Abstract
Background
The aim of this study was to evaluate the diagnostic performance of cerebrospinal fluid (CSF) free light chains (FLCs) in the diagnosis of Lyme neuroborreliosis (LNB).
Methods
Serum and CSF levels of κ- and λ-FLC, albumin and total concentration of immunoglobulin M (IgM) were determined together with CSF chemokine CXCL13 in 23 patients with definite LNB, 35 inflammatory neurological disease control (INDC) and 18 non-inflammatory control (NIC) patients. Indices and intrathecal fractions (IFs) of FLC and IgM were calculated.
Results
Significant differences in FLC indices and IFs were found between the LNB group and both control groups, p ≤ 0.007. Sensitivity of intrathecal κ- and λ-FLC synthesis reached 78%–87% in LNB patients with a specificity of 94%–100% in NIC patients, whereas specificity in INDC patients was 69%. The corresponding frequencies of positive results for IF and index of IgM and CSF CXCL13 in these three diagnostic groups were 74%–96% in LNB patients, 0% in NIC patients and 3%–6% in INDC patients at the chosen cut-off levels.
Conclusions
The findings of this study show a moderate to high sensitivity of CSF κ- and λ-FLC in LNB patients with a high specificity in NIC patients. However, overlap in CSF κ- and λ-FLC levels between LNB and INDC patients calls for caution in the interpretation and limits the diagnostic usefulness in the LNB diagnosis. CSF CXCL13 appears to be the most valuable additional biomarker of LNB aside from routine parameters such as CSF pleocytosis and anti-Borrelia antibody index.
Introduction
Lyme borreliosis (LB) is the most common known tick-borne infection in both Europe and North America, and is caused by spirochetes of the Borrelia burgdorferi sensu lato complex [1], [2]. Lyme neuroborreliosis (LNB) is an important disseminated manifestation of LB caused by spirochetes that have reached the central nervous system (CNS), and has been reported as the second most common clinical manifestation of LB in Europe [3], [4]. Diagnosis of definite LNB according to the European Federation of Neurological Societies’ (EFNS) guidelines requires neurological symptoms compatible with LNB, pleocytosis of the cerebrospinal fluid (CSF) and demonstration of Borrelia-specific intrathecal antibodies such as anti-Borrelia antibody index (AI), whereas cases of possible LNB are defined as fulfilling only two of three of these criteria [5]. Cases of possible LNB are not unusual in clinical practice in an LB endemic area. CSF pleocytosis may be absent in very early disease, and AI in paired CSF/serum samples may also be negative in the first few weeks. In addition, positive AI may persist for years even after successful treatment of LNB, thus hampering the laboratory diagnosis of Borrelia re-infections as well as other CNS disorders [1], [6], [7], [8], [9], [10]. Therefore, there is a need for additional reliable markers of ongoing LNB. In CSF, B cell markers in LNB have been in focus over the past few years. The chemokine CXCL13 has been of special interest, recently evaluated in a meta-analysis in the diagnosis of LNB [11]. In addition, already some 20 years ago, it was shown that the total concentration of immunoglobulin M (IgM) in CSF is elevated in early LNB [12]. This has also been confirmed in two more recent studies expressed as elevated total IgM index [10], [13]. Other markers for B cell activation are Ig free light chains (FLCs). These chains, detected as κ-FLC and λ-FLC, are produced and secreted in excess over heavy Ig chains by B cells. In inflammatory CNS diseases, detection of FLC in CSF may have a diagnostic value, especially in multiple sclerosis (MS) and clinically isolated syndrome patients [14], [15], [16]. There is also some evidence for a diagnostic value of CSF FLC in LNB [17], [18].
The aim of this study was to evaluate the performance of intrathecal κ-FLC and λ-FLC in the laboratory diagnosis of LNB in well-characterized adult LNB and clinically relevant control patients.
Materials and methods
Patients and samples
From the laboratory databases at the Departments of Clinical Chemistry and Clinical Microbiology, Kalmar County Hospital in Sweden, 23 adult (≥18 years) patients who were diagnosed with definite LNB according to EFNS guidelines [5] from the years 2013 to 2015 were identified and, where sufficient volume of serum (≥1 mL) and CSF (≥500 μL) were available, included in the study. These 23 definite LNB patients are hereafter called LNB patients. Furthermore, in the same manner, the following control patients (≥18 years) were included; 53 patients sampled with both CSF and serum in 2013–2015 in whom LNB was one differential diagnosis, but not confirmed, and CSF white blood cell (WBC) count as well as AI had been performed and sufficient volume of serum (≥1 mL) and CSF (≥500 μL) were available. These 53 control patients consisted of 35 CNS inflammatory neurological disease controls (INDCs) with MS with or without CSF pleocytosis in combination with other conditions with CSF pleocytosis (defined as a WBC count in CSF of ≥6×106/L) but with negative AI and 18 CNS non-inflammatory neurological disease controls (NINDCs), i.e. no CSF pleocytosis and negative AI. The 35 inflammatory control patients can thus be considered as CNS INDCs, while the remaining 18 controls represent a combination of NINDCs and symptomatic controls (SCs) according to Teunissen et al. [19], these 18 controls are hereafter called CNS non-inflammatory controls (NICs). All samples had been stored after original analyses (2013–2015) at −20 °C until analyses in this study.
Clinical information for all patients were obtained from the electronic patient records and included sex, age, duration of symptoms before the lumbar puncture, type of complaint/symptom, clinical diagnosis and treatment. Similarly, pre-existing routine laboratory results including IgM and IgG AI and WBC and red blood cell (RBC) counts in the CSF were obtained from the laboratory databases. Information was gathered systematically and by the same persons (IT and MJ).
