Abstract
Housing markets are closely related to monetary policy. This paper studies the link between housing frictions and the effectiveness of forward guidance. A housing collateral constraint and forward guidance shocks are incorporated into a standard medium-scale New Keynesian Dynamic Stochastic General Equilibrium (DSGE) model. Our main results produce a number of important implications. First, financial frictions emanating from the housing market dampen the effectiveness of forward guidance on the economy. Second, forward guidance shocks generate welfare gains, though the magnitude of these gains declines when housing frictions increase. Housing frictions also attenuate the effect of forward guidance at the zero lower bound. Finally, this article provides a solution to “forward guidance puzzle” of Del Negro, M., M. P. Giannoni, and C. Patterson (2012. “The Forward Guidance Puzzle.” In FRB of New York Staff Report, 574). Thus, policymakers should consider housing frictions when examining the effects of forward guidance on the economy.
1 Introduction
Monetary policy and housing markets have historically been closely related. Arguably, the Federal Reserve’s excessively easy monetary policy contributed to a bubble in housing prices, which was one of the main causes of the global financial crisis in 2007–2009. To combat the recession, the federal funds rate, the conventional monetary policy instrument, was essentially set to zero from 2008 to 2015. Accordingly, the Fed conducted unconventional monetary policies such as large-scale asset purchases and forward guidance. In addition, in response to the COVID-19 induced recession, the Federal Reserve once again lowered the federal funds rate to its lowest possible level starting in May 2020, and consequently, issued guidance on the future course of policy. Abundant liquidity has flowed into the housing market again. In May 2021, Robert Shiller said, “In real terms, the home prices have never been so high.” As such, monetary policy and the housing market are inextricably linked. Surprisingly, to the best of our knowledge, no theoretical research has yet examined the zero lower bound (ZLB), unconventional monetary policy, and housing markets simultaneously.
This paper studies both financial frictions emanating from the housing market and unconventional monetary policy of forward guidance announcements. A medium-scale New Keynesian Dynamic Stochastic General Equilibrium (DSGE) model is utilized with two distinctive features. First, the borrowing capacity of producers depends on the value of collateral such as housing prices (e.g. Iacoviello 2005; Liu, Wang, and Zha 2013; Liu, Miao, and Zha 2016). Second, forward guidance shocks are incorporated to a Taylor type monetary policy rule (e.g. Laséen and Svensson 2011; Del Negro, Giannoni, and Patterson 2012; Cole 2021). The shocks are similar to “news shocks” of Schmitt-Grohé and Uribe (2004) and represent time-contingent forward guidance in which the central bank communicates a specific end date of their guidance on the interest rate.
We add to a standard New Keynesian DSGE model housing frictions similar to Liu, Miao, and Zha (2016). The unique components include both households and capitalists holding housing stock. The former group receives utility from housing. However, capitalists utilize housing for a different purpose. This group borrows to fund their operations, but is subject to a borrowing constraint in the spirit of Kiyotaki and Moore (1997). The extent of their credit depends on the value of their collateral, which includes both holdings of housing and capital. Thus, if a capitalist holds more housing, it can borrow more funds, increase capital, and generate economic activity.
An important parameter in our analysis is ζ, which can be interpreted as loan-to-value (LTV) ratio of capitalists and will be detailed later in the paper. As ζ approaches to 1, capitalists can borrow as much as the value of their collateral. This case stands for decreasing financial frictions. As ζ approaches to zero, capitalists cannot borrow at all as their collateral is not valuable. This scenario captures increased financial frictions. Moreover, in our benchmark case, we use an empirically motivated value of ζ found in prior studies.
Our results provide a number of important takeaways. First, financial frictions emanating from the housing market dampen the effectiveness of forward guidance on the economy. For instance, when the monetary authority announces interest rates will increase in the future, the impulse responses of the macroeconomic variables react more when housing frictions are reduced. Under a high value of ζ, a promise to increase the interest rate in the future decreases the value of collateral leading to drops in both output and housing demand from capitalists. Consequently, the value of collateral decreases again giving rise to the so called “financial accelerator effect.” However, under low values of ζ, collateral is minimally altered by interest rate changes leading to less of a reaction from macroeconomic variables. In addition, forward guidance generates welfare gains and increases economic and financial variability. Forward guidance increases the quantity of uncertainty in models as it is a new type of shock in the economy although economic agents know that shocks will be realized in advance. When the accelerator channel induced by the housing sector operates more aggressively, borrowing capacity of capitalists is restricted thereby decreasing economic fluctuations and welfare. Lastly, financial frictions emanating from the housing sector attenuate the effect of the ZLB. This result is observed when a recessionary shock causes the economy to move to the ZLB. The central bank then issues communication such that the future path of interests rates will be zero for L periods into the future. Forward guidance produces a stimulative effect on output and inflation, but this effect is diminished when housing frictions increase.
The present paper also suggests a solution for the “forward guidance puzzle” of Del Negro, Giannoni, and Patterson (2012). This phenomenon can be defined as standard DSGE macroeconomic models predicting unbelievably large responses of macroeconomic variables to relatively small forward guidance shocks. It should be noted that the paper of Del Negro, Giannoni, and Patterson (2012) did not include financial frictions emanating from the housing sector. However, we present evidence that macroeconomic variables do not exhibit an unusually large response to forward guidance when housing frictions are allowed to exist.
Robustness checks also provide additional takeaways and confirm our base results. First, if the collateral of capitalists becomes more valuable because the value of capital becomes as important as real estate, the effectiveness of forward guidance also increases. Firms are able to finance more since capital becomes more valuable as collateral. Finally, our results are robust when incorporating a time-varying LTV. The differences between this robustness case and our benchmark impulse responses are found to be trivial.
Overall, the results show that housing frictions can significantly influence the effectiveness of forward guidance. The effects of forward guidance on macroeconomic variables are attenuated when frictions emanating from the housing market increase. Thus, policymakers should consider housing frictions when examining the effects of forward guidance on the economy.
1.1 Previous Literature
This paper is closely related to two strands of the literature. One strand studies impacts of financial frictions on business cycles. Kiyotaki and Moore (1997) and Bernanke, Gertler, and Gilchrist (1999) document that financial frictions introduce a wedge between lenders and borrowers that amplifies economic fluctuations in macroeconomic models. Iacoviello (2005) and Liu, Wang, and Zha (2013) are two papers most closely related to our paper. Iacoviello (2005) incorporates housing collateral constraints into a DSGE model to study amplified and propagated effects of shocks. Liu, Wang, and Zha (2013) study a positive co-movement between investment and housing prices using a DSGE model with collateral constraints. Relative to these studies, the present paper attempts to measure the effectiveness of forward guidance with housing collateral.
The other strand of the literature regards forward guidance. Eggertsson and Woodford (2003), Kiley (2016), and Swanson (2018) study forward guidance at the ZLB. Campbell et al. (2012) find that the efficacy of forward guidance varies depending on the time horizon. Chen, Cúrdia, and Ferrero (2012) show that forward guidance can increase the positive benefits of large-scale asset purchases. Janson and Jia (2020) study forward guidance in response to the COVID-19 induced recession.
Prior forward guidance literature has also focused on extreme responses of standard models to forward guidance. The seminal papers by Del Negro, Giannoni, and Patterson (2012) and Carlstrom, Fuerst, and Paustian (2015) show that standard macroeconomic models predict unusually large responses of macroeconomic variables to forward guidance, the so called “forward guidance puzzle.” Bundick and Smith (2020) show this large effect with a VAR model. De Graeve, Ilbas, and Wouters (2014) study threshold-based forward guidance in which guidance on future policy is tied to economic conditions. They find that this type of forward guidance can attenuate the unrealistically large responses of macroeconomic variables to forward guidance. Cole (2021) shows that a more realistic expectations formation assumed in a macroeconomic model can help solve the forward guidance puzzle. Heterogeneous expectations can also influence the effectiveness of forward guidance on the economy as shown in Andrade et al. (2019). Haberis, Harrison, and Waldron (2019) and Cole and Martínez-García (2021) focus on how central bank credibility can alleviate the extreme responses predicted by macroeconomic models.
