Home Medicine Development and multicenter performance evaluation of fully automated SARS-CoV-2 IgM and IgG immunoassays
Article Publicly Available

Development and multicenter performance evaluation of fully automated SARS-CoV-2 IgM and IgG immunoassays

  • Chungen Qian , Mi Zhou EMAIL logo , Fangming Cheng , Xiaotao Lin , Yijun Gong , Xiaobing Xie , Ping Li , Zhiyong Li , Pingan Zhang , Zejin Liu , Fang Hu , Yun Wang , Quan Li , Yan Zhu , Guikai Duan , Yinting Xing , Huanyu Song , Wenfang Xu , Bi-Feng Liu EMAIL logo and Fuzhen Xia EMAIL logo
Published/Copyright: July 15, 2020

Abstract

Objectives

The outbreak of severe acute respiratory syndrome coronavirus 2 (SARS-CoV-2) has rapidly spread globally. The laboratory diagnosis of SARS-CoV-2 infection has relied on nucleic acid testing; however, it has some limitations, such as low throughput and high rates of false negatives. Tests of higher sensitivity are needed to effectively identify infected patients.

Methods

This study has developed fully automated chemiluminescent immunoassays to determine IgM and IgG antibodies to SARS-CoV-2 in human serum. The assay performance has been evaluated at 10 hospitals. Clinical specificity was evaluated by measuring 972 hospitalized patients and 586 donors of a normal population. Clinical sensitivity was assessed on 513 confirmed cases of SARS-CoV-2 by RT-PCR.

Results

The assays demonstrated satisfied assay precision with coefficient of variation of less than 4.45%. Inactivation of specimen did not affect assay measurement. SARS-CoV-2 IgM showed clinical specificity of 97.33 and 99.49% for hospitalized patients and the normal population respectively, and SARS-CoV-2 IgG showed clinical specificity of 97.43 and 99.15% respectively. SARS-CoV-2 IgM showed clinical sensitivity of 82.54, 92.93, and 84.62% before 7 days, 7–14 days, and after 14 days respectively, since onset of symptoms, and SARS-CoV-2 IgG showed clinical sensitivity of 80.95, 97.98, and 99.15% respectively at the same time points above.

Conclusions

We have developed fully automated immunoassays for detecting SARS-CoV-2 IgM and IgG antibodies in human serum. The assays demonstrated high clinical specificity and sensitivity, and add great value to nucleic acid testing in fighting against the global pandemic of the SARS-CoV-2 infection.

Introduction

Severe acute respiratory syndrome coronavirus 2 (SARS-CoV-2) was initially identified in Wuhan, Hubei province, China, in December 2019, causing an ongoing outbreak of the novel coronavirus disease (COVID-19) [1], [2]. Although the epidemic in China has come under control through strict containment precautions over the two months, SARS-CoV-2 has rapidly spread to more than 216 countries and regions [3]. SARS-CoV-2 belongs to the same family of coronaviruses as severe acute respiratory syndrome (SARS-CoV) and Middle East respiratory syndrome (MERS-CoV), however, its transmission efficiency is much higher than SARS-CoV and MERS-CoV, and there is no indication that transmission will cease as the weather gets warmer. The World Health Organization (WHO) has announced COVID-19 as a global pandemic, and that there is a long battle ahead to fight the virus [4].

At present, there is no effective medication to treat the disease and it might take a year for a vaccine to be developed. The only way to control the outbreak of the virus is to identify and quarantine the infected individuals. COVID-19 is characterized by symptoms similar to the common cold such as fever, non-productive cough, fatigue, and featured chest CT patterns that may also cause fatal complications, as with severe acute respiratory syndrome [5], [6]. The etiological diagnosis of SARS-CoV-2 infection relies on a nucleic acid test with Real Time-PCR (RT-PCR) using specimens collected via nasopharyngeal swab [7]. However, high numbers of false negatives have been found in some laboratories, leading to a positive detection rate of RT-PCR around 50% of suspected clinical and epidemiological COVID-19 cases. Many factors can cause false negatives, and the specimen collection via nasopharyngeal swab could be the major challenge as the chance for the virus to move to the upper respiratory tract is smaller via non-productive cough. Degradation of the virus mRNA due to specimen inactivation at 56 °C is another cause for false negative result [8].

Detection of specific serum antibodies for SARS-CoV-2 could be an integrative tool to the gold standard of nucleic acid test with RT-PCR by compensating for its false negative limitations in identifying SARS-CoV-2. It has been well established that IgM antibodies are generated and released into blood soon after the viral infection, followed by IgG antibodies, therefore the detection of the specific antibodies in blood is a sensitive measurement for viral infection. It has been reported that the IgM antibodies can be detected in the blood 7 days after disease onset, and begins to decrease 10 days after disease onset, while IgG antibodies can be detected 8–9 days after disease onset and continues to increase rapidly thereafter [9], [10]. Commercial and non-commercial serological tests are currently under development.

