Startseite Effect of concentration dependence of viscosity on squeeze film lubrication
Artikel Öffentlich zugänglich

Effect of concentration dependence of viscosity on squeeze film lubrication

  • Poosan Muthu EMAIL logo und Vanacharla Pujitha
Veröffentlicht/Copyright: 29. Mai 2020

Abstract

The influence of concentration of solute particles on squeeze film lubrication between two poroelastic surfaces has been analyzed using a mathematical model. Newtonian viscous fluid is considered as a lubricant whose viscosity varies linearly with concentration of suspended solute particles. Convection-diffusion model is proposed to study the concentration of solute particles and is solved using finite difference method of Crank–Nicolson scheme. An iterative procedure is used to get the solution for concentration, pressure and velocity components in film region. It has been observed that load carrying capacity decreases as the concentration of solute particles in the fluid film decreases. Further, the concentration of suspended solute particles decreases as the permeability of the poroelastic plate increases and these results may be useful in understanding the mechanism of human joint.

1 Introduction

Lubrication is a process by which friction and wear between two moving surfaces are reduced by a suitable substance called as lubricant. We can observe the lubrication process in machines, human body and other systems. Synovial joints are weight bearing systems in the human body with low frictional coefficient and wear in comparison with mechanical bearings [1].

Synovial joint is a connection between two moving bones consisting of a cartilage lined cavity filled with a lubricant called as synovial fluid. The behavior of synovial joint is mainly governed by the properties of synovial fluid and articular cartilage. The articular cartilage exhibits elastic behavior and is slightly permeable. The principal role of synovial fluid is to reduce friction between two moving articular cartilage surfaces. Its viscosity is due to the presence of hyaluronic acid (HA) molecules in it. In normal joints, these acid molecules cannot pass through the articular cartilage [2].

Torzilli and Mow [3] studied theoretically the characteristics of articular cartilage and synovial fluid. Bujurke et al. [4] have analyzed the squeeze film lubrication of synovial joint using a mathematical model by considering the lubricant as second-order fluid and cartilage as a porous surface. Hou et al. [5] have studied the lubrication mechanism of articular cartilage. Squeeze film lubrication of synovial joint with Bingham fluid as a lubricant and cartilage as a two layered porous region is mathematically modeled by Tandon et al. [6]. Bujurke and Kudenatti [7] have studied the effect of surface roughness and poroelastic behavior of cartilage on lubrication mechanism of joint. From all these research articles one can observe that load carrying capacity and pressure are important physical quantities in the study of lubrication mechanism. These quantities decrease with increasing values of permeability of the porous surface and increase with increasing values of elastic parameter.

Walker et al. [8] proposed the concept of boosted lubrication in load bearing phase of synovial joint. It is mentioned that when two bones approach each other, water and low molecular weight molecules pass through the cartilage surface and the HA molecules remain in the joint cavity. Due to the presence and increase in the concentration of acid molecules, the joint supports more load. Tannin et al. [9] experimentally investigated that presence of HA in synovial fluid reduces coefficient of friction in joint. Collins [10] analyzed the gel formation of HA molecules in joint. Tandon et al. [11] studied the lubricant gelling in synovial joint during articulation with viscoelastic fluid as lubricant. Mathematical model on dispersion of acid molecules and nutrients transport in the articular cartilage is useful in understanding the mechanism of synovial joint [12]. These studies modeled the effect of HA molecules on joint mechanism, assuming constant viscosity coefficient. But, the coefficient of viscosity of the synovial fluid changes with concentration of acid molecules present in it.

Recently, studies have been carried out to model the synovial fluid flow in rectangular cavity [13], [14]. In these investigations, the following assumptions are made: (i) viscosity depends on concentration and shear rate and (ii) shear-thinning index depends on concentration. But, geometry considered in the study is not relevant to biological synovial joint. That is, surfaces are rigid and flat. In nature, the joint surfaces are poroelastic. Further, the effect of concentration of HA molecules on pressure and load carrying capacity is not investigated in these articles.

