Abstract
New developments in the field of Fano-resonant plasmonic metamaterials are reviewed. The emphasis is on the applications of such artificial electromagnetic materials to a variety of technologically important areas: solar energy harvesting and conversion, sensing/identification of ultra-small molecular contents, and extreme molding of the flow of light. Most recent theoretical tools for describing Fano-resonant metamaterials are reviewed. Both fully three-dimensional metamaterials and planar meta-surfaces are discussed, and their future prospects for applications are critically evaluated.
1 Introduction and basics: the physics of Fano resonances
Metamaterials and meta-surfaces [1–5] have greatly expanded the range of electromagnetic properties exhibited by naturally occurring materials. In so doing, metamaterials have challenged our intuition by enabling such unusual phenomena as optical magnetism [6–8], negative refraction [1, 2, 9–11] and bi-anisotropy [12–14]. Numerous applications of metamaterials include super-lenses [1, 15], transformation optics and invisibility cloaks [16–20], and novel biosensors [21–25]. Because metamaterials are produced by structuring their unit cells (“meta-molecules”) on a spatial scale d which is smaller than the relevant radiation wavelength λ, they occupy a unique niche between photonic crystals (structured on a scale of λ) and regular materials (structured on the atomic scale). Therefore, metamaterials can be viewed as mesoscopic materials exhibiting a number of unique and unusual properties in addition to those shared with the regular materials. At the same time, metamaterials have been shown to emulate a number of basic optical phenomena observed in the naturally occurring atomic/molecular media. Among such familiar phenomena are electromagnetically induced transparency (EIT) [26–36], slow light (SL) [37], and even topological insulators [38]. One of the most interesting and rich in applications phenomena successfully emulated by optical metamaterials is the so-called Fano resonance [39], which is the subject of this Review.
Fano resonances were originally discovered in quantum physics [39] to describe asymmetrically shaped ionization spectral lines of atoms and molecules. Specifically, it has been shown that ionization of an atom by a high-energy photon (or a fast passing electron) can proceed in two distinct ways: (i) through direct excitation of an electron from its bound state into an unbound (continuum) state, or (ii) through indirect excitation of two electrons into an intermediate bound state, followed by an Auger-like process of electron ejection. The first process is non-resonant, i.e., electron ejection occurs as long as the photon’s energy exceeds the ionization threshold. It can also be described within the framework of single-particle ionization. On the other hand, the second process is inherently resonant because the two electrons must be excited into a well-defined auto-ionizing state. Moreover, electron-electron interactions are responsible for the excitation and subsequent auto-ionization. The quantum-mechanical interference between these two ionization pathways results in highly asymmetric [39] dependence of the ionization cross-section on the photon energy. Of course, wave interference is not specific to quantum mechanics, and a great number of classical systems exhibiting Fano resonance have since been identified. Most recently the concept of Fano resonances was introduced to the field of photonics [40] and then metamaterials [26]. By analogy with the original atomic system, a photonic structure must possess two resonances generally classified as “bright” (i.e., exhibiting strong coupling to incident light and short radiative lifetime) and “dark” (exhibiting weak radiative coupling and long lifetime). Typically (although not always) the near-field interaction between the two resonances is analogous to electron-electron interaction in an atom. Another analogy of metamaterials and atomic systems is that Fano resonances generally originate from the response of isolated meta-atoms whose periodic arrangement plays no crucial role.
Several comprehensive reviews of various manifestations of Fano resonances in nanostructures and metamaterials [41, 42] have recently appeared. A number of recent developments motivate the present Review. First, the improved experimental diagnostic tools such as EELS [43] and near-field optical microscopy [36] enabled much more direct look at Fano interferences and resonances. Second, the improved theoretical understanding of the phenomenon [37, 44–47] enabled the design and intuitive analytic/semi-analytic treatment of novel two and three-dimensional metamaterial structures in which Fano resonance is an important feature. Finally, Fano-resonant metamaterials and meta-surfaces started featuring prominently in a variety of applications. These applications include solar energy harvesting and conversion [48], refractive index sensing (especially for bio-sensing applications) [21, 23, 49–52], and broadband manipulation of light propagation [37]. Another recent important development in the field is the realization of the possibility of coupling the internal molecular degrees of freedom, such as infrared molecular vibrations, to electromagnetic metamaterial resonances [21, 23], with the resulting Fano-like interferences.
The rest of the review is organized as follows. The basic analytic theory of Fano-resonant metamaterials is introduced in Section 2. The most important properties of Fano-resonant structures, such as the large field enhancement at the dark resonance’s frequency, the asymmetric and spectrally steep line shapes of the reflection/transmission spectral profiles, and the connection between Fano resonance and EIT, are derived. Optical properties of the single-layer metamaterials (also known as meta-surfaces) are described in Section 3. Fano-resonant meta-surfaces are the most common and most amenable to large-area fabrication examples of meta-materials. For that reason, practical applications based on meta-surfaces, such as sensing, are presently the most mature. Section 4 discusses meta-surfaces with a ground plate, which is a specific class of meta-materials that falls between single-layer meta-surfaces and fully three-dimensional metamaterials. The least explored at the moment three-dimensional (multi-layer) Fano-resonant metamaterials are discussed in Section 5. Applications of 3D metamaterials to molding light propagation, including “slow” light structures, are also reviewed. The approaches to dynamic tuning of meta-surfaces are discussed in Section 6. Section 7 discusses the opportunities for refractive index sensing and molecular fingerprinting using FRAMs. The Summary and Future Outlook are presented in Section 8.
2 Mathematical description of Fano-resonant optical structures
The basic mathematics of Fano resonances in photonic systems can be best developed within the framework of temporal coupled mode theory [53–55] describing the interaction of two coupled photonic resonators with light. We further assume that only the first (“bright”) resonator with natural frequency ωb is directly coupled to incident light, while the second (“dark”) resonator with natural frequency ωd interacts with the light indirectly due to its coupling to the first resonators. A conceptual schematic of such a system is shown in Figure 1, where it is assumed that only a single channel of light reflection/transmission is active. Such situation would correspond to a sub-wavelength photonic meta-surface which does not produce higher diffractive orders of light in either transmission or reflection. Near-field interactions between meta-molecules comprising the meta-surface could be responsible for the coupling between the two resonances. Because the two resonances are differently coupled to far-field radiation, they can have very different radiative lifetimes τb«τd justifying their designation as bright and dark.

Schematics of the simplest Fano resonant system described by Eq. (1). The two resonators (“bright” and “dark”) are coupled to each other, and the bright resonator is coupled to an input/output port that represents incident, reflected, and transmitted light.
The dynamics of such two-resonant system can be described by the equations of the temporal coupled mode theory [53, 55]:
where b and d are the field amplitudes in the bright and dark resonators, respectively, αb is coupling strength of the bright resonator to the wave in the waveguide, Sin and ω are amplitude and frequency of the incident light wave, respectively, and κ is a real number determining coupling strength between the resonators [53]. In Eq.(1) the amplitudes b, d and Sin are normalized such that |b|2 and |d|2 is the energy stored by the resonators and |Sin|2 is the incident power.
Note that while the simple single-input/single-output port theory of Fano interference described by this model captures most of the phenomena described in this Review, it falls short of describing polarization conversion and manipulation that occurs in double-continuum Fano (DCF) systems that are described in Section 5. Polarization of light represents a second set of input/output ports that can be resonantly coupled to each other through an asymmetric Fano-resonant metamaterial. Multiple input/output ports can also represent multiple waveguides coupled to Fano resonant cavities [40] or multiple diffracted waves in periodic systems with the Fano resonance [56].
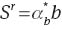
Assuming that the system is symmetric with respect to the transmission and reflection channels, the amplitudes of the scattered waves can be expressed [53, 55] in terms of the modal amplitude of the bright mode b as and
giving rise to the following expressions for the complex reflection/transmission coefficients:
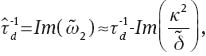
In general, when Ohmic losses are present in the system in addition to the radiative losses, the total lifetime τ of the modes of the system is expressed through the Ohmic τo and radiative τR lifetimes as In the absence of the Ohmic losses, energy conservation condition (1=|r|2+|t|2) imposes a relation between the radiative lifetime of the bright mode
and its radiative coupling parameter αb. By calculating the decay rate of the total stored energy in the absence of the excitation (Sin=0), we find that
where it was assumed that the dark mode has infinite radiative lifetime
in the absence of resonator coupling (κ=0). On the other hand, in the lossless case the energy can only be radiated out:
thereby providing the sought after relationship:
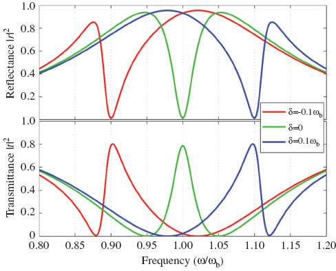
Typical transmission/reflection spectra of the model Fano system described by Eqs. (2) are plotted in Figure 2 for different values of the spectral detuning δ=ωb-ωd between the dark and bright resonances assuming that ωb is fixed and Ohmic losses are negligible. The spectra reveal a broad reflection peak centered at ωb and a sharp spectral feature in the proximity of the dark frequency ωd. The strong asymmetry of the reflection/transmission spectra for (ωb≠ωd) are characteristic of the Fano interference between the two modes. Both the sharpness and the amplitude of the Fano feature are reduced by finite non-radiative (Ohmic) losses.

Transmission and reflection spectra of the Fano-resonant system described by Eqs. (1,2) with finite Ohmic losses. The three curves correspond to the cases of Fano resonance with δ=(ωd-ωb)=±0.1 ωb (red and blue curves) and electromagnetically induced transparency ωd=ωb (green curve). Parameters: and κ=0.05ωb.
One particular case of the Fano interference corresponding to spectrally matched resonances, ωb=ωd, is referred to as electromagnetically induced transparency (EIT). A number of EIT implementations based on planar meta-surfaces (including the complementary ones) [26–36, 51, 57] and, more recently, on three-dimensional [37] metamaterials have been proposed. The physical manifestation of EIT shown in Figure 2 (green line) is the emergence of a narrow transmission peak due to Fano interference between the bright and dark states. Only a broad transmission dip due to the excitation of the bright resonance is observed in the absence (κ=0) of such interference.