Based on the sequence of SARS-CoV-2 nucleic acid, we have constructed and expressed viral nucleocapsid protein and spike protein. Using the purified recombinant antigen, we developed chemiluminescent immunoassays (CLIA) to determine the IgM and IgG antibodies to SARS-CoV-2 in human serum or plasma, which is performed automatically by an immunoassay analyzer. The performance of the assays has been evaluated at ten hospitals, demonstrating high specificity and high sensitivity for SARS-CoV-2 detection. Being an effective way to compensate for the false negative issue of RT-PCR, the fully automated SARS-CoV-2 IgM and IgG immunoassays provided a powerful means of laboratory diagnosis for fighting against global spread of the virus.

Materials and methods

Preparation of recombinant proteins of SARS-CoV-2

Using pFastBac1 vector, the plasmids were constructed by inserting gene fragments for expressing the SARS-CoV-2 nucleocapsid protein and spike protein based on the published SARS-CoV-2 nucleic acid sequence on Genbank (MN908947.3). They were then transfected into the insect cell Sf9 to express SARS-CoV-2 fusion proteins, which were then purified by a combination of affinity chromatography and ion-exchange chromatography. Screening and verification for the specificity and sensitivity of the recombinant SARS-CoV-2 proteins were performed using SARS-CoV-2 IgM and IgG immunoassay system.

Development of automated CLIA for SARS-CoV-2 IgM and IgG

Paramagnetic carboxylated-microparticles (purchased from Thermo Scientific) were coated with the recombinant proteins of SARS-CoV-2 through cross-linking by N-ethyl-N′-(3-dimethylaminopropyl) carbodiimide (purchased from Thermo Scientific). Mouse monoclonal anti-human IgM or IgG (purchased from Fapon Biotech) were conjugated with NSP-DMAE-NHS (purchased from Maxchemtech), and the conjugated antibodies were then purified by gel filtration on a Sephadex G-50 column. The calibrators were made from inactivated SARS-CoV-2 human serum with designated concentrations in arbitrary unit (kAU/L). The pre-trigger and trigger solutions are composed of sodium hydroxide and hydrogen peroxide. All measuring procedures were performed by the fully automated immune analyzer (manufactured by Shenzhen YHLO Biotech). The correlation between the chemiluminescent signal measured as relative light unit (RLU) and the concentration of SARS-CoV-2 IgM or IgG is shown in the dose-response curves (Figure 1).

Figure 1: 
Dose-response curve of SARS-CoV-2 IgM (A) and SARS-CoV-2 IgG (B).
The y-axis labelled “RLU” denotes the chemiluminescent signal measured as relative light unit.
Figure 1:

Dose-response curve of SARS-CoV-2 IgM (A) and SARS-CoV-2 IgG (B).

The y-axis labelled “RLU” denotes the chemiluminescent signal measured as relative light unit.

Principle of the assay

The SARS-CoV-2 IgM and IgG assays are two-step immunoassays for the qualitative detection of SARS-CoV-2 IgM and IgG antibodies in human serum and plasma, using direct chemiluminometric microparticle technology [11], [12]. The assays are performed on a fully automated immunoassay analyzer (manufactured by YHLO Biotech). In the first step, sample, recombinant SARS-Cov-2 antigen-coated paramagnetic microparticles, and a sample treating agent are combined. SARS-CoV-2 IgM or IgG antibodies present in the sample binds to the SARS-CoV-2 antigens-coated microparticles. After washing, acridinium-labeled anti-human IgM or IgG conjugate is added to form a reaction complex in the second step. Following another wash cycle, Pre-trigger and trigger solutions are added to the reaction mixture. The resulting chemiluminescent reaction is measured as RLUs. A direct relationship exists between the amount of SARS-CoV-2 IgM or IgG antibodies in the sample and the RLUs detected by the optical system of the immune analyzer. The concentration of SARS-CoV-2 IgM or IgG in the sample is determined by comparing the RLU of a sample to the RLU determined from two calibrators.

Establishment of cut-off values for positive prediction of SARS-CoV-2 IgM and IgG

Three hundred serum samples from both healthy subjects and confirmed COVID-19 patients were tested for SARS-CoV-2 IgM or IgG antibodies, and RLUs were collected by the instrument. According to the receiver operating curve (ROC), the RLU at which the area under the ROC (AUC) greater than 0.9 was determined as a cut-off point and the level of this point was defined as 10 kAU/L. If the concentration of a sample is greater than or equal to 10 kAU/L, it is considered reactive to SARS-CoV-2 IgM or IgG.