Morris et al. [15] reported that the viscosity of synovial fluid increases rapidly and exponentially with concentration of HA molecules. Mathematical model describing the combined effect of variation of viscosity with concentration of HA and poroelastic nature of cartilage surface on lubrication of joint is not available in the literature. Hence, the main purpose of the present paper is to study the effect of concentration of solute particles on squeeze film lubrication between two poroelastic surfaces, assuming variable viscosity coefficient with respect to concentration.

2 Mathematical formulation

Figure 1 is the geometrical representation of model of synovial joint under consideration along with cartesian coordinate system (x,z), where x and z are parallel and perpendicular to the plates, respectively. According to Walker and Erkman [16], the load bearing area of the synovial knee joint is small under loading conditions. Therefore, two articular surfaces may be considered to be parallel. The x axis is taken as middle of the channel. Let 2L be the length of the plates, 2h be the thickness of the film region and δ be the thickness of the poroelastic region. Upper poroelastic surface is moving normally with constant velocity dh/dt towards fixed poroelastic surface.

Figure 1: Geometry of the present problem.
Figure 1:

Geometry of the present problem.

The assumptions involved in mathematical formulation of the problem are listed below: In the film region, Newtonian viscous fluid is taken as lubricant, whose viscosity varies with concentration of HA. Fluid flow is laminar. Body forces are neglected. Fluid inertia is small compared to viscous shear. The height of the fluid film h is very small compared to the length L. Since squeeze film thickness is smaller than the length of the plates, variation of pressure across the fluid film is insignificant. Compared with the velocity gradient u/z all other velocity gradient are considered negligible. Since u is predominant velocity and z is a dimension smaller than x. Thus the velocity gradient u/z is large compared with all other velocity gradients. Therefore, the differential of the product of viscosity and the derivative u/z with respect to z dominate the viscous term and remaining all derivatives are neglected. Based upon these assumptions as given in [17], the governing equations for the fluid flow in the film region are as follows:

Film region:

(1)ux+wz=0
(2)px=z[μuz]
(3)pz=0
(4)ucx+wcz=D2cz2

where uandw are velocity components in the film region along xandz directions, respectively. p is fluid film pressure, μ is the coefficient of viscosity. c is concentration of solute particles and D is diffusion coefficient.

Ferguson et al. [19] experimentally proved that the viscosity of the synovial fluid linearly depends on concentration of HA. Accordingly, we assume that the coefficient of viscosity (μ) depends upon the concentration, as given in the following expression [2], [19],

(5)μ=μ0(1+λc)

where λ is constant and μ0 is viscosity of fluid entering poroelastic region.

In poroelastic region, the fluid is assumed to be Newtonian fluid with constant viscosity μ0. Coupled governing equations of fluid flow in deformable cartilage matrix can be written as in [3], [18],

Poroelastic region:

(6)Matrix:ρm2Ut2=div(σm)μ0k(UtV)
(7)Fluid:ρfDVDt=div(σf)+μ0k(UtV)

where U is displacement vector of the cartilage, ρf and ρm are the densities of fluid and cartilage respectively. k is permeability of the cartilage and V is fluid velocity vector in cartilage. The stress tensors σm and σf for cartilage and fluid respectively, may be expressed as below

(8)σm=pI+2Ne+AeI
(9)σf=pI+EeI

where N,E and A are elastic parameters of the cartilage, p is the fluid pressure in the cartilage, e is cartilage dilatation and I is the identity tensor. Inertial terms are neglected in the Eqs (6) and (7) due to the physical reasons and the corresponding order of magnitude analysis as mentioned in [7], [19]. Then we have,

(10)div(σm)μ0k(UtV)=0
(11)div(σf)+μ0k(UtV)=0

Adding Eqs (10) and (11) and using Eqs (8) and (9), we get

(12)e=0

The divergence of Eq. (12) gives

(13)2e=0

We define cartilage dilatation in terms of average bulk modulus K as given in [20],

(14)e=e0+pK

We get equation of pressure in poroelastic region by substituting Eq. (14) in (13) as,

(15)2p=0

Next, we will derive the equation corresponding to the pressure in film region, using velocity components u and w. For which, the governing Eqs (1) and (2) are solved to get solution for u and w, using suitable boundary conditions as given below.

