Abstract
This research investigated the general high-throughput synthetic protocol for the accelerated synthesis of functionalized trifluoromethylpyrazolopyrimidines 3 and N-(5-cyano-3-methyl-1-phenyl-1H-pyrazol-4-yl) benzamide 4 from aminocyanopyrazole 1 precursors. The action of chlorosulfonyl isocyanate (CSI) with aminopyrazolo[3,4-d]pyrimidines 2 was found to produce triazolopyrimidinones 5 . The MTT test that quantifies mitochondrial reductive function demonstrated that in both cell lines tested (PE/CA-PJ41 and HePG2 cells), the benzamide compounds 4 are moderately toxic with PE/CA-PJ41 cells and more sensitive than HePG2 cells.
1 Introduction
The pyrazole ring has been of great interest [1,2,3,4,5,6,7], thanks to its accessibility and various properties. The importance of these heterocyclic compounds lies in their potential biological antitumor [8] and antiviral [9] activities. It also lies in their efficient use as starting materials for the synthesis of other fused heterocyclic pyrazolopyrimidine derivatives of substantial chemical and pharmacological significance [10,11,12,13,14,15,16]. The synthesis of fused bicycles has been the subject of several works [17,18]. In the present research work, and for the purpose of preparing aminocyanopyrazoles 1 , a classical method of pyrazole synthesis was applied. Compounds 1 possess two reactive sites, namely a cyano group and amino group, which react with trifluoroacetic acid and phenylisothiocyanate to offer a novel class of condensed heterocycles 3 and 4 .
Furthermore, fluorinated compounds have drawn the attention of researchers in the agrochemical and medicinal fields. Overall, the combination of a fluoro or trifluoromethyl group produces compounds with enhanced biological activity, thanks to the boosted pharmacokinetic and physicochemical properties compared to their nonfluorinated analogues [19,20].
The reactivity of di- and trifunctionalized compounds containing heteroatoms like oxygen, nitrogen, and sulfur toward heterocumulenes, such as benzoylisothiocyanates [21], have been proven to depend on the structure of reactive intermediates along with the other substrates in the reaction, solvents, and reaction conditions. It has been reported that the action of benzoylisothiocyanates with 1,2-phenylenediamines [22] generates 2-arylbenzimidazole via the formation of bis-thiourea derivatives. The reaction of salicylamide with benzoylisothiocyanates through its hydroxyl group leads to the formation of benzoxazine derivatives [23].
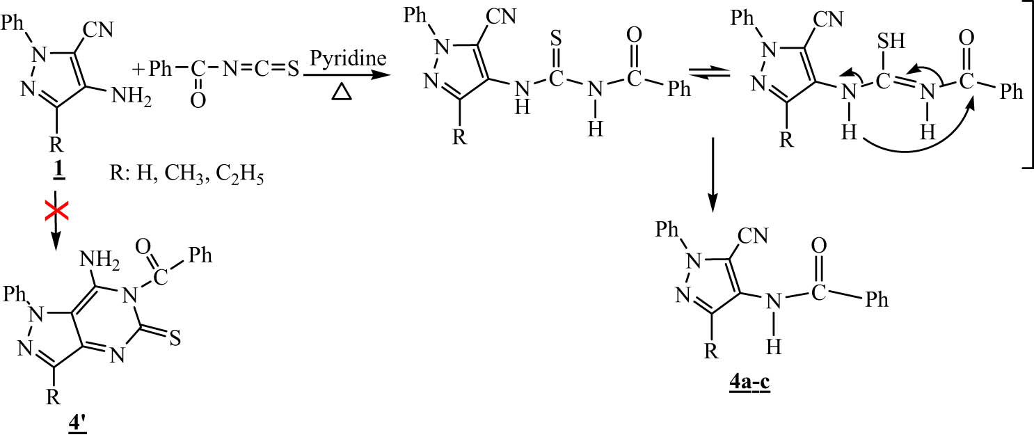
As an extension to the studies of the reactivity of pyrazoles 1 , the investigation of the reaction of benzoylisothiocyanates with 4-amino-5-cyanopyrazole (Scheme 2), which leads to N-(5-cyano-1-phenyl-1H-pyrazol-4-yl)benzamide 4, is pertinent. Another method of synthesizing benzamides from aminocyanopyrazoles has been described in the literature [24] as well as the study of their reactivities leading to polyheterocycle compounds.
