Towards low energy consumption integrated photonic circuits based on Ge/SiGe quantum wells
-
Delphine Marris-Morini
, Papichaya Chaisakul
, Mohamed-Saïd Rouifed , Jacopo Frigerio , Daniel Chrastina , Giovanni Isella , Samson Edmond , Xavier Le Roux , Jean-René Coudevylle and Laurent Vivien
Abstract
Despite being an indirect bandgap material, germanium (Ge) recently appeared as a material of choice for low power consumption optical link on silicon. Thanks to a low energy difference between direct and indirect energy bandgap, optical transitions around the direct gap can be used to achieve strong electroabsorption or photodetection in a material already used in microelectronics circuits. However, many challenges have to be addressed such as the growth of germanium-rich structures on silicon or the modeling of these structures around both direct and indirect bandgaps. This paper will explore recent achievements in Ge/SiGe quantum wells structures. Quantum confined Stark effect has been studied for different quantum well designs and light polarization. Both absorption and phase variations have been characterized and will be reported. Carrier recombination processes is also an intense research topic, in order to evaluate the competition between direct and indirect band gap emission as a function of temperature. Main results and conclusion will be introduced. Finally, high performance photonic devices (modulator and photodetector) that have already been demonstrated will be presented. At the end the challenges faced by Ge/SiGe QW as a new photonic platform will be presented.
Edited by Shaya Fainman
1 Introduction
Silicon photonics has generated an increasing interest in recent years. The integration of optics and electronics on the same chip would allow the enhancement of integrated circuit (IC) performances, and optical telecommunications can benefit from the development of low cost and high performance solutions for high-speed optical links [1]. In microelectronic chips, with the extreme miniaturization of transistors, performance limitations come more and more from electrical interconnects, which suffer from RC delay, signal distortion, and power consumption. The replacement of global electrical wires by optical interconnects can overcome some of these limitations, as negligible signal distortion even for high frequencies (>10 GHz) and long distances (>1 cm) is obtained with optical interconnects, with reduced latency, skew, and jitter [2–4].
The emergence of silicon (Si) photonics in current technology required the development of silicon based high performance optoelectronic devices (source, modulator and photodetector) which are key building blocks for optical communications. Intensive works have been carried out to fulfill these requirements in recent years.
Different possibilities are investigated to get a light source in silicon such as the use of erbium doped silicon [5] or silicon-nanocrystal [6]. Electrically-pumped laser source on silicon has been successfully demonstrated, either by using strained and doped germanium (Ge) [7], or by integrating III-V on silicon (Si) [8, 9].
To carry information light has to be modulated. External modulation presents advantages in comparison with direct laser modulation including higher speed and lower chirp. The most efficient way to achieve optical modulation in silicon is to use refractive index variation by free carrier concentration variations. Fast modulators (up to 40 Gbit/s) have been demonstrated using carrier depletion in Mach Zehnder interferometers [10–14], which could have soon practical applications for intermediate distance telecommunication networks. However, for shorter distances, such as connections to or even within electronic chips, the transmitter power consumption has to be reduced towards 10’s of fJ/bit [15], while silicon Mach Zehnder modulators exhibit energy consumption of a few pJ/bit. The use of ring resonators as interferometers can reduce the power consumption by typically one order of magnitude [16], but at the cost of a dramatic reduction of the optical bandwidth, typically lower than 0.1 nm. In consequence a temperature stabilization is required leading to extra power consumption. The alternative approach that has been developed for low power optical modulation is to use compact germanium-based electroabsorption modulators, which has already demonstrated promising characteristics including high extinction with bandwidth up to 20–30 GHz [17, 18].
For photodetection, bulk germanium is commonly used as a broadband photodetector. Despite the large lattice mismatch between silicon and germanium, specific growth techniques have been developed and high performance germanium-on-silicon photodetectors have been demonstrated in the last few years [19–21]. A 40 Gbit/s waveguide integrated germanium-on-silicon PIN photodetector has been demonstrated under zero bias, with a large responsivity ~0.8 A/W at 1.55 µm wavelength [21].
Although impressive results are achievable for optical modulation detection and emission, the use of different materials (Si, Ge, III-V compounds) for different optoelectronic components is likely to make the seamless and cost-effective integration promise of Si photonics relatively challenging. In recent years germanium has been proposed by a few research teams as the material of choice for the realization of a complete photonic platform. Despite being an indirect band gap material, its absorption is “direct gap like” thanks to the small energy difference between direct and indirect band gap. Ge is a group IV material that is already used in microelectronics circuits, making it ideal to realize all the optoelectronic building blocks on a silicon chip. In addition, it raises the possibility to use electroabsorption modulators with reduced power consumption in comparison with classical silicon modulators.
In this context Ge rich Ge/SiGe quantum wells (QW) are of particular interest. It is known that the lower dimensionality of such structures allows additional features when compared with bulk materials, such as a more abrupt band-edge absorption, the presence of excitonic features as well as the possibility for band structure engineering [22]. The first demonstration of a direct gap-related optical property in Ge/SiGe Multiple Quantum Wells (MQW) was the demonstration of quantum-confined Stark effect (QCSE) obtained at Stanford University by Kuo et al. in 2005 [23]. This effect is the most efficient way to achieve compact and high speed optical modulators in direct-gap III-V materials [22]. In this first demonstration, the authors showed QCSE in Ge/SiGe MQWs by photocurrent spectroscopy. They used Ge-rich SiGe barriers and exploited the direct bandgap of Ge at ~0.8 eV and the large conduction and valence band discontinuities [23]. As the strength of QCSE from Ge/SiGe MQWs is comparable to of III-V materials, it was shown to be a promising solution for compact, high-speed and low-power consumption silicon-based optical modulators.
