Abstract
A magnesium (Mg)-rich primer can provide cathodic protection for an aluminum (Al) alloy due to the lower potential of Mg. However, the Mg-rich primer prepared by simple blends shows poor flexibility and impact resistance. In this paper, bisphenol-A type epoxy resin E-20 was graft modified by hydroxyl silicon oil (HS), amino silane coupling agent and diphenyl-methane-diisocyanate (MDI) by three different ways. Then Mg-rich primer was prepared by direct blends of modified resins. Results indicate that the introduction of siloxane groups could improve the comprehensive performance of the coating especially the flexibility and impact resistance. Furthermore, Mg-rich primer prepared from MDI modified epoxy resin even possesses excellent salt spray and aging resistance.
1 Introduction
The high toxicity and high pollution limit the application of chromate treatment technology, and the magnesium (Mg)-rich primer is proposed as the alternative technology of chromate-free corrosion protection. In analogy to the zinc-rich primer, the Mg in the Mg-rich primer provides cathodic protection for the aluminum (Al) alloy as a sacrificial anode because Mg has a lower potential than Al. Among the Mg-rich primer preparation methods, the direct mixing has the advantage of low cost; however, poor impact resistance and flexibility often emerge corresponding to the high crosslink density and internal stress resulting from the network structure formed during the curing process of the epoxy resin (1), (2). Moreover, Mg powder of high specific surface area would take further negative impact on the flexibility and impact resistance. As is well known, organic silicones have excellent flexibility, which are often used as modifier for epoxy resin to achieve the high performance (3), (4), (5), (6). Usually, after the modification process, block copolymers are generated by the reaction of active terminal groups such as hydroxyl, amino and alkoxy in organic silicon with epoxy and hydroxyl groups in epoxy resin, which would improve the stability of resin and the compatibility between epoxy resin and organic silicon, and the flexible Si-O-C chain is introduced into the resin in the meantime. The main reactions are as follows (7), (8): [1] reaction between epoxy resin and organic silicon with hydroxyl or alkoxy groups (9), (10), (11); [2] reaction between epoxy resin and organic silicon with the amino-terminal group (12), (13), (14); [3] hydrosilylation reaction between polysiloxane containing the Si-H group of and epoxy resin-containing the vinyl group (15); [4] reaction between epoxy resin and organic silicon with carboxyl-terminal group (16).
In this paper, bisphenol-A type epoxy resin was modified with hydroxyl silicon oil (HS) through graft reaction, and the property of the resultant products was studied in detail. The main reaction is the dehydration reaction between Si-OH groups in silicone oil and secondary hydroxyl groups in epoxy resin. Moreover, a siloxane group was introduced into the above modified system to improve the flexibility and impact resistance of the resin and the compatibility between modified resins with Mg powder. The introduction of amino silane coupling agent (KH550) was aimed to increase the compatibility between silicon oil and epoxy resin. NCO terminated diphenyl-methane-diisocyanate silicon (MDI-silicon) prepolymer was also synthesized to bridge epoxy resin and silicone chemically.
2 Experiment
2.1 Materials
2024 Al alloy (CHALCO) plates were obtained from Shanghai Baoxi Industrial Co., Ltd (Shanghai, China). The eposy resin (E-20, colorless, transparent solid) and polyamide curing agent (Ancamide 221, yellow brown clear liquid) were purchased from Huntsman Co., Ltd (Shanghai, China). The 3-Triethoxysilylpropylamine APTES (KH550) (content>98%) and HS were purchased from Nanjing Union Silicon Chemical Co., Ltd (Nanjing, China). Diphenyl-methane-diisocyanate (MDI, polymerization degree of 2.3) are industrial products which were purchased from Wanhua Chemical Group Co., Ltd (Yantai, China). Dibutyltin dilaurate (DBTDL) was used as a catalyst, which was purchased from NanTong Advance Chemicals Co. Ltd (Nantong, China). Spherical Mg powder (active Mg≥99.8%) with particle size of 60 µm (200 mesh) was purchased from Tangshan Weihao Magnesium Powder Co., Ltd (Tangshan, China).
2.2 Modification of epoxy resin
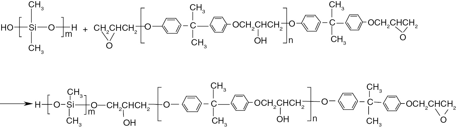
2.2.1 HS modified epoxy resin
HS modified epoxy resin was prepared as follows. First, 300 g of epoxy resin (70% solids), 40–100 g of HS and 1.5–2 g of catalyst were added in a 500 ml four-neck bottomed flask equipped with a mechanical stirrer, thermometer and reflux condensing tube. Then, the above mixture was stirred at 500 rpm under purging nitrogen. In the meantime, the mixture was heated to 155–160°C and reacted for 5–6 h with and without an oil-water separator, respectively. Finally, the reaction system was cooled down to ambient temperature to obtain the modified product.
2.2.2 HS and KH550 co-modified epoxy resin
The HS-KH550 co-modified epoxy resin was prepared through two steps. First, 300 g of epoxy resin (70% solids), 10–20 g of KH550 and 0.6 g of DBTDL catalyst were added in a 500 ml flask equipped with an oil-water separator and the mixture was then heated to 60°C at 500 rpm and reacted for 2 h under purging nitrogen. Subsequently, 20–40 g HS and 0.8 g catalyst were added in the above system under stirring and purging nitrogen. The resultant mixture was then heated to 155–160°C and reacted (about 4 h) until no water as produced in the separator. Finally, the modified product was obtained by cooling the reaction system down to ambient temperature.