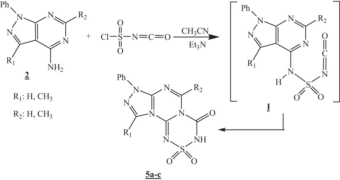
The second part of this article reports the reaction of chlorosulfonyl isocyanate (CSI) with aminopyrazolo[3,4-d]pyrimidines 2 that has an amidine motif in its structure. CSI, which was discovered by Graf in 1966 [25], has two electrophilic sites, namely the carbonyl carbon (the isocyanate part) and the sulfur of the sulfonyl chloride group. Hence, this substrate is likely to be utilized in organic synthesis reactions. Owing to its excellent reactivity toward mobile hydrogen reactants such as alcohols, thiols, phenols, and amines [19,20], it has been given an important place in chemical synthesis. With respect to the previously realized studies dealing with CSI reactivity, Dhar and Murthy [26] have introduced a review comprising more than 120 references pertaining to this reagent’s use in organic and heterocyclic synthesis.
In more recent times, a study conducted by Allouche et al. [27] was dedicated to the action of aminotriazoles with CSI. These authors have demonstrated that the behavior of CSI differs from the reaction’s solvent and temperature.
2 Results and discussion
2.1 Chemistry
2.1.1 Reaction of 5-amino-4-cyanopyrazoles with trifluoroacetic acid
The action of trifluoroacetic acid with 5-amino-4-cyanopyrazoles generates 7-chloro-1-phenyl-5-(trifluoromethyl)-1H-pyrazolo[4,3-d] pyrimidine. Indeed, the reaction that occurs in toluene at 80°C with stirring for 24 h necessitates the presence of phosphorus oxychloride. The nitrogen of the amine group possessing a nucleophilic nature attacks the electrophilic carbon of trifluoroacetic acid and leads to the formation of the pyrazolopyrimidine group according to the reaction shown in Scheme 1.

Synthesis of benzamide trifluoromethyl pyrazolopyrimidine.
2.1.2 Reaction of 5-amino-4-cyanopyrazoles with trifluoroacetic acid
Pyrazole is characterized by the presence of electrophilic and nucleophilic sites, which provide it with great reactivity. The action of benzoylisothiocyanates with 4-amino-5-cyanopyrazole 1 was realized to synthesize the corresponding pyrazolothioxopyrimidines 4 ′ (Scheme 2). However, this reaction produced the product of chemoselective N-benzoylation of pyrazole forming N-(5-cyano-1-phenyl-1H-pyrazol-4-yl)benzamide 4 . It also followed the same reaction mechanism as that of in the reaction of benzoylisothiocyanates with 2-aminophenol [22] illustrated in the literature.

Synthesis of benzamide.
2.1.3 Reaction of pyrazolopyrimidine with CSI
The synthesis of aminopyrazolo[3,4-d]pyrimidine derivatives 2a–c was carried out according to the procedure described in the literature [28]. Actually, 5-amino-4-cyano-N1-phenyl pyrazole 1 treated with triethylorthoester and a catalytic amount of acetic acid leads to the formation of imidate. The latter reacts with ammonia and a catalytic amount of acetic acid to realize the pyrazolopyrimidines 2 .
The reaction of pyrazolo[3,4-d]pyrimidines 2 with thioisocyanate in acetonitrile and in the presence of triethylamine leads to heterotricyclic compound 5.
The crude reaction products did not reveal any signs of the regioisomer based on the 1H and 13C NMR spectra. The identity of products 5a–c was demonstrated by high-resolution mass spectrometry (HRMS). As observed in our earlier research work [29], in each case, it can be assumed that the formation of the involved triazolopyrimidinones 5a–c . First, the selective attack of the sulfonyl group by the extracyclic NH2 following the substitution of chlorine, intermediate (I) is formed. Indeed, the reason behind considering this hypothesis is that all previously realized studies have mentioned that elevated temperature favors this regioselectivity of the attack [30]. Besides, the role of triethylamine is to fix the formed HCl. Second, an intracyclization by attacking the nitrogen doublet on the CO of the isocyanate function leads to the tricyclic structure 5 (Scheme 3).

Synthesis of pyrazolopyrimidothiatriazinone.
2.2 Biological activity
2.2.1 Cytotoxicity results
The results from the MTT assay that quantifies the mitochondrial reductive function demonstrated that, in both cell lines tested, these two series of compounds were only moderately toxic with PE/CA-PJ41 cells being more sensitive than HePG2 cells overall. The 4a–c series was more toxic than the 1a–c series, which was essentially nontoxic in HepG2 cells (IC50 > 100 μM) and only displayed limited toxicity in PE/CA-PJ41 cells. For the MJ series of compounds, the following order of potency was observed: 4c > 4b > 4a in both cell lines tested (Figure 1).