Another closely related paper is Cole (2020) who analyzes the effectiveness of forward guidance with financial frictions depending on net worth of firms in light of Bernanke, Gertler, and Gilchrist (1999). Our paper differs from Cole (2020) for several reasons. First, financial frictions in our paper are induced from collateral constraints that are tied to housing prices, so the mechanisms of frictions are quite different. Second, our paper analyzes the linkage between housing markets and monetary policy. Recent papers document that housing markets are important source of economic fluctuations, so it is imperative to measure the effectiveness of forward guidance with a housing sector (e.g. Iacoviello and Neri 2010; Liu, Wang, and Zha 2013). Lastly, our paper explores the effect of forward guidance on welfare and economic and financial stability, while welfare analysis is abstracted from Cole (2020).
The organization of the paper is as follows. Section 2 describes the model. Section 3 lays out choice of parameter values. Section 4 presents results. Sections 5 includes robustness checks while Section 6 concludes. An appendix to the paper provides log-linearized model.
2 Model
The economy consists of four types of agents: households, capitalists, final-good firms, and intermediate-goods firms. Households consume both final-good and housing services, save in the risk-free bond market, and supply labor. Capitalists receive utility by consumption and do not supply labor. They own all firms and require both internal funds and external borrowing for providing investment. Capitalists’ external financing capacity depends on the value of collateral which are their holding of house and capital stock. Final-good firms buy intermediate goods in a competitive market and produce final good. Intermediate-goods firms need labor, capital, and housing as input to produce goods and introduce nominal price rigidities through their price setting strategy as in Calvo (1983). There is a monetary authority in the model that conducts not only conventional monetary policy but also forward guidance. Moreover, without nominal rigidities and monetary policy, our model is similar to the model in Liu, Miao, and Zha (2016).[1] However, the forward guidance is a salient feature in our model and it has substantial effects on the economy. In all other respects, our model follows DSGE framework developed by Christiano, Eichenbaum, and Evans (2005) and Smets and Wouters (2007).
2.1 Households
There exists a continuum of identical households. Each household chooses consumption, housing service, labor, and savings every period to maximize the present discounted flow utility:
where E 0 is the expectation operator, c h,t is household consumption, h h,t is household holdings of housing stocks, and l t is hours of work at time t. Parameters β ∈ (0, 1) is the subjective discount factor of the household, b > 0 determines the habit persistence, ϑ > 0 is the relative weight on housing, χ0 > 0 denotes the relative weight on labor, and χ > 0 is the inverse Frisch elasticity of labor supply. For simplicity, we assume that consumption and housing service are separable as in Iacoviello (2005).
The flow budget constraint each period is given by
where P t is the aggregate price level, B t is nominal household savings, Q h,t denotes nominal housing price, R t is the gross nominal interest rate, and W t is nominal wage at time t.
Solving the household problem with real budget constraint yields the following first order conditions:
where λ
t
denotes the Lagrangian multiplier on the budget constraint,
where
2.2 Capitalists
The economy is populated by a continuum of identical capitalists. At each time t, the representative capitalist chooses consumption to maximize the expected present discounted value of utility flows,
where c c,t is capitalist’s consumption at time t. Parameters β c ∈ (0, 1) denotes the subjective discount factor and b c is the habit persistence of the capitalist. Initially, the capitalist is endowed with housing stock h c,−1 and capital stock k −1 and has no debt. As all the firms are collectively owned by capitalists in the economy, they invest and have to pay interest on borrowings. Firms distribute returns from capital, housing and profits back to capitalists each period. The capitalist’s flow budget constraint is thus:
where h c,t denotes capitalist’s holding of housing stock, I t is investment, B t denotes nominal borrowings, R k,t is the capital rental rate, R h,t is the housing rental rate, and Π t is nominal profits from firms at time t.
There is an investment adjustment cost. The law of motion for capital is thus:
where δ > 0 is the depreciation rate of capital and Ω determines the cost of adjusting investment. The capitalist also faces a borrowing constraint in the spirit of Kiyotaki and Moore (1997). The borrowing capacity of capitalist depends on a fraction of value of not only capital but also housing. About 70% of commercial loans requires collateral and they mainly depend on tangible assets such as real estate and equipment.[2] The credit constraint is given by:
where Q k,t is nominal price of capital, ζ ∈ (0, 1) is a parameter which can be interpreted LTV, and ω 1 and ω 2 are relative weight of housing and capital in the collateral value, respectively. When ζ approaches to one, the capitalist can borrow as much as the value of the collateral meaning decrease in financial frictions. On the other hand, as ζ approaches to zero, the capitalist cannot borrow at all in spite of the collateral as it is not valuable. This implies that financial frictions are increased. As it is common in the literature, we also assume that β > β c to make Equation (11) to bind.
Solving the capitalist problem subject to (9), (10), and (11) in real terms yields the following first order conditions:
where
2.3 Final-Goods Firms
A perfectly competitive final goods sector aggregates intermediate goods using a CES production function
where Y t is the quantity of the final goods, y t (f) is an intermediate good of firm f, and θ > 0 is the steady state markup. Each final good producing firm maximizes its profit given the production function (17) and the prices of intermediate and final goods. An intermediate goods producing firm f accordingly faces a downward-sloping demand curve
where
2.4 Intermediate-Goods Firms
The economy also contains a continuum of intermediate goods firms indexed by f ∈ [0, 1]. They sell slightly differentiated goods under monopolistic competition. Firms produce output using housing, capital, and labor as inputs. The production function is given by
where A t is total factor productivity and k t (f), h c,t (f) and l t (f) are firm f’s capital, housing, and labor inputs, respectively. The parameters η ∈ (0, 1) and ϕ ∈ (0, 1) denote the elasticity of output with respect to labor and housing, respectively.
Total factor productivity follows an AR(1) process in logs,
where ρ
A
∈ (0, 1], and
Cost minimization problem yields the following first-order conditions for capital, housing, and labor:
where φ t (f) is the Lagrange multiplier of the cost minimization problem. Equation (21) shows that rental rate of capital equals to marginal production of capital multiplied by real marginal cost; Equation (22) displays that rental rate of housing equals to marginal benefit of purchasing one additional unit of housing multiplied by real marginal cost; and Equation (23) means that real wage equals to marginal benefit of an additional work hour multiplied by real marginal cost.
Dividing (21) by (22), (22) by (23), and (23) by (21) yield the housing-capital, the labor-housing, and the capital-labor ratios, respectively:
where H c,t is the aggregate housing of the capitalist, K t is the aggregate capital stock, and L t is the aggregate quantity of labor. The ratios are common across firms because they face the same rental rates. As a result, the demand functions for capital, housing, and labor are:
where
Each intermediate goods firm also sets the new contract price P t (f) to maximize the firm’s lifetime profit in a staggered fashion: only a fraction, 1 − ξ, of firms are able to adjust its price optimally each period, while the remaining firms fix their prices over the life of the contract. Hence, the real value of the firm is given by:
where
The first order necessary condition of (30) with respect to P t (f) yields the optimal price which is given by:
where
2.5 Monetary Policy
Monetary policy is conducted by à la Taylor rule with interest-rate smoothing as well as forward guidance shocks. In log-linearized form, the nominal interest rate is given by[4]
where ρ
i
∈ (0, 1) is the smoothing parameter, ϕ
π
> 0 is the feedback coefficient on inflation, ϕ
y
> 0 is the feedback coefficient on output gap, and
The system of equations is also augmented with the following:
The vector
2.6 Resource Constraint and Market Clearing Conditions
Combining the downward sloping demand curve and the production function yields the aggregate output equation:
where
The market clearing condition for the final good in a competitive equilibrium implies:
where C
h,t
is the aggregate consumption of the household, C
c,t
is the aggregate consumption of the capitalist, and
where H h,t is the aggregate housing demand of the household and H c,t is the aggregate housing demand of the capitalist. Following Iacoviello (2005) and Liu, Wang, and Zha (2013), we assume that the aggregate housing supply is fixed at unitary.
