in Eq. (16). (b) Visualization of the mode unidirectional coupling both directions. Relative mode intensities, OI, as a function of the propagation distance, normalized to the self-imaging period. For: (c) an incident monomode HG 22 beam, and (d) upon a noisy random input. The parameters used are same as in Figure 4. Note in (c) (HG 12 and HG 21), (HG 02 and HG 20) and (HG 01 and HG 10) are superposed.
Upon the incidence of a noisy beam, the same potential (16) effectively converges to the eigenmode, thus significant mode-cleaning is observed see the inset in Figure 8d, as the beam quality factor, M 2, rapidly decreases to 1.
In turn, a potential such as:
induces a cascading energy transfer from any mode HG m,n to mode HG m−1,n+1. The real part of the potential induces a coupling towards modes with smaller m index, while the imaginary part yields to higher n index.
Throughout the paper we assume a quasi-resonant non-Hermitian potential, being q just below Δk z . We finally investigate the effect of shifting q above resonance and observe a sharp reversed effect; in this situation mode-cleaning occurring for ϕ ≈ 0.
In turn, we performed an analysis of the robustness of the mechanism. We observe that the scheme is effective and mode-cleaning persists for small perturbations from the parabolic index profile, while in this case the modes are no more equidistant.
The actual fabrication of the proposed non-Hermitian 1D waveguides could be achieved in 1D using current lithographic techniques [12], [21], [22], [23]. The required index and gain/loss modulation in 2D waveguides may still be feasible for instance by doping the fiber core [24], [25] and introducing distributed absorption [26], scattering [27], or transmission losses [28].
5 Conclusions
In this work, we demonstrate a mode-cleaning in 1D and 2D waveguides with periodic non-Hermitian perturbation of the potential. The effect is predicted analytically in 1D, from the eigenvectors of the mode-coupling matrix using a truncated mode expansion. Irrespectively of the incident beam, the resulting beam upon propagation in the non-Hermitian antisymmetric waveguide will resemble the locked-mode state. We map the parameter space by numerically integrating the nonlinear Schrödinger equation, finding a good agreement with analytics. For particular characterizing parameters of the non-Hermitian potential, the relative intensity of the lowest Hermite mode being close to 1. We also extend the proposal to 2D waveguides. Indeed, we numerically demonstrate an efficient mode-cleaning, for different geometries of the antisymmetric transverse potential leading to a reduction of the beam quality factor close to 1. We observe that the longitudinal phase delay and the detuning from resonance are two important parameters of the non-Hermitian potential. They both can induce a switch in the behavior, leading to either the predominance of higher or lower order modes in the mode composition in eigenmode. The last situation corresponding to the demonstrated mode-cleaning which may be efficiently realized with the actual nanofabrication techniques, and attained within a length of only few hundreds of self-imaging periods.
-
Research funding: This work has received funding from Horizon 2020 program project MEFISTA (Project No. 861152), from Spanish Ministry of Science, Innovation and Universities (MICINN) under the projects PID2019-109175GB-C2, and PID2022-138321NB-C21.
-
Author contributions: All authors have accepted responsibility for the entire content of this manuscript and approved its submission.
-
Conflict of interest: Authors state no conflicts of interest.
-
Data availability: The datasets generated and/or analysed during the current study are available from the corresponding author upon reasonable request.