Boundary conditions:

The boundary conditions for velocity field are:

  1. At the axis of symmetry:

    (16)uz=0andw=0atz=0.
  2. At the permeable wall, the tangential velocity (u) is zero. That is, no-slip boundary condition is applied. The normal velocity (w) of fluid in the film region is equal to normal component of the relative fluid velocity (wn) at the cartilage surface and velocity of the upper moving plate (dh/dt), as given below [1] :

(17)u=0andw=wndhdtatz=h.

The boundary conditions for concentration of solute particles in fluid film region are:

  1. At middle of the channel (x=0), as height h decreases, the solute concentration increases uniformly about that cross-section [10]. That is,

    (18)c=c0h0hatx=0,

    where c0 is the uniform solute concentration value when initial height is h0.

  2. At the symmetry plane :

    (19)cz=0atz=0.
  3. Solute mass flux at the permeable wall is given by [21] :

    (20)Dcz=h(ccp)+(Th1)wncatz=h,
where cp is the concentration inside the poroelastic region, h* is permeability of solute at the wall and Th is transmittance factor. Th is defined as the fraction of the solute present at the interface, which actually enters the pores of the surface and which gets transferred through it by bulk flow [21].

The solute flux through the interface is given by the boundary condition (20). The solute flux by diffusion process is given by product of permeability of solute at the wall (h*) and transmembrane concentration difference [c(z=h)cp]. The solute flux by bulk flow is given by (Th1)wnc.

3 Solution

Solution of velocity component (u) is obtained by integrating the x momentum Eq. (2), twice with respect to z and applying the boundary conditions (16) and (17). It is expressed as :

(21)u=pxhz(zμ)dz.

Solution of normal velocity component (w) is obtained by substituting the velocity u in the continuity Eq. (1) and integrating it with respect to z. Further, applying boundary condition (16) on w and following Leibnitz rule, we get,

(22)w=x{z0[pxhz(zμ)dz]dz}.

Substituting the velocity component u in the continuity Eq. (1) and integrating it over the film thickness from z=0 to z=h with respect to z using boundary conditions (16) and (17) of w, we get Reynolds equation as below,

(23)x{0h[pxhz(zμ)dz]dz}=wn+dhdt

After neglecting the inertia term in Eq. (7), we have

(24)UtV=kμ0(p+Ee)

Substitution of Eq. (14) in Eq. (24), gives

(25)UtV=kμ0p(1EK)

Now wn can be defined as

(26)wn=normal component of(UtV)=kμ0(1EK)pz|z=h

Integrating the Laplace Eq. (15) with respect to z over porous matrix thickness from z=h to z=h+δ and using boundary condition p/z=0 at z=h+δ, we get

(27)pz|z=h=hh+δ2px2dz

If the thickness of porous layer (δ) is assumed to be of very small then Eq. (27) reduces to

(28)pz|z=h=δ2px2

Eq. (28) is valid in the limiting case when δ0 (see reference [22]).

Therefore,

(29)wn=kμ0δ(1EK)2px2

Substituting Eq. (29) in Reynolds Eq. (23), we get equation for pressure in film region as,

(30)x{pxF(x)}=dhdt
whereF(x)=0h(hz(zμ)dz)dzkμ0δ(1EK)

Solution for pressure in the film region can be obtained by solving Eq. (30) along with boundary conditions given below.

Boundary conditions for Pressure:

  1. At middle of the channel :

    (31)dpdx=0atx=0.
  2. At end of the channel :

(32)p=0atx=L.

Integrating Eq. (30) with respect to x twice and using boundary conditions (31) and (32) we get pressure in the dimensional form as,

(33)p=dhdtLxxFdx

We define the following non-dimensional quantities

x¯=xL,z¯=zh0,h¯=hh0,u¯=udh/dt,w¯=wdh/dt,w¯n=wndh/dt,ψ0=kδh03,p¯=ph03μ0L2(dh/dt),l=Lh0,c¯=cc0,c¯p=cpc0,μ¯=μμ0

to get the dimensionless form of the Eqs (4), (5), (21), (22) and (33).

