Abstract
Objectives
Many biomarkers have been studied to assist in the risk stratification and prognostication of patients infected with severe acute respiratory syndrome coronavirus 2 (SARS-CoV-2). Procalcitonin (PCT), a circulating precursor of the hormone calcitonin, has been studied with mixed results as a predictor of severe coronavirus disease 2019 (COVID-19) in the general population; however, to date, no studies have focused on the utility of PCT in predicting disease severity and death from COVID-19 in the cancer population.
Methods
We conducted a retrospective study of cancer patients hospitalized with COVID-19 at a comprehensive cancer center over a 10-month period who had PCT recorded on admission. We assessed associations between variables of clinical interest and the primary outcomes of progression of COVID-19 and death during or within 30 days of hospitalization using univariable and multivariable logistic regression.
Results
The study included 209 unique patients. In the univariate analysis, elevated PCT on admission was associated with higher odds of progression of COVID-19 or death (Odds ratio [OR] 1.40, 95% CI 1.08–1.93) and mortality alone (OR 1.53, 95% CI 1.17–2.11). In multivariate regression, PCT remained significantly associated with progression or death after holding chronic kidney disease (CKD) status constant (OR 1.40, 95% CI: 1.08, 1.93, p=0.003). Similarly, the association of PCT and death remained significant after adjusting for age (OR 1.54, 95% CI: 1.17–2.15).
Conclusions
In hospitalized COVID-19 patients with underlying cancer, initial PCT levels on admission may be associated with prognosis, involving higher odds of progression of COVID-19 and/or mortality.
Introduction
The coronavirus disease 2019 (COVID-19) pandemic and resulting pressures on hospital resources have fostered efforts to identify laboratory tests for patient risk-stratification. Acute-phase reactants and inflammatory markers such as C-reactive protein (CRP), D-dimer, lymphocyte and neutrophil count, interleukin 6, procalcitonin (PCT), and others have been associated with acute COVID-19 infection [1], though their clinical role remains largely unclear.
PCT, an acute phase reactant that is often up regulated in bacterial infections [2, 3], has historically been utilized as a serum biomarker that guides antibiotic stewardship for patients with sepsis and bacterial pneumonia, thus improving outcomes across patient populations worldwide [4]. PCT possesses a wide array of potential applications, making it difficult to discern appropriate use and interpretation of the laboratory marker. Sager et al. suggests how PCT can aid in risk-stratification even in settings where patients do not have underlying infections, particularly in the general emergency department patient population [5]. Studies suggest that PCT correlates with the severity of COVID-19 infection in the general population [6, 7], where elevated PCT at or above 0.5 μg/L is highly predictive of severe disease at the time of collection [8]. Its clinical use as a prognostic tool in the COVID population remains less clear. Systemic reviews show that PCT may predict severe disease and mortality [6, 9], but also note its poor sensitivity, undetermined clinical utility, and unclear cost-benefit ratio of its implementation. One study concludes that CRP and IL-6 perform better than PCT at predicting patients who develop severe disease [10].
COVID-19 in patients with cancer is particularly virulent, with high rates of hospitalization and poor outcomes [11]. Determining prognostic markers for this population may help risk-stratify patients early in their disease course to prioritize patients for interventions, including more intensive care. While PCT may aid in the prognosis of patients with COVID-19 in the general population, its utility among cancer patients is less clear. Some cancers themselves can cause elevations in PCT. These include neuroendocrine lung cancer [12], medullary thyroid carcinoma [13], prostate cancer [14], and generalized metastatic disease [15]. PCT levels in cancer patients may have poor sensitivity and specificity for the detection of bacteremia, an indication for which PCT has been thoroughly studied in the general population [16]. One recent study at our cancer institution suggests a higher cut-off level of PCT is needed to differentiate between cancer patients who subsequently have positive or negative blood cultures than for the general population [17]. Studies have even illustrated that PCT levels remain more elevated in non-malignant, chronic diseases, such as in patients with renal failure, due to various proposed mechanisms that affect PCT kinetics. In contrast to cancer patients, however, PCT’s function to guide antibiotic stewardship in this population remains intact [Heilmann 2020].
There have been studies of prognostic markers for severe disease and death among cancer patients infected with SARS-CoV-2. One study found that an age of greater than 65 years and the use of immune checkpoint inhibitors were predictors of hospitalization and severe disease [11]. Another study identified advanced age, male gender, hypertension, and cardiovascular disease as risk factors for mortality among COVID-19 patients with cancer [18]. The extent to which these factors can or should influence care delivery is unknown.
We report results from a retrospective study of all cancer patients who were admitted to our institution with COVID-19 from February 1, 2020, to November 20, 2020, in whom PCT was checked on admission. We evaluated the severity of COVID-19 for these patients on admission and associations of admission PCT with clinical outcomes of progression of COVID-19 and mortality, to assess the predictive value of PCT in cancer patients with COVID-19.
Materials and methods
Subjects and study design
This single center, retrospective cohort study was conducted at Memorial Sloan Kettering Cancer Center (MSKCC) located in New York City, New York. We included cancer patients at least 18 years old, who were diagnosed with COVID-19 by real time reverse transcriptase polymerase chain reaction (RT-PCR) through nasopharyngeal swabs, according to the protocol of the Centers for Disease Control and Prevention (CDC), and as described by Robilotti et al. [11, 19, 20]. Patients who were admitted between February 1, 2020, and November 20, 2020, and who had serum procalcitonin measurements obtained within 24 h of admission were included.
We queried the institution’s electronic medical record (EMR) for a list of these patients. We excluded patients who did not have a diagnosis of cancer or for whom PCT was not checked within 24 h of admission. We used ICD-10 codes to identify co-morbidities including hypertension, chronic kidney disease (CKD), heart failure/cardiomyopathies, chronic obstructive pulmonary disease (COPD) and asthma. We further queried the EMR for demographic information, laboratory results, and cancer diagnoses and treatments. Chart review of individual patients was performed whenever query information was unclear or conflicting.
Study definitions
Severity of COVID-19 disease was defined according to the National Institutes of Health (NIH) COVID-19 Treatment Guidelines into four categories—mild, moderate, severe, and critical illness, based on clinical status on the day of admission [21]. Mild disease is defined in patients who have non-respiratory and minor symptoms and do not require supplemental oxygen or hospitalization. These patients were excluded from our study, which included only hospitalized patients. Hospitalized patients with oxygen saturation greater than or equal to 94% on room air are categorized as having moderate disease, those with oxygen saturation less than 94% or requiring supplemental oxygen are categorized as having severe illness, and patients requiring invasive ventilation are categorized as having critical disease. We further divided severe disease into low-flow oxygen severe disease (nasal cannula delivery of 1–6 L) or high-flow oxygen. The latter category includes use of a high-flow nasal cannula, non-rebreather mask, face mask, or non-invasive ventilation such as bilevel positive airway pressure (BiPAP).