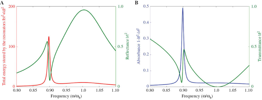
Another important feature of the Fano resonance is the enhanced optical energy stored by a Fano-resonant structure when illuminated by light with the frequency ω coincident with that of the dark resonance’s ωd [45]. Figure 3 illustrates the point by plotting the energy W=|d|2+|b|2 stored by the system described by the Eqs. (1, 2). The stored energy can reach very high values near ω=ωd when the dark mode is excited. The resulting enhancement of the optical near-field is the main enabler of the metamaterials-based sensing of minute analyte quantities: protein monolayers [21–23, 58, 59], trace amounts of hydrogen gas [60], or single-layer graphene [61–63] to name just a few. The field enhancement peak manifests itself as the absorption peak shown in Figure 3 (right), thereby giving rise to the recently proposed [55] electromagnetically induced absorption. It is worth noting that the absorption peak does not exactly coincide with either minimum or maximum of the reflectivity as has been recently noted [21, 46].

(A) Energy of the dark mode W=|d|2+|b|2 (red line) superimposed with the reflectivity (green line) spectrum. Note that the field enhancement peak falls between the peak and dip of the reflectance spectrum. (B) Enhanced absorbance (blue line) at the Fano resonance superimposed with the transmittance (green line). Parameters used are: ωd=0.9ωb, and κ=0.02ωb.
The highly simplified bi-resonant Fano model expressed by Eqs. (1, 2) has another important utility: it provides simple analytic expressions for transmission/reflection coefficients that can be used for analytic multi-parameter fitting of the experimentally obtained data. Such fitting enables numerical extraction of the most important parameters of the analytical model such as the modes’ lifetimes and spectral positions. In particular, it has been shown that the Fano model based on four-parameter fits of the results of the electromagnetic simulation [44–46] accurately reproduce the spectra of a Fano-resonant meta-molecule. The bi-resonant Fano model has also been used to precisely describe experimentally observed sharp Fano and EIT-like features of microwave metamaterials [35]. Even more importantly from the applications standpoint, the bi-resonant fits can be used for spectroscopic characterization of small amounts of analyte added to metamaterials. For example, spectral shifts and lifetime modifications can be used for characterizing the complex conductivity of single layer graphene [63].
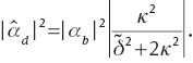
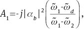
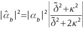
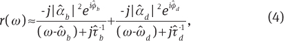
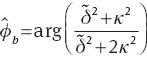
It follows from Eq. (3) that the Fano expression for the reflectivity can be exactly represented in the form of the double Lorenzian under the assumption that the coupling strength κ between the dark and bright resonances is frequency-independent:
where the complex amplitudes A1,2 and frequencies respectively, are related to the original parameters of the Fano model through:
and
where the complex frequencies are defined as
and
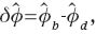
In the approximation of weak coupling corresponding to the case of high quality Fano resonance (
where
is the complex-valued mode detuning) a simpler and more instructive ansatz can be used. In this approximation the radicals in Eq. (3) are expanded up to second order in the small parameter
which gives the double Lorenzian expression of the form:
where the renormalized frequencies and lifetimes
of the “dressed” bright and dark modes are
and
while the effective radiative coupling parameters of the modes are
and
The expression (4) has simple physical meaning of the scattering of light by two independent short-living super-radiant and long-living sub-radiant modes formed by the hybridization of the original bright and dark modes. It is important to note that in addition to the corrections to the frequencies and the lifetimes due to the interaction of the modes and modification of their radiative coupling caused by their hybridization, there is also a relative phase between the new “dressed” modes
where
and
This additional phase shift
is crucial for reproducing strongly asymmetric features seen in the experimental spectra of the Fano-resonant systems. To illustrate that Eq. (4) is indeed a good approximation to the Fano model, the calculation results obtained with the use of the exact expression for |r|2 of Eq. (2) and the approximate expression Eq. (4) are plotted alongside in Figure 4. Examples of using Eqs. (3, 4) for multi-parameter fitting of experimental spectra are given in Section 6 in the context of investigating the modification of the reflectivity spectrum by adding a thin conductive or dielectric layer to a meta-surface. In that case resonant frequencies
and
are shifted and modes lifetimes
and
are modified by the amount determined by physical properties and thickness of the perturbing layers.

Comparison of the reflectivities calculated with (a) the exact Fano expression Eq. (2) with the parameters ωd=0.75ωb, and κ=0.05ωb, and an approximate double Lorenzian Eq. (4) with the renormalized parameters
and
3 Single-layer Fano-resonant metamaterials
Planar (two-dimensional) meta-surfaces are the most common and most thoroughly studied Fano-resonant structures because of their fabrication simplicity and historical connection to frequency selective surfaces well known in the microwave field. Such meta-surfaces can be either periodic or aperiodic [5, 64–67]. The first studies of planar systems showing asymmetric Fano-like response date back to fundamental works of Wood and Rayleigh [68, 69] who studied metallic diffraction gratings. Resonant phenomena in such gratings stem from periodic pattern on the metal surface which gives rise to Bragg diffraction. Resonances appear at the frequencies and critical angles corresponding to the onset of a particular diffraction orders manifesting in reflectivity spectra as sharp asymmetric spectral features. It is interesting that Fano himself has contributed to study of diffraction gratings and developed rigorous theory of light scattering by these structures [56].
While metallic diffraction gratings and frequency selective surfaces in general were among common tools for optical and microwave engineers for many years, it was not until the discovery of the extraordinary optical transmission (EOT) [70] that these systems gained interest from the broad community of physicists working in photonics. In 1998 Ebbesen and coauthors experimentally observed the EOT of visible light through perforated silver film and attributed the effect to the excitation of the surface plasmon polaritons (SPPs). Spectrally, the EOT takes place close to the frequency corresponding to the SPP’s folded dispersion curve, suggesting that the excitation of the SPPs (or similar waves) facilitates light tunneling through sub-wavelength sized holes. The asymmetric shape of the transmission peaks encouraged the attribution of the EOT to Fano-type interference [71, 72] between broad featureless transmission through the holes and narrowband excitation of the “dark” SPPs by the periodic structure. Similar Fano-shaped reflection spectra are also observed in periodic arrays of plasmonic particles [73–75]. Detailed analysis of the EOT is beyond the scope of this Review, and in what follows we concentrate on meta-surfaces whose unit cell is comprised of one or more meta-molecules supporting bright and dark resonances. Frequencies and lifetimes of such resonances can be engineered through meta-molecules’ design.
3.1 Engineering of constituent meta-molecules
Spatial symmetry of the constituent meta-molecules plays the key role in lifetime engineering of Fano resonances as was first demonstrated in the microwave spectral range for meta-surfaces comprised of a periodic array of asymmetrically split rings [26] shown in Figure 5. Near-field interaction between the two halves of the ring results in two modes: bright symmetric (current flowing in the same direction in both ring halves) and dark anti-symmetric (currents flowing in opposite directions in both ring halves). The lifetime of the dark mode responsible for transmission dip is controlled by two factors: the degree of asymmetry γ (responsible for the radiative lifetime) and substrate loss tangent ε (responsible for the non-radiative lifetime). For small degree of symmetry breaking (γ≤0.1), strong Fano features are shown in the inset of Figure 5A for the horizontally polarized electric field. The same design was later used to engineer sharp Fano resonances in the THz range [30], and similar (but complementary) design of asymmetric slits in plasmonic surface was used at visible frequencies [76]. Conceptually similar mirror symmetry breaking of a bi-layer [29] and single-layer plasmonic meta-surfaces shown in Figure 5B, C and a single-dolmen [32] meta-molecule shown in Figure 5C were also shown to produce characteristic Fano spectra in the optical part of the spectrum. In all cases shown in Figure 5 the electric field polarization is orthogonal to the remaining mirror symmetry plane.
![Figure 5 Lifetime engineering of Fano resonances by breaking one of the mirror symmetries of the constituent meta-molecules. (A) Microwave and (B) optical meta-surfaces with gradually reduced spatial symmetries. (C) Single-dolmen meta-molecule with only one remaining mirror symmetry. In all three cases Fano features are observed for the electric field orthogonal to the remaining mirror symmetry plane. Reproduced by permission from Ref. [26] (A), Ref.[29] (B), and Ref.[32].](/document/doi/10.1515/nanoph-2013-0009/asset/graphic/nanoph-2013-0009_fig5.jpg)
Lifetime engineering of Fano resonances by breaking one of the mirror symmetries of the constituent meta-molecules. (A) Microwave and (B) optical meta-surfaces with gradually reduced spatial symmetries. (C) Single-dolmen meta-molecule with only one remaining mirror symmetry. In all three cases Fano features are observed for the electric field orthogonal to the remaining mirror symmetry plane. Reproduced by permission from Ref. [26] (A), Ref.[29] (B), and Ref.[32].
A number of other planar Fano systems with resonant responses controllable by symmetry breaking of meta-molecules have been recently proposed, including those based on metallic truncated nanoshells [77], plasmonic Fano resonances in nano-crosses [78] and disk-ring plasmonic nanostructures with record values of quality factors [79, 80]. Asymmetry can also be introduced by employing different materials (e.g., Au and Ag) for making different segments of an otherwise geometrically symmetric structure [81, 82]. In this case the degree of asymmetry is controlled by the mismatch in the materials’ properties (e.g., their dielectric permittivities). Combining nanoparticles of different shapes (i.e., nanospheres, core-shell particles, etc.) into heterodimers [83] was also shown to result in Fano intereferences and asymmetric scattering. Although even single nanoparticles can exhibit Fano resonance [84], by controlling arrangement of multiple nanoparticles in oligomers enables unprecedented control of their resonant response.
In the structures with two elements (sometimes referred to as dimers [83, 85–89]) comprising the meta-molecules, such as the ones shown in Figure 5A, the Fano resonance stems from the interaction between individual modes of these elements. Spectral repulsion between the modes necessitates that the frequencies of the hybrid bright and dark modes are mismatched. More complex meta-molecules containing more elements and resonances enables independent control of the frequencies of the bright and dark resonances. When the two frequencies are spectrally matched, EIT-like response can be obtained [27, 28] as shown in Figure 5B. By appropriately choosing the length of the horizontal antenna, its bright electric dipolar resonance can be spectrally matched to the electric quadrupolar resonance of the two vertical antennas, which is dark for normally incident light. When incident light excites the dipole resonance of the horizontal antenna, the antenna’s near field excites the vertical antennas’ quadrupolar resonance. These two antennas, in turn, depolarize the horizontal antenna causing the reflectivity to drop, thereby giving rise to the EIT of the meta-surface. The details of the optical response of the meta-surface (including the quality factor of the EIT resonance and the depth of the reflectivity dip) are determined by the degree of near-field coupling [κ-coefficient in the Eq.(1)] between the bright dipolar and dark quadrupolar modes controlled by the antenna’s displacement s defined in Figure 5B.