Patient samples

The patient samples were collected from individuals recruited from 10 hospitals, 4 of which were from the worst outbreak in Hubei province, and the rest from 6 other provinces in China. The patients diagnosed with SARS-CoV-2 infection were confirmed by an RT-PCR nucleic acid test. We recruited 513 confirmed COVID-19 cases (ages range from 1 month to 92 years, with an average of 53 years), 296 of whom were from the four hospitals in Hubei province, and 217 were from the hospitals in other provinces. Fifty four suspected COVID-19 cases (ages range from 26 to 70 years, with an average of 49 years) were recruited following guidelines of diagnosis and treatment of COVID-19, including typical epidemiological history, clinical symptoms and featured chest CT image [13]. The 972 control subjects (ages range from 1 to 90 years, with an average of 48 years) for evaluating the specificity were hospitalized patients with diseases other than COVID-19, 317 of whom were from the four hospitals in the outbreak Hubei province, and the other 655 from the six hospitals in other provinces in China. All the above 972 subjects did not have epidemiological history and clinical symptoms of COVID-19, and were excluded for SARS-CoV-2 infection by a negative nucleic acid test with RT-PCR. Samples for evaluating specificity included three to nine samples positive for IgM and/or IgG for the four common human respiratory coronaviruses (229E, NL63, OC43, and HKU1) and more than 20 other pathogens causing respiratory infection. Positive samples of autoantibodies to rheumatoid factors and some major anti-nucleic antibodies were included in the samples for specificity evaluation. 586 subjects (ages range from 18 to 35 years, with an average of 25 years) from a physical examination center in a hospital in Shenzhen (a city of 462 confirmed cases with a population of more than 11 million) were recruited as a normal population control group. Those subjects were not tested with SARS-CoV-2 RT-PCR for COVID-19 exclusion, and therefore we could not completely rule out the possibility, though the chance of including the COVID-19 can be negligible. The study was conducted with the approval of the review board for human studies from each hospital attended.

Performance evaluation

Repeatability and within-laboratory precision were evaluated according to the Clinical and Laboratory Standards Institute (CLSI) EP5-A3 protocol [14]. One negative and two to three positive serums for SARS-CoV-2 IgM or IgG were used for the study. Each sample was measured in duplicate for each run and two runs (morning and afternoon) per day over 20 testing days (n = 80). Repeatability and within-laboratory precision were calculated taking the variance of repeatability, run-to-run and day-to-day into account. Linearity was assessed according to The National Committee for Clinical Laboratory Standards (NCCLS) EP6-A guidelines [15]. A sample with high SARS-CoV-2 IgM or IgG concentration was mixed in different proportions with a sample of low SARS-CoV-2 IgM or IgG concentration to form a dilution series. Each dilution was subsequently assayed in triplicates in one run, and mean results of the measured values were plotted against the dilution ratios. To evaluate sample stability, serum samples negative and positive to SARS-CoV-2 IgM or IgG from 55 subjects (15 negative and 40 positive) were measured in duplicate before and after inactivation at 56 °C for 30 min. Clinical specificity was evaluated by measuring 972 hospitalized patients with diseases other than COVID-19, and 586 donors of normal population undergoing physical examinations. To further evaluate the specificity, serum samples positive of IgM and/or IgG were tested to some potential cross-reaction infections, including some common human respiratory coronavirus infections. Clinical sensitivity was assessed on 513 patients diagnosed to SARS-CoV-2 infection by positive RT-PCR nucleic acid test. The efficacy of the assays in detecting SARS-CoV-2 IgM and/or IgG antibodies were evaluated on 52 suspected patients negative with RT-PCR, but with typical epidemiological history, clinical symptoms and featured chest CT images.

Statistical analysis

For the precision study, a percentage of coefficient of variance (CV) of less than 10% was considered acceptable. For linearity study, the measured values were plotted against the dilution ratio and a regression model was selected according to CLSI EP6-A. For sample stability study, correlation and comparison of SARS-CoV-2 IgM or IgG values before and after inactivation were assessed by Passing–Bablok regression analysis and Bland–Altman difference plots. Clinical specificity and sensitivity were calculated according to CLSI EP12-A2 [16].