We defined a progression event of COVID-19 as the advancement of COVID-19 severity from moderate or severe disease on the day of initial hospital admission to severe/critical disease or critical disease, respectively. We defined mortality as death during the initial hospitalization for COVID-19 or within 30 days of discharge.
Statistical methods
We characterized the study cohort using descriptive statistics, including frequencies, medians, and ranges. Demographic characteristics were compared between patients admitted with moderate COVID-19 vs. those admitted with severe or critical COVID-19 using Pearson’s Chi-squared test, Fisher’s exact test and the Wilcoxon rank sum test. We evaluated two primary outcomes, the first a subset of the second: 1. Mortality and 2. Progression of COVID-19 or mortality.
Univariable and multivariable logistic regression were used to estimate odds ratios (OR) and 95% confidence intervals (CI) for the association between variables of interest and each primary outcome. The following predictors were included in the univariate logistic regression models: gender, age, race, ethnicity, BMI, smoking status, diabetes status, hypertension status, chronic kidney disease status, solid vs. liquid malignancy, cardiomyopathy status, COPD status, asthma status, receipt of chemo/ICI within 30 days of first hospital admission, and lab values taken on day of admission, including procalcitonin level, systolic blood pressure on admission, WBC, absolute lymphocyte and absolute neutrophil. These predictors were included due to their prior association with affecting outcomes related to COVID-19. Predictors with a univariable p-value of less than 0.05 were included in the multivariable logistic regression models. Odds ratios for PCT were based off increased units of μg/L. While modeled as a continuous variable in the former models, PCT was separately dichotomized at two clinically informed cutoff points to assess the ability of PCT to predict death or progression of disease at such levels using sensitivity, specificity and positive predicted value (PPV). Receiver operating characteristics (ROC) curves and corresponding area under the curve (AUC) measures were used to evaluate the predictive value of procalcitonin, measured as a continuous variable, on death and progression of COVID-19 severity. Statistical analysis was performed using R version 4.0.3.
Results
Study cohort characteristics by COVID-19 status on admission
We identified 229 patients out of a total of 493 patients who were admitted to MSKCC with COVID-19 between February 1, 2020, and November 20, 2020, and had PCT checked during hospitalization. We excluded 18 patients without cancer and two patients for whom PCT was not checked within 24 h of admission, leaving a total of 209 patients (42.4% of the initial 493 patients; 95 female and 114 male) for analysis. Demographic characteristics, past medical history, and initial clinical data at the time of admission are summarized in Table 1. All patients had either moderate (n=87) or severe/critical (n=122) disease. The median age for the study cohort was 67 years old, with 115 patients at least 65 years old. This age group was significantly more likely (66% compared to 34% for patients less than 65 years old) to present with severe or critical illness, as compared to moderate illness (p<0.001).
Patient characteristics.
| Characteristic | Overall, n=209a | High procalcitonin on admission (≥0.15 μg/L), n=107a | Low procalcitonin on admission (<0.15 μg/L), n=102a | p-Valueb |
|---|---|---|---|---|
| Age at admission, years | 67 (19, 91) | 68 (37, 91) | 64 (19, 91) | |
| Age at admission (grouped) | 0.088 | |||
| <65 years | 94 (45%) | 42 (39%) | 52 (51%) | |
| ≥65 years | 115 (55%) | 65 (61%) | 50 (49%) | |
| Gender | 0.065 | |||
| Female | 95 (45%) | 42 (39%) | 53 (52%) | |
| Male | 114 (55%) | 65 (61%) | 49 (48%) | |
| Race | 0.2 | |||
| White | 120 (57%) | 55 (51%) | 65 (64%) | |
| Black/African American | 42 (20%) | 22 (21%) | 20 (20%) | |
| Asian/East Asian | 13 (6.2%) | 7 (6.5%) | 6 (5.9%) | |
| Unknown/other | 34 (16%) | 23 (21%) | 11 (11%) | |
| Ethnicity | 0.6 | |||
| Hispanic/Latino | 38 (18%) | 22 (21%) | 16 (16%) | |
| Not Hispanic | 161 (77%) | 80 (75%) | 81 (79%) | |
| Unknown/other | 10 (4.8%) | 5 (4.7%) | 5 (4.9%) | |
| BMI, kg/m2 | 28 (15, 55) | 28 (16, 51) | 28 (15, 55) | 0.6 |
| Unknown | 4 | 3 | 1 | |
| Solid vs. liquid malignancy | >0.9 | |||
| Both solid and liquid malignancies | 19 (9.1%) | 9 (8.4%) | 10 (9.8%) | |
| Liquid malignancy | 63 (30%) | 32 (30%) | 31 (30%) | |
| Solid malignancy | 127 (61%) | 66 (62%) | 61 (60%) | |
| Primary cancer | ||||
| Breast | 20 (9.6%) | 7 (6.5%) | 13 (13%) | |
| Genitourinary | 20 (9.6%) | 13 (12%) | 7 (6.9%) | |
| Leukemia | 13 (6.2%) | 10 (9.3%) | 3 (2.9%) | |
| Lung | 18 (8.6%) | 7 (6.5%) | 11 (11%) | |
| Lymphoma | 32 (15%) | 12 (11%) | 20 (20%) | |
| Multiple liquid | 7 (3.3%) | 4 (3.7%) | 3 (2.9%) | |
| Multiple solid | 18 (8.6%) | 6 (5.6%) | 12 (12%) | |
| Multiple solid/liquid | 19 (9.1%) | 9 (8.4%) | 10 (9.8%) | |
| Myeloma | 10 (4.8%) | 6 (5.6%) | 4 (3.9%) | |
| Other liquid | 1 (0.5%) | 0 (0%) | 1 (1.0%) | |
| Other solid | 51 (24%) | 33 (31%) | 18 (18%) | |
| Smoking status | ||||
| Current smoker | 7 (3.3%) | 4 (3.7%) | 3 (2.9%) | 0.7 |
| Former smoker | 96 (46%) | 52 (49%) | 44 (43%) | |
| Never smoker | 106 (51%) | 51 (48%) | 55 (54%) | |
| Diabetes status | 68 (33%) | 43 (40%) | 25 (25%) | |
| Hypertension status | 144 (69%) | 84 (79%) | 60 (59%) | 0.016 |
| Chronic kidney disease status | 44 (21%) | 32 (30%) | 12 (12%) | 0.002 |
| Heart failure/cardiomyopathy status | 28 (13%) | 20 (19%) | 8 (7.8%) | 0.001 |
| COPD status | 25 (12%) | 9 (8.4%) | 16 (16%) | 0.021 |