Cytotoxicity of 4a–c and 1a–c in (a) PE/CA-PJ41 and (b) HeG2/C3A cells as assessed by the MTT assay. The results represent the mean of three independent biological experiments (n = 3, ± SEM).
3 Conclusion
The aminocyanopyrazole condensation with trifluoroacetic acid has led to a new protocol for the synthesis of trifluoromethyl pyrazolopyrimidines. These compounds whose condensations have provided access to new families of trifluoromethylpyrazolopyrimidine compounds are of biological interest. The condensation of isothiocyanate with 5-amino-4-cyanopyrazoles allowed access to a novel family of pyrazolothioxopyrimidines.
The results from the MTT assay that quantifies mitochondrial reductive function demonstrated that benzamides were moderately toxic to PE/CA-PJ41 cells that were more sensitive than HePG2 cells, and the synthesized benzamide was more toxic than the starting aminocyanopyrazoles.
4 Experimental
4.1 Chemistry
The IR spectra were recorded for KBr on a Jasco Fourier transform (FT)–IR 420 spectrometer with a precision of 2 cm−1 covering the 400–4,000 cm−1 range. Furthermore, the 1H NMR and 13C NMR spectra were recorded in CDCl3 solution or in dimethylsulfoxide (DMSO-d 6) on a Bruker spectrometer (1H at 300 MHz, 13C at 75 MHz). for the chemical shifts are expressed in parts per million (ppm) using tetramethylsilane as an internal reference. Besides, the multiplicities of the signals are denoted by the following abbreviations: s, singlet; d, doublet; t, triplet; q, quadruplet; and m, multiplet, and the coupling constants are expressed in hertz. The melting points that were determined in an Electrothermal 9100 apparatus are not corrected. The reactions were monitored by thin-layer chromatography (TLC) using aluminum sheets with silica gel 60 F254 from Merck. The mass spectrometer was operated in electrospray ionization mode at 70 eV, and mass (MS) spectra were recorded from m = z 50 to 650.
4.1.1 General procedure for the synthesis of 7-chloro-3-alkyl-1-phenyl-5-(trifluoromethyl)-1H-pyrazolo[4,3-d]pyrimidine 3
One-pot synthesis of 7-chloro-3-alkyl-1-phenyl-5-(trifluoromethyl)-1H-pyrazolo[4,3-d] pyrimidine 3 .: A mixture of compound 1 (10.0 mmol), trifluoroacetic acid (TFA, 1.0 mL), toluene (10 mL), and phosphorus oxychloride (3.0 mL) was heated to 80°C with thorough stirring. The monitoring of the progress of the reactions was realized by TLC with petroleum ether/ethyl acetate (3:1, v/v) as a developing solvent. When the reaction was completed, toluene was eliminated by vacuum distillation. The residue was poured onto ice-cold water and neutralized with a saturated sodium bicarbonate solution. Moreover, the recrystallization from n-hexane produced a yellowish compound 3 in moderate yield (64–69%).
4.1.1.1 7-Chloro-1-phenyl-5-(trifluoromethyl)-1H-pyrazolo[4,3-d]pyrimidine 3a
Yield: 64%; mp: 198°C.
1H NMR (DMSO-d 6, 300 MHz): 6.50–7.81 (m, 5H); 8.52 (s, 1H).
13C NMR (DMSO-d 6, 75 MHz): C4 73.92; C2 108.09; Carom 124.58–137.89;
C6 128.12; C1 130.03; C5 150.66; C3 151.66.
19F NMR (CDCl3): δ 68.51.
4.1.1.2 7-Chloro-3-methyl-1-phenyl-5-(trifluoromethyl)-1H-pyrazolo[4,3-d]pyrimidine 3b
Yield: 69%; mp: 181°C.
1H NMR (DMSO-d 6, 300 MHz): 2.2 (s, 3H); 6.50–7.51 (m, 5H).
13C NMR (DMSO-d 6, 75 MHz): C7 13.04; C4 74.20; C1 137.96; C2 115.50; Carom 124.35–137.96; C6 127.99; C5 150.49; C3 151.68.
19F NMR (CDCl3): δ 68.73.
4.1.1.3 7-Chloro-3-ethyl-1-phenyl-5-(trifluorométhyl)-1H-pyrazolo[4,3-d]pyrimidine 3c
Yield: 65%; mp: 193°C.
1H NMR (DMSO-d 6, 300 MHz): 1.2 (t, 3H); 2.5 (q, 2H); 6.50–7.51 (m, 5H).
13C NMR (DMSO-d 6, 75 MHz): C8 12.87; C7 21.07, C4 73.02; C2115.47; Carom 124.40–138.01; C6 127.99; C1 138.01; C5 152.07; C3 155.53.
