Abstract
Cadmium and lead(II) acesulfamate, Cd(C4H4NO4S)2·2H2O and Pb(C4H4NO4S)2, were prepared by the reaction of acesulfamic acid and the respective metal carbonates in aqueous solution, and characterized by elemental analysis. Their crystal structures were determined by single crystal X-ray diffraction methods. The Cd(II) compound crystallizes in the monoclinic space group P21/c with Z=4 and the corresponding Pb(II) salt in the triclinic space group P1̅ with Z=2. In both salts, acesulfamate acts both as a bi-dentate ligand through its nitrogen and carbonyl oxygen atoms and also as a mono-dentate ligand through this same oxygen atom, giving rise to polymeric structures; in the Pb(II) salt the ligand also binds the cation through its sulfoxido oxygen atoms. The FTIR spectra of the compounds were recorded and are briefly discussed. Some comparisons with other related acesulfamate and saccharinate complexes are made.
1 Introduction
Acesulfame-K, the potassium salt of 6-methyl-1,2,3-oxathiazin-4(3H)-one-2-2-dioxide, is one of the most widely used low-calorie artificial sweeteners [1], [2] and its general chemical and biological properties have been thoroughly investigated [1], [2], [3].
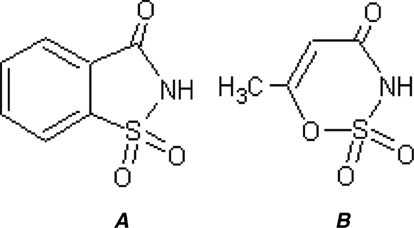
The coordination capabilities of the acesulfamate anion, which resembles those of saccharin (1,2-benzothiazole-3(2H)-one-1,1-dioxide) (see Fig. 1) [4], have often been exploited and a large number of metal complexes containing this ligand have been reported during the last decade (cf. for example [5] and references therein).

Schematic drawings of the structures of saccharin (A) and acesulfamic acid (B).
Concerning simple salts of the anion, apart of the potassium salt [1], [6], well known for more than 40 years, some others (NH4+ [7], Na+, Rb+, Cs+ [8], Mg2+ [9], Ca2+ [10], Sr2+, Ba2+ [11] and Tl+ [12]) have been prepared and characterized only very recently.
In order to advance in the knowledge of this type of compounds, we have now prepared and investigated the crystal structures and vibrational-spectroscopic behavior of the corresponding Cd(II) and Pb(II) salts.
2 Results and discussion
Cadmium acesulfamate has been obtained by the reaction of CdCO3 with an aqueous solution of acesulfamic acid, using a general procedure recently reported by us for the synthesis of simple acesulfamate salts [7], [8], [9], [12] and which is described in the Experimental section. Lead(II) acesulfamate was prepared in the same way, starting from the basic carbonate, 2PbCO3·PbO·H2O. Cd(ace)2·(H2O)2 crystallizes in the monoclinic space group P21/c and Pb(ace)2 in the triclinic space group P1̅.
Ortep [13] drawings of the two acesulfamate salts are shown in Figs. 2 and 3. Bond lengths within the acesulfamate anions for the two salts are detailed in Table 1 and short contact distances around the metals are listed in Table 2.

View of the one-dimensional polymeric cadmium acesulfamate salt showing the labeling of the non-H atoms and their displacement ellipsoids at the 30% probability level. Cadmium-ligand bonds are indicated by full lines and hydrogen bonds by dashed lines. Symmetry operations: (i) x, 3/2−y, ½+z; (ii) x, 3/2−y, −½+z; (iii) x, ½−y, ½+z.

View of the two-dimensional polymeric lead acesulfamate salt. Symmetry operations: (i) 1−x, 1−y, 1−z; (ii) 1−x, −y, 1−z; (iii) x−1, y, z; (iv) 2−x, 1−y, 1−z.