| Asthma status | 25 (12%) | 15 (14%) | 10 (9.8%) | 0.11 |
| Chemo or ICI within 30 days of admission | 70 (33%) | 41 (38%) | 29 (28%) | 0.3 |
| ICI within 30 days of admission | 9 (4.3%) | 8 (7.5%) | 1 (1.0%) | 0.13 |
| Systolic blood pressure on Admission | 123 (110, 139) | 124 (109, 138) | 123 (112, 140) | 0.036 |
| Unknown | 2 | 1 | 1 | 0.7 |
| WBC on admission (grouped) (103 cells/μL) | ||||
| <4 | 43 (21%) | 18 (17%) | 25 (25%) | 0.007 |
| 4–12 | 133 (64%) | 64 (60%) | 69 (68%) | |
| >12 | 33 (16%) | 25 (23%) | 8 (7.8%) | |
| Absolute lymph on admission (grouped) (103 cells/μL) | 0.8 | |||
| <1.1 | 144 (70%) | 72 (69%) | 72 (71%) | |
| ≥1.1 | 62 (30%) | 32 (31%) | 30 (29%) | |
| Unknown | 3 | 3 | 0 | |
| Highest oxygen therapy device used during 1st admission | 0.002 | |||
| Room air | 61 (29%) | 21 (20%) | 40 (39%) | |
| Low flow | 55 (26%) | 26 (24%) | 29 (28%) | |
| High flow | 54 (26%) | 33 (31%) | 21 (21%) | |
| Vent | 39 (19%) | 27 (25%) | 12 (12%) | |
| Absolute neutrophil on admission (grouped) (103 cells/μL) | 0.036 | |||
| <0.5 | 4 (1.9%) | 2 (1.9%) | 2 (2.0%) | |
| 0.5–6.5 | 144 (70%) | 65 (62%) | 79 (77%) | |
| >6.5 | 58 (28%) | 37 (36%) | 21 (21%) | |
| Unknown | 3 | 3 | 0 | 0.046 |
| Received antibiotics within 2 days of admission | 189 (90%) | 101 (94%) | 88 (86%) | 0.5 |
| Positive blood culture within 1 day of procalcitonin | 9 (4.3%) | 6 (5.6%) | 3 (2.9%) | 0.2 |
| Positive sputum culture within 1 day of procalcitonin | 3 (1.4%) | 3 (2.8%) | 0 (0%) | 0.12 |
| COVID-19 status | ||||
| Moderate | 87 (42%) | 39 (36%) | 48 (47%) | 0.7 |
| Severe/critical | 122 (58%) | 68 (64%) | 54 (53%) |
-
aMedian (range), n (%), median (IQR). bPearson’s Chi-squared test, Fisher’s exact test, Wilcoxon rank sum test. Bolded p-values correspond to statistical significance.
Most patients were Caucasian (57%) and had a solid (61%) compared to a liquid (30%) malignancy or both (9%). The average (range) body mass index (BMI) was 28 kg/m2 (BMI range 15–55 kg/m2), with no significant difference in BMI between patients presenting with moderate compared to severe/critical COVID-19. Systolic blood pressure was similar in patients with moderate and severe/critical COVID-19 (122 vs. 125 mmHg, p>0.9). The median PCT level on admission was 0.15 μg/L (95% CI: 0.07, 0.37), with no difference based on disease severity. Very few patients (1.9%) presented with severe neutropenia.
Logistic regression for progression/death of COVID-19
Thirty-six percent of the study cohort (n=75) either progressed to a more severe form of COVID-19 or died during the hospitalization or within 30 days of discharge. In the univariate analysis, PCT on hospital admission and CKD were significantly associated with progression of disease, with ORs of 1.40 (95% CI: 1.08, 1.93, p<0.005) and 2.11 (95% CI: 1.07, 4.17, p=0.03), respectively (Table 2). Gender, age, race, and ethnicity were not significantly associated with progression of disease by univariate analysis. Several baseline clinical characteristics, such as white blood cell, neutrophil, and leukocyte counts, as well as blood pressure and BMI on admission, were not significantly associated with progression of disease, either. Additional covariates are outlined in Table 2.
Univariate logistic regression results for progression/death during 1st admission or within 30 days of discharge.
| Characteristic | n=209a | n (%)b | ORc | 95% CIc | p-Value |
|---|---|---|---|---|---|
| Number (%) of progressions/mortalities | 75 (36%) | ||||
| Gender | 0.37 | ||||
| Female | 95 | – | – | ||
| Male | 114 | 1.30 | 0.73, 2.31 | ||
| Age | 209 | 1.02 | 0.99, 1.04 | 0.16 | |
| Age (±65 years) | 0.43 | ||||
| <65 years | 94 | – | – | ||
| ≥65 years | 115 | 1.26 | 0.71, 2.24 | ||
| Diabetes status | 0.43 | ||||
| No diabetes | 141 | – | – | ||
| Diabetes | 68 | 1.28 | 0.70, 2.32 | ||
| Hypertension status | 0.093 | ||||
| No hypertension | 65 | – | – | ||
| Hypertension | 144 | 1.71 | 0.92, 3.30 | ||
| Chronic kidney disease status | 0.030 | ||||
| No chronic kidney disease | 165 | – | – | ||
| Chronic kidney disease | 44 | 2.11 | 1.07, 4.17 | ||
| Race | 0.40 | ||||
| White | 120 | – | – | ||
| Black/African American | 42 | 0.75 | 0.34, 1.56 | ||
| Asian/East Asian | 13 | 1.94 | 0.61, 6.39 | ||
| Unknown/other | 34 | 0.69 | 0.29, 1.55 | ||
| Ethnicity | 0.41 | ||||
| Not Hispanic | 161 | – | – | ||
| Hispanic/Latino | 38 | 0.76 | 0.35, 1.58 | ||
| Unknown/other | 10 | 0.41 | 0.06, 1.70 | ||
| BMI | 209 | 0.99 | 0.94, 1.03 | 0.52 | |
| Unknown | 4 | ||||
| Procalcitonin on day of admission | 209 | 1.40 | 1.08, 1.93 | 0.003 | |
| Liquid malignancy (vs. solid) | 82 | 1.36 | 0.76, 2.43 | 0.29 | |
| Current/former smoker (vs. never smoker) | 103 | 1.18 | 0.67, 2.09 | 0.56 | |
| Heart failure/cardiomyopathy | 28 | 1.66 | 0.74, 3.72 | 0.22 | |
| COPD status | 25 | 1.01 | 0.41, 2.36 | 0.99 | |
| Asthma status | 25 | 1.47 | 0.62, 3.43 | 0.37 | |
| Chemo/ICI within 30 days of first hospital admission | 70 | 1.09 | 0.59, 1.97 | 0.79 | |
| Systolic blood pressure on admission | 209 | 1.00 | 0.99, 1.01 | 0.89 | |
| Unknown | 2 | ||||
| WBC on admission (grouped) (103 cells/μL) | 0.27 | ||||
| 4–12 | 133 | – | – | ||
| <4 | 43 | 0.58 | 0.27, 1.21 | ||
| >12 | 33 | 0.66 | 0.28, 1.46 | ||
| Absolute lymph on admission (grouped) (103 cells/μL) | 0.83 | ||||
| ≥1.1 | 62 | – | – | ||
| <1.1 | 144 | 1.07 | 0.58, 2.03 | ||
| Unknown | 3 | ||||
| Absolute neutrophil on admission (grouped) (103 cells/μL) | 0.68 | ||||
| 0.5–6.5 | 144 | – | – | ||
| <0.5 | 4 | 2.00 | 0.23, 17.1 | ||
| >6.5 | 58 | 1.22 | 0.64, 2.29 | ||
| Unknown | 3 |
-
an (%). bn, no. obs. cOR, odds ratio; CI, confidence interval. Bolded p-values correspond to statistical significance.