Laboratory analyses
The following analyses were performed on all CSF and serum samples by nephelometry using BN ProSpec: albumin (N antisera for human albumin assay), total concentration of IgM (N Latex IgM assay), κ-FLC and λ-FLC (N Latex FLC kappa and N Latex FLC lambda assays) according to the manufacturer’s instructions (Siemens, Erlangen, Germany). Results for CSF IgM and CSF λ-FLC below the lowest detection limit were assigned half the value of the lowest detection limit, respectively. The lowest detection limits for these analyses in CSF were: for IgM 0.149 mg/L and for λ-FLC 0.0994 mg/L. For albumin and κ-FLC in both serum and CSF as well as IgM and λ-FLC in serum, all results were detectable, thus above the respective lowest detection limits. Furthermore, CSF CXCL13 was measured using ELISA (Quantikine, R&D Systems, Minneapolis, MN, USA) according to the manufacturer’s instructions. In order to save material for multiple analyses, samples with CXCL13 results >500 pg/mL were not diluted to obtain a final concentration and were therefore assigned the value 500 pg/mL. Results for CSF CXCL13 below the lowest concentration point on the standard curve (7.8 pg/mL) were assigned half that value.
The following precision data were found, presented as inter-assay coefficient of variation (CV): <2% for albumin, <4% for IgM, <3% for κ-FLC and <3% for λ-FLC. The precision data were determined at the Department of Clinical Chemistry, Kalmar County Hospital by repeating two relevant levels of controls 6 times per day for 5 days. In total, 30 results were obtained for each analysis and level. CV was calculated as standard deviation divided by mean, times 100 expressed as percentage. Precision of CXCL13 ELISA according to the manufacturer was <9.6% CV.
Calculations
In order to obtain ratios, indices and intrathecal fractions (IFs), the following formulas were used:
A non-linear function was also used for the calculation of IF of κ- and λ-FLC according to Hegen et al. as well as for IF of IgM according to Reiber in which an IF above 0 is considered a positive result [17], [20]:
Statistical analyses
In order to compare the ability of different parameters to discriminate between diagnostic groups, cut-off values and areas under curve (AUC) with 95% confidence intervals (CI) were calculated using the groups LNB and NIC (Table 1) in receiver-operating characteristic (ROC) analyses using MedCalc, version 18.6. Statistical analyses were performed using χ2 test for proportions, either Pearson χ2 or maximum likelihood ratio χ2 when appropriate. Comparisons across all three groups for non-parametrical data were performed using the Kruskal-Wallis ANOVA by ranks, followed by a pairwise Mann-Whitney U-test in case of significance (Statistica version 13). A p-value <0.05 was considered statistically significant.
Patient clinical characteristics.
| Parameter | Lyme neuroborreliosis (n=23) | Inflammatory neurological disease controls (n=35) | Non-inflammatory controls (n=18) | p-Valuea |
|---|---|---|---|---|
| Sex, female/male (% female) | 13/10 (57) | 14/21 (40) | 9/9 (50) | 0.45 |
| Age at lumbar puncture, years | ||||
| Mean (SD) | 58.1 (11.6) | 49.4 (20.1) | 51.6 (16.5) | |
| Median (range) | 60 (39–80) | 48 (19–88) | 58.5 (25–76) | 0.099 |
| Cranial nerve palsyab (%) | 12 (52) | 8 (23) | 2 (11) | 0.009 |
| Radiculitisb (%) | 11 (48) | 3 (9) | 0 (0) | <0.001 |
| Meningitisb (%) | 2 (9) | 6 (17) | 0 (0) | 0.064 |
| Other symptomb (%) | 7 (30) | 19 (54) | 16 (89) | <0.001 |
| Median duration of symptom before LP, days (range) | 21 (7–180) | 8 (1–1000) | 75 (2–3650) | 0.093 |
| Median CSF RBC count, ×106/L (range) | 3 (0–768) | 3 (0–70700) | 0 (0–296) | 0.041 |
| Median CSF WBC count, ×106/L (range) | 170 (24–525) | 18 (0–336) | 2 (0–5) | n/a |
| Median CSF mononuclear proportion, % (range) | 99 (79–100) | 100 (0–100) | n/a | n/a |
| CSF IgM anti-Borrelia antibodies (%) | 17 (74) | 0 (0) | 0 (0) | n/a |
| Median anti-Borrelia IgM antibody indexc (range) | 0.93 (0–23) | 0.04 (0–0.12) | 0.03 (0–0.14) | n/a |
| CSF IgG anti-Borrelia antibodies (%) | 18 (78) | 0 (0) | 0 (0) | n/a |
| Median anti-Borrelia IgG antibody indexc (range) | 7.4 (0.03–220) | 0.03 (0.02–0.08) | 0.02 (0–0.08) | n/a |
| Either CSF IgM or IgG anti-Borrelia antibodies (%) | 23 (100) | 0 (0) | 0 (0) | n/a |
| Antibiotic treatment effective for LNBd (%) | 23 (100) | 9 (26) | 2 (11) | <0.001 |
| Median sample storage time at −20 °C, days (range) | 1426 (919–1797) | 1740 (1037–1943) | 1372 (1211–1940) | 0.072 |
n, numbers; CNS, central nervous system; LP, lumbar puncture; CSF, cerebrospinal fluid; RBC, red blood cell; WBC, white blood cell; LNB, Lyme neuroborreliosis. ap-Values were calculated using Pearson χ2, maximum likelihood ratio χ2 or Kruskal-Wallis ANOVA by ranks when appropriate. bTen patients presented with a combination of two clinical findings from the categories cranial nerve palsy, radiculitis, meningitis and other symptoms, the remaining 66 with one clinical finding only. cPerformed using the IDEIA Lyme Neuroborreliosis test (Oxoid, Hampshire, UK). A positive index result is defined as ≥0.3 according to the manufacturer. dTreatment given according to Swedish medical products agency guidelines 2009.
Ethics
The study was approved by the Regional Ethical Review Board in Linköping, Sweden (Dnr 03-129 and Dnr M47-06).
Results
Details on sex, age, clinical features, symptom duration and frequency of antibiotic treatment effective for LNB as well as routine laboratory data including CSF RBC and WBC counts and IgM and IgG AI results are shown for the three clinical groups in Table 1. In addition, the storage time, for paired serum and CSF at −20 °C until the analyses were performed for this study, are shown for the respective study groups in Table 1. When antibiotic treatment was given, serum and CSF were collected prior to the initiation of treatment in all but one patient: an LNB patient (AI positive for both IgM and IgG with CSF pleocytosis at 130×106/L) in whom samples were collected the day after antibiotic treatment was commenced. No significant differences across groups were detected regarding sex and age. However, frequencies of cranial nerve palsy, radiculitis and other symptoms as well as RBC count of the CSF and the number of patients given antibiotic treatment effective for LNB significantly differed between groups. In contrast, occurrence of meningitis and the median duration of symptom at the time of lumbar puncture was not shown to differ. No significant difference in the storage time of serum and CSF samples between groups was noted. The spectrum of clinical conditions and diagnoses collected from medical records for the INDC and NIC groups was broad and is shown in Table 2.