3 Parameterization
The choice of parameter values for the model is presented in Table 1. The model includes thirty-seven parameters. Seven parameters (ϑ, β
c
, b
c
, ζ, ω
1, ω
2, and ϕ), are linked to housing sector, thirteen parameters (
We start with the traditional parameters. The household’s discount factor, β, is set to 0.9925 implying 3 percent of real interest rate in the nonstochastic steady state. The persistence of habit of the household, b, is calibrated to 0.5, consistent with the estimate in Liu, Wang, and Zha (2013). The household’s relative utility weight of labor, χ 0, is set to normalize labor to one in steady state. The labor margin, χ, is set to 3, which corresponds to a Frisch elasticity of labor supply of 1/3 that is about in line with the estimate in Del Negro, Giannoni, and Schorfheide (2015).
Our choice of the production sector is also standard. The elasticity of output with respect to labor, η, is set to 0.6. We calibrate depreciation rate to 0.025, implying a depreciation of 10 percent per year, consistent with the estimate in King and Rebelo (1999). We set the steady state markup, (1 + θ), to 1.1 as in Smets and Wouters (2007). The Calvo contract parameter, ξ, is chosen to be 0.65 to match autocorrelation of inflation in the data. The persistence of technology and demand shocks, ρ A and ρ d , respectively, are chosen to be 0.95, implying stationary processes. The standard deviations of technology and demand shocks, σ A and σ d , respectively, are set to 1 percent.
Monetary policy includes both standard and nonstandard parameters. The smoothing parameter, ρ i , is set to 0.75, the feedback coefficient on inflation, ϕ π is set to 1.5, and the feedback coefficient on output gap, ϕ y , is calibrated to 0.1. The standard deviation of unexpected monetary shock, σ m , is set to 1 percent which is the same size as the technology shock. The length of forward guidance, L, is chosen to 12, consistent with empirical time-contingent forward guidance by the Federal Reserve in September 2012.[6] The size of each forward guidance shock is set to 1 percent as the unexpected monetary policy shock.
Turning to the parameters related with housing sector, we use estimates from Liu, Wang, and Zha (2013). We set the capitalist’s discount factor, β c , to 0.945. The credit constraint (11) thus binds as the capitalist’s discount factor is smaller than the household’s discount factor. The capitalist’s habit persistence, b c , is set to 0.65 meaning that the capitalist depends on the past consumption level more than that of the household. The LTV, ζ, is calibrated to 0.8 which implies that the capitalist can borrow up to 80% of the collateral value. The relative weight on housing value in the collateral constraint, ω 1, is normalized to 1 and the weight on capital value, ω 2, is set to 0.1. The elasticity of investment adjustment cost, Ω, is calibrated to 0.1753. This value is relatively smaller than its typical estimates of 2–3 (e.g. Justiniano, Primiceri, and Tambalotti 2010). It is, however, necessary to have a small adjustment cost parameter to match volatility of investment. This small value is also consistent with the minor role of capital in the collateral value. Lastly, the elasticity of output with respect to house, ϕ, is set to 0.07.
We provide additional justification for our chosen model. Table 2 displays the autocorrelations up to three lags of the following macroeconomic variables: output (Y), consumption (C), investment (I), housing price (q h ), wages (w), labor (L), inflation (π), nominal interest rate (R), and real interest rate (r). We compute these statistics from U.S. data across the time period 1948:Q1 – 2008:Q4 (top panel of Table 2). The data are retrieved from Bureau of Economic Analysis as well as Robert Shiller’s website.[7] All series are HP filtered except for inflation and interest rates. The counterparts from our model described in Section 2 are also reported in the bottom panel of Table 2. The results show that the model does a reasonable job of matching the data. The sign of the autocorrelations from our model match entirely the counterparts from the data. The persistence of variables generated by the model also are similar to those derived from U.S. data overall.
4 Results
4.1 Impulse Responses
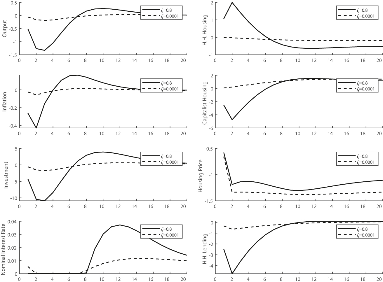
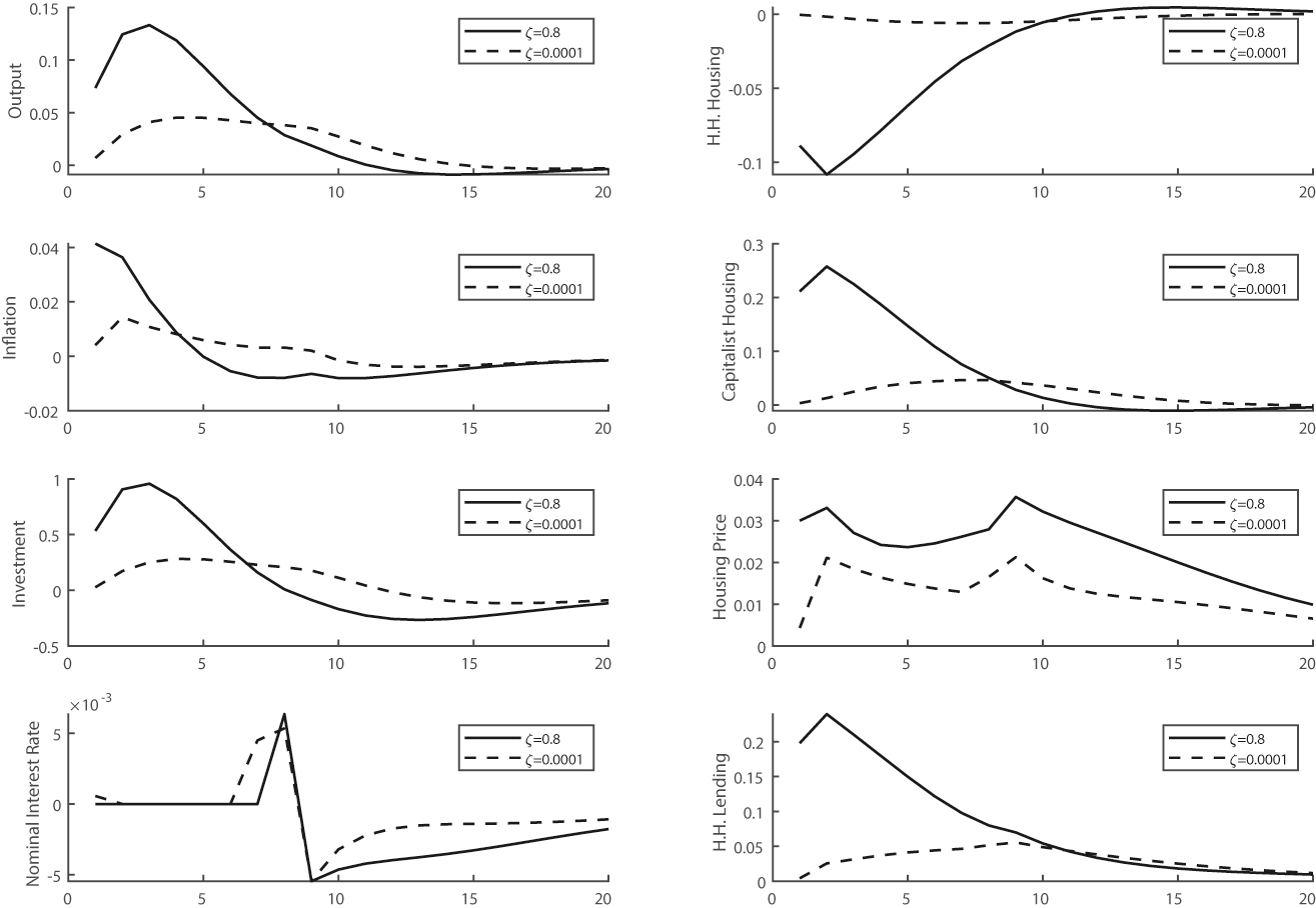
We proceed with our main analysis examining the influence of housing frictions on the effectiveness of forward guidance. Figures 1 –4 display the responses of select macroeconomic variables to a one standard deviation increase in the unanticipated monetary policy, four, eight, and twelve periods ahead forward guidance shocks. The solid line denotes our benchmark case of housing frictions, i.e. ζ = 0.8. The dashed line represents increased financial frictions, (i.e. ζ = 0.0001) in which the borrowing of capitalists is constrained as collateral is not valuable.[8]
The benchmark case of ζ = 0.8 shows the effects of forward guidance on macroeconomic variables. When the central bank announces that the interest rate will increase four, eight, or twelve periods into the future, Figures 1 and 3 display that output, inflation, and investment all initially decline. Households substitute away from consumption into more housing (displayed in Figures 2 and 4), while capitalists decrease investment with the higher interest rate. Consequently, output and inflation overall decrease in response to an adverse forward guidance shock. Finally, output, inflation, and investment all decrease again around the time when the forward guidance shock is realized on the economy.