Bond lengths (Å) of the acesulfamate anion in the Cd(II) and Pb(II) salts.
| Cd(ace)2·2H2O | Pb(ace)2 | ||
|---|---|---|---|
| C(12)–O(14) | 1.255(4) | C(12)–O(14) | 1.279(9) |
| C(12)–N(1) | 1.354(4) | C(12)–N(1) | 1.343(9) |
| C(12)–C(13) | 1.439(5) | C(12)–C(13) | 1.438(10) |
| C(13)–C(14) | 1.322(5) | C(13)–C(14) | 1.321(11) |
| C(14)–O(13) | 1.389(4) | C(14)–O(13) | 1.378(9) |
| C(14)–C(15) | 1.483(5) | C(14)–C(15) | 1.487(11) |
| N(1)–S(1) | 1.585(3) | N(1)–S(1) | 1.599(7) |
| O(11)–S(1) | 1.410(3) | O(11)–S(1) | 1.418(6) |
| O(12)–S(1) | 1.406(3) | O(12)–S(1) | 1.417(5) |
| O(13)–S(1) | 1.599(2) | O(13)–S(1) | 1.626(5) |
| C(22)–O(24) | 1.248(4) | C(22)–O(24) | 1.258(9) |
| C(22)–N(2) | 1.347(4) | C(22)–N(2) | 1.350(9) |
| C(22)–C(23) | 1.443(5) | C(22)–C(23) | 1.434(11) |
| C(23)–C(24) | 1.321(5) | C(23)–C(24) | 1.334(10) |
| C(24)–O(23) | 1.389(4) | C(24)–O(23) | 1.395(9) |
| C(24)–C(25) | 1.480(5) | C(24)–C(25) | 1.487(11) |
| N(2)–S(2) | 1.577(3) | N(2)–S(2) | 1.577(6) |
| O(21)–S(2) | 1.427(3) | O(21)–S(2) | 1.436(6) |
| O(22)–S(2) | 1.411(3) | O(22)–S(2) | 1.427(6) |
| O(23)–S(2) | 1.620(3) | O(23)–S(2) | 1.609(6) |
Short contacts (Å) around the metal cations in the Cd(II) and Pb(II) acesulfamates.a
| Cd(ace)2·2H2O | Pb(ace)2 | ||
|---|---|---|---|
| Cd–N(1) | 2.295(3) | Pb–N(1) | 2.750(6) |
| Cd–N(2) | 2.409(3) | Pb–N(2) | 2.580(6) |
| Cd–O(14) | 2.646(2) | Pb–O(14) | 2.516(5) |
| Cd–O(24) | 2.423(2) | Pb–O(24) | 2.699(6) |
| Cd–O(14)#1 | 2.303(2) | Pb–O(14)#2 | 2.484(5) |
| Cd–O(1W) | 2.280(3) | Pb–O(24)#3 | 2.730(5) |
| Cd–O(2W) | 2.314(3) | Pb–O(21)#2 | 2.835(5) |
| Pb–O(22)#4 | 2.914(5) | ||
aSymmetry operations: (#1) x, −y+3/2, z−1/2; (#2) 1−x, 1−y, 1−z; (#3) 1−x, −y, 1−z; (#4) −1+x, y, z.
The observed bond lengths and angles within the acesulfamate anions in both salts agree with one another and with values reported for other divalent metal salts, namely Mg(ace)2·6H2O [9] and Ca(ace)2 [10], and also for the ammonium salt [7] and the M-ace (M: Na, K, Rb, Cs) isomorphic series of alkali metal salts [6], [8]. Particularly, for the better refined cadmium salt, the short Ci3–Ci4 (i: 1,2) bond lengths of 1.322(6) and 1.321(5) Å confirm the formal double bond character expected for this link. The carbonyl >C=O double bond lengths are 1.255(5) and 1.248(4) Å and sulfoxide S=O bond lengths are in the range 1.406(3)–1.427(3) Å. The other ring single bond lengths are: C–O bond lengths of 1.389(4) Å, O–S bond lengths of 1.599(2) and 1.620(3) Å, S–N bond lengths of 1.585(3) and 1.577(3) Å, C–N bond lengths of 1.354(4) and 1.347(4) Å, and C–C bond lengths of 1.439(5) and 1.443(5) Å. These bond lengths can be compared with those of the neutral crystalline acesulfamic acid molecule [14]. Major changes in the bonding structure of the acesulfamate ion in the cadmium salt occur at the S–N bond, which upon deprotonation suffers an average shortening of about 0.048 Å (about 16 times the standard error σ). A smaller shortening (−0.03 Å=−10σ) is observed in the N–C bond length. Other major bond length changes when going from neutral acesulfamic acid to the acesulfamate anion are observed for the ring S–O and O–C bonds (+0.017 Å=+5.5σ and −0.016 Å=−5σ, respectively).