2.2.3 HS and MDI co-modified epoxy resin
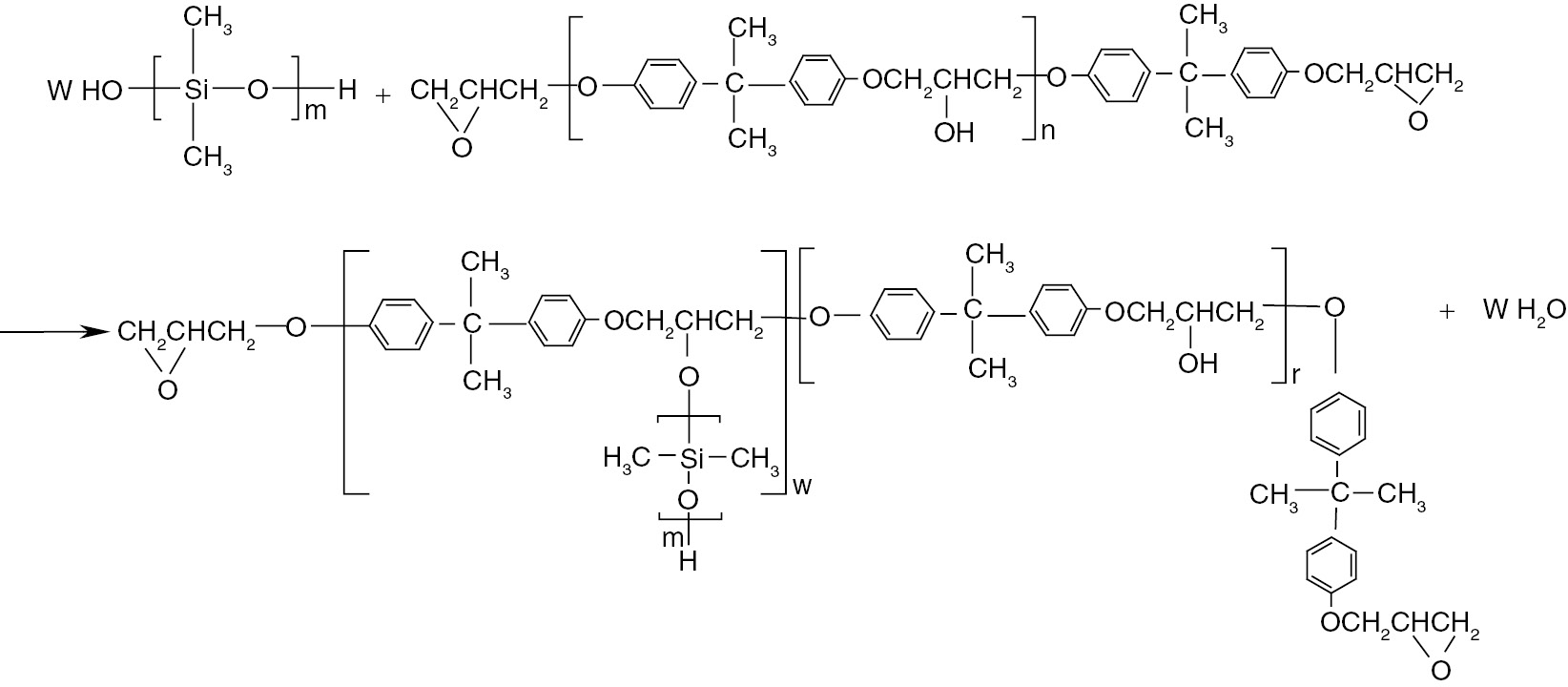
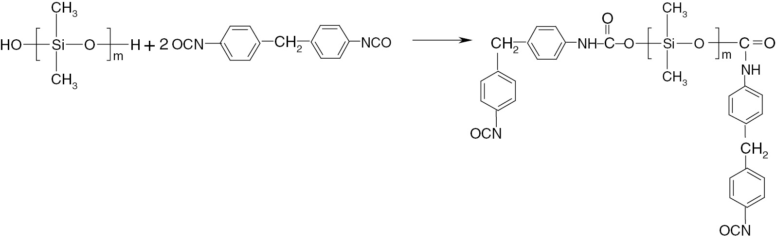
HS-MDI prepolymers should be synthesized for preparing HS and MDI co-modified epoxy resin. The detail synthesis process is as follows. First, 100 g of MDI was added in a 250 ml flask equipped with a mechanical stirrer, thermometer and reflux condensing tube and stirred at 500 rpm under purging nitrogen. Then, the above system was heated to 70°C. Afterwards, HS was added by batch feeding, semi-continuously dropping and continuously dropping under purging nitrogen. According to batching feeding, 80–120 g of HS was added in a batch to the above system and reacted for 2 h at 70°C. The semi-continuously dropping was conducted by adding 20–30 g of HS first and then heating the mixture until the viscosity started to increase. The residual HS was dropped into the system for 1 h and reacted for another 1 h at 70°C. As for continuously dropping, 80–120 g of HS was dropped in 2 h and reacted for another 1 h at 70°C.
The modification of epoxy resin was performed as follows. First, 280 g epoxy resin (50% solids) and 1.7–2.1 g catalyst was added in a 500 ml reactor, which was then heated to 65°C at 500 rpm under purging nitrogen. Afterwards, 70–140 g prepolymer solution (diluted by cyclohexanone to 50% solid and free-MDI was extracted by xylene) was dropped in the system in 2 h and reacted for another 2 h under purging nitrogen. The final reaction product was cooled down to ambient temperature to obtain the modified product.
2.3 Preparation of Mg-rich primer
Mg powder was pre-modified before using. First, Mg powders were immersed in enough xylene for about 6 h and then a certain amount of KH560 was added after removing of excess xylene by infiltrating. After vibrating sufficiently, the system was placed for about 12 h and filtrated to remove the excess KH560. A certain proportion of epoxy resin, pre-modified Mg powders and solvent were added together in a specific order. The above mixture was stirred at 3000 rpm for 20–30 min by a high speed dispersing machine to obtain component A (main agent). The curing agent of ancamide 221 was first diluted to 50% and then mixed with the component A in the ratio of 6:10 (mass ratio) to obtain the Mg-rich resin.
2024 Al alloy plates were selected as substrates of Mg-rich primer. The 2024 Al alloy plates with 2 mm thickness (made in China) were cut into 150×70 mm sizes. The cut plates were lightly polished by 200 mesh abrasive and were then cleaned by acetone. The Mg-rich primer samples were prepared by spraying Mg-rich resin on the pre-treated substrates and were cured at room temperature (STP). The coatings thickness was controlled within 150±10 μm.