Housing variables also have similar intuitive responses to forward guidance statements. To understand these effects, it is helpful to first examine the responses to an unanticipated monetary policy shock which is presented in Figure 1. When the interest rate increases, the value of collateral decreases as seen by Equation (11). Accordingly, borrowing of capitalists decreases causing investment and output to drop. Given the decrease in output, housing demand from intermediate goods firms reduces along with housing prices. This result further decreases the value of collateral. Consequently, capitalists are further constrained in their borrowing generating a deeper economic downturn and giving rise to the so called “financial accelerator” effect. In addition, households increase their holdings of housing services due to the decreases in housing prices from the accelerator mechanism. Thus, H h increases while both H c and q h decline.
The financial accelerator reasoning can then be provided for the effects of forward guidance shocks on housing variables. Knowledge that future interest rates will increase causes the value of collateral to drop. Similar to the previous paragraph, an increase in borrowing constrained firms leads to a decline in output and house prices before the change in the interest rate is realized. The decrease in home prices further causes capitalists’ value of collateral to decrease resulting in the financial accelerator effect.
What occurs if financial frictions regarding housing increase? The dashed lines in Figures 1 –4 show the effects of forward guidance are dampened. The responses of the macroeconomic variables to forward guidance shocks four, eight, and twelve periods ahead display the same initial sign as the ζ = 0.8 case, but do not react as strongly. For instance, output, inflation, and investment decline upon announcement that the interest rate will increase in the future. However, the reaction is muted when financial frictions in the housing market increase. The reason for this can be due to a constrained financial accelerator mechanism. When ζ is set to 0.0001, borrowing already reached its minimum value (or very close to zero). The capitalist can only use their internal funds for activities, and thus, the accelerator mechanism is restricted. Increases in interest rate would minimally alter, if at all, the collateral constraint. Therefore, the responses of macroeconomic and housing variables are much attenuated.
Similar results occur when examining housing market variables. As in the benchmark scenario, the response of capitalist’s housing initially is negative. However, since they are constrained in their borrowing, the capitalist cannot borrow as much (household lending is less under the sufficiently tight credit constraint than the benchmark case). Consequently, the capitalist’s holdings of housing does not initially change a lot implying the same for household’s holdings of housing.[9]
The main results also provide a solution to the “forward guidance puzzle” as laid out by Del Negro, Giannoni, and Patterson (2012). This previous phenomenon is described as standard macroeconomic models predicting extreme responses (relative to the data) of the macroeconomic variables to forward guidance. Under the model utilized in Del Negro, Giannoni, and Patterson (2012), frictions emanating from the housing market were not considered. However, Figures 1 –4 in the present paper shows that housing market frictions can soften the predicted effects of forward guidance. Analogous to the results of Del Negro, Giannoni, and Patterson (2012), the low frictions case (i.e. solid line) display relatively larger responses to forward guidance than the increased frictions scenario (i.e. dashed line). With minimal housing frictions, capitalists are not as borrowing constrained leading to an increase of goods and services produced in the economy. However, when frictions from the housing sector are allowed to exist, the impact of forward guidance attenuates the larger the effect of housing frictions.
Our findings regarding the forward guidance puzzle relate to the two-agent New Keynesian (TANK) literature. For instance, Gerke, Giesen, and Scheer (2020) show that modeling two heterogeneous economic agents attenuate the effects of forward guidance. In particular, one type of agent operates on the standard Euler equation, while the other is income constrained and comparable to a “hand-to-mouth” type of agent. Furthermore, direct and indirect effects occur in response to policy. The former concerns agents adjusting their consumption patterns in response to changes in interest rates, while the latter effect deals with income transfers. Overall, the reaction of macroeconomic variables to changes in the policy rate are dampened when more hand-to-mouth agents exist in the economy.
Two types of agents in our paper are also similar to the TANK literature. In the present setup, households operate on their Euler equation, while capitalists do not and are subject to a borrowing constraint. When housing frictions are in the extreme (ζ = 0.0001), capitalists borrowing reaches its minimum value (or very close to zero), and they operate like hand-to-mouth agents; consequently, forward guidance statements about the future policy rate do not effect macroeconomic variables as much as under less housing frictions. Therefore, housing frictions can be a solution to the forward guidance puzzle.
4.2 Welfare and Economic Stability
Since the housing sector played a large role in the global financial crisis in 2007–2009, many studies have analyzed macroprudential policies using the housing sector or collateral constraints. In particular, the focus examined the impact of the LTV ratio on welfare or financial stability (e.g. Kannan, Rabanal, and Scott 2012; Funke and Paetz 2012; Rubio and Carrasco-Gallego, 2014). Similarly, we follow Rubio and Carrasco-Gallego (2014) to analyze the implications of the LTV on welfare and economic stability when it works with monetary policy and when it does not. Our analysis in this section, however, is distinct from Rubio and Carrasco-Gallego (2014) in several aspects. First, forward guidance is considered in monetary policy in our model, while it is abstracted in their model. Second, our model features a positive co-movement between the housing price and investment due to the housing constraint on the capitalist. In Rubio and Carrasco-Gallego (2014), on the other hand, housing prices do not move in the same direction as investment because households are divided into patient savers and impatient borrowers as noted by Liu, Wang, and Zha (2013).[10]
We construct a household’s welfare metric as the present discounted value of household utility:
where
Similarly, capitalist’s welfare can be defined as the present discounted value of capitalist utility:
where
The model is solved using a second-order perturbation method since the linearized solution of the utility functions can be spurious (e.g. Schmitt-Grohé and Uribe 2004). We introduce a macroprudential regulator who is able to set the level of LTV. To show the implications of forward guidance and the LTV for welfare and economic stability, we consider two possible cases. The first case is that the monetary authority and macroprudential regulator set the feedback coefficients in the monetary policy rule (i.e. ϕ π and ϕ y ) and the LTV in cooperation to maximize welfare. The second scenario involves the macroprudential authority adjusting the LTV, given the feedback coefficients in monetary policy. We call the former as cooperative case and the latter as non-cooperative case. Furthermore, to measure the impact of forward guidance on welfare and economic stability we consider analogous cases that are exactly the same as the previous two, but the monetary authority does not conduct forward guidance at all.