Cd(ace)2(H2O)2: The Cd(II) ion is in a seven-fold bipyramidal environment, equatorially coordinated to two acesulfamate anions acting as bidentate ligands through their carbonyl oxygen atoms [Cd–O bond lengths of 2.646(2) and 2.423(2) Å] and nitrogen atoms [Cd–N bond lengths of 2.295(3) and 2.409(3) Å] and to the carbonyl oxygen atom of a neighboring acesulfamate [d(Cd–O)=2.303(2) Å] which gives rise to a one-dimensional polymeric structure that extends along the c axis. The apical positions are occupied by water molecules [Cd–Ow bond lengths of 2.280(3) and 2.314(3) Å]. As already appreciated in Fig. 2 and detailed in Table 3, the polymer is further stabilized by hydrogen bonding where the w1 water molecule bridges neighboring monomers through OwH···O(sulf) [d(O1w···O21i)=2.938(4) Å, ∠(O1w–H···O21i)=158(4)°] and OwH···O(carb) [d(O1w···O24ii)=2.780(3) Å; ∠(O1w– H···O24ii)=166(4)°] medium-strength interactions. The other coordination water molecule (w2) provides an additional intra-chain O2wH···O(sulf) bond [d(O2w···O22iii)=3.016(4) Å; ∠(O2w–H···O22iii)=155(5)°].
Hydrogen bond lengths (Å) and angles (deg) for Cd(ace)2·(H2O)2.a
| D–H···A | d(D–H) | d(H···A) | d(D···A) | ∠(D–H···A) |
|---|---|---|---|---|
| O(1W)–H(1A)···O(24)#2 | 0.85(1) | 1.95(1) | 2.780(3) | 166(4) |
| O(1W)–H(1B)···O(21)#1 | 0.85(1) | 2.13(2) | 2.938(4) | 158(4) |
| O(1W)–H(1B)···S(2)#1 | 0.85(1) | 3.01(2) | 3.786(3) | 152(3) |
| O(2W)–H(2A)···O(12)#1 | 0.85(1) | 1.95(2) | 2.793(4) | 168(4) |
| O(2W)–H(2A)···S(1)#1 | 0.85(1) | 2.94(1) | 3.772(3) | 167(4) |
| O(2W)–H(2B)···O(22)#3 | 0.85(1) | 2.23(2) | 3.016(4) | 155(5) |
aSymmetry transformations: (#1) x, −y+3/2, z+1/2; (#2) x, −y+3/2, z−1/2; (#3) x, −y+1/2, z+1.
Pb(ace)2: The larger ionic radius of the Pb(II) ion (1.19 Å) as compared with the Cd(II) ion (0.95 Å) affords a metal coordination number larger than for cadmium, because the crowding of ligands (L) around the metal limits M–L short contacts. In fact, Pb(II) is in an eight-fold polyhedral coordination with two independent acesufamate anions acting as bidentate ligands through their carbonyl oxygen [Pb–O(carb) bond lengths of 2.516(5) and 2.699(6) Å] and nitrogen atoms [Pb–N bond lengths of 2.750(6) and 2.580(6) Å], with one sulfoxide oxygen atom each of two neighboring symmetry-related acesulfamate ligands [Pb–O(sulf) bond lengths of 2.835(5) and 2.914(5) Å]. Bonding of carbonyl oxygen atoms of two other acesulfamate groups [Pb–O(carb) bond lengths of 2.484(5) and 2.730(5) Å] generates a two-dimensional polymeric structure. This gives rise to an electrically neutral layered arrangement parallel to the (a, b) plane. Neighboring layers are separated from each other by the unit cell vector c and bonded to each other mainly through van der Waals interaction. This explains both the crystal growing habit as thin plates parallel to (001) and the observation of this being an easy cleavage plane.