On multivariate analysis, higher levels of PCT remained significantly associated with progression/death of COVID-19, after controlling for CKD status (OR 1.40, 95% CI: 1.08, 1.93, p=0.003). After adjusting for PCT on admission, CKD status was no longer statistically significant.
Logistic regression for death from COVID-19
The overall death rate from COVID-19 in our cohort was 22% (46 deaths during the initial hospitalization or within 30 days of discharge). On univariate analysis, increased PCT levels and age were both significantly associated with death, with ORs of 1.53 (95% CI 1.17, 2.11, p<0.001) and 1.03 (95% CI 1.00, 1.06, p<0.05), respectively (Table 3). Common comorbidities, such as diabetes mellitus, hypertension, CKD, COPD, and asthma, and baseline clinical characteristics including BMI, blood pressure and blood counts on admission were not significant predictors of death. Use of chemotherapy or immune checkpoint inhibitors within 30 days of hospital admission was not significantly associated with higher odds of death, either (p=0.44).
Univariate logistic regression results for death during 1st admission or within 30 days of discharge.
| Characteristic | n=209a | n (%)b | ORc | 95% CIc | p-Value |
|---|---|---|---|---|---|
| Number (%) of mortalities | 50 (24%) | ||||
| Gender | 0.93 | ||||
| Female | 95 | – | – | ||
| Male | 114 | 0.97 | 0.51, 1.85 | ||
| Age | 209 | 1.03 | 1.00, 1.06 | 0.033 | |
| Age (±65 years) | 0.14 | ||||
| <65 years | 94 | – | – | ||
| ≥65 years | 115 | 1.63 | 0.85, 3.18 | ||
| Diabetes status | 0.80 | ||||
| No diabetes | 141 | – | – | ||
| Diabetes | 68 | 1.09 | 0.55, 2.12 | ||
| Hypertension status | 0.58 | ||||
| No hypertension | 65 | – | – | ||
| Hypertension | 144 | 1.21 | 0.61, 2.51 | ||
| Chronic kidney disease status | 0.084 | ||||
| No chronic kidney disease | 165 | – | – | ||
| Chronic kidney disease | 44 | 1.92 | 0.91, 3.94 | ||
| Race | 0.60 | ||||
| White | 120 | – | – | ||
| Black/African American | 42 | 0.86 | 0.37, 1.90 | ||
| Asian/East Asian | 13 | 0.50 | 0.07, 1.99 | ||
| Unknown/other | 34 | 0.59 | 0.21, 1.47 | ||
| Ethnicity | 0.31 | ||||
| Not Hispanic | 161 | – | – | ||
| Hispanic/Latino | 38 | 0.64 | 0.24, 1.49 | ||
| Unknown/other | 10 | 0.31 | 0.02, 1.75 | ||
| BMI | 209 | 0.99 | 0.94, 1.04 | 0.63 | |
| Unknown | 4 | ||||
| Procalcitonin on day of admission | 209 | 1.53 | 1.17, 2.11 | <0.001 | |
| Liquid malignancy (vs. solid) | 82 | 1.79 | 0.94, 3.41 | 0.076 | |
| Current/former smoker (vs. never smoker) | 103 | 1.04 | 0.55, 1.97 | 0.91 | |
| Heart failure/cardiomyopathy | 28 | 1.96 | 0.81, 4.51 | 0.13 | |
| COPD status | 25 | 1.00 | 0.35, 2.55 | >0.99 | |
| Asthma status | 25 | 1.59 | 0.61, 3.85 | 0.33 | |
| Chemo/ICI within 30 days of first hospital admission | 70 | 1.30 | 0.66, 2.50 | 0.44 | |
| Systolic blood pressure on admission | 209 | 1.00 | 0.98, 1.01 | 0.68 | |
| Unknown | 2 | ||||
| WBC on admission (grouped) (103 cells/μL) | >0.99 | ||||
| 4–12 | 133 | – | – | ||
| <4 | 43 | 0.96 | 0.41, 2.10 | ||
| >12 | 33 | 1.01 | 0.39, 2.38 | ||
| Absolute lymph on admission (grouped) (103 cells/μL) | 0.36 | ||||
| ≥1.1 | 62 | – | – | ||
| <1.1 | 144 | 0.73 | 0.37, 1.46 | ||
| Unknown | 3 | ||||
| Absolute neutrophil on admission (grouped) (103 cells/μL) | 0.48 | ||||
| 0.5–6.5 | 144 | – | – | ||
| <0.5 | 4 | 3.50 | 0.41, 30.1 | ||
| >6.5 | 58 | 1.11 | 0.53, 2.25 | ||
| Unknown | 3 |
-
an (%). bn, no. obs. cOR, odds ratio; CI, confidence interval. Bolded p-values correspond to statistical significance.
In the multivariate model, both PCT and age remained independently associated with death and sustained significance. (PCT with OR 1.54, 95% CI 1.17, 2.15, p<0.01, age with OR 1.03, 95% CI 1.00, 1.06, p<0.05) (Table 3).
