Kinetics and ability of binding antibody and surrogate virus neutralization tests to predict neutralizing antibodies against the SARS-CoV-2 Omicron variant following BNT162b2 booster administration
-
Germain Simon
, Julien Favresse
, Constant Gillot , Mélanie Closset , Émilie Catry , Jean-Michel Dogné , Jonathan Douxfils, Grégoire Wieërs
and Jean-Louis Bayart
Abstract
Objectives
To assess the long-term humoral immunity induced by booster administration, as well as the ability of binding antibody and surrogate virus neutralization tests (sVNT) to predict neutralizing antibodies (NAbs) against the SARS-CoV-2 Omicron variant.
Methods
A total of 269 sera samples were analyzed from 64 healthcare workers who had received a homologous booster dose of BNT162b2. Neutralizing antibodies assessed by sVNT and anti-RBD IgG measured with the sCOVG assay (Siemens Healthineers®) were analyzed at five timepoints; before and up to 6 months following the booster. Antibody titers were correlated with neutralizing antibodies against the Omicron BA.1 variant obtained by pseudovirus neutralization test (pVNT) as a reference method.
Results
While Wild-type sVNT percentage of inhibition (POI) remained above 98.6% throughout the follow-up period after booster administration, anti-RBD IgG and NAbs assessed by Omicron BA.1 pVNT showed respectively a 3.4-fold and 13.3-fold decrease after 6 months compared to the peak reached at day 14. NAbs assessed by Omicron sVNT followed a steady decline until reaching a POI of 53.4%. Anti-RBD IgG and Omicron sVNT assays were strongly correlated (r=0.90) and performed similarly to predict the presence of neutralizing antibodies with Omicron pVNT (area under the ROC: 0.82 for both assays). In addition, new adapted cut-off values of anti-RBD IgG (>1,276 BAU/mL) and Omicron sVNT (POI>46.6%) were found to be better predictors of neutralizing activity.
Conclusions
This study showed a significant drop in humoral immunity 6 months after booster administration. Anti-RBD IgG and Omicron sVNT assays were highly correlated and could predict neutralizing activity with moderate performance.
Introduction
The SARS-CoV-2 Omicron variant of concern (VOC) and its subvariants (BA.1.1.529, BA.2, BA.2.12.1, BA.4, BA.5, BA.4.6), first identified in November 2021 in Botswana and South Africa, are still endemic. Their particularities are that they are more transmissible and that they escape acquired immunity to a greater extent than previous VOCs such as the Delta or the Alpha variants [1], [2], [3], [4], [5], [6], [7], [8], [9], [10].
It has been reported that the two-dose regimen of the BNT162b2 vaccine was less effective against Omicron than previous VOCs and that the protection against non-critical Omicron infections declined significantly after 6 months [11], [12], [13], [14], [15], [16], [17], [18], [19]. Comparatively, the neutralizing capacity after BNT162b2 vaccination was lower with Omicron than with the other variants suggesting a lower affinity of the vaccine-induced antibodies to block this VOC. This loss of vaccine efficacy (VE) is strongly correlated with the decrease in neutralizing antibody (NAbs) titer, which represents the main host protection against SARS-CoV-2 infection by blocking the interaction between the viral entry machinery and the host cell [2, 4, 20], [21], [22], [23], [24], [25], [26].
The administration of a booster (third dose) has therefore been recommended to restore a sufficient neutralizing capacity, especially in the frail population [27]. As evidenced by the increase in binding and neutralizing antibody titers, the administration of this booster dose allows protection against the virus within 2–4 weeks but declines rapidly after 8–10 weeks, as documented by several independent research groups [11, 12, 18, 24, 28], [29], [30]. As the decline in neutralizing antibody may vary between patients, measuring residual antibody levels may be an option to rationalize the administration of additional booster doses, especially as vaccine hesitancy increases in the general population.
Nevertheless, the measurement of binding antibodies is still based on the spike, RBD or nucleocapsid antigens of the native strain of SARS-CoV-2 (Wuhan-Hu-1). Several studies have shown that the correlation between binding and neutralizing antibodies is not optimal with patients having a very high levels of binding antibodies but a poor neutralizing capacity [31]. Measurement of NAbs by cell culture techniques (i.e. plaque reduction neutralization test (PRNT) or pseudovirus neutralization test (pVNT)) is considered as the gold standard for assessing humoral response, but is still rarely performed in clinical routine due to its turnaround time and technical labour [32]. Therefore, it is essential to have access to reliable assays that would allow the routine evaluation of the neutralizing capacity induced by BNT162b2 and other COVID-19 vaccines.
In this study, the vaccine-induced immunity against Omicron was evaluated using several commercial methods, including tests that measure binding or neutralizing antibodies (sVNT). We compared their results with NAbs titers obtained by a reference pVNT method to verify their ability to predict the serum neutralizing capacity against the Omicron BA.1 variant.
Materials and methods
Study design
The ‘CRO-VAX-HCP’ study is a Belgian multicentre, prospective, and interventional study where the vaccine-induced immunity was monitored in a cohort of healthcare workers, aged between 18 and 65 years old, who received two doses of the BNT162b2 mRNA COVID-19 vaccine (Comirnaty®, Pfizer-BioNTech). The study was conducted in accordance with the World Medical Association Declaration of Helsinki and was approved by a central Ethical Committee (approval number: 2020-006149-21). Of the 231 initial participants who have received the first two doses, 155 (67.1%) agreed to receive the booster and continue the study between November 2021 and January 2022.
Of this latter population, we excluded volunteers having participated at less than three collection timepoints, resulting in a cohort of 64 participants (41.3% of the total cohort). Volunteers were invited to give blood samples at five timepoints over a 6-months timeframe, i.e. before the booster (day 0) and on days 14, 56, 90 and 180 after the administration of the booster dose. A relative deviation of 10% from the planned number of days was allowed and samples collected outside this period were excluded. Among the 64 volunteers, fifty-one (15.9%) timepoints were missed, resulting in a total of 269 serum samples collected. Binding and anti-nucleocapsid antibody assays, Wild-type surrogate virus neutralization test (sVNT), Omicron sVNT and Omicron pVNT were performed on each sample.
Forty-five participants were still naïve to any COVID-19 infection prior to the booster dose (70%), as documented by the absence of anti-NCP antibodies and the absence of a positive SARS-CoV-2 Real-Time Polymerase Chain Reaction (RT-PCR) result in their history (which started at the first dose administration). Sera from these participants were used for analysis of antibody response kinetic. During the follow-up, participants with positive anti-NCP antibodies (breakthrough infections) were progressively excluded from the analysis to avoid skewing the kinetics, resulting in a total of 163 samples in the kinetic analysis. The number of participants included at each time-point is described in Table 1.
Binding antibody titers, Wild-type sVNT percentages of inhibition, Omicron sVNT percentages of inhibition and Omicron pVNT titers of sera from the naïve subpopulation (n=45 participants) at various timepoints.
| Anti-RBD IgG GMT (95% CI) |
Wild-type sVNT GM (95% CI) |
Omicron sVNT GM (95% CI) |
Omicron pVNT GMT (95% CI) |
Participants n, % |
|
|---|---|---|---|---|---|
| Day 0 (before the booster) | 97.83 (73.58–130.10) | 77.74 (67.77–82.42) | 0.16 (0.05–0.46) | 13.00 (10.62–15.91) | 36 (80.0) |
| Day 14 | 4,809 (3,992–5,794) | 99.60 (99.52–99.69) | 84.44 (80.64–88.42) | 359.00 (250.70–513.90) | 45 (100.0) |
| Day 56 | 2,995 (2,520–3,560) | 99.55 (99.37–99.73) | 72.29 (66.41–78.69) | 192.30 (131.70–280.60) | 38 (84.4) |
| Day 90 | 1,907 (1,447–2,512) | 99.53 (99.37–99.68) | 64.51 (56.89–73.14) | 41.70 (29.44–59.06) | 28 (62.2) |
| Day 180 | 1,408 (913.90–2,169) | 98.61 (97.60–99.62) | 53.35 (42.75–66.58) | 26.94 (16.24–44.70) | 16 (35.6) |
| p-Value | <0.0001 | <0.0001 | <0.0001 | <0.0001 |
-
Positive cut-offs were >21.8 BAU/mL, >30% of inhibition and a dilution titer >1:20, respectively. The p-value corresponds to the statistical between-group difference (i.e. Kruskal–Wallis test result).