Being lead a member of group 14 in the periodic table, it is to be expected some kind of sp hybridization giving rise to directional bonding. However, it has been recognized that relativistic effects are much more important for the high Z-valued lead than for the other members of the group down to tin [15], [16]. As a consequence, these relativistic effects produce a radial shrinkage of the 6s and 6p atomic orbitals of lead, which are now more effective in shielding the nucleus attraction felt by d and f orbitals, which therefore expand outwardly. The net effect is that the valence s and p electrons are thus buried in the atomic electronic structure and therefore less prone for bonding by hybridization. This effect is called ‘inert lone-pair effect’ [17].
On account of published crystallographic information and own MO calculations, Shimoni-Livny et al. [18] proposed a classification to characterize this and other effects on metal-ligand bonding in lead compounds, based on the stereochemistry of the coordination sphere around the metal: (1) holodirected, when Pb-ligand bonds present a distributed orientation throughout all the sphere and (2) hemidirected, when Pb-ligand bonds are only found directed throughout part of the sphere, hence leaving sizable orientation voids which are considered a signature of ‘stereochemically active lone pair of electrons’. Besides this effect, the authors also considered the competing influence on the environment geometry due to the coordination number, interaction between neighboring ligands, etc. to conclude that, among other factors, holodirected geometry around Pb(II) is favored by high coordination numbers (crowding) and repulsive interaction among ligands, which lead to relatively long and uniform values for Pb-ligand bond lengths. This is the case of our Pb(ace)2 salt, with a coordination number of 8 and negatively charged acesulfamate ligands. In fact, our average (dispersion) values for Pb–N and Pb–O bond lengths of 2.67(9) and 2.70(15) Å, respectively, are in agreement with corresponding values reported for a whole series of Pb(II) compounds [2.62(11) and 2.53(15) Å] with holodirected stereochemistry [14].
It seems interesting to make some comparisons of the two newly reported structures with those of some related complexes. The acesulfamate complex of Zn(II), the lighter analog of Cd(II) in the same group of the periodic table, crystallizes in the triclinic space group P1̅ (Z=1) as a centro-symmetric [Zn(ace)2(H2O)4] octahedral complex, where acesulfamate acts as a monodentate ligand through its carbonyl oxygen atom [19].
In the case of Cd(II) saccharinate, a similar monoclinic (P21/c) complex of composition [Cd(sac)2(H2O)4]·2H2O was described. In this case coordination occurs through the N atom of saccharin [20]. The complex is isostructural with the saccharinato complexes of the first row transition metal cations M(II) [4], [21]. On the other hand, the lead(II) ion in the monoclinic (P21/c) Pb(sac)2(H2O) salt is also in an eight-fold polyhedral environment that includes two independent saccharinate anions acting as bidentate ligands through their –N–(C=O)– ‘bite’, structurally closely related to the acesulfamate –N–(C=O)– ‘bite’ (cf. again Fig. 1). The eight-fold coordination is completed with a water molecule and the oxygen atoms of a carbonyl and two sulfoxide groups of a neighboring saccharinate ligand [22].
The FTIR spectra of both compounds show practically identical patterns and band intensity distributions, confirming the close similarities in bonding characteristics. The spectra are also very similar to those of previously investigated acesulfamate salts [8], [9], [12]. The spectrum of the Cd(II) salt is shown in Fig. 4 and the spectral assignments proposed for both salts are presented in Table 4. They were made on the basis of a recent experimental and theoretical study of potassium acesulfamate [23], additionally supported by our previous studies [7], [8], [9], [12], and are briefly discussed as follows:

FTIR spectrum of Cd(acesulfamate)2·2H2O in the spectral range between 4000 and 400 cm−1.
Assignment of the FTIR spectra of Cd(II) and Pb(II) acesulfamates (band positions in cm−1).a
| Cd(ace)2·(H2O)2 | Pb(ace)2 | Proposed assignment |
|---|---|---|
| 3560 vs, br | ν(OH) (H2O) | |
| 1660 vs, 1592 vs | 1660 vs, 1592 vs | ν(C=O)+ν(C–C)ring |
| 1430 vw, 1391 vs | 1430 vw, 1391 vs | δ(CH3) |
| 1371 vs | 1370 vs | νas(SO2) |
| 1289 vs | 1293 vs | ν(CN)+ν(OC)+δ(CCH) |
| 1178 vs | 1179 vs | νs(SO2)+ν(SN) |
| 1077 s | 1076 s | δ(CH3) |
| 1014 s | 1014 s | ν(OC)+ν(SN) |
| 942 vs | 943 vs | ν(OC)+ν(C–CH3) |
| 861 vs | 861 s | τ(ring) |
| 837 s | 837 s | ν(SN)+ν(C–C)+δ(NCO) |
| 744 sh, 729 vs | 743 sh, 729 vs | τ(ring) |
| 656 vs | 656 vs | δ(ring) |
| 559 w/546 s | 559 w/547 m | δ(ring)+δ(SO2) |
| 521 s, 425 w | 521 s, 425 w | τ(ring) |
avs, Very strong; s, strong; m, medium; w, weak, sh, shoulder; br, broad.