Clinical findings in controls.
| Clinical condition/diagnosis | Inflammatory neurological disease controls (n=35) | Clinical condition/diagnosis | Non-inflammatory controls (n=18) |
|---|---|---|---|
| Multiple sclerosis | 9 | Headache | 6 |
| Cranial nerve palsya | 7 | Cognitive disorder | 3 |
| Aseptic meningitis | 5 | Paresthesia | 2 |
| Strokea | 3 | Cranial nerve palsy | 2 |
| Possible Lyme neuroborreliosis | 2 | Myalgia | 2 |
| Tick-borne encephalitis | 1 | Amyotrophic lateral sclerosis | 1 |
| Arteria iliaca stenosis | 1 | Carpal tunnel syndrome | 1 |
| Encephalopathy | 1 | Stroke | 1 |
| Herniated cervical disc | 1 | ||
| Neurosarcoidosis | 1 | ||
| Pneumonia | 1 | ||
| Posterior reversible encephalopathy syndrome | 1 | ||
| Radiculopathy | 1 | ||
| Spontaneous intracranial hypotension | 1 | ||
| Vertebral osteomyelitis | 1 |
CNS, central nervous system. aOne patient with two diagnoses.
In order to determine the diagnostic performance of the evaluated parameters, two approaches were used. First, cut-off levels previously described for the respective tests were used: For CSF CXCL13, a cut-off of 162 pg/mL was used according to a recent systematic review and meta-analysis [11]. For total IgM index, a cut-off of 0.234 was applied [10], while a positive IgM IF was defined as above 0 [20]. For κ- and λ-FLC indices as well as IF, cut-off levels according to Hegen et al. were used [17] (see Table 3). In addition to this strategy, and in order to compare the diagnostic performance of tests and calculations on an equal basis, ROC analyses were performed as previously described in the Statistical analyses section of this paper. ROC-based cut-off levels were then applied on the respective tests in the various patient groups. The corresponding AUC with 95% CI, ROC-based cut-off levels and numbers (%) positive in the respective groups are shown in Table 4. The ROC AUC for CSF CXCL13 was 1, but as shown in Table 4, 95% CI for all tests overlap each other.
Positive results based on the chosen cut-off levels for each analysis.
| Analysis | Lyme neuroborreliosis (n=23) | Inflammatory neurological disease controls (n=35) | Non-inflammatory controls (n=18) |
|---|---|---|---|
| CSF CXCL13a, n (%) | 22 (95.7) | 2 (5.7) | 0 (0) |
| Total IgM indexb, n (%) | 18 (78.3) | 1 (2.9) | 0 (0) |
| κ-FLC indexc, n (%) | 18 (78.3) | 11 (31.4) | 0 (0) |
| λ-FLC indexd, n (%) | 20 (87.0) | 11 (31.4) | 1 (5.6) |
| IgM IFe, n (%) | 17 (73.9) | 2 (5.7) | 0 (0) |
| κ-FLC IFe, n (%) | 18 (78.3) | 11 (31.4) | 0 (0) |
| λ-FLC IFe, n (%) | 20 (87.0) | 11 (31.4) | 1 (5.6) |
n, numbers; CSF, cerebrospinal fluid; FLC, free light chain; IF, intrathecal fraction. aCut-off at 162 pg/mL. bCut-off at 0.234. cCut-off at 7.9. dCut-off at 4.2. eCut-off at 0.
Comparisons of the diagnostic performance based on Receiver-operating-characteristic analyses.
| Analysis | ROC AUC (95% CI)a | Cut-off (>) | Numbers positive, % | Numbers positive, % | Numbers positive, % |
|---|---|---|---|---|---|
| Lyme neuroborreliosis (n=23) | Inflammatory neurological disease controls (n=35) | Non-inflammatory controls (n=18) | |||
| CSF CXCL13, pg/mL | 1 (0.914–1.000) | 9.0 | 23 (100) | 14 (40) | 0 (0) |
| Total IgM index | 0.993 (0.900–1.000) | 0.049 | 22 (95.7) | 21 (60.0) | 0 (0) |
| κ-FLC index | 0.971 (0.864–0.999) | 2.74 | 20 (87.0) | 16 (45.7) | 1 (5.6) |
| λ-FLC index | 0.957 (0.842–0.996) | 3.79 | 20 (87.0) | 13 (37.1) | 1 (5.6) |
| IgM IF | 0.973 (0.868–0.999) | −339 | 21 (91.3) | 19 (54.3) | 0 (0) |
| κ-FLC IF | 0.981 (0.880–1.000) | −201 | 22 (95.7) | 16 (45.7) | 1 (5.6) |
| λ-FLC IF | 0.978 (0.876–1.000) | −10.6 | 22 (95.7) | 13 (37.1) | 2 (11.1) |
ROC, receiver-operating characteristic analysis; AUC, area under curve; CI, confidence interval; n, numbers; CSF, cerebrospinal fluid; FLC, free light chain; IF, intrathecal fraction. aROC analyses performed in Lyme neuroborreliosis patients and non-inflammatory controls.
Scatterplots depicting results for CSF CXCL13, total IgM index, IgM IF, κ- and λ-FLC index as well as IF of κ- and λ-FLC for the three patients groups are shown in Figure 1. Significant differences in levels of results for all studied parameters were found between the LNB group and both control groups, p≤0.007. Results above the measuring range for CSF CXCL13, i.e. 500 pg/mL, were noted for 22 out of 23 patients in the LNB group and one out of 35 patients in the INDC group, the remaining patients showed results either within or below the measuring range. To compare FLC indices with the corresponding IF, results categorized as negative or positive for indices and IF applying the suggested levels for cut-off for κ- and λ-FLC indices and IF according to Hegen et al. were pairwise compared for κ- and λ-FLC, respectively, in all samples from these 76 patients [17]. All positive and negative κ- and λ-FLC results were 100% concordant comparing the index with IF results in all samples (data not shown in Table). For detailed results within the both control groups according to clinical conditions, see scatterplots in Figures 2 and 3.