Such a breakthrough was the first demonstration of using a direct gap related effect in indirect band gap materials. This paved the way for a number of exciting works addressing the absorption mechanisms in Ge/SiGe MQW structures and tackling the fabrication of innovative optoelectronic devices. This paper reviews the works on Ge/SiGe quantum well structures for photonic applications, including fundamental mechanisms, material fabrication, theoretical modeling and emerging directions, towards the demonstration of low-power consumption integrated photonic circuits based on Ge/SiGe quantum well structures.
2 Direct gap related optical transitions in Ge/SiGe QW: growth and modeling
The strong interest in Ge-rich Ge/SiGe QW for silicon photonics is directly due to the demonstration of direct gap related optical transitions in these structures, which has been obtained for different growth and buffer characteristics. Indeed due to differences in lattice constants and thermal expansion coefficient between Si and Ge, the epitaxial growth of Ge/SiGe structures on silicon requires the use of a buffer layer (virtual substrate) to trap misfit dislocations and reduce the threading dislocation defect density at the growth surface of the quantum well layers [24]. On top of the virtual substrate, low-defect Ge/SiGe MQWs can be grown using strain compensated structures where the compressive strain in the Ge wells is compensated by the tensile strain in the Si1-xGex barriers. The QW are embedded in PIN diodes that can be reverse biased in order to apply an electrical field on the QW. The buffer can be formed in different ways as shown in Figure 1. In the demonstration of Kuo et al. [23], a 500 nm thick Si0.1Ge0.9 buffer layer is achieved by the sequentially growth of two 250 nm thick Si0.1Ge0.9 films (Figure 1A). Each growth was performed at 400°C, followed by thermal annealing between 700 and 850°C to reduce dislocation density and to form a relaxed buffer layer. The Ge concentration of the buffer layer (90%) is chosen to be equal to the mean value of Ge in the QW/barrier structure made of 10 pairs of QW (10 nm Ge well/16 nm Si0.15Ge0.85 barrier) to provide strain compensation and avoid the relaxation of the QW. A reduced-pressure, chemical vapor deposition (RPCVD) reactor was used for the growth. Quantum confinement at the direct gap of the Ge quantum wells with SiGe barriers has been demonstrated in these structures, by the observation of a clear exciton peak attributed to first valence band heavy hole (HH) level and the first conduction band level (HH1-cΓ1) transition at room temperature [23, 25].

Different buffer layers strategies for the growth of Ge/SiGe QW on silicon (A): 500 nm thick Si0.1Ge0.9 buffer layer is achieved by the sequentially growth of two 250 nm thick-Si0.1Ge0.9 films followed by high temperature annealing; (B) 13 µm thick graded buffer from Si to Si0.1Ge0.9 followed by a 2 µm thick Si0.1Ge0.9 film to form a virtual substrate; (C) Ge rich SiGe relaxed buffer grown using reverse linear grading (RLG) from a relaxed Ge seed layer.
The excitonic transitions have also been characterized in large optical spectrum ranges in Ge/SiGe QW grown on graded buffer [26, 27] by Low Energy Plasma Enhanced Chemical Vapor Deposition (LEPECVD) [28] (Figure 1B). A 13 µm thick graded buffer from Si to Si0.1Ge0.9 is first grown at a rate of 5–10 nm/s. This graded buffer is followed by a 2 µm thick Si0.1Ge0.9 film to form a virtual substrate, which is fully relaxed without additional annealing, as shown by X-ray diffraction measurements of the samples. Then strain balanced Ge/SiGe QW structures are grown at 0.4 nm/s at substrate temperature down to 450°C–500°C.
As a third option, Ge rich SiGe relaxed buffer can be grown using reverse linear grading (RLG) from a relaxed Ge seed layer (Figure 1C) [29]. This technique is used in reference [30] where strain engineering permits to shift the HH1-cΓ1 excitonic transition at 1.3 μm. Details on strain engineering will be given in Section 2.
One of the remaining challenges for the use of Ge/SiGe QW in silicon photonics concerns its waveguide integration as will be shown in Section 4. Two techniques have been particularly developed to this end. Ge/Si0.15Ge0.85 quantum wells in the intrinsic region of PIN diode have been selectively grown using SiO2 mask [31]. Very sharp exciton peaks have been obtained, indicating minimal inhomogeneous broadening caused by nonuniformities of the grown quantum-well thickness, suggesting good quality epitaxy. This growth technique has been used in the first Ge/SiGe optical device monolithically integrated with silicon-on-insulator (SOI) waveguides employed in silicon photonic chips [32]. Before epitaxial growth, silicon and SiO2 are etched down to the Si substrate of the SOI wafer, in order to grow the Ge/SiGe active region on top of it.
The second option for waveguide integration on SOI is the vertical coupling from silicon waveguide to the Ge/SiGe active region. A thin buffer layer only 320 nm-thick has been developed to optimize this coupling [24]. In this structure a more complete understanding of the strain in fabricated layer has been used to propose new design for Ge/SiGe MQW grown on silicon to reduce strain accumulation, allowing the development of a thinner buffer layer.
All these demonstrations of direct gap optical transitions paved the way for the use of Ge/SiGe QW in photonics. They also give rise to the necessity to properly model the optical and optoelectronic properties of these structures to achieve good understanding and predict device performances. This has been done using different methods.
A tight-binding study of the QCSE in Ge/SiGe QW, based on an atomistic description of the silicon and germanium crystals, has been performed [33], providing theoretical and numerical descriptions of the experimental results of reference [23]. The same technique also showed good agreement with experimental absorption of Ge/SiGe MQW structures grown on graded buffer [34] and its dependence with light polarization [35]. k.p modeling has been used to calculate the direct gap absorption of compressively strained Ge QW [36, 37]. The calculated absorption spectra also provide good agreement with experimental results, and allow a number of predictions of the absorption coefficient for different quantum well widths, electric fields, and strain levels. It is also shown in reference [36] that some of the experimental results in the literature require tensile strained substrates to produce agreement with the theoretical calculations which has been confirmed experimentally [24].