References
[1] A. Li, et al.., “Exceptional points and non-Hermitian photonics at the nanoscale,” Nat. Nanotechnol., vol. 18, no. 7, pp. 706-720, 2023. https://doi.org/10.1038/s41565-023-01408-0.Search in Google Scholar PubMed
[2] R. El-Ganainy, M. Khajavikhan, D. N. Christodoulides, and S. K. Ozdemir, “The dawn of non-Hermitian optics.” Commun. Phys., vol. 2, no. 1, p. 37, 2019. https://doi.org/10.1038/s42005-019-0130-z.Search in Google Scholar
[3] S. Longhi, “Parity-time symmetry meets photonics: a new twist in non-Hermitian optics,” Europhys. Lett., vol. 120, no. 6, p. 64001, 2018. https://doi.org/10.1209/0295-5075/120/64001.Search in Google Scholar
[4] L. Feng, R. El-Ganainy, and L. Ge, “Non-Hermitian photonics based on parity–time symmetry,” Nat. Photonics, vol. 11, no. 12, pp. 752–762, 2017. https://doi.org/10.1038/s41566-017-0031-1.Search in Google Scholar
[5] W. W. Ahmed, R. Herrero, M. Botey, Z. Hayran, H. Kurt, and K. Staliunas, “Directionality fields generated by a local Hilbert transform,” Phys. Rev. A, vol. 97, no. 3, p. 033824, 2018. https://doi.org/10.1103/PhysRevA.97.033824.Search in Google Scholar
[6] W. W. Ahmed, R. Herrero, M. Botey, Y. Wu, and K. Staliunas, “Restricted Hilbert transform for non-Hermitian management of fields,” Phys. Rev. Appl., vol. 14, no. 4, p. 044010, 2020. https://doi.org/10.1103/PhysRevApplied.14.044010.Search in Google Scholar
[7] W. W. Ahmed, S. Kumar, J. M. Pardell, M. Botey, R. Herrero, and K. Staliunas, “Stabilization of broad-area semiconductor laser sources by simultaneous index and pump modulations,” Opt. Lett., vol. 43, no. 11, pp. 2511–2514, 2018. https://doi.org/10.1364/OL.43.002511.Search in Google Scholar PubMed
[8] J. M. Pardell, R. Herrero, M. Botey, and K. Staliunas, “Non-Hermitian arrangement for stable semiconductor laser arrays,” Opt. Express, vol. 29, no. 15, pp. 23997–24009, 2021. https://doi.org/10.1364/OE.425860.Search in Google Scholar PubMed
[9] J. Doppler, et al.., “Dynamically encircling an exceptional point for asymmetric mode switching,” Nature, vol. 537, no. 7618, pp. 76–79, 2016. https://doi.org/10.1038/nature18605.Search in Google Scholar PubMed
[10] S. L. Gosh and Y. D. Chong, “Exceptional points and asymmetric mode conversion in quasi-guided dual-mode optical waveguides,” Sci. Rep., vol. 6, no. 1, p. 19837, 2016. https://doi.org/10.1038/srep19837.Search in Google Scholar PubMed PubMed Central
[11] Q. Liu, et al.., “Efficient mode transfer on a compact silicon chip by encircling moving exceptional points,” Phys. Rev. Lett., vol. 124, no. 15, p. 153903, 2020. https://doi.org/10.1103/PhysRevLett.124.153903.Search in Google Scholar PubMed
[12] S. Wu, et al.., “Broadband asymmetric light transport in compact lithium niobate waveguides,” Laser Photon. Rev., vol. 17, no. 8, p. 2300306, 2023. https://doi.org/10.1002/lpor.202300306.Search in Google Scholar
[13] S. B. Ivars, M. Botey, R. Herrero, and K. Staliunas, “Optical turbulence control by non-Hermitian potentials,” Phys. Rev. A, vol. 105, no. 3, p. 033510, 2022. https://doi.org/10.1103/PhysRevA.105.033510.Search in Google Scholar
[14] M. N. Akhter, S. B. Ivars, M. Botey, R. Herrero, and K. Staliunas, “Non-hermitian mode cleaning in periodically modulated multimode fibers,” Phys. Rev. Lett., vol. 131, no. 4, p. 043604, 2023. https://doi.org/10.1103/PhysRevLett.131.043604.Search in Google Scholar PubMed
[15] J. T. Murray, W. L. Austin, and R. C. Powell, “Intracavity Raman conversion and Raman beam cleanup,” Opt. Mater., vol. 11, no. 4, pp. 353–371, 1999. https://doi.org/10.1016/S0925-3467(98)00033-0.Search in Google Scholar