Analytical methods
Binding and anti-nucleocapsid antibodies
Immunoglobulin G binding antibodies directed against the RBD domain of the Wild-type SARS-CoV-2 spike protein (anti-RBD IgG) were measured using the Atellica IM SARS-CoV-2 IgG assay (sCOVG, Siemens Healthineers®, Erlanger, Germany). Anti-RBD IgG units (U/mL) were multiplied by 21.8 to be converted into binding antibody units (BAU/mL), as recommended by the manufacturer. The positive cut-off for anti-RBD IgG was 21.8 BAU/mL. The lower limit of detection was 10.9 BAU/mL. The upper limit of linearity was 3,270 BAU/mL. Samples above this latter value were diluted up to 20-fold with the specific manufacturer’s diluent.
In addition, total antibodies directed against the SARS-CoV-2 nucleocapsid were measured using the Elecsys Anti-SARS-CoV-2 assay (Roche Diagnostics, Machelen, Belgium). The positive cut-off was 0.165 cut-off index (COI), as previously described [33].
Neutralizing antibodies
Neutralizing antibodies were assessed by three different neutralization assays. NAbs against Wild-type and Omicron SARS-CoV-2 variant were measured using a sVNT method, the cPass® SARS-CoV-2 neutralization antibody detection kit (RUO, Genscript®, Piscataway, New-Jersey, USA). These assays were performed according to the manufacturer’s recommendations. The percentage of serum neutralizing capacity was calculated using the equation: 1-(OD value of sample/average OD value of negative control) × 100. The positive cut-off was a percentage of inhibition (POI) >30%, as recommended by the manufacturer. Negative results were rounded to 0% to maintain clinical and statistical objectivity.
The neutralizing potency of BNT162b2-induced antibodies against the Omicron BA.1 variant was measured using a pVNT. Briefly, SARS-CoV-2 pseudoviruses are maloneymurine leukaemia viruses containing the SARS-CoV-2 spike protein carrying the Omicron B1.1.529 genotype and the open reading frame for firefly luciferase as reporter (E-enzyme, Gaithersburg, MD, USA). In practice, HEK293T hACE2 cells were seeded at a density of 8,500 cells in a culture plate. The sera used are heat-inactivated and serially diluted in a culture medium containing 10% of fetal bovine serum (FBS). The samples are mixed in a 1:4 ratio with pseudovirus and incubated at 37 °C for 2 h. This mixture is added to the cells and incubated at 37 °C for 48 h. The luciferase activity is finally measured and is proportional to the number of cells infected by the pseudovirus. The data obtained in relative luminescence units (RLU) are converted to percentage of inhibition using the equation: (RLU sample − RLU negative control)/(RLU viral control − RLU cell control) and the antibody titer is determined as the serum dilution at which 50% of the infectivity is inhibited (IC50). A sample is considered negative if the IC50 of that sample is less than the 1:20 dilution, which is a consensus value issued from the literature and which was verified in our institution [32, 34], [35], [36].
Statistical analysis
Median and interquartile range (IQR) were used to present demographic data, while geometric mean (GM), geometric mean titer (GMT) and 95% confidence interval (95%CI) were used for antibody titers related data.
Kruskal–Wallis one-way analysis of variance and Tukey multiple comparison tests were used to determine the between-group differences for each method in the naive subpopulation (n=45 participants).
In all participants (n=64), Pearson’s correlation and Cohen’s kappa agreement tests were performed to compare binding and neutralizing antibodies. Receiver operating characteristic (iROC) curve analyses were performed to find the optimal cut-off of anti-RBD IgG able to predict a significant Omicron BA.1 neutralization pVNT titer (>1:20) or Omicron sVNT POI (>30%). As pVNT is considered to be the reference, ROC curve analysis was also used to determine the best cut-off of POI with Omicron sVNT able to predict sufficient Omicron BA.1 neutralization pVNT titer (>1:20).
Statistical analysis was performed using GraphPad Prism 9.4.0 (GraphPad Software, San Diego, CA, USA) and MedCalc Software (version 14.8.1, Ostend, Belgium). A p-value <0.05 was considered as statistically significant.
Results
Demographic data
Of the 64 participants, 49 (76.6%) were women and 15 (23.4%) were men. The median age was 42.0 years (IQR: 34.3–55.0 years). They received the booster after a median time of 280 days (IQR: 271–286 days). Of the 45 naïve participants initially enrolled for antibody kinetics, 25 (55.6%) developed a breakthrough infection, 4 (8.9%) remained seronegative until day 90 but missed the final timepoint (i.e. day 180) and 16 (35.6%) remained seronegative throughout study follow-up.
Antibody kinetics from the naïve subpopulation
Binding antibodies
Anti-RBD IgG titers ranged from 22.0 to 25,572 BAU/mL. All participants had positive anti-RBD IgG titer from day 0 to 6 months after the booster. The GMT was 97.8 BAU/mL (95% IC: 73.6–130.1 BAU/mL) on day 0, peaked on day 14 with a GMT of 4,809 BAU/mL (95% IC: 3,992–5,794 BAU/mL) and then declined steadily until reaching a GMT of 1,408 BAU/mL (95% IC: 913.9–2,169 BAU/mL) 6 months after the booster. There was a 49.2-fold increase in anti-RBD IgG titer between day 0 and day 14 (p<0.0001). At 6 months, the titer of anti-RBD IgG remained higher than before the booster (p=0.0059) (Table 1, Figure 1A).

Kinetics of antibodies directed against SARS-CoV-2 measured with various assays following BNT162b2 booster among the naïve subpopulation. (A) Binding antibody titers. The positive cut-off was >21.8 BAU/mL. (B) Wild-type sVNT percentages of inhibition. The positive cut-off was >30% of inhibition. (C) Omicron sVNT percentages of inhibition. The positive cut-off was >30%. (D) Omicron pVNT titers. The positive cut-off was a dilution titer >1:20. Solid lines represent GMT and 95% CI. Positive cut-offs were represented by dotted lines. Y-axis represent log10 scale for quantitative assays (i.e. anti-RBD IgG and pVNT) or decimal scale for Wild-type and Omicron sVNT.
Wild-type and Omicron sVNT
For Wild-type sVNT, all participants had NAbs activity from day 0 to 6 months after the booster and POI ranged from 37.5 to 100.0%. The GM of POI was initially 77.7% (95% IC: 67.8–82.4%) on day 0 and remained above 98.6% throughout the follow-up and was still higher 6 months after the booster than before its administration (p=0.0034) (Table 1, Figure 1B).
These data contrast with Omicron sVNT where 35 (97.2%) participants showed no NAbs activity on day 0 with an initial GM of POI of 0.2% (95% IC: 0.1–0.5%). The NAbs peaked on day 14 with a GM of POI of 84.4% (95% IC: 80.6–88.4%), where all participants became positive except one of them (2.2%). The GM of POI followed then a steady decline until reaching a value of 53.4% (95% IC: 42.8–66.6%) 6 months after the booster. At this timepoint, 2 (12.5%) participants still had no NAbs activity. The percentage of inhibition ranged from 0.0 to 97.4% and the variation from day 0 to day 14 was the only statistically significant difference between the various timepoints (p<0.0001). At 6 months, the NAbs activity remained higher than before the booster (p=0.0054) (Table 1, Figure 1C).