We get the non-dimensional pressure in the film region as, after dropping bar,

(34)p=1xxFdx
whereF=0h(hz(zμ)dz)dzψ0(1EK)

The convection diffusion Eq. (4) and corresponding initial and boundary conditions (18), (19) and (20) are written in non-dimensional form (after removing bar) as :

(35)Pe[ucx+wcz]=2cz2,
(36)c=1hatx=0
(37)cz=0atz=0
(38)andcz=Sh(cpc)+Pe(1Th)wncatz=h,

where Pe=(dh/dt)h0/D is the Peclet number and Sh=h*h0/D is Sherwood number.

Non-dimensional form of velocity components and viscosity (after removing bar) are

(39)u=pxhz(zμ)dz
(40)w=x{z0[pxhz(zμ)dz]dz}
(41)andμ=1+λc0c

Now, we solve Eq. (35), which is coupled with Eqs (34), (39), (40) and (41). It is not possible to solve the Eq. (35) analytically, along with u, v and p quantities. Hence, Eq. (35) is solved numerically along with initial and boundary conditions (36), (37) and (38), in an iterative manner.

3.1 Numerical procedure

Finite difference method of Crank–Nicolson scheme is used to solve the convection-diffusion Eq. (35) along with the initial and boundary conditions (36)–(38), to get concentration value c(x,z). Trapezoidal procedure is used to evaluate integrals appearing in the solutions for pressure (p) and velocity components (u) and (w). Let the channel middle (x=0) and outlet (x=1) be denoted by index i=0 and i=M, respectively. Similarly, the bottom (z=0) and the top (z=h) are represented by index j=0 and j=N. Assume that Δx and Δz are increments in x and z directions, respectively. The discretized form of solute transport Eq. (35) at a general grid point with indices (i,j) can be written as,

(42)Ajci+1,j1+Bjci+1,j+Ejci+1,j+1=Rj,for0<iM,0j<N

where coefficients Aj, Bj, Ej and Rj are given by

Aj=PeΔxΔzwi+1,j2r,Bj=2Pe[ui,j+ui+1,j]+4r,Ej=PeΔxΔzwi+1,j2r,Rj=[PeΔxΔzwi,j+2r]ci,j1+[2Pe(ui,j+ui+1,j)4r]ci,j+[PeΔxΔzwi,j+2r]ci,j+1andr=Δx(Δz)2

To obtain the solute concentration value at the symmetric plane (z=0), we use discretized form of Eq. (37) along with (42). That is, at z=0, we have

(43)B0ci+1,0+E0ci+1,1=R0,for0<iM
whereB0=2Pe[ui,0+ui+1,0]+4r,E0=4r
andR0=[2Pe(ui,0+ui+1,0)4r]ci,0+4rci,1

To calculate solute concentration values at top boundary, we discretize the boundary condition (38) by using three point backward difference formula [23]. Hence, at z=h, we have

(44)ci,n=4ci,n1ci,n2+2ΔzShcp3+2Δz(Sh+(Ta1)Pewn),for0<iM

Thomas algorithm is used to solve the system of linear Eqs (42)(44). The solutions for concentration (c), velocity components (u, w) and pressure (p) are obtained using an iterative procedure.

Solution procedure is started by assuming an approximate value for c, say ci,j0, for grid points with indices (i=1toMandj=0toN). At i=0 level, p, u, w and c are known values. The approximate c values need to be corrected based upon Eqs. (34), (35) and (39)–(41) by satisfying the boundary conditions (37) and (38). The assumed c values are used to get approximate solutions for p, u and w, which are calculated from Eqs. (34), (39) and (40). Now, new c, say ci,j1, values are calculated from Eq. (42) along with boundary conditions (43) and (44). Using these new c values, new p, u and w are calculated. This algorithmic procedure is repeated until |ci,jn+1ci,jn|106.