Results

Repeatability

Four SARS-CoV-2 IgM serum samples (one negative and three positives) and three SARS-CoV-2 IgG serum samples (one negative and two positives) were measured twice-a-day in duplicates over the span of 20 days, and 80 results were obtained on each serum. The repeatability of the SARS-CoV-2 IgM is from 2.80 to 4.32%, and the within-laboratory precision is from 3.02 to 4.45%. The repeatability of the SARS-CoV-2 IgG is from 3.11 to 4.30%, and the within-laboratory precision is from 3.12 to 5.13% (Supplemental Table S1 and Table S2).

Linearity

SARS-CoV-2 IgM assay showed good linearity (R2 = 0.9952) at the measuring range of 0.20–879.74 kAU/L (Figure 2A), and SARS-CoV-2 IgG assay also showed good linearity (R2 = 0.9982) at the measuring range of 0.20–453.50 kAU/L (Figure 2B)

Figure 2: 
Linearity of SARS-CoV-2 IgM (A) and SARS-CoV-2 IgG (B).
Figure 2:

Linearity of SARS-CoV-2 IgM (A) and SARS-CoV-2 IgG (B).

Sample stability after inactivation at 56 °C

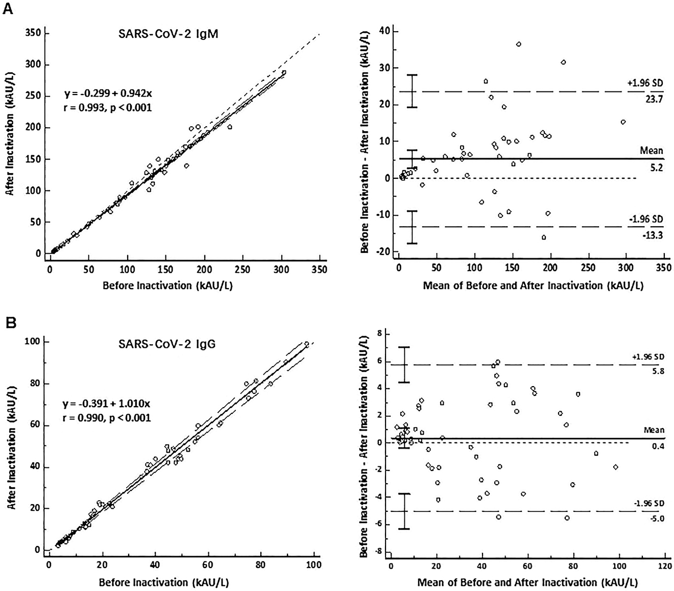
Passing–Bablok regression and Bland–Altman analysis are shown in Figure 3. Across the concentration range of 55 serum samples, the concentrations of SARS-CoV-2 IgM and IgG measured after sample inactivation strongly correlate with that before sample inactivation. Spearman’s correlation coefficient is 0.993 for SARS-CoV-2 IgM, and 0.990 for SARS-CoV-2 IgG (p<0.001 for both assays). No significant change of SARS-CoV-2 IgM and IgG concentration was observed after inactivation at 56 °C for 30 min based on the Bland–Altman difference plots. Therefore, serum samples can be inactivated before measurement with SARS-CoV-2 IgM and IgG assays.

Figure 3: 
Passing–Bablok regression analysis (left panel) and Bland–Altman difference plots (right panel) for SARS-CoV-2 IgM and IgG concentrations measured before and after sample inactivation.
Figure 3:

Passing–Bablok regression analysis (left panel) and Bland–Altman difference plots (right panel) for SARS-CoV-2 IgM and IgG concentrations measured before and after sample inactivation.

Clinical specificity

Samples from both hospitalized patients (972 subjects) and normal population (586 subjects) were used to assess the clinical specificity of the assay (Table 1). SARS-CoV-2 IgM showed the clinical specificity of 97.33% for hospitalized patients and of 99.49% for normal population. SARS-CoV-2 IgG showed the clinical specificity of 97.43% for hospitalized patients and of 99.15% for normal population. No cross-reaction was observed with IgM and/or IgG antibodies to four common human respiratory coronaviruses (229E, NL63, OC43, and HKU1), neither with influenza A and B viruses, seasonal influenza virus (H1N1, H5N1, H3N2, and H7N9), legionella pneumophila, mycoplasma pneumoniae, chlamydia pneumoniae, adenovirus, respiratory syncytial virus, measles virus, mumps virus, rhinovirus, enterovirus, Epstein-Barr virus, CMV, and rotavirus. We did not find interference with autoantibodies to rheumatoid factors and some major anti-nucleic antibodies (dsDNA, Sm, SS-A, SS-B, Jo-1, Ro-52).

Table 1:

Clinical specificity of SARS-CoV-2 IgM and SARS-CoV-2 IgG.