Omicron pVNT
NAbs titers ranged from 1:10 to 1:2,356. The baseline GMT was 1:13.0 (95% IC: 1:10.6–1:15.9) on day 0, where only 4 (11.1%) participants had NAbs titer above the positivity cut-off. The NAbs peaked on day 14 with a GMT of 1:359.0 (95% IC: 1:250.7–1:513.9) and then showed a progressive decline until reaching a GMT of 1:26.9 (95% IC: 1:16.2–1:44.7) 6 months after the booster. The NAbs titer increased 27.6-fold between day 0 and day 14 (p<0.0001). At 6 months, the titer of NAbs was not significantly higher than before the booster (p=0.5578) and 9 (56.3%) participants still had NAbs titer above the positivity cut-off (Table 1, Figure 1D).
Correlation between binding antibody and Omicron pVNT
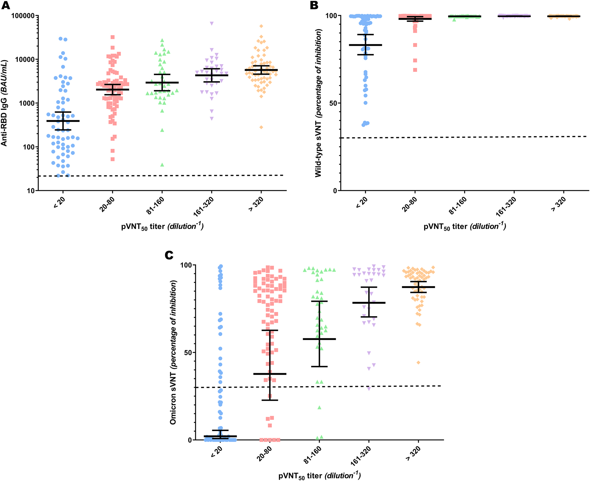
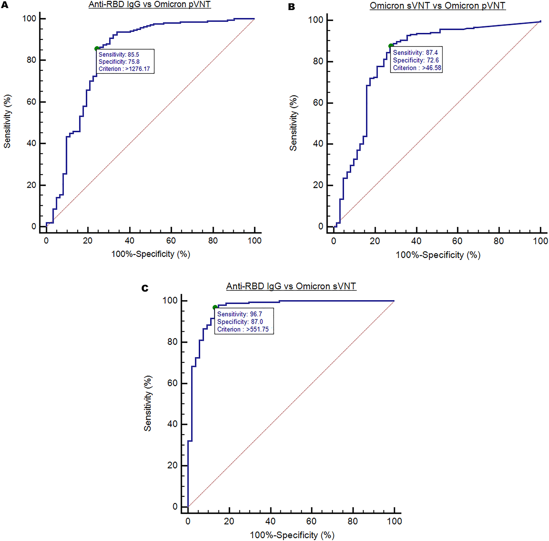
There was a moderate correlation between anti-RBD IgG and Omicron pVNT (r=0.58, 95% CI: 0.49–0.65, p<0.0001). Analysis by rank categories showed that the increase in anti-RBD IgG titer was proportional to Omicron pVNT titer, i.e. the GMT of these binding antibodies for ranks <20, 20–80, 81–160, 161–320, >320 of Omicron pVNT titer were 389.8, 2,031, 2,939, 4,313 and 5,704 BAU/mL respectively (Figure 2A). The GMT of anti-RBD IgG surrounding the neutralizing cut-off of the Omicron BA.1 variant was 389.8 BAU/mL (95% IC: 243.5–623.8 BAU/mL) and 3,305 BAU/mL (95% IC: 2,818–3,875 BAU/mL) for negative (titer <1:20) and positive (titer >1:20) Omicron pVNT sera samples, respectively. According to the ROC curve analysis, the cut-off of >1,276 BAU/mL was found to predict an Omicron pVNT titer >1:20 with a sensitivity of 85.5% and a specificity of 75.8% (AUC=0.82, p<0.0001) (Figure 3A). Using this new cut-off resulted in a Cohen’s kappa coefficient of 0.57 (95% CI: 0.45–0.68), indicating a moderate agreement.

Correlation between binding antibodies or sVNT with pVNT. (A) Binding antibody titers, (B) Wild-type sVNT percentages of inhibition and (C) Omicron sVNT percentages of inhibition according to rank categories of Omicron pVNT titer. Positive cut-offs were represented by dotted lines and were >21.8 BAU/mL, >30% of inhibition and >30% of inhibition, respectively. Solid lines represent GMT and 95% CI. Y-axis represent log10 scale for anti-RBD IgG or decimal scale for Wild-type and Omicron sVNT.

Ability of various antibodies to predict neutralizing antibodies according to ROC curve analysis. (A) ROC curve of binding antibody tested for an Omicron pVNT cut-off titer of 1:20. The Youden index gives a cut-off value of >1,276 BAU/mL. (B) ROC curve of Omicron sVNT tested for an Omicron pVNT cut-off titer of 1:20. The Youden index gives a cut-off value of >46.6%. (C) ROC curve of binding antibody tested for an Omicron sVNT cut-off value of 30% of inhibition. The Youden index gives a cut-off value of >551.8 BAU/mL.
Correlation between Wild-type sVNT and Omicron pVNT
A poor correlation was found between Wild-type sVNT and Omicron pVNT (r=0.45, 95% CI: 0.34–0.54, p<0.0001). Analysis by rank categories showed that the increase in Wild-type sVNT POI was not proportional to Omicron pVNT titer, i.e. the GM of Wild-type sVNT POI for ranks <20, 20–80, 81–160, 161–320, >320 of Omicron pVNT titer were 83.2, 98.1, 99.6, 99.7 and 99.6%, respectively (Figure 2B).
Correlation between Omicron sVNT and Omicron pVNT
A moderate correlation was found between Omicron sVNT and Omicron pVNT (r=0.52, 95% CI: 0.43–0.61, p<0.0001). Analysis by rank categories showed that the increase in Omicron sVNT POI was proportional to Omicron pVNT titer, i.e. the GM of POI of Omicron sVNT for ranks <20, 20–80, 81–160, 161–320, >320 of Omicron pVNT titer were 2.1, 37.7, 57.7, 78.4 and 87.4%, respectively (Figure 2C). The GM of Omicron sVNT POI was 2.1% (95% CI: 0.8–5.5%) and 53.6% (95% CI: 42.4–67.5%) for negative (titer <1:20) and positive (titer >1:20) Omicron pVNT sera samples, respectively. According to the ROC curve analysis, the cut-off of >46.6% was found to predict an Omicron pVNT titer >1:20 with a sensitivity of 87.4% and a specificity of 72.6% (AUC=0.82, p<0.0001) (Figure 3B). Using this new cut-off for Omicron sVNT resulted in a Cohen’s kappa coefficient of 0.57 (95% CI: 0.46–0.69), indicating a moderate agreement.
Correlation between binding antibody and Omicron sVNT
A strong correlation was found between anti-RBD IgG and Omicron sVNT (r=0.90, 95% CI: 0.87–0.92, p<0.0001). The GMT of anti-RBD IgG was 175.8 BAU/mL (95% IC: 124.8–247.6 BAU/mL) and 3,727 BAU/mL (95% IC: 3,253–4,271 BAU/mL) for negative (POI <30%) and positive (POI >30%) Omicron sVNT sera samples, respectively. According to the ROC curve analysis, the cut-off of >551.8 BAU/mL was found to predict an Omicron sVNT POI >30% with a sensitivity of 96.7% and a specificity of 87.0% (AUC=0.96, p<0.0001) (Figure 3C). Using this new cut-off for binding antibody resulted in a Cohen’s kappa coefficient of 0.84 (95% CI: 0.76–0.92), indicating an almost perfect agreement.
