Abstract
We experience Internet traffic growth of 100 times every 10 years. However, the capacity of existing standard single-mode fiber is approaching its fundamental limit regardless of significant realization of transmission technologies which allow for high spectral efficiencies. Space division multiplexing (SDM) based on multicore fibers (MCFs) has emerged as a solution to the problem of saturation of the capacity of optical transmission systems. This article presents the recent progress on the MCFs for future large capacity long-distance transmission systems. In MCFs, there is a tradeoff relationship between low crosstalk and high multiplicity, therefore the maximum number of cores and the core arrangement have to be carefully determined based on the required crosstalk level and core size. The state-of-the-art of fabricated MCFs and the transmission experiments using MCFs are reviewed. The current maximum capacity-distance product in MCF transmission is 368.2 (184.1+184.1) Pb/s/fiber km with the relative spatial efficiency of 4.7 compared with a standard single-mode fiber. In order to increase the spatial efficiency as well as the capacity-distance product further in MCFs, the possibility of heterogeneous MCFs and few-mode MCFs is also presented.
Reviewed Publication:
Li Ming-Jun
1 Introduction
The Internet traffic is growing by about 40% in a year, and this trend is estimated to continue [1]. The transmission capacity of conventional single-mode fiber (SMF) has also been exponentially increased in the past few decades due to the emergences of advanced new technologies. Recent SMF transmission systems have achieved capacities up to about 100 Tb/s per fiber by employing various multiplexing techniques such as the time division multiplexing (TDM), wavelength division multiplexing (WDM), polarization division multiplexing (PDM), and multi-level modulation such as higher-order quadrature amplitude modulation (QAM), as shown in Figure 1. In order to further increase the fiber capacity, expansion of the optical bandwidth of transmission window and enhancement of the spectral efficiency are required. However, the transmission window from 1530 nm to 1625 nm is already exhausted, which is the suitable band because of the low attenuation of silica glass and of the low noise and high gain of erbium-doped fiber amplifier (EDFA). Achieving low-noise long-haul transmission using other bands is not easy due to the high attenuation of the fibers and the lack of good amplifiers. In addition, even if the fundamental limits of low loss and low nonlinearity could be achieve in a novel optical fiber such as an ultra-low loss fiber or a hollow-core photonic bandgap fiber, the improvement of signal-to-noise ratio will result in only the slight increase of spectral efficiency [1]. Therefore, the transmission capacity of the single-core SMF is rapidly approaching its fundamental limit, and it is estimated that the current trends of traffic growth will result in capacity crunch in the near future [2].
Space division multiplexing (SDM) has emerged as a solution to the problem of saturation of the capacity of optical transmission systems in order to further increase the fiber capacity or spatial capacity – the capacity per cross-sectional area of the fiber. SDM optical fiber transmission itself is not a new idea and multicore fiber (MCF) for high density transmission was proposed in 1979 [3, 4]. The fabricated MCF in late 1970s was drawn from one preform including multiple cores. In 1982, another type of MCF, which is called bunch fiber, was proposed [5]. The bunch fiber is drawn from bunched multiple preforms and each preform includes one respective core. However, the passive optical network (PON) [6] was utilized to provide cost- and space-efficient networks for the subscriber lines, and the MCF became unnecessary anymore for the density improvement and has not been commercialized for SDM transmission then. In the late 2000s, the SDM technologies had rapidly come to attract attentions again [7], since the future capacity crunch became an issue with reality [1, 2]. The idea behind SDM is to transmit simultaneously over several different spatial modes of propagation by the use of fibers comprising multiple cores, multimode fibers, and even the use of optical vortices.
This paper reviews the state-of-the-art of MCF designs and development as a future large capacity long-distance transmission media for SDM. Firstly, crosstalk and core density in MCFs are explained based on the recently fabricated fibers. Next, reported results on transmission experiment using MCFs are reviewed. In addition, in order to further increase the multiplicity in MCF, recently developed new MCF structures, which are heterogeneous MCFs and few-mode MCFs, are explained. In this paper, we mainly focus on the MCFs with low crosstalk between neighboring cores, which can be called “uncoupled MCFs”.

Growth of the transmission capacity of optical fiber.
2 Crosstalk and core density in multicore fibers
An MCF structure has been proposed to increase the capacity per cross-sectional area of the fiber. Particularly, in 2008, an MCF with holey structure has been fabricated by Furukawa Electric [8], and after that, various types of MCFs have been reported. In MCFs, the optical crosstalk between adjacent cores is an important problem, since a part of the optical power launched into one of the core is coupled with neighboring cores during the propagation. Figure 2 shows the classification of optical fibers including MCFs reported so far. MCFs can be classified into uncoupled-type and coupled-type fibers. In the uncoupled MCFs, each core is used as an individual waveguide, therefore each core has to be arranged for keeping the inter-core crosstalk sufficiently small for long-distance transmission applications. On the other hand, in the coupled MCFs, several cores are placed to strongly and/or weakly couple between each other. Coupled MCFs supporting single transverse mode and multi transverse modes have been investigated for high power fiber laser applications [9, 10], since they are able to be used as large-mode-area (LMA) fibers, while the coupled MCFs supporting a few super-modes can be used as few-mode fibers (FMFs) for large capacity transmission experiments with mode-division multiplexing (MDM) technique [11–14]. In terms of core arrangement in uncoupled MCFs, homogeneous MCFs with identical multiple cores [15–30] and heterogeneous MCFs with several kinds of different cores [31–35] have been reported. In addition, each core can be designed to support not only single mode but also few modes and multi modes, and they can be called single-mode MCF (SM-MCF), few-mode MCF (FM-MCF) [36–42], and multi-mode MCF (MM-MCF) [43], respectively.

Classification of optical fibers.
Table 1 summarizes the recently fabricated uncoupled SM-MCFs [15–30]. In the uncoupled MCFs, high core density as well as low attenuation and large effective area, Aeff, are important characteristics for utilizing MCFs as a transmission fiber to improve optical signal to noise ratio (OSNR) and SDM efficiency. In order to compare the core density of MCFs, the spatial efficiency (SE) or the core multiplicity factor (CMF) can be used, which is defined as [44]:
Characteristics of reported uncoupled single-mode multicore fibers.
| Reference | Number of cores | CD (μm) | Attenuation (dB/km) | Aeff (μm2)a | 100-km Crosstalk (dB)b | RCMF |
|---|---|---|---|---|---|---|
| [15] | 7 | ~180 | 2.38 | 41.8 | -60 | 1.76 |
| [16] | 7 | 215 | 0.205 | 101 | -23 | 2.99 |
| [17] | 7 | 125.9 | 0.43 | 40.1 | -39 | 3.46 |
| [18] | 7 | 217 | 0.213 | 110 | -43 | 3.19 |
| [19] | 7 | 150 | 0.18 | 80 | -92 | 4.86 |
| [20] | 7 | 125.4 | 0.21 | 76.6 | -45 | 6.66 |
| [21] | 7 | 186.5 | 0.23 | ~75 | -60 | 2.95 |
| [22] | 7 | 240 | 0.2 | 100 | -50 | 2.37 |
| [23] | 7 | 181.3 | 0.198 | 112.4 | -59 | 4.67 |
| [24] | 10 | 204.4 | 0.242 | 116 | -46 | 5.42 |
| [25] | 19 | 200 | 0.227 | 71.5 | -42 | 6.63 |
| [26] | 7 | 195 | 0.19 | 110 | -64 | 3.96 |
| [27] | 7 | 186 | 0.242 | 141 | -50 | 5.57 |
| [28] | 7 | 187.5 | 0.168 | 130 | -41.5 | 5.06 |
| [29] | 12 | 225 | 0.20 | 80 | -45 | 3.70 |
| [30] | 12 | 230 | 0.19 | 106 | -52 | 4.70 |
aMeasured value at 1550 nm. bAverage crosstalk between two cores at 1550 nm after 100-km propagation.