Laboratory results in 23 Lyme neuroborreliosis patients, 35 inflammatory neurological disease control patients and 18 non-inflammatory control patients.
Horizontal bars represent medians. For all laboratory parameters, the initial Kruskal-Wallis test was performed with p<0.001 for all parameters, followed by a pairwise Mann-Whitney U-test performed, which are shown in the figure. *One outlier result at −10,234 for IgM IF in the INDC group not shown in the figure. CSF, cerebrospinal fluid; LNB, Lyme neuroborreliosis; INDC, inflammatory neurological disease control; NIC, non-inflammatory control; FLC, free light chain; IF, intrathecal fraction.

Laboratory results in 35 inflammatory neurological disease control patients according to clinical conditions.
*One patient with both stroke and peripheral facial palsy is depicted twice. **One outlier result at −10,234 for IgM IF in patient with vertebral osteomyelitis not shown in the figure. Horizontal bars represent medians. INDC, inflammatory neurological disease control; CSF, cerebrospinal fluid; PRES, posterior reversible encephalopathy syndrome; FLC, free light chain; IF, intrathecal fraction.

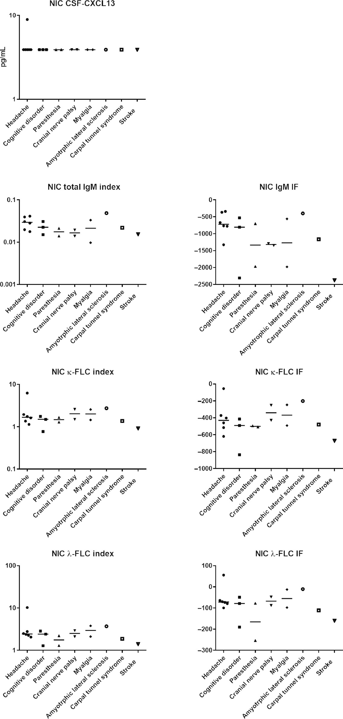
Laboratory results in 18 non-inflammatory control patients according to clinical conditions.
Horizontal bars represent medians. NIC, non-inflammatory control; CSF, cerebrospinal fluid; FLC, free light chain; IF, intrathecal fraction.
All MS patients (nine out of nine) in the INDC group showed the highest and elevated levels of κ-FLC index as well as κ-FLC IF according to the proposed levels of cut-offs by Hegen et al. [17]. Regarding λ-FLC, six out of nine of the same INDC MS patients were positive for λ-FLC index and λ-FLC IF.
As shown in Table 2 and Figure 2, two patients in the INDC group were considered as cases of possible LNB due to the clinical presentation but lack of positive AI. One of these two patients was diagnosed and treated with penicillin V for erythema migrans 16 days before the onset of peripheral facial nerve palsy for which the patient sought medical care after another 5 days, when lumbar puncture was performed. Laboratory investigations at lumbar puncture in this patient showed a total CSF WBC count of 48×106/L, all mononuclear cells. Furthermore, CSF-CXCL13 was 36 pg/mL, and total IgM-, κ- and λ-FLC index were all positive. Interestingly, λ-FLC IF was positive while κ-FLC IF and IgM IF were negative. In addition, this patient’s Borrelia serology in peripheral blood was positive (C6 Lyme ELISA kit, Immunetics, Inc., Boston, MA, USA). The patient received oral treatment with doxycycline for 2 weeks and had recovered at follow-up 3 months later. The other patient was treated with erythromycin for pneumonia 15 days prior to the onset of peripheral facial nerve palsy for which she sought medical advice and was lumbar punctured after an additional 4 days. No previous erythema migrans was noted. The laboratory investigation revealed an all mononuclear pleocytosis of the CSF with 26×106/L WBC, CSF-CXCL13 was 3.9 pg/mL and total IgM index, IgM IF as well as κ- and λ-FLC index and κ- and λ-FLC IF were all negative. Moreover, Borrelia serology in peripheral blood was negative (C6 Lyme ELISA kit, Immunetics, Inc., Boston, MA, USA). This patient was treated with oral doxycycline for 2 weeks and reported improvement already some 10 days later.
Two other patients with infectious diseases (pneumonia and vertebral osteomyelitis) in the inflammatory control group had CSF-CXCL13 results of at least 500 pg/mL (Figure 2): one patient presented with vertigo, fever and headache with a duration of at least 4 days. Further investigations including chest X-ray supported a diagnosis of pneumonia and the patient recovered after treatment with cefotaxime followed by penicillin V. The total CSF WBC count in this patient was 16×106/L, all mononuclear cells. Furthermore, this patient was negative for total IgM-, κ- and λ-FLC index as well as κ- and λ-FLC and IgM IF. The other patient presented with headache, fever, fatigue and confusion since a week. Cervical magnetic resonance imaging showed vertebral osteomyelitis and blood cultures were positive for Staphylococcus aureus. Lumbar puncture in this patient showed a total CSF WBC count of 36×106/L, of which 25×106/L were mononuclear cells and the remaining 11×106/L were polynuclear cells. The total IgM-, κ- and λ-FLC index as well as κ- and λ-FLC and IgM IF were all negative in this patient. This patient was initially treated with cloxacillin followed by oral flucloxacillin for a total of 3 months at which time full recovery was reached.
One patient in the NIC group with headache showed elevated levels of λ-FLC index and IF, but not for κ-FLC index or IF (Figure 3).