Discussion
Since the beginning of the COVID-19 pandemic, serological assays have provided essential information for pandemic surveillance [37]. The current study, which evaluates the antibody-mediated response in healthcare workers who received three doses of BNT162b2, shows that booster administration elicits a rapid and significant increase in both anti-RBD IgG and NAbs assessed by Omicron sVNT or pVNT. This confirms the ability of the initial vaccine to induce a cross-neutralizing activity against Omicron, even if composed of antigen derived from the primitive strain of SARS-CoV-2 (Wuhan-Hu-1) [38]. The peak antibody response was observed at 14 days with a 49.2- and 27.6-fold increase in anti-RBD IgG and Omicron pVNT titers, respectively. At 6 months, 43.8% of the participants without breakthrough infection were negative for pVNT (cut-off 1:20), with a 13.3-fold decrease in Omicron pVNT titer. On the other hand, the drop in binding antibody titer was only 3.4-fold, which is consistent with the 4.3-fold decline found by Gilboa et al. [30] 140 days after booster administration.
Many quantitative SARS-CoV-2 antibody assays are available and in daily clinical use. Today, most laboratories use tests that quantify antibodies directed against the RBD of the spike glycoprotein [37]. Indeed, several manufacturers have commercialized automated measurement solutions, therefore allowing their widespread use. On the other hand, while pVNT assays are still considered the gold standard, several sVNTs have been developed with the aim of providing a reliable correlation with pVNT, which is time-consuming, costly and requires specific biosafety level facilities. Among sVNT assays, the GenScript cPass® assay has been widely used and is based on the concept that neutralizing antibodies would disrupt the binding between RBD coupled with HRP and ACE2 receptors coated wells. Several studies have reported a high accuracy of this assay for the detection of NAbs, while others have reported more nuanced data as evidenced by Valcourt et al. who reported a high false positive rate (>30%) due to the false detection of non-NAbs as NAbs [39, 40]. Indeed, not all anti-RBD antibodies are systematically neutralizing and the GenScript cPass® test, which relies only on RBD competition for the ACE2 receptor, has been reported to be unable to discriminate the distinct types of antibodies [41]. On the other hand, false-negative results could be explained by the fact that antibodies targeting other domains outside the RBD, such as the N-terminal domain of S1, may also have neutralizing activity [42, 43].
Interestingly, in our study, we observed similar performance between the GenScript cPass® sVNT Omicron BA.1-RBD and the Siemens sCOVG assay for predicting the presence of neutralizing antibodies (>1:20 titer) with Omicron BA.1 pVNT (area under the ROC: 0.82 for both assays). These results question on the real utility of using sVNT assays compared to binding assays, which have the advantage of being automated, faster and less expensive. They also call into question the clinical accuracy of studies reporting high predictive values of binding antibodies for predicting NAbs titers, as many of them were performed against sVNT techniques. In addition, even when performed against pVNT or PRNT techniques, they were achieved during previous outbreaks using Wild-type strain as a reference. [44], [45], [46], [47], [48], [49], [50], [51] As recently reported by Springer et al. [52], the ability of commercial binding assays to predict neutralizing activity is influenced by the Omicron strain. This could be explained by the fact that the Omicron variant presents more than 30 amino acid mutations in the Spike protein, compared to the ancestral strain, leading to distinct antibody structure following infection or vaccination [53]. Therefore, the cut-off used to predict NAbs capacity should be adapted, accordingly. Moreover, in our study, binding assays, which have not been adapted since the beginning of the Omicron wave show a moderate correlation with Omicron pVNT assays, therefore strengthening the recent literature data [24, 25, 54]. On the other hand, our results showed a poor correlation between the GenScript cPass® Wild-type sVNT and pVNT BA.1 assays (r=0.45). Even if this could be explained by the limited linearity range of the Wild-type sVNT, this indicates that this assay should no more be used given its lack of clinical relevance in the current epidemiological situation, where the Omicron variant is now exclusive.
The presence of higher levels of NAbs is taken as an evidence for protection against severe disease [55, 56]. While the exact correlates of the threshold for protective NAbs have still not reached a consensus despite the introduction of the WHO international standards for anti-SARS-CoV-2 immunoglobulins, it is still unclear what NAbs or anti-RBD antibody levels are sufficient to prevent SARS-CoV-2 infection or reinfection. Whether WHO-calibrated anti-RBD antibody levels could predict NAbs titers is further complicated by the fact that there is still a high variability between the assays since this attempt to standardize results between manufacturers [37, 57, 58]. Therefore, the BAU results obtained in the present study should not be inferred to other analytical methods, despite the use of international standard units [59].
In France, the “Haute autorité de santé (HAS)” recommends the use of a cut-off of 264 BAU/mL to guide the administration of anti-SARS-CoV-2 monoclonal antibodies administration in immunocompromised individuals. This cut-off was originally issued from the study by Feng et al. [48], in which this value was proposed as an effective predictive threshold, in 80% of cases, against symptomatic forms of COVID-19 following vaccination. However, this latter did not take into account the high variability between the assays on the market, nor the impact of VOCs that have emerged since the publication of this study in September 2021. According to this cut-off, 11.5% of our samples would be incorrectly classified as having protective antibody titers with the sCOVG assay, while having a pVNT titer below the positive threshold (1:20).
While there are still gaps concerning the correlation between commercial serological assays and NAbs titers, our results show that having a binding antibody titer above 1,276 BAU/mL with the Siemens sCOVG assay predicts the presence of a significant pVNT titer (>1:20) against Omicron, with a sensitivity of 85.5% and a specificity of 75.8%. This is further illustrated by the analysis of rank categories, where we observed a gradual increase in anti-RBD IgG titers along with pVNT titers, although the direct correlation between the methods was moderate (r=0.58). These results are consistent with numerous recent studies that have demonstrated the need to increase the threshold of binding antibody that predict neutralizing activity against Omicron [25, 26, 54].
This study has several limitations. First, the sample size was quite small and some timepoints collection were missed (15.9%). Secondly, for kinetic analysis of the antibody response, the cohort is being reduced over time because some participants, who are HCWs exposed to SARS-CoV-2, have developed a breakthrough infection and were progressively excluded for the analysis. This exclusion criterion may also have introduced a bias as patients without breakthrough infection may only represent patients who were able to develop strong immunity against Omicron. Moreover, patients included for kinetic analysis were only individuals who remained seronegative between the first and the booster dose of the vaccine; however, we cannot firmly exclude that some patients contracted the virus early during the pandemic and crossed back the anti-NCP positive threshold before the beginning of the serological follow-up. Thirdly, while our results concern Omicron BA.1, the BA.4/5 variants are becoming predominant and seems to be more susceptible to escape NAbs than the primitive strain of Omicron [60, 61]. On the other hand, the main strength of our study is that we could use a pVNT method as a reference, whereas many studies used a sVNT assay as a reference to classify their patients as having or not neutralizing antibodies. In our opinion, and based on our observation, this seems particularly hazardous since these assays were developed to correlate with pVNT assays but are not cell-based assays.