where n is a number of core with effective area Aeff in a cladding and CD is a cladding diameter. The CMF indicates the core area ratio in a cladding. In Table 1, a relative CMF (RCMF) of MCFs with various Aeff and CD is shown. The RCMF is ratio between CMF of an MCF and a standard single-core SMF with Aeff of 80 μm2 at 1550-nm wavelength and cladding diameter of 125 μm. The reported maximum RCMF with large Aeff of larger than 100 μm2 and low 100-km crosstalk of smaller than -50 dB is 5.57 for 7-core fiber [27] and 4.70 for 12-core fiber [30], and the maximum number of incorporated cores in a single cladding is 19 [25] so far. The crosstalk in Table 1 is averaged value between two cores at 1550 nm after 100-km propagation. It should be noted that the crosstalk of MCFs increases with increasing the signal wavelength and the slope of crosstalk over wavelength regimes can be estimated to be approximately 0.06 dB/nm–0.15 dB/nm [29, 30, 45, 46]. Therefore, the crosstalk at the longer edge of L band is about 5 dB–10 dB larger than that at 1550 nm wavelength.
The most important concern in designing MCFs is the number of cores placed in a limited cladding. There is no standard cladding size in MCFs at this moment, however, a small cladding diameter is preferable not only for achieving a high core density but also for maintaining high mechanical reliability for bending. Considering a failure probability, a cladding diameter of MCFs should be smaller than 230 μm to satisfy the limit of failure probability [24]. The number of cores able to be multiplexed in a fiber is determined by the core-to-core distance with a fixed outer cladding diameter. The small core-to-core distance results in a large crosstalk between neighboring cores in uncoupled MCFs. The suppression of crosstalk between cores is one of the critical issues for practical use of uncoupled MCFs. If we fix the core-to-core distance Λ and the cutoff wavelength λc of each core, the effective area Aeff has to be decreased, to decrease the coupling coefficient between neighboring cores, resulting in an increment of the fiber nonlinearity. In addition, the cladding thickness (CT), which is a distance from a center of outer core to outer cladding edge, should be sufficiently large for reducing micro-/macro-bending losses in outer cores [44]. Therefore, there is a trade-off relationship between inter-core crosstalk, fiber nonlinearity, and core density with keeping single-mode condition. Figure 3 shows the required core-to-core distance condition in 7-core, 13-core, and 19-core fibers with hexagonally close-pack structure (HCPS), where the maximum cladding diameter is assumed to be 230 μm [24] and the CT is assumed to be 40 μm [44]. We can see that, in 7-core structure, large core-to-core distance is acceptable, while the CMF becomes low. On the other hand, higher core density can be achieved by using 13-core or 19-core structure, however, the maximum permissible core-to-core distance is approximately 43 μm and 37 μm, respectively, in 13-core fiber and 19-core fiber.

Relation between number of cores and condition of core-to-core distance in MCFs with hexagonally close pack structure, where the cladding diameter (CD) and cladding thickness (CT) are assumed to be 230 μm and 40 μm, respectively.
When the core-to-core distance is determined, the crosstalk in homogeneous MCFs can be estimated. The crosstalk in actual MCFs shows statistical characteristics and a coupled-mode theory [32, 47, 48] and a coupled-power theory [48–50] have been introduced for various MCFs to estimate crosstalk in MCFs theoretically. In 2011, Hayashi et al. have shown both theoretically and experimentally that the mean value of the statistical distribution of the crosstalk XTave in homogeneous MFCs is given as [51]

where κ is the mode-coupling coefficient between neighboring cores, R is the bending radius, β is the propagation constant, Λ is the core-to-core distance (core pitch), and L is the fiber length. It is clear that, if the mode-coupling coefficient κ is obtained, the averaged crosstalk XTave can be easily estimated in homogeneous MCFs. For example, if we target a crosstalk level of -30 dB after 100-km propagation with Λ<45 μm and R<500 mm, the κ has to be lowered to around 10-3 m-1 or less. We should notice that the target crosstalk level is depending on the modulation format to be used. In Ref. [52], the effect of the crosstalk on the OSNR was investigated numerically by assuming the crosstalk as a static coupling, and experimentally by realizing the crosstalk as an effectively static coupling using optical couplers and variable optical attenuators. It has been reported that the crosstalk-induced penalty at the bit-error rate of 10-3 is <1 dB, when the crosstalk is <-18 dB for quadrature phase-shift keying (QPSK), -24 dB for 16-QAM, and -32 dB for 64-QAM [52].
Before 2011, almost all the reported MCFs had a step-index profile in each core. However, it has been revealed that, in MCFs with step-index profile with large Aeff and single mode operation, the core-to-core distance has to be increased to 45 μm to achieve a coupling coefficient on the order of 10-3 m-1 [53], therefore the maximum achievable core number was seven with step-index profile.
In order to decrease crosstalk and to increase core density in MCFs, trench-assisted MCFs (TA-MCFs) [19, 20, 22] and hole-assisted MCFs (HA-MCFs) [54, 55] have been proposed. Figure 4 shows a typical cross sectional view of a fabricated TA-MCF with homogeneous core arrangement, where identical seven cores with low-index trench profile are arranged hexagonally. In Figure 4, the schematic diagram of an index profile with trench-assisted structure is also shown. Due to the existence of low index trench layer with the thickness of W, the overlap of the electromagnetic fields between neighboring cores can be greatly suppressed, resulting in the suppression of crosstalk compared with that in an MCF with step-index profile. The trench layer can also reduce a micro-/macro-bending loss [56, 57], resulting in a reduction of outer cladding thickness [44, 58].

Cross sectional view of a fabricated TA-MCF and its index profile.
Figure 5 shows the relationship between the worst crosstalk after 100-km long propagation, 100-km XTworst, and the core-to-core distance (core pitch) in TA-MCFs with a typical index profile [53], where the target effective areas are 80 μm2 and 100 μm2 as examples. We should note that the crosstalk of inner cores is larger than that of outer cores assuming all cores carry equal signal power [21]. The phenomena originate from the difference in the number of nearest neighbor cores. In the case of the HCPS, the inner core has six nearest neighbor cores, while the outer cores have three or four nearest neighbor cores. Assuming all cores carry equal signal power, the worst crosstalk of the cores is estimated as follows:
![Figure 5 The relationship between the worst crosstalk after 100-km long propagation, 100-km XTworst, and the core-to-core distance in TA-MCFs [53].](/document/doi/10.1515/nanoph-2013-0037/asset/graphic/nanoph-2013-0037_fig5.jpg)
The relationship between the worst crosstalk after 100-km long propagation, 100-km XTworst, and the core-to-core distance in TA-MCFs [53].

where XTworst is the worst crosstalk in (dB), XT is crosstalk between two cores in (dB), and n is the number of nearest neighbor cores. Crosstalk increment due to nearest neighbor cores (ΔXT) defined by the following equation is a measure of crosstalk degradation due to nearest neighbor cores.