Sample number SARS-Cov-2 IgM SARS-Cov-2 IgG
Negative Positive Clinical specificity Negative Positive Clinical specificity
Hospitalized patients 972 946 26 97.33% 947 25 97.43%
Normal population 586 583 3 99.49% 581 5 99.15%

Clinical sensitivity

Samples from 513 confirmed SARS-Cov-2 infection with RT-PCR were used to evaluate the clinical sensitivity of the assays (Table 2). We analyzed the clinical sensitivity on both SARS-CoV-2 IgM and IgG antibodies at three time periods, before 7 days, 7–14 days, and after 14 days since onset of symptoms. SARS-CoV-2 IgM showed clinical sensitivity of 82.54, 92.93, and 84.62% respectively, and SARS-CoV-2 IgG showed clinical sensitivity of 80.95, 97.98, and 99.15% respectively.

Table 2:

Clinical sensitivity of SARS-CoV-2 IgM and SARS-CoV-2 IgG.

Days since onset of symptoms Sample number SARS-Cov-2 IgM SARS-Cov-2 IgG
Negative Positive Clinical sensitivity Negative Positive Clinical sensitivity
<7 days 63 11 52 82.54% 12 51 80.95%
7–14 days 99 7 92 92.93% 2 97 97.98%
>14 days 351 54 297 84.62% 3 348 99.15%
Total 513 72 441 85.96% 17 496 96.69%

Positive rate of antibodies in highly suspected COVID-19 cases

The study recruited 52 patients whom had been highly suspected for SARS-CoV-2 infection based on typical epidemiological history, clinical symptoms and featured chest CT image, but the viral nucleic acid remained negative after more than three attempts of detection with RT-PCR. When measuring the antibodies with SARS-CoV-2 IgM and IgG immunoassays, 38 of them showed positive result for SARS-CoV-2 IgM, giving a positive rate of 73.08%, and 45 of them were SARS-CoV-2 IgG positive, giving a positive rate of 86.54%.

Discussion

During the outbreak of COVID-19, we took the lead in developing automatic SARS-CoV-2 IgM and IgG immunoassays, and performed a multi-center evaluation with a large population across 4 hospitals in the Hubei province epidemic area and 6 hospitals in other provinces in China. The assays are based on chemiluminescence detection technology, and run on an automatic immune analyzer. They automatically measure the specific IgM and IgG antibodies to SARS-CoV-2 using peripheral blood, and the time to the first result is less than 30 min at a speed of more than 150 tests per hour, which would allow for the screening of COVID-19 in large populations. SARS-CoV-2 IgM and IgG immunoassays demonstrated satisfied assay range and precision with a CV of less than 4.45%, meeting the standard for identifying SARS-CoV-2 infection in clinical laboratories. Inactivation of specimen does not affect sample stability for the assays, and therefore it can be performed routinely in a laboratory to prevent potential infection of laboratory operators.

Clinical specificity is a key performance parameter of immunoassays. Evaluation with 972 serum samples from hospitalized patients, SARS-CoV-2 IgM and IgG assays demonstrated clinical specificity of greater than 97%. Although we did not observe cross-reaction with more than 20 respiratory pathogens including the four common human respiratory coronaviruses (229E, NL63, OC43, and HKU1) and some autoantibodies, human serum could have many other unknown factors causing interference for immunoassays, such as different disease conditions and even patient ages. The cross-reactivity with SARS-CoV and MERS-CoV have not yet been investigated due to inaccessibility to positive serum samples. We also evaluated the clinical specificity based on 586 healthy individuals, and the specificity of both SARS-CoV-2 IgM and IgG assays exceeded 99%. The better specificity of the two assays on the normal population indicated that interference is less likely to occur in this group of normal population than that in hospitalized patients.

The outbreak of the COVID-19 in Wuhan, Hubei province, allowed us to recruit a large population of infected patients to evaluate the clinical sensitivity of SARS-CoV-2 IgM and IgG immunoassays. Serum from 513 confirmed COVID-19 cases by RT-PCR nucleic acid tests have been measured for SARS-CoV-2 IgM and IgG concentration. SARS-CoV-2 IgM antibodies can be detected in 82.54% of patients before 7 days since onset of symptoms, and the positive rate reached to the highest of 92.93% on the period of 7–14 days, and then decreased to 84.62% after 14 days since onset of symptoms. The positive rate of SARS-CoV-2 IgG was 80.95% before 7 days since onset of symptoms, and reached to 97.98 and 99.15% on 7–14 days and after 14 days respectively since onset of the symptoms. These trends of positive rates of SARS-CoV-2 IgM and IgG antibodies are consistent with the general profiling of antibody development after viral infection. We have observed an interesting phenomenon that SARS-CoV-2 IgM and IgG antibodies developed simultaneously (the positive rates before 7 days were very close). This observation is different from the general pattern that IgG comes after IgM, but is consistent with some recent studies [17], [18]. Further studies are needed to verify this phenomenon and its clinical significances in the diagnosis and prognosis of COVID-19. Out of the 351 confirmed cases, three patients did not develop SARS-CoV-2 IgG antibodies at 20–32 days after onset of the symptoms. We did not perform follow up studies, and therefore do not know if these patients might develop antibodies later, or never develop antibodies.