Once the correct c value for all grid points is obtained, then the fluid viscosity and the squeeze film pressure are calculated numerically using Eqs. (41) and (34), respectively. Further, the non-dimensional form of load carrying capacity can be obtained by integrating this pressure p over the film region. It is expressed as:

(45)W=01pdx

4 Results and discussion

The objective of this analysis is to study the effect of solute concentration on squeeze film lubrication between two poroelastic surfaces. This study may be useful in understanding the lubrication mechanism of joint due to the following reason When the articular cartilages move closer to each other, water and low molecular solutes may press out from joint cavity into cartilage surface. As a result, the concentration of HA molecules increases in the film region which supports more load [24].

The computational results are obtained for solute concentration (c), squeeze film pressure (p) and load carrying capacity (W). The parameters of interest in this paper are film height h, permeability parameter ψ0 and elastic parameter E/K. Effect of these parameters on c, p and W are discussed. Further, we have fixed Sh=0.3, cp=0.5 and Ta=0.8 throughout the analysis.

Solute concentration(c(x,z)):

Figure 2(a) depicts the influence of squeeze film height (h) on the distribution of concentration of solute particles (c) along normal direction z at cross section x=0.06, for ψ0=0.001 and E/K=0.5. It is clear that there is an increase in the value of concentration of the solute particles as the height between two surfaces decreases. Also, the profile of c is obtained at cross section x=0.9, and is given in Figure 2(b). Similar trend is observed as in Figure 2(a), with a quantity difference. This may be illustrated that in normal synovial joint(low permeability), as the height becomes smaller, the fluid squeezes through the cartilage surfaces and HA molecules remain in the joint cavity [8], [11], [24], [25], [26]. Hence, as the height decreases, concentration increases in the film region.

Figure 2: Distribution of concentration c with z at different cross sections (a) x = 0.06 and (b) x = 0.09.
Figure 2:

Distribution of concentration c with z at different cross sections (a) x = 0.06 and (b) x = 0.09.

Figure 3 shows the distribution of concentration c along normal direction z for various values of permeability of the poroelastic surface ψ0 at cross section x=0.06, at fixed height h=0.4. The concentration of solute particles decreases in the film region with increase in values of ψ0. This may be interpreted as that, in diseased joint, the articular cartilage becomes softer and has more permeability. As a result of this, more voids are available in the poroelastic surface. In such case, acid molecules can pass through the articular cartilage during joint movement, hence, concentration of solute particles decreases as ψ0 increases [2]. Further, it is observed in the experimental work of Temple et al. [27] that the concentration of HA differed between diseased and normal synovial fluid in a manner that varied with molecular weight and HA concentration in diseased synovial fluid to normal case was lower in the large molecular weight range. Dahl et al. [28] also reported that there are reduced HA concentration in synovial fluids from rheumatoid arthritis patients.

Figure 3: Distribution of concentration c with z for different values of ψ0${\psi }_{0}$.
Figure 3:

Distribution of concentration c with z for different values of ψ0.

Effect of elastic parameter E/K on the distribution of c varying with z at cross section x=0.06 is presented in Figure 4. It is observed that, the concentration c increases for increasing values of EK. The values of E/K for normal and degenerative articular cartilage are 0.6 and 0.2, respectively, as remarked in the experimental study [20]. The degenerative cartilage surface is characterized by increasing porosity, permeability and decreasing stiffness [3]. If E/K=0.6, then, the cartilage surface has more stiffness than the surface with E/K=0.2. Hence, joint with degenerative cartilage has less solute particles movement during joint motion.

Figure 4: Distribution of concentration c with z for different values of E/K$E/K$.
Figure 4:

Distribution of concentration c with z for different values of E/K.

Figure 5 illustrates the influence of Peclet number Pe on the distribution of concentration c at cross section x=0.06. It is understood that c increases as Pe increases. It may be interpreted as that there is a significant effect of convection term on the distribution of concentration of solute particles in squeeze film lubrication.