The ΔXT of inner cores is 7.8 dB and that of outer cores is 4.8 dB for three nearest neighbor cores or 6.0 dB for four nearest neighbor cores. The MCF should be designed by considering XTworst. The large ΔXT and the variation depending on the number of nearest neighbor cores are also concerned. From Figure 5, we can see that it is difficult to realize 19-core fibers with low 100-km XTworst in a practical cladding diameter. On the other hand, in 7-core fibers, it is possible to design 7-core fiber with very low crosstalk and large Aeff under a relatively small cladding diameter [27, 28]. In addition, using 13-core arrangement, we can achieve reasonable low crosstalk and large Aeff with acceptable cladding diameter. Therefore, the maximum number of cores and the core arrangement have to be carefully determined based on the required crosstalk level considering a modulation format to be used in the transmission and the target effective area size.
3 Transmission experiments on single-mode multicore fibers
Many kinds of MCFs have been developed to achieve high-capacity long-distance transmission. Table 2 summarizes large capacity transmission experiments over SM-MCFs. The first demonstrations of high capacity transmission were presented as post deadline papers at OFC/NFOEC2011 by NICT et al. [59] and OFS et al. [60], respectively. NICT et al. have demonstrated 109-Tb/s/fiber-transmission over a 16.8-km MCF. OFS et al. demonstrated 76.8-km transmission with 56-Tb/s/fiber capacity. OFS et al. have increased the capacity to 112 Tb/s in their followed experiment [21]. Seven-core fibers with HCPS whose Aeff or MFD was similar to that of a conventional SMF were used in these experiments. Not long after that remarkable progress related to extending transmission distance and expanding capacity has been demonstrated.
Examples of high capacity transmission over multicore fibers.
| Reference number | MCF | Aeff(μm2)/MFD (μm)a | Maximum XTworstb (dB) | Capacity (Tb/s/fiber) | Distance (km) | Capacity-distance product (Pb/s/fiber km) | Modulation Format | In-line optical amplifier |
|---|---|---|---|---|---|---|---|---|
| [59] | 7-core HCPS | 80/- | -62 | 109 | 16.8 | 1.8 | PDM-QPSK | – |
| [60] | 7-core HCPS | -/9.6 | -31 | 56 | 76.8 | 4.3 | PDM-QPSK | |
| [21] | 7-core HCPS | -/9.6 | -31 | 112 | 76.8 | 8.6 | PDM-QPSK | – |
| [61] | 7-core HCPS | -/9.6 | -31 | 7 | 2688 | 18.8 | PDM-QPSK | EDFA |
| [62] | 19-core HCPS | 72- | -24 | 305 | 10.1 | 3.1 | PDM-QPPK | – |
| [26] | 7-core HCPS | 110/- | -56 | 7 | 1050 | 7.4 | PDM-16QAM | EDFA/Raman |
| [63] | 7-core HCPS | 99/- | -40 | 28.7 | 6160 | 176.8 | PDM-QPSK | MC-EDFA |
| [64] | 12-core ORS | 81/- | -37 | 1010 | 52.4 | 52.9 | PDM-32QAM | EDFA/Raman |
| [30] | 12-core DRS | 106/- | -42 | 409+409 | 450 | 368.2 | PDM-32QM | MC-EDFA/Raman |
| (184.2+184.1) |
aMeasured value at 1550 nm. bMaximum value of 100-km XTworst at 1550 nm.
A key device to extend transmission distance by using multi-span transmission is an in-line amplifier. Alcatel-Lucent et al. have demonstrated 2688-km transmission with 7 Tb/s/fiber capacity by using the same MCF with Ref. [21, 60] and conventional C-band EDFAs as in-line amplifiers [61]. NTT et al. have presented 1050-km transmission over a seven-core HCPS MCF with large Aeff of 110 μm2[26]. The feature of this experiment is utilization of PDM-16QAM format and Raman amplification to MCF transmission. The crosstalk of the fiber was reduced to -56 dB to use such high order QAM format. In this experiment, the feasibility of MCF transmission with high pump power of 6.5 W per fiber was confirmed. The maximum transmission distance over MCFs so far was recorded by KDDI et al. [63]. They have achieved 6160-km transmission over a seven-core HCPS MCF with a multicore EDFA. The experiment was the first demonstration of high capacity transmission by using a multicore EDFA even though the first demonstration of a multicore EDFA has been presented in the previous year [65]. The combination of an MCF with moderate crosstalk of 100-km XTworst=-40 dB and QPSK modulation realized capacity-distance product of 176.8 Pb/s km, which is equivalent with that of 203 Tb/s km over a single-core fiber [66].
In order to realize long-distance MCF transmission, development of manufacturing process of long-length MCF is also necessary. Two processes have been known as the fabrication process of MCFs [67]. One is a stack and draw process, which is also known as the process for fabrication of microstructured fibers. Another is a drilling process, which has been used to fabricate a conventional polarization-maintaining fiber. In the stack and draw process, firstly, prepared stacking elements (tube, core rods, and adjusting rods) are cleaned and dried. After that, these core rods and adjusting rods are stacked inside the tube. The stacked preform is tapered for fiber drawing and is drawn down to MCF. On the other hand, in the drilling process, holes are fabricated in a preform by using an adequate tool. The inside of holes is polished and cleaned. A perform for drawing is completed by inserting cleaned rods into the holes. The prepared preform is drawn to a fiber in the same procedure with the stack and draw process. Core alignment accuracy of the stack and draw process is said to be relatively inferior to that of the drilling process because there are much clearance inside the stacked perform. In the case of the drilling process, careful treatment of the surface roughness of drilled holes is indispensable to suppress excess attenuation. The longest span length of MCF transmission reported so far is about 75 km [21, 26]. To extend the length of MCF over 100 km, improvement of preform fabrication procedure will be needed both in stack and draw process and drilling process for manufacturing larger scale preforms.
Another view point of transmission experiments over MCFs is a transmission capacity per fiber. The first experiment whose capacity went far beyond 100 Tb/s per fiber was demonstrated by NICT et al. The capacity of 305 Tb/s/fiber was realized by using 10-km 19-core HCPS MCF with Aeff of 72 μm2, which is slightly smaller than that of a conventional SMF [62]. The crosstalk of the MCF was somewhat large compared to other MCFs due to a tight core-to-core distance for 19-core packing within cladding diameter of 200 μm. NTT et al. have demonstrated the transmission experiment whose capacity exceeded 1 Pb/s/fiber for the first time [64]. A 52.4-km 12-core MCF with a one-ring structure (ORS) shown in Figure 6A was used in this experiment. The ORS can overcome three issues of HCPS [29]. The number of adjacent cores of the ORS is two for all cores, but cores of the HCPS have three-, four- or six-adjacent cores. The reduced and homogeneous number of adjacent core is helpful to reduce the worst case crosstalk that is a crosstalk assuming all adjacent cores are fully excited. The elimination of a center core allows reducing a core pitch while keeping the same crosstalk with a HCPS. As a result, the ORS enables 12-core arrangement and low crosstalk under cladding diameter limitation. The utilization of 32 QAM format, which was indispensable to realize 1-Pb/s/fiber capacity, was allowed by low crosstalk characteristics of the 12-core fiber.

Cross sectional view of 12-core fiber with different structure: (A) One-ring structure. (B) Dual-ring structure.
Simultaneous realization of crosstalk reduction and Aeff enlargement are required to realize large capacity and long distance transmission. NTT et al. have reported a transmission experiment with a large capacity of 409+409 Tb/s/fiber and long distance of 450 km [30]. A 12-core fiber with a dual ring structure (DRS), whose cross section is shown in Figure 6B, realized enlarged Aeff of 106 μm2 and low worst-crosstalk of -48 dB after 100-km propagation. The maximum number of adjacent cores of a DRS is two or four, which is inhomogeneous and is larger than that of an ORS. However, core-to-core distance of a DRS can be enlarged compared to that of an ORS under the same cladding condition. Consequently, a DRS can show enlarged Aeff and/or reduced crosstalk compared to an ORS. Another feature of this experiment is propagation-direction interleaving (PDI), where adjacent cores are assigned to opposite direction as shown in Figure 7. We can reduce the number of adjacent core in which the signal propagates to the same direction to one for all cores by using PDI. Accordingly, effective crosstalk is expected to be reduced. The PDI technique was also used in multicore EDFA used in this experiment [68]. The effectiveness of PDI has also been demonstrated by NEC [69].

Concept of bi-directional signal assignment on a 12-core fiber with a dual-ring structure.
Recently, another theoretical consideration to maximize the transmission capacity per fiber has been demonstrated [70, 71]. They stated that an MCF with small Aeff and moderate crosstalk can maximize transmission capacity per fiber. Regarding OSNR that includes crosstalk-related noise, spectral efficiency per core whose Aeff is <50 μm2 can be 40 times larger than that of conventional SMF with Aeff of 80 μm2 [71]. If we can use a hole-assisted double cladding uncoupled heterogeneous MCF, theoretical total capacity of a 100-km span reaches around 10.2 Pb/s with 93-core fiber [70]. Further consideration and experimental demonstration are expected to prove the concept.
4 Heterogeneous multicore fiber
One of the promising approaches for realizing a low crosstalk uncoupled MCF is introducing different kinds of cores in a fiber [31], which is called heterogeneous MCFs. The heterogeneous MCF consists of several kinds of cores whose propagation constants are different from each other. In 2009, Koshiba et al. proposed that the inter-core crosstalk between non-identical cores can be suppressed even for step-index MCFs by introducing small differences in the effective indices between neighboring cores from the theoretical consideration based on the coupled-mode theory [31]. Theoretically, the maximum normalized-power transferred between cores can be effectively suppressed by introducing slightly different cores, if there is no perturbation in MCFs. Based on this concept, several heterogeneous MCFs have been fabricated [32, 34] and it was found that there is large differences between the earlier theoretical prediction and the measured crosstalk in heterogeneous MCFs. Hayashi et al. have revealed that this discrepancy originates from the large perturbation which occurred in actual MCFs and that the bending perturbation is crucial for predicting the crosstalk in heterogeneous MCFs [32]. In a bent heterogeneous MCF, when the bending radius is smaller than a specific value, there is a linear relation between a bending radius in a logarithmic scale and a crosstalk values as in a homogeneous MCF. On the other hand, over the bending radius larger than a specific value, the crosstalk decreases rapidly. This phenomenon can be explained by the variation of equivalent propagation constant in outer cores due to bending and twisting effects [32]. Considering the fiber bending and twisting effects, the propagation constant difference between neighboring cores is a function of propagation distance and becomes zero at many positions during the propagation, if the bending radius is smaller than a specific threshold value of Rpk, which is given by [32]