Detection of SARS-CoV-2 viral nucleic acid is a direct evidence of viral infection, thus RT-PCR was considered to be the gold standard for etiological diagnosis of COVID-19. However, the high false negative rates mainly caused by challenges in specimen collection through nasopharyngeal swabs have limited its clinical application. We examined 52 highly suspected cases for COVID-19 whose nucleic acid tests had repeatedly returned as negative, and found that 38 of them were SARS-CoV-2 IgM positive and 45 of them were IgG positive, indicating examination of the specific SARS-CoV-2 antibodies can efficiently compensate for the false negative limitations of nucleic acid testing.

In conclusion, we have developed fully automated immunoassays for the detection of SARS-CoV-2 IgM and IgG antibodies in human serum using an automatic immune analyzer. Using specimens of peripheral blood, the immunoassays solved the sample collection challenges of nucleic acid testing. Thanks to the full automation of the immunoassays, sophisticated operational training and stringent laboratory settings are not required, as is the case for nucleic acid testing. The high throughput of SARS-CoV-2 IgM and IgG assays allows for the mass screening for COVID-19. The high clinical specificity and sensitivity of the automated SARS-CoV-2 IgM and IgG immunoassays add great value to nucleic acid testing in fighting against COVID-19.


Corresponding authors: Fuzhen Xia, Reagent R&D Center, Shenzhen YHLO Biotech Co., Ltd, YHLO Bioscience Building, Baolong 2nd Rd, Longgang District, Shenzhen, Guangdong, P.R. China, Fax: +86-755-2647-3319, E-mail: ; and Bi-Feng Liu, The Key Laboratory for Biomedical Photonics of MOE at Wuhan National Laboratory for Optoelectronics – Hubei Bioinformatics & Molecular Imaging Key Laboratory, Systems Biology Theme, Department of Biomedical Engineering, College of Life Science and Technology, Huazhong University of Science and Technology, Wuhan, Hubei, P.R. China, Fax: +86-27-8779-2170, E-mail: ; and Mi Zhou, Reagent R&D Center, Shenzhen YHLO Biotech Co., Ltd, YHLO Bioscience Building, Shenzhen, Guangdong, P.R. China, Fax: +86-755-2647-3319, E-mail:

Funding source: B.F. Liu, Fundamental Research Funds for the Central Universities

Award Identifier / Grant number: 2020kfyXGYJ103

Acknowledgments

We gratefully acknowledge Anna Xia (Faculty of Health Sciences, McMaster University, Canada) and Sabrina Ho (CBRE, The United Kingdom) for reviewing and editing this manuscript.

  1. Research funding: B.F. Liu, Fundamental Research Funds for the Central Universities (2020kfyXGYJ103).

  2. Author contributions: All authors have accepted responsibility for the entire content of this manuscript and approved its submission.

  3. Competing interests: Authors state no conflict of interest.

  4. Informed consent: Informed consent was obtained from all individuals included in this study.

  5. Ethical approval: The study was conducted with the approval of the review board for human studies from each hospital attended.

References

1. World Health Organization. Novel coronavirus - China. https://www.who.int/csr/don/12-january-2020-novel-coronavirus-china/en [Accessed January 2020].Search in Google Scholar

2. Gorbalenya, AE, Baker, SC, Baric, RS, de Groot, RJ, Drosten, C, Gulyaeva, AA, et al. Severe acute respiratory syndrome-related coronavirus: the species and its viruses – a statement of the Coronavirus Study Group. bioRxiv 2020. https://doi.org/10.1101/2020.02.07.937862.Search in Google Scholar

3. World Health Organization. Coronavirus disease (COVID-2019) situation reports. https://www.who.int/emergencies/diseases/novel-coronavirus-2019/situation-reports [Accessed 28 May 2020].Search in Google Scholar

4. World Health Organization. WHO characterizes COVID-19 as a pandemic (11 March 2020). https://www.who.int/dg/speeches/detail/who-director-general-s-opening-remarks-at-the-media-briefing-on-covid-19---11-march-2020.Search in Google Scholar