Figure 5: Distribution of concentration c with z for different values of Peclet number Pe$Pe$.
Figure 5:

Distribution of concentration c with z for different values of Peclet number Pe.

Solute concentration at interface(ci):

Figure 6 represents axial distribution of solute concentration (ci) at the interface for various squeeze film heights, for ψ0=0.001. It is seen that, ci increases as h decreases for small value of ψ0=0.001.

Figure 6: Distribution of concentration at the interface ci${c}_{i}$ for different heights.
Figure 6:

Distribution of concentration at the interface ci for different heights.

Squeeze film pressure (p):

Axial distribution of squeeze film pressure p with x for various values of h is shown in Figure 7. The general pattern is that p increases as h decreases. It may be noted that when the gap between two articular surfaces decreases, there is a resistance to sideways flow and further, the viscosity of the fluid increases due to increase in concentration of HA in the film region. Because of these reasons, squeeze film pressure increases as the gap decreases.

Figure 7: Distribution of pressure p with x for different values of h.
Figure 7:

Distribution of pressure p with x for different values of h.

Figure 8 shows the effect of variation of permeability parameter ψ0 on squeeze film pressure p with respect to x. The effect of surface permeability is to decrease the pressure in the film region. As permeability of the cartilage surface increases, HA and synovial fluid can easily move through the surface. Hence, viscosity of the fluid decreases due to decrease in concentration of acid molecules and also the amount of fluid retained in the film region is small which in turn decrease the squeeze film pressure.

Figure 8: Distribution of pressure p with x for different values of ψ0${\psi }_{0}$.
Figure 8:

Distribution of pressure p with x for different values of ψ0.

Figure 9 represents the distribution of squeeze film pressure p with x for various values of elastic parameter E/K. The general profile is that p increases with increasing values of E/K. As mentioned earlier, the values of E/K for normal and degenerative articular cartilage are 0.6 and 0.2, respectively. Therefore, joint with normal cartilage surface may have more pressure in comparison with degenerative cartilage surface.

Figure 9: Distribution of pressure p with x for different values of E/K$E/K$.
Figure 9:

Distribution of pressure p with x for different values of E/K.

Load carrying capacity (W):

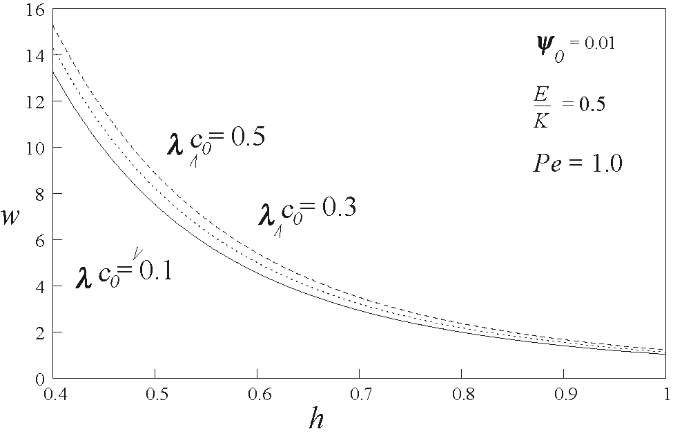
Variation of load carrying capacity W with film height h for different values of λc0 is shown in Figure 10. Decrease in the height between two surfaces increases the load carrying capacity. This may be explained that as the height of the film region decreases the pressure distribution increases and hence the load carrying capacity increases. Further, the load carrying capacity increases as λc0 increases. In other words, the load carrying capacity increases with increased values of concentration of solute particles in the film region.

Figure 10: Variation of load carrying capacity W at various heights h for different values of λc0$\lambda {c}_{0}$.
Figure 10:

Variation of load carrying capacity W at various heights h for different values of λc0.

Figures 11 and 12 depict the variation of W with h for different values of ψ0 and E/K, respectively. It is observed that W decreases as ψ0 increases, from ψ0=0.001 and ψ0=0.1. Due to more permeability of the poroelastic surface, the pressure in the film region decreases and consequently the load carrying capacity decrease. Further, W increases with increasing values of E/K.