where neff and Δneff are the effective index of a core and the effective index difference between the non-identical cores, respectively, and Λ is the core-to-core distance. The crosstalk is degraded at bending radii <Rpk due to index-matching between non-identical cores [32, 33, 48]. In this phase-matching region, the bent induced effective index variation is larger than the intrinsic index difference Δneff between heterogeneous cores. On the other hand, in the non-phase-matching region of bending radii >Rpk, the bent induced effective index variation is smaller than the intrinsic index difference Δneff, therefore the crosstalk is dominated by the statistical properties [48, 50]. In this non-phase-matching region, the heterogeneous MCFs can be used as a bending insensitive fiber in terms of crosstalk. If the effective index difference between cores is sufficiently large, the value of Rpk can be pushed toward small range. Specifically, if we try to shift Rpk to the bending radius of smaller than 5 cm with a core-to-core distance <40 μm, Δneff of larger than about 0.001 is needed between non-identical cores in a heterogeneous MCF [72].
Figure 8 shows a typical comparison of the mean value of the inter-core crosstalk after 100-km propagation in a homogeneous MCF and a heterogeneous MCF estimated from the numerical prediction [72]. In the homogeneous MCF, the core-to-core distance is 35 μm, and the core radius and core index Δ are 4.8 μm and 0.41%, respectively, where the effective core area is about 80 μm2. On the other hand, in the heterogeneous MCF, one of the cores has a radius of 4.8 μm and core index Δ of 0.41% and another one has a radius of 4.3 μm and core index Δ of 0.36%. The non-identical cores are arranged alternately with core-to-core distance of 35 μm and a total of six cores are placed, where the effective core areas are both approximately 80 μm2. We can see that, in the homogeneous MCF, the inter-core crosstalk is lower than -18 dB for bending radii of smaller than 3 cm due to the bending perturbation effect, however it increases as increasing the bending radius due to the decrement of the bending perturbation. In the heterogeneous MCF, on the other hand, the inter-core crosstalk after 100-km propagation is quite large for bending radii <Rpk of 5 cm, since the bend perturbations is larger than the intrinsic index difference Δneff between adjacent cores in this range, whereas it is greatly suppressed for bending radii of larger than 6 cm even if the core-to-core distance is 35 μm. These results indicate that the heterogeneous MCFs with sufficiently large effective index difference Δneff between the non-identical cores may be used as a bending radius insensitive low-crosstalk MCFs in a practical situation by carefully selecting the core parameters.

Numerically calculated average crosstalk between neighboring cores after 100-km propagation as a function of bending radius for homogeneous MCF (upper figure) and heterogeneous MCF (lower figure).
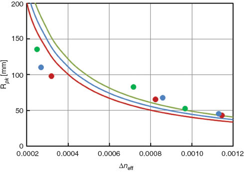
Recently, crosstalk dependencies on bending radius of heterogeneous MCFs have been experimentally investigated in detail [35]. Figure 9 shows a cross sectional view of the fabricated heterogeneous MCF [35]. It has three kinds of cores (Cores 1, 2, and 3), namely, three kinds of effective index differences Δneff between cores. By changing the value of Δneff, the variation of the critical bending radius Rpk is expected. Figure 10 shows the Δneff dependence of the Rpk for three slightly different heterogeneous MCFs, where the symbols are derived from the measured crosstalk and the solid curves are estimated lines from theoretical prediction [35]. It can be seen that Rpk is proportional not only to (1/Δneff) but also to core-to-core distance as shown in Eq. (5) and it is possible to shift Rpk to the region of around 50 mm by designing Δneff to be larger than 0.001 regardless of core-to-core distance.
![Figure 9 Cross sectional view of a fabricated heterogeneous MCF [35].](/document/doi/10.1515/nanoph-2013-0037/asset/graphic/nanoph-2013-0037_fig9.jpg)
Cross sectional view of a fabricated heterogeneous MCF [35].
![Figure 10 Δneff dependence of the Rpk for fabricated heterogeneous MCFs, where the symbols are derived from the measured crosstalk and the solid curves are estimated lines from theoretical prediction [35].](/document/doi/10.1515/nanoph-2013-0037/asset/graphic/nanoph-2013-0037_fig10.jpg)
Δneff dependence of the Rpk for fabricated heterogeneous MCFs, where the symbols are derived from the measured crosstalk and the solid curves are estimated lines from theoretical prediction [35].
5 Few-mode multicore fiber
MDM over FMF is another candidate for SDM. A large-capacity MDM transmission experiment of 72.7 Tb/s, which is close to the maximum record of 102.3 Tb/s on a single-core SMF [73], has been demonstrated [74]. Many types of FMFs have been proposed to increase the number of modes, to optimize mode-coupling, and to reduce differential mode group delay (DMD) [75–79]. The FMFs can be fabricated by using processes for conventional single-core fibers. However, complex signal processing such as MIMO (multi input and multi output) is required to separate coupled modes during propagation in most cases. The number of multiplexed modes may be limited regarding the signal processing system complexity.
The combination of multicore and few-mode, FM-MCF, is also another candidate for SDM. The concept of an FM-MCF has already been proposed a few years ago [7, 11] and fabrication results have been demonstrated recently [36–41]. In addition, a hybrid MCF that involves single-mode cores and few-mode cores has been used in a transmission experiment that recorded 1.05 Pb/s/fiber on a 3-km hybrid MCF [42].
The most critical characteristic for designing an FM-MCF is the inter-core crosstalk related to higher order modes. Figure 11 shows a simulated inter-core crosstalk after 100-km propagation as a function of core-to-core distance (core pitch) [39]. Step-index cores with the core radius of 6.47 μm and the relative refractive index difference of 0.45% was used in this simulation. Aeff at 1550 nm of LP01 mode and LP11 mode was 110 μm2 and 170 μm2, respectively. XT01-01, XT01-11, and XT11-11 denote the core-to-core crosstalk between LP01 mode and LP01 mode, between LP01 mode and LP11 mode, and between LP11 mode and LP11 mode, respectively. XT11-11 is about 40-dB larger than XT01-01. The high crosstalk indicated that a core-to-core distance of FM-MCFs should be larger than that of SM-MCF to realize the same crosstalk. Small inter-core crosstalk is preferable to exclude MIMO processing on inter-core crosstalk compensation.