Even if the absorption of Ge based materials is mainly governed by the direct band gap, the indirect absorption is critical in determining the performances of Ge/SiGe electroabsorption modulator in terms of optical losses. This is even truer when higher compressive strain is applied in Ge QW to increase its band-edge energy. Highly sensitive photocurrent measurements over four orders of magnitude have been used for determining a good modeling for the indirect absorption contribution [38]. Finally, full absorption spectra of Ge/SiGe QW structures including direct and indirect bandgap has been modeled using this indirect bandgap absorption model, added to tunneling resonance model based on data fitting, and including 2D Sommerfeld enhancement to model excitonic effects, given a computational resources efficient method [39, 40].
3 Quantum confined stark effect in Ge/SiGe QWs
QCSE is a strong, electric field dependent change in optical absorption characteristic of quantum well materials.
3.1 Quantum confined effect: absorption spectra and polarization dependence
Room-temperature QCSE in strain compensated Ge/Si0.15Ge0.85MQW embedded in PIN diode has been characterized for Si0.1Ge0.9 on silicon buffer (Figure 1A) [23] and graded buffer followed by Si0.1Ge0.9 virtual substrate (Figure 1B) [41]. In both configurations, a clear quantum confinement is observed with strong exciton absorption peaks. As an example the absorption spectra of a 50 period Ge QW structure on the top of a graded buffer is reported in Figure 2B [41]. The absorption edge is shifted from the 0.8 eV of bulk Ge due to both the confinement effect in the QWs and the strain between the Ge QWs and the virtual substrate. The clear excitonic peak can be assigned to the HH1-cΓ1 transition around 0.88 eV. The corresponding QW band diagram for Ge/Si0.15Ge0.85QW on relaxed buffer is reported in Figure 2A. The half-width at half maximum (HWHM) of the exciton peak is about 6 meV, which demonstrates the very good quality of the Ge/SiGe MQWs grown on graded buffer by LEPECVD.

(A) Band-alignment of Ge/Si0.15Ge0.85 QW on relaxed SiGe buffer; (B) Ge/SiGe QW absorption spectra for different applied electric fields.
When increasing reverse bias voltage two main characteristics of QCSE are observed: the Stark (red) shift of the absorption spectra and the reduction of the exciton related absorption peak due to the reduction of the overlap between the electron and hole wavefunctions. The absorption variation with the electric field at a given wavelength can be used for light modulation by electro-absorption (see Section 4).
QCSE from the first two excitonic transitions (HH1-cΓ1 and LH1-cΓ1 (attributed to first valence band light hole (LH) level and the first conduction band level)) have been compared as a function of light polarization, using planar waveguides instead of surface illuminated diodes [42]. From the measured spectra reported in Figure 3, it can be noted that for an incident light with electric field parallel to the QW planes (E//), both LH1-cΓ1 and HH1-cΓ1 transitions are observed in the absorption spectra; while for an incident light with electric field perpendicular to the QW planes (E⊥), only the LH1-CΓ1 absorption peak is observed (Figure 3) which is compatible with theoretical calculations [35]. When an electric field is applied across the QW, the QCSE is observed, showing that the LH1-cΓ1 transition in Ge QWs can also be of significant interest since an absorption variation larger than that from the HH1-cΓ1 transition is obtained. Despite the larger background optical losses at lower wavelength, an electro-absorption modulator based on LH1-cΓ1 transition could achieve the same extinction ratio and optical loss with a length reduced by a factor of three in comparison with a more classical configuration using HH1-cΓ1 transition as discussed in reference [42].

Ge/SiGe QW room-temperature absorption spectra at different reverse bias voltages showing the QCSE for both E⊥ and E|| incident light.
3.2 Quantum confined stark effect: wavelength engineering
QCSE in strain compensated Ge/Si0.15Ge0.85MQW grown on Si0.1Ge0.9 substrate provided important absorption variation around 1420–1450 nm at HH1-cΓ1 transition, which can be used for electroabsorption modulation. Shifting the operating wavelengths towards 1.3 or 1.55 µm is of particular interest for the development of broad application range. New designs based on strain engineering have been proposed for this purpose, in reference [37]. Indeed in Ge/SiGe strain-compensated MQW, Ge wells are compressively strained while SiGe barriers experience tensile strain. The Ge well compressive strain results in an increase of the Ge direct band-gap energy. Reducing the germanium content of the virtual substrate can be used to increase the Ge compressive strain, and to decrease the operating wavelength. A design has been proposed, using a Si0.3Ge0.7 virtual substrate together with strain compensated Ge/Si0.4Ge0.6MQW [37]. Experimental demonstrations of such strain engineering to shift the absorption band-edge have been performed, using relaxed buffer obtained both by the use of a reverse linear grading from a relaxed Ge seed layer [30], or by graded buffer from silicon substrate [43]. In both cases strong absorption variation is obtained at 1.3 µm, as illustrated in Figure 4 for the demonstration on graded buffer.

Absorption spectra of 20 periods of 10 nm Ge wells/15 nm Si0.35Ge0.65 barriers on Si0.21Ge0.79 virtual substrate, illustrating QCSE at 1.3 µm obtained by strain engineering.
This strain engineering method to shift the absorption band-edge from 1.42 to 1.3 µm was compared with other options such as the decrease of well thickness or the use of SiGe wells instead of Ge [39]. The comparison was done targeting a modulator extinction ratio larger than 5 dB with insertion loss lower than 3 dB. These values give reasonable performances for short link communication. In addition, the considered waveguide design forced the total quantum well/barrier thickness to be 150 nm thick. As an optimal design, taken into account the stronger indirect absorption at 1.3 µm, the well thickness is reduced from 10 to 7 nm, and 1% of Si is added to the well composition [39].