Figure 11: Variation of load carrying capacity W at various heights h for different values of ψ0${\psi }_{0}$.
Figure 11:

Variation of load carrying capacity W at various heights h for different values of ψ0.

Figure 12: Variation of load carrying capacity W at various heights h for different values of E/K$E/K$.
Figure 12:

Variation of load carrying capacity W at various heights h for different values of E/K.

5 Conclusion

In this paper, a mathematical model has been proposed to study the squeeze film lubrication by taking into account the permeability, elasticity of the bearing surfaces and the viscosity variation of the lubricant due to change in the concentration of solute particles.

  1. It is found that the squeeze film pressure and the load carrying capacity increase as the concentration of solute particle increases.

  2. Further the concentration of solute particles, squeeze film pressure and load carrying capacity increase as the elastic parameter increases but they decrease with increase in the permeability.

  3. The results obtained for various values of parameter h show a strong influence on the concentration of solute particles and the film pressure.


Corresponding author: Poosan Muthu, Department of Mathematics, National Institute of Technology, Warangal, 506004, Telangana, India, E-mail:

References

[1] N. M. Bujurke and R. B. Kudenatti, “An analysis of rough poroelastic bearings with reference to lubrication mechanism of synovial joints,” Appl. Math. Comput., vol. 178, pp. 309–320, 2006.10.1016/j.amc.2005.11.048Suche in Google Scholar

[2] Peeyush Chandra, Mathematical Model for Synovial Joints – A Lubrication Biomechanical Study, PhD Thesis, IIT Kanpur, 1975.Suche in Google Scholar

[3] P. A. Torzilli and V. C. Mow, “On the fundamental fluid transport mechanisms through normal and pathological articular cartilage during functon-II – The analysis, solution and conclusions,” J. Biomech., vol. 9, pp. 587–606, 1976.10.1016/0021-9290(76)90100-7Suche in Google Scholar

[4] N. M. Bujurke, M. Jagadeeswar, and P. S. Hiremath, “Analysis of normal stress effects in a squeeze film porous bearing,” Wear, vol. 116, pp. 237–248, 1987.10.1016/0043-1648(87)90236-5Suche in Google Scholar

[5] J. S. Hou, V. C. Mow, W. M. Lai, et al. “An analysis of the squeeze-film lubrication mechanism for articular cartilage,” J. Biomech., vol. 25, no. 3, pp. 247–259, 1992.10.1016/0021-9290(92)90024-USuche in Google Scholar

[6] P. N. Tandon, N. H. Bong, and Kushwaha Kiran, “A new model for synovial joint lubrication,” Int. J. Bio Med Comput. vol. 35, no. 2, pp. 125–140, 1994.10.1016/0020-7101(94)90062-0Suche in Google Scholar

[7] N. M. Bujurke and R. B. Kudenatti, “Surface roughness effects on squeeze film poroelastic bearings,” Appl. Math. Comput., vol. 174, pp. 1181–1195, 2006.10.1016/j.amc.2005.06.007Suche in Google Scholar

[8] P. S. Walker, D. Dowson, M. D. Longfield, and V. Wright, “Boosted lubrication in synovial joints by fluid entrapment and enrichment,” Ann. Rheum. Dis., vol. 27, pp. 512–522, 1968.10.1136/ard.27.6.512Suche in Google Scholar

[9] A. S. Tannin, S. G. Nicholas, T. N. Quynhhoa, et al. “Boundary lubrication of articular cartilage – role of synovial fluid constituents,” Arthritis Rheumatol., vol. 56, no. 3, pp. 882–891, 2007.10.1002/art.22446Suche in Google Scholar

[10] Richard Collins, “A model of lubricant gelling in synovial joints,” J. Appl. Math. Phys., vol. 33, pp. 93–123, 1982.10.1007/BF00948315Suche in Google Scholar