19F NMR (CDCl3): δ 68.54.
4.1.2 General procedure for the synthesis of N-(5-cyano-3-alkyl-1-phenyl-1H-pyrazol-4-yl) benzamide 4a–c
The mixture of aminocyanopyrazole (0.01 mmol) in pyridine (10 mL) and benzoylisothiocyanate (0.012 mol) was stirred with a magnetic stirrer at room temperature for 24 h. The solvent was evaporated and then the residue was treated with dry diethyl ether. The precipitated product 4 was filtered off and recrystallized from ethyl alcohol.
4.1.2.1 N-(5-Cyano-1-phenyl-1H-pyrazol-4-yl)benzamide
Rdt: 81%; mp: 168°C.
RMN 1H (DMSO, 300 MHz): 0.90 (s, 3H); 2.28 (s,2H); 6.46–7.95 (m, 10H).
RMN13C (DMSO, 75 MHz): C6 15.20; C5 101,24; Carom 117.30–146.17; C1 148.75; C2 164.14; C7 166.88; C3 176.18.
HRMS calcd for C17H12N4O [M + H]+ 288.1011; found: 288.1021.
4.1.2.2 N-(5-Cyano-3-methyl-1-phenyl-1H-pyrazol-4-yl)benzamide
Rdt: 76%; mp: 201°C.
RMN 1H (DMSO, 300 MHz): 2.47 (s, 3H); 7.28–8.30 (m, 10H); 12.22–12.34 (d, 1H).
RMN13C (DMSO, 75 MHz): C6 15.20; C5 101.24; Carom 117.30–146.17; C1 148.75; C2 164.14; C7 166.88; C3 176.18.
HRMS calcd for C17H12N4O [M + H]+ 302.1168; found: 302.1175.
4.1.2.3 N-(5-Cyano-3-ethyl-1-phenyl-1H-pyrazol-4-yl)benzamide
Rdt: 90%; mp: 204°C.
RMN 1H (DMSO, 300 MHz): 1.12 (s, 3H); 2.80 (s, 2H); 7.31–8.11 (m, 10H); 12.12–12.34 (d, 1H).
RMN13C (DMSO, 75 MHz): C6 15.20; C5 101.24; Carom 117.30–146.17; C1 148.75; C2 164.14; C7 166.88; C3 176.18.
HRMS calcd for C17H12N4O [M + H]+ 316.1324; found: 316.1331.
4.1.3 General procedure for the synthesis of compounds 5a–c:
CSI (0.139 mL) was added to a stirred solution of 0.50 g of 4-aminopyrazolo[3,4-d]pyrimidine 2 in 1.89 mL of acetonitrile at 82°C for 20 min. Next, 0.310 mL of triethylamine was added. The mixture was heated under reflux for 3 h and the formed solid was filtered, washed with water, and then recrystallized from methanol to yield pyrazolo[3′, 4′: 4,5]pyrimido[6,1-d]thiatriazinone 5 .
4.1.3.1 N 1-Phényl-1H-pyrazolo[3′,4′:4,5]pyrimido[6,1-d]thiatriazinone (5a)

Yield: 87%; mp: 240°C.
IR (cm−1): vC═ N: 1,556, 1,561, 1,567; νC═0: 1,764; νNH: 3,320.
1H NMR (DMSO-d 6, 400 MHz): 7.40 (1H, t, J = 7.3 Hz, ArH4′); 7.57 (2H, t, J = 7.3 Hz, ArH3′ and ArH5′); 8.13 (2H, d, J = 7.3 Hz, ArH2′ and ArH6′); 8.51 (1H, s, H9); 8.66 (1H, s, H3); 10.52 (1H, s, NH).
13C NMR (DMSO-d 6, 100.6 MHz): C3a 101.89; (C3′′ , C5′′) 121.43; C4 -126.57; (C2′′, C6′′) 129.18; C1 137.28; C3 141.69; C10a 144.12; C9 152.07; C3b 152.80; C7155.45.
HRMS calcd for C12H8N6O3S [M + H]+ 317.0379; found: 317.0364.
4.1.3.2 9-Methyl-N 1-phenyl-1H-pyrazolo[3′,4′:4,5]pyrimido[6,1-d] thiatriazinone (5b)

Yield: 84%; mp: 227°C
IR (cm−1): νC═N: 1,558, 1,561, 1,573; νC═O: 1,761; νNH 3351.
1H NMR (DMSO-d 6, 400 MHz): 2.67 (3H, s, CH3); 7.37 (1H, t, J = 7.3 Hz, ArH4′); 7.55 (2H, t, J = 7.3 Hz, ArH3′ and ArH5′); 8.07 (2H, d, J = 7.3 Hz, ArH2′ and ArH6′); 8.42 (1H, s, H3); 10.27 (1H, s, NH).