In the opposite, working at 1.55 µm requires a reduction of the direct band gap energy. Different methods can be used to this end: the compressive strain in the well can be reduced by increasing the Ge content in the virtual substrate, the carrier confinement can be decreased by increasing the well thickness. Finally, additional shift can be obtained by device heating as the direct band gap energy is reduced when temperature increases. QCSE and large absorption variation at 1.55 µm was demonstrated by the combination of those three effects in a structure made of 12.5 nm thick Ge well, 5 nm thick Si0.175Ge0.825 barriers on a relaxed Si0.05Ge0.95 buffer layer, and heated at 90°C (compatible with CMOS circuits temperature) [25].
An electroaborption modulator working at 1.55 µm at room temperature has been designed in reference [39], combining the reduction of compressive strain and carrier confinement. 14 nm thick Ge well surrounded by Si0.15Ge0.85 barriers, strain compensated on Si0.05Ge0.95 virtual substrate was proposed as an optimal design.
All these demonstrations of QCSE in Ge rich Ge/SiGeMQW structures directly open the route for the use of these structures in photonic devices applications for electro-absorption modulation or photodetection (see Section 4).
3.3 Quantum-confined stark effect: phase modulation
QCSE induces strong absorption variations as shown above. According to Kramers-Kronig relations, such a variation leads to refractive index variations. In order to develop an entire Ge/SiGe optoelectronic platform, phase modulation based on QCSE can be attractive for the realization of electro-optic devices, including Mach Zehnder modulators [44].
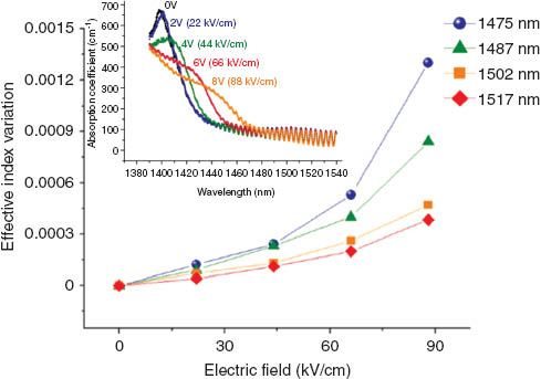
The refractive index change induced by QCSE in Ge/Si0.15Ge0.85MQWs on Si0.1Ge0.9 virtual substrate has been experimentally evaluated by measuring resonance shifts of a Fabry-Perot (FP) cavity formed by the waveguide facets [45]. The deduced effective index variation as a function of applied electric field is reported in Figure 5, for different wavelengths. The corresponding absorption spectra are reported in the inset of Figure 5. An effective index variation up to 1.3×10-3 was measured at 1475 nm, 50 meV below the excitonic resonance, which is competitive with the index variation obtained by free carrier concentration effects used in silicon for high speed modulation [46].

Phase modulation by QCSE in Ge/SiGe QW: effective index variation as a function of the electrical field for different wavelengths. Inset: corresponding absorption spectra.
4 Recombination processes in Ge-rich Ge/SiGe QW: competition between direct and indirect band gap emission
Despite showing direct-gap related effect, Ge/SiGe MQWs are fundamentally indirect band gap material systems. The understanding of recombination processes and carrier dynamics in these systems could be useful in view of the potential applications of Ge/SiGe QWs for light emitting devices. When radiative carrier recombinations are considered, a competition occurs between direct and indirect recombinations. Different experimental works have been performed to compare these recombinations and to evaluate their dynamics, mainly using Ge/Si0.15Ge0.85 MQW on Si0.1Ge0.9 virtual substrates [47–53].
Photoluminescence (PL) has been investigated over a wide spectral range, and for different temperatures: from 5K to room temperature [47] and in the above room temperature range between 300–440K [48]. Both direct recombination attributed to the HH1-cΓ1 transition and indirect recombination are clearly visible in the spectra at room temperature. The relative intensity of direct to indirect recombination was used to attribute room-temperature direct gap photoluminescence to the thermal excitation of carriers from L type to Γ type confined states [47]. In addition, above room temperature, the ratio between the direct and indirect photoluminescence intensities increases, as the carrier thermal excitation from L to Γ is enhanced [48], which can be favorable for applications in complementary metal-oxide semiconductor (CMOS) integrated circuits which normally operate above room temperature.
These results are confirmed by room temperature electroluminescence (EL) measurements from a Ge/Si0.15Ge0.85 QW waveguide [49]. Figure 6A shows the measured spectra without any temperature stabilization. A clear excitonic HH1-cΓ1 transition is observed, consistent with the spectral region of the HH1-cΓ1 PL peak at RT of similar structures in reference. [47]. An increase in the EL intensity according to the injection current is observed, as well as a redshift of the peak due to heating of the sample, resulting in a band gap reduction. More precisely a superlinear increase was obtained, and attributed to thermal promotion of carrier from L to Γ. This has been confirmed by a separate measurement of the EL spectra at different temperature and at a fixed current density as reported in Figure 6B.

Electroluminescence of Ge wells/ Si0.15Ge0.85 barriers on Si0.1Ge0.9 virtual substrate (A) measurement as a function of the injected current density without temperature control. (B) measurement at a given current density, as a function of the sample stage temperature.
Recombination dynamics can also be considered. At low temperature (14K) the decay of the Γ-Γ direct-gap related transition has been proven to be dominated by the electron scattering from Γ-type to L-type states of the conduction band [50]. Such phonon assisted intervalley scattering of electrons in the conduction band from the direct Γ valley to the indirect L valley of Ge wells has been evaluated by pump-probe measurements around 200 fs [51, 52]. Nevertheless it can be mentioned that transient population inversion and optical gain has been demonstrated [52].
All previous PL, EL and pump-probe results used roughly the same QW design, and HH1-cΓ1 peak was obtained between 1420–1450 nm. However, engineering can be used to tune this emission wavelength. Direct band-gap electroluminescence at 1.55 µm has been demonstrated in a structure with an active region consisting of 10 periods of strained 11.2 nm n-Ge quantum wells (PH3 doping at 1019 cm-3) and 8.5 nm Si0.014Ge0.986 barriers [53].