Conclusions
Administration of a homologous BNT162b2 booster led to a rapid increase in both binding and neutralizing antibodies against Omicron. The antibody peak was reached on day 14 and then declined steadily up to 6 months. Binding antibodies measured with the commercial sCOVG assay showed a strong correlation with Omicron BA.1-RBD sVNT. Therefore, in our opinion, the use of the GenScript cPass® sVNT Omicron BA.1-RBD assay has no added-value over this binding antibody assay, when used with an appropriate cut-off, to predict neutralizing capacity. Nevertheless, the correlation and the agreement of these commercial assays with pVNT is insufficient to reliably use their results for clinical decision making. Their utility, in the current evolution of the pandemic, is insufficiently demonstrated and manufacturers should improve their assay to better fit the evolving epidemiological landscape.
Acknowledgments
The authors would like to thank Roche Diagnostics and Siemens Healthineers for providing the analytical kits for the present study.
-
Research funding: The study was funded by an unrestricted grant from the University of Namur for the conduct of the CRO-Vax study.
-
Author contributions: All authors have accepted responsibility for the entire content of this manuscript and approved its submission.
-
Competing interests: The authors have nothing to disclose.
-
Informed consent: Informed consent was obtained from all individuals included in this study.
-
Ethical approval: The study was conducted according to the guidelines of the Declaration of Helsinki and approved by a central Ethical Committee (approval number: 2020-006149-21).
References
1. Karim, SSA, Karim, QA. Omicron SARS-CoV-2 variant: a new chapter in the COVID-19 pandemic. Lancet 2021;398:2126–8. https://doi.org/10.1016/s0140-6736(21)02758-6.Search in Google Scholar PubMed PubMed Central
2. Planas, D, Saunders, N, Maes, P, Guivel-Benhassine, F, Planchais, C, Buchrieser, J, et al.. Considerable escape of SARS-CoV-2 Omicron to antibody neutralization. Nature 2022;602:671–5. https://doi.org/10.1038/s41586-021-04389-z.Search in Google Scholar PubMed
3. Dejnirattisai, W, Huo, J, Zhou, D, Zahradnik, J, Supasa, P, Liu, C, et al.. SARS-CoV-2 Omicron-B.1.1.529 leads to widespread escape from neutralizing antibody responses. Cell 2022;185:467–84 e15. https://doi.org/10.1016/j.cell.2021.12.046.Search in Google Scholar PubMed PubMed Central
4. Cele, S, Jackson, L, Khoury, DS, Khan, K, Moyo-Gwete, T, Tegally, H, et al.. Omicron extensively but incompletely escapes Pfizer BNT162b2 neutralization. Nature 2022;602:654–6. https://doi.org/10.1038/s41586-021-04387-1.Search in Google Scholar PubMed PubMed Central
5. Cheng, SMS, Mok, CKP, Leung, YWY, Ng, SS, Chan, KCK, Ko, FW, et al.. Neutralizing antibodies against the SARS-CoV-2 Omicron variant BA.1 following homologous and heterologous CoronaVac or BNT162b2 vaccination. Nat Med 2022;28:486–9. https://doi.org/10.1038/s41591-022-01704-7.Search in Google Scholar PubMed PubMed Central
6. Gruell, H, Vanshylla, K, Tober-Lau, P, Hillus, D, Schommers, P, Lehmann, C, et al.. mRNA booster immunization elicits potent neutralizing serum activity against the SARS-CoV-2 Omicron variant. Nat Med 2022;28:477–80. https://doi.org/10.1038/s41591-021-01676-0.Search in Google Scholar PubMed PubMed Central
7. Cao, Y, Yisimayi, A, Jian, F, Song, W, Xiao, T, Wang, L, et al.. BA.2.12.1, BA.4 and BA.5 escape antibodies elicited by Omicron infection. Nature 2022;608:593–602. https://doi.org/10.1038/s41586-022-04980-y.Search in Google Scholar PubMed PubMed Central
8. Hachmann, NP, Miller, J, Collier, AY, Ventura, JD, Yu, J, Rowe, M, et al.. Neutralization escape by SARS-CoV-2 Omicron subvariants BA.2.12.1, BA.4, and BA.5. N Engl J Med 2022;387:86–8. https://doi.org/10.1056/nejmc2206576.Search in Google Scholar PubMed PubMed Central
9. Wang, Q, Guo, Y, Iketani, S, Nair, MS, Li, Z, Mohri, H, et al.. Antibody evasion by SARS-CoV-2 Omicron subvariants BA.2.12.1, BA.4 and BA.5. Nature 2022;608:603–8. https://doi.org/10.1038/s41586-022-05053-w.Search in Google Scholar PubMed PubMed Central
10. Hachmann, NP, Miller, J, Collier, AY, Barouch, DH. Neutralization escape by SARS-CoV-2 Omicron subvariant BA.4.6. N Engl J Med 2022;387:1904–6. https://doi.org/10.1056/nejmc2212117.Search in Google Scholar
11. Powell, AA, Kirsebom, F, Stowe, J, McOwat, K, Saliba, V, Ramsay, ME, et al.. Effectiveness of BNT162b2 against COVID-19 in adolescents. Lancet Infect Dis 2022;22:581–3. https://doi.org/10.1016/s1473-3099(22)00177-3.Search in Google Scholar PubMed PubMed Central
12. Andrews, N, Stowe, J, Kirsebom, F, Toffa, S, Rickeard, T, Gallagher, E, et al.. Covid-19 vaccine effectiveness against the Omicron (B.1.1.529) variant. N Engl J Med 2022;386:1532–46. https://doi.org/10.1056/nejmoa2119451.Search in Google Scholar PubMed PubMed Central
13. Bayart, JL, Douxfils, J, Gillot, C, David, C, Mullier, F, Elsen, M, et al.. Waning of IgG, total and neutralizing antibodies 6 months post-vaccination with BNT162b2 in healthcare workers. Vaccines (Basel) 2021;9:1092. https://doi.org/10.3390/vaccines9101092.Search in Google Scholar PubMed PubMed Central
14. Feikin, DR, Higdon, MM, Abu-Raddad, LJ, Andrews, N, Araos, R, Goldberg, Y, et al.. Duration of effectiveness of vaccines against SARS-CoV-2 infection and COVID-19 disease: results of a systematic review and meta-regression. Lancet 2022;399:924–44. https://doi.org/10.1016/s0140-6736(22)00152-0.Search in Google Scholar PubMed PubMed Central
15. Hall, V, Foulkes, S, Insalata, F, Kirwan, P, Saei, A, Atti, A, et al.. Protection against SARS-CoV-2 after Covid-19 vaccination and previous infection. N Engl J Med 2022;386:1207–20. https://doi.org/10.1056/nejmoa2118691.Search in Google Scholar PubMed PubMed Central
16. Chemaitelly, H, Ayoub, HH, AlMukdad, S, Coyle, P, Tang, P, Yassine, HM, et al.. Duration of mRNA vaccine protection against SARS-CoV-2 Omicron BA.1 and BA.2 subvariants in Qatar. Nat Commun 2022;13:3082. https://doi.org/10.1038/s41467-022-30895-3.Search in Google Scholar PubMed PubMed Central
17. Schmidt, F, Muecksch, F, Weisblum, Y, Da Silva, J, Bednarski, E, Cho, A, et al.. Plasma neutralization of the SARS-CoV-2 Omicron variant. N Engl J Med 2022;386:599–601. https://doi.org/10.1056/nejmc2119641.Search in Google Scholar PubMed PubMed Central
18. Lassauniere, R, Polacek, C, Frische, A, Boding, L, Saekmose, SG, Rasmussen, M, et al.. Neutralizing antibodies against the SARS-CoV-2 Omicron variant (BA.1) 1 to 18 weeks after the second and third doses of the BNT162b2 mRNA vaccine. JAMA Netw Open 2022;5:e2212073. https://doi.org/10.1001/jamanetworkopen.2022.12073.Search in Google Scholar PubMed PubMed Central
19. Buchan, SA, Chung, H, Brown, KA, Austin, PC, Fell, DB, Gubbay, JB, et al.. Estimated effectiveness of COVID-19 vaccines against Omicron or Delta symptomatic infection and severe outcomes. JAMA Netw Open 2022;5:e2232760. https://doi.org/10.1001/jamanetworkopen.2022.32760.Search in Google Scholar PubMed PubMed Central