5. Li, Y, Xia, L. Coronavirus disease 2019 (COVID-19): role of chest CT in diagnosis and management. AJR Am J Roentgenol 2020;214:1–7. https://doi.org/10.2214/ajr.20.22954.Search in Google Scholar

6. Meo, SA, Alhowikan, AM, Al-Khlaiwi, T, Meo, IM, Halepoto, DM, Iqbal, M, et al. Novel coronavirus 2019-nCoV: prevalence, biological and clinical characteristics comparison with SARS-CoV and MERS-CoV. Eur Rev Med Pharmacol Sci 2020;24:2012–19. https://doi.org/10.26355/eurrev_202002_20379.Search in Google Scholar

7. Corman, VM, Landt, O, Kaiser, M, Molenkamp, R, Meijer, A, Chu, DKW, et al. Detection of 2019 novel coronavirus (2019-nCoV) by real-time RT-PCR. Euro Surveill 2020;25:2000045. https://doi.org/10.2807/1560-7917.es.2020.25.3.2000045.Search in Google Scholar

8. Duan, X, Wang, X, Yu, P, Liu, W, Li, X, Zhang, L, et al. Effect of virus inactivation on weak positive results of nucleic acid test for 2019 novel coronavirus. Chin J Lab Med 2020;43:358–63. [Epub ahead of print] (March 9, 2020). https://doi.org/10.3760/cma.j.cn114452-20200227-00138.Search in Google Scholar

9. Padoan, A, Sciacovelli, L, Basso, D, Negrini, D, Zuin, S, Cosma, C, et al. IgA-Ab response to spike glycoprotein of SARS-CoV-2 in patients with COVID-19: a longitudinal study. Clin Chim Acta 2020 Apr 25;507:164–6. https://doi.org/10.1016/j.cca.2020.04.026. Epub ahead of print. PMID: 32343948; PMCID: PMC7194886.Search in Google Scholar

10. Padoan, A, Cosma, C, Sciacovelli, L, Faggian, D, Plebani, M. Analytical performances of a chemiluminescence immunoassay for SARS-CoV-2 IgM/IgG and antibody kinetics. Clin Chem Lab Med 2020 Apr 16. https://doi.org/10.1515/cclm-2020-0443.Search in Google Scholar

11. Natrajan, A, Sharpe, D, Costello, J, Jiang, Q. Enhanced immunoassay sensitivity using chemiluminescent acridinium esters with increased light output. Anal Biochem 2010;406:204–13. https://doi.org/10.1016/j.ab.2010.07.025.Search in Google Scholar

12. Khalil, O, Mattingly, G, Genger, K, Mackowiak, J, Butler, J, Pepe, C, et al. Automated chemiluminescence immunoassay measurements. Ultrasensitive Lab Diagn 1993;895:28–40. https://doi.org/10.1117/12.146728.Search in Google Scholar

13. National Health Commission of the People’s Republic of ChinaThe guideline of diagnosis and treatment of COVID-19 (version 5). https://www.chinacdc.cn/jkzt/crb/xcrxjb/202002/t20200209_212396.html [Accessed February 2020].Search in Google Scholar

14. CLSI. Evaluation of precision of quantitative measurement procedures; approved guideline, 3rd ed. EP5-A3; Wayne, PA: Clinical and Laboratory Standards Institute; 2014, vol. 34.Search in Google Scholar

15. NCCLS. Evaluation of the linearity of quantitative measurement procedure: a statistical approach; approved guideline, 2nd ed. EP6-A; Wayne, PA: The National Committee for Clinical Laboratory Standards; 2003, vol. 23.Search in Google Scholar

16. CLSI. User protocol for evaluation of qualitative test performance; approved guideline, 2nd ed. EP12-A2; Wayne, PA: Clinical and Laboratory Standards Institute; 2008, vol. 28.Search in Google Scholar

17. To, KK, Tsang, OT, Leung, WS, Tam, AR, Wu, TC, Lung, DC, et al. Temporal profiles of viral load in posterior oropharyngeal saliva samples and serum antibody responses during infection by SARS-CoV-2: an observational cohort study. Lancet Infect Dis 2020;20:565–74. https://doi.org/10.1016/s1473-3099(20)30196-1.Search in Google Scholar

18. Long, QX, Liu, BZ, Deng, HJ, Wu, GC, Deng, K, Chen, YK, et al. Antibody responses to SARS-CoV-2 in patients with COVID-19. Nat Med 2020;1–4. https://doi.org/10.1038/s41591-020-0897-1. [Online ahead of print].Search in Google Scholar PubMed

Supplementary material

This article contains supplementary material https://doi.org/10.1515/cclm-2020-0548.