The O–H stretching band in the case of Cd(ace)2·2H2O can be seen as a relatively broad and strong band. The corresponding deformational modes, δ(H2O), are probably overlapping with the bands found in the 1590–1660 cm−1 region. No evidences for librational H2O modes could be found in the low frequency spectral range. From the spectroscopic point of view the hydrogen bonds generated by these water molecules can be classified as medium strength [24], [25].
As in the previously investigated cases, vibrational modes related to ν(C=O) and ν(C–C) stretches are strongly coupled and result in two very strong IR bands.
The 1289 cm−1 band (1293 cm−1 in the Pb(II) salt) is dominated by the ν(CN) stretching vibration, coupled with some other motions.
Bands related to the SO2 vibrations are found practically at the same frequencies in both salts, despite the fact that this group participates in bonding in the case of Pb(ace)2. This behavior is in agreement with the structural results, which show only a very slight lengthening of the S–O bonds of this moiety in the case of the Pb(II) salt (cf. again Table 1).
3 Experimental section
3.1 Materials and measurements
Potassium acesulfamate was supplied by Fluka (Sigma-Aldrich, Steinheim, Germany), and basic lead(II) carbonate by Aldrich (St. Louis, MO, USA), whereas cadmium carbonate and all the other employed reagents were from Merck (Darmstadt, Germany), analytical grade, and were used as purchased. Elemental analysis was performed with a Carlo Erba (Milano, Italy) model EA 1108 elemental analyzer. The infrared absorption spectra were recorded on a FTIR-Bruker-EQUINOX 55 spectrophotometer (Bruker Optics Inc., Billerica, MA, USA), in the spectral frequency range between 4000 and 400 cm−1, using the KBr pellet technique.
3.2 Syntheses of the compounds
Acesulfamic acid was prepared as described by Velaga et al. [14], as follows: to 5.00 g of potassium acesulfamate dissolved in a small portion of water (ca. 10 mL), 6 mL of concentrated HCl was added drop-wise. The generated acid was extracted with 20 mL of ethyl acetate. After evaporation of the solvent in air a colorless solid was deposited. It was re-crystallized twice from ethyl acetate, generating a deposit of needle-like colorless crystals, after slow evaporation of the solvent in air (m. p. 122–124°C [14]).
For the synthesis of the Cd(II) salt, 2.0 mmol of acesulfamic acid was dissolved in 15 mL of distilled water and heated to 75°C. To this solution, 1.0 mmol of CdCO3 was slowly added, under constant stirring. After this addition, the solution was stirred for another 30 min at the same temperature, and finally it was left to evaporate in air. After a few days a colorless powder, highly soluble in water, was collected and re-crystallized from water. The preparation of the corresponding lead(II) salt was performed in the same way, starting from 6.0 mmol of acesulfamic acid and 1.0 mmol of 2PbCO3·PbO·H2O (yields: ca. 0.40 g for Cd(C4H4NO4S)2·2H2O and ca. 0.80 g for Pb(C4H4NO4S)2).
The purity of the salts was confirmed by elemental analysis: C8H12CdN2O10S2 (472.72): calcd. C 20.30, H 2.54, N 5.92, S 13.56; found C 20.28, H 2.60, N 5.90, S 13.50; C8H8N2O8PbS2 (531.47): calcd. C 18.06, H 1.50, N 5.27, S 12.06; found 18.03, H 1.60, N 5.22, S 12.10. In both cases, single crystals adequate for X-ray diffraction studies were selected from the crystalline mass employing a microscope.