5 Photonic devices based on Ge/SiGe QWs
Ge/SiGe MQW optical and opto-electrical properties are promising for the achievement of high performances photonic devices. QCSE opens naturally the route towards electro-absorption modulator which should help reducing the power consumption of silicon photonic circuits [15]. To be useful such a device should present simultaneously high frequency operation, large extinction ratio (ER) and low insertion loss (IL). Stand-alone Ge/SiGe MQW electro-absorption modulators have been demonstrated using a 3 µm wide and 90 μm long Ge/SiGe MQW waveguide as depicted in Figure 7 [18]. With a voltage swing of only 2 V the modulator exhibited ER of more than 6 dB for an 11 nm spectral range. The corresponding absorption loss was between 5.5 and 12 dB, as a function of the wavelength. This absorption loss could be decreased by optimizing the light confinement in the QW region, as large part of the optical mode came from the overlap between the optical mode and the 2 µm thick Si0.1Ge0.9 relaxed buffer and the doped region. Moreover ER up to 10 dB was also demonstrated. Finally, high speed operation was obtained with 23 GHz opto-electrical bandwidth. For data communication applications, the integration of optical modulators and photodetectors on the same circuits can be of a particular interest. To this end Ge/SiGe photodetectors have been investigated using the same configuration as electro-absorption modulator in Figure 7 [54]. Indeed, the use of the same material and processes can greatly simplify circuit fabrication. Responsivity of 0.8 A/W and 10 Gb/s operation have been demonstrated in an 80 µm long waveguide at wavelengths of 1405 and 1420 nm which are compatible with the operating wavelength of electro-absorption modulator made of the same MQW structure [18].

Ge/SiGe QW electro-absorption stand-alone modulator and photodetector design.
Both electro-absorption modulator and photodetector reported in references [18] and [55] leave room for improvements. As the main challenging point, these devices have to be integrated with low loss waveguides. Two integration schemes for Ge/SiGe MQW devices are considered at the present time in the literature.
First Ge/SiGe QCSE QW waveguide modulator has been monolithically integrated with silicon-on-insulator (SOI) waveguides through direct-butt coupling and selective epitaxial growth [32]. To prevent lateral epitaxial growth during the epitaxial growth, the deposition of a dielectric insulating spacer layer on the sidewall facet of the SOI waveguide was developed [55]. The active section of the device had a footprint of only 8 μm2, and the modulator provided 3.2 dB ER with a 1 V swing. Modulation measurements showed that the integrated device was able to operate at 7 Gbit/s. Large optical loss (~12 dB) due to height mismatch between the silicon waveguide core (310 nm) and the Ge/SiGe grown region (~1.5 µm) could be reduced in future works, starting the growth by silicon instead of silicon germanium, in order to obtain a better mode confinement in the active region of the modulator [32].
The second option relies on vertical evanescent coupling of light from SOI waveguide to Ge/SiGe MQW active region. The optical coupling has been modeled and short adiabatic vertically-coupled laterally tapered mode adaptors have been designed [56]. Modeling also shown that significant improvement in the insertion loss of waveguide integrated devices can be obtained by reduction of the thickness of the SiGe buffer [24]. Thin virtual substrate of only 320 nm thick has been successfully used to grow high quality Ge/SiGe MQW as shown by the QCSE measurement, which has been possible by a better understanding of the strain in fabricated layers [24]. To our knowledge, performances (i.e., ER and IL) of Ge/SiGe MQW modulator integrated with SOI waveguides, based on such vertical evanescent coupling have not been reported up to now but results should be obtained in the near future to evaluate the potential of these structures in the silicon photonics context.
6 Conclusion
In the past years, material, optical and optoelectronic properties of Ge/SiGe QW have been investigated. QCSE related to direct-gap transitions has been characterized with many details. The influence of light polarization has been highlighted. New designs, based for example on strain engineering have been proposed and validated. Phase modulation due to QCSE has been proven and quantified. Carrier recombination processes and dynamics have been evaluated, using pump-probe, photo- and electroluminescence. Finally, high performances electro-absorption modulator and photodetector have been demonstrated. All these works and results crucially rely on epitaxial growth of high quality Ge rich heterostructures on Si, and different strategies have been used to manage the lattice mismatch between silicon and germanium.
As a conclusion, Ge/SiGe QW structures form an exciting research topic, which is only partially explored up to now, leaving room for further investigations. As an example, waveguide integration has significant room for improvement. Optical modulators based on phase variation have to be demonstrated and compared with existing solutions. Light source has to be furthermore investigated. The combination of Ge/SiGe QW with plasmon enhancement could further significantly decrease devices footprints [57]. Undoubtedly the opportunity to develop a new photonic platform based on Ge/SiGe QW active devices that could be fabricated along CMOS chip in a cost effective manner depends on the successful development of the above optoelectronic components.
The authors would like to thank funding from the French ANR under project GOSPEL (Direct Gap related Optical Properties of Ge/SiGe Multiple Quantum Wells) and from the European Commission (EC) through project Green Silicon.