Received: 2020-04-20
Accepted: 2020-05-29
Published Online: 2020-07-15
Published in Print: 2020-08-27

© 2020 Walter de Gruyter GmbH, Berlin/Boston

Articles in the same Issue

  1. Frontmatter
  2. Editorial
  3. Measurement uncertainty: light in the shadows
  4. Review
  5. Childhood obesity: an overview of laboratory medicine, exercise and microbiome
  6. Mini review
  7. The utility of measurement uncertainty in medical laboratories
  8. Opinion Paper
  9. Do genetic polymorphisms in angiotensin converting enzyme 2 (ACE2) gene play a role in coronavirus disease 2019 (COVID-19)?
  10. Opinion Papers
  11. The current status and future prospects of precision medicine
  12. Precision medicine in medical oncology: hope, disappointment and reality
  13. IFCC Papers
  14. Laboratory practices to mitigate biohazard risks during the COVID-19 outbreak: an IFCC global survey
  15. Operational considerations and challenges of biochemistry laboratories during the COVID-19 outbreak: an IFCC global survey
  16. Genetics and Molecular Diagnostics
  17. Diverse fragment lengths dismiss size selection for serum cell-free DNA: a comparative study of serum and plasma samples
  18. General Clinical Chemistry and Laboratory Medicine
  19. Quantification of plasma remdesivir and its metabolite GS-441524 using liquid chromatography coupled to tandem mass spectrometry. Application to a Covid-19 treated patient
  20. Isotope dilution-LC-MS/MS method for quantification of the urinary cotinine-to-creatinine ratio
  21. A liquid chromatography-tandem mass spectrometry (LC-MS/MS)-based assay to profile 20 plasma steroids in endocrine disorders
  22. Assessment of antinuclear antibodies by indirect immunofluorescence assay: report from a survey by the American Association of Medical Laboratory Immunologists
  23. Evaluation of a novel extended automated particle-based multi-analyte assay for the detection of autoantibodies in the diagnosis of primary biliary cholangitis
  24. Reference Values and Biological Variations
  25. Continuous, complete and comparable NT-proBNP reference ranges in healthy children
  26. Reference-mean-centered statistical quality control
  27. Hematology and Coagulation
  28. Top-down and bottom-up approaches for the estimation of measurement uncertainty in coagulation assays
  29. Cancer Diagnostics
  30. Tumor-associated exosomal miRNA biomarkers to differentiate metastatic vs. nonmetastatic non-small cell lung cancer
  31. Analysis of EGFR mutation status in malignant pleural effusion and plasma from patients with advanced lung adenocarcinoma
  32. Cardiovascular Diseases
  33. Establishing the 99th percentile of a novel assay for high-sensitivity troponin I in a healthy blood donor population
  34. The clinically effective use of cardiac markers by restructuring laboratory profiles at Cardiology wards
  35. Infectious Diseases
  36. Lower nasopharyngeal viral load during the latest phase of COVID-19 pandemic in a Northern Italy University Hospital
  37. SARS-CoV-2 RNA identification in nasopharyngeal swabs: issues in pre-analytics
  38. Rapid identification of SARS-CoV-2-infected patients at the emergency department using routine testing
  39. Evaluation of eleven rapid tests for detection of antibodies against SARS-CoV-2
  40. Development and multicenter performance evaluation of fully automated SARS-CoV-2 IgM and IgG immunoassays
  41. Letters to the Editor
  42. Evaluation of seven commercial SARS-CoV-2 RNA detection kits based on real-time polymerase chain reaction (PCR) in China
  43. Blood sampling after COVID-19 − How to organize large scale phlebotomy services in the post SARS CoV-2 era
  44. Diagnostic performance of a SARS-CoV-2 IgG/IgM lateral flow immunochromatography assay in symptomatic patients presenting to the emergency department
  45. Urinalysis parameters for predicting severity in coronavirus disease 2019 (COVID-19)
  46. Neutrophil-to-lymphocyte ratio predicts the clearance of SARS-CoV-2 RNA in mild COVID-19 patients – a retrospective analysis from Dongxihu Fangcang Hospital in Wuhan, China
  47. Low levels of total and ionized calcium in blood of COVID-19 patients
  48. Is “light cannabis” really light? Determination of cannabinoids content in commercial products
  49. Amino-terminal proB-type natriuretic peptide reference values in umbilical cord blood
  50. The new era of LED microscopes in immunofluorescence anti-nuclear antibody (ANA) testing
  51. The centrifuge brake impacts neither routine coagulation assays nor platelet count in platelet-poor plasma
Downloaded on 12.12.2025 from https://www.degruyterbrill.com/document/doi/10.1515/cclm-2020-0548/html
Scroll to top button