3.3 X-ray structure determinations
X-ray diffraction measurements were performed on an Oxford Xcalibur, Eos, Gemini CCD diffractometer employing graphite-monochromatized MoKα (λ=0.71073 Å) radiation. Intensities were collected (ω scans with ϑ and κ-offsets), integrated and scaled with the CrysAlisPro [26] suite of programs. The unit cell parameters were obtained by least-squares refinement (based on the angular settings for all collected reflections with intensities larger than seven times the standard deviation of measurement errors) using CrysAlisPro. Data were corrected empirically for absorption employing the multi-scan method implemented in CrysAlisPro.
The structures were solved by intrinsic phasing with Shelxt [27], [28] of the Shelx suite of programs and refined by least-squares with Shelxl [29], [30], [31]. The acesufamate hydrogen atoms were positioned on stereochemical bases and refined with the riding model. The methyl hydrogen atom locations were optimized during the refinement by treating them as rigid bodies which were allowed to rotate around the corresponding C–CH3 bond such as to maximize the residual electron density at their calculated positions. As a result, the methyl groups converged to staggered angular conformations. The water H atoms in the cadmium salt were located in a difference Fourier map and refined at their found position with isotropic displacement parameters and Ow–H and H···H distances restrained to target values of 0.86(1) and 1.36(1) Å, respectively. Crystal data, data collection procedures and structural refinement results are summarized in Table 5.
Crystal data, X-ray diffraction data and refinement results for Cd(II) and Pb(II) acesulfamates.
| Cd(ace)2·2H2O | Pb(ace)2 | |
|---|---|---|
| Empirical formula | C8H12CdN2O10S2 | C8H8N2O8PbS2 |
| Formula weight | 472.72 | 531.47 |
| T (K) | 293(2) | 293(2) |
| Crystal dimensions, mm3 | 0.173×0.131×0.117 | 0.212×0.147×0.040 |
| Crystal shape and color | Fragment/colorless | Plate/colorless |
| Crystal system | Monoclinic | Triclinic |
| Space group | P21/c | P1̅ |
| a, Å | 20.4884(5) | 7.0351(2) |
| b, Å | 8.4001(2) | 7.6329(3) |
| c, Å | 8.9362(2) | 13.8164(5) |
| α, deg | 90 | 62.947(4) |
| β, deg | 90.116(2) | 86.164(3) |
| γ, deg | 90 | 62.947(4) |
| Volume, Å3 | 1537.96(6) | 656.36(5) |
| Z | 4 | 2 |
| Calculated density, g cm−3 | 2.04 | 2.69 |
| Absorption coefficient, mm−1 | 1.7 | 13.2 |
| F(000), e | 936 | 496 |
| θ Range for data collection, deg | 2.983–25.994 | 2.968–25.996 |
| Index ranges, hkl | −22≤h≤25 −9≤k≤10 −11≤l≤9 | −8≤h≤8 −9≤k≤9 −17≤l≤12 |
| Reflections collected | 6966 | 4816 |
| Independent reflections/Rint | 3011/0.0345 | 2571/0.0482 |
| Observed reflections [I>2σ(I)] | 2533 | 2316 |
| Refinement method | Full-matrix least-squares on F2 | |
| Data/restraints/parameters | 3011/6/226 | 2571/0/192 |
| R1/wR2 [I>2σ(I)] | 0.0324/0.0630 | 0.0365/0.0829 |
| R1/wR2 (all data) | 0.0432/0.0686 | 0.0425/0.0889 |
| Goodness of fit (F2) | 1.069 | 1.007 |
| Largest peak/hole, e Å−3 | 0.51/−0.64 | 1.29/−1.76 |
CCDC 1551351 (Cd) and 1551352 (Pb) contain the supplementary crystallographic data for this paper. These data can be obtained free of charge from The Cambridge Crystallographic Data Centre viawww.ccdc.cam.ac.uk/data_request/cif.
Acknowledgments
This work was supported by CONICET (PIP 11220130100651CO) and UNLP of Argentina. GAE, OEP and BSP-C are Research Fellows from CONICET.