Procalcitonin cut-off analysis
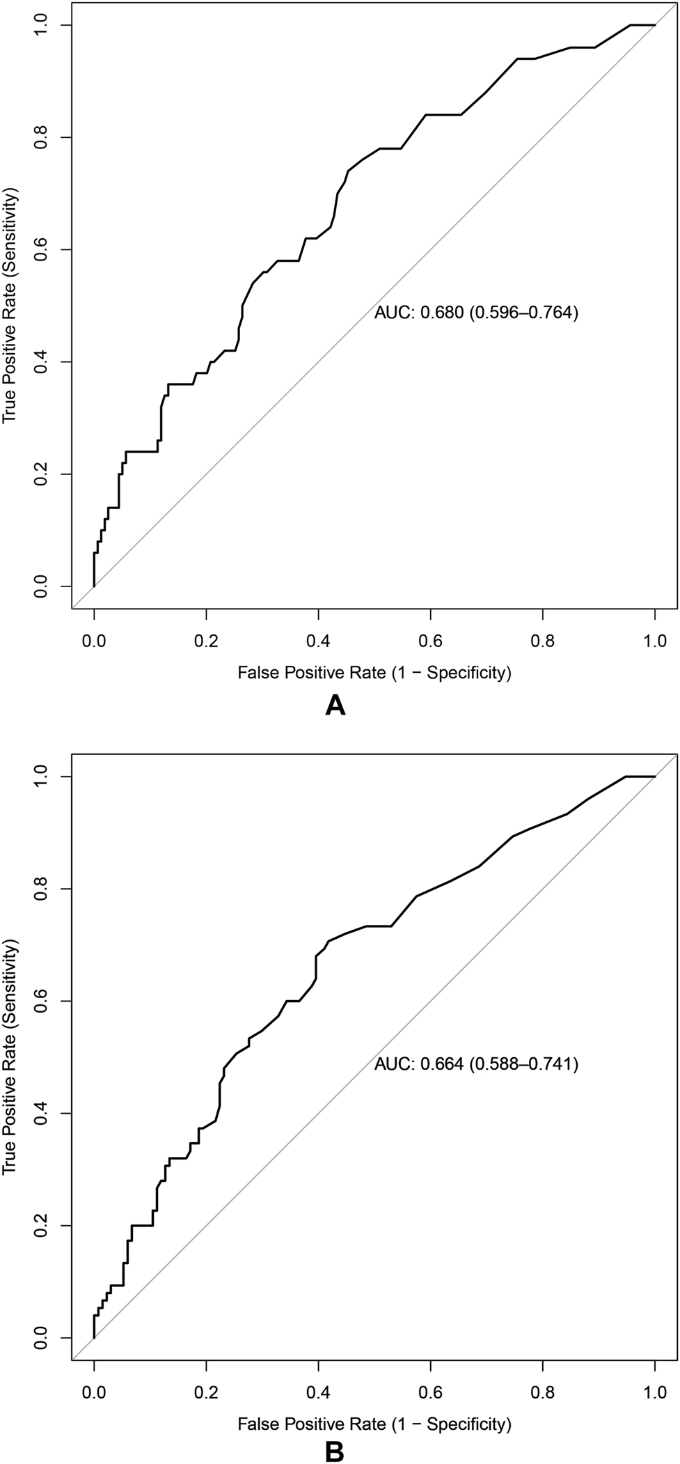
The ability of PCT on hospital admission to predict each outcome was studied with PCT cut-offs of 0.25 and 0.5 μg/L, based on thresholds currently used for PCT algorithms in pneumonia [2, 4, 22] and in prior studies of PCT in COVID-19 patients (Table 4) [23]. For the progression/death endpoint, a PCT cutoff of 0.25 μg/L had a sensitivity of 52.0% and a specificity of 72.4%, with a PPV of 51.3%. This cutoff yielded similar sensitivity and specificity results for mortality (56.0 and 69.8%, respectively), but had a lower PPV of 36.8%. The 0.5 μg/L cutoff resulted in lower sensitivities (32.0% for progression/death and 36.0% for death) and higher specificities of over 80% for both outcomes. These results are summarized in Table 4. When PCT on admission was evaluated on a continuous scale, the AUC for death and progression were 0.68 (95% CI: 0.596, 0.764) and 0.664 (95% CI: 0.588, 0.741), respectively, and are noted in Figure 1A and B.
Procalcitonin (PCT) cutoff analysis.
| Outcome | PCT cutoff, µg/L | Sensitivity, % | Specificity, % | PPV, % |
|---|---|---|---|---|
| Progression or death | 0.25 | 52 | 72.39 | 51.32 |
| 0.50 | 32 | 85.82 | 55.81 | |
| Death | 0.25 | 56 | 69.81 | 36.84 |
| 0.50 | 36 | 84.28 | 41.86 |

Area under the curve (AUC) data. (A) PCT predictive ability for death. (B) PCT predictive ability for progression of COVID-19/death.
Discussion
In our retrospective study, we assessed the prognostic utility of PCT values obtained on admission in cancer patients with COVID-19. We used logistic regression models to quantify associations between PCT, mortality and progression of COVID-19 severity. We found that PCT may predict bad outcomes in cancer patients with COVID-19.
We found that PCT was associated with disease progression and death and that the association persisted in multivariate analysis. The median initial PCT value in our study was higher than median PCT levels noted among hospitalized COVID-19 patients in the general population, which may limit direct comparison with the accuracy of cut-off values in the general population [7].
Of note, our sample of patients hospitalized with COVID-19 was 20% Black and 18% Latinx, which overrepresents minority patients compared to patients treated for other conditions among our general patient population [24, 25]. Our findings related to race/ethnicity suggests an overrepresentation of people of color among those hospitalized with COVID-19 at our institution, which is consistent with widespread findings of greater risk for severe COVID-19 infection in these populations nationally [26, 27].
Our findings regarding generally accepted prognostic factors are interesting. Like studies of the general population, we found that age was predictive of severe disease and death from COVID-19 among patients with cancer [28], [29], [30]. In addition, CKD was associated with both progression of COVID-19 severity and death, which is also consistent with other studies [31, 32]. However, other comorbidities that have been associated with poor COVID-19 outcomes in the general population, including hypertension, heart failure, diabetes, and COPD/asthma, were not predictive in our study [33]. This may be because our study was underpowered, with the small numbers of patients in these sub-groups inadequate to detect real differences. Indeed, there were directional trends toward higher risk of death and progression of COVID-19 among patients in our study with hypertension, heart failure, and asthma. In addition, because all patients had cancer, the contribution of risk conferred by other co-morbidities may be smaller than in the general population. Certain known risk factors for COVID-19 mortality among cancer patients, such as use of immune checkpoint inhibitors, could not be established as risk factors in our population given the small numbers of patients [11]. We also found no significant difference between solid and liquid malignancy types; however, liquid malignancy was directionally associated with death and progression of COVID-19. Findings from other studies regarding differences in mortality between groups of patients with solid and liquid malignancy have been mixed [34], [35], [36], [37].
While higher levels of PCT corresponded to subsequent progression of COVID-19 severity and death in our study, the clinical utility of this finding is unclear. Increased PCT among COVID-19 patients with cancer may reflect a higher rate of bacterial pneumonia and/or bacterial sepsis, both of which increase mortality among cancer patients. Further, given the propensity of certain cancers, including metastatic liver disease [15], to increase PCT levels, the correlation of PCT with poor outcomes may be influenced by a patient’s underlying cancer state. Regardless of the underlying reasons, for PCT to be clinically useful clinicians would need to understand an actionable value at which the patients require more intensive care. In our study, PCT cutoffs of 0.25 and 0.5 both performed remarkably poor as a diagnostic test. The low AUC values noted in Figure 1A and B, which illustrate how PCT relates to death and progression of COVID-19 severity, also demonstrate PCT’s poor diagnostic ability. These findings support that there should be no change in triage or treatment based on PCT level.
There are several limitations to our study. Our findings may not be broadly applicable, as the patients in our study skew older than other similar studies [11, 38] and more Caucasian than the general population of New York City, where our institution is located [39]. There may also be risk for selection bias given that our sample size included only those who had PCT obtained on admission (209 out of a total 493 admitted patients; 42.4%). Our model for disease progression relies on the use of oxygen as a proxy for disease severity; some patients may use nasal cannula oxygen at baseline for comfort or for chronic respiratory illnesses such as COPD or lung cancer, which may bias our identification of disease progression. Lastly, additional risk factors for COVID-19 that are present in the general population were not included in our multivariate analysis, which may limit the generalizability of our findings outside of the cancer patient population.
