Abstract
We discussed stability analysis of susceptible-exposed-infectious-removed (SEIR) model for malaria disease through fractional order and check that malaria is epidemic or endemic in Khyber Pakhtunkhwa (Pakistan). We show that the model has two types of equilibrium points and check their stability through Routh-Hurwitz criterion. We find basic reproductive number using next-generation method. Finally, numerical simulations are also presented.
1 Introduction
Malaria is an infectious disease having large economic and health impact on society. Although malaria disease is interrogated for several years but still it is a serious health problem in many countries of the world [1]. Malaria is an infectious disease caused by the plasmodium parasite and transmitted between humans through the bite of the female Anopheles mosquito. There are four types of plasmodium parasite which infect humans, namely, Plasmodium falciparum, Plasmodium vivax, Plasmodium malariae and Plasmodium ovale [2]. P. falciparum can cause serious complications and can be fatal if untreated. Pregnant women and children under the age of five are most infected from malaria because they have a lower immunity as compared to others in the community. According to WHO there are 243 million malaria cases across the world and 7.8 million of deaths occur every year. Therefore, we also check whether the malaria disease is epidemic or endemic in Khyber Pakhtunkhwa (KP, Pakistan).
In the early twentieth century, mathematical models play important role in the study of analyzing the spread of infectious disease [3]. Although there is a lot of work on integer order in epidemiological models [4,5], due to the effective nature of fractional differential equation (FDE) many models in science such as physics, fluid mechanics, mechanical system, and other fields of engineering and epidemiology have been successfully formulated and analyzed [6]. Up to now many fractional results have been presented which are very useful [7,8]. There are three basic definitions of FDE which are the Grunwald-Letnikov, the Riemann-Liouville, and the Caputo formula [9]. We used the Caputo formula due to its convenience for initial condition of the FDE. The Caputo fractional derivative of order
where
The rest of the paper is arranged as follows: in Section 2, the model derivation is given. The equilibrium points and basic reproductive number are given in Section 3. Stability of equilibrium points is analyzed in Section 4. In Section 5, numerical simulations of the model are given. In Section 6, conclusion is given.
2 Model formulation
In the following model [10], the total population is distributed into four classes with respect to disease. The classes consist of susceptible population

SEIR model for malaria disease.
The SEIR model can be expressed as a system of FDEs of order
In the SEIR model,
3 Equilibrium points and basic reproductive number of system (2)
To find the equilibrium points of the model consider:
Adding (3) and (4) we get
From (5) we get
while from (6) we obtain that
Now putting (7) and (8) in (4) it follows that
so either
For
While from (8) we obtain
From (11) there is another equilibrium with
By substituting the value of
Again using the value of
Finally, using the value of
So the endemic equilibrium point
To find basic reproductive number
where
From (19),
and
Now inverse of matrix
so
We find basic reproductive number
this implies that either
4 Stability of equilibrium points
In this section, we analyze the local stability of disease-free equilibrium point and endemic equilibrium point. The Jacobian matrix is calculated from equilibrium points as:
and evaluated equilibrium points to decide on the local stability which is directly determined from the eigenvalues
The eigenvalues of equation (21) will decide that the SEIR model of fractional differential equation is either stable (i.e., all the eigenvalues contain negative real part) or unstable (i.e., at least one of the eigenvalues contains positive real part).
4.1 Disease-free equilibrium points
Using disease-free equilibrium points, i.e.,
with eigenvalue
The eigenvalue
where
From equation (23), one eigenvalue is
Clearly,
Therefore by Routh-Hurwitz criterion the disease-free equilibrium point
4.2 Endemic equilibrium points
Using endemic equilibrium points i.e.,
with eigenvalues
the eigenvalues
so either
5 Numerical method and simulation
For the numerical solutions of a system of FDE, we use fde12.m code [12].