The dark (sub-radiant) character of the electric multipole and magnetic dipole resonances of meta-molecules comprising the meta-surface is predicated on their forming a regular periodic lattice which prevents side-scattering. Depending on the exact structure of constituent meta-molecules, long-range interaction may be either suppressed (incoherent meta-surfaces), or enhanced (coherent meta-surfaces) [64, 90]. Coherent effects in Fano-resonant meta-surfaces are reviewed below. Even more sophisticated meta-molecules comprised of clusters of plasmonic nanoparticles (sometimes referred to as plasmonic oligomers) have been used to design Fano resonant meta-surfaces with electric [33, 36, 50, 91–101] and magnetic [102] subradiant modes. Plasmonic oligomers have been fabricated using both bottom-up assembly [94] or, more commonly, top-down fabrication.
In addition to plasmonic systems, recently there was a surge of interest in so called “all-dielectric” metamaterials made of high-index dielectric nanostructures [103, 104]. Such systems can be especially promising in the near IR and visible frequency ranges were the lifetimes and quality factors of the Fano resonances are limited by strong losses in metals. In their recent work [105] Miroshnichenko and Kivshar have theoretically shown that light scattering by all-dielectric oligomers exhibits well-pronounced Fano resonances originating from the optically induced magnetic dipole modes of individual high-dielectric nanoparticles. By comparing all-dielectric structures to their plasmonic counterparts they have shown that Fano resonances in all-dielectric oligomers are also less sensitive to structural variations thus offering a more practical alternative for many nanophotonic applications.
3.2 Imaging of Fano-resonant meta-molecules in the near field
Although spectroscopic signatures of Fano interference have been conventionally observed in far-field measurements of transmission, reflection, or extinction, recent advances in near-field imaging enable direct characterization of the charge density distributions on the meta-surface. Such characterization of multi-resonant meta-surfaces yields a more complete signature of the Fano interference than its far-field counterpart because the same scattering pattern can be caused by different charge distributions. To unambiguously demonstrate the root cause of Fano resonance one has to be able to spatially resolve the charge redistribution between different portions of the Fano-resonant meta-molecules. Two near-field imaging techniques have recently emerged. The first technique is the Electron Energy Loss Spectroscopy (EELS) [106] that enables direct mapping of the spatial distribution of all optical resonances of any structure, including plasmonic [107, 108] or dielectric-based nanostructures (see [43] for a comprehensive review and additional references). Because electrons enter the near-field of a nanostructure, EELS can be used for mapping either bright or dark resonances. The resolution of EELS is fundamentally limited the de Broglie wavelength of an electron which is typically much smaller that the diffraction limit of light. One potential limitation of EELS is that its relationship to the local optical density of states (LDOS), which is of primary interest in determining optical properties of nanoparticles, is clearly established [43] only for two-dimensional nanostructures. The advantage of EELS over near-field optical microscopy outlined below is that it can potentially probe the completely dark resonances of symmetric meta-molecules that are totally decoupled from the far-field optical excitation.
The second technique illustrated by Figure 6 is the interferometric scattering-type near-field scanning optical microscopy (s-NSOM) [109]. It has been recently [36] applied to two infrared Fano-resonant meta-surfaces fabricated using top-down electron beam lithography comprised of (a) highly symmetric heptamer structures comprised of plasmonic disks shown in Figure 6A, and (b) asymmetric π-shaped nanorod antennas shown in Figure 6B. While the far-field signature of the Fano interference is a conventional asymmetric reflectivity spectrum shown in Figure 6C, its near-field signature is more interesting. Figure 6D indicates that the Fano interferences results in the phenomenon of intensity toggling: strong spatial redistribution of the high-field areas inside the metamolecules upon crossing the “dark” resonance. This toggling represents a direct experimental evidence of interfering electromagnetic eigenmodes of plasmonic metamolecules responsible for the phenomenon of the Fano resonance. As near-field tools such as s-NSOM become more widely available, we anticipate that more research will be done on detailed mapping of charge distributions on the meta-surfaces. Thus obtained information will enable detailed comparisons with numerical simulations which, so far, have been the only reliable source of information about electric and magnetic field enhancements and charge distributions on Fano-resonant meta-surfaces.
![Figure 6 NSOM images of Fano interference and intensity toggling in infrared meta-surfaces. (A, B) Spatially-symmetric plasmonic heptamers (A) and asymmetric pi-structures (B) are imaged using tunable CO2 laser. (C) Polarized reflectivity from the π–structures. Vertical polarization reveals far-field Fano interference around λ≈10 μm. (D) Fano interference manifests in the near-field as intensity toggling: the left antenna is bright at the spectral point A and dark at the spectral point D. From Ref.[ 36].](/document/doi/10.1515/nanoph-2013-0009/asset/graphic/nanoph-2013-0009_fig6.jpg)
NSOM images of Fano interference and intensity toggling in infrared meta-surfaces. (A, B) Spatially-symmetric plasmonic heptamers (A) and asymmetric pi-structures (B) are imaged using tunable CO2 laser. (C) Polarized reflectivity from the π–structures. Vertical polarization reveals far-field Fano interference around λ≈10 μm. (D) Fano interference manifests in the near-field as intensity toggling: the left antenna is bright at the spectral point A and dark at the spectral point D. From Ref.[ 36].
4 Meta-surfaces with a ground plate
A special class of Fano-resonant metamaterials involves planar meta-surfaces separated by a dielectric spacer from a metallic ground plate shown in Figure 7A, B. The ground plate blocks the transmission and provides an ultra-broadband reflection background. In addition, the background reflection interferes with the resonances of the top meta-surface, resulting in reduced total reflection and therefore enhanced absorption. Such meta-surfaces with a ground plate have been widely used for designing “perfect” (zero-reflectivity) plasmonic absorbers in the terahertz and mid-infrared frequency ranges [110–116]. A wide variety of resonator geometries, including circular disks [110], square and rectangular patches[114], Swiss crosses [115], split-ring resonators [112] and straight plasmonic strips [60, 111, 113, 117–119] among others have been demonstrated to achieve nearly perfect absorption. Figure 7C and D show the disk on ground plate design from Ref. [110] that exhibits more than 90% absorption in both TE and TM polarizations over a wide range of incident angles. The property of “perfect” spectrally-selective wide-angle infrared absorption has been proposed for several practical applications, including ultra-sensitive refractive index sensing [60, 110] and highly efficient thermal photovoltaics [48, 115] spectrally matched to the bandgap of a photovoltaic cell.
![Figure 7 Ground plate based meta-surfaces used for designing “perfect” absorbers, narrow-band infrared emitters, and ultra-sensitive refractive index sensors (from [110] and [111]). (A) When the resonators are far from the ground plate, incoming radiation is mostly reflected by the excitation of plasmonic resonances. (B) When the resonators are close to the ground plate, induced image currents in the ground plate reduce the far-field radiation from the resonators, resulting in lower radiative damping rates. (C) and (D), the plasmonic absorber design and simulated angular dispersions of the absorbance peak for both TE and TM polarizations taken from Ref. [110].](/document/doi/10.1515/nanoph-2013-0009/asset/graphic/nanoph-2013-0009_fig7.jpg)
Ground plate based meta-surfaces used for designing “perfect” absorbers, narrow-band infrared emitters, and ultra-sensitive refractive index sensors (from [110] and [111]). (A) When the resonators are far from the ground plate, incoming radiation is mostly reflected by the excitation of plasmonic resonances. (B) When the resonators are close to the ground plate, induced image currents in the ground plate reduce the far-field radiation from the resonators, resulting in lower radiative damping rates. (C) and (D), the plasmonic absorber design and simulated angular dispersions of the absorbance peak for both TE and TM polarizations taken from Ref. [110].
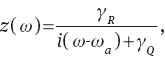
For meta-surfaces with a ground plate perfect absorption implies vanishing reflection. That has been interpreted in the past [120, 121] as the condition for matching the complex effective dielectric permittivity εeff(ω) and magnetic permeability μeff(ω) of the resulting layer so that reflectivity vanishes for some unique frequency ωa that satisfies the impedance-matching condition εeff(ωa)=μeff(ωa). However, the assignment of effective bulk parameters to a metal-terminated layer is ambiguous. For example, the bi-anisotropic response of such surface is inherently neglected. The assignment of a single quantity, frequency-dependent surface impedance z(ω) [111], circumvents this problem. Under a single-resonance model [111], the surface impedance of the ground plate terminated meta-surface can be expressed using the coupled mode theory as where ωa is the resonant frequency of the eigenmode, and γR and γQ are the radiative and resistive damping rates, respectively. While the resistive damping rate is intrinsic to the choice of materials, the radiative damping rate can be controlled by changing the intermediate spacer thickness. When resistive and radiative damping rates of the resonant mode are equal (γR=γQ), the impedance matching with vacuum (z=1) is achieved resulting in 100% absorption at the resonant frequency ω=ωa. Note that γR is controlled by the spacing between the meta-surface and the ground plate because the radiative damping rate of the resonant mode is reduced by the image current induced in the ground plate as illustrated in Figure 7A and B.
The capability of absorbing all of the incoming light with an ultra-thin plasmonic layer indicates strong near-field enhancement at the plasmonic resonance. Recent experimental estimates [111] of the propagation length of the surface plasmon responsible for absorption confirmed its classification as a localized surface plasmon resonance (LSRP). The strongly sub-wavelength nature of the LSRP makes the absorber’s performance virtually independent of the incidence angle as shown in Figure 7C and D. Another important consequence of the sub-wavelength nature of ground plate based absorbers is that multiple absorbing meta-molecules can be placed within the same macro-cell, thereby expanding the absorber’s spectral bandwidth [68, 115, 118, 122].
5 Three-dimensional metamaterials
While single-layer and few-layer [29, 97, 123, 124] metamaterials (of which meta-surfaces with a ground plate is just one example) are relatively straightforward to fabricate, considerable challenges remain to fabricating genuine three-dimensional metamaterials. Several three-dimensional metamaterials, including a negative index metamaterial [125] and a 3D chiral polarizer [126] have been recently fabricated, but the task of demonstrating 3D metamaterials exhibiting Fano resonances still appears challenging with the exception of lower (microwave) frequencies [27]. Experimental challenges have not deterred theoretical explorations of such metamaterials because using the third dimension enables novel applications unattainable in planar geometries. One such application is slow light (SL): the phenomenon first realized in three-level atomic systems that relies on EIT to generate extremely sharp frequency dependence of the refractive index n(ω). The resulting group velocity in the media comprised of atoms exhibiting the EIT can then be made much smaller than the speed of light c in vacuum.
