Abstract
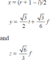
The transformation from a tetrahedral four-component system to an XYZ-orthogonal coordinate axis system has been solved using the geometry of a tetrahedron. If a four component mixing ratio is described as t, l, r, and f (here, t + l + r + f = 1), the transforming equations can be written as

A tetrahedral plot diagram can be easily constructed using the algorithms described in this paper. We present an implementation of these algorithms in a custom-designed Microsoft Excel spreadsheet, including adjustable viewing angles for the tetrahedral plot. This will be of general utility for petrological or mineralogical studies of quaternary systems.
© 2015 by Walter de Gruyter Berlin/Boston
Articles in the same Issue
- On understanding the structure and composition of crystals
- Stable and metastable silicate liquid immiscibility in ferrobasalts
- When was the Earth’s conveyor belt set in motion?
- Trace element partitioning into sulfide: How lithophile elements become chalcophile and vice versa
- Petrology on Mars
- Hf and Nd isotope systematics of early Archean komatiites from surface sampling and ICDP drilling in the Barberton Greenstone Belt, South Africa
- Quasicrystals at extreme conditions: The role of pressure in stabilizing icosahedral Al63Cu24Fe13 at high temperature
- Tracking the thermal decomposition of plasma-sprayed hydroxylapatite
- Experimental constraints on bubble formation and growth during magma ascent: A review
- Ankerite grains with dolomite cores: A diffusion chronometer for low- to medium-grade regionally metamorphosed clastic sediments
- Crystal structure, high-pressure, and high-temperature behavior of carbonates in the K2Mg(CO3)2–Na2Mg(CO3)2 join
- Temperature micro-mapping in oscillatory-zoned chlorite: Application to study of a green-schist facies fault zone in the Pyrenean Axial Zone (Spain)
- Micro- and nano-characterization of Zn-clays in nonsulfide supergene ores of southern Peru
- Mineralogical characterization of individual growth structures of Mn-nodules with different Ni+Cu content from the central Pacific Ocean
- The magma plumbing system of the Emeishan large igneous province and its role in basaltic magma differentiation in a continental setting
- Weathering of the Ethiopian volcanic province: A new weathering index to characterize and compare soils
- Recommended mineral-melt partition coefficients for FRTEs (Cu), Ga, and Ge during mantle melting
- Tetrahedral plot diagram: A geometrical solution for quaternary systems
- Investigations on alunogen under Mars-relevant temperature conditions: An example for a single-crystal-to-single-crystal phase transition
- Crystallization of calcium oxalate hydrates by interaction of calcite marble with fungus Aspergillus niger
- Direct and indirect evidence for free oxygen (O2–) in MO-silicate glasses and melts (M = Mg, Ca, Pb)
- Effect of fluid composition on growth rate of monazite in quartzite at 1.0 GPa and 1000 °C
- Determination of the full elastic tensor of single crystals using shear wave velocities by Brillouin spectroscopy
- Temperature dependence of the velocity-density relation for liquid metals under high pressure: Implications for the Earth’s outer core
- Thermal, compositional, and compressional demagnetization of cementite
- The MnCO3-II high-pressure polymorph of rhodocrosite
- Lanthanide tetrads in normalized rare element patterns of zircon from the Koktokay No. 3 granitic pegmatite, Altay, NW China
- Hydrogrossular, Ca3Al2(SiO4)3–x(H4O4)x: An ab initio investigation of its structural and energetic properties
- High-pressure synthesis of skiagite-majorite garnet and investigation of its crystal structure
- Mineralogical evolution of Fe–Si-rich layers at the olivine-water interface during carbonation reactions
- High-pressure spectroscopic study of siderite (FeCO3) with a focus on spin crossover
- Exploring the potential of Raman spectroscopy for crystallochemical analyses of complex hydrous silicates: I. Amphiboles
- Apexite, NaMg(PO4)·9H2O, a new struvite-type phase with a heteropolyhedral cluster
- The mechanism of infiltration of metamorphic fluids recorded by hydration and carbonation of epidote-amphibolite facies metabasaltic sills in the SW Scottish Highlands
- The axial ratio of hcp Fe and Fe–Ni–Si alloys to the conditions of Earth’s inner core
- Shock-induced mobilization of metal and sulfide in planetesimals: Evidence from the Buck Mountains 005 (L6 S4) dike-bearing chondrite
- The accretion and differentiation of Earth under oxidizing conditions
- Dislocation microstructures in simple-shear-deformed wadsleyite at transition-zone conditions: Weak-beam dark-field TEM characterization of dislocations on the (010) plane
- Chemical composition and crystal structure of merrillite from the Suizhou meteorite
Articles in the same Issue
- On understanding the structure and composition of crystals
- Stable and metastable silicate liquid immiscibility in ferrobasalts
- When was the Earth’s conveyor belt set in motion?