We search over a wide range of values for ϕ π , ϕ y , and ζ to find the parameterization that maximizes welfare under each of the two scenarios, that is, cooperative and non-cooperative cases.[11] Panel (a) in Figure 5 illustrates that welfare is an increasing function to the LTV in cooperative case. The LTV ratio has two effects on welfare. As the LTV increases, capitalists can borrow more from households which increases production substantially, thereby raising consumption and welfare for both economic agents. We call this direct effect of LTV as housing collateral channel. On the other hand, the indirect channel decreases welfare with higher LTV. Increased consumption implies higher interest rates. Higher interest rates increases the cost of the debt that capitalists have to pay, and consequently, decreases production as shown in Equation (9). In addition, as in Equation (11), the borrowing capacity is reduced due to higher interest rates by lowering the value of the collateral so that investment and output fall. Overall, when a macroprudential regulator cooperates with monetary authority, an increase in LTV raises welfare as the housing collateral channel dominates the indirect effect.
Panel (a) in Figure 6 reports welfare across different values of the LTV when forward guidance shocks are abstracted from the model. Welfare is much lower compared to the model with forward guidance as can be seen in Panel (a) of Figure 5. Also, Panel (a) in both Figures 5 and 6 imply increasing housing frictions decreases welfare. In this sense, allowing housing frictions to exist (e.g. a value of LTV less than 1) helps to resolve the exaggerating problem of forward guidance on welfare.
Panel (b) in Figure 6 shows that welfare does not monotonically increase with the LTV in non-cooperative case where ϕ π and ϕ y are fixed to 1.5 and 0.1, respectively. Welfare is also much smaller than the case where monetary policy is coordinated. Lastly, due to the same housing collateral constraint channel welfare increases at first, but it plummets when the LTV is higher than 0.85. This result is in line with those in Campbell and Hercowitz (2009) and Rubio and Carrasco-Gallego (2014). When LTV increases too high, the indirect channel dominates the housing collateral channel so that welfare decreases in non-cooperative case. Analogously, the relation between welfare and the LTV in non-cooperative scenario without forward guidance is reported in panel (b) in Figure 6. The shape is almost identical to panel (b) in Figure 5, but again welfare is attenuated.
A clarification about higher welfare occurring under the model with forward guidance shocks relative to no forward guidance shocks is also warranted. Prior literature has examined how economic fluctuations (e.g. increased macroeconomic volatility) affects welfare. Lucas (1987) and Otrok (2001) find that the welfare costs of business cycles are very small, while Krusell et al. (2009) document that the costs can be large when the model incorporates uninsurable uncertainty between heterogenous agents. Our finding, however, remains consistent with Lester, Pries, and Sims (2014) that shows economic fluctuations can improve welfare in a production economy which endogenously determines factor supply. Lester, Pries, and Sims (2014) show that increased macroeconomic volatility can lead to agents working more when the economy is in a high productivity state and less when it is in a low productivity state. Consequently, this effect can result in higher overall consumption and welfare. Similarly, the forward guidance shocks in our benchmark model create more opportunities for agents to increase savings when central bank communicates interest rates will increase and save less but consume more when forward guidance statements will lower interest rates. Thus, the intertemporal optimizing of households due to communication on the interest rate creates overall more consumption and household welfare.[12] Furthermore, firms can produce more output leading to increased welfare if factor supplies are elastic. By exploiting knowledge of future interest rate changes, producers can optimally substitute between capital, housing, and labor in the model implying an elastic factor supply. Similarly, Lester, Pries, and Sims (2014) find that including capital, capital utilization, or investment specific shocks increases the range of parameter combinations that implies greater volatility leading to welfare enhancements.
We also study the impact of LTV on economic and financial stability. Following Angelini, Neri, and Panetta (2012) and Rubio and Carrasco-Gallego (2014), a loss function that captures economic and financial stability is defined as follows:
where
How does forward guidance affect economic and financial stability? On the one hand, it can be thought that forward guidance will reduce economic volatility because economic agents already know that shocks will be realized in advance. On the other hand, forward guidance is also a new type of shock affecting the economy, thereby increasing the quantity of risk in models and economic volatility. Bottom panels in Figure 6 report loss across different values of the LTV when forward guidance shocks are abstracted from the model. Regardless of cooperation, loss are all lower compared to those in Figure 5. This is because forward guidance shocks raise economic and financial instability as each forward guidance shock has its own volatility (i.e.
4.3 Macroprudential Policy
Similar to welfare analysis, we search over a wide range of values for ϕ π , ϕ y , and ζ to find the parameterization that minimizes loss. Panel (a) in Figure 7 shows how loss changes according to the LTV. When the monetary policy is coordinated to minimize loss, the loss increases as the LTV increases. Again, it can be seen that the LTV plays an important role in economic stabilization. Unlike the previous analysis, welfare falls as the LTV increases although it is not a big change. When conventional monetary policy is targeted to minimize loss, the indirect effect dominates the housing collateral channel, resulting in a decrease in welfare. Finally, as can be seen from panels (c) and (d), the effect of forward guidance is also not significant. Since loss is already minimized, the effect of forward guidance shocks on loss and welfare is very limited.
4.4 The Zero Lower Bound with Adverse Housing Demand Shocks
The Federal Reserve kept the federal funds rate at its lowest level in response to the 2007–2009 Great Recession and COVID-19 induced recession. In this subsection, we explore how housing frictions influences forward guidance at the ZLB. To this end, we proceed in the following manner. First, we modify our model to account for a housing demand shock and a binding nominal interest rate at zero. The log-linearized Equation (51) changes to:
where we assume the housing demand shock,
We then perform a ZLB and forward guidance with housing frictions exercise. First, as displayed by the solid line in Figure 8, a recession is generated by a series of big adverse housing shocks resulting in the nominal interest rate reaching its ZLB. The decrease in demand for housing causes its price to lower, and consequently, it reduces credit limit of capitalists as in Equation (7). The resulting increased costs of borrowing lead to lower output further.
The central bank then issues expansionary forward guidance. In this scenario, the shock is chosen to be a favorable eight periods ahead shock (i.e. decrease in
The results show that forward guidance has beneficial effects at the ZLB but its effect is muted when housing frictions increase. Figure 8 shows a housing induced recession causes adverse effects as output, inflation, and investment all decrease. When the monetary authority communicates that the interest rate will be low even after the recessionary period, the macroeconomic variables are favorably affected. For instance, the solid lines in Figure 9 show output, inflation, and investment are higher in the initial periods under forward guidance relative to no forward guidance. However, when financial frictions are exacerbated, the responses are muted. For example, the dashed lines display output, inflation, and investment do not favorably react as much to forward guidance in the initial periods. Even though agents know that interest rates will be low not only currently, but also in the future where they would otherwise expect them to rise, agents are borrowing constrained and cannot take advantage of the low interest rates. Thus, policymakers should take into account the dynamics of financial frictions emanating from the housing market when examining forward guidance effects.
5 Robustness
5.1 Alternative Parameterization for the Credit Constraint
The value of collateral depends mostly on real estate when firms want to get external financing. Indeed, some studies do not even consider capital at all in credit constraints (e.g. Iacoviello 2005; Iacoviello and Neri 2010). We fixed the weight of capital to 0.1 when the weight of housing as collateral is normalized to 1 as in the estimates in Liu, Miao, and Zha (2016). However, there can exist cases where capital contributes more to the value of a firm’s collateral (e.g. expensive machines and instruments).