Discussion
In this study, we conclude a similar and moderate to high sensitivity for κ- and λ-FLC (78%–87%) in the laboratory diagnosis of LNB with a high specificity in non-inflammatory CSF control patients (90%–94%). This is in line with the previous findings [17], in which the same definition of LNB was used. However, in some contrast to the findings by Hegen et al., in our study we show a considerable overlap in levels of κ- and λ-FLC indices as well as IF between LNB patients and inflammatory control patients including a variety of relevant clinical conditions. κ- and λ-FLC levels above the cut-off were found in 31% of the patients in the INDC group, consequently reducing specificity to 69%, thus limiting the diagnostic usefulness of κ- and λ-FLC in LNB diagnostics. To be able to determine the usefulness of CSF FLC in the laboratory diagnosis of LNB, we believe it is important to include clinically relevant patients representing various CNS conditions of which LNB is one important differential diagnosis especially in tick-endemic areas of Europe and North America. As there is no pathognomonic sign or combination of signs for LNB, diagnosis of the condition requires laboratory investigations including CSF WBC count in combination with AI. The clinical presentation of LNB depends on affected parts of the CNS and peripheral nervous system. Findings include cranial nerve palsy, radiculitis and meningitis and often in combination with general complaints such as muscle/joint pain, fatigue and fever [21], [22]. Consequently, the final diagnosis includes a broad spectrum of clinical conditions of which LNB is one differential diagnosis. In this study, laboratory testing for LNB, i.e. CSF cell count and determination of AI, was ordered and performed in all patients as LNB was one possible differential diagnosis. In this aspect, we believe the well-characterized patients in this study to be representative of a routine clinical setting. Thus, elevated results of κ- and λ-FLC may indicate LNB but indeed also other conditions, in particular clinically isolated syndrome and MS, as shown in this study and previous studies [15], [16], [18], [23], [24].
Previous reports of FLC do not indicate any additional value of determining both κ- and λ-FLC, thus focusing on κ-FLC [15], [16], [18], [23], [24]. However, in the publication by Hegen et al. results indicated at least a similar or even higher sensitivity at fixed specificity for λ-FLC compared with κ-FLC in LNB [17]. In our study, we could not show any superior performance of λ-FLC in this regard. Another aspect of CSF FLC is the reporting format. Both index and IF calculations have been performed and used, and for LNB no one seem to be superior [17].
The diagnostic performance of IgM index and IgM IF in this study showed a similar and moderately high sensitivity in LNB patients with a high specificity in both INDC and NIC groups. Different cut-off levels for a positive IgM index have previously been suggested, e.g. 0.045–0.234 [10], [13], [25], consequently affecting both the sensitivity and specificity in the diagnosis of LNB as well as other CNS conditions. The role of IgM index in the diagnosis of LNB in both children and adults remains to be settled as well as the optimal level of cut-off for this purpose with regard to methodological considerations.
Regarding CSF CXCL13, our results further support previous multiple publications summarized in a recent review and meta-analysis [11]. Levels of CSF CXCL13 were elevated in all but one of the LNB patients with preserved high specificity in both INDC and NIC groups.
This study is limited by its retrospective design, using samples stored at −20 °C for up to 5 years. Although immunoglobulins are considered insensitive to long periods of storage at −20 °C [26], [27], [28], [29], the stability of FLC in CSF under these prolonged storage conditions is mainly unknown. Studies of FLC stability in plasma and serum indicate that FLCs are fairly stable at −20 °C for 4 weeks [30], [31], but one study of FLC in urine showed a decrease in levels after 3 months at −20 °C [32]. It is unknown if this decline also applies to serum and CSF; however, as there was no significant difference in storage time across groups and all samples were handled in the same way regardless of patient group, we believe the significant differences in levels of FLC between groups reflect actual differences although these may indeed be underestimated. In addition, the stability of CSF CXCL13 after storage for years at −20 °C may also be questioned, but we believe that the FLC reasoning above also applies to our CSF CXCL13 findings, which are in line with a number of previous publications [11].
Furthermore, the number of investigated patients in our study is small and only includes adults. Therefore, our findings need to be confirmed, and in addition it would be interesting to investigate the diagnostic performance of CSF κ- and λ-FLC in children. Children with LNB often present with a short symptom duration, e.g. 37%–57% with a symptom duration of less than 1 week, and in these patients a negative AI may occur in up to 49% [33], [34]. Thus, there is a need for additional diagnostic markers of pediatric LNB, and as MS is uncommon in children [35], FLC could be an interesting alternative.
Taken together, our findings show elevated κ- and λ-FLC in CSF of LNB patients with a high specificity in NIC patients, whereas levels in INDC patients, MS patients in particular, are elevated and overlapping. Hence, increased CSF levels of κ- and λ-FLC, as well as IgM expressed as index or IF, must be interpreted with caution and suggest CSF B cell activity that may be caused by either LNB, MS or other conditions. In addition, it is also known that CSF CXCL13 may be elevated in MS, although generally at lower levels than LNB [36], [37], [38], [39], [40]. This was confirmed in the present study; thus, CSF CXCL13 appears to be the most useful additional marker of LNB aside from CSF pleocytosis and AI.
Acknowledgments
We thank Inger Gustafsson for invaluable assistance with laboratory analyses and Lars Brudin for statistical support.
Author contributions: I. Tjernberg participated in the conception and design of the study, acquisition and statistical analysis of the data and in drafting of the manuscript. M. Johansson participated in acquisition of the data and in reviewing of the manuscript for intellectual content. A.J. Henningsson participated in reviewing of the manuscript for intellectual content. All the authors have accepted responsibility for the entire content of this submitted manuscript and approved submission.
Research funding: This study was conducted with support from the Medical Research Council of Southeast Sweden (FORSS).
Employment or leadership: None declared.
Honorarium: None declared.
Competing interests: The funding organization(s) played no role in the study design; in the collection, analysis, and interpretation of data; in the writing of the report; or in the decision to submit the report for publication.