13C NMR (DMSO-d 6, 100.6 MHz): C11 14.40; C3a 101.08; (C3′, C5′) 120.39; C4′ 126.21; (C2′, C6′) 129.71; C1′ 138.34; C3 141.13; C10a 143.62; C9153.22; C3b 153.72; C7 156.43.
HRMS calculated for C13H10N6O3S [M + H]+ 331.0535; found: 331.0541.
4.1.3.3 3-Methyl-N 1-phenyl-1H-pyrazolo[3′,4′:4,5]pyrimido[6,1-d] thiatriazinone (5c)

Yield: 72%; mp: 220°C
IR (cm−1): vC═N: 1,559, 1,562, 1,572; νC═0: 1,760; νNH: 3,318.
1H NMR (DMSO-d 6, 400 MHz): 2.65 (3H, s, CH3); 7.34 (1H, t, J = 7.3 Hz, ArH4′); 7.54 (2H, t, J = 7.3 Hz, ArH3′ and ArH5′); 8.12 (2H, d, J = 7.3 Hz, ArH2′ and ArH6′); 8.35 (1H, s, H9); 10.88 (1H, s, NH).
13C NMR (DMSO-d 6, 100.6 MHz): C11 14.38; C3a 101.97; (C3′′, C5′′) 121.17; C4 -126.65; (C2′′, C6′′) 129.18; C1 »137.97; C3 141.83; C10a 144.16; C9 151.85; C3b 152.58; C7 155.06.
HRMS calcd for C13H10N6O3S [M + H]+ 331.0535; found: 331.0522.
4.2 Biological activity
4.2.1 Materials and methods
4.2.1.1 Cell culture
Hepatocellular carcinoma (HepG2/C3A) and oral squamous cell carcinoma (PE/CA-PJ41) cells were cultured in DMEM containing glucose (1 g L−1), l-glutamine (3.9 mM), and sodium pyruvate (1 mM) further supplemented with FBS (10% v/v) and penicillin-streptomycin (100 units mL−1, 100 mg mL−1). Cells were maintained at 37°C, 5% CO2 and passaged twice weekly. Cultures were routinely screened for Mycoplasma sp. using the EZ-PCR Mycoplasma test Kit (Biological Industries, Beit Haemek, Israel).
4.2.1.2 MTT assay
The MTT (3-(4,5-dimethylthiazol-2-yl)-2,5-diphenyltetrazolium bromide) assay was used to assess cell cytotoxicity as described previously [31]. Briefly, cells were seeded at a density of 10,000 cells per well in a 96-well plate, exposed to different concentrations of test compound, and incubated for 72 h. MTT was then added to a final concentration of 0.5 mg mL−1 followed by a 3 h incubation. DMSO was added to solubilize formazan and absorbance was read at 490 nm in Tecan Infinite F200 Pro (Tecan, Männedorf, Switzerland). Samples were analyzed in triplicate, and each experiment was repeated three times independently.
Acknowledgments
We thank the “Laboratoire de Physico–Chimie des Materiaux et des Electrolytes pour l’Energie (PCM2E)” (Tours, France) for synthesis of some products.
-
Funding information: Authors state no funding involved.
-
Conflict of interest: Authors state no conflict of interest.
-
Data availability statement: The datasets generated during and/or analyzed during the current study are available from the corresponding author on reasonable request.