References
[1] Jalali B, Fathpour S. Silicon photonics. J Lightwave Technol 2006;24:4600–1510.1109/JLT.2006.885782Search in Google Scholar
[2] Miller D. Physical reasons for optical interconnection. Int J Optoelectron 1997;11:155–68.Search in Google Scholar
[3] Koo K-H, Kapur P, Saraswat KC. Compact performance models and comparisons for gigascale on-chip global interconnect technologies. IEEE Trans Electron Dev 2009;56:1787–98.10.1109/TED.2009.2026196Search in Google Scholar
[4] Laval S, Vivien L, Cassan E, Marris-Morini D, Fédéli JM. New interconnect schemes: end of copper, optical interconnects? In Electronic devices architectures for the NANO-CMOS Era, from ultimate CMOS scaling beyond CMOS devices, Singapore: Pan Stanford Publishing; 2008.Search in Google Scholar
[5] Daldosso N, Melchiorri M, Garcia C, Pellegrino P, Garrido B, Sada C, Battaglin G, Gourbilleau F, Rizk R, Pavesi L. Er-coupled Si nanocluster waveguide. IEEE J Sel Top Quant 2006;12: 1607–17.10.1109/JSTQE.2006.885141Search in Google Scholar
[6] Ghulinyan M, Navarro-Urrios D, Pitanti A, Lui A, Pucker G, Pavesi L. Whispering-gallery modes and light emission from a Si-nanocrystal-based single microdisk resonator. Opt Express 2008;16:13218–24.10.1364/OE.16.013218Search in Google Scholar PubMed
[7] Camacho-Aguilera R, Cai Y, Patel N, Bessette J, Romagnoli M, Kimerling L, Michel J. An electrically pumped germanium laser. Opt Express 2012;20:11316–20.10.1364/OE.20.011316Search in Google Scholar PubMed
[8] Fang A, Jones R, Park H, Cohen O, Raday O, Paniccia M, Bowers J. Integrated AlGaInAs-silicon evanescent racetrack laser and photodetector. Opt Express 2007;15:2315–22.10.1364/OE.15.002315Search in Google Scholar PubMed
[9] Keyvaninia S, Roelkens G, Van Thourhout D, Jany C, Lamponi M, Le Liepvre A, Lelarge F, Make D, Duan G-H, Bordel D, Fédéli J-M. Demonstration of a heterogeneously integrated III-V/SOI single wavelength tunable laser. Opt Express 2013;21:3784–92.10.1364/OE.21.003784Search in Google Scholar PubMed
[10] Watts M, Zortman W, Trotter D, Young R, Lentine A. Low-voltage, compact, depletion-mode, silicon Mach-Zehnder modulator. IEEE J Sel Top Quant 2010;16:159–64.10.1109/JSTQE.2009.2035059Search in Google Scholar
[11] Liao L, Liu A, Rubin D, Basak J, Chetrit Y, Nguyen H, Cohen R, Izhaky N, Paniccia M. 40 Gbit/s silicon optical modulator for high speed applications. Electron Lett 2007;43:1196–7.10.1049/el:20072253Search in Google Scholar
[12] Thomson DJ, Gardes FY, Hu Y, Mashanovich G, Fournier M, Grosse P, Fédéli J-M, Reed GT. High contrast 40Gbit/s optical modulation in silicon. Opt Express 2011;19:11507–16.10.1364/OE.19.011507Search in Google Scholar PubMed
[13] Gardes FY, Thomson DJ, Emerson NG, Reed GT. 40 Gb/s silicon photonics modulator for TE and TM polarisations. Opt Express 2011;19:11804–14.10.1364/OE.19.011804Search in Google Scholar PubMed
[14] Ziebell M, Marris-Morini D, Rasigade G, Fédéli J-M, Crozat P, Cassan E, Bouville D, Vivien L. 40 Gbit/s low-loss silicon optical modulator based on a pipin diode. Opt Express 2012;20:10591–6.10.1364/OE.20.010591Search in Google Scholar PubMed
[15] Miller DAB. Energy consumption in optical modulators for interconnects. Opt Express 2012;20:293–308.10.1364/OE.20.00A293Search in Google Scholar PubMed
[16] Ziebell M, Marris-Morini D, Rasigade G, Crozat P, Fédéli J-M, Grosse P, Cassan E, Vivien L. 10 Gbit/s ring resonator silicon modulator based on interdigitated PN junctions. Opt Express 2011;19:14690–5.10.1364/OE.19.014690Search in Google Scholar PubMed
[17] Feng N-N, Feng D, Liao S, Wang X, Dong P, Liang H, Kung C-C, Qian W, Fong J, Shafiiha R, Luo Y, Cunningham J, Krishnamoorthy A, Asghari M. 30 GHz Ge electro-absorption modulator integrated with 3 µm silicon-on-insulator waveguide. Opt Express 2011;19:7062–7.10.1364/OE.19.007062Search in Google Scholar PubMed
[18] Chaisakul P, Marris-Morini D, Rouifed M-S, Isella G, Chrastina D, Frigerio J, Le Roux X, Edmond S, Coudevylle J-R, Vivien L. 23 GHz Ge/SiGe multiple quantum well electro-absorption modulator. Opt Express 2012;20:3219–25.10.1364/OE.20.003219Search in Google Scholar PubMed
[19] Feng D, Liao S, Dong P, Feng N-N, Liang H, Zheng D, Kung C-C, Fong J, Shafiiha R, Cunningham J, Krishnamoorthy AV, Asghari M. High-speed Ge photodetector monolithically integrated with large cross-section silicon-on-insulator waveguide. Appl Phys Lett 2009;95:261105.10.1063/1.3279129Search in Google Scholar
[20] Michel J, Liu J, Kimerling L. High performance Ge-on-Si photodetectors. Nature Photonics 2010;4:527–34.10.1038/nphoton.2010.157Search in Google Scholar
[21] Vivien L, Polzer A, Marris-Morini D, Osmond J, Hartmann J-M, Crozat P, Cassan E, Kopp C, Zimmermann H, Fédéli J-M. Zero-bias 40 Gbit/s germanium waveguide photodetector on silicon. Opt Express 2012;20:1096–101.10.1364/OE.20.001096Search in Google Scholar PubMed