References
[1] D. G. Mayer, F. H. Kemper, (Eds.), Acesulfame-K, Marcel Dekker, New York, 1991.Search in Google Scholar
[2] M. A. Cantarelli, R. G. Pellerano, E. J. Marchevsky, J. M. Camiña, Food Chem.2009, 115, 1128.10.1016/j.foodchem.2008.12.101Search in Google Scholar
[3] K. Clauss, H. Jensen, Angew. Chem. Int. Ed. Engl.1973, 12, 869.10.1002/anie.197308691Search in Google Scholar
[4] E. J. Baran, V. T. Yilmaz, Coord. Chem. Rev.2006, 250, 1980.10.1016/j.ccr.2005.11.021Search in Google Scholar
[5] H. Içbudak, E. Adiyaman, A. Uyanik, S. Çakir, Transition Met. Chem.2007, 32, 864.10.1007/s11243-007-0226-2Search in Google Scholar
[6] E. F. Paulus, Acta Crystallogr.1975, B31, 1191.10.1107/S0567740875004785Search in Google Scholar
[7] G. A. Echeverría, O. E. Piro, B. S. Parajón-Costa, E. J. Baran, Z. Naturforsch.2014, 69b, 737.10.5560/znb.2014-4061Search in Google Scholar
[8] O. E. Piro, G. A. Echeverría, B. S. Parajón-Costa, E. J. Baran, Z. Naturforsch.2015, 70b, 491.10.1515/znb-2015-0042Search in Google Scholar
[9] O. E. Piro, G. A. Echeverría, B. S. Parajón-Costa, E. J. Baran, Z. Naturforsch.2016, 71b, 51.10.1515/znb-2015-0132Search in Google Scholar
[10] G. Demirtas, N. Dege, H. Içbudak, O. Yurdakul, O. Büyükgüngör, J. Inorg. Organomet. Polym.2012, 22, 671.10.1007/s10904-012-9679-7Search in Google Scholar
[11] H. Içbudak, G. Demirtas, N. Dege, Maced. J. Chem. Chem. Eng.2015, 34, 105.10.20450/mjcce.2015.634Search in Google Scholar
[12] E. J. Baran, B. S. Parajón-Costa, G. A. Echeverría, O. E. Piro, Maced. J. Chem. Chem. Eng.2015, 34, 95.10.20450/mjcce.2015.630Search in Google Scholar
[13] L. J. Farrugia, J. Appl. Crystallogr.1997, 30, 565.10.1107/S0021889897003117Search in Google Scholar
[14] S. P. Velaga, V. R. Vangala, S. Basavoju, D. Boström, Chem. Commun.2010, 46, 3562.10.1039/c0cc00028kSearch in Google Scholar PubMed
[15] K. S. Pitzer, Acc. Chem. Res.1979, 12, 271.10.1021/ar50140a001Search in Google Scholar
[16] P. Pyykkö, J.-P. Desclaux, Acc. Chem. Res.1979, 12, 276.10.1021/ar50140a002Search in Google Scholar
[17] D. M. P. Mingos, Essential Trends in Inorganic Chemistry, Oxford University Press, Oxford, 1998.10.1093/hesc/9780198559184.001.0001Search in Google Scholar
[18] L. Shimoni-Livny, J. P. Glusker, C. W. Bock, Inorg. Chem.1998, 37, 1853.10.1021/ic970909rSearch in Google Scholar
[19] O. Sahin, H. Içbudak, O. Büyükgüngör, Chin. Struct. Chem.2010, 29, 1047.Search in Google Scholar
[20] S. Z. Haider, K. M. A. Malik, S. Das, M. B. Hursthouse, Acta Crystallogr.1984, C40, 1147.Search in Google Scholar
[21] F. A. Cotton. G. E. Lewis, C. A. Murillo, W. Schwotzer, G. Valle, Inorg. Chem.1984, 23, 4038.10.1021/ic00192a039Search in Google Scholar
[22] G. Jovanovski, A. Hergold-Brundic, B. Kamenar, Acta Crystallogr.1988, C44, 63.10.1107/S0108270187009120Search in Google Scholar
[23] A. D. Popova, E. A. Velcheva, B. A. Stamboliyska, J. Mol. Struct.2012, 1009, 23.10.1016/j.molstruc.2011.07.039Search in Google Scholar
[24] H. Siebert, Anwendungen der Schwingungsspektroskopie in der Anorganischen Chemie, Springer, Berlin, 1966.10.1007/978-3-642-85629-7Search in Google Scholar
[25] E. Libowitzky, Monatsh. Chem.1999, 130, 1047.10.1007/BF03354882Search in Google Scholar
[26] CrysAlis Pro Software System (version 1.171.33.48, release 15-09-2009, CrysAlis 171.NET), Intelligent Data Collection and Processing Software for Small Molecule and Protein Crystallography, Oxford Diffraction Ltd. Abingdon, Oxford (UK), 2009.Search in Google Scholar