Inter-core crosstalk after 100-km propagation as a function of core pitch in a FM-MCF.
In spite of the core-pitch limitation due to XT11-11, FM-MCFs have potential to realize high multiplicity. Table 3 summarizes characteristics of FM-MCFs presented so far. DMD values for the reported FM-MCFs are also shown in Table 3. Hole-assisted structure and trench assisted structure are promising structures to reduce XT11-11. Seven-core trench-assisted FM-MCF [41] showed quite low 100-km inter-core crosstalk of -48 dB. In the case of two LP mode multiplexing, the fiber has 14 (7×2) independent paths. If we can use degenerated LP11 mode as two modes (LP11a/LP11b) thanks to MIMO technology, the fiber has 21 (7×3) independent paths.
Examples of fabricated few-mode multicore fibers.
| Organization | CREOL | Furukawa Electric | Fujikura Ltd. | ||
|---|---|---|---|---|---|
| Reference | [36] | [37] | [38] | [39, 40] | [41] |
| Number of core | 7 | 7 | 19 | 4 | 7 |
| Structure of a core element | Hole-assisted structure | Depressed cladding | Depressed cladding | Matched cladding | Trench-assisted structure |
| Modes in a core | LP01/LP11 | LP01/LP11 | LP01/LP11 | LP01/LP11 | LP01/LP11 |
| Fabricated length (km) | 1 | 1 | 0.1 | 3.7 | 2.0 |
| Core pith (μm) | 40 | 61.5 | 60.7 | 52.3 | 46.2 |
| Cladding diameter (μm) | 192 | 243 | 440 | 176 | 195.4 |
| LP01 attenuationa (dB/km) | – | 1.72 | 1–2 | 0.231 | 0.229 |
| LP01 Aeffa (μm2) | (113) | 183 | 218 | 114 | 110 |
| LP11 attenuationa (dB/km) | – | 1.43 | 1–2 | – | |
| LP11 Aeffa (μm2) | (170) | 275 | 304 | (170) | (175) |
| LP11-LP11 crosstalka (dB/100 km) | -20 | -33 | -15.2 | -42 | -48 |
| DMDa (ps/km) | 4600 | – | – | 3000 | 2729 |
| RCMF | 17.8 | 16.4 | 12.7 | 12.0 | 16.6 |
aMeasured value at 1550 nm. Values in parentheses were simulated values.
CMF has been proposed as a measure of spatial efficiency of an SM-MCF [44] and has been extended for an FM-MCF [39]. CMF and RCMF are defined by the following equation.


where CMFxxx and RCMFxxx are CMF and RCMF of fiber xxx, n is the number of core, Aeff is the effective area, Dc is the cladding diameter of an MCF, Aeff-SMF is the effective area of SMF (80 μm2 at 1550 nm), DcSMF is the cladding diameter of SMF (125 μm), Aeff-m is the effective area of m-th mode, and l is the number of modes.
The maximum RCMF of SM-MCFs with moderate or large Aeff and moderate or small crosstalk is limited around 5–6 [27, 28, 53]. RCMFs of two-LP mode MCFs shown in Table 3 exceed 10. Figure 12 shows the relationship between RCMF and crosstalk of FM-MCFs shown in Table 3. Trench-assisted FM-MCF has realized high RCMF and low crosstalk simultaneously for the first time.