[16] W. Ha, S. Lee, Y. Jung, J. K. Kim, and K. Oh, “Acousto-optic control of speckle contrast in multimode fibers with a cylindrical piezoelectric transducer oscillating in the radial direction,” Opt. Express, vol. 17, no. 20, pp. 17536–17546, 2009. https://doi.org/10.1364/OE.17.017536.Search in Google Scholar PubMed
[17] A. Dudley, R. Vasilyeu, V. Belyi, N. Khilo, P. Ropot, and A. Forbes, “Controlling the evolution of nondiffracting speckle by complex amplitude modulation on a phase-only spatial light modulator,” Opt. Commun., vol. 285, no. 1, pp. 5–12, 2012. https://doi.org/10.1016/j.optcom.2011.09.004.Search in Google Scholar
[18] K. Krupa, et al.., “Spatial beam self-cleaning in multimode fibres,” Nat. Photonics, vol. 11, no. 4, pp. 237–241, 2017. https://doi.org/10.1038/nphoton.2017.32.Search in Google Scholar
[19] L. Zhanwei, L. G. Wright, D. N. Christodoulides, and F. W. Wise, “Kerr self-cleaning of femtosecond-pulsed beams in graded-index multimode fiber,” Opt. Lett., vol. 41, no. 16, pp. 3675–3678, 2016. https://doi.org/10.1364/OL.41.003675.Search in Google Scholar PubMed
[20] E. Deliancourt, et al.., “Kerr beam self-cleaning on the LP11 mode in graded-index multimode fibers,” OSA Contin., vol. 2, no. 4, pp. 1089–1096, 2019. https://doi.org/10.1364/OSAC.2.001089.Search in Google Scholar
[21] Y. Yan and N. C. Giebink, “Passive PT symmetry in organic composite films via complex refractive index modulation,” Adv. Opt. Mater., vol. 2, no. 5, pp. 423–427, 2014. https://doi.org/10.1002/adom.201400021.Search in Google Scholar
[22] Y. Jia, Y. Yan, S. V. Kesava, E. D. Gomez, and N. C. Giebink, “Passive parity-time symmetry in organic thin film waveguides,” ACS Photonics, vol. 2, no. 2, pp. 319–325, 2015. https://doi.org/10.1021/ph500459j.Search in Google Scholar
[23] E. K. Keshmarzi, R. N. Tait, and P. Berini, “Spatially nonreciprocal Bragg gratings based on surface plasmons,” Appl. Phys. Lett., vol. 105, no. 19, p. 191110, 2014. https://doi.org/10.1063/1.4901818.Search in Google Scholar
[24] F. Hindle, et al.., “Inscription of long-period gratings in pure silica and germano-silicate fiber cores by femtosecond laser irradiation,” IEEE Photonics Technol. Lett., vol. 16, no. 8, pp. 1861–1863, 2004. https://doi.org/10.1109/LPT.2004.831264.10.1109/LPT.2004.831264Search in Google Scholar
[25] C. Hahn, E. K. Keshmarzi, S. H. Song, C. H. Oh, R. N. Tait, and P. Berini, “Unidirectional Bragg gratings using parity-time symmetry breaking in plasmonic systems,” IEEE J. Sel. Top. Quantum Electron., vol. 22, no. 5, pp. 48–59, 2016. https://doi.org/10.1109/JSTQE.2016.2519825.Search in Google Scholar
[26] J. B. Lonzaga, S. M. Avanesyan, S. C. Langford, and J. T. Dickinson, “Color center formation in soda-lime glass with femtosecond laser pulses,” J. Appl. Phys., vol. 94, no. 7, pp. 4332–4340, 2003. https://doi.org/10.1063/1.1603962.Search in Google Scholar
[27] G. Cheng, L. Lin, K. Mishchik, and R. Stoian, “Polarization-dependent scattering of nanogratings in femtosecond laser photowritten waveguides in fused silica,” Materials, vol. 15, no. 16, p. 5698, 2022. https://doi.org/10.3390/ma15165698.Search in Google Scholar PubMed PubMed Central
[28] L. A. Fernandes, J. R. Grenier, P. R. Herman, J. S. Aitchison, and P. V. Marques, “Femtosecond laser fabrication of birefringent directional couplers as polarization beam splitters in fused silica,” Opt. Express, vol. 19, no. 13, pp. 11992–11999, 2011. https://doi.org/10.1364/OE.19.011992.Search in Google Scholar PubMed
© 2023 the author(s), published by De Gruyter, Berlin/Boston
This work is licensed under the Creative Commons Attribution 4.0 International License.