20. Khoury, DS, Cromer, D, Reynaldi, A, Schlub, TE, Wheatley, AK, Juno, JA, et al.. Neutralizing antibody levels are highly predictive of immune protection from symptomatic SARS-CoV-2 infection. Nat Med 2021;27:1205–11. https://doi.org/10.1038/s41591-021-01377-8.Search in Google Scholar PubMed
21. Earle, KA, Ambrosino, DM, Fiore-Gartland, A, Goldblatt, D, Gilbert, PB, Siber, GR, et al.. Evidence for antibody as a protective correlate for COVID-19 vaccines. Vaccine 2021;39:4423–8. https://doi.org/10.1016/j.vaccine.2021.05.063.Search in Google Scholar PubMed PubMed Central
22. Cromer, D, Steain, M, Reynaldi, A, Schlub, TE, Wheatley, AK, Juno, JA, et al.. Neutralising antibody titres as predictors of protection against SARS-CoV-2 variants and the impact of boosting: a meta-analysis. Lancet Microbe 2022;3:e52–61. https://doi.org/10.1016/s2666-5247(21)00267-6.Search in Google Scholar PubMed PubMed Central
23. Yang, Y, Du, L. SARS-CoV-2 spike protein: a key target for eliciting persistent neutralizing antibodies. Signal Transduct Targeted Ther 2021;6:95. https://doi.org/10.1038/s41392-021-00523-5.Search in Google Scholar PubMed PubMed Central
24. Favresse, J, Gillot, C, Bayart, JL, David, C, Simon, G, Wauthier, L, et al.. Vaccine-induced binding and neutralizing antibodies against Omicron 6 months after a homologous BNT162b2 booster. J Med Virol 2023;95:e28164. https://doi.org/10.1002/jmv.28164.Search in Google Scholar PubMed PubMed Central
25. Dimeglio, C, Migueres, M, Bouzid, N, Chapuy-Regaud, S, Gernigon, C, Da-Silva, I, et al.. Antibody titers and protection against Omicron (BA.1 and BA.2) SARS-CoV-2 infection. Vaccines (Basel) 2022;10. https://doi.org/10.3390/vaccines10091548.Search in Google Scholar PubMed PubMed Central
26. Dimeglio, C, Tremeaux, P, Herin, F, Da-Silva, I, Porcheron, M, Martin-Blondel, G, et al.. Post-vaccination SARS-CoV-2 antibody kinetics and protection duration against Omicron in elderly population. J Infect 2022;85:702–69. https://doi.org/10.1016/j.jinf.2022.08.040.Search in Google Scholar PubMed PubMed Central
27. World Health Organization. Interim statement on booster doses for COVID-19 vaccination 2021. Available from: https://www.who.int/news/item/22-12-2021-interim-statement-on-booster-doses-for-covid-19-vaccination–-update-22-december-2021.Search in Google Scholar
28. Monge, S, Rojas-Benedicto, A, Olmedo, C, Mazagatos, C, Jose Sierra, M, Limia, A, et al.. Effectiveness of mRNA vaccine boosters against infection with the SARS-CoV-2 omicron (B.1.1.529) variant in Spain: a nationwide cohort study. Lancet Infect Dis 2022;22:1313–20. https://doi.org/10.1016/s1473-3099(22)00292-4.Search in Google Scholar
29. Cheng, H, Peng, Z, Si, S, Alifu, X, Zhou, H, Chi, P, et al.. Immunogenicity and safety of homologous and heterologous prime-boost immunization with COVID-19 vaccine: systematic review and meta-analysis. Vaccines (Basel) 2022;10:798. https://doi.org/10.3390/vaccines10050798.Search in Google Scholar PubMed PubMed Central
30. Gilboa, M, Regev-Yochay, G, Mandelboim, M, Indenbaum, V, Asraf, K, Fluss, R, et al.. Durability of immune response after COVID-19 booster vaccination and association with COVID-19 Omicron infection. JAMA Netw Open 2022;5:e2231778. https://doi.org/10.1001/jamanetworkopen.2022.31778.Search in Google Scholar PubMed PubMed Central
31. Douxfils, J, Gillot, C, Mullier, F, Favresse, J. Post-SARS-CoV-2 vaccination specific antibody decrease – thresholds for determining seroprevalence and seroneutralization differ. J Infect 2021;83:e4–5. https://doi.org/10.1016/j.jinf.2021.08.023.Search in Google Scholar PubMed PubMed Central
32. Gillot, C, Favresse, J, Maloteau, V, Dogne, JM, Douxfils, J. Identification of SARS-CoV-2 neutralizing antibody with pseudotyped virus-based test on HEK-293T hACE2 cells. Bio Protoc 2022;12:e4377. https://doi.org/10.21769/bioprotoc.4377.Search in Google Scholar PubMed PubMed Central
33. Favresse, J, Eucher, C, Elsen, M, Tre-Hardy, M, Dogne, JM, Douxfils, J. Clinical performance of the Elecsys electrochemiluminescent immunoassay for the detection of SARS-CoV-2 total antibodies. Clin Chem 2020;66:1104–6. https://doi.org/10.1093/clinchem/hvaa131.Search in Google Scholar PubMed PubMed Central
34. Cruz-Cardenas, JA, Gutierrez, M, Lopez-Arredondo, A, Castaneda-Delgado, JE, Rojas-Martinez, A, Nakamura, Y, et al.. A pseudovirus-based platform to measure neutralizing antibodies in Mexico using SARS-CoV-2 as proof-of-concept. Sci Rep 2022;12:17966. https://doi.org/10.1038/s41598-022-22921-7.Search in Google Scholar PubMed PubMed Central
35. Kinsley, R, Pronost, S, De Bock, M, Temperton, N, Daly, JM, Paillot, R, et al.. Evaluation of a pseudotyped virus neutralisation test for the measurement of equine influenza virus-neutralising antibody responses induced by vaccination and infection. Vaccines (Basel) 2020;8:466. https://doi.org/10.3390/vaccines8030466.Search in Google Scholar PubMed PubMed Central
36. Nie, J, Li, Q, Wu, J, Zhao, C, Hao, H, Liu, H, et al.. Quantification of SARS-CoV-2 neutralizing antibody by a pseudotyped virus-based assay. Nat Protoc 2020;15:3699–715. https://doi.org/10.1038/s41596-020-0394-5.Search in Google Scholar PubMed
37. Favresse, J, Douxfils, J, Henry, B, Lippi, G, Plebani, M. Clinical Chemistry and Laboratory Medicine celebrates 60 years – narrative review devoted to the contribution of the journal to the diagnosis of SARS-CoV-2. Clin Chem Lab Med 2022;61:811–21.10.1515/cclm-2022-1166Search in Google Scholar PubMed
38. Assawakosri, S, Kanokudom, S, Suntronwong, N, Auphimai, C, Nilyanimit, P, Vichaiwattana, P, et al.. Neutralizing activities against the Omicron variant after a heterologous booster in healthy adults receiving two doses of CoronaVac vaccination. J Infect Dis 2022;226:1372–81. https://doi.org/10.1093/infdis/jiac092.Search in Google Scholar PubMed
39. Lee, B, Ko, JH, Park, J, Moon, HW, Baek, JY, Jung, S, et al.. Estimating the neutralizing effect and titer correlation of semi-quantitative anti-SARS-CoV-2 antibody immunoassays. Front Cell Infect Microbiol 2022;12:822599. https://doi.org/10.3389/fcimb.2022.822599.Search in Google Scholar PubMed PubMed Central
40. Valcourt, EJ, Manguiat, K, Robinson, A, Chen, JC, Dimitrova, K, Philipson, C, et al.. Evaluation of a commercially-available surrogate virus neutralization test for severe acute respiratory syndrome coronavirus-2 (SARS-CoV-2). Diagn Microbiol Infect Dis 2021;99:115294. https://doi.org/10.1016/j.diagmicrobio.2020.115294.Search in Google Scholar PubMed PubMed Central
41. Alsoussi, WB, Turner, JS, Case, JB, Zhao, H, Schmitz, AJ, Zhou, JQ, et al.. A potently neutralizing antibody protects mice against SARS-CoV-2 infection. J Immunol 2020;205:915–22. https://doi.org/10.4049/jimmunol.2000583.Search in Google Scholar PubMed PubMed Central