Relationship between RCMF and 100-km XT11-11 of fabricated FM-MCFs.
Further optimization on FM-MCFs is required to use an FM-MCF as a transmission line. For example, DMDs of FM-MCFs shown in Table 3 were a few thousand ps/km due to step-like core profile. The reduction of DMD by using a graded-index profile will be indispensable to relax load of signal processing. In addition, development of devices such as Fan-in/Fan-out and amplifier are indispensable to realize ultimate highly multiplexed transmission over an FM-MCF.
6 Conclusion
In this article, recent progress on MCF researches to date for high-capacity SDM transmission has been reviewed mainly focusing on the uncoupled MCFs. Due to the limitation of the outer cladding size of MCFs related to their mechanical reliability, the number of cores as well as the core arrangement have to be carefully determined based on the required modulation format and transmission distance. For the single-mode homogeneous MCF with moderate Aeff and low worst-crosstalk, the maximum number of cores incorporated in a practical cladding size is around 13. On the other hand, by introducing heterogeneous core arrangement, further decrement of core-to-core distance is possible with keeping lower crosstalk level compared with the homogeneous MCFs. More detailed studies on optimum design of heterogeneous MCFs will be required for the increment of the spatial efficiency. In addition, the combination of MCF and FMF, which is FM-MCF, is a very promising approach to realize capacity-distance product over Exa b/s/fiber km. In order to realize relative spatial efficiency of larger than 20, FM-MCF will be required and further development on related devices such as Fan-in/Fan-out and amplifier for FM-MCF transmission is highly expected. In order to reduce cost-per-bit than current SMF by MCFs, device integration such as amplifiers, transmitters, and receivers is needed. Investigation towards cost saving by using MCF transmission system is underway. Further development on devise integration is expected for deploying MCFs in the real network.
References
[1] Desurvire EB. Capacity demand and technology challenges for lightwave systems in the next two decades. J Lightwave Technol 2006;24(12):4697–710.10.1109/JLT.2006.885772Suche in Google Scholar
[2] Essiambre R-J, Kramer G, Winzer PJ, Foschini GJ, Goebel B. Capacity limits of optical fiber networks. J Lightwave Technol 2010;28(4):662–701.10.1109/JLT.2009.2039464Suche in Google Scholar
[3] Inao S, Sato T, Sentsui S, Kuroha T, Nishimura Y. Multicore optical fiber. In Optical Fiber Communication Conference (OFC), WB1, March 1979.10.1364/OFC.1979.WB1Suche in Google Scholar
[4] Inao S, Sato T, Hondo H, Ogai M, Sentsui S, Otake A, Yoshizaki K, Ishihara K, Uchida N. High density multicore-fiber cable. In International Wire Cable Symposium (IWCS), pp. 370–84, November 1979.Suche in Google Scholar
[5] Kashima N, Maekawa E, Nihei F. New type of multicore fiber. In Optical Fiber Communication Conference (OFC), ThAA5, April 1982.10.1364/OFC.1982.ThAA5Suche in Google Scholar
[6] Stern JR, Ballance JW, Fraulkner DW, Hornung S, Payne DB, Oakley K. Passive optical local networks for telephony applications and beyond. Electron Lett 1987;23(24):1255–6.10.1049/el:19870872Suche in Google Scholar
[7] Morioka T. New generation optical infrastructure technologies: “EXAT initiative” towards 2020 and beyond, In OptoElectronics and Communications Conference (OECC), FT4, July 2009.10.1109/OECC.2009.5213198Suche in Google Scholar
[8] Imamura K, Mukasa K, Sugisaki R, Mimura Y, Yagi T. Multi-core holey fibers for ultra large capacity wide-band transmission. In European Conference and Exhibition on Optical Communication (ECOC), P.1.17, September 2008.10.1109/ECOC.2008.4729437Suche in Google Scholar
[9] Vogel MM, Abdou-Ahmed M, Voss A, Graf T. Very-large-mode-area multicore fiber. Opt Lett 2009;34:2876–8.10.1364/OL.34.002876Suche in Google Scholar PubMed
[10] Huo Y, Cheo PK, King GG. Fundamental mode operation of a 19-core phase-locked Yb-doped fiber amplifier. Opt Express 2004;12:6230–9.10.1364/OPEX.12.006230Suche in Google Scholar
[11] Kokubun Y, Koshiba M. Novel multi-core fibers for mode division multiplexing: proposal and design principle. IEICE Electron Express 2009;6:522–8.10.1587/elex.6.522Suche in Google Scholar
[12] Xia C, Bai N, Ozdur I, Zhou X, Li G. Supermodes for optical transmission. Opt Exp 2011;19:16653–64.10.1364/OE.19.016653Suche in Google Scholar PubMed
[13] Ryf R, Sierra A, Essiambre R-J, Gnauck AH, Randel S, Esmaeelpour M, Mumtaz S, Winzer PJ, Delbue R, Pupalaikis P, Sureka A, Hayashi T, Taru T, Sasaki T. Coherent 1200-km 6x6 MIMO mode-multiplexed transmission over 3-core microstructured fiber. In European Conference and Exhibition on Optical Communication (ECOC), Th.13.C.1, September 2011.10.1364/ECOC.2011.Th.13.C.1Suche in Google Scholar
[14] Kokubun Y, Komo T, Takenaga K, Tanigawa S, Matsuo S. Mode discrimination and bending properties of fore-core homogeneous coupled multi-core fiber. In European Conference and Exhibition on Optical Communication (ECOC), We10.P1.08, September 2001.Suche in Google Scholar
[15] Imamura K, Mukasa K, Miura Y, Yagi T. Multi-core holey fibers for the long-distance (>100 km) ultra large capacity transmission. In Optical Fiber Communication Conference and Exposition and National Fiber Optic Engineers Conference (OFC/NFOEC), OTuC3, March 2009.10.1364/OFC.2009.OTuC3Suche in Google Scholar
[16] Imamura K, Mukasa K, Yagi T. Investigation on multi-core fibers with large Aeff and low micro bending loss. In Optical Fiber Communication Conference and Exposition and National Fiber Optic Engineers Conference (OFC/NFOEC), OWK6, March 2010.10.1364/OFC.2010.OWK6Suche in Google Scholar
[17] Takenaga K, Tanigawa S, Guan N, Matsuo S, Saitoh K, Koshiba M. Reduction of crosstalk by quasi-homogeneous solid multi-core fiber. In Optical Fiber Communication Conference and Exposition and National Fiber Optic Engineers Conference (OFC/NFOEC), OWK7, March 2010.10.1364/OFC.2010.OWK7Suche in Google Scholar
[18] Mukasa K, Imamura K, Tsuchida Y, Sugizaki R. Multi-core fibers for large capacity SDM. In Optical Fiber Communication Conference and Exposition and National Fiber Optic Engineers Conference (OFC/NFOEC), OWJ1, March 2011.10.1364/OFC.2011.OWJ1Suche in Google Scholar
[19] Hayashi T, Taru T, Shimakawa O, Sasaki T, Sasaoka E. Ultra-low-crosstalk multi-core fiber feasible to ultra-long-haul transmission. In Optical Fiber Communication Conference and Exposition and National Fiber Optic Engineers Conference (OFC/NFOEC), PDPC2, March 2011.10.1364/OFC.2011.PDPC2Suche in Google Scholar
[20] Takenaga K, Arakawa Y, Tanigawa S, Guan N, Matsuo S, Saitoh K, Koshiba M. Reduction of crosstalk by trench-assisted multi-core fiber. In Optical Fiber Communication Conference and Exposition and National Fiber Optic Engineers Conference (OFC/NFOEC), OWJ4, March 2011.10.1364/OFC.2011.OWJ4Suche in Google Scholar
[21] Zhu B, Taunay TF, Fishteny M, Liu X, Chandrasekhar S, Yan MF, Fini JM, Monberg EM, Dimarcello FV. 112-Tb/s space-division multiplexed DWDM transmission with 14-b/s/Hz aggregate spectral efficiency over a 76.8-km seven-core fiber. Opt Exp 2011;19:16665–71.10.1364/OE.19.016665Suche in Google Scholar PubMed
[22] Imamura K, Mukasa K, Sugizaki R. Trench assisted multi-core fiber with large Aeff over 100 μm2 and low attenuation loss. In European Conference and Exhibition on Optical Communication (ECOC), Mo.1.LeCervin.1, September 2011.10.1364/ECOC.2011.Mo.1.LeCervin.1Suche in Google Scholar
[23] Takenaga K, Arakawa Y, Sasaki Y, Tanigawa S, Matsuo S, Saitoh K, Koshiba M. A large effective area multi-core fiber with an optimized cladding thickness. In European Conference and Exhibition on Optical Communication (ECOC), Mo.1.LeCervin.2, September 2011.10.1364/ECOC.2011.Mo.1.LeCervin.2Suche in Google Scholar
[24] Matsuo S, Takenaga K, Arakawa Y, Sasaki Y, Tanigawa S, Saitoh K, Koshiba M. Large-effective-area ten-core fiber with cladding diameter of about 200 μm. Opt Lett 2011;36:4626–8.10.1364/OL.36.004626Suche in Google Scholar PubMed
[25] Sakaguchi J, Puttnam BJ, Klaus W, Awaji Y, Wada N, Kanno A, Kawanishi T, Imamura K, Unaba H, Mukasa K, Sugizaki R, Kobayashi T, Watanabe M. 19-core fiber transmission of 19x100x172-Gb/s SDM-WDM-PDM-QPSK signal at 305 Tb/s. In Optical Fiber Communication Conference and Exposition and National Fiber Optic Engineers Conference (OFC/NFOEC), PDP5C.1, March 2012.10.1364/NFOEC.2012.PDP5C.1Suche in Google Scholar