References
[1] Michael PS, Alan RK. The 4H-Pyrazoles. Adv Heterocycl Chem. 1983;34:53–78.10.1016/S0065-2725(08)60820-XSearch in Google Scholar
[2] Sun ZG, Zhou XJ, Zhu ML, Ding WZ, Li Z, Zhu HL. Synthesis and biological evaluation of novel aryl-2H-pyrazole derivatives as potent non-purine xanthine oxidase inhibitors. Chem Pharm Bull (Tokyo). 2015;63(8):603–7.10.1248/cpb.c15-00282Search in Google Scholar
[3] Gupta S, Rodrigues LM, Esteves AP, Oliveira-Campos AMF, Jose’Nascimento MS, Nazareh N, et al. Synthesis of N-aryl-5-amino-4-cyanopyrazole derivatives as potent xanthine oxidase inhibitors. Eur J Med Chem. 2008;43:771–80.10.1016/j.ejmech.2007.06.002Search in Google Scholar
[4] Nepali K, Singh G, Turan A, Agarwal A, Sapra S, Kumar R, et al. A rational approach for the design and synthesis of 1-acetyl-3,5-diaryl-4,5-dihydro(1H)pyrazoles as a new class of potential non-purine xanthine oxidase inhibitors. Bioorg Med Chem. 2011;19(6):1950–8.10.1016/j.bmc.2011.01.058Search in Google Scholar
[5] Rashad AE, Shamroukh AH, Abdel-Megeid RE, Ali HS. Synthesis and isomerization of some novel pyrazolopyrimidine and pyrazolotriazolopyrimidine derivatives. Molecules. 2014 25;19(5):5459–69.10.3390/molecules19055459Search in Google Scholar
[6] Allouche F, Chabchoub F, Salem M, Kirsch G. Synthesis of new pyrazolopyrimidine dithiones and pyrazolopyrimidinephosphines from aminocyanopyrazoles. Synth Commun. 2011;41:1500–7.10.1080/00397911.2010.486516Search in Google Scholar
[7] Allouche F, Chabchoub F, Carta F, Supuran CT. Synthesis of aminocyanopyrazoles via a multi-component reaction and anti-carbonic anhydrase inhibitory activity of their sulfamide derivatives against cytosolic and transmembrane isoforms. J Enzyme Inhib Med Chem. 2013;28(2):343–9.10.3109/14756366.2012.720573Search in Google Scholar
[8] Kandeel MM, Mohamed LW, Abd El Hamid MK, Negmeldin AT. Design, synthesis, and antitumor evaluation of Novel Pyrazolo[3,4-d]pyrimidine derivatives. Sci Pharm. 2012;80(3):531–45.10.3797/scipharm.1204-23Search in Google Scholar
[9] Van Hoorn DEC, Nijveldt RJ, Van Leeuwen PAM, Hofman Z, M’Rabet L, De Bont DBA, et al. Accurate prediction of xanthine oxidase inhibition based on the structure of flavonoids. Eur J Pharmacol. 2002;451:111–8.10.1016/S0014-2999(02)02192-1Search in Google Scholar
[10] Smyth LA, Matthews TP, Horton PN, Hursthouse MB, Collins I. Divergent cyclisations of 2-(5-amino-4-carbamoyl-1H-pyrazol-3-yl)acetic acids with formyl and acetyl electrophiles. Tetrahedron. 2007;63:9627.10.1016/j.tet.2007.07.034Search in Google Scholar
[11] Schenone S, Brullo C, Bruno O, Bondavalli F, Mosti L, Maga G, et al. Synthesis, biological evaluation and docking studies of 4-amino substituted 1H-pyrazolo[3,4-d]pyrimidines. J Med Chem. 2008;43:2665–76.10.1016/j.ejmech.2008.01.034Search in Google Scholar
[12] Daniels RN, Kim K, Lebois EP, Muchalski H, Hughes M, Lindsley CW. Microwave-assisted protocols for the expedited synthesis of pyrazolo[1,5-a] and [3,4-d]pyrimidines. Tetrahedron Lett. 2008;49:305–10.10.1016/j.tetlet.2007.11.054Search in Google Scholar
[13] Ballell L, Field RA, Chung GAC, Young RJ. New thiopyrazolo[3,4-d]pyrimidine derivatives as anti-mycobacterial agents. Bioorg Med ChemLett. 2007;17:1736–40.10.1016/j.bmcl.2006.12.066Search in Google Scholar
[14] Tominaga Y, Yoshioka N, Kataoka S, Aoyama N, Masunari T, Miike A. Synthesis and chemiluminescence of 1,3-disubstituted pyrazolo[4′,3′:5,6]pyrido[2,3-d]pyridazine-5,8(6h,7h)-diones and related compounds. Tetrahedron Lett. 1995;36:8641–4.10.1016/0040-4039(95)01862-CSearch in Google Scholar
[15] Rashad AE, Shamroukh AH, Hegab MI, Awad HM. Synthesis of some biologically active pyrazoles and C-nucleosides. Acta Chim Slov. 2005;52:429–34.Search in Google Scholar
[16] Rashad AE, Hegab MI, Abdel-Megeid RE, Micky JA, Abdel-Megeid FM. Synthesis and antiviral evaluation of some new pyrazole and fused pyrazolopyrimidine derivatives. Bioorg Med Chem. 2008;16(15):7102–6.10.1016/j.bmc.2008.06.054Search in Google Scholar PubMed