42. Chi, X, Guo, Y, Zhang, G, Sun, H, Zhang, J, Li, M, et al.. Broadly neutralizing antibodies against Omicron-included SARS-CoV-2 variants induced by vaccination. Signal Transduct Targeted Ther 2022;7:139. https://doi.org/10.1038/s41392-022-00987-z.Search in Google Scholar PubMed PubMed Central
43. Gattinger, P, Niespodziana, K, Stiasny, K, Sahanic, S, Tulaeva, I, Borochova, K, et al.. Neutralization of SARS-CoV-2 requires antibodies against conformational receptor-binding domain epitopes. Allergy 2022;77:230–42. https://doi.org/10.1111/all.15066.Search in Google Scholar PubMed PubMed Central
44. Ramos, A, Cardoso, MJ, Ribeiro, L, Guimaraes, JT. Assessing SARS-CoV-2 neutralizing antibodies after BNT162b2 vaccination and their correlation with SARS-CoV-2 IgG anti-S1, anti-RBD and anti-S2 serological titers. Diagnostics (Basel) 2022;12:205. https://doi.org/10.3390/diagnostics12010205.Search in Google Scholar PubMed PubMed Central
45. Kitagawa, Y, Imai, K, Matsuoka, M, Fukada, A, Kubota, K, Sato, M, et al.. Evaluation of the correlation between the access SARS-CoV-2 IgM and IgG II antibody tests with the SARS-CoV-2 surrogate virus neutralization test. J Med Virol 2022;94:335–41. https://doi.org/10.1002/jmv.27338.Search in Google Scholar PubMed PubMed Central
46. Nam, M, Seo, JD, Moon, HW, Kim, H, Hur, M, Yun, YM. Evaluation of humoral immune response after SARS-CoV-2 vaccination using two binding antibody assays and a neutralizing antibody assay. Microbiol Spectr 2021;9:e0120221. https://doi.org/10.1128/spectrum.01202-21.Search in Google Scholar
47. Kohmer, N, Rabenau, HF, Ciesek, S, Kramer, BK, Gottmann, U, Keller, C, et al.. Heterologous immunization with BNT162b2 followed by mRNA-1273 in dialysis patients: seroconversion and presence of neutralizing antibodies. Nephrol Dial Transplant 2022;37:1132–9. https://doi.org/10.1093/ndt/gfac018.Search in Google Scholar PubMed PubMed Central
48. Feng, S, Phillips, DJ, White, T, Sayal, H, Aley, PK, Bibi, S, et al.. Correlates of protection against symptomatic and asymptomatic SARS-CoV-2 infection. Nat Med 2021;27:2032–40. https://doi.org/10.1038/s41591-021-01540-1.Search in Google Scholar PubMed PubMed Central
49. Chapuy-Regaud, S, Miedouge, M, Abravanel, F, Da Silva, I, Porcheron, M, Fillaux, J, et al.. Evaluation of three quantitative Anti-SARS-CoV-2 antibody immunoassays. Microbiol Spectr 2021;9:e0137621. https://doi.org/10.1128/spectrum.01376-21.Search in Google Scholar PubMed PubMed Central
50. Resman Rus, K, Korva, M, Knap, N, Avsic Zupanc, T, Poljak, M. Performance of the rapid high-throughput automated electrochemiluminescence immunoassay targeting total antibodies to the SARS-CoV-2 spike protein receptor binding domain in comparison to the neutralization assay. J Clin Virol 2021;139:104820. https://doi.org/10.1016/j.jcv.2021.104820.Search in Google Scholar PubMed PubMed Central
51. Dimeglio, C, Herin, F, Martin-Blondel, G, Miedouge, M, Izopet, J. Antibody titers and protection against a SARS-CoV-2 infection. J Infect 2022;84:248–88. https://doi.org/10.1016/j.jinf.2021.09.013.Search in Google Scholar PubMed PubMed Central
52. Springer, DN, Perkmann, T, Jani, CM, Mucher, P, Pruger, K, Marculescu, R, et al.. Reduced sensitivity of commercial spike-specific antibody assays after primary infection with the SARS-CoV-2 omicron variant. Microbiol Spectr 2022;10:e0212922. https://doi.org/10.1128/spectrum.02129-22.Search in Google Scholar PubMed PubMed Central
53. McCallum, M, Czudnochowski, N, Rosen, LE, Zepeda, SK, Bowen, JE, Walls, AC, et al.. Structural basis of SARS-CoV-2 Omicron immune evasion and receptor engagement. Science 2022;375:864–8. https://doi.org/10.1126/science.abn8652.Search in Google Scholar PubMed PubMed Central
54. Suntronwong, N, Assawakosri, S, Kanokudom, S, Yorsaeng, R, Auphimai, C, Thongmee, T, et al.. Strong correlations between the binding antibodies against Wild-type and neutralizing antibodies against Omicron BA.1 and BA.2 variants of SARS-CoV-2 in individuals following booster (third-dose) vaccination. Diagnostics (Basel) 2022;12:1781. https://doi.org/10.3390/diagnostics12081781.Search in Google Scholar PubMed PubMed Central
55. Bergwerk, M, Gonen, T, Lustig, Y, Amit, S, Lipsitch, M, Cohen, C, et al.. Covid-19 breakthrough infections in vaccinated health care workers. N Engl J Med 2021;385:1474–84. https://doi.org/10.1056/nejmoa2109072.Search in Google Scholar PubMed PubMed Central
56. McMahan, K, Yu, J, Mercado, NB, Loos, C, Tostanoski, LH, Chandrashekar, A, et al.. Correlates of protection against SARS-CoV-2 in rhesus macaques. Nature 2021;590:630–4. https://doi.org/10.1038/s41586-020-03041-6.Search in Google Scholar PubMed PubMed Central
57. Saker, K, Escuret, V, Pitiot, V, Massardier-Pilonchery, A, Paul, S, Mokdad, B, et al.. Evaluation of commercial anti-SARS-CoV-2 antibody assays and comparison of standardized titers in vaccinated health care workers. J Clin Microbiol 2022;60:e0174621. https://doi.org/10.1128/jcm.01746-21.Search in Google Scholar PubMed PubMed Central
58. Giavarina, D, Carta, M. Improvements and limits of anti SARS-CoV-2 antibodies assays by WHO (NIBSC 20/136) standardization. Diagnosis (Berl) 2021;9:274–9. https://doi.org/10.1515/dx-2021-0126.Search in Google Scholar PubMed
59. Zhuo, R, Charlton, C, Plitt, S, Thompson, LA, Braun, S, Day, J, et al.. Comparison of SARS-CoV-2 spike antibody quantitative titer reporting using the World Health Organization International Standard Units by four commercial assays. J Clin Virol 2022;156:105292. https://doi.org/10.1016/j.jcv.2022.105292.Search in Google Scholar PubMed PubMed Central
60. Tuekprakhon, A, Nutalai, R, Dijokaite-Guraliuc, A, Zhou, D, Ginn, HM, Selvaraj, M, et al.. Antibody escape of SARS-CoV-2 Omicron BA.4 and BA.5 from vaccine and BA.1 serum. Cell 2022;185:2422–33e13. https://doi.org/10.1016/j.cell.2022.06.005.Search in Google Scholar PubMed PubMed Central
61. Khan, K, Karim, F, Ganga, Y, Bernstein, M, Jule, Z, Reedoy, K, et al.. Omicron BA.4/BA.5 escape neutralizing immunity elicited by BA.1 infection. Nat Commun 2022;13:4686. https://doi.org/10.1038/s41467-022-32396-9.Search in Google Scholar PubMed PubMed Central
© 2023 Walter de Gruyter GmbH, Berlin/Boston
Articles in the same Issue
- Frontmatter
- Editorial
- Laboratory Medicine: from just testing to saving lives
- Reviews
- Serum biomarkers of remodeling in severe asthma with fixed airway obstruction and the potential role of KL-6
- Safety monitoring of drug-induced muscle injury and rhabdomyolysis: a biomarker-guided approach for clinical practice and drug trials
- Mini Review
- Concise review on the combined use of immunocapture, mass spectrometry and liquid chromatography for clinical applications
- Opinion Paper
- Recommendation for the design of stability studies on clinical specimens