2.4 Characterization
Molecular structures of modified resins and coating samples were characterized by a Nicolet380 Fourier transform infrared spectrometer (FTIR, Thermo, USA) using KBr pellets technique. PL-GPC50 gel permeation chromatography (Varian, USA) was used to characterize the molecular weight distribution, and the glass transition temperature (Tg) of the modified resin were characterized by a DSC differential scanning calorimeter (Mettler Toledo, Switzerland). The composition analysis of modified products containing MDI was performed using a Gas (7890a)-Mass (5975C) combined chromatography (Agilent, USA). The aging test and the salt spray test were conducted by putting the coating samples into a Ci4000Xenon Weather-Ometer (Atlas, USA) and a BGD880 salt spray test box (Guangzhou, China), respectively. The chalking, blistering and other corrosion phenomena were observed at regular intervals during the whole experimental cycle.
The impact resistance of samples was tested by a QCJ-50 impact tester (Shanghai, China) using 500 g impact force and estimated through the sustainable maximum impact height (without cracking on the film surface). The flexibility of samples was tested through the bending method using a QTX flexibility tester (Tianjin, China) and then estimated by the sustainable minimum bending diameter (without cracking on the film surface).
3 Results and discussion
3.1 Synthesis and performance study of HS modified epoxy resin
With the catalyst, two kinds of reactions might theoretically occur between hydroxy silicon oil and epoxy resin, the reaction equations are listed as follows (17). Schemes 1 and 2 give the dehydration and etherification reactions of the hydroxyl groups between silicon oil and epoxy resin.

The dehydration reaction of hydroxyl groups between silicon oil and epoxy resin.

The etherification reaction of hydroxyl groups between silicon oil and epoxy resin.
According to the theoretical reaction equations and the molecular weight of the reactants (E20, Mw=1800; HS, Mw=860), the theoretical mass ratio of E-20:HS was about 2:1. Figure 1A shows the FTIR spectra of E-20, HS and the modified products obtained at this mass ratio in two ways (with and without an oil-water separator).

FT-IR spectrum of reactants (E-20 and KH550) and different modified products: (A) HS modified epoxy resin, (B) HS and KH550 co-modified epoxy resin, (C) HS and MDI co-modified epoxy resin.
In comparison with E-20, the absorption peaks at around 910 cm−1 and 1250 cm−1 in the modified products are unchanged. The above absorption peaks corresponding to the characteristic symmetric and asymmetric vibrations of the epoxy group, and the result indicates that the epoxy group is unchanged after modification. However, for modified products, the stretching vibration peaks at 1100–1000 cm−1 corresponding to C-O bond become broader and stronger, and the double absorption peak at 830–800 cm−1 corresponding to stretching vibration of C-C in the aromatic ring is observed. In combination with the FTIR spectrum of HS, the following reasons are proposed to explain the above results (7), (11). The substitution of -O-Si for -O-H in the C-O-Si bond formed during the dehydration reaction is considered an attribute of the broader absorption peak of C-O, and the absorption peak of the Si-O-Si bond in HS at 1090–1035 cm−1 contributes to the strengthen of the stretching vibration peaks at 1100–1000 cm−1. The overlap of stretching the absorption peak of Si (CH3)2 groups at 820–800 cm−1 and the absorption peak of C-O at 830–800 cm−1 is ascribed to the appearance of the double peak. Another reason for the above phenomena can be explained in that grafting reaction has not occurred between HS and E-20, and the detected spectrum results from the physical superposition of absorption peaks in both materials. Among them, the stretching vibration absorption peak (1090–1035 cm−1) of Si-O-Si in the HS molecule is superimposed with the stretching vibration absorption peak (1100–1000 cm−1) of C-O in the E-20 molecule, and the absorption peak of Si(CH3)2 at 830–800 cm−1 and 1260 cm−1 is superimposed with the absorption peak of C-C at 830 cm−1 and the epoxy group at 1200–1300 cm−1, respectively. By comparing the FTIR spectra of the modified products obtained with and without an oil-water separator, the apparent absorption peak is observed at 1710 cm−1 for the product obtained without an oil-water separator, which is consistent with E-20. Generally, the absorption peak at 1710 cm−1 belongs to C=O caused by the conjugation of
in E-20, however, the conjugation is destroyed by the grafted C-O-Si bond for the product obtained with an oil-water separator (18) resulting in the disappearance of the characteristic peak. The FTIR spectra analyses indicate that the main reaction which occurred with an oil-water separator is the dehydration reaction of the hydroxyl group between HS and E-20 which is reversible, and the epoxy groups are unchanged. Therefore, byproducts of water should be continuously removed to ensure the performing of the dehydration reaction.
3.2 Effects of the reactant ratios on the modified resins
The effects of the reactant ratios on the modified resins was studied by setting the mass ratio of E-20:HS with 2:1, 2.5:1, 3:1, 3.5:1, 4:1 and 5:1, respectively. Figure 2A shows the GPC curves of the modified resins obtained with different mass ratios of E-20:HS.

GPC analysis of E-20 and different modified products: (A) HS modified epoxy resin, (B) HS and KH550 co-modified epoxy resin.