[17] Jayanta KR, Raju S, Devalina R, Paramita R, Davuluri YR, Anakuthil A. Palladium-catalyzed expedient Heck annulations in 1-bromo-1,5-dien-3-ols: exceptional formation of fused bicycles. Tetrahedron Lett. 2019;60:931–5.10.1016/j.tetlet.2019.02.043Search in Google Scholar
[18] Jayanta KR, Sunanda P, Paramita R, Raju S, Davuluri YR, Surajit N, et al. Pd-catalyzed intramolecular sequential Heck cyclization and oxidation reactions: a facile pathway for the synthesis of substituted cycloheptenone evaluated using computational. N J Chem. 2017;41:278–84.10.1039/C6NJ02694JSearch in Google Scholar
[19] Song XJ, Duan ZC, Shao Y, Dong XG. Facile synthesis of novel fluorinated thieno[2,3-d]pyrimidine derivatives containing 1,3,4-thiadiazole. Chin Chem Lett. 2012;23:549–52.10.1016/j.cclet.2012.02.007Search in Google Scholar
[20] Song XJ, Yang P, Gao H, Wang Y, Dong XG, Tan XH. Facile synthesis and antitumor activity of novel 2-trifluoromethylthieno[2,3-d]pyrimidine derivatives. Chin Chem Lett. 2014;25:1006–10.10.1016/j.cclet.2014.05.043Search in Google Scholar
[21] Singh GS, Mbukwa E, Pheko T. Synthesis and antimicrobial activity of new 2-azetidinones from N-(salicylidene)amines and 2-diazo-1,2-diarylethanones. Arkivoc. 2006;2007:80–90.10.3998/ark.5550190.0008.910Search in Google Scholar
[22] Singh T, Lakhan R, Singh GS. Chemoselective N-benzoylation of aminophenols employing benzoylisothiocyanates. Arab J Chem. 2017;10:2778–81.10.1016/j.arabjc.2013.10.028Search in Google Scholar
[23] Singh T, Singh GS, Lakhan R. Chemoselective reaction of benzoylisothiocyanates with hydroxyl group of salicylamide: a new and convenient entry into 2-Aryl-4H-benzo[e] [1,3]oxazin-4-ones. Phosphorus Sulfur Silicon Relat Elem. 2013;188:1442–8.10.1080/10426507.2012.755974Search in Google Scholar
[24] Ali MSH, Hagar TS, Galal HE. New route to the synthesis of benzamide-based 5-Aminopyrazoles and their fused heterocycles showing remarkable antiavian influenza virus activity. ACS Omega. 2020;5(39):25104–12.10.1021/acsomega.0c02675Search in Google Scholar PubMed PubMed Central
[25] Graf R. β-isovalerolactam-n-sulfonyl chloride and β-isovalerolactam[2-azetidinone-4,4-dimethyl-1-sulfonyl chloride and 2-azetidinone-4,4-dimethyl]. Org Synth. 1966;46:51.10.15227/orgsyn.046.0051Search in Google Scholar
[26] Dhar DN, Murthy KSK. Recent advances in the chemistry of chlorosulfonyl isocyanate. Synthesis. 1986;6:437–1123.10.1055/s-1986-31671Search in Google Scholar
[27] Allouche F, Chabchoub F, Ben Hassine B, Salem M. Synthesis of new triazolotriazinones and triazolothiatriazinones from 5-amino-3-alkyle-1-phenyl triazoles. Heterocycl Commun. 2007;13:73–6.10.1515/HC.2007.13.1.73Search in Google Scholar
[28] karoui A, Allouche F, Deghrigue M, Agrebi A, Bouraoui A, Chabchoub F. Synthesis and pharmacological evaluation of pyrazolopyrimidopyrimidine derivatives: anti-inflammatory agents with gastroprotective effect in rats. Med Chem Res. 2014;23:1591–8.10.1007/s00044-013-0742-xSearch in Google Scholar PubMed PubMed Central
[29] Lohaus G. Darstellung und Umsetzungen von Aryloxysulfonyliscocyanaten. Chem Ber. 1972;105:2791–9.10.1002/cber.19721050904Search in Google Scholar
[30] Karady S, Amato JS, Dortmund D, Patchett AA, Reamer RA, Tull RJ, et al. Heterocycles from chlorosulfonyl isocyanate I. Reaction with 2-Aminoazines. Heterocycles. 1979;12:815.10.3987/R-1979-06-0815Search in Google Scholar
[31] Stockert JC, Horobin RW, Colombo LL, Blazquez-Castro A. Tetrazolium salts and formazan products in cell biology: viability assessment, fluorescence imaging, and labeling perspectives. Acta Histochem. 2018;120:159–67.10.1016/j.acthis.2018.02.005Search in Google Scholar PubMed
© 2022 Soumaya Bellili et al., published by De Gruyter
This work is licensed under the Creative Commons Attribution 4.0 International License.