Despite these limitations, our study provides evidence that higher PCT levels are predictive of progression of COVID-19 disease severity and of death among cancer patients, a finding that has been shown in the general population [6, 8]. However, our study does not support utility of checking PCT in clinical practice. Future and larger studies may better identify ideal cut-offs for PCT in this population and help identify what underlying complications of COVID-19, such as bacterial superinfection, may be best identified with PCT level.
Funding source: National Cancer Institute
Award Identifier / Grant number: P30 CA008748
-
Research funding: The work of all investigators was supported in part by a grant to Memorial Sloan Kettering Cancer Center from the National Cancer Institute (P30 CA008748). The funder had no role in the design, conduct, reporting, or dissemination plans for this study.
-
Author contributions: All authors have accepted responsibility for the entire content of this manuscript and approved its submission.
-
Competing interests: D.K. reports that her spouse has equity interest and serves on the Scientific Advisory Board of Vedanta Biosciences, serves on the Scientific Advisory Board of Opentrons, and provides consulting for Fimbrion. J.W. reports equity interest in Tembo Health.
-
Informed consent: Informed consent was not obtained, which was approved by the local Institutional Review Board. The research conducted involved no more than minimal risk to the participants or their privacy. Minimal risk is defined as the probability and magnitude of harm or discomfort as being no greater than those encountered in daily life or during the performance of routine physical or psychological tests. Data was de-identified. Patients were not contacted during this retrospective research project, only involving chart review.
-
Ethical approval: The research related to human use has complied with all the relevant national regulations, institutional policies, and in accordance with the tenets of the Helsinki Declaration, and has been approved by the authors’ Institutional Review Board.
References
1. Tjendra, Y, Al Mana, AF, Espejo, AP, Akgun, Y, Millan, NC, Gomez-Fernandez, C, et al.. Predicting disease severity and outcome in COVID-19 patients: a review of multiple biomarkers. Arch Pathol Lab Med 2020;144:1465–74. https://doi.org/10.5858/arpa.2020-0471-sa.Search in Google Scholar
2. Rhee, C. Using procalcitonin to guide antibiotic therapy. Open Forum Infect Dis 2017;4:ofw249. https://doi.org/10.1093/ofid/ofw249.Search in Google Scholar PubMed PubMed Central
3. Self, WH, Balk, RA, Grijalva, CG, Williams, DJ, Zhu, Y, Anderson, EJ, et al.. Procalcitonin as a marker of etiology in adults hospitalized with community-acquired pneumonia. Clin Infect Dis 2017;65:183–90. https://doi.org/10.1093/cid/cix317.Search in Google Scholar PubMed PubMed Central
4. Lee, CC, Kwa, ALH, Apisarnthanarak, A, Feng, J-Y, Gluck, EH, Ito, A, et al.. Procalcitonin (PCT)-guided antibiotic stewardship in Asia-Pacific countries: adaptation based on an expert consensus meeting [published correction appears in Clin Chem Lab Med. 2020 25;59:631–632]. Clin Chem Lab Med 2020;58:1983–91. https://doi.org/10.1515/cclm-2019-1122.Search in Google Scholar PubMed
5. Sager, R, Wirz, Y, Amin, D, Amin, A, Hausfater, P, Huber, A, et al.. Are admission procalcitonin levels universal mortality predictors across different medical emergency patient populations? Results from the multi-national, prospective, observational TRIAGE study. Clin Chem Lab Med 2017;55:1873–80. https://doi.org/10.1515/cclm-2017-0144.Search in Google Scholar PubMed
6. Hu, R, Han, C, Pei, S, Yin, M, Chen, X. Procalcitonin levels in COVID-19 patients. Int J Antimicrob Agents 2020;56:106051. https://doi.org/10.1016/j.ijantimicag.2020.106051.Search in Google Scholar PubMed PubMed Central
7. Zhang, JJ, Dong, X, Cao, YY, Yuan, YD, Yang, YB, Yan, YQ, et al.. Clinical characteristics of 140 patients infected with SARS-CoV-2 in Wuhan, China. Allergy 2020;75:1730–41. https://doi.org/10.1111/all.14238.Search in Google Scholar PubMed
8. Lippi, G, Plebani, M. Procalcitonin in patients with severe coronavirus disease 2019 (COVID-19): a meta-analysis. Clin Chim Acta 2020;505:190–1. https://doi.org/10.1016/j.cca.2020.03.004.Search in Google Scholar PubMed PubMed Central
9. Izcovich, A, Ragusa, MA, Tortosa, F, Lavena Marzio, MA, Agnoletti, C, Bengolea, A, et al.. Prognostic factors for severity and mortality in patients infected with COVID-19: a systematic review. PLoS One 2020;15:e0241955. https://doi.org/10.1371/journal.pone.0241955.Search in Google Scholar PubMed PubMed Central
10. Liu, F, Li, L, Xu, M, Wu, J, Luo, D, Zhu, Y, et al.. Prognostic value of interleukin-6, C-reactive protein, and procalcitonin in patients with COVID-19. J Clin Virol 2020;127:104370. https://doi.org/10.1016/j.jcv.2020.104370.Search in Google Scholar PubMed PubMed Central
11. Robilotti, EV, Babady, NE, Mead, PA, Rolling, T, Perez-Johnston, R, Bernardes, M, et al.. Determinants of COVID-19 disease severity in patients with cancer. Nat Med 2020;26:1218–23. https://doi.org/10.1038/s41591-020-0979-0.Search in Google Scholar PubMed PubMed Central
12. Patout, M, Salaun, M, Brunel, V, Bota, S, Cauliez, B, Thiberville, L. Diagnostic and prognostic value of serum procalcitonin concentrations in primary lung cancers. Clin Biochem 2014;47:263–7. https://doi.org/10.1016/j.clinbiochem.2014.09.002.Search in Google Scholar PubMed
13. Karagiannis, AK, Girio-Fragkoulakis, C, Nakouti, T. Procalcitonin: a new biomarker for medullary thyroid cancer? A systematic review. Anticancer Res 2016;36:3803–10.Search in Google Scholar
14. Canat, L, Atalay, HA, Can, O, Alkan, I, Otunctemur, A. Serum procalcitonin levels in prostate cancer: a new biomarker? Urologia 2018;85:46–50. https://doi.org/10.1177/0391560317752600.Search in Google Scholar PubMed
15. Matzaraki, V, Alexandraki, KI, Venetsanou, K, Piperi, C, Myrianthefs, P, Malamos, N, et al.. Evaluation of serum procalcitonin and interleukin-6 levels as markers of liver metastasis. Clin Biochem 2007;40:336–42. https://doi.org/10.1016/j.clinbiochem.2006.10.027.Search in Google Scholar PubMed
16. Sbrana, A, Torchio, M, Comolli, G, Antonuzzo, A, Danova, M, Italian Network for Supportive Care in O. Use of procalcitonin in clinical oncology: a literature review. New Microbiol 2016;39:174–80.Search in Google Scholar
17. Blouin, AG, Hsu, M, Fleisher, M, Ramanathan, LV, Pastores, SM. Utility of procalcitonin as a predictor of bloodstream infections and supportive modality requirements in critically ill cancer patients. Clin Chim Acta 2020;510:181–5. https://doi.org/10.1016/j.cca.2020.07.024.Search in Google Scholar PubMed PubMed Central