From Figure 2A, all the curves show a similar shape, especially in the region of low molecular weight. However, the initial time and the height for every curve are different, which indicates that the graft reactions occurred on partial molecular chains, and all reactant products contains the low molecular pre-resin. By analyzing the initial time, the initial peaks of samples with reactant ratios of 2:1 and 2.5:1 were detected firstly corresponding to the high molecular weight of Mw=8000−10000, indicating the dehydration reaction is prone to occur with a large amount of HS, and the graft reaction occurs between the HS chains resulting in a branch structure. Subsequently, the initial peaks of samples with reactant ratios of 3:1 and 3.5:1 were detected corresponding to the molecular weight of Mw=7000−8000. The initial peaks of samples with reactant ratios of 4:1 and 5:1 were detected lastly corresponding to the molecular weight of Mw=4000−5000. These results indicate that the amount of HS has effects on the grafting proportion and chain length of the modified resins. The fitting values embedded in Figure 2 gives the Mw and polydispersity indexes (PDI=Mw/Mn) of the products. As shown in Table, the Mw and PDI of the modified products increase with increasing the HS amount resulting in more branch structures and longer chain lengths, which has detrimentaleffects on the curing performance of the modified resins. Taken together, the appropriate reactants ratio is selected as 4:1 to ensure a more organic silicone group being grafted in the resin. In addition, as shown in Figure 2, the negative peaks appeared in the GPC curve come from the solvent (DMF) and the residue HS, respectively.
The effects of the reactant ratio of E-20:HS on the thermal performance was studied by analyzing the glass transition temperature (Tg) of samples which was obtained from differential scanning calorimetry (DSC) characterization, and Figure 3A displays the DSC curves and the embedded table lists the Tg of different samples.

DSC analysis of E-20 and different modified products: (A) HS modified epoxy resin, (B) HS and KH550 co-modified epoxy resin.
From Figure 3A, the Tg of all the modified products is lower than that of E-20 (Tg=32). Moreover, the bigger the dosage of HS, the more the modified resin shows a lower Tg. The decrease of Tg is due to the flexibility of the Si-O-Si chain with low Tg contained in the graft HS molecules which does not enter in the epoxy network. The HS indicates a more flexible Si-O-Si chain introduced in the network, resulting in a lower Tg and improved flexibility. In other words, the thermal performance of the modified products has a negative correlation with the introduction of a flexible Si-O-Si chain, however, a positive correlation between the flexibility and the dosage of flexible Si-O-Si chain is proposed.
The stability of the modified products was estimated by observing the stratification of samples diluted to 50% solids at regular intervals. The results are listed in Table 1 (upper).
Initial state and stability of the modified products.
| Result | Samples | |||||
|---|---|---|---|---|---|---|
| 1 | 2 | 3 | 4 | 5 | 6 | |
| HS modified products | ||||||
| E-20:HS | 2:1 | 2.5:1 | 3:1 | 3.5:1 | 4:1 | 5:1 |
| Initial state | Homogeneous, thickness, ivory white | |||||
| Time of demix/day | 2 | 3–5 | 8–10 | >15 | – | |
| Storage for 60 days | Apparent stratification | Medium stratification | Light stratification | Slight stratification | ||
| Storage for 120 days | Apparent stratification | Medium stratification | Slight stratification | |||
| HS and KH550 co-modified products | ||||||
| E-20:HS:KH550 | 10:1:0.5 | 10:1.5:0.5 | 10:2:0.5 | 10:1:1 | 10:1.5:1 | 10:2:1 |
| Color | Light yellow | Bright yellow | Earthy yellow | |||
| Transparency | Clear, transparent | translucent | Clear | Cloudy | ||
| Flow ability | Good | Bad | – | |||
| Place for 60 days | Thickening, cloudy | Good flowing, translucent | Flocculation | – | ||
| Place for 120 days | Fattening | Thickening slightly, cloudy | Gelling | – | ||
From Table 1, by increasing the reactants ratio, i.e. reducing the amount of HS, the stratification degree decreases and the sample shows a better stability. A sample with the reactant ratio of 5:1 shows a slight stratification after standing for 120 days. IR analyses reveal the main ingredients of the supernatant are unreacted HS or a HS oligomer, which indicates the amount of HS used in the grafting reaction is far less than the theoretical value (2:1). Therefore, in order to prepare stable modified resins, the suitable reactant ratio should be more than 4:1, and it is best to reach 5:1 to ensure more organic silicone group grafting in E-20.
3.3 Performance study of Mg-rich primer prepared from modified resin
The modified resins with good stability (samples 4–6 in Table 1) were selected to prepare Mg-rich coating with PVC of 45% after removing the supernatant, and Table 2 (samples 2–4) gives the performance of coatings.
Performance of the coatings prepared by different resin.
| Result | Samples | Surface morphology | Flexibility | Impact resistance (500 g) | Salt spray | Aging | |
|---|---|---|---|---|---|---|---|
| E-20 | 1 | – | Rough | 5–10 mm | 25 cm | No bloom and blisters | Serious chalking |
| HS modified resin | 2 | 3.5:1 | Smooth, compact, gloss | <4 mm | 45–50 cm | No bloom and a few blisters | A little floating, no chalking |
| 3 | 4:1 | ||||||
| 4 | 5:1 | ||||||
| HS and HK550 co-modified resin | 5 | 10:2:0.5 | Smooth, compact, glossy | 40–45 cm | <4 mm | A few blisters | Loss of gloss and a lot of floating, no chalking |
| 6 | 10:1.5:0.5 | >50 cm | No bloom or blisters | a little floating, no chalking | |||
| 7 | 10:1:0.5 | No floating and chalking | |||||
| HS and MDI Co-modified resin | 8 | 4:1 | Smooth, compact, slight glossy | 2 mm | >50 cm | A little bloom | No chalking and floating |
The time taken for salt spraying and aging for samples 1, 2, 3, 4 was 1000 h and 3000 h, respectively; the time taken for salt spraying and aging for samples 5, 6, 7, 8 was 5000 h.