[27] G. M. Sheldrick, Shelxt, Integrated Space-Group and Crystal-Structure Determination, University of Göttingen, Göttingen (Germany) 2015.Search in Google Scholar
[28] G. M. Sheldrick, Acta Crystallogr.2015, A71, 3.10.1107/S2053273314026370Search in Google Scholar
[29] G. M. Sheldrick, Shelxl-97, Program for the Refinement of Crystal Structures, University of Göttingen, Göttingen (Germany) 1997.Search in Google Scholar
[30] G. M. Sheldrick, Acta Crystallogr.2008, A64, 112.10.1107/S0108767307043930Search in Google Scholar PubMed
[31] G. M.Sheldrick, Acta Crystallogr.2015, C71, 3.Search in Google Scholar
©2017 Walter de Gruyter GmbH, Berlin/Boston
Articles in the same Issue
- Frontmatter
- In this Issue
- Syntheses, crystal structures and DNA-binding activities of divalent Fe, Cu, Zn and Cd complexes with 4′-(furan-2-yl)-2,2′:6′,2″-terpyridine
- Colletotrin: a sesquiterpene lactone from the endophytic fungus Colletotrichum gloeosporioides associated with Trichilia monadelpha
- Synthesis of unexpected novel bis-coumarin derivatives via three component reactions of 4-hydroxycoumarin, aldehydes and cyclic secondary amines. Conformation in the solid state and pharmacological evaluation
- Efficient synthesis of novel β-sitosterol scaffolds containing 1,2,3-triazole via copper(I)-catalyzed click reaction under microwave irradiation
- First-principles investigations of the electronic and magnetic structures and the bonding properties of uranium nitride fluoride (UNF)
- Unexpected distinction in reactivity of pentafluorobenzenesulfonyl halides toward organolithiums and organomagnesium halides
- Structural and IR-spectroscopic characterization of cadmium and lead(II) acesulfamates
- Synthesis and properties of 1,3-Bis(2,6-diisopropylphenyl)-2-(trimethylstannyl)- 2,3-dihydro-1H-1,3,2-diazaborole
- Structure and magnetic properties of Sm2Rh3Sn5 – an intergrowth of TiNiSi- and NdRh2Sn4-related slabs
- Note
- Synthesis and crystal structure of a homoleptic diruthenium complex containing tetra-2-pyridyl-1,4-pyrazine (tppz)
Articles in the same Issue
- Frontmatter
- In this Issue
- Syntheses, crystal structures and DNA-binding activities of divalent Fe, Cu, Zn and Cd complexes with 4′-(furan-2-yl)-2,2′:6′,2″-terpyridine
- Colletotrin: a sesquiterpene lactone from the endophytic fungus Colletotrichum gloeosporioides associated with Trichilia monadelpha
- Synthesis of unexpected novel bis-coumarin derivatives via three component reactions of 4-hydroxycoumarin, aldehydes and cyclic secondary amines. Conformation in the solid state and pharmacological evaluation
- Efficient synthesis of novel β-sitosterol scaffolds containing 1,2,3-triazole via copper(I)-catalyzed click reaction under microwave irradiation
- First-principles investigations of the electronic and magnetic structures and the bonding properties of uranium nitride fluoride (UNF)
- Unexpected distinction in reactivity of pentafluorobenzenesulfonyl halides toward organolithiums and organomagnesium halides
- Structural and IR-spectroscopic characterization of cadmium and lead(II) acesulfamates
- Synthesis and properties of 1,3-Bis(2,6-diisopropylphenyl)-2-(trimethylstannyl)- 2,3-dihydro-1H-1,3,2-diazaborole
- Structure and magnetic properties of Sm2Rh3Sn5 – an intergrowth of TiNiSi- and NdRh2Sn4-related slabs
- Note
- Synthesis and crystal structure of a homoleptic diruthenium complex containing tetra-2-pyridyl-1,4-pyrazine (tppz)