References
1. Stanek G, Wormser GP, Gray J, Strle F. Lyme borreliosis. Lancet 2012;379:461–73.10.1016/S0140-6736(11)60103-7Suche in Google Scholar PubMed
2. Steere AC, Strle F, Wormser GP, Hu LT, Branda JA, Hovius JW, et al. Lyme borreliosis. Nat Rev Dis Primers 2016;2:16090.10.1128/9781555816490.ch11Suche in Google Scholar
3. Berglund J, Eitrem R, Ornstein K, Lindberg A, Ringer A, Elmrud H, et al. An epidemiologic study of Lyme disease in southern Sweden. N Engl J Med 1995;333:1319–27.10.1056/NEJM199511163332004Suche in Google Scholar PubMed
4. Cimmino MA. Relative frequency of Lyme borreliosis and of its clinical manifestations in Europe. European Community Concerted Action on Risk Assessment in Lyme Borreliosis. Infection 1998;26:298–300.10.1007/BF02962251Suche in Google Scholar PubMed
5. Mygland A, Ljostad U, Fingerle V, Rupprecht T, Schmutzhard E, Steiner I, et al. EFNS guidelines on the diagnosis and management of European Lyme neuroborreliosis. Eur J Neurol 2010;17:8–16, e1–4.10.1111/j.1468-1331.2009.02862.xSuche in Google Scholar PubMed
6. Blanc F, Jaulhac B, Fleury M, de Seze J, de Martino SJ, Remy V, et al. Relevance of the antibody index to diagnose Lyme neuroborreliosis among seropositive patients. Neurology 2007;69:953–8.10.1212/01.wnl.0000269672.17807.e0Suche in Google Scholar PubMed
7. Hansen K, Lebech AM. Lyme neuroborreliosis: a new sensitive diagnostic assay for intrathecal synthesis of Borrelia burgdorferi-specific immunoglobulin G, A, and M. Ann Neurol 1991;30:197–205.10.1097/00006454-199201000-00028Suche in Google Scholar
8. Ljostad U, Skarpaas T, Mygland A. Clinical usefulness of intrathecal antibody testing in acute Lyme neuroborreliosis. Eur J Neurol 2007;14:873–6.10.1111/j.1468-1331.2007.01799.xSuche in Google Scholar PubMed
9. Strle F, Ruzic-Sabljic E, Cimperman J, Lotric-Furlan S, Maraspin V. Comparison of findings for patients with Borrelia garinii and Borrelia afzelii isolated from cerebrospinal fluid. Clin Infect Dis 2006;43:704–10.10.1086/506936Suche in Google Scholar PubMed
10. Tjernberg I, Henningsson AJ, Eliasson I, Forsberg P, Ernerudh J. Diagnostic performance of cerebrospinal fluid chemokine CXCL13 and antibodies to the C6-peptide in Lyme neuroborreliosis. J Infect 2011;62:149–58.10.1016/j.jinf.2010.11.005Suche in Google Scholar PubMed
11. Rupprecht TA, Manz KM, Fingerle V, Lechner C, Klein M, Pfirrmann M, et al. Diagnostic value of cerebrospinal fluid CXCL13 for acute Lyme neuroborreliosis. A systematic review and meta-analysis. Clin Microbiol Infect 2018;24:1234–40.10.1016/j.cmi.2018.04.007Suche in Google Scholar PubMed
12. Tumani H, Nolker G, Reiber H. Relevance of cerebrospinal fluid variables for early diagnosis of neuroborreliosis. Neurology 1995;45:1663–70.10.1212/WNL.45.9.1663Suche in Google Scholar
13. Skogman BH, Lager M, Henningsson AJ, Tjernberg I. The recomBead Borrelia antibody index, CXCL13 and total IgM index for laboratory diagnosis of Lyme neuroborreliosis in children. Eur J Clin Microbiol Infect Dis 2017;36:2221–9.10.1007/s10096-017-3049-xSuche in Google Scholar PubMed PubMed Central
14. Nakano T, Matsui M, Inoue I, Awata T, Katayama S, Murakoshi T. Free immunoglobulin light chain: its biology and implications in diseases. Clin Chim Acta 2011;412:843–9.10.1016/j.cca.2011.03.007Suche in Google Scholar PubMed
15. Passerini G, Dalla Costa G, Sangalli F, Moiola L, Colombo B, Locatelli M, et al. Free light chains and intrathecal b cells activity in multiple sclerosis: a prospective study and meta-analysis. Mult Scler Int 2016;2016:2303857.10.1155/2016/2303857Suche in Google Scholar PubMed PubMed Central
16. Presslauer S, Milosavljevic D, Huebl W, Parigger S, Schneider-Koch G, Bruecke T. Kappa free light chains: diagnostic and prognostic relevance in MS and CIS. PLoS One 2014;9:e89945.10.1371/journal.pone.0089945Suche in Google Scholar PubMed PubMed Central
17. Hegen H, Milosavljevic D, Schnabl C, Manowiecka A, Walde J, Deisenhammer F, et al. Cerebrospinal fluid free light chains as diagnostic biomarker in neuroborreliosis. Clin Chem Lab Med 2018;56:1383–91.10.1515/cclm-2018-0028Suche in Google Scholar PubMed
18. Senel M, Tumani H, Lauda F, Presslauer S, Mojib-Yezdani R, Otto M, et al. Cerebrospinal fluid immunoglobulin kappa light chain in clinically isolated syndrome and multiple sclerosis. PLoS One 2014;9:e88680.10.1371/journal.pone.0088680Suche in Google Scholar PubMed PubMed Central
19. Teunissen C, Menge T, Altintas A, Alvarez-Cermeno JC, Bertolotto A, Berven FS, et al. Consensus definitions and application guidelines for control groups in cerebrospinal fluid biomarker studies in multiple sclerosis. Mult Scler 2013;19:1802–9.10.1177/1352458513488232Suche in Google Scholar PubMed
20. Reiber H. Flow rate of cerebrospinal fluid (CSF) – a concept common to normal blood-CSF barrier function and to dysfunction in neurological diseases. J Neurol Sci 1994;122:189–203.10.1016/0022-510X(94)90298-4Suche in Google Scholar