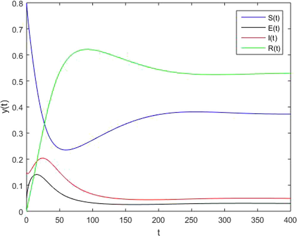
For numerical simulations, we observe from malaria data taken from different hospitals of Khyber Pakhtunkhwa that 80% of the individuals are susceptible, 5% of the individuals are exposed, and 15% of the individuals are infected, i.e.,
Now in Figure 2, we take fractional order

A solution to the SEIR model with fractional order

A solution to the SEIR model with fractional order

A solution to the SEIR model with fractional order

A solution to the SEIR model with fractional order
We compare all the above results of fractional order and notice that for fractional order
6 Conclusion
We have formulated and analyzed the SEIR model for fractional order for malaria disease in KP. We observe that disease-free equilibrium points
-
Conflict of interest: Authors state no conflict of interest.
References
[1] C. M. A. Pinto and J. A. Tenreiro Machado , Fractional model for malaria transmission under control strategies, Comput. Math. Appl. 66 (2013), no. 5, 908–916. 10.1016/j.camwa.2012.11.017Search in Google Scholar
[2] R. Almeida , Analysis of a fractional SEIR model with treatment, Appl. Math. Lett. 84 (2018), 56–62. 10.1016/j.aml.2018.04.015Search in Google Scholar
[3] M. Trawicki , Deterministic seirs epidemic model for modeling vital dynamics, vaccinations, and temporary immunity, Mathematics 5 (2017), no. 1, 7, https://doi.org/10.3390/math5010007 . 10.3390/math5010007Search in Google Scholar
[4] S. Javeed , S. Anjum , K. Saleem Alimgeer , M. Atif , M. S. Khan , W. A. Farooq , et al., A novel mathematical model for COVID-19 with remedial strategies, Results Phys. 27 (2021), 104248, https://doi.org/10.1016/j.rinp.2021.104248 . 10.1016/j.rinp.2021.104248Search in Google Scholar
[5] A. Sohail , M. Iftikhar , R. Arif , H. Ahmad , K. A. Gepreel , and S. Iftikhar , Dengue control measures via cytoplasmic incompatibility and modern programming tools, Results Phys. 21 (2021), 103819, https://doi.org/10.1016/j.rinp.2021.103819 . 10.1016/j.rinp.2021.103819Search in Google Scholar
[6] E. Demirici , A. Unal , and N. Ozalp , A fractional order SEIR model with density dependent death rate, Math. Stat. 40 (2011), 287–295. Search in Google Scholar
[7] F. Al-Basir , A. M. Elaiw , D. Kesh , and P. K. Roy , Optimal control of a fractional-order enzyme kinetic model, Control Cybernet. 44 (2015), no. 4, 443–461. Search in Google Scholar
[8] Z. Ul Abadin Zafar , K. Rehan , and M. Mushtaq , Fractional-order scheme for bovine babesiosis disease and tick populations, Adv. Difference Equ. 2017 (2017), 86. 10.1186/s13662-017-1133-2Search in Google Scholar
[9] I. Podlubny , Fractional Differential Equations. An Introduction to Fractional Derivatives, Fractional Differential Equations, to Methods of Their Solution and Some of Their Applications, vol. 198, Academic Press, 1998. Search in Google Scholar
[10] A. Rachah and D. F. M. Torres , Analysis, simulation and optimal control of a SEIR model for Ebola virus with demographic effects, arXiv:http://arXiv.org/abs/arXiv:1705.01079 (2017). Search in Google Scholar
[11] P. van den Driessche and J. Watmough , Reproduction numbers and sub-threshold endemic equilibria for compartmental models of disease transmission, Math. Biosci. 180 (2002), no. 1–2, 29–48. 10.1016/S0025-5564(02)00108-6Search in Google Scholar
[12] R. Garrappa , Numerical solution of fractional differential equations: A survey and a software tutorial, Mathematics 6 (2018), no. 2, 16, https://doi.org/10.3390/math6020016 . 10.3390/math6020016Search in Google Scholar
© 2021 Noor Badshah and Haji Akbar, published by De Gruyter
This work is licensed under the Creative Commons Attribution 4.0 International License.