As shown in Table 2, in comparison with the coating prepared from E-20 (sample 1), the coatings prepared from modified resins have the significantly improved impact resistance and flexibility because of the introduction of the flexible Si-O-Si chain. In addition, the surface morphology was also improved, which can be attributed to the surface enrichment of unreacted low surface energy HS during the curing process. After 1000 h of salt spray testing, no bloom is observed for all samples prepared from modified resins but there are a few blisters. Moreover, the sample with more silicone oil appears to have more blisters, resulting in a poor salt spray resistance. During the curing process, the unreacted low surface energy HS (having active -OH groups) could migrate to the coating surface because of poor compatibility with the matrix resin, and the unreacted HS causes a cathodic reaction (-OH+1/4O2+1/2H2O+2e---2OH−), which would promote the anodic reaction of Mg (Mg+2OH−----Mg(OH)2 +2e). Furthermore, the anodic reaction [Mg2++2Cl−---MgCl2 (which is more stable than Mg(OH)2)] was more prone to occur in a Cl− environment. In order to prove the above analysis, all modified coatings were immersed in deionized water for 6 months and no blisters were observed on coating surfaces, indicating the blisters are not mainly caused by H2O. After 3000 h aging, no chalking was observed on modified coatings, but serious chalking emerged on E-20 coating (sample 1). The improvement of aging resistance is attributed to the introduction of the Si-O-Si chain which has excellent aging resistance. Unfortunately, floating appeared on the modified coating surface after aging test. Furthermore, the more HS is used, the more serious the floating that is observed. The surface migration of unreacted HS is believed to be responsible for the above phenomena.
3.4 Synthesis and performance study of HS and KH550 co-modified epoxy resin
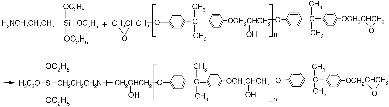
The HS and KH550 co-modified epoxy resin was prepared in two steps. In the first step, the main reaction which occurred between KH550 and E-20 is an addition reaction, and the typical equation is shown in Scheme 3 (17).

The addition reaction occurred between KH550 and E-20.
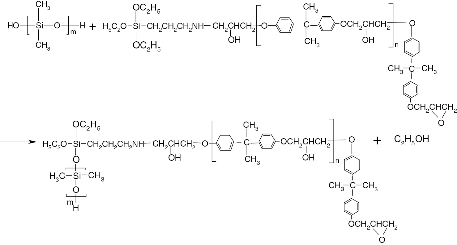
In the second step, the main reaction is the dealcoholization which occurred between the hydroxyl of HS and oxyethyl group, which is shown in Scheme 4 (19).

The dealcoholization occurred between hydroxyl of HS and oxyethyl group.
According to the reaction equations and molecular weight of reactants (E20, Mw=1800; HS, Mw=860; KH550, Mw=221), the theoretical mass ratio of reactants was about 10:2:1 (E-20:HS:KH550). HS and KH550 co-modified epoxy resin were prepared at this ratio according to the above two steps. After reacting for 2 h, the intermediate product produced at the first step was extracted and characterized by IR spectroscopy. The degree of reaction can be evaluated by detecting the characteristic absorption peaks of amine group. Figure 1B displays the IR spectra of the intermediate product, the final product, KH550 and E-20.
In general, the characteristic absorption peaks of amine are generated from vibrations of the N-H and C-N bonds. The characteristic stretching absorption peaks of N-H bond appear at 3500–3300 cm−1. Two absorption peaks corresponding to symmetric and asymmetric stretching vibration would be observed for primary amine, and one and zero peaks would be observed for secondary and tertiary amines, respectively. The stretching absorption of C-N in fatty amine would appear at 1250–1020 cm−1, which is weak and difficult to identify. Additionally, moderate bending absorption peak at 1650–1510 cm−1 would be observed for the primary amine, and a weak peak would be observed for the secondary amine. Furthermore, the primary amine would show the widely moderate absorption peak at the fingerprint region (900–700 cm−1). From Figure 1B, characteristic absorption peaks of primary amine cannot be observed in IR spectra of intermediate product, which are clearly observed in KH550, indicating the complete reaction between KH550 and E-20. Further observation indicates that the intermediate product has a similar IR spectrum with that of E-20 except for some differences at the following positions. The stretching vibration absorption peak of the C-O bond at 1100–1000 cm−1 shows a multiple peak due to the overlay of the stretching vibration absorption peak of Si-O-C bond at around 1080 cm−1. The new absorption peak which appeared at 950 cm−1 corresponds to the characteristic absorption of -OC2H5. The absorption peak of epoxy group at 1250 cm−1 and 910 cm−1 shows no apparent differences, indicating epoxy groups exist in the intermediate product. IR results indicate that the main reaction which occurs at the first step is the addition reaction between the primary amine and epoxy group, and the primary amine groups are completely consumed. According to the final modified product, strong and broad double absorption peaks are observed at 1100–1000 cm−1, which is ascribed to the superposition of stretching vibration absorption of C-O-Si, C-O-H and Si-O-Si. Double absorption peaks also emerge at 830–800 cm−1 due to the superposition of stretching vibration absorption of Si (CH3)2 group and the C-C bond. Furthermore, the symmetric and asymmetric stretching vibration absorption peak of the epoxy group at around 910 cm−1 and 1250 cm−1 are still retained in the final product. Compared with the intermediate product, the characteristic peak of -OC2H5 at 950 cm−1 becomes weak indicating some of -OC2H5 groups participated in the graft reaction with HS.
3.5 Effects of the reactant ratios on the modified resins
The mass ratios of reactants (E-20:HS:KH550) were set as 10:2:1, 10:1.5:1, 10:1:1, 10:2:0.5, 10:1.5:0.5 and 10:1:0.5. Molecular weights and molecular weight distributions of the prepared modified resins were determined by GPC, and the results are shown in Figure 2B.
From Figure 2B, the samples are divided into two teams by the dosage of KH550. The initial peaks of samples prepared from the high KH550 ratio of 1 are all detected earlier than that prepared from the high KH550 ratio of 0.5, indicating a high MW. The effect of HS on the final products is studied by fixing the ratios of E-20 and KH550. Results indicate that HS has an effect on the proportion of product of high Mw i.e. product with a long chain. The Mw and PDI of products were fitted according to the GPC curves and are listed in the table embedded in Figure 2B. The fitted results show that samples with ratio of KH550=1 have a higher Mw (17500–27000) and a bigger PDI (>10) than samples with ratio of KH550=0.5. Results indicate that too much KH550 would induce excessive growth of the chain, which contributes to the formation of excessive chains of branch structures or cross-linked structures.