- General Clinical Chemistry and Laboratory Medicine
- Assessment of WHO 07/202 reference material and human serum pools for commutability and for the potential to reduce variability among soluble transferrin receptor assays
- veRification: an R Shiny application for laboratory method verification and validation
- Impact of storage temperature and time before analysis on electrolytes (Na+, K+, Ca2+), lactate, glucose, blood gases (pH, pO2, pCO2), tHb, O2Hb, COHb and MetHb results
- The stability of blood gases and CO-oximetry under slushed ice and room temperature conditions
- Elevated levels of renal function tests conferred increased risks of developing various pregnancy complications and adverse perinatal outcomes: insights from a population-based cohort study
- Poor comparability of plasma renin activity measurement in determining patient samples: the status quo and recommendations for harmonization
- Salivary cortisol and cortisone in diagnosis of Cushing’s syndrome – a comparison of six different analytical methods
- Improved diagnostics of purine and pyrimidine metabolism disorders using LC-MS/MS and its clinical application
- Analytical evaluation of a GAD65 antibodies chemiluminescence immunoassay for CSF in neurological syndromes
- Reference Values and Biological Variations
- Evaluation of low-density lipoprotein cholesterol equations by cross-platform assessment of accuracy-based EQA data against SI-traceable reference value
- Highly sensitive tandem mass spectrometric measurement of serum estradiol without derivatization and pediatric reference intervals in children and adolescents
- Cancer Diagnostics
- Practical delta check limits for tumour markers in different clinical settings
- Comparison between free β subunit of human chorionic gonadotropin (hCG) and total hCG assays in adults with testicular cancer
- Hematology and Coagulation
- Value of monocyte distribution width for predicting severe cholecystitis: a retrospective cohort study
- Performance of digital morphology analyzer Medica EasyCell assistant
- Validation of non-invasive point of care blood content analysis using the TensorTip™ MTX device: a method comparison study
- Infectious Diseases
- Kinetics and ability of binding antibody and surrogate virus neutralization tests to predict neutralizing antibodies against the SARS-CoV-2 Omicron variant following BNT162b2 booster administration
- Letters to the Editor
- The first case of VEXAS syndrome in Austria
- Acetylcholine receptor and muscle-specific tyrosine kinase antibodies detection: is it time for a change?
- Performance of the 2009 CKDEPI, 2021 CKDEPI, and EKFC equations among high-risk patients in Denmark
- Biotin interference in immunoassays: water under the bridge?
- The new synthetic benzimidazole opioid etonitazepipne: an emerging fatal harm and a challenge for laboratory medicine
- Unexplained increase of serum carcinoembryonic antigen: don’t forget the thyroid!
- Falsely elevated cortisol serum levels in preterm infants due to use of immunoassay
- Misdiagnosis of Hb Bart’s disease: prenatal screening and diagnosis of thalassemia in special population
Articles in the same Issue
- Frontmatter
- Editorial
- Laboratory Medicine: from just testing to saving lives
- Reviews
- Serum biomarkers of remodeling in severe asthma with fixed airway obstruction and the potential role of KL-6
- Safety monitoring of drug-induced muscle injury and rhabdomyolysis: a biomarker-guided approach for clinical practice and drug trials
- Mini Review
- Concise review on the combined use of immunocapture, mass spectrometry and liquid chromatography for clinical applications
- Opinion Paper
- Recommendation for the design of stability studies on clinical specimens
- General Clinical Chemistry and Laboratory Medicine
- Assessment of WHO 07/202 reference material and human serum pools for commutability and for the potential to reduce variability among soluble transferrin receptor assays
- veRification: an R Shiny application for laboratory method verification and validation
- Impact of storage temperature and time before analysis on electrolytes (Na+, K+, Ca2+), lactate, glucose, blood gases (pH, pO2, pCO2), tHb, O2Hb, COHb and MetHb results
- The stability of blood gases and CO-oximetry under slushed ice and room temperature conditions
- Elevated levels of renal function tests conferred increased risks of developing various pregnancy complications and adverse perinatal outcomes: insights from a population-based cohort study
- Poor comparability of plasma renin activity measurement in determining patient samples: the status quo and recommendations for harmonization
- Salivary cortisol and cortisone in diagnosis of Cushing’s syndrome – a comparison of six different analytical methods
- Improved diagnostics of purine and pyrimidine metabolism disorders using LC-MS/MS and its clinical application
- Analytical evaluation of a GAD65 antibodies chemiluminescence immunoassay for CSF in neurological syndromes
- Reference Values and Biological Variations
- Evaluation of low-density lipoprotein cholesterol equations by cross-platform assessment of accuracy-based EQA data against SI-traceable reference value
- Highly sensitive tandem mass spectrometric measurement of serum estradiol without derivatization and pediatric reference intervals in children and adolescents
- Cancer Diagnostics
- Practical delta check limits for tumour markers in different clinical settings
- Comparison between free β subunit of human chorionic gonadotropin (hCG) and total hCG assays in adults with testicular cancer
- Hematology and Coagulation
- Value of monocyte distribution width for predicting severe cholecystitis: a retrospective cohort study
- Performance of digital morphology analyzer Medica EasyCell assistant
- Validation of non-invasive point of care blood content analysis using the TensorTip™ MTX device: a method comparison study
- Infectious Diseases
- Kinetics and ability of binding antibody and surrogate virus neutralization tests to predict neutralizing antibodies against the SARS-CoV-2 Omicron variant following BNT162b2 booster administration
- Letters to the Editor
- The first case of VEXAS syndrome in Austria
- Acetylcholine receptor and muscle-specific tyrosine kinase antibodies detection: is it time for a change?
- Performance of the 2009 CKDEPI, 2021 CKDEPI, and EKFC equations among high-risk patients in Denmark
- Biotin interference in immunoassays: water under the bridge?
- The new synthetic benzimidazole opioid etonitazepipne: an emerging fatal harm and a challenge for laboratory medicine
- Unexplained increase of serum carcinoembryonic antigen: don’t forget the thyroid!
- Falsely elevated cortisol serum levels in preterm infants due to use of immunoassay
- Misdiagnosis of Hb Bart’s disease: prenatal screening and diagnosis of thalassemia in special population