18. Lee, LY, Cazier, JB, Angelis, V, Arnold, R, Bisht, V, Campton, NA, et al.. COVID-19 mortality in patients with cancer on chemotherapy or other anticancer treatments: a prospective cohort study. Lancet 2020;395:1919–26. https://doi.org/10.1016/s0140-6736(20)31173-9.Search in Google Scholar PubMed PubMed Central
19. Center for Disease Control and Prevention (CDC). Real-time RT-PCR panel for detection 2019-novel coronavirus; 2020. Available from: https://www.fda.gov/media/134922/download.Search in Google Scholar
20. Centers for Disease Control and Prevention (CDC). 2019-Novel coronavirus (2019-nCoV) real-time rRT-PCR panel primers and probes; 2020. Available from: https://www.cdc.gov/coronavirus/2019-ncov/downloads/rt-pcr-panel-primer-probes.pdf.Search in Google Scholar
21. COVID-19 Treatment Guidelines Panel. Coronavirus disease 2019 (COVID-19) treatment guidelines. Bethesda, MD: National Institutes of Health; 2021. Available from: https://www.covid19treatmentguidelines.nih.gov/overview/clinical-spectrum/.Search in Google Scholar
22. FDA. Executive summary: prepared for the November 10, 2016 meeting of the microbiology devices panel of the medical devices advisory committee discussion and recommendations for the application of procalcitonin to the evaluation and management of suspected lower respiratory tract infections and sepsis Gaithersburg, Maryland. 2016. Available from: https://www.fda.gov/media/100879/download.Search in Google Scholar
23. Vazzana, N, Dipaola, F, Ognibene, S. Procalcitonin and secondary bacterial infections in COVID-19: association with disease severity and outcomes. Acta Clin Belg 2020;77:1–5.10.1080/17843286.2020.1824749Search in Google Scholar PubMed
24. Bazzi, WM, Sjoberg, DD, Feuerstein, MA, Maschino, A, Verma, S, Bernstein, M, et al.. Long-term survival rates after resection for locally advanced kidney cancer: Memorial Sloan Kettering Cancer Center 1989 to 2012 experience. J Urol 2015;193:1911–6. https://doi.org/10.1016/j.juro.2014.12.022.Search in Google Scholar PubMed PubMed Central
25. Lipitz-Snyderman, A, Klotz, A, Atoria, CL, Martin, S, Groeger, J. Impact of observation status on hospital use for patients with cancer. J Oncol Pract 2015;11:73–7. https://doi.org/10.1200/jop.2014.001248.Search in Google Scholar
26. Gold, JAW, Rossen, LM, Ahmad, FB, Sutton, P, Li, Z, Salvatore, PP, et al.. Race, ethnicity, and age trends in persons who died from COVID-19 – United States, May–August 2020. MMWR Morb Mortal Wkly Rep 2020;69:1517–21. https://doi.org/10.15585/mmwr.mm6942e1.Search in Google Scholar PubMed PubMed Central
27. Sze, S, Pan, D, Nevill, CR, Gray, LJ, Martin, CA, Nazareth, J, et al.. Ethnicity and clinical outcomes in COVID-19: a systematic review and meta-analysis. EClinicalMedicine 2020;29:100630. https://doi.org/10.1016/j.eclinm.2020.100686.Search in Google Scholar PubMed PubMed Central
28. Centers for Disease Control and Prevention. Severe outcomes among patients with coronavirus disease 2019 (COVID-19)—United States, February 12–March 16, 2020; 2020. Available from: https://www.cdc.gov/mmwr/volumes/69/wr/mm6912e2.htm.10.15585/mmwr.mm6912e2Search in Google Scholar PubMed PubMed Central
29. Du, RH, Liang, LR, Yang, CQ, Wang, W, Cao, TZ, Li, M, et al.. Predictors of mortality for patients with COVID-19 pneumonia caused by SARS-CoV-2: a prospective cohort study. Eur Respir J 2020;55:2002439. https://doi.org/10.1183/13993003.00524-2020.Search in Google Scholar PubMed PubMed Central
30. Guan, WJ, Ni, ZY, Hu, Y, Liang, WH, Ou, CQ, He, JX, et al.. Clinical characteristics of coronavirus disease 2019 in China. N Engl J Med 2020;382:1708–20. https://doi.org/10.1056/nejmoa2002032.Search in Google Scholar
31. Gansevoort, RT, Hilbrands, LB. CKD is a key risk factor for COVID-19 mortality. Nat Rev Nephrol 2020;16:705–6. https://doi.org/10.1038/s41581-020-00349-4.Search in Google Scholar PubMed PubMed Central
32. Henry, BM, Lippi, G. Chronic kidney disease is associated with severe coronavirus disease 2019 (COVID-19) infection. Int Urol Nephrol 2020;52:1193–4. https://doi.org/10.1007/s11255-020-02451-9.Search in Google Scholar PubMed PubMed Central
33. Franki, R. Comorbidities the rule in New York’s COVID-19 deaths. Hospitalist 2020. Available from: https://www.the-hospitalist.org/hospitalist/article/220457/coronavirus-updates/comorbidities-rule-new-yorks-covid-19-deaths.Search in Google Scholar
34. Assaad, S, Zrounba, P, Cropet, C, Consortium, OS, Blay, JY. Mortality of patients with solid and haematological cancers presenting with symptoms of COVID-19 with vs without detectable SARS-COV-2: a French nationwide prospective cohort study. Br J Cancer 2021;125:658–71. https://doi.org/10.1038/s41416-021-01452-4.Search in Google Scholar PubMed PubMed Central
35. Fillmore, NR, La, J, Szalat, RE, Tuck, DP, Nguyen, V, Yildirim, C, et al.. Prevalence and outcome of COVID-19 infection in cancer patients: a national veterans affairs study. J Natl Cancer Inst 2021;113:691–8. https://doi.org/10.1093/jnci/djaa159.Search in Google Scholar PubMed PubMed Central
36. Lipe, DN, Elsayem, A, Cruz-Carreras, MT, Thomas, J, Feliciano, A, Ren, J, et al.. Characteristics of cancer patients with COVID-19 in a cancer hospital. Ann Palliat Med 2021;10:1763–71. https://doi.org/10.21037/apm-20-1447.Search in Google Scholar PubMed
37. Meng, Y, Lu, W, Guo, E, Liu, J, Yang, B, Wu, P, et al.. Cancer history is an independent risk factor for mortality in hospitalized COVID-19 patients: a propensity score-matched analysis. J Hematol Oncol 2020;13:75. https://doi.org/10.1186/s13045-020-00907-0.Search in Google Scholar PubMed PubMed Central
38. Tian, J, Yuan, X, Xiao, J, Zhong, Q, Yang, C, Liu, B, et al.. Clinical characteristics and risk factors associated with COVID-19 disease severity in patients with cancer in Wuhan, China: a multicentre, retrospective, cohort study. Lancet Oncol 2020;21:893–903. https://doi.org/10.1016/s1470-2045(20)30309-0.Search in Google Scholar
39. US Census. 2022. Available from: https://www.census.gov/quickfacts/newyorkcitynewyork.Search in Google Scholar
© 2022 Walter de Gruyter GmbH, Berlin/Boston
Articles in the same Issue
- Frontmatter
- Editorial
- Standardization and harmonization in laboratory medicine: not only for clinical chemistry measurands
- Mini Review
- The effect of the immunoassay curve fitting routine on bias in troponin
- Opinion Papers
- An overview of the most important preanalytical factors influencing the clinical performance of SARS-CoV-2 antigen rapid diagnostic tests (Ag-RDTs)