21. Henningsson AJ, Malmvall BE, Ernerudh J, Matussek A, Forsberg P. Neuroborreliosis – an epidemiological, clinical and healthcare cost study from an endemic area in the south-east of Sweden. Clin Microbiol Infect 2010;16:1245–51.10.1111/j.1469-0691.2009.03059.xSuche in Google Scholar PubMed
22. Strle F, Stanek G. Clinical manifestations and diagnosis of lyme borreliosis. Curr Probl Dermatol 2009;37:51–110.10.1159/000213070Suche in Google Scholar PubMed
23. Christiansen M, Gjelstrup MC, Stilund M, Christensen T, Petersen T, Jon Moller H. Cerebrospinal fluid free kappa light chains and kappa index perform equal to oligoclonal bands in the diagnosis of multiple sclerosis. Clin Chem Lab Med 2018;57:210–20.10.1515/cclm-2018-0400Suche in Google Scholar PubMed
24. Menendez-Valladares P, Garcia-Sanchez MI, Adorna Martinez M, Garcia De Veas Silva JL, Bermudo Guitarte C, Izquierdo Ayuso G. Validation and meta-analysis of kappa index biomarker in multiple sclerosis diagnosis. Autoimmun Rev 2019;18:43–9.10.1016/j.autrev.2018.07.010Suche in Google Scholar PubMed
25. Blennow K, Skoog I, Wallin A, Wikkelso C, Fredman P. Immunoglobulin M in cerebrospinal fluid: reference values derived from 111 healthy individuals 18–88 years of age. Eur Neurol 1996;36:201–5.10.1159/000117248Suche in Google Scholar PubMed
26. Fipps DR, Damato JJ, Brandt B, Burke DS. Effects of multiple freeze thaws and various temperatures on the reactivity of human immunodeficiency virus antibody using three detection assays. J Virol Methods 1988;20:127–32.10.1016/0166-0934(88)90146-2Suche in Google Scholar PubMed
27. Gislefoss RE, Grimsrud TK, Morkrid L. Stability of selected serum proteins after long-term storage in the Janus Serum Bank. Clin Chem Lab Med 2009;47:596–603.10.1515/CCLM.2009.121Suche in Google Scholar PubMed
28. Hart J, Miller C, Tang X, Vafai A. Stability of varicella-zoster virus and herpes simplex virus IgG monoclonal antibodies. J Immunoassay Immunochem 2009;30:180–5.10.1080/15321810902782871Suche in Google Scholar PubMed
29. Mannisto T, Surcel HM, Bloigu A, Ruokonen A, Hartikainen AL, Jarvelin MR, et al. The effect of freezing, thawing, and short- and long-term storage on serum thyrotropin, thyroid hormones, and thyroid autoantibodies: implications for analyzing samples stored in serum banks. Clin Chem 2007;53:1986–7.10.1373/clinchem.2007.091371Suche in Google Scholar PubMed
30. Nelson LS, Steussy B, Morris CS, Krasowski MD. Effect of specimen type on free immunoglobulin light chains analysis on the Roche Diagnostics cobas 8000 analyzer. Springerplus 2015;4:760.10.1186/s40064-015-1546-xSuche in Google Scholar PubMed PubMed Central
31. Tate JR, Gill D, Cobcroft R, Hickman PE. Practical considerations for the measurement of free light chains in serum. Clin Chem 2003;49:1252–7.10.1373/49.8.1252Suche in Google Scholar PubMed
32. Pieri M, Pignalosa S, Dinallo V, Crisanti A, Casalino P, Bernardini S, et al. Free light chains nephelometric assay: human urine stability in different storage conditions. Clin Chem Lab Med 2016;54:e273–4.10.1515/cclm-2015-1174Suche in Google Scholar PubMed
33. Skogman BH, Croner S, Nordwall M, Eknefelt M, Ernerudh J, Forsberg P. Lyme neuroborreliosis in children: a prospective study of clinical features, prognosis, and outcome. Pediatr Infect Dis J 2008;27:1089–94.10.1097/INF.0b013e31817fd423Suche in Google Scholar PubMed
34. Tveitnes D, Oymar K, Natas O. Laboratory data in children with Lyme neuroborreliosis, relation to clinical presentation and duration of symptoms. Scand J Infect Dis 2009;41:355–62.10.1080/00365540902787666Suche in Google Scholar PubMed
35. Ruet A. Update on pediatric-onset multiple sclerosis. Rev Neurol (Paris) 2018;174:398–407.10.1016/j.neurol.2018.04.003Suche in Google Scholar PubMed
36. Krumbholz M, Theil D, Cepok S, Hemmer B, Kivisakk P, Ransohoff RM, et al. Chemokines in multiple sclerosis: CXCL12 and CXCL13 up-regulation is differentially linked to CNS immune cell recruitment. Brain 2006;129:200–11.10.1093/brain/awh680Suche in Google Scholar PubMed
37. Ljostad U, Mygland A. CSF B – lymphocyte chemoattractant (CXCL13) in the early diagnosis of acute Lyme neuroborreliosis. J Neurol 2008;255:732–7.10.1007/s00415-008-0785-ySuche in Google Scholar PubMed
38. Rupprecht TA, Pfister HW, Angele B, Kastenbauer S, Wilske B, Koedel U. The chemokine CXCL13 (BLC): a putative diagnostic marker for neuroborreliosis. Neurology 2005;65:448–50.10.1212/01.wnl.0000171349.06645.79Suche in Google Scholar PubMed
39. Sellebjerg F, Bornsen L, Khademi M, Krakauer M, Olsson T, Frederiksen JL, et al. Increased cerebrospinal fluid concentrations of the chemokine CXCL13 in active MS. Neurology 2009;73:2003–10.10.1212/WNL.0b013e3181c5b457Suche in Google Scholar PubMed
40. Housley WJ, Pitt D, Hafler DA. Biomarkers in multiple sclerosis. Clin Immunol 2015;161:51–8.10.1016/j.clim.2015.06.015Suche in Google Scholar PubMed
© 2020 Ivar Tjernberg et al., published by De Gruyter, Berlin/Boston
This work is licensed under the Creative Commons Attribution 4.0 Public License.
Artikel in diesem Heft
- Frontmatter
- Editorial
- The re-emergence of dried blood spot sampling – are we ready?