As was discussed in Section 3, Fano-resonant meta-surfaces have been shown to emulate EIT. Therefore, a stack of such meta-surfaces constitutes a three-dimensional metamaterial that can be employed for SL applications. Because the reduction in group velocity is accompanied by pulse compression and energy density increase, SL promotes stronger light-matter interactions and finds numerous applications in various linear and nonlinear devices [127]. One limitation of the EIT approach is that the bandwidth of the resulting slow light is rather limited. Recent microwave experiments [27] have demonstrated that the SL’s bandwidth is not improved by stacking Fano-resonant microwave meta-surfaces with different resonant frequencies. The EIT approach to producing slow light suffers from yet another serious limitation: a rather moderate value of the product of the time delay Tdel in the medium and the bandwidth of the delayed in the medium pulse δωdel. While increasing the length of the delay medium Ldel increases Tdel, it also decreases δωdel in the same proportion because of the frequency-dependence of vg(ω), thereby keeping the product (δωdelTdel) independent of Ldel. Three-dimensional Fano-resonant metamaterials may provide a surprising platform for engineering the bandwidth-delay product which is directly proportional to the metamaterial’s length. This is accomplished by utilizing the so-called double-continuum Fano (DCF) resonance described in the original Ugo Fano’s paper [39]. It was recently demonstrated [37] that DCF enables broad-band SL.
A typical meta-molecule comprising a DCF meta-surface shown in Figure 8C possesses no mirror reflection symmetries, thereby coupling the dark (quadrupolar) resonance to both (x- and y-polarized) in-plane dipoles. Thus, the dark (discrete) resonance of a DCF meta-surface is coupled to two electromagnetic continua, x- and y-polarized electromagnetic waves propagating in the z-direction, thus justifying its designation. A stack of identical DCF meta-surfaces supports a propagating mode which is spectrally broad, yet possesses a “flat” segment as schematically shown in Figure 8A [37]. The low group velocity spectral region occurs for ω≈ωQ, where ωQ is the frequency of the dark resonance. By stacking N meta-surfaces with adiabatically varying Fano resonance frequencies
as shown in Figure 8A, one can ensure that different spectral components of the wave-packet are slowed down at different locations inside the 3D meta-material, as illustrated in Figure 8B.
![Figure 8 Double-continuum Fano (DCF) approach to making slow-light metamaterials. (A) Photonic band structures of three sequentially stacked DCF meta-surfaces. (B) Different frequency components of the wave packet are slowed down inside different meta-surfaces. Inset shows unit cell of the metamaterial with red dot indicating position of the field intensity probe. (C) Spectrally-flat profiles of transmission, loss, and group velocity. (D) Same, but for a stack of meta-surfaces supporting EIT. From Ref. [37].](/document/doi/10.1515/nanoph-2013-0009/asset/graphic/nanoph-2013-0009_fig8.jpg)
Double-continuum Fano (DCF) approach to making slow-light metamaterials. (A) Photonic band structures of three sequentially stacked DCF meta-surfaces. (B) Different frequency components of the wave packet are slowed down inside different meta-surfaces. Inset shows unit cell of the metamaterial with red dot indicating position of the field intensity probe. (C) Spectrally-flat profiles of transmission, loss, and group velocity. (D) Same, but for a stack of meta-surfaces supporting EIT. From Ref. [37].
The result of such adiabatic dispersion engineering is that a propagating wave packet can be slowed down over a broad frequency range with spectrally uniform group velocity and transmission coefficients as shown in Figure 8C. Therefore, by stacking more meta-surfaces one can enhance the spectral bandwidth ω0-Δω<ω<ω0+Δω over which the pulse can be uniformly slowed down, thereby indefinitely increasing the bandwidth-delay product (δωdelTdel). Note that such increase is impossible to accomplish with EIT by increasing the number of identical stacked meta-surfaces because the dependence of vg(ω) and |T|2(ω) on the frequency shown in Figure 8D reduces the bandwidth.
6 Dynamic tuning of Fano-resonant metamaterials and meta-surfaces
Although Fano-resonant metamaterials can strongly enhance light-matter interactions, this comes at the expense of broadband response that may be desirable for some applications that require broad spectral range. To circumvent this limitation, large arrays of Fano-resonant “pixels” with different spectral responses can be utilized. For example, arrays of individual pixels tuned to various vibrational (fingerprint) resonances of biological molecules have been utilized for fingerprinting and orientation-sensing of protein monolayers [21]. However, for many other applications real-time control of Fano resonances is desirable, and several avenues for such dynamic tuning recently suggested for various (not necessarily Fano-resonant) metamaterials and meta-surfaces include using phase-change media [128, 129], liquid crystals [130–132], carrier manipulation in semiconductor substrates [133], electrical modulation with graphene [134–136], and electromechnical reconfiguration [137]. Some of these and other approaches are now applied to Fano-resonant structures. For example, one approach to dynamic tuning relies on controlling the symmetry of Fano-resonant meta-molecules embedded into elastic materials. It has been suggested that mechanically tunable plasmonic nanostructures can serve as a platform for dynamically tunable nanophotonic devices such as tunable filters and sensors. Gold heptamers have been embedded into a flexible matrix [138] to show that the reduction of the spatial symmetry of these plasmonic molecules caused by the mechanical stress can control the strength of the Fano interference.
Another promising approach is to utilize the optical response of single-layer graphene (SLG) for dynamic tuning. In particular, due to its controllable optical response, graphene was shown to allow modulation of the spectral position and quality factors of the Fano resonances. Strong optical absorption of SLG due to interband transitions was used to experimentally demonstrate the red-shifting and lifetime modification of Fano resonances [61] in the near-infrared part of the spectrum. Graphene is also attractive for tuning the response of THz metamaterials. SLG’s response at THz frequencies is predominantly resistive, and the resulting Ohmic loss was shown to be broadly tunable by electrostatic doping of graphene. Substantial gate-induced switching and linear modulation of terahertz waves can thus be achieved in Fano-resonant meta-surfaces at the room temperature [62].
In contrast to resistive THz response, in the mid-IR spectral range graphene has a distinct plasmonic response which enables its application for spectral tuning of the Fano resonances as opposed to amplitude tuning in THz. Indeed, it has been recently shown [63] that inductive coupling of Fano resonant meta-surface with graphene enables a unique blue-shift tunability of the Fano resonances. It was experimentally shown that just by placing graphene on top of a meta-surface as shown in Figure 9, the Fano resonance can be blue-shifted as much as 30 cm-1and reflectivity changed by more than 10%. Dynamic tunability can be achieved by electrostatic gating of graphene in a slightly different geometry [136].
![Figure 9 Single-layer graphene can be used to tune metamaterial resonances. (A) SLG laid on top of a Fano-resonant metamaterial. (B) Blue shifting of the metamaterial resonance by increasing the Fermi level EF of the SLG. From Ref. [62].](/document/doi/10.1515/nanoph-2013-0009/asset/graphic/nanoph-2013-0009_fig9.jpg)
Single-layer graphene can be used to tune metamaterial resonances. (A) SLG laid on top of a Fano-resonant metamaterial. (B) Blue shifting of the metamaterial resonance by increasing the Fermi level EF of the SLG. From Ref. [62].
Hybridization between Fano-resonant metamaterials and graphene has an additional appealing application: infrared spectroscopy of graphene. Specifically, by using Eq.(3) for the reflectivity coefficient from the meta-surface and realizing that the addition of graphene to the meta-surface results in the spectral shift of the complex reflectivity poles from to
we can use the complex-valued spectral shifts Δω1,2 to estimate the ratio of the imaginary and real parts of graphene’s conductivity. Specifically, it can be shown that for small spectral shift the following relation holds:
where the complex conductivity of graphene σg is evaluated at the corresponding frequency of the first (bright) or second (dark) resonance. Graphene can be characterized as being low-loss, and its response as primarily inductive whenever Im(σg)»Re(σg). Such spectral shift is illustrated in Figure 9. Note that by using several metamaterial pixels tuned to different resonant frequencies it is possible to optically characterize graphene’s parameters (such as the Fermi level energy EF) at mid-infrared frequencies [63]. The importance of Fano-resonant metamaterial for such infrared spectroscopy of graphene is underlined by generally weak response of graphene to mid-IR radiation. Strong optical field enhancement in close proximity of the meta-surface is responsible for considerable spectral shift of metamaterial’s resonance due to graphene’s conductivity.
7 Applications of Fano-resonant meta-surfaces to biological sciences
Fano-resonant metamaterials enable strong spectrally-selective enhancement of electromagnetic fields in their immediate vicinity, thereby considerably boosting the interaction of light with matter placed in close proximity of (or in direct contact with) the meta-surface. Therefore, even weak perturbation in the electromagnetic environment of the metamaterial can significantly alter its scattering characteristics [79]. Small changes of the refractive index are particularly easy to detect optically using metamaterials. One of the most common applications the Fano resonant plasmonic metamaterials is, therefore, refractive index sensing [22, 31, 49–51, 139, 140]. Such sensors can be used for determining bulk concentrations of the analyte which contains chemically or biochemically relevant molecules, such as glucose or proteins. The main consequence of altered dielectric environment on the Fano spectra is spectral shifts of the resonant peaks and change in their intensity. Absolute values of spectral shift can be directly related to mass accumulation of an analyte in the vicinity of the metamaterial. At the same time, for the case of absorptive media, strong field enhancement can result in broadening and decrease of the amplitude of sharp spectral features associated with Fano resonances. Analyzing this information enables the quantitative characterization of the analyte.