- Time to address quality control processes applied to antibody testing for infectious diseases
- Perspectives
- Definition and application of performance specifications for measurement uncertainty of 23 common laboratory tests: linking theory to daily practice
- The gaps between the new EU legislation on in vitro diagnostics and the on-the-ground reality
- General Clinical Chemistry and Laboratory Medicine
- Second-generation Elecsys cerebrospinal fluid immunoassays aid diagnosis of early Alzheimer’s disease
- Evaluation of the interchangeability between the new fully-automated affinity chrome-mediated immunoassay (ACMIA) and the Quantitative Microsphere System (QMS) with a CE-IVD-certified LC-MS/MS assay for therapeutic drug monitoring of everolimus after solid organ transplantation
- Quantitative detection of anti-PLA2R antibodies targeting different epitopes and its clinical application in primary membranous nephropathy
- Reference Values and Biological Variations
- A zlog-based algorithm and tool for plausibility checks of reference intervals
- Harmonization of indirect reference intervals calculation by the Bhattacharya method
- Red blood cell parameters in early childhood: a prospective cohort study
- Cancer Diagnostics
- Association of circulating free and total oxysterols in breast cancer patients
- Effect of short-term storage of blood samples on gene expression in lung cancer patients
- Infectious Diseases
- Operation Moonshot: rapid translation of a SARS-CoV-2 targeted peptide immunoaffinity liquid chromatography-tandem mass spectrometry test from research into routine clinical use
- Seroprevalence of SARS-CoV-2 antibodies in Italy in newborn dried blood spots
- Positivization time of a COVID-19 rapid antigen self-test predicts SARS-CoV-2 viral load: a proof of concept
- New insights into SARS-CoV-2 Lumipulse G salivary antigen testing: accuracy, safety and short TAT enhance surveillance
- Preanalytical stability of SARS-CoV-2 anti-nucleocapsid antibodies
- Prognostic value of procalcitonin in cancer patients with coronavirus disease 2019
- 24/7 workflow for bloodstream infection diagnostics in microbiology laboratories: the first step to improve clinical management
- Diagnostic performance of machine learning models using cell population data for the detection of sepsis: a comparative study
- Diagnostic value of procalcitonin, hypersensitive C-reactive protein and neutrophil-to-lymphocyte ratio for bloodstream infections in pediatric tumor patients
- Letters to the Editor
- Pseudohyponatremia: interference of hyperglycemia on indirect potentiometry
- Ligand binding assay-related underestimation of 25-hydroxyvitamin D in pregnant women exaggerates the prevalence of vitamin D insufficiency
- Urokinase-type plasminogen activator soluble receptor (suPAR) assay in clinical routine: evaluation one year after its introduction in the high automation corelab of the A. Gemelli hospital
- Is this a true lambda free light chain?
- Effect of various blood collection tubes on serum lithium and other electrolytes: our perspective from a tertiary healthcare institute
Articles in the same Issue
- Frontmatter
- Editorial
- Standardization and harmonization in laboratory medicine: not only for clinical chemistry measurands
- Mini Review
- The effect of the immunoassay curve fitting routine on bias in troponin
- Opinion Papers
- An overview of the most important preanalytical factors influencing the clinical performance of SARS-CoV-2 antigen rapid diagnostic tests (Ag-RDTs)
- Time to address quality control processes applied to antibody testing for infectious diseases
- Perspectives
- Definition and application of performance specifications for measurement uncertainty of 23 common laboratory tests: linking theory to daily practice
- The gaps between the new EU legislation on in vitro diagnostics and the on-the-ground reality
- General Clinical Chemistry and Laboratory Medicine
- Second-generation Elecsys cerebrospinal fluid immunoassays aid diagnosis of early Alzheimer’s disease
- Evaluation of the interchangeability between the new fully-automated affinity chrome-mediated immunoassay (ACMIA) and the Quantitative Microsphere System (QMS) with a CE-IVD-certified LC-MS/MS assay for therapeutic drug monitoring of everolimus after solid organ transplantation
- Quantitative detection of anti-PLA2R antibodies targeting different epitopes and its clinical application in primary membranous nephropathy
- Reference Values and Biological Variations
- A zlog-based algorithm and tool for plausibility checks of reference intervals
- Harmonization of indirect reference intervals calculation by the Bhattacharya method
- Red blood cell parameters in early childhood: a prospective cohort study
- Cancer Diagnostics
- Association of circulating free and total oxysterols in breast cancer patients
- Effect of short-term storage of blood samples on gene expression in lung cancer patients
- Infectious Diseases
- Operation Moonshot: rapid translation of a SARS-CoV-2 targeted peptide immunoaffinity liquid chromatography-tandem mass spectrometry test from research into routine clinical use
- Seroprevalence of SARS-CoV-2 antibodies in Italy in newborn dried blood spots
- Positivization time of a COVID-19 rapid antigen self-test predicts SARS-CoV-2 viral load: a proof of concept
- New insights into SARS-CoV-2 Lumipulse G salivary antigen testing: accuracy, safety and short TAT enhance surveillance
- Preanalytical stability of SARS-CoV-2 anti-nucleocapsid antibodies
- Prognostic value of procalcitonin in cancer patients with coronavirus disease 2019
- 24/7 workflow for bloodstream infection diagnostics in microbiology laboratories: the first step to improve clinical management
- Diagnostic performance of machine learning models using cell population data for the detection of sepsis: a comparative study
- Diagnostic value of procalcitonin, hypersensitive C-reactive protein and neutrophil-to-lymphocyte ratio for bloodstream infections in pediatric tumor patients
- Letters to the Editor
- Pseudohyponatremia: interference of hyperglycemia on indirect potentiometry
- Ligand binding assay-related underestimation of 25-hydroxyvitamin D in pregnant women exaggerates the prevalence of vitamin D insufficiency
- Urokinase-type plasminogen activator soluble receptor (suPAR) assay in clinical routine: evaluation one year after its introduction in the high automation corelab of the A. Gemelli hospital
- Is this a true lambda free light chain?
- Effect of various blood collection tubes on serum lithium and other electrolytes: our perspective from a tertiary healthcare institute