- Trace element partitioning into sulfide: How lithophile elements become chalcophile and vice versa
- Petrology on Mars
- Hf and Nd isotope systematics of early Archean komatiites from surface sampling and ICDP drilling in the Barberton Greenstone Belt, South Africa
- Quasicrystals at extreme conditions: The role of pressure in stabilizing icosahedral Al63Cu24Fe13 at high temperature
- Tracking the thermal decomposition of plasma-sprayed hydroxylapatite
- Experimental constraints on bubble formation and growth during magma ascent: A review
- Ankerite grains with dolomite cores: A diffusion chronometer for low- to medium-grade regionally metamorphosed clastic sediments
- Crystal structure, high-pressure, and high-temperature behavior of carbonates in the K2Mg(CO3)2–Na2Mg(CO3)2 join
- Temperature micro-mapping in oscillatory-zoned chlorite: Application to study of a green-schist facies fault zone in the Pyrenean Axial Zone (Spain)
- Micro- and nano-characterization of Zn-clays in nonsulfide supergene ores of southern Peru
- Mineralogical characterization of individual growth structures of Mn-nodules with different Ni+Cu content from the central Pacific Ocean
- The magma plumbing system of the Emeishan large igneous province and its role in basaltic magma differentiation in a continental setting
- Weathering of the Ethiopian volcanic province: A new weathering index to characterize and compare soils
- Recommended mineral-melt partition coefficients for FRTEs (Cu), Ga, and Ge during mantle melting
- Tetrahedral plot diagram: A geometrical solution for quaternary systems
- Investigations on alunogen under Mars-relevant temperature conditions: An example for a single-crystal-to-single-crystal phase transition
- Crystallization of calcium oxalate hydrates by interaction of calcite marble with fungus Aspergillus niger
- Direct and indirect evidence for free oxygen (O2–) in MO-silicate glasses and melts (M = Mg, Ca, Pb)
- Effect of fluid composition on growth rate of monazite in quartzite at 1.0 GPa and 1000 °C
- Determination of the full elastic tensor of single crystals using shear wave velocities by Brillouin spectroscopy
- Temperature dependence of the velocity-density relation for liquid metals under high pressure: Implications for the Earth’s outer core
- Thermal, compositional, and compressional demagnetization of cementite
- The MnCO3-II high-pressure polymorph of rhodocrosite
- Lanthanide tetrads in normalized rare element patterns of zircon from the Koktokay No. 3 granitic pegmatite, Altay, NW China
- Hydrogrossular, Ca3Al2(SiO4)3–x(H4O4)x: An ab initio investigation of its structural and energetic properties
- High-pressure synthesis of skiagite-majorite garnet and investigation of its crystal structure
- Mineralogical evolution of Fe–Si-rich layers at the olivine-water interface during carbonation reactions
- High-pressure spectroscopic study of siderite (FeCO3) with a focus on spin crossover
- Exploring the potential of Raman spectroscopy for crystallochemical analyses of complex hydrous silicates: I. Amphiboles
- Apexite, NaMg(PO4)·9H2O, a new struvite-type phase with a heteropolyhedral cluster
- The mechanism of infiltration of metamorphic fluids recorded by hydration and carbonation of epidote-amphibolite facies metabasaltic sills in the SW Scottish Highlands
- The axial ratio of hcp Fe and Fe–Ni–Si alloys to the conditions of Earth’s inner core
- Shock-induced mobilization of metal and sulfide in planetesimals: Evidence from the Buck Mountains 005 (L6 S4) dike-bearing chondrite
- The accretion and differentiation of Earth under oxidizing conditions
- Dislocation microstructures in simple-shear-deformed wadsleyite at transition-zone conditions: Weak-beam dark-field TEM characterization of dislocations on the (010) plane
- Chemical composition and crystal structure of merrillite from the Suizhou meteorite