Contents
-
Publicly AvailableFrontmatterApril 15, 2024
- Articles
-
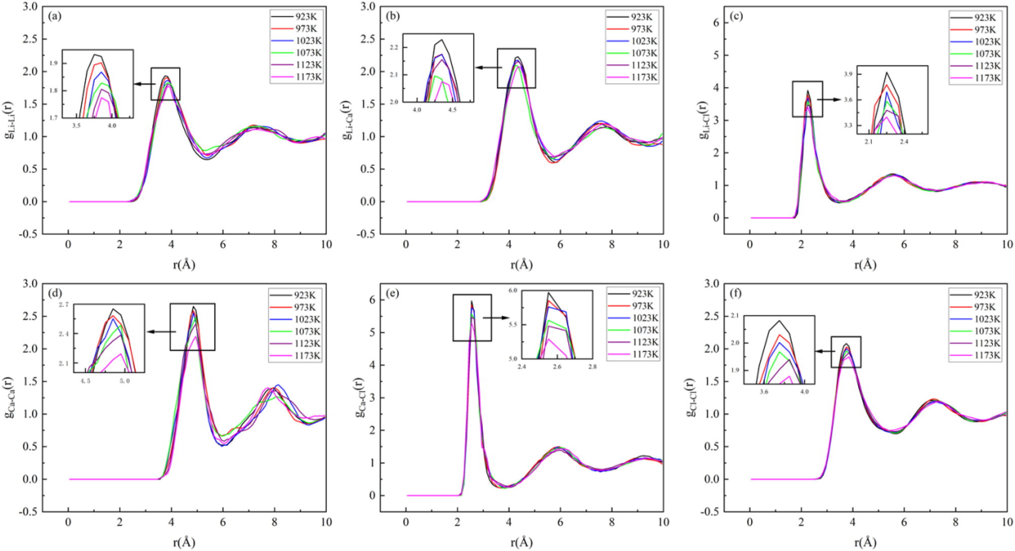
Requires Authentication UnlicensedMolecular dynamics simulation of microstructure and thermophysical properties of LiCl–CaCl2 eutectic molten saltLicensedJanuary 8, 2024
-
Requires Authentication UnlicensedExtraction of 4-hydroxy benzoic acid from potato processing industrial wasteLicensedFebruary 16, 2024
-
Requires Authentication UnlicensedNumerical simulation study of the effect of nonlinear side blowing on the flow of gas-liquid two-phase flowLicensedFebruary 21, 2024
-
Requires Authentication UnlicensedDesign and performance optimization of diesel engine waste heat recovery methanol reforming hydrogen generation systemLicensedFebruary 26, 2024
-
Requires Authentication UnlicensedScale-up production of apple essences/hydroxypropyl-beta-cyclodextrin inclusion complexes: effects of the impeller type and the rotational speed on the characteristics of the inclusion complexesLicensedFebruary 16, 2024
-
Requires Authentication UnlicensedInvestigations of the mixing efficiency of five novel micromixer designs with backward arrow inlet using the Villermaux Dushman protocolLicensedFebruary 1, 2024
-
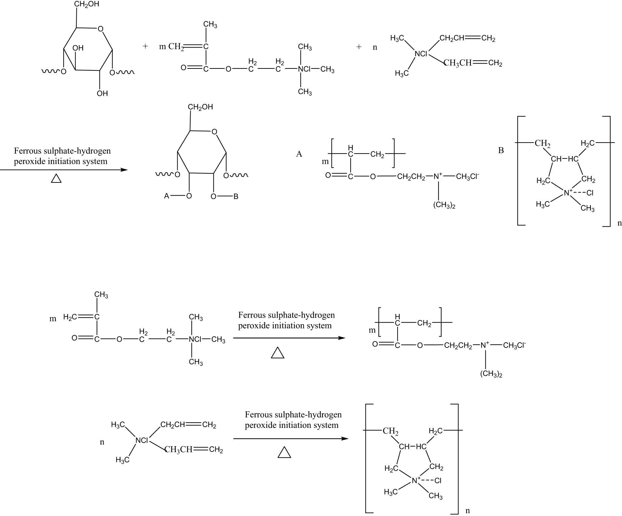
Requires Authentication UnlicensedPreparation and flocculation performance of a cationic starch based flocculantLicensedFebruary 16, 2024
-
Requires Authentication UnlicensedSustainable approach for catalytic epoxidation of oleic acid followed by in situ ring-opening hydrolysis with applied ion exchange resinLicensedFebruary 15, 2024
-
Requires Authentication UnlicensedMolecular dynamics simulations of the local structure and physicochemical properties of CaCl2 molten saltLicensedFebruary 9, 2024
-
Requires Authentication UnlicensedModifications in impeller blades for high efficiency mixing of pseudoplastic fluid in a stirred tankLicensedFebruary 19, 2024
- Short Communications
-
Requires Authentication UnlicensedAreas of stability of the dynamic equilibrium points of a chemical reactorLicensedFebruary 22, 2024