The glass transition temperature (Tg) of products was calculated from DSC, and the result DSC curves and Tg are displayed in Figure 3Bthe embedded table. From Figure 3B, all the modified resins show a higher Tg than E-20, which is ascribed to enhancement of molecule stiffness resulting from the introduction of KH550. By fixing the dosage of KH550, the amount of HS affected Tg slightly, which indicates the increase of Tg is originated from KH550. According to the above analyses, the suitable ratio of KH550 was selected as 0.5.
The modified products were diluted to 50% solid content and put into a 200 ml transparent beaker. The stability of the products were estimated by observing the stratification of samples at regular intervals, and the results are listed in Table 1.
Results indicate that the three samples prepared with a ratio of KH550=0.5 have a better stability that those prepared with ratio of KH550=1. During the observation period, the flocculation or gelling phenomenon appeared in all samples with a ratio of KH550=1. However, samples with a ratio of KH550=0.5 have a certain degree of mobility despite the increase in viscosity. For samples with a ratio of KH550=0.5, the dosage of HS affects the transparency and storage stability of the modified resins. The more HS is used, the lower the transparency the product has. However, the product shows a poor stability with less HS. Therefore, the most suitable ratio of HS is 1.5.
3.6 Performance study of Mg-rich primer prepared from modified resin
Mg-rich coatings with the PVC of 45% were prepared from the modified resins having good stability, and the performances of coatings are displayed in Table 2 (samples 5–7).
From Table 2, the flexibility and impact resistance of Mg-rich coating prepared from the modified resin are significantly improved. After 5000 h of salt spray, no bloom was observed on all samples except a few of blister emerged on sample 5. The proposed reason is the surface migration of unreacted HS during the curing process which would make the corrosion reaction easy (cathodic reaction:-OH+1/4O2+1/2H2O+2e---2OH−, anodic reaction: Mg+2OH−--Mg(OH)2 +2e or Mg+2Cl−---MgCl2+2e). After the 5000 h aging test, no chalking appeared on all samples indicating the coating aging resistance is significantly enhanced because the Si-O-Si chain introduced into the modified resin possessed excellent aging resistance. Unfortunately, floating with a wave shape appeared on sample 5 and sample 6 after the aging test, which is due to the deterioration of unreacted HS which is transferred to the coating surface during the curing process.
3.7 Synthesis and performance study of HS and MDI co-modified epoxy resin
3.7.1 Preparation of HS-MDI prepolymer
The main reaction occurred between the -NCO group and hydroxyl of HS is the addition reaction. The typical equation is shown in Scheme 5 (20).

Addition reaction occurred between the -NCO group and the hydroxyl of HS.
According to the equation, the pre-polymers were prepared by setting the mass ratio of HS:MDI as 0.8:1, 1:1 (theoretical calculation) and 1.2:1 through three feeding modes, and the results are shown in Table 3.
Synthesis and stability of the prepolymer prepared by different modes.
| Feeding mode | HS:MDI | Reaction phenomenon | Stability |
|---|---|---|---|
| Batch feeding | 0.8:1 | Temperature rose rapidly to 100 and viscosity increased sharply | Gelling after 5–6 h |
| 1:1 | Gelling in short time | – | |
| Continuously dropping | 0.8:1 | Temperature rose after 20 min to 80–85°C and viscosity increased gradually but keeps fluidity | Fattening after 48 h |
| 1:1 | |||
| 1.2:1 | Viscosity increased gradually to lose flowing ability | Gelling after 12 h | |
| Semi-continuously dropping | 0.8:1 | Temperature rose after 5 min to 85–90°C and viscosity Increased gradually but keeps fluidity | Flowing after 48 h |
| 1:1 | |||
| 1.2:1 | Viscosity increased gradually to lose fluidity | Fattening after 48 h |
From Table 3, the prepolymer prepared through the semi-continuously dropping mode has a good stability and the reaction process is smooth. In addition, the prepolymer prepared with HS:MDI of 1:1 has a good fluidity within 48 h. Finally, the stable prepolymer (extracted by xylene to remove free MDI) was characterized by IR spectroscopy, and the results are displayed in Figure 1C.
As shown in Figure 1C, characteristic absorption peaks at near 3332 cm−1 and 1700 cm−1 are observed in the prepolymer spectra, which is corresponding to characteristic absorption of -NH in carbamate and -C=O, respectively. Furthermore, a strong absorption peak appeared at around 2276 cm−1 corresponding to the characteristic absorption of -NCO groups. In addition, strong double peaks appeared at 1090–1030 cm−1 corresponding to superposition of stretching vibration absorption of the Si-O-Si bond and C-O-Si bonds. The IR results indicate HS and MDI co-modified prepolymer was prepared successfully.
3.7.2 Modification technology study
3.7.2.1 Effect of catalyst
Tertiary amine and organic tin are generally used as catalysts for the addition reaction between the -NCO group and the hydroxyl of epoxy resin. In this study, dibutyltin dilaurate (DBTDL) was chosen as the catalyst. The fixing mass ratio (E-20: prepolymer) of 2:1 coatings were prepared by varying the dosage of DBTDL, and results are listed in Table 4.
Synthesis and stability of MDI and HS co-modified products.
| Result | Samples | Reaction phenomena | Stability | |||
|---|---|---|---|---|---|---|
| Initial | 15 days | 30 days | ||||
| Catalyst dosage (Wt%) | 1 | 0 | Thickening slightly, cloudy | Gelling after 48 h | ||
| 2 | 0.2 | Gelling after 60 h | ||||
| 3 | 0.4 | Thickening, cloudy | Homogeneous, thickness, translucent | Thickening, good fluidity | Gelling | |
| 4 | 0.6 | Thickening | ||||
| 5 | 0.8 | Gelling | – | |||
| E-20: prepolymer | 6 | 1.5:1 | Viscosity increased sharply to stir difficultly | Gelling after 48 h | ||
| 7 | 2:1 | Viscosity increased evidently | Yellow, cloudy, thickness | Fattening | Gelling | |
| 8 | 3:1 | Thickening but keeping fluidity | ||||
| 9 | 4:1 | Viscosity increased gradually | Light yellow, clear, good fluidity | Good fluidity | ||
From Table 4, samples prepared without catalyst (sample 1) or with a little catalyst (sample 2) show no obvious change during the reaction process and gelling occurred in short time. However, gelling occurred during the reaction process when the amount of catalyst is 0.8% (sample 5), indicating the amount of catalyst is excessive, which results in a vigorous reaction. When the amounts of catalyst are 0.4% and 0.6%, the resultant products (sample 3 and sample 4) are homogeneous and translucent and keep a stable viscosity for a long period (keeping good flow ability after 15 days).