This subsection examines the effectiveness of forward guidance when the value of capital as collateral becomes as important as real estate. We set ω 2 to 1 in the credit constraint and perform impulse response analyses to eight and twelve period ahead forward guidance shocks. The results are displayed in Figure 10 with the solid line representing our benchmark case and dashed line denoting ω 2 = 1.
We find that the effectiveness of forward guidance is enhanced when ω 2 = 1. For instance, output shows a greater response to forward guidance news relative to the benchmark case. The dashed line, overall, is below the solid line in Figure 10. Under ω 2 = 1, firms are able to finance more since capital increases in value. By applying this previous logic to interest rates expecting to increase, capitalists decrease their investment more by further utilizing financial markets. In other words, the results are similar to the case when the LTV is increased.
5.2 Time-Varying Loan to Value
Prior literature finds that financial shocks are important in accounting for economic fluctuations (e.g. Jermann and Quadrini 2012; Liu, Wang, and Zha 2013; Nolan and Thoenissen 2009). Therefore, we consider a credit shock by incorporating time-varying LTV as follows:
where ζ t follows an exogenous AR(1) process:
ζ is the nonstochastic steady state vaule of LTV ratio, ρ
ζ
∈ (−1, 1) is the persistence parameter, and
6 Conclusion
Monetary policy and housing markets have been historically linked. For instance, the Federal Reserve’s easy monetary policy, arguably, created a housing market bubble causing the 2007–2009 global financial crisis. The U.S. central bank responded to the recession by lowering U.S. short-term interest rates to its ZLB and issuing forward guidance on the future course of policy. In this paper, we analyze this link between ZLB, forward guidance, and housing markets.
The results of our paper produce a number of findings. First, housing frictions dampen the effectiveness of forward guidance on the economy. For example, when the central bank announces that the interest rate will increase in the future, the impulse responses of output and inflation are diminished with an increase in housing frictions. Secondly, forward guidance shocks increase both welfare and economic and financial stability. This can be mitigated when housing frictions increase as housing collateral channel dominates the indirect channel. In addition, housing frictions attenuate the beneficial effects of forward guidance at the ZLB. When conventional policy of changing current interest rates is constrained by the ZLB, central bank communication that the interest rate will remain at zero for L periods into the future produces beneficial effects on the economy. However, as the value of capitalists’ collateral decreases (i.e. increase in housing frictions), the positive forward guidance effects are muted. Therefore, this article can provide a solution to “forward guidance puzzle” of Del Negro, Giannoni, and Patterson (2012). Thus, policymakers should consider housing frictions when examining the effects of forward guidance on the economy.
A.1 Tables
Parameter values.
| Parameters | Descriptions | Value |
|---|---|---|
| Household | ||
| β | Discount rate of household | 0.9925 |
| b | Habit persistence of household | 0.5 |
| ϑ | Relative utility weight of housing | 0.0457 |
| χ 0 | Relative utility weight of labor |
|
| χ | Labor margin | 3 |
| Capitalist | ||
| β c | Discount rate of capitalist | 0.945 |
| b c | Habit persistence of capitalist | 0.65 |
| ζ | Loan to value | 0.8 |
| Ω | Elasticity of investment adjustment cost | 0.1753 |
| ω 1 | Weight on housing value | 1 |
| ω 2 | Weight on capital value | 0.1 |
| Production firms | ||
| η | Labor share | 0.6 |
| ϕ | Housing share | 0.07 |
| δ | Depreciation rate | 0.025 |
| ξ | Calvo parameter | 0.65 |
| θ | Monopolistic markup | 0.1 |
| Monetary authority | ||
| ρ i | Smoothing parameter of monetary policy | 0.75 |
| ϕ π | Response of monetary policy to inflation | 1.5 |
| ϕ y | Response of monetary policy to output | 0.1 |
| σ m | Standard deviation of unexpected monetary policy shock | 0.01 |
|
|
Standard deviation of forward guidance shock | 0.01 |
| L | Length of the forward guidance horizon | 12 |
| Shock processes | ||
| ρ A | Persistence of technology shock | 0.95 |
| σ A | Standard deviation of technology shock | 0.01 |
| ρ d | Persistence of demand shock | 0.95 |
| σ d | Standard deviation of demand shock | 0.01 |
Autocorrelations of select macroeconomic variables.
| Lag | Y | C | I | q h | w | L | π | R | r |
|---|---|---|---|---|---|---|---|---|---|
| U.S. Data: 1948:Q1-2008:Q4 | |||||||||
| 1 | 0.81 | 0.84 | 0.72 | 0.94 | 0.73 | 0.89 | 0.78 | 0.93 | 0.73 |
| 2 | 0.56 | 0.66 | 0.54 | 0.86 | 0.49 | 0.69 | 0.69 | 0.88 | 0.60 |
| 3 | 0.28 | 0.45 | 0.28 | 0.75 | 0.34 | 0.44 | 0.62 | 0.86 | 0.52 |
| Model-implied data | |||||||||
| 1 | 0.82 | 0.85 | 0.79 | 0.79 | 0.58 | 0.78 | 0.70 | 0.64 | 0.61 |
| 2 | 0.51 | 0.60 | 0.43 | 0.56 | 0.31 | 0.59 | 0.51 | 0.37 | 0.37 |
| 3 | 0.19 | 0.34 | 0.07 | 0.30 | 0.04 | 0.33 | 0.30 | 0.12 | 0.16 |
A.2 Figures

Impulse responses of macroeconomic variables to unanticipated monetary policy and four periods ahead forward guidance shocks. Solid line: ζ = 0.8 (decreased housing financial frictions); dashed line: ζ = 0.0001 (increased housing financial frictions).

Impulse responses of housing variables to unanticipated monetary policy and four periods ahead forward guidance shocks. Solid line: ζ = 0.8 (decreased housing financial frictions); dashed line: ζ = 0.0001 (increased housing financial frictions).

Impulse responses of macroeconomic variables to eight and twelve periods ahead forward guidance shocks. Solid line: ζ = 0.8 (decreased housing financial frictions); dashed line: ζ = 0.0001 (increased housing financial frictions).

Impulse responses of housing variables to eight and twelve periods ahead forward guidance shocks. Solid line: ζ = 0.8 (decreased housing financial frictions); dashed line: ζ = 0.0001 (increased housing financial frictions).

Welfare and loss across different loan-to-value ratios. In the left column, the monetary authority sets the feedback coefficients of the monetary policy reaction function to maximize welfare (cooperative case), while the right column shows that the feedback coefficients are fixed as in the baseline calibration (non-cooperative case).

Welfare and loss across different loan-to-value ratios without forward guidance. In the left column, the monetary authority sets the feedback coefficients of the monetary policy reaction function to maximize welfare (cooperative case), while the right column shows that the feedback coefficients are fixed as in the baseline calibration (non-cooperative case).

Macroprudential policy across different loan-to-value ratios. The monetary authority sets the feedback coefficients of the monetary policy reaction function to minimize loss. In the upper row, forward guidance is incorporated, while it is abstracted in the bottom row.

The effect of the ZLB on macroeconomic variables during a recession. This graph shows dynamics of macroeconomic variables when a housing-induced recession exists and nominal interest rates can be constrained at the ZLB.

The effect of forward guidance and ZLB on macroeconomic variables during a recession. This graph shows dynamics of macroeconomic variables when a housing-induced recession exists and the central bank issues eight-period ahead expansionary forward guidance shock (i.e. decrease in

Impulse responses of variables to eight and twelve periods ahead forward guidance shocks under benchmark and alternative parameterizations for the credit constraint. Solid line: ω 2 = 0.1 (benchmark parameterization, capital contributes less to the value of firm’s collateral); dashed line: ω 2 = 1 (alternative parameterization, capital contributes more to the value of firm’s collateral).