Articles in the same Issue
- Regular Articles
- Graded I-second submodules
- Corrigendum to the paper “Equivalence of the existence of best proximity points and best proximity pairs for cyclic and noncyclic nonexpansive mappings”
- Solving two-dimensional nonlinear fuzzy Volterra integral equations by homotopy analysis method
- Chandrasekhar quadratic and cubic integral equations via Volterra-Stieltjes quadratic integral equation
- On q-analogue of Janowski-type starlike functions with respect to symmetric points
- Inertial shrinking projection algorithm with self-adaptive step size for split generalized equilibrium and fixed point problems for a countable family of nonexpansive multivalued mappings
- On new stability results for composite functional equations in quasi-β-normed spaces
- Sampling and interpolation of cumulative distribution functions of Cantor sets in [0, 1]
- Meromorphic solutions of the (2 + 1)- and the (3 + 1)-dimensional BLMP equations and the (2 + 1)-dimensional KMN equation
- On the equivalence between weak BMO and the space of derivatives of the Zygmund class
- On some fixed point theorems for multivalued F-contractions in partial metric spaces
- On graded Jgr-classical 2-absorbing submodules of graded modules over graded commutative rings
- On almost e-ℐ-continuous functions
- Analytical properties of the two-variables Jacobi matrix polynomials with applications
- New soft separation axioms and fixed soft points with respect to total belong and total non-belong relations
- Pythagorean harmonic summability of Fourier series
- More on μ-semi-Lindelöf sets in μ-spaces
- Range-Kernel orthogonality and elementary operators on certain Banach spaces
- A Cauchy-type generalization of Flett's theorem
- A self-adaptive Tseng extragradient method for solving monotone variational inequality and fixed point problems in Banach spaces
- Robust numerical method for singularly perturbed differential equations with large delay
- Special Issue on Equilibrium Problems: Fixed-Point and Best Proximity-Point Approaches
- Strong convergence inertial projection algorithm with self-adaptive step size rule for pseudomonotone variational inequalities in Hilbert spaces
- Two strongly convergent self-adaptive iterative schemes for solving pseudo-monotone equilibrium problems with applications
- Some aspects of generalized Zbăganu and James constant in Banach spaces
- An iterative approximation of common solutions of split generalized vector mixed equilibrium problem and some certain optimization problems
- Generalized split null point of sum of monotone operators in Hilbert spaces
- Comparison of modified ADM and classical finite difference method for some third-order and fifth-order KdV equations
- Solving system of linear equations via bicomplex valued metric space
- Special Issue on Computational and Theoretical Studies of free Boundary Problems and their Applications
- Dynamical study of Lyapunov exponents for Hide’s coupled dynamo model
- A statistical study of COVID-19 pandemic in Egypt
- Global existence and dynamic structure of solutions for damped wave equation involving the fractional Laplacian
- New class of operators where the distance between the identity operator and the generalized Jordan ∗-derivation range is maximal
- Some results on generalized finite operators and range kernel orthogonality in Hilbert spaces
- Structures of spinors fiber bundles with special relativity of Dirac operator using the Clifford algebra
- A new iteration method for the solution of third-order BVP via Green's function
- Numerical treatment of the generalized time-fractional Huxley-Burgers’ equation and its stability examination
- L ∞-error estimates of a finite element method for Hamilton-Jacobi-Bellman equations with nonlinear source terms with mixed boundary condition
- On shrinkage estimators improving the positive part of James-Stein estimator
- A revised model for the effect of nanoparticle mass flux on the thermal instability of a nanofluid layer
- On convergence of explicit finite volume scheme for one-dimensional three-component two-phase flow model in porous media
- An adjusted Grubbs' and generalized extreme studentized deviation
- Existence and uniqueness of the weak solution for Keller-Segel model coupled with Boussinesq equations
- Special Issue on Advanced Numerical Methods and Algorithms in Computational Physics
- Stability analysis of fractional order SEIR model for malaria disease in Khyber Pakhtunkhwa