[22] Miller D, Chemla S, Damen T, Gossard A, Wiegmann W, Wood T, Burrus C. Band-edge electroabsorption in quantum well structures: the quantum-confined Stark effect. Phys Rev Lett 1984;53:2173–6.10.1103/PhysRevLett.53.2173Search in Google Scholar
[23] Kuo Y, Lee Y, Ge Y, Ren S, Roth J, Kamins T, Miller D, Harris J. Strong quantum-confined Stark effect in germanium quantum well structures on silicon. Nature 2005;437:1334–6.10.1038/nature04204Search in Google Scholar PubMed
[24] Edwards E, Lever L, Fei E, Kamins T, Ikonic Z, Harris J, Kelsall R, Miller D. Low-voltage broad-band électroabsorption from thin Ge/SiGe quantum wells epitaxially grown on silicon. Opt Express 2013;21:867–76.10.1364/OE.21.000867Search in Google Scholar PubMed
[25] Kuo Y, Lee Y, Ge Y, Ren S, Roth J, Kamins T, Miller D, Harris J. Quantum-confined Stark effect in Ge/SiGe quantum wells on Si for optical modulators. IEEE J Sel Top Quant 2006;12:1503–13.10.1109/JSTQE.2006.883146Search in Google Scholar
[26] Bonfanti M, Grilli E, Guzzi M, Chrastinal D, Isella G, von Knel H, Sigg H. Direct gap related optical transitions in Ge/SiGe quantum wells. Physica E 2009;41:972–5.10.1016/j.physe.2008.08.052Search in Google Scholar
[27] Tsujino S, Sigg H, Mussler G, Chrastina D, von Kanel H. Photocurrent and transmission spectroscopy of direct-gap interband transitions in Ge/SiGe quantum wells. Appl Phys Lett 2006;89:262119.10.1063/1.2425032Search in Google Scholar
[28] Isella G, Chrastina D, Rössner B, Hackbarth T, Herzog H-J, König U, von Känel H. Low-energy plasma-enhanced chemical vapor deposition for strained Si and Ge heterostructures and devices. Solid State Electron 2004;48:1317–23.10.1016/j.sse.2004.01.013Search in Google Scholar
[29] Liu X-C, Myronov M, Dobbue A, Morris R, Leadley D. High-quality Ge/Si0.4Ge0.6 multiple quantum wells for photonic applications: growth by reduced pressure chemical vapour deposition and structural characteristics. J Phys D: Appl Phys 2011;44:055102.10.1088/0022-3727/44/5/055102Search in Google Scholar
[30] Lever L, Hu Y, Myronov M, Liu X, Owens N, Gardes F, Marko I, Sweeney S, Ikonic Z, Leadley D, Reed G, Kelsall R. Modulation of the absorption coefficient at 1.3 µm in Ge/SiGe multiple quantum well heterostructures on silicon. Opt Lett 2011;36:4158–60.10.1364/OL.36.004158Search in Google Scholar PubMed
[31] Ren S, Rong Y, Kamins T, Harris J, Miller D. Selective epitaxial growth of Ge/Si0.15Ge0.85 quantum wells on Si substrate using reduced pressure chemical vapor deposition. Appl Phys Lett 2011;98:151108.10.1063/1.3574912Search in Google Scholar
[32] Ren S, Rong Y, Claussen S, Schaevitz R, Kamins T, Harris J, Miller D. Ge/SiGe quantum well waveguide modulator monotithically integrated with SOI waveguides. Photon Technol Lett 2012;24:461–3.10.1109/LPT.2011.2181496Search in Google Scholar
[33] Virgilio M, Grosso G. Quantum-confined Stark effect in Ge/SiGe quantum wells: a tight-binding description. Phys Rev B 2008;77:165315.10.1103/PhysRevB.77.165315Search in Google Scholar
[34] Bonfanti M, Grilli E, Guzzi M, Virgilio M, Grosso G, Chrastina D, Isella G, von Känel H. Optical transitions in Ge/SiGe multiple quantum wells with Ge-rich barriers. Phys Rev B 2008;78:041407.10.1103/PhysRevB.78.041407Search in Google Scholar
[35] Virgilio M, Bonfanti M, Chrastina D, Neels A, Isella G, Grilli E, Guzzi M, Grosso G, Sigg H, von Känel H. Polarization-dependent absorption in Ge/SiGe multiple quantum wells: Theory and experiment. Phys Rev B 2009;79: 075323.10.1103/PhysRevB.79.075323Search in Google Scholar
[36] Paul D. 8-band k.p modeling of the quantum confined Stark effect in Ge quantum wells on Si substrated. Phys Rev B 2008;77:155323.10.1103/PhysRevB.77.155323Search in Google Scholar
[37] Lever L, Ikonic Z, Valavanis A, Cooper J, Kelsall R. Design of Ge-SiGe quantum-confined Stark Effect Electroabsorption heterostructures for CMOS compatible photonics. J Lightwave Technol 2010;28:3273–81.10.1109/JLT.2010.2081345Search in Google Scholar
[38] Schaevitz R, Ly-Gagnon D, Roth J, Edwards E, Miller D. Indirect absorption in germanium quantum wells. AIP Advances 2011;1:032164.10.1063/1.3646149Search in Google Scholar
[39] Schaevitz R, Edwards E, Roth J, Fei E, Rong Y, Wahl P, Kamins T, Harris J, Miller D. Simple electroabsorption calculator for designing 1310 and 1550 nm modulators using germanium quantum wells. IEEE J Quant 2012;48:187–97.10.1109/JQE.2011.2170961Search in Google Scholar
[40] Kekatpure R, Lentine A. The suitability of SiGe multiple quantum well modulators for short reach DWDM optical interconnect. Opt Express 2013;21:5318–31.10.1364/OE.21.005318Search in Google Scholar PubMed
[41] Chaisakul P, Marris-Morini D, Isella G, Chrastina D, Le Roux X, Gatti E, Edmond S, Osmond J, Cassan E, Vivien L. Quantum-confined Stark effect measurements in Ge/SiGe quantum well structures. Opt Lett 2010;35:2913–5.10.1364/OL.35.002913Search in Google Scholar PubMed