3.7.2.2 Effect of reaction time
By fixing the dosage of catalyst at 0.5%, products were obtained by reacting for 4 h and 8 h, respectively. The resultant products were characterized by IR spectroscopy, and the results are shown in Figure 1C.
From Figure 1C, the spectra of the two samples are essentiallyconsistent. A strong and broad double peak is observed at around 3340 cm−1 corresponding to superposition of stretching vibration absorption of -NH in urethane and -OH in the resin molecule. The characteristic absorption of the -C=O group in urethane is observed at around 1715 cm−1. Symmetric and asymmetric stretching vibration absorption peaks of the epoxy group emerge at 1240 cm−1 and 890 cm−1, respectively. The characteristic absorption peaks of the aromatic ring appeared at 1605~1460 cm−1. A double absorption peak emerges at 1100–1000 cm−1 corresponding to superposition of stretching vibration absorption of C-O-Si and Si-O-Si. The stretching vibration absorption peak of the Si (CH3)2 groups emerges at 830–800 cm−1. IR results indicate that the MDI and HS co-modified epoxy resin was prepared successfully. Further analysis of the two spectra indicate that the characteristic absorption peak of -NCO group (around 2276 cm−1) decreases significantly but does not disappear in the sample with the reaction time of 8 h, indicating the -NCO groups cannot be completely consumed by prolonging the reaction time. Based on the above analyses, the suitable time is 4 h to avoid the formation of excessive branch structure which is easily formed with a long reaction time.
3.7.2.3 Effect of reactant ratio
By fixing the catalyst dosage of 0.5% and the reaction time of 4 h, modified resins were prepared by setting the mass ratio of reactant (E-20:pre-polymer) as 1.5:1, 2:1, 3:1 and 4:1, respectively, the results are shown in Table 4.
Results indicate that the modified resin shows a better initial state and stability with the increase of reactant ratio, i.e. decrease of pre-polymer. When the ratio is increased to 4:1, a clear and transparent product was obtained and the viscosity of the product is moderate which stays stable by standing for 60 days, indicating the modified resin has excellent stability.
3.7.3 Performance study of Mg-rich primer prepared from modified resin
Mg-rich primer with the PVC of 45% was prepared with the modified resins having good stability (sample 9 in Table 4), and the performances of the coating have been tested and are shown in Table 2 (sample 8).
From Table 2, impact resistance and flexibility of the coating are improved significantly compared with E-20 coating. After the 5000 h salt spray test, no blisters appeared on the coating surface but a little bloom emerged at the scratch. After aging for 5000 h, no chalking and floating appearance was observed. The HS and MDI co-modified coating has a greater improvement on performances than the previous two kinds of modified coatings. This is because the grafting efficiency of HS is raised greatly due to the bridging of MDI, and unreacted HS residue is small. Moreover, the cooperation of the flexible Si-O-Si segment (introduced by grafting HS) and urethane carbamate (generated through addition reaction between the -NCO group and hydroxyl) in modified resin also contributes to the performance improvement.
4 Conclusions
In this paper, E-20 was modified by HS in three ways. The modification technology as well as the performances of the modified products was studied in detail. According to HS modified E-20, the suitable ratio of reactants is 4:1 (E-20:HS). For the HS and KH550 co-modified E-20, the suitable ratio of reactants is 10:1.5:0.5 (E-20:HS:KH550). For HS and MDI co-modified E-20, the suitable ratio of reactants is 4:1 (E-20:HS/MDI pre-polymer). With appropriate technology, the modified resin with good applied properties was obtained. These properties include good stability, excellent film-forming ability, compatibility with Mg power and so on. Mg-rich primer was prepared by direct blends of modified resin. The basic coating property especially flexibility and impact resistance are significantly improved compared with E-20 coating. Furthermore, the protective property of modified coating such as anti-salt spray and aging resistance is also improved especially for MDI modified coating.
Acknowledgment
The authors gratefully acknowledge financial support by National Basic Research Program of China (No. 22014CB643304).