[26] Takara H, Ono H, Abe Y, Masuda H, Takenaga K, Matsuo S, Kubota H, Shibahara K, Kobayashi T, Miyamoto Y. 1000-km 7-core fiber transmission of 10x 96-Gb/s PDM-16QAM using Raman amplification with 6.5W per fiber. Opt Exp 2012;20(9):10100–5.10.1364/OE.20.010100Suche in Google Scholar PubMed
[27] Imamura K, Inaba H, Mukasa K, Sugizaki R. Multi core fiber with large Aeff of 140 μm2 and low crosstalk. In European Conference and Exhibition on Optical Communication (ECOC), Mo.1.F.2, September 2013.10.1364/ECEOC.2012.Mo.1.F.2Suche in Google Scholar
[28] Hayashi T, Taru T, Shimakawa O, Sasaki T, Sasaoka E. Low-loss and large-Aeff multi-core fiber for SNR enhancement. In European Conference and Exhibition on Optical Communication (ECOC), Mo.1.F.3, September 2012.10.1364/ECEOC.2012.Mo.1.F.3Suche in Google Scholar
[29] Matsuo S, Sasaki Y, Akamatsu T, Ishida I, Takenaga K, Okuyama K, Saitoh K, Kosihba M. 12-core fiber with one ring structure for extremely large capacity transmission. Opt Exp 2012;20(27):28398–408.10.1364/OE.20.028398Suche in Google Scholar PubMed
[30] Sano A, Takara H, Kobayashi T, Kawakami H, Kisikawa H, Nakagawa T, Miyamoto Y, Abe Y, Ono H, Shikama K, Nagatani M, Moro T, Sasaki Y, Ishida I, Takenaga K, Matsuo S, Saitoh K, Koshiba M, Yamada M, Masuda H, Morioka T. 409-Tb/s+409-Tb/s crosstalk suppressed bidirectional MCF transmission over 450 km using propagation-direction interleaving. Opt Exp 2013;21(14):16777–83.10.1364/OE.21.016777Suche in Google Scholar PubMed
[31] Koshiba M, Saitoh K, Kokubun Y. Heterogeneous multi-core fibers: proposal and design principle. IEICE Electron Exp 2009;6:98–103.10.1587/elex.6.98Suche in Google Scholar
[32] Hayashi T, Nagashima T, Shimakawa O, Sasaki T, Sasaoka E. Crosstalk variation of multi-core fiber due to fiber bend. In European Conference and Exhibition on Optical Communication (ECOC), We.8.F.6, September 2010.10.1109/ECOC.2010.5621143Suche in Google Scholar
[33] Matsuo S, Takenaga K, Arakawa Y, Sasaki Y, Tanigawa S, Saitoh K, Koshiba M. Crosstalk behavior of cores in multi- core fiber under bent condition. IEICE Electron Exp 2011;8:385–90.10.1587/elex.8.385Suche in Google Scholar
[34] Imamura K, Tsuchida Y, Mukasa K, Sugizaki R, Saitoh K, Koshiba M. Investigation on multi-core fibers with large Aeff and low micro bending loss. Opt Exp 2011;19: 10595–603.10.1364/OE.19.010595Suche in Google Scholar PubMed
[35] Sasaki Y, Amma Y, Takenaga K, Matsuo S, Saitoh K, Koshiba M. Investigation of crosstalk dependencies on bending radius of heterogeneous multicore fiber. In Optical Fiber Communication Conference and Exposition and National Fiber Optic Engineers Conference (OFC/NFOEC), OTh3K. 3, March 2013.10.1364/OFC.2013.OTh3K.3Suche in Google Scholar
[36] Xia C, Amezcua-Correa R, Bai N, Antonio-Lopez E, Arrioja DM, Schulzgen A, Richardson M, Linares J, Montero C, Mateo E, Zhou X, Li G. Hole-assisted few-mode multicore fiber for high-density space-division multiplexing. IEEE Photon Technol Lett 2012;24(21):1914–7.10.1109/LPT.2012.2218801Suche in Google Scholar
[37] Mukasa K, Imamura K, Sugizaki R. 7-core 2-mode fibers with large Aeff to simultaneously realize “3M”. In OptoElectronics and Communications Conference (OECC), 5C1-1, July 2012.10.1109/OECC.2012.6276528Suche in Google Scholar
[38] Mukasa K, Imamura K, Sugizaki R. Multi-core few-mode optical fibers with large Aeff. In European Conference and Exhibition on Optical Communication (ECOC), P1.08, September 2012.10.1364/ECEOC.2012.P1.08Suche in Google Scholar
[39] Takenaga K, Sasaki Y, Guan N, Matsuo S, Kasahara M, Saitoh K, Koshiba M. A large-effective-area few-mode multi-core fiber. IEEE Photon Technol Lett 2012;24(21):1941–4.10.1109/LPT.2012.2219618Suche in Google Scholar
[40] Sasaki Y, Takenaga K, Guan N, Matsuo S, Saitoh K, Koshiba M. Large-effective-area uncoupled few-mode multi-core fiber. Opt Exp 2012;20(26):B77–84.10.1364/OE.20.000B77Suche in Google Scholar PubMed
[41] Sasaki Y, Amma Y, Takenaga K, Matsuo S, Saitoh K, Koshiba M. Trench-assisted low-crosstalk few-mode multicore fiber. In European Conference and Exhibition on Optical Communication (ECOC), Mo.3.A.5, September 2013.10.1049/cp.2013.1276Suche in Google Scholar
[42] Qian D, Ip E, Huang MF, Li MJ, Dogariu A, Zhang S, Shao Y, Huang YK, Zhang Y, Cheng X, Tian Y, Ji P, Collier A, Geng Y, Linares J, Montero C, Moreno V, Prieto X, Wang T. 1.05Pb/s transmission with 109b/s/Hz spectral efficiency using hybrid single- and few-mode cores. In Frontiers in Optics (FiO), FW6C, October 2012.10.1364/FIO.2012.FW6C.3Suche in Google Scholar
[43] Zhu B, Taunay TF, Yan MF, Fishteyn M, Oulundsen G, Vaidya D. 70-Gb/s multicore multimode fiber transmission for optical data links. IEEE Photon Technol Lett 2010;22:1647–9.10.1109/LPT.2010.2070490Suche in Google Scholar
[44] Takenaga K, Arakawa Y, Sasaki Y, Tanigawa S, Matsuo S, Saitoh K, Koshiba M. A large effective area multi-core fiber with an optimized cladding thickness. Opt Exp 2011;19: B542–50.10.1364/OE.19.00B543Suche in Google Scholar PubMed
[45] Zhu B, Fini JM, Yan MF, Liu X, Chandrasekhar S, Taunay TF, Fishteyn M, Monberg EM, Dimarcello FV. High-capacity space-division-multiplexed DWDM transmissions using multicore fiber. J Lightwave Technol 2012;30(4):486–92.10.1109/JLT.2011.2173793Suche in Google Scholar
[46] Sakaguchi J, Awaji Y, Wada N. Fundamental study on new characterization method for crosstalk property on multi-core fibers using long wavelength probe signals. In Optical Fiber Communication Conference and Exposition and National Fiber Optic Engineers Conference (OFC/NFOEC), OW1K.1, March 2013.10.1364/OFC.2013.OW1K.1Suche in Google Scholar
[47] Fini JM, Zhu B, Taunay TF, Yan MF. Statistics of crosstalk in bent multicore fibers. Opt Exp 2010;18:15122–9.10.1364/OE.18.015122Suche in Google Scholar PubMed
[48] Koshiba M, Saitoh K, Takenaga K, Matsuo S. Multi-core fiber design and analysis: coupled-mode theory and coupled-power theory. Opt Express 2011;19:B102–11.10.1364/OE.19.00B102Suche in Google Scholar PubMed
[49] Takenaga K, Arakawa Y, Tanigawa S, Guan N, Matsuo S, Saitoh K, Koshiba M. An investigation on crosstalk in multi-core fibers by introducing random fluctuation along longitudinal direction. IEICE Trans Commun 2011;E94-B:409–16.10.1587/transcom.E94.B.409Suche in Google Scholar
[50] Koshiba M, Saitoh K, Takenaga K, Matsuo S. Analytical expression of average power-coupling coefficients for estimating intercore crosstalk in multicore fibers. IEEE Photon J 2012;4(5):1987–95.10.1109/JPHOT.2012.2221085Suche in Google Scholar
[51] Hayashi T, Taru T, Shimakawa O, Sasaki T, Sasaoka E. Design and fabrication of ultra-low crosstalk and low-loss multi-core fiber. Opt Exp 2011;19:16576–92.10.1364/OE.19.016576Suche in Google Scholar PubMed
[52] Winzer PJ, Gnauck AH, Konczykowska A, Jorge F, Dupuy J-Y. Penalties from in-band crosstalk for advanced optical modulation formats. In European Conference and Exhibition on Optical Communication (ECOC), Tu.5.B.7, September 2011.10.1364/ECOC.2011.Tu.5.B.7Suche in Google Scholar
[53] Saitoh K, Koshiba M, Takenaga K, Matsuo S. Crosstalk and core density in uncoupled multi-core fibers. IEEE Photon Technol Lett 2012;24(21):1898–901.10.1109/LPT.2012.2217489Suche in Google Scholar
[54] Saitoh K, Matsui T, Sakamoto T, Koshiba M, Tomita S. Multi-core hole-assisted fibers for high core density space division multiplexing. In OptoElectronics and Communications Conference (OECC), 7C2-1, July 2010.Suche in Google Scholar
[55] Sakamoto T, Saitoh K, Hanzawa N, Tsujikawa K, Ma L, Koshiba M, Yamamoto F. Crosstalk suppressed hole-assisted 6-core fiber with cladding diameter of 125 μm. In European Conference and Exhibition on Optical Communication (ECOC), Mo.3.A.3, September 2013.10.1049/cp.2013.1274Suche in Google Scholar
[56] Matsuo S, Ikeda M, Himeno K. Low-bending-loss and suppressed-splice-loss optical fibers for FTTH indoor wiring. In Optical Fiber Communication Conference (OFC), ThI3, March 2004.Suche in Google Scholar
[57] Sillard P, Richard S, de Montmorillon L-A, Bigot-Astruc M. Micro-bend losses of trench-assisted single-mode fibers. In European Conference and Exhibition on Optical Communication (ECOC), We.8.F.3, September 2010.10.1109/ECOC.2010.5621585Suche in Google Scholar