Articles in the same Issue
- Frontmatter
- Editorial
- Enabling new frontiers of nanophotonics with metamaterials, photonic crystals, and plasmonics
- Reviews
- Rational design of arbitrary topology in three-dimensional space via inverse calculation of phase modulation
- Frequency comb measurements for 6G terahertz nano/microphotonics and metamaterials
- Research Articles
- Electromagnetic signal propagation through lossy media via surface electromagnetic waves
- Mode-cleaning in antisymmetrically modulated non-Hermitian waveguides
- Hollow core optical fiber enabled by epsilon-near-zero material
- Photoluminescence lifetime engineering via organic resonant films with molecular aggregates
- Photoluminescence emission and Raman enhancement in TERS: an experimental and analytic revisiting
- Scalable hot carrier–assisted silicon photodetector array based on ultrathin gold film
- Ultrafast acousto-optic modulation at the near-infrared spectral range by interlayer vibrations
- Probing the multi-disordered nanoscale alloy at the interface of lateral heterostructure of MoS2–WS2
- Topological phase transition and surface states in a non-Abelian charged nodal line photonic crystal
- Ultraviolet light scattering by a silicon Bethe hole
- Exploring plasmonic gradient metasurfaces for enhanced optical sensing in the visible spectrum
- Thermally tunable binary-phase VO2 metasurfaces for switchable holography and digital encryption
- Electrochromic nanopixels with optical duality for optical encryption applications
- Broadband giant nonlinear response using electrically tunable polaritonic metasurfaces
- Mechanically processed, vacuum- and etch-free fabrication of metal-wire-embedded microtrenches interconnected by semiconductor nanowires for flexible bending-sensitive optoelectronic sensors
- Formation of hollow silver nanoparticles under irradiation with ultrashort laser pulses
- Dry synthesis of bi-layer nanoporous metal films as plasmonic metamaterial
- Three-dimensional surface lattice plasmon resonance effect from plasmonic inclined nanostructures via one-step stencil lithography
- Generic characterization method for nano-gratings using deep-neural-network-assisted ellipsometry
- Photonic advantage of optical encoders
Articles in the same Issue
- Frontmatter
- Editorial
- Enabling new frontiers of nanophotonics with metamaterials, photonic crystals, and plasmonics
- Reviews
- Rational design of arbitrary topology in three-dimensional space via inverse calculation of phase modulation
- Frequency comb measurements for 6G terahertz nano/microphotonics and metamaterials
- Research Articles
- Electromagnetic signal propagation through lossy media via surface electromagnetic waves
- Mode-cleaning in antisymmetrically modulated non-Hermitian waveguides
- Hollow core optical fiber enabled by epsilon-near-zero material
- Photoluminescence lifetime engineering via organic resonant films with molecular aggregates
- Photoluminescence emission and Raman enhancement in TERS: an experimental and analytic revisiting
- Scalable hot carrier–assisted silicon photodetector array based on ultrathin gold film
- Ultrafast acousto-optic modulation at the near-infrared spectral range by interlayer vibrations
- Probing the multi-disordered nanoscale alloy at the interface of lateral heterostructure of MoS2–WS2
- Topological phase transition and surface states in a non-Abelian charged nodal line photonic crystal
- Ultraviolet light scattering by a silicon Bethe hole
- Exploring plasmonic gradient metasurfaces for enhanced optical sensing in the visible spectrum
- Thermally tunable binary-phase VO2 metasurfaces for switchable holography and digital encryption
- Electrochromic nanopixels with optical duality for optical encryption applications
- Broadband giant nonlinear response using electrically tunable polaritonic metasurfaces
- Mechanically processed, vacuum- and etch-free fabrication of metal-wire-embedded microtrenches interconnected by semiconductor nanowires for flexible bending-sensitive optoelectronic sensors
- Formation of hollow silver nanoparticles under irradiation with ultrashort laser pulses
- Dry synthesis of bi-layer nanoporous metal films as plasmonic metamaterial
- Three-dimensional surface lattice plasmon resonance effect from plasmonic inclined nanostructures via one-step stencil lithography
- Generic characterization method for nano-gratings using deep-neural-network-assisted ellipsometry
- Photonic advantage of optical encoders