Articles in the same Issue
- Regular Articles
- Graded I-second submodules
- Corrigendum to the paper “Equivalence of the existence of best proximity points and best proximity pairs for cyclic and noncyclic nonexpansive mappings”
- Solving two-dimensional nonlinear fuzzy Volterra integral equations by homotopy analysis method
- Chandrasekhar quadratic and cubic integral equations via Volterra-Stieltjes quadratic integral equation
- On q-analogue of Janowski-type starlike functions with respect to symmetric points
- Inertial shrinking projection algorithm with self-adaptive step size for split generalized equilibrium and fixed point problems for a countable family of nonexpansive multivalued mappings
- On new stability results for composite functional equations in quasi-β-normed spaces
- Sampling and interpolation of cumulative distribution functions of Cantor sets in [0, 1]
- Meromorphic solutions of the (2 + 1)- and the (3 + 1)-dimensional BLMP equations and the (2 + 1)-dimensional KMN equation
- On the equivalence between weak BMO and the space of derivatives of the Zygmund class
- On some fixed point theorems for multivalued F-contractions in partial metric spaces
- On graded Jgr-classical 2-absorbing submodules of graded modules over graded commutative rings
- On almost e-ℐ-continuous functions
- Analytical properties of the two-variables Jacobi matrix polynomials with applications
- New soft separation axioms and fixed soft points with respect to total belong and total non-belong relations
- Pythagorean harmonic summability of Fourier series
- More on μ-semi-Lindelöf sets in μ-spaces
- Range-Kernel orthogonality and elementary operators on certain Banach spaces
- A Cauchy-type generalization of Flett's theorem
- A self-adaptive Tseng extragradient method for solving monotone variational inequality and fixed point problems in Banach spaces
- Robust numerical method for singularly perturbed differential equations with large delay
- Special Issue on Equilibrium Problems: Fixed-Point and Best Proximity-Point Approaches
- Strong convergence inertial projection algorithm with self-adaptive step size rule for pseudomonotone variational inequalities in Hilbert spaces
- Two strongly convergent self-adaptive iterative schemes for solving pseudo-monotone equilibrium problems with applications
- Some aspects of generalized Zbăganu and James constant in Banach spaces
- An iterative approximation of common solutions of split generalized vector mixed equilibrium problem and some certain optimization problems
- Generalized split null point of sum of monotone operators in Hilbert spaces
- Comparison of modified ADM and classical finite difference method for some third-order and fifth-order KdV equations
- Solving system of linear equations via bicomplex valued metric space
- Special Issue on Computational and Theoretical Studies of free Boundary Problems and their Applications
- Dynamical study of Lyapunov exponents for Hide’s coupled dynamo model
- A statistical study of COVID-19 pandemic in Egypt
- Global existence and dynamic structure of solutions for damped wave equation involving the fractional Laplacian
- New class of operators where the distance between the identity operator and the generalized Jordan ∗-derivation range is maximal
- Some results on generalized finite operators and range kernel orthogonality in Hilbert spaces
- Structures of spinors fiber bundles with special relativity of Dirac operator using the Clifford algebra
- A new iteration method for the solution of third-order BVP via Green's function
- Numerical treatment of the generalized time-fractional Huxley-Burgers’ equation and its stability examination
- L ∞-error estimates of a finite element method for Hamilton-Jacobi-Bellman equations with nonlinear source terms with mixed boundary condition
- On shrinkage estimators improving the positive part of James-Stein estimator
- A revised model for the effect of nanoparticle mass flux on the thermal instability of a nanofluid layer
- On convergence of explicit finite volume scheme for one-dimensional three-component two-phase flow model in porous media
- An adjusted Grubbs' and generalized extreme studentized deviation
- Existence and uniqueness of the weak solution for Keller-Segel model coupled with Boussinesq equations
- Special Issue on Advanced Numerical Methods and Algorithms in Computational Physics
- Stability analysis of fractional order SEIR model for malaria disease in Khyber Pakhtunkhwa