If the optical fields are localized within a distance Lloc from metamaterial’s surface, it can be used as an attractive biosensor [23, 37, 141] which is particularly sensitive to binding events involving small molecules such as, for example, proteins. Moreover, spectral selectivity of Fano-resonant meta-surfaces enables researchers to match the spectral positions of the “dark” resonances with those of the vibrational fingerprints of various biomolecules such as proteins, DNA/RNA, and others. Using a diversity of Fano-resonant “pixels”, some of them tuned to molecular fingerprint, it is possible [37] to carry out in-depth characterization of the bio-molecules attached to metamaterial-based sensors. This is done by measuring sensor reflectivities |rbare|2(ω) and |rprot|2(ω) without/with the protein, followed by the analysis of the difference spectrum ΔR(ω)=|rbare|2-|rprot|2. In general, ΔR(ω) peaks at the frequency of the dark resonance ω≈ωQ. However, the spectral shape of ΔR(ω) can become considerably more complex whenever a vibrational resonance occurs at the frequency ωi close to ωQ. The difference spectrum contains detailed information Such measurement can be carried out either with completed mono and bi-layers of proteins [37], or even in real time during the buildup of protein monolayers. The resulting difference spectra are sensitive not only to the mass density of the protein, but also to proteins’ orientation on the surface of the sensor. Obtaining the information on protein’s orientation is important for designing high capacity biosensors that rely on the specific orientation of antibodies and attachment proteins for capturing the antigens.
A typical example of such biosensor based on an array of Fano-resonant asymmetric metamaterials (FRAMMs) is shown in Figure 10. Spectral positions of Fano resonances are varied by scaling the dimensions of the individual meta-molecules inside each pixel. The FRAMM-based biosensor was applied to studying the sequential attachment of two protein monolayers. The first fusion protein A/G was used as an attachment monolayer for the second monolayer of antibodies (IgG) as shown in Figure 10. The resulting difference spectra ΔR(ω) for one (dashed lines) and two (solid lines) monolayers are shown in Figure 10 for three characteristic pixels. One of the pixels (green line) is tuned to the so-called Amide-I (C=O vibration of the protein backbone) resonance while the other two pixels are detuned from all vibrational resonances. By comparing the maximum values of ΔR for the detuned pixels to theoretical predictions, the thicknesses of the monolayer and bi-layer were shown to be h1≈2.7 nm and H≡h1+h2≈7.9 nm, respectively. Owing to the enhanced interaction of light with the protein at the meta-surface, <3 nm thick protein A/G monolayer causes easily detectable 4% reflectivity changes, indicating that molecular monolayer thickness can be reliably measured with nm-scale accuracy.

Schematic representations of proteins’ mono- and bilayers binding to the metal surface and the equivalent dielectric model (left panel). Experimental spectra before (dashed lines) and after (solid lines) binding of IgG antibodies to three different FRAMM substrates immobilized by the protein A/G (right panel). Indicated reflectivity ratios vary with the spectral position of the FRAMMs’ resonant frequencies.
Further information about proteins’ orientation on the surface can be obtained by analyzing the ratios of the peak reflectivities for a bi-layer and a monolayer. Using the detailed information about the proteins’ structure from the protein data bank [37], it is possible to demonstrate that the attachment protein A/G is connected to the FRAMM with its helical axis almost normal to the FRAMM’s surface. This orientation of the attachment protein is indeed conducive to high-capacitance antigen sensing because the Y-shaped antibody attaches its stem (the Fc region) to protein A/G while leaving its Fab region available for antigen binding. Such detailed information about binding and orientation of proteins can be used for studying real-time dynamics and buildup of protein monolayers. Because FRAMM-based biosensing and fingerprinting provides more specific information about attached biomolecules than the more common surface plasmon resonance (SPR) sensor, we can speculate that metamaterials-based biosensor will eventually become commonplace tools for biochemistry and biosensing.
8 Future outlook
Tremendous advances in theoretical understanding, experimental characterization, and sheer variety of Fano-resonant metamaterials and meta-surfaces that occurred during this decade transformed these electromagnetic structures from objects of curiosity into powerful exploratory tools. Two properties of Fano resonances, their sharp spectral features and strong field enhancements, have made them ideally suited for developing novel spectroscopic and sensing tools. In the next few years we will most likely witness the expansion of Fano-resonant media into the nonlinear regime, where these two properties will be essential for enhancing light-matter interactions. Heterogeneous integration of Fano metamaterials with nanoscale objects such as quantum dots, quantum wells, graphene, and bio-molecules will be used for developing new active and switchable devices as well as for characterizing these inherently quantum structures. Experimental demonstrations of introducing gain media into metamaterials will result in low-threshold lasers. And so the history will make a full circle: the phenomenon that originated in the quantum mechanical world and was most recently adopted by classical physicists will be used for enhancing and modifying quantum phenomena
The authors would like to acknowledge the support of the grant from the Office of Naval Research and the National Science Foundation.
References
[1] Pendry JB. Negative refraction makes a perfect lens. Phys Rev Lett 2000;85:3966–9.10.1103/PhysRevLett.85.3966Search in Google Scholar PubMed
[2] Smith DR, Pendry JB, Wiltshire MCK. Metamaterials and negative refractive index. Science 2004;305:788–92.10.1126/science.1096796Search in Google Scholar PubMed
[3] Engheta N, Ziolkowski RW. Metamaterials: physics and engineering explorations. Hoboken, NJ, USA: Wiley & Sons, 2006.10.1002/0471784192Search in Google Scholar
[4] Cai W, Shalaev V. Optical Metamaterials: Fundamentals and Applications. New York: Springer, 2009.Search in Google Scholar
[5] Holloway CL, Kuester EF, Gordon JA, O′Hara J, Booth J, Smith DR. An overview of the theory and applications of metasurfaces: the two-dimensional equivalents of metamaterials. IEEE Antennas Propag 2012;54(2):10–35.10.1109/MAP.2012.6230714Search in Google Scholar
[6] Pendry JB, Holden AJ, Robbins DJ, Stewart WJ. Magnetism from conductors, and enhanced non-linear phenomena. Microwave Theory Tech 1999;47(11): 2075–84.10.1109/22.798002Search in Google Scholar
[7] Linden S, Enkrich C, Wegener M, Zhou J, Koschny T, Soukoulis CM. Magnetic response of metamaterials at 100 Terahertz. Science 2004;306(5700):1351–3.10.1126/science.1105371Search in Google Scholar PubMed
[8] Yen TJ, Padilla WJ, Fang N, Vier DC, Smith DR, Pendry JB, Basov DN, Zhang X. Terahertz magnetic response from artificial materials. Science 2004;303(5663):1494–6.10.1126/science.1094025Search in Google Scholar PubMed
[9] Smith DR, Padilla WJ, Vier DC, Nemat-Nasser SC, Schultz S. Composite medium with simultaneously negative permeability and permittivity. Phys Rev Lett 2000;84:4184–7.10.1103/PhysRevLett.84.4184Search in Google Scholar PubMed
[10] Veselago VG. The electrodynamics of substances with simultaneously negative values of permittivity and permeability. Soviet Physics Uspekhi 1968;10(4):509–14.10.1070/PU1968v010n04ABEH003699Search in Google Scholar
[11] Shelby RA, Smith DR, Schultz S. Experimental verification of a negative index of refraction. Science 2001;292(5514):77–9.10.1126/science.1058847Search in Google Scholar PubMed
[12] Saadoun MMI, Engheta N. A reciprocal phase shifter using novel pseudochiral or omega medium. Microw Opt Techn Let 1992;5(4):184–8.10.1002/mop.4650050412Search in Google Scholar
[13] Marqués R, Medina F, Rafii-El-Idrissi R. Role of bianisotropy in negative permeability and left-handed metamaterials. Phys Rev B 2002;65:144440.10.1103/PhysRevB.65.144440Search in Google Scholar
[14] Serdyukov AN, Semchenko IV, Tretyakov SA, Sihvola A. Electromagnetics of bi-anisotropic materials: Theory and applications. Amsterdam: Gordon and Breach Science Publishers, 2001.Search in Google Scholar
[15] Fang N, Lee H, Sun C, Zhang X. Sub–diffraction-limited optical imaging with a silver superlens. Science 2005;308:534–7.10.1126/science.1108759Search in Google Scholar PubMed
[16] Ulf L. Optical conformal mapping. Science 2006;312(5781):1777–80.10.1126/science.1126493Search in Google Scholar PubMed
[17] Pendry JB, Schurig D, Smith DR. Controlling electromagnetic fields. Science 2006;312(5514):1780–2.10.1126/science.1125907Search in Google Scholar PubMed