[42] Chaisakul P, Marris-Morini D, Rouifed MS, Frigerio J, Isella G, Chrastina D, Coudevylle J-R, Le Roux X, Edmond S, Bouville D, Vivien L. Strong quantum-confined Stark effect from light hole related direct-gap transitions in Ge quantum wells. Appl Phys Lett 2013;102:191107.10.1063/1.4805004Search in Google Scholar
[43] Rouifed M-S, Chaisakul P, Marris-Morini D, Frigerio J, Isella G, Chrastina D, Edmond S, Le Roux X, Coudevylle J-R, Vivien L. Quantum-confined Stark effect at 1.3 μm in Ge/Si0.35Ge0.65 quantum-well structure. Opt Lett 2012;37:3960.Search in Google Scholar
[44] Chen H-W, Kuo Y-H, Bowers J. High speed hybrid silicon evanescent Mach Zehnder modulator and swith. Opt Express 2008;16:20571–6.10.1364/OE.16.020571Search in Google Scholar
[45] Frigerio J, Chaisakul P, Marris-Morini D, Cecchi S, Rouifed MS, Isella G, Vivien L. Electro-refractive effect in Ge/SiGe multiple quantum wells. Appl Phys Lett 2013;102:061102.10.1063/1.4792271Search in Google Scholar
[46] Marris-Morini D, Vivien L, Rasigade G, Cassan E, Fédéli JM, Le Roux X, Crozat P, Maine S, Lupu A, Halbwax M, Laval S. Recent progress in high speed silicon-based optical modulators. P IEEE 2009;97:1199–21510.1109/JPROC.2009.2015337Search in Google Scholar
[47] Gatti E, Grilli E, Guzzi M, Chrastina D, Isella G, von Känel H. Room temperature photoluminescence of Ge multiple quantum wells with Ge-rich barriers. Appl Phys Lett 2011;98:031106.10.1063/1.3541782Search in Google Scholar
[48] Wu P, Dumcenco D, Huang Y, Hsu H, Lai C, Lin T, Chrastina D, Isella G, Gatti E, Tiong K. Above-room-temperature photoluminescence from a strain-compensated Ge/Si0.15Ge0.85 multiple-quantum-well structure. Appl Phys Lett 2012;100:141905.10.1063/1.3700804Search in Google Scholar
[49] Chaisakul P, Marris-Morini D, Isella G, Chrastina D, Izard N, Le Roux X, Edmond S, Coudevylle J-R, Vivien L. Room temperature direct gap electroluminescence from Ge/Si0.15Ge0.85 multiple quantum well edge emitting diode. Appl Phys Lett 2011;99:141106.10.1063/1.3647572Search in Google Scholar
[50] Giorgioni A, Gatti E, Grilli E, Chernikov A, Chatterjee S, Chrastina D, Isella G, Guzzi M. Photoluminescence decay of direct and indirect transitions in Ge/SiGe multiple quantum wells. J Appl Phys 2012;111:013501.10.1063/1.3673271Search in Google Scholar
[51] Claussen S, Tasyurek E, Roth J, Miller D. Measurement and modeling of ultrafast carrier dynamics and transport in germanium/silicon-germanium quantum wells. Opt Express 2010;18:25596–607.10.1364/OE.18.025596Search in Google Scholar PubMed
[52] Lange C, Köster N, Chatterjee S, Sigg H, Chrastina D, Isella G, von Känel H, Schäfer M, Kiran M, Woch S. Ultrafact nonlinear optical response of photoexcited Ge/SiGe quantum wells: Evidence for a femtosecond transient population inversion. Phys Rev B 2009;79:201306.10.1103/PhysRevB.79.201306Search in Google Scholar
[53] Gallacher K, Vella P, Paul D, Cecchi S, Frigerio J, Chrastina D, Isella G. 1.55 µm direct bandgap electroluminescence from strained n-Ge quantum wells grown on Si substrate. Appl Phys Lett 2012;101:211101.10.1063/1.4767138Search in Google Scholar
[54] Chaisakul P, Marris-Morini D, Isella G, Chrastina D, Rouifed M-S, Le Roux X, Edmond S, Cassan E, Coudevylle J-R, Vivien L. 10 Gbit/s Ge/SiGe multiple quantum well waveguide photodetector. IEEE Photon Technol Lett 2011;23:1430–2.10.1109/LPT.2011.2162724Search in Google Scholar
[55] Ren S, Kamins T, Miller D. Thin dielectric spacer for the monolithic integration of bulk germanium or germanium quantum wells with silicon-on-insulator waveguides. IEEE Photon J 2011;3:739–47.10.1109/JPHOT.2011.2162644Search in Google Scholar
[56] Lever L, Ikonic Z, Kelsall R. Adiabatic mode coupling between SiGe photonic devices and SOI waveguides. Opt Express 2012;20:29500–6.10.1364/OE.20.029500Search in Google Scholar PubMed
[57] Thomas R, Ikonic Z, Kelsall R. Plasmonic enhances electro-optic stub modulator on a SOI platform. Phot Nano Fund Appl 2011;9:101–7.10.1016/j.photonics.2011.01.001Search in Google Scholar
©2013 by Science Wise Publishing & De Gruyter Berlin Boston
Articles in the same Issue
- Masthead
- Masthead
- Graphical abstracts
- In this issue
- Letter
- Comparison of electron energy-loss and quantitative optical spectroscopy on individual optical gold antennas
- Review articles
- Fano-resonant metamaterials and their applications
- Nanophotonics and supramolecular chemistry
- Towards low energy consumption integrated photonic circuits based on Ge/SiGe quantum wells
- Light manipulation principles in biological photonic systems
Articles in the same Issue
- Masthead
- Masthead
- Graphical abstracts
- In this issue
- Letter
- Comparison of electron energy-loss and quantitative optical spectroscopy on individual optical gold antennas
- Review articles
- Fano-resonant metamaterials and their applications
- Nanophotonics and supramolecular chemistry
- Towards low energy consumption integrated photonic circuits based on Ge/SiGe quantum wells
- Light manipulation principles in biological photonic systems