Impulse responses of variables to eight and twelve periods ahead forward guidance shocks under benchmark and time-varying loan-to-value ratios. Solid line: ζ = 0.8 (benchmark case); dashed line: ζ t (time-varying loan-to-value ratio).

Impulse responses of macroeconomic variables to total factor productivity and demand shocks. Solid line: ζ = 0.8 (decreased housing financial frictions); dashed line: ζ = 0.0001 (increased housing financial frictions).

Impulse responses of housing variables to total factor productivity and demand shocks. Solid line: ζ = 0.8 (decreased housing financial frictions); dashed line: ζ = 0.0001 (increased housing financial frictions).
A.3 Log-Linearization
We use the hat notation to denote percentage deviations;
where
where
where
where
where ω c = log(1 − b c ) + log(C c ) + β c V c . The system is also augmented with Equations (33)–(35).
References
Andrade, P., G. Gaballo, E. Mengus, and B. Mojon. 2019. “Forward Guidance and Heterogeneous Beliefs.” American Economic Journal: Macroeconomics 11 (3): 1–29. https://doi.org/10.1257/mac.20180141.Search in Google Scholar
Angelini, P., S. Neri, and F. Panetta. 2012. “Monetary and Macroprudential Policies.” In Working Paper Series 1449. European Central Bank.10.2139/ssrn.2091137Search in Google Scholar
Berger, A. N., and G. F. Udell. 1990. “Collateral, Loan Quality and Bank Risk.” Journal of Monetary Economics 25 (1): 21–42. https://doi.org/10.1016/0304-3932(90)90042-3.Search in Google Scholar
Bernanke, B. S., M. Gertler, and S. Gilchrist. 1999. “The Financial Accelerator in a Quantitative Business Cycle Framework.” In Handbook of Macroeconomics, edited by J. B. Taylor, and M. Woodford, Vol. 1C, 1341–93. North-Holland: Amsterdam.10.1016/S1574-0048(99)10034-XSearch in Google Scholar
Bundick, B., and A. L. Smith. 2020. “Should We Be Puzzled by Forward Guidance?” In Federal Reserve Bank of Kansas City Research Working Papers No. 20-01.10.18651/RWP2020-01Search in Google Scholar
Calvo, G. A. 1983. “Staggered Prices in a Utility-Maximizing Framework.” Journal of Monetary Economics 12 (3): 383–98. https://doi.org/10.1016/0304-3932(83)90060-0.Search in Google Scholar
Campbell, J. R., and Z. Hercowitz. 2009. “Welfare Implications of the Transition to High Household Debt.” Journal of Monetary Economics 56 (1): 1–16. https://doi.org/10.1016/j.jmoneco.2008.09.002.Search in Google Scholar
Campbell, J. R., C. L. Evans, J. D. Fisher, and A. Justiniano. 2012. “Macroeconomic Effects of Federal Reserve Forward Guidance.” Brookings Papers on Economic Activity 2012 (1): 1–80.10.1353/eca.2012.0004Search in Google Scholar
Carlstrom, C. T., T. S. Fuerst, and M. Paustian. 2015. “Inflation and Output in New Keynesian Models with a Transient Interest Rate Peg.” Journal of Monetary Economics 76 (November): 230–43. https://doi.org/10.1016/j.jmoneco.2015.09.004.Search in Google Scholar
Chen, H., V. Cúrdia, and A. Ferrero. 2012. “The Macroeconomic Effects of Large-Scale Asset Purchase Programmes.” The Economic Journal 122 (564): F289–F315. https://doi.org/10.1111/j.1468-0297.2012.02549.x.Search in Google Scholar
Christiano, L. J., M. Eichenbaum, and C. L. Evans. 2005. “Nominal Rigidities and the Dynamic Effects of a Shock to Monetary Policy.” Journal of Political Economy 113 (1): 1–45. https://doi.org/10.1086/426038.Search in Google Scholar
Cole, S. J. 2020. “The Limits of Central Bank Forward Guidance under Learning.” International Journal of Central Banking 16 (4): 199–250.Search in Google Scholar
Cole, S. J. 2021. “Learning and the Effectiveness of Central Bank Forward Guidance.” Journal of Money, Credit, and Banking 53 (1): 157–200. https://doi.org/10.1111/jmcb.12696.Search in Google Scholar
Cole, S. J., and E. Martínez-García. 2021. “The Effect of Central Bank Credibility on Forward Guidance in an Estimated New Keynesian Model.” In Globalization and Monetary Policy Institute Working Paper.10.24149/gwp375r2Search in Google Scholar
De Graeve, F., P. Ilbas, and R. Wouters. 2014. “Forward Guidance and Long Term Interest Rates: Inspecting the Mechanism.” In Sveriges Riksbank Working Paper No. 292.Search in Google Scholar
Del Negro, M., M. P. Giannoni, and C. Patterson. 2012. “The Forward Guidance Puzzle.” In FRB of New York Staff Report, 574.10.2139/ssrn.2163750Search in Google Scholar
Del Negro, M., M. P. Giannoni, and F. Schorfheide. 2015. “Inflation in the Great Recession and New Keynesian Models.” American Economic Journal: Macroeconomics 7 (1): 168–96. https://doi.org/10.1257/mac.20140097.Search in Google Scholar
Eggertsson, G. B., and M. Woodford. 2003. “The Zero Bound on Interest Rates and Optimal Monetary Policy.” Brookings Papers on Economic Activity 2003 (1): 139–211.10.1353/eca.2003.0010Search in Google Scholar
Funke, M., and M. Paetz. 2012. “A DSGE-Based Assessment of Nonlinear Loan-to-Value Policies: Evidence from Hong Kong.” In BOFIT Discussion Papers, 11.10.2139/ssrn.2049783Search in Google Scholar
Gerke, R., S. Giesen, and A. Scheer. 2020. “The Power of Forward Guidance in a Quantitative TANK Model.” Economics Letters 186. https://doi.org/10.1016/j.econlet.2019.108828.Search in Google Scholar
Guerrieri, L., and M. Iacoviello. 2015. “OccBin: A Toolkit for Solving Dynamic Models with Occasionally Binding Constraints Easily.” Journal of Monetary Economics 70: 22–38. https://doi.org/10.1016/j.jmoneco.2014.08.005.Search in Google Scholar
Haberis, A., R. Harrison, and M. Waldron. 2019. “Uncertain Policy Promises.” European Economic Review 111: 459–74. https://doi.org/10.1016/j.euroecorev.2018.11.003.Search in Google Scholar
Honkapohja, S., and K. Mitra. 2005. “Performance of Inflation Targeting Based on Constant Interest Rate Projections.” Journal of Economic Dynamics and Control 29 (11): 1867–92. https://doi.org/10.1016/j.jedc.2005.06.006.Search in Google Scholar
Huh, S., and I. Kim. 2021. “Real Estate and Relative Risk Aversion with Generalized Recursive Preferences.” Journal of Macroeconomics 68. https://doi.org/10.1016/j.jmacro.2021.103310.Search in Google Scholar
Iacoviello, M. 2005. “House Prices, Borrowing Constraints, and Monetary Policy in the Business Cycle.” The American Economic Review 95 (3): 739–64. https://doi.org/10.1257/0002828054201477.Search in Google Scholar
Iacoviello, M., and S. Neri. 2010. “Housing Market Spillovers: Evidence from an Estimated DSGE Model.” American Economic Journal: Macroeconomics 2 (2): 125–64. https://doi.org/10.1257/mac.2.2.125.Search in Google Scholar
Janson, W., and C. Jia. 2020. “Forward Guidance during the Pandemic: Has it Changed the Public’s Expectations?” Economic Commentary. https://doi.org/10.26509/frbc-ec-202027.Search in Google Scholar