[18] Schurig D, Mock JJ, Justice BJ, Cummer SA, Pendry JB, Starr AF, Smith DR. Metamaterial electromagnetic cloak at microwave frequencies. Science 2006;314:977–80.10.1126/science.1133628Search in Google Scholar PubMed
[19] Liu R, Ji C, Mock JJ, Chin JY, Cui TJ, Smith DR. Broadband ground-plane cloak. Science 2009;323(5912):366–9.10.1126/science.1166949Search in Google Scholar PubMed
[20] Chen H, Chan CT, Sheng P. Transformation optics and metamaterials. Nat Mater 2010;9:387–96.10.1038/nmat2743Search in Google Scholar PubMed
[21] Wu C, Khanikaev AB, Adato R, Arju N, Yanik AA, Altug H, Shvets G. Fano-resonant asymmetric metamaterials for ultrasensitive spectroscopy and identification of molecular monolayers. Nat Mater 2012;11:69–75.10.1038/nmat3161Search in Google Scholar PubMed
[22] Adato R, Yanik AA, Amsden JJ, Kaplan DL, Omenetto FG, Hong MK, Erramilli S, Altug H. Ultra-sensitive vibrational spectroscopy of protein monolayers with plasmonic nanoantenna arrays. Proc Natl Acad Sci USA 2009;106:19227–32.10.1073/pnas.0907459106Search in Google Scholar PubMed PubMed Central
[23] Cubukcu E, Zhang S, Park Y-S, Bartal G, Zhang X. Split ring resonator sensors for infrared detection of single molecular monolayers. Appl Phys Lett 2009;95:043113.10.1063/1.3194154Search in Google Scholar
[24] Çetin AE, Yanik AA, Yilmaz C, Somu S, Busnaina A, Altug H. Monopole antenna arrays for optical trapping, spectroscopy, and sensing. Appl Phys Lett 2011;98:111110:1–3.10.1063/1.3559620Search in Google Scholar
[25] Kabashin AV, Evans P, Pastkovsky S, Hendren W, Wurtz GA, Atkinson R, Pollard R, Podolskiy VA, Zayats AV. Plasmonic nanorod metamaterials for biosensing. Nat Mater 2009;8:867–71.10.1038/nmat2546Search in Google Scholar PubMed
[26] Fedotov VA, Rose M, Prosvirnin SL, Papasimakis N, Zheludev NI. Sharp trapped-mode resonances in planar metamaterials with a broken structural symmetry. Phys Rev Lett 2007;99:147401.10.1103/PhysRevLett.99.147401Search in Google Scholar PubMed
[27] Papasimakis N, Fedotov VA, Zheludev NI, Prosvirnin SL. Metamaterial analog of electromagnetically induced transparency. Phys Rev Lett 2008;101:253903:1–4.10.1103/PhysRevLett.101.253903Search in Google Scholar PubMed
[28] Zhang S, Genov DA, Wang Y, Liu M, Zhang X. Plasmon-induced transparency in metamaterials. Phys Rev Lett 2008;101:047401.10.1103/PhysRevLett.101.047401Search in Google Scholar PubMed
[29] Liu N, Langguth L, Weiss T, Kästel J, Fleischhauer M, Pfau T, Giessen H. Plasmonic analogue of electromagnetically induced transparency at the Drude damping limit. Nat Mater 2009;8:758–62.10.1038/nmat2495Search in Google Scholar PubMed
[30] Singh R, Al-Naib IAI, Koch M, Zhang W. Sharp Fano resonances in THz metamaterials. Opt Express 2011;19:6312–9.10.1364/OE.19.006312Search in Google Scholar PubMed
[31] Hao F, Sonnefraud Y, Van Dorpe P, Maier SA, Halas NJ, Nordlander P. Symmetry breaking in plasmonic nanocavities: subradiant LSPR sensing and a tunable Fano resonance. Nano Lett 2008;8(11):3983–8.10.1021/nl802509rSearch in Google Scholar PubMed
[32] Verellen N, Sonnefraud Y, Sobhani H, Hao F, Moshchalkov VV, Van Dorpe P, Nordlander P, Maier SA. Fano resonances in individual coherent plasmonic nanocavities. Nano Lett 2009;9(4):1663–7.10.1021/nl9001876Search in Google Scholar PubMed
[33] Bao K, Mirin NA, Nordlander P. Fano resonances in planar silver nanosphere clusters. Appl Phys A 2010;100: 333–9.10.1007/s00339-010-5861-3Search in Google Scholar
[34] Kurter C, Tassin P, Zhang L, Koschny T, Zhuravel AP, Ustinov AV, Anlage SM, Soukoulis CM.Classical analogue of electromagnetically induced transparency with a metal-superconductor hybrid metamaterial. Phys Rev Lett 2011;107:043901:1–4.10.1103/PhysRevLett.107.043901Search in Google Scholar PubMed
[35] Tassin P, Zhang L, Zhao R, Jain A, Koschny T, Soukoulis CM. Electromagnetically induced transparency and absorption in metamaterials: the radiating two-oscillator model and its experimental confirmation. Phys Rev Lett 2012;109:187401.10.1103/PhysRevLett.109.187401Search in Google Scholar PubMed
[36] Alonso-Gonzalez P, Schnell M, Sarriugarte P, Sobhani H, Wu C, Arju N, Khanikaev A, Golmar F, Albella P, Arzubiaga L, Casanova F, Hueso LE, Nordlander P, Shvets G, Hillenbrand R. Real-space mapping of Fano interference in plasmonic metamolecules. Nano Lett 2011;11(9):3922–6.10.1021/nl2021366Search in Google Scholar PubMed
[37] Wu C, Khanikaev AB, Shvets G. Broadband Slow light metamaterial based on a double-continuum Fano resonance. Phys Rev Lett 2011;106:107403.10.1103/PhysRevLett.106.107403Search in Google Scholar PubMed
[38] Khanikaev AB, Mousavi SH, Tse W-K, Kargarian M, MacDonald AH, Shvets G. Photonic topological insulators. Nat Mater 2013;12:233.10.1038/nmat3520Search in Google Scholar PubMed
[39] Fano U. Effects of configuration interaction on intensities and phase shifts. Phys Rev 1961;124:1866.10.1103/PhysRev.124.1866Search in Google Scholar
[40] Fan S, Joannopoulos JD. Analysis of guided resonances in photonic crystal slabs. Phys Rev B 2002;65:235112.10.1103/PhysRevB.65.235112Search in Google Scholar
[41] Miroshnichenko AE, Flach S, Kivshar YS. Fano resonances in nanoscale structures. Rev Mod Phys 2010;82:2257–98.10.1103/RevModPhys.82.2257Search in Google Scholar
[42] Luk’yanchuk B, Zheludev NI, Maier SA, Halas NJ, Nordlander P, Giessen H, Chong CT. The Fano resonance in plasmonic nanostructures and metamaterials. Nat Mater 2010;9:707–15.10.1038/nmat2810Search in Google Scholar PubMed
[43] Garcia de Abajo FJ. Optical excitations in electron microscopy. Rev Mod Phys 2010;82:209–75.10.1103/RevModPhys.82.209Search in Google Scholar
[44] Gallinet B, Martin OJF. Ab initio theory of Fano resonances in plasmonic nanostructures and metamaterials. Phys Rev B 2011;83:235427.10.1103/PhysRevB.83.235427Search in Google Scholar
[45] Gallinet B, Martin OJF. Influence of electromagnetic interactions on the line shape of plasmonic Fano resonances. ACS Nano 2011;5:8999–9008.10.1021/nn203173rSearch in Google Scholar PubMed
[46] Gallinet B, Martin OJF. Relation between near–field and far–field properties of plasmonic Fano resonances. Opt Exp 2011;19:22167.10.1364/OE.19.022167Search in Google Scholar PubMed
[47] Giannini V, Francescato Y, Amrania H, Phillips CC, Maier SA. Fano resonances in nanoscale plasmonic systems: a parameter-free modeling approach. Nano Lett 2011;11(7): 2835–40.10.1021/nl201207nSearch in Google Scholar PubMed
[48] Wu C, Neuner B, John J, Milder A, Zollars B, Savoy S, Shvets G. Metamaterial-based integrated plasmonic absorber/emitter for solar thermo-photovoltaic systems. J Opt 2012;14:024005.10.1088/2040-8978/14/2/024005Search in Google Scholar
[49] Lahiri B, Khokhar AZ, De La Rue RM, McMeekin SG, Johnson NP. Asymmetric split ring resonators for optical sensing of organic materials. Opt Express 2009;17:1107.10.1364/OE.17.001107Search in Google Scholar PubMed
[50] Lassiter JB, Sobhani H, Fan JA, Kundu J, Capasso F, Nordlander P, Halas NJ. Fano resonances in plasmonic nanoclusters: geometrical and chemical tunability. Nano Lett 2010;10:3184–9.10.1021/nl102108uSearch in Google Scholar PubMed
[51] Liu N, Weiss T, Mesch M, Langguth L, Eigenthaler U, Hirscher M, Sönnichsen C, Giessen H. Planar metamaterial analogue of electromagnetically induced transparency for plasmonic sensing. Nano Lett 2010;10(4):1103–7.10.1021/nl902621dSearch in Google Scholar PubMed
[52] Liu N, Tang ML, Hentschel M, Giessen H, Alivisatos AP. Nanoantenna-enhanced gas sensing in a single tailored nanofocus. Nat Mater 2011;10:631–6.10.1038/nmat3029Search in Google Scholar PubMed
[53] Haus H. Waves and Fields in Optoelectronics. Englewood Cliffs, NJ: Prentice-Hall, 1984.Search in Google Scholar
[54] Ruan Z, Fan S. Temporal coupled-mode theory for fano resonance in light scattering by a single obstacle. J Phys Chem C 2010;114:7324–9.10.1021/jp9089722Search in Google Scholar
[55] Fan S, Suh W, Joannopoulos JD. Temporal coupled-mode theory for the Fano resonance in optical resonator. J Opt Soc Am A 2003;20:569–72.10.1364/JOSAA.20.000569Search in Google Scholar
[56] Fano U. Some theoretical considerations on anomalous diffraction gratings. Phys Rev 1936;50:573.10.1103/PhysRev.50.573Search in Google Scholar
[57] Taubert R, Hentschel M, Kästel J, Giessen H. Classical analog of electromagnetically induced absorption in plasmonics. Nano Lett 2012;12(3):1367–71.10.1021/nl2039748Search in Google Scholar PubMed
[58] Enders D, Rupp S, Kuller A, Pucci A. Surface enhanced infrared absorption on au nanoparticle films deposited on sio2/si for optical biosensing: detection of the antibody-antigen reaction. Surf Sci 2006;600:L305–8.10.1016/j.susc.2006.09.019Search in Google Scholar
[59] Neubrech F, Pucci A, Cornelius TW, Karim S, García-Etxarri A, Aizpurua J. Resonant plasmonic and vibrational coupling in a tailored nanoantenna for infrared detection. Phys Rev Lett 2009;101:157403.10.1103/PhysRevLett.101.157403Search in Google Scholar PubMed
[60] Tittl A, Mai P, Taubert R, Dregely D, Liu N, Giessen H. Palladium-based plasmonic perfect absorber in the visible wavelength range and its application to hydrogen sensing. Nano Lett 2011;11:4366.10.1021/nl202489gSearch in Google Scholar PubMed