- Review
- The role of platelets in bleeding in patients with thrombocytopenia and hematological disease
- Opinion Paper
- Exertional hematuria: definition, epidemiology, diagnostic and clinical considerations
- Guidelines and Recommendations from Scientific Societies
- A protocol for testing the stability of biochemical analytes. Technical document
- Genetics and Molecular Diagnostics
- Hereditary hyperferritinaemia-cataract syndrome (HHCS) – an underestimated condition: ferritin light chain variant spectrum in German families
- General Clinical Chemistry and Laboratory Medicine
- Performance of a web-based application measuring spot quality in dried blood spot sampling
- Clinical application of a dried blood spot assay for sirolimus and everolimus in transplant patients
- Plasma and dried blood spot lysosphingolipids for the diagnosis of different sphingolipidoses: a comparative study
- Liquid biopsy of cerebrospinal fluid identifies neuronal pentraxin receptor (NPTXR) as a biomarker of progression of Alzheimer’s disease
- Integrity of serum samples is changed by modified centrifugation conditions
- Heparin and citrate additive carryover during blood collection
- Copeptin – a biomarker of short-term mortality risk (7 days) in patients with end-stage liver disease
- Comparison of a new rapid method for the determination of adalimumab serum levels with two established ELISA kits
- Measurement of α-dicarbonyl compounds in human saliva by pre-column derivatization HPLC
- Establishment of the intelligent verification criteria for a routine urinalysis analyzer in a multi-center study
- Reference Values and Biological Variations
- A new indirect estimation of reference intervals: truncated minimum chi-square (TMC) approach
- EGFR and EGFR ligands in serum in healthy women; reference intervals and age dependency
- Early pregnancy reference intervals; 29 serum analytes from 4 to 12 weeks’ gestation in naturally conceived and uncomplicated pregnancies resulting in live births
- Paediatric reference intervals for 17 Roche cobas 8000 e602 immunoassays in the CALIPER cohort of healthy children and adolescents
- Hematology and Coagulation
- Study of the analytical performance at different concentrations of hematological parameters using Spanish EQAS data
- Multicenter performance evaluation of the Abbott Alinity hq hematology analyzer
- Cardiovascular Diseases
- Fast 0/1-h algorithm for detection of NSTEMI: are current high-sensitivity cardiac troponin assays fit for purpose? An EQA-based evaluation
- Infectious Diseases
- Diagnostic performance of cerebrospinal fluid free light chains in Lyme neuroborreliosis – a pilot study
- Letters to the Editor
- Quality management at the national biobanking level – establishing a culture of mutual trust and support: the BBMRI.at example
- Molecular diagnosis of MODY3 permitted to reveal a de novo 12q24.31 deletion and to explain a complex phenotype in a young diabetic patient
- Increased C-reactive protein values in the absence of inflammation: monoclonal immunoglobulin interference in immunonephelometry
- An approach based on simulated hemolysis for establishing the hemolysis index threshold for high-sensitivity cardiac troponin T assay
- Utility of the icteric index for the management of bilirubin test requesting
- Quality control of monocyte volume and distribution width parameters of the Beckman Coulter DxH series
- Mozhaisk haemoglobin variant effects on leukocyte differential channel using the Sysmex XN series
- Detection of a novel hemoglobin variant Hb Liaoning by matrix assisted laser desorption/ionization-time of flight mass spectrometry
- Appropriateness of repetitive therapeutic drug monitoring and laboratory turnaround time
- Congress Abstracts
- 51th National Congress of the Italian Society of Clinical Biochemistry and Clinical Molecular Biology (SIBioC – Laboratory Medicine)
Artikel in diesem Heft
- Frontmatter
- Editorial
- The re-emergence of dried blood spot sampling – are we ready?
- Review
- The role of platelets in bleeding in patients with thrombocytopenia and hematological disease
- Opinion Paper
- Exertional hematuria: definition, epidemiology, diagnostic and clinical considerations
- Guidelines and Recommendations from Scientific Societies
- A protocol for testing the stability of biochemical analytes. Technical document
- Genetics and Molecular Diagnostics
- Hereditary hyperferritinaemia-cataract syndrome (HHCS) – an underestimated condition: ferritin light chain variant spectrum in German families
- General Clinical Chemistry and Laboratory Medicine
- Performance of a web-based application measuring spot quality in dried blood spot sampling
- Clinical application of a dried blood spot assay for sirolimus and everolimus in transplant patients
- Plasma and dried blood spot lysosphingolipids for the diagnosis of different sphingolipidoses: a comparative study
- Liquid biopsy of cerebrospinal fluid identifies neuronal pentraxin receptor (NPTXR) as a biomarker of progression of Alzheimer’s disease
- Integrity of serum samples is changed by modified centrifugation conditions
- Heparin and citrate additive carryover during blood collection
- Copeptin – a biomarker of short-term mortality risk (7 days) in patients with end-stage liver disease
- Comparison of a new rapid method for the determination of adalimumab serum levels with two established ELISA kits
- Measurement of α-dicarbonyl compounds in human saliva by pre-column derivatization HPLC
- Establishment of the intelligent verification criteria for a routine urinalysis analyzer in a multi-center study
- Reference Values and Biological Variations
- A new indirect estimation of reference intervals: truncated minimum chi-square (TMC) approach
- EGFR and EGFR ligands in serum in healthy women; reference intervals and age dependency
- Early pregnancy reference intervals; 29 serum analytes from 4 to 12 weeks’ gestation in naturally conceived and uncomplicated pregnancies resulting in live births
- Paediatric reference intervals for 17 Roche cobas 8000 e602 immunoassays in the CALIPER cohort of healthy children and adolescents
- Hematology and Coagulation
- Study of the analytical performance at different concentrations of hematological parameters using Spanish EQAS data
- Multicenter performance evaluation of the Abbott Alinity hq hematology analyzer
- Cardiovascular Diseases
- Fast 0/1-h algorithm for detection of NSTEMI: are current high-sensitivity cardiac troponin assays fit for purpose? An EQA-based evaluation
- Infectious Diseases
- Diagnostic performance of cerebrospinal fluid free light chains in Lyme neuroborreliosis – a pilot study
- Letters to the Editor
- Quality management at the national biobanking level – establishing a culture of mutual trust and support: the BBMRI.at example
- Molecular diagnosis of MODY3 permitted to reveal a de novo 12q24.31 deletion and to explain a complex phenotype in a young diabetic patient
- Increased C-reactive protein values in the absence of inflammation: monoclonal immunoglobulin interference in immunonephelometry
- An approach based on simulated hemolysis for establishing the hemolysis index threshold for high-sensitivity cardiac troponin T assay
- Utility of the icteric index for the management of bilirubin test requesting
- Quality control of monocyte volume and distribution width parameters of the Beckman Coulter DxH series
- Mozhaisk haemoglobin variant effects on leukocyte differential channel using the Sysmex XN series
- Detection of a novel hemoglobin variant Hb Liaoning by matrix assisted laser desorption/ionization-time of flight mass spectrometry
- Appropriateness of repetitive therapeutic drug monitoring and laboratory turnaround time
- Congress Abstracts
- 51th National Congress of the Italian Society of Clinical Biochemistry and Clinical Molecular Biology (SIBioC – Laboratory Medicine)