References
1. Shen MM, Li YW, Ma YJ. Synthesis of polyphenylmethoxy silicone modified epoxy resins. Polym Mater Sci Eng. 2010;26:22–5.Search in Google Scholar
2. Li Y, Zhen SR, Wang QL. Latest research progress of toughening and modifying epoxy resin. China Adhes. 2013;22:47–52.Search in Google Scholar
3. Lee SS, Kim SC. Morphololgy and properties of polydimethylsioxane-modified epoxy resin. J Appl Polym Sci. 1997;64:941–55.10.1002/(SICI)1097-4628(19970502)64:5<941::AID-APP14>3.0.CO;2-WSearch in Google Scholar
4. Huang W, Yao Y, Huang Y. Surface modification of epoxy resin by polyether-polydimethylsiloxanes-polyether triblock copolymers. Polymer 2001;42:1763–6.10.1016/S0032-3861(00)00393-1Search in Google Scholar
5. Chruściel JJ, Leśniak E. Modification of epoxy resins with functional silanes, polysiloxanes, silsesquioxanes, silica and silicates. Prog Polym Sci. 2015;41:67–121.10.1016/j.progpolymsci.2014.08.001Search in Google Scholar
6. Yan ZL, Liu WQ, Wang HL. Synthesis and characterization of novel fluorinated siloxane star-like copolymer with short perfluoroalkyl chain and used for modification the epoxy resin. J Fluorine Chem. 2014;157:63–72.10.1016/j.jfluchem.2013.11.008Search in Google Scholar
7. Li Y, Liu WQ, Xuan YN. Modification of bisphenol a epoxy resins with chloric organic silicon. Acta Polym Sin. 2005;2:244–7.Search in Google Scholar
8. Liu YZ, Li HY, Fei M. Research progress of chemical modification of epoxy resin with organic silicon. Packing J. 2012;4:31–7.Search in Google Scholar
9. Kumar SA, Denchev Z, Alagar M. Synthesis and thermal characterization of phosphorus containing siliconized epoxy resins. Euro Polym. 2006;42:2419–29.10.1016/j.eurpolymj.2006.06.010Search in Google Scholar
10. Li YW, Shen MM, Huang HY. Synthesis and properties of polyphenylsilicone and polymethylphenysilicone modified epoxy resins. Acta Polym Sin. 2009;11:1086–90.10.3724/SP.J.1105.2009.01086Search in Google Scholar
11. Lin ST, Huang SK. Thermal degradation study of siloxane-dgeba epoxy copolymers. Europ Polym. 1997;33:365–73.10.1016/S0014-3057(96)00175-9Search in Google Scholar
12. Lee MC, Ho TH, Wang CS. Synthesis of tetrafunctional epoxy resins and their modification with polydimethylsiloxane for electronic application. J Appl Polym Sci. 1998;62:217–25.10.1002/(SICI)1097-4628(19961003)62:1<217::AID-APP25>3.0.CO;2-0Search in Google Scholar
13. Zhang B, Liu XL, Huang YJ. Effects of the amino group content of polydimethylsiloxane bearing pendant amino groups on the morphology and properties of modified epoxy resin. Funct Polym. 2000;13:69–72.Search in Google Scholar
14. Li YT, Zhang NN. Synthesis and properties of silicone modified epoxy resin. J Mater Sci Eng. 2009;27:58–61.10.1016/j.mseb.2009.01.002Search in Google Scholar
15. Murias P, Maciejewski H, Galina H. Epoxy resins modified with reactive low molecular weight siloxane. Europ Polym. 2012;48:769–73.10.1016/j.eurpolymj.2012.01.009Search in Google Scholar
16. Chen J, Kinloch AJ, Sprenger S. The mechanical properties and toughening mechanisms of an epoxy polymer modified with polysiloxane-based core-shell particles. Polymer 2013;54:4276–89.10.1016/j.polymer.2013.06.009Search in Google Scholar
17. Li GL. Epoxy resin and epoxy coating. 1th ed. Beijing: Chemical Industry Press; 2003. 30 p.Search in Google Scholar
18. Tian, Xue QJ. Epoxy resin modified by polydimethysiloxane. Chinese J Mater Res. 1997;11:209–11.Search in Google Scholar
19. Li GL. Epoxy resin and epoxy coating. 1th ed. Beijing: Chemical Industry Press; 2003. 14 p.Search in Google Scholar
20. Li GL. Epoxy resin and epoxy coating. 1th ed. Beijing: Chemical Industry Press; 2003. 145 p.Search in Google Scholar
©2017 Walter de Gruyter GmbH, Berlin/Boston
This article is distributed under the terms of the Creative Commons Attribution Non-Commercial License, which permits unrestricted non-commercial use, distribution, and reproduction in any medium, provided the original work is properly cited.
Articles in the same Issue
- Frontmatter
- In this Issue
- Full length articles
- Hexafluoroisopropylidene based sulfonated new copolytriazoles: investigation of proton exchange membrane properties
- Effect of various formulation ingredients on thermal characteristics of PVC/clay nanocomposite foams: experimental and modeling
- TFC polyamide NF membrane: characterization, application and evaluation of MTPs and MTC for simultaneous removal of hexavalent chromium and fluoride
- Functionalization of epoxy resin and the performance of the resultant magnesium-rich primer
- Preparation of a poly(DMAEMA-co-HEMA) self-supporting microfiltration membrane with high anionic permselectivity by electrospinning
- Mechanical properties of norbornene-based silane treated glass fiber reinforced polydicyclopentadiene composites manufactured by the S-RIM process
- Effect of dip time on the electrochemical behavior of PPy-Cu(OH)2 hybrid electrodes synthesized using pyrrole and CuSO4
- Interfacial interaction exploration and oxygen barrier potential of polyethylene/poly(ethylene-co-vinyl alcohol)/clay hybrid nanocomposites
- Prediction of tensile modulus of PA-6 nanocomposites using adaptive neuro-fuzzy inference system learned by the shuffled frog leaping algorithm
- Molecular design and synthesis of thermotropic liquid crystalline poly(amide imide)s with high thermal stability and solubility
Articles in the same Issue
- Frontmatter
- In this Issue
- Full length articles
- Hexafluoroisopropylidene based sulfonated new copolytriazoles: investigation of proton exchange membrane properties
- Effect of various formulation ingredients on thermal characteristics of PVC/clay nanocomposite foams: experimental and modeling
- TFC polyamide NF membrane: characterization, application and evaluation of MTPs and MTC for simultaneous removal of hexavalent chromium and fluoride
- Functionalization of epoxy resin and the performance of the resultant magnesium-rich primer
- Preparation of a poly(DMAEMA-co-HEMA) self-supporting microfiltration membrane with high anionic permselectivity by electrospinning
- Mechanical properties of norbornene-based silane treated glass fiber reinforced polydicyclopentadiene composites manufactured by the S-RIM process
- Effect of dip time on the electrochemical behavior of PPy-Cu(OH)2 hybrid electrodes synthesized using pyrrole and CuSO4
- Interfacial interaction exploration and oxygen barrier potential of polyethylene/poly(ethylene-co-vinyl alcohol)/clay hybrid nanocomposites
- Prediction of tensile modulus of PA-6 nanocomposites using adaptive neuro-fuzzy inference system learned by the shuffled frog leaping algorithm
- Molecular design and synthesis of thermotropic liquid crystalline poly(amide imide)s with high thermal stability and solubility