[61] Papasimakis N, Luo Z, Shen ZX, De Angelis F, Di Fabrizio E, Nikolaenko AE, Zheludev NI. Graphene in a photonic metamaterial. Opt Express 2010;18:8353–9.10.1364/OE.18.008353Search in Google Scholar PubMed
[62] Lee SH, Choi M, Kim T-T, Lee S, Liu M, Yin X, Choi HK, Lee SS, Choi C-G, Choi S-Y, Zhang X, Min B. Switching terahertz waves with gate-controlled active graphene metamaterials. Nat Mater 2012;11:936–41.10.1038/nmat3433Search in Google Scholar PubMed
[63] Mousavi SH, Kholmanov I, Alici KB, Purtseladze D, Arju N, Tatar K, Fozdar DY, Suk JW, Hao Y, Khanikaev AB, Ruoff RS, Shvets G. Inductive tuning of Fano-resonant metasurfaces using plasmonic response of graphene in the mid-infrared. Nano Lett 2013;13(3):1111–7.10.1021/nl304476bSearch in Google Scholar PubMed
[64] Papasimakis N, Fedotov VA, Fu YH, Tsai DP, Zheludev NI. Coherent and incoherent metamaterials and order-disorder transitions. Phys Rev B 2009;80:041102.10.1103/PhysRevB.80.041102Search in Google Scholar
[65] Zhao Y, Alù A. Manipulating light polarization with ultrathin plasmonic metasurfaces. Phys Rev B 2011;84:205428:1–6.10.1103/PhysRevB.84.205428Search in Google Scholar
[66] Adato R, Yanik AA, Wu C-H, Shvets G, Altug H. Radiative engineering of plasmon lifetimes in embedded nanoantenna array. Opt Express 2010;18:4526–37.10.1364/OE.18.004526Search in Google Scholar PubMed
[67] Maradudin AA. ed. Structured Surfaces as Optical Metamaterials. Cambridge, UK: Cambridge University Press, 2011.10.1017/CBO9780511921261Search in Google Scholar
[68] Wood RW. On a remarkable case of uneven distribution of light in a diffraction grating spectrum. Philos Mag 1902;4:396–408.10.1080/14786440209462857Search in Google Scholar
[69] Rayleigh L. On the dynamical theory of gratings. Proc R Soc London 1907;79:399–416.Search in Google Scholar
[70] Ebbesen TW, Lezec HJ, Ghaemi HF, Thio T, Wolff PA. Extraordinary optical transmission through sub-wavelength hole arrays. Nature 1998;391:667–9.10.1038/35570Search in Google Scholar
[71] Sarrazin M, Vigneron J-P, Vigoureux J-M. Role of wood anomalies in optical properties of thin metallic films with a bidimensional array of subwavelength holes. Phys Rev B 2003;67:085415.10.1103/PhysRevB.67.085415Search in Google Scholar
[72] Genet C, vanExter MP, Woerdman JP. Fanotype interpretation of red shifts and red tails in hole array transmission spectra. Opt Commun 2003;225:331–6.10.1016/j.optcom.2003.07.037Search in Google Scholar
[73] Chang S-H, Gray SK, Schatz GC. Surface plasmon generation and light transmission by isolated nanoholes and arrays of nanoholes in thin metal films. Opt Express 2005;13:3150–65.10.1364/OPEX.13.003150Search in Google Scholar
[74] Auguié B, Barnes WL. Collective resonances in gold nanoparticle arrays. Phys Rev Lett 2008;101:143902.10.1103/PhysRevLett.101.143902Search in Google Scholar PubMed
[75] Garcia de Abajo FJ. Light scattering by particle and hole arrays. Rev Mod Phys 2007;79:1267–90.10.1103/RevModPhys.79.1267Search in Google Scholar
[76] Nikolaenko AE, De Angelis F, Boden SA, Papasimakis N, Ashburn P, Di Fabrizio E, Zheludev NI. Carbon nanotubes in a photonic metamaterial. Phys Rev Lett 2010;104:153902.10.1103/PhysRevLett.104.153902Search in Google Scholar PubMed
[77] Wang Q, Tang C, Chen J, Zhan P, Wang Z. Effect of symmetry breaking on localized and delocalized surface plasmons in monolayer hexagonal-close-packed metallic truncated nanoshells. Opt Express 2011;19:23889–900.10.1364/OE.19.023889Search in Google Scholar PubMed
[78] Verellen N, VanDorpe P, Vercruysse D, Vandenbosch GAE, Moshchalkov VV. Dark and bright localized surface plasmons in nanocrosses. Opt Express 2011;12:11034–51.10.1364/OE.19.011034Search in Google Scholar PubMed
[79] Hao F, Nordlander P, Sonnefraud Y, Van Dorpe P, Maier SA. Tunability of subradiant dipolar and fano-type plasmon resonances in metallic ring/disk cavities: implications for nanoscale optical sensing. ACS Nano 2009;3(3):643–52.10.1021/nn900012rSearch in Google Scholar PubMed
[80] Fu YH, Zhang JB, Yu YF, Luk′yanchuk B. Generating and manipulating higher order fano resonances in dual-disk ring plasmonic nanostructures. ACS Nano 2012;6:5130–7.10.1021/nn3007898Search in Google Scholar PubMed
[81] Bachelier G, Russier-Antoine I, Benichou E, Jonin C, Del Fatti N, Vallée F, Brevet P-F. Fano profiles induced by near-field coupling in heterogeneous dimers of gold and silver nanoparticles. Phys Rev Lett 2008;101:197401.10.1103/PhysRevLett.101.197401Search in Google Scholar PubMed
[82] Yang Z-J, Zhang Z-S, Zhang W, Hao Z-H, Wang Q-Q. Twinned Fano interferences induced by hybridized plasmons in Au–Ag nanorod heterodimers. Appl Phys Lett 2010;96:131113.10.1063/1.3378689Search in Google Scholar
[83] Brown LV, Sobhani H, Lassiter JB, Nordlander P, Halas NJ. Heterodimers: plasmonic properties of mismatched nanoparticle pairs. ACS Nano 2010;4:819.10.1021/nn9017312Search in Google Scholar PubMed
[84] López-Tejeira F, Paniagua-Domínguez R, Rodríguez-Oliveros R, Sánchez-Gil JA, Fano-like interference of plasmon resonances at a single rod-shaped nanoantenna. New J Phys 2012;14:023035.10.1088/1367-2630/14/2/023035Search in Google Scholar
[85] Nordlander P, Oubre C, Prodan E, Li K, Stockman MI. Plasmon hybridization in nanoparticle dimers. Nano Lett 2004;4:899.10.1021/nl049681cSearch in Google Scholar
[86] Willingham B, Brandl DW, Nordlander P. Plasmon hybridization in nanorod dimers. Appl Phys B 2008;93:209–16.10.1007/s00340-008-3157-5Search in Google Scholar
[87] Slaughter LS, Wu YP, Willingham B, Nordlander P, Link S. Effects of symmetry breaking and conductive contact on the plasmon coupling in gold nanorod dimers. ACS Nano 2010;4(8):4657–66.10.1021/nn1011144Search in Google Scholar PubMed
[88] Reed JM, Wang H, Hu W, Zou S. Shape of Fano resonance line spectra calculated for silver nanorods. Optics Lett 2011;36(22):4386–8.10.1364/OL.36.004386Search in Google Scholar PubMed
[89] Shafiei F, Wu C, Wu Y, Khanikaev AB, Putzke P, Singh A, Li X, Shvets G. Plasmonic nano-protractor based on polarization spectro-tomography. Nat Photonics 2013;7:367–2.10.1038/nphoton.2013.68Search in Google Scholar
[90] Mousavi SH, Khanikaev AB, Neuner B 3rd, Fozdar DY, Corrigan TD, Kolb PW, Drew HD, Phaneuf RJ, Alù A, Shvets G. Suppression of long-range collective effects in meta-surfaces formed by plasmonic antenna pairs. Optics Express 2011;19(22):22142–55.10.1364/OE.19.022142Search in Google Scholar PubMed
[91] Prodan E, Radloff C, Halas NJ, Nordlander P. A Hybridization model for the plasmon response of complex nanostructures. Science 2003;302:419–22.10.1126/science.1089171Search in Google Scholar PubMed
[92] Urzhumov YA, Shvets G, Fan JA, Capasso F, Brandl D, Nordlander P. Plasmonic nanoclusters: a path toward negative-index metafluids. Opt Express 2007;15:14129.10.1364/OE.15.014129Search in Google Scholar PubMed
[93] Hentschel M, Saliba M, Vogelgesang R, Giessen H, Alivisatos AP, Liu N. Transition from isolated to collective modes in plasmonic oligomers. Nano Lett 2010;10:2721–6.10.1021/nl101938pSearch in Google Scholar PubMed
[94] Fan JA, Wu C, Bao K, Bao J, Bardhan R, Halas NJ, Manoharan VN, Nordlander P, Shvets G, Capasso F. Self-assembled plasmonic nanoparticle clusters. Science 2010;328:1135–8.10.1126/science.1187949Search in Google Scholar PubMed
[95] Fan JA, He Y, Bao K, Wu C, Bao J, Schade NB, Manoharan VN, Shvets G, Nordlander P, Liu DR, Capasso F. DNA enabled self-assembly of plasmonic nanoclusters. Nano Lett 2011;11:4859–64.10.1021/nl203194mSearch in Google Scholar PubMed PubMed Central
[96] Hentschel M, Dregely D, Vogelgesang R, Giessen H, Liu N. Plasmonic oligomers: the role of individual particles in collective behavior. ACS Nano 2011;5(3):2042–50.10.1021/nn103172tSearch in Google Scholar PubMed
[97] Hentschel M, Schäferling M, Weiss T, Liu N, Giessen H. Three-dimmensional chiral oligomers. Nano Lett 2012;12(5):2542–7.10.1021/nl300769xSearch in Google Scholar PubMed
[98] Fan JA, Bao K, Wu C, Bao J, Bardhan R, Halas NJ, Manoharan VN, Shvets G, Nordlander P, Federico C. Fano-like interference in self-assembled plasmonic quadrumer clusters. Nano Lett 2010;10:4680–5.10.1021/nl1029732Search in Google Scholar PubMed
[99] Artar A, Yanik AA, Altug H. Directional double fano resonances in plasmonic hetero-oligomers. Nano Lett 2011;11:3694–700.10.1021/nl201677hSearch in Google Scholar PubMed
[100] Rahmani M, Lukiyanchuk B, Ng B, Tavakkoli KGA, Liew YF, Hong MH. Generation of pronounced Fano resonances and tuning of subwavelength spatial light distribution in plasmonic pentamers. Opt Express 2011;19(6):4949–56.10.1364/OE.19.004949Search in Google Scholar PubMed
[101] Rahmani M, Lei DY, Giannini V, Lukiyanchuk B, Ranjbar M, Liew TY, Hong M, Maier SA. Subgroup decomposition of plasmonic resonances in hybrid oligomers: modeling the resonance lineshape. Nano Lett 2012;12(4):2101–6.10.1021/nl3003683Search in Google Scholar PubMed
[102] Shafiei F, Monticone F, Le KQ, Liu XX, Hartsfield T, Alù A, Li X. A subwavelength plasmonic metamolecule exhibiting magnetic-based optical Fano resonance. Nat Mater 2013;8:95–9.10.1364/CLEO_QELS.2013.QTh1A.7Search in Google Scholar