Articles in the same Issue
- Research Articles
- Sono and nano: A perfect synergy for eco-compatible Biginelli reaction
- Study of the reactivity of aminocyanopyrazoles and evaluation of the mitochondrial reductive function of some products
- “Click” assembly of novel dual inhibitors of AChE and MAO-B from pyridoxine derivatives for the treatment of Alzheimer’s disease
- Synthesis of 2,2-difluoro-2-arylethylamines as fluorinated analogs of octopamine and noradrenaline
- Cyclization of N-acetyl derivative: Novel synthesis – azoles and azines, antimicrobial activities, and computational studies
- Two independent and consecutive Michael addition of 1,3-dimethylbarbituric acid to (2,6-diarylidene)cyclohexanone: Flying-bird-shaped 2D-polymeric structure
- Ionic liquid-catalyzed synthesis of (1,4-benzoxazin-3-yl) malonate derivatives via cross-dehydrogenative-coupling reactions
- Synthesis of novel triiodide ionic liquid based on quaternary ammonium cation and its use as a solvent reagent under mild and solvent-free conditions
- Eelectrosynthesis of benzothiazole derivatives via C–H thiolation
- Synthesis of fluoro-rich pyrimidine-5-carbonitriles as antitubercular agents against H37Rv receptor
- Syntheses, crystal structure, thermal behavior, and anti-tumor activity of three ternary metal complexes with 2-chloro-5-nitrobenzoic acid and heterocyclic compounds
- Synthesis of enhanced lipid solubility of indomethacin derivatives for topical formulations
- Synthesis of newer substituted chalcone linked 1,2,3-triazole analogs and evaluation of their cytotoxic activities
- Novel benzodioxatriaza and dibenzodioxadiazacrown compounds carrying 1,2,4-oxadiazole moiety
- Synthesis of rhodium catalysts with amino acid or triazine as a ligand, as well as its polymerization property of phenylacetylene
- DABCO-based ionic liquid-promoted synthesis of indeno-benzofurans derivatives: Investigation of antioxidant and antidiabetic activities
- Design, synthesis, and biological activity of novel pomalidomide linked with diphenylcarbamide derivatives
- Study on effective synthesis of 7-hydroxy-4-substituted coumarins
- Review Article
- Chemical constituents of plants from the genus Carpesium
- Communication
- Reactions of 3-amino-1,2,4-triazine with coupling reagents and electrophiles
Articles in the same Issue
- Research Articles
- Sono and nano: A perfect synergy for eco-compatible Biginelli reaction
- Study of the reactivity of aminocyanopyrazoles and evaluation of the mitochondrial reductive function of some products
- “Click” assembly of novel dual inhibitors of AChE and MAO-B from pyridoxine derivatives for the treatment of Alzheimer’s disease
- Synthesis of 2,2-difluoro-2-arylethylamines as fluorinated analogs of octopamine and noradrenaline
- Cyclization of N-acetyl derivative: Novel synthesis – azoles and azines, antimicrobial activities, and computational studies
- Two independent and consecutive Michael addition of 1,3-dimethylbarbituric acid to (2,6-diarylidene)cyclohexanone: Flying-bird-shaped 2D-polymeric structure
- Ionic liquid-catalyzed synthesis of (1,4-benzoxazin-3-yl) malonate derivatives via cross-dehydrogenative-coupling reactions
- Synthesis of novel triiodide ionic liquid based on quaternary ammonium cation and its use as a solvent reagent under mild and solvent-free conditions
- Eelectrosynthesis of benzothiazole derivatives via C–H thiolation
- Synthesis of fluoro-rich pyrimidine-5-carbonitriles as antitubercular agents against H37Rv receptor
- Syntheses, crystal structure, thermal behavior, and anti-tumor activity of three ternary metal complexes with 2-chloro-5-nitrobenzoic acid and heterocyclic compounds
- Synthesis of enhanced lipid solubility of indomethacin derivatives for topical formulations
- Synthesis of newer substituted chalcone linked 1,2,3-triazole analogs and evaluation of their cytotoxic activities
- Novel benzodioxatriaza and dibenzodioxadiazacrown compounds carrying 1,2,4-oxadiazole moiety
- Synthesis of rhodium catalysts with amino acid or triazine as a ligand, as well as its polymerization property of phenylacetylene
- DABCO-based ionic liquid-promoted synthesis of indeno-benzofurans derivatives: Investigation of antioxidant and antidiabetic activities
- Design, synthesis, and biological activity of novel pomalidomide linked with diphenylcarbamide derivatives
- Study on effective synthesis of 7-hydroxy-4-substituted coumarins
- Review Article
- Chemical constituents of plants from the genus Carpesium
- Communication
- Reactions of 3-amino-1,2,4-triazine with coupling reagents and electrophiles