Jermann, U., and V. Quadrini. 2012. “Macroeconomic Effects of Financial Shocks.” The American Economic Review 102 (1): 238–71. https://doi.org/10.1257/aer.102.1.238.Search in Google Scholar
Justiniano, A., G. E. Primiceri, and A. Tambalotti. 2010. “Investment Shocks and Business Cycles.” Journal of Monetary Economics 57 (2): 132–45. https://doi.org/10.1016/j.jmoneco.2009.12.008.Search in Google Scholar
Kannan, P., P. Rabanal, and A. M. Scott. 2012. “Monetary and Macroprudential Policy Rules in a Model with House Price Booms.” The B.E. Journal of Macroeconomics 12 (1). https://doi.org/10.1515/1935-1690.2268.Search in Google Scholar
Kiley, M. T. 2016. “Policy Paradoxes in the New Keynesian Model.” Review of Economic Dynamics 21 (July): 1–15. https://doi.org/10.1016/j.red.2016.03.002.Search in Google Scholar
King, R. G., and S. T. Rebelo. 1999. “Resuscitating Real Business Cycles.” In Handbook of Macroeconomics, edited by J. B. Taylor, and M. Woodford, Vol. 1B, 927–1007. North-Holland: Amsterdam.10.1016/S1574-0048(99)10022-3Search in Google Scholar
Kiyotaki, N., and J. Moore. 1997. “Credit Cycles.” Journal of Political Economy 105 (2): 211–48. https://doi.org/10.1086/262072.Search in Google Scholar
Krusell, P., T. Mukoyama, A. Şahin, and A. A. Smith. 2009. “Revisiting the Welfare Effects of Eliminating Business Cycles.” Review of Economic Dynamics 12 (3): 393–404. https://doi.org/10.1016/j.red.2009.01.002.Search in Google Scholar
Laséen, S., and L. E. O. Svensson. 2011. “Anticipated Alternative Policy Rate Paths in Policy Simulations.” International Journal of Central Banking 7 (3): 1–35.10.2139/ssrn.1945238Search in Google Scholar
Lester, R., M. Pries, and E. Sims. 2014. “Volatility and Welfare.” Journal of Economic Dynamics and Control 38: 17–36. https://doi.org/10.1016/j.jedc.2013.08.012.Search in Google Scholar
Liu, Z., P. Wang, and T. Zha. 2013. “Land-price Dynamics and Macroeconomic Fluctuations.” Econometrica 81 (3): 1147–84.10.3982/ECTA8994Search in Google Scholar
Liu, Z., J. Miao, and T. Zha. 2016. “Land Prices and Unemployment.” Journal of Monetary Economics 80: 86–105. https://doi.org/10.1016/j.jmoneco.2016.05.001.Search in Google Scholar
Lucas, R. E. 1987. Models of Business Cycles, 26. Oxford: Basil Blackwell.Search in Google Scholar
Nolan, C., and C. Thoenissen. 2009. “Financial Shocks and the US Business Cycle.” Journal of Monetary Economics 56 (4): 596–604. https://doi.org/10.1016/j.jmoneco.2009.03.007.Search in Google Scholar
Otrok, C. 2001. “On Measuring the Welfare Cost of Business Cycles.” Journal of Monetary Economics 47 (1): 61–92. https://doi.org/10.1016/s0304-3932(00)00052-0.Search in Google Scholar
Rubio, M., and J. A. Carrasco-Gallego. 2014. “Macroprudential and Monetary Policies: Implications for Financial Stability and Welfare.” Journal of Banking and Finance 49: 326–36. https://doi.org/10.1016/j.jbankfin.2014.02.012.Search in Google Scholar
Schmitt-Grohé, S., and M. Uribe. 2004. “Solving Dynamic General Equilibrium Models Using a Second-Order Approximation to the Policy Function.” Journal of Economic Dynamics and Control 28 (4): 755–75. https://doi.org/10.1016/s0165-1889(03)00043-5.Search in Google Scholar
Smets, F., and R. Wouters. 2007. “Shocks and Frictions in US Business Cycles: A Bayesian DSGE Approach.” The American Economic Review 97 (3): 586–606. https://doi.org/10.1257/aer.97.3.586.Search in Google Scholar
Swanson, E. T. 2012. “Risk Aversion and the Labor Margin in Dynamic Equilibrium Models.” The American Economic Review 102 (4): 1663–91. https://doi.org/10.1257/aer.102.4.1663.Search in Google Scholar
Swanson, E. T. 2018. “The Federal Reserve Is Not Very Constrained by the Lower Bound on Nominal Interest Rates.” Brookings Papers on Economic Activity 2018 (2): 555–72.10.1353/eca.2018.0015Search in Google Scholar
Woodford, M. 2005. “Central Bank Communication and Policy Effectiveness,” NBER Working Papers 11898, National Bureau of Economic Research, Inc.10.3386/w11898Search in Google Scholar
Zanetti, F. 2014. “Housing and Relative Risk Aversion.” Economics Letters 123 (1): 23–5. https://doi.org/10.1016/j.econlet.2014.01.010.Search in Google Scholar
© 2022 the author(s), published by De Gruyter, Berlin/Boston
This work is licensed under the Creative Commons Attribution 4.0 International License.
Articles in the same Issue
- Frontmatter
- Advances
- A New General Equilibrium Welfare Measure, with Application to Labor Income Taxes
- Labor Share Dynamics and Factor Complementarity
- Effect of Monetary Policy on Government Spending Multiplier
- News-Driven Housing Booms: Spain Versus Germany
- Sovereign Debt Crisis, Fiscal Consolidation, and Active Central Bankers in a Monetary Union
- Housing Taxation and Economic Growth: Analysis of a Balanced-Growth Model with Residential Capital
- Intergenerational Linkages, Uncertain Lifetime and Educational and Health Expenditures
- Contributions
- Tolerance of Informality and Occupational Choices in a Large Informal Sector Economy
- Uncertainty Shocks, Innovation, and Productivity
- Asymmetric Effects of Private Debt on Income Growth
- Interpreting Structural Shocks and Assessing Their Historical Importance
- Charge-offs, Defaults and the Financial Accelerator
- Filtering Persistent and Asymmetric Cycles
- Population Aging and Convergence of Household Credit
- Robustly Optimal Monetary Policy in a Behavioral Environment
- Forward Guidance Effectiveness in a New Keynesian Model with Housing Frictions
- The Welfare Effects of Social Insurance Reform in the Presence of Intergenerational Transfers
Articles in the same Issue
- Frontmatter
- Advances
- A New General Equilibrium Welfare Measure, with Application to Labor Income Taxes
- Labor Share Dynamics and Factor Complementarity
- Effect of Monetary Policy on Government Spending Multiplier
- News-Driven Housing Booms: Spain Versus Germany
- Sovereign Debt Crisis, Fiscal Consolidation, and Active Central Bankers in a Monetary Union
- Housing Taxation and Economic Growth: Analysis of a Balanced-Growth Model with Residential Capital
- Intergenerational Linkages, Uncertain Lifetime and Educational and Health Expenditures
- Contributions
- Tolerance of Informality and Occupational Choices in a Large Informal Sector Economy
- Uncertainty Shocks, Innovation, and Productivity
- Asymmetric Effects of Private Debt on Income Growth
- Interpreting Structural Shocks and Assessing Their Historical Importance
- Charge-offs, Defaults and the Financial Accelerator
- Filtering Persistent and Asymmetric Cycles
- Population Aging and Convergence of Household Credit
- Robustly Optimal Monetary Policy in a Behavioral Environment
- Forward Guidance Effectiveness in a New Keynesian Model with Housing Frictions
- The Welfare Effects of Social Insurance Reform in the Presence of Intergenerational Transfers