[103] Ginn JC, Brener I. Realizing optical magnetism from dielectric metamaterials. Phys Rev Lett 2012;108:097402.10.1103/PhysRevLett.108.097402Search in Google Scholar PubMed
[104] Neuner B III, Wu C, Eyck GT, Sinclair M, Brener I, Shvets G. Efficient infrared thermal emitters based on low-albedo polaritonic meta-surfaces. Appl Phys Lett 2013;102:211111.10.1063/1.4808086Search in Google Scholar
[105] Miroshnichenko AE, Kivshar YS. Fano Resonances in all-dielectric oligomers. Nano Lett 2012;12(12):6459–63.10.1021/nl303927qSearch in Google Scholar PubMed
[106] Hillier J, Baker RF. Microanalysis by means of electrons. J Appl Phys 1944;15:663–75.10.1063/1.1707491Search in Google Scholar
[107] Nelayah J. Kociak M, Stéphan O, García de Abajo FJ, Tencé M, Henrard L, Taverna D, Pastoriza-Santos I, Liz-Marzán LM, Colliex C. Mapping surface plasmons on single metallic nanoparticle. Nat Phys 2007;3:348–53.10.1038/nphys575Search in Google Scholar
[108] Koh AL, Fernandez-Domínguez AI, McComb DW, Maier SA, Yang JKW. High-resolution mapping of electron-beam-excited plasmon modes in lithographically defined gold nanostructures. Nano Lett 2011;11:1323–30.10.1021/nl104410tSearch in Google Scholar PubMed
[109] Schnell M, García-Etxarri A, Huber AJ, Crozier K, Aizpurua J, Hillenbrand R. Controlling the near-field oscillations of loaded plasmonic nanoantennas. Nat Photonics 2009;3(5):287–91.10.1038/nphoton.2009.46Search in Google Scholar
[110] Liu N, Mesch M, Weiss T, Hentschel M, Giessen H. Infrared perfect absorber and its application as plasmonic sensor. Nano Lett 2010;10:2342.10.1021/nl9041033Search in Google Scholar PubMed
[111] Wu C, Neuner B III, ShvetsGY, John J, Milder A, Zollars B, Savoy S. Large-area wide-angle spectrally selective plasmonic absorber. Physl Rev B 2011;84:075102.10.1103/PhysRevB.84.075102Search in Google Scholar
[112] Tao H, Bingham CM, Strikwerda AC, Pilon D, Shrekenhamer D, Landy NI, Fan K, Zhang X, Padilla WJ, Averitt RD. Highly flexible wide angle of incidence terahertz metamaterial absorber: design, fabrication, and characterization. Phys Rev B 2008;78:241103 (R).10.1103/PhysRevB.78.241103Search in Google Scholar
[113] Diem M, Koschny T, Soukoulis CM. Wide-angle perfect absorber/thermal emitter in the terahertz regime. Phys Rev B 2009;79:033101.10.1103/PhysRevB.79.033101Search in Google Scholar
[114] Hao J, Wang J, Liu X, Padilla WJ, Zhou L, Qiu M. High performance optical absorber based on a plasmonic metamaterial. Appl Phys Lett 2010;96:251104.10.1063/1.3442904Search in Google Scholar
[115] Liu X, Tyler T, Starr T, Starr AF, Jokerst NM, Padilla WJ. Taming the blackbody with infrared metamaterials as selective thermal emitters. Physl Rev Lett 2011;107:045901.10.1103/PhysRevLett.107.045901Search in Google Scholar PubMed
[116] Aydin K, Ferry VE, Briggs RM, Atwater HA. Broadband polarization-independent resonant light absorption using ultrathin plasmonic super absorbers. Nat Commun 2011;2:517.10.1038/ncomms1528Search in Google Scholar PubMed
[117] Wu C, Avitzour Y, Shvets G. Ultra-thin, wide-angle perfect absorber for infrared frwequencies. Proc SPIE 2008;7029:70290W.10.1117/12.797208Search in Google Scholar
[118] Cui Y, Xu J, Fung KH, Jin Y, Kumar A, He S, Fang NX. A thin film broadband absorber based on multi-sized nanoantennas. Appl Phys Lett 2011;99:253101.10.1063/1.3672002Search in Google Scholar
[119] Mason JA, Smith S, Wasserman D. Strong absorption and selective thermal emission from a midinfrared metamaterial. Appl Phys Lett 2011;98:241105.10.1063/1.3600779Search in Google Scholar
[120] Avitzour Y, Urzhumov YA, Shvets G. Wide-angle infrared absorber based on a negative-index plasmonic metamaterial. Phys Rev B 2009;79:045131.10.1103/PhysRevB.79.045131Search in Google Scholar
[121] Liu X, Starr T, Starr AF, Padilla WJ. Infrared spatial and frequency selective metamaterial with near-unity absorbance. Phys Rev lett 2010;104:207403.10.1103/PhysRevLett.104.207403Search in Google Scholar PubMed
[122] Wu C, Shvets G. Design of metamaterial surfaces with broadband absorbance. Optics Lett 2012;37:308–10.10.1364/OL.37.000308Search in Google Scholar PubMed
[123] Liu N, Liu H, Zhu S, Giessen H. Stereometamaterials. Nat Photonics 2009;3:157–62.10.1038/nphoton.2009.4Search in Google Scholar
[124] Zhao Y, Belkin MA, Alù A. Twisted optical metamaterials for planarized ultrathin broadband circular polarizers. Nat Commun 2012;3:Article no 870.10.1038/ncomms1877Search in Google Scholar PubMed
[125] Valentine J, Zhang S, Zentgraf T, Ulin-Avila E, Genov DA, Bartal G, Zhang X. Three-dimensional optical metamaterial with a negative refractive index. Nature 2008;455:376–9.10.1038/nature07247Search in Google Scholar PubMed
[126] Gansel JK, Thiel M, Rill MS, Decker M, Bade K, Saile V, von Freymann G, Linden S, Wegener M. Gold helix photonic metamaterial as broadband circular polarizer. Science 2009;325:1513–5.10.1126/science.1177031Search in Google Scholar PubMed
[127] Krauss TF. Why do we need slow light? Nat Photonics 2008;2:448–50.10.1038/nphoton.2008.139Search in Google Scholar
[128] Driscoll T, Kim H-T, Chae B-G, Kim B-J, Lee Y-W, Jokerst NM, Palit S, Smith DR, Di Ventra M, Basov DN. Memory Metamaterials. Science 2003;325:1518.10.1126/science.1176580Search in Google Scholar PubMed
[129] Samson ZL, MacDonald KF, De Angelis F, Gholipour B, Knight K, Huang CC, Di Fabrizio E, Hewak DW, Zheludev NI. Metamaterial electrooptic switch of nanoscale thickness. Appl Phys Lett 2010;96:143105.10.1063/1.3355544Search in Google Scholar
[130] Zhao Q, Kang L, Du B, Li B, Zhou J, Tang H, Liang X, Zhang B. Electrically tunable negative permeability metamaterials based on nematic liquid crystals. Appl Phys Lett 2007;90:011112.10.1063/1.2430485Search in Google Scholar
[131] Wang X, Kwon D-H, Werner DH, Khoo I-C, Kildishev AV, Shalaev VM. Tunable optical negative-index metamaterials employing anisotropic liquid crystals. Appl Phys Lett 2007;91:143122.10.1063/1.2795345Search in Google Scholar
[132] Khatua S, Chang W-S, Swanglap P, Olson J, Link S. Active modulation of nanorod plasmons. Nano Lett 2011;11(9): 3797–802.10.1021/nl201876rSearch in Google Scholar PubMed
[133] Chen HT, Padilla WJ, Zide JMO, Gossard AC, Taylor AJ, Averitt RD. Active terahertz metamaterial devices. Nature 2006;444:597–600.10.1038/nature05343Search in Google Scholar PubMed
[134] Liu M, Yin X, Ulin-Avila E, Geng B, Zentgraf T, Ju L, Wang F, Zhang X. A graphene-based broadband optical modulator. Nature 2011;474:64–7.10.1038/nature10067Search in Google Scholar PubMed
[135] Emani NK, Chung T-F, Ni X, Kildishev AV, Chen YP, Boltasseva A. Electrically tunable damping of plasmonic resonances with Graphene. Nano Lett 2012;12(10): 5202–6.10.1021/nl302322tSearch in Google Scholar PubMed
[136] Yao Y, Kats MA, Genevet P, Yu N, Song Y, Kong J, Capasso F. Broad electrical tuning of graphene-loaded plasmonic antennas. Nano Lett 2013;13(3):1257–1264.10.1021/nl3047943Search in Google Scholar PubMed
[137] Ou J-Y, Plum E, Zhang J, Zheludev NI. An electromechanically reconfigurable plasmonic metamaterial operating in the near-infrared. Nat Nanotechnol 2013;8:252–255.10.1038/nnano.2013.25Search in Google Scholar PubMed
[138] Cui Y, Zhou J, Tamma VA, Park W. Dynamic tuning and symmetry lowering of fano resonance in plasmonic nanostructure. ACS Nano 2012;6:2385–93.10.1021/nn204647bSearch in Google Scholar PubMed
[139] Zhang S, Bao K, Halas NJ, Xu H, Nordlander P. Substrate-induced fano resonances of a plasmonic nanocube: a route to increased-sensitivity localized surface plasmon resonance sensors revealed. Nano Lett 2011;11(4):1657–63.10.1021/nl200135rSearch in Google Scholar PubMed
[140] López-Tejeira F, Paniagua-Domínguez R, Sánchez-Gil JA. High-performance nanosensors based on plasmonic fano-like interference: probing refractive index with individual nanorice and nanobelts. ACS Nano 2012;6(10):8989–96.10.1021/nn303059sSearch in Google Scholar PubMed
[141] Yanik AA, Cetin AE, Huang M, Artar A, Mousavic SH, Khanikaev A, Connord JH, Shvets G, Altug H. Seeing protein monolayers with naked eye through plasmonic Fano resonances. Proc Natl Acad Sci USA 2011;108(29):11784–9.10.1073/pnas.1101910108Search in Google Scholar PubMed PubMed Central
©2013 by Science Wise Publishing & De Gruyter Berlin Boston
Articles in the same Issue
- Masthead
- Masthead
- Graphical abstracts
- In this issue
- Letter
- Comparison of electron energy-loss and quantitative optical spectroscopy on individual optical gold antennas
- Review articles
- Fano-resonant metamaterials and their applications
- Nanophotonics and supramolecular chemistry
- Towards low energy consumption integrated photonic circuits based on Ge/SiGe quantum wells
- Light manipulation principles in biological photonic systems
Articles in the same Issue
- Masthead
- Masthead
- Graphical abstracts
- In this issue
- Letter
- Comparison of electron energy-loss and quantitative optical spectroscopy on individual optical gold antennas
- Review articles
- Fano-resonant metamaterials and their applications
- Nanophotonics and supramolecular chemistry
- Towards low energy consumption integrated photonic circuits based on Ge/SiGe quantum wells
- Light manipulation principles in biological photonic systems