[58] Hayashi T, Sasaki T, Sasaoka E, Saitoh K, Koshiba M. Physical interpretation of intercore crosstalk in multicore fiber: effects of macrobend, structure fluctuation, and microbend. Opt Exp 2013;21(5):5401–2.10.1364/OE.21.005401Suche in Google Scholar PubMed
[59] Sakaguchi J, Awaji Y, Wada N, Kanno A, Kawanishi T, Hayashi T, Taru T, Kobayashi T, Watanabe M. 109-Tb/s (7x97x172-Gb/s SDM/WDM/PDM) QPSK transmission through 16.8-km homogeneous multi-core fiber. In Optical Fiber Communication Conference and Exposition and National Fiber Optic Engineers Conference (OFC/NFOEC), PDPB6, March 2011.10.1364/OFC.2011.PDPB6Suche in Google Scholar
[60] Zhu B, Taunay TF, Fishteyn M, Liu X, Chandrasekhar S, Yan MF, Fini JM, Monberg EM, Dimarcello FV, Abedin K, Wisk PW, Peckham DW, Dziedzic P. Space-, wavelength-, polarization-division multiplexed transmission of 56-Tb/s over a 76.8-km seven-core fiber. In Optical Fiber Communication Conference and Exposition and National Fiber Optic Engineers Conference (OFC/NFOEC), PDPB7, March 2011.10.1364/OFC.2011.PDPB7Suche in Google Scholar
[61] Chandrasekhar S, Gnauck AH, Liu X, Winzer PJ, Pan Y, Burrows EC, Taunay TF, Zhu B, Fishteyn M, Yan MF, Fini JM, Monberg EM, Dimarcello FV. WDM/SDM transmission of 10x 128-Gb/s PDM-QPSK over 2688-km 7-core fiber with a per-fiber net aggregate spectral-efficiency distance product of 40,320 km b/s/Hz. Opt Exp 2012;20(2):706–11.10.1364/OE.20.000706Suche in Google Scholar PubMed
[62] Sakaguchi J, Puttnam BJ, Klaus W, Awaji Y, Wada N, Kanno A, Kawanishi T, Imamura K, Inaba H, Mukasa K, Sugizaki R, Kobayashi T, Watanabe M. 305-Tb/s space division multiplexed transmission using homogeneous 19-core fiber. J Lightwave Technol 2013;31(4):554–62.10.1109/JLT.2012.2217373Suche in Google Scholar
[63] Takahashi H, Tsuritani T, de Gabory ELT, Ito T, Peng WR, Igarashi K, Takeshima K, Kawaguchi Y, Morita I, Tsuchida Y, Mimura Y, Maeda K, Saito T, Watanabe K, Imamura K, Sugizaki R, Suzuki M. First demonstration of MC-EDFA-repeatered SDM transmission of 40 x 128-Gbit/s PDM-QPSK signals per core over 6,160-km 7-core MCF. In European Conference and Exhibition on Optical Communication (ECOC), Th.3.C.3, September 2012.10.1364/ECEOC.2012.Th.3.C.3Suche in Google Scholar
[64] Takara H, Sano A, Kobayashi T, Kubota H, Kawakami H, Matsuura A, Miyamoto Y, Abe Y, Ono H, Shikama K, Goto Y, Tsujikawa K, Sasaki Y, Ishida I, Takenaga K, Matsuo S, Saitoh K, Koshiba M, Morioka T. 1.01-Pb/s(12 SDM/222 WDM/456 Gb/s) crosstalk-managed transmission with 91.4-b/s/Hz aggregate spectral efficiency. In European Conference and Exhibition on Optical Communication (ECOC), Th.3.C.1, September 2012.10.1364/ECEOC.2012.Th.3.C.1Suche in Google Scholar
[65] Abedin KS, Taunay TF, Fishteyn M, Yan MF, Zhu B, Fini JM, Monberg EM, Dimarcello FV, Wisk PW. Amplification and noise properties of an erbium-doped multicore fiber amplifier. Opt Exp 2011;19(17):16715–2110.1364/OE.19.016715Suche in Google Scholar PubMed
[66] Mazurczyk M, Froursa DG, Batshon HG, Zhang H, Davidson CR, Cai J-X, Pilipetskii A, Mohs G, Bergano NS. 30 Tb/s transmission over 6,630 km using 16 QAM signals at 6.1 bit/s/Hz spectral efficiency. In European Conference and Exhibition on Optical Communication (ECOC), Th.3.C.2, September 2012.10.1364/ECEOC.2012.Th.3.C.2Suche in Google Scholar
[67] Ishida I, Akamatsu T, Wang Z, Sasaki Y, Takenaga K, Matsuo S. Possibility of stack and draw process as fabrication technology for multi-core fiber. In Optical Fiber Communication Conference and Exposition and National Fiber Optic Engineers Conference (OFC/NFOEC), OTu2G.1, March 2013.10.1364/OFC.2013.OTu2G.1Suche in Google Scholar
[68] Ono H, Abe Y, Shikama K, Takahashi T, Yamada M, Takenaga K, Matsuo S. Amplification method for crosstalk reduction in multi-core fibre amplifier. Electron Lett 2013;49(2):138–140.10.1049/el.2012.4307Suche in Google Scholar
[69] Ito T, de Gabory ELT, Arikawa M, Hashimoto Y, Fukuchi K. Reduction of influence of inter-core cross-talk in MCF with bidirectional assignment between neighboring cores. In Optical Fiber Communication Conference and Exposition and National Fiber Optic Engineers Conference (OFC/NFOEC), OTh3K.2, March 2013.10.1364/OFC.2013.OTh3K.2Suche in Google Scholar
[70] Ye F, Peucheret C, Morioka T. Capacity of space-division multiplexing with heterogeneous multi-core fibers. In OptoElectronics and Communications Conference (OECC), WR2-3, July 2013.10.1364/OECC_PS.2013.WR2_3Suche in Google Scholar
[71] Hayashi T, Sasaki T. Design strategy of uncoupled multicore fiber enabling high spatial capacity transmission. In IEEE Summer Topicals, MC2.4, July 2013.10.1109/PHOSST.2013.6614461Suche in Google Scholar
[72] Saitoh K, Koshiba M, Takenaga K, Matsuo S. Low-crosstalk multi-core fibers for long-haul transmission. In Proc. of SPIE, 828401-1-8, vol. 8284, January 2012.10.1117/12.909473Suche in Google Scholar
[73] Sano A, Kobayashi T, Yamanaka S, Matsuura A, Kawakami H, Miyamoto Y, Ishihara K, Masuda H. 102.3-Tb/s(224 x 548-Gb/s) C- and extended L-band all-Raman transmission over 240 km using PDM-64QAM single carrier FDM with digital pilot tone. In Optical Fiber Communication Conference and Exposition and National Fiber Optic Engineers Conference (OFC/NFOEC), PDP5C.3, March 2012.10.1364/NFOEC.2012.PDP5C.3Suche in Google Scholar
[74] Sleiffer VAJM, Jung Y, Veljanovsiki V, van Uden RGH, Kuschnerov M, Kang Q, Grüner-Neilsen L, Sun Y, Richardson DJ, Alam S. Poletti F, Safu JK, Dhar A, Chen H, Inan B, Koonen AM, Corbett B, Winfield R, Ellis AD, de Warrdt H. 73.7 Tb/s (96x3x256-Gb/s) mode-division-multiplexed DP-16QAM transmission with inline MM-EDFA. In European Conference and Exhibition on Optical Communication (ECOC), Th.3.C.4, September 2012.10.1364/ECEOC.2012.Th.3.C.4Suche in Google Scholar
[75] Sakamoto T, Mori T, Yamamoto T, Tomita S. Differential mode delay managed transmission line for wide-band WDM-MIMO system. In Optical Fiber Communication Conference and Exposition and National Fiber Optic Engineers Conference (OFC/NFOEC), OM2D.1, March 2012.10.1364/OFC.2012.OM2D.1Suche in Google Scholar
[76] Maruyama R, Kuwaki N, Matsuo S, Sato K, Ohashi M. Mode dispersion compensating optical transmission line composed of two-mode optical fibers. In Optical Fiber Communication Conference and Exposition and National Fiber Optic Engineers Conference (OFC/NFOEC), JW2A.13, March 2012.10.1364/NFOEC.2012.JW2A.13Suche in Google Scholar
[77] Maruyama R, Ohashi M, Sato K, Matsuo S, Kuwaki N. Optimized graded index two-mode optical fiber with low DMD, large Aeff and low bending loss. In OptoElectronics and Communications Conference (OECC), PDP2-3, July 2012.Suche in Google Scholar
[78] Gruner-Nielsen L, Sum Y, Nicholson JW, Jakobsen D, Lingle R, Palsdottir B. Few mode transmission fiber with low DGD, low mode coupling and low loss. In Optical Fiber Communication Conference and Exposition and National Fiber Optic Engineers Conference (OFC/NFOEC), PDP5A.1, March 2012.10.1364/NFOEC.2012.PDP5A.1Suche in Google Scholar
[79] Bigot-Astruc M, Boivin D, Sillard P. Design and fabrication of weakly-coupled few-mode fibers. In IEEE Summer Topicals, TuC1.1, July 2012.10.1109/PHOSST.2012.6280766Suche in Google Scholar
©2013 by Science Wise Publishing & De Gruyter Berlin Boston
Artikel in diesem Heft
- Masthead
- Masthead
- Graphical abstracts
- In this issue
- Editorial
- Editorial
- Opinion article
- Fiber optic nanotechnology: a new frontier of fiber optics
- Review articles
- Hollow-core photonic bandgap fibers: technology and applications
- Holey fibers for low bend loss
- All-fiber lasers through photonic crystal fibers
- Photonic crystal fiber amplifiers for high power ultrafast fiber lasers
- Nano-engineered optical fibers and applications1
- Nanophotonics of optical fibers
- Optical microfibers and nanofibers
- Photonic lanterns
- Multicore fibers for large capacity transmission
- Optical vortices in fiber
Artikel in diesem Heft
- Masthead
- Masthead
- Graphical abstracts
- In this issue
- Editorial
- Editorial
- Opinion article
- Fiber optic nanotechnology: a new frontier of fiber optics
- Review articles
- Hollow-core photonic bandgap fibers: technology and applications
- Holey fibers for low bend loss
- All-fiber lasers through photonic crystal fibers
- Photonic crystal fiber amplifiers for high power ultrafast fiber lasers
- Nano-engineered optical fibers and applications1
- Nanophotonics of optical fibers
- Optical microfibers and nanofibers
- Photonic lanterns
- Multicore fibers for large capacity transmission
- Optical vortices in fiber