[11] P. N. Tandon, P. Nirmala, T. S. Pal, et al. “Rheological study of lubricant gelling in synovial joints during articulation,” Appl. Math. Model., vol. 12, pp. 72–74, 1988.10.1016/0307-904X(88)90025-XSuche in Google Scholar

[12] M. Alshehri and S. K. Sharma, “Computational model for the generalised dispersion of synovial fluid,” IJACSA, vol. 8, no. 2, pp. 134–138, 2017.10.14569/IJACSA.2017.080218Suche in Google Scholar

[13] P. Pustejovska, “Mathematical modeling of synovial fluids flow,” WDS'08 Proceedings of Contributed papers, Part III, pp. 32–37, 2008.Suche in Google Scholar

[14] J. Hron, J. Malek, P. Pustejovska, et al. “On the modeling of the synovial fluid,” Adv. Tribol., pp. 1–12, 2010.10.1155/2010/104957Suche in Google Scholar

[15] E. R. Morris, D. A. Rees, and E. J. Welsh, “Conformation and dynamic interactions in hyaluronate solutions,” J. Mol. Biol., vol. 138, no. 2, pp. 383–400, 1980.10.1016/0022-2836(80)90294-6Suche in Google Scholar

[16] P. S. Walker and M. J. Erkman, “Metal-on-metal lubrication in artificial human joints,” Wear, vol. 21, pp. 377–392, 1972.10.1016/0043-1648(72)90011-7Suche in Google Scholar

[17] O. Pinkus and B. Sternlicht, Theory of Hydrodynamic Lubrication, New York, McGraw-Hill, 1961.Suche in Google Scholar

[18] N. B. Naduvinamani and G. K. Savitramma, Effect of Surface Roughness on the Squeeze Film Lubrication of Finite Poroelastic Partial Journal Bearing with Couple Stress Fluids: A Special Reference to Hip Joint Lubrication, ISRN Tribology, 2014. pp. 1–13.10.1155/2014/690147Suche in Google Scholar

[19] J. Ferguson, J. A. Boyle, R. N. M. Mcsween, et al. “Observations on the flow properties of the synovial fluid from patients with rheumatoid arthritis,” Biorheology, vol. 5, no. 2, pp. 119–131, 1968.10.3233/BIR-1968-5204Suche in Google Scholar

[20] R. Y. Hori and L. F. Mockros, “Indentation tests of human articular cartilage,” J. Biomech., vol. 9, no. 4, pp. 259–268, 1976.10.1016/0021-9290(76)90012-9Suche in Google Scholar

[21] U. R. Shettigar, H. J. Prabhu, and D. N. Ghista, “Blood ultrafiltration: A design analysis.” Medi. Biol. Engg. Comput., vol. 15, no. 1, pp. 32–38, 1977.10.1007/BF02441572Suche in Google Scholar

[22] J. Prakash and S. K. Vij, “Load capacity and time-height relations for squeeze films between porous plates,” Wear, vol. 24, pp. 309–322, 1973.10.1016/0043-1648(73)90161-0Suche in Google Scholar

[23] T. J. Chung, Computational Fluid Dynamics, 2nd ed. Cambridge University press, 2010.10.1017/CBO9780511780066Suche in Google Scholar

[24] Tamer Mahmoud Tamer, “Hyaluronan and synovial joint: function, distribution and healing,” Interdiscipl. Toxicol., vol. 6, no. 3, pp. 111–125, 2013.10.2478/intox-2013-0019Suche in Google Scholar PubMed PubMed Central

[25] M. M. Temple-Wong, B. Hansen, M. Grissom, et al., “Effect of knee osteoarthritis on the boundary lubricating molecules and function of human synovial fluid,” Trans. Orthop. Res. Soc., vol. 35, pp. 340, 2010.Suche in Google Scholar

[26] L. B. Dahl, I. M. Dahl, A. Engstrom-Laurent, et al. “Concentration and molecular weight of sodium hyaluronate in synovial fluid from patients with rheumatoid arthritis and other arthropathies,” Ann. Rheum. Dis, vol. 44, pp. 817–822, 1985.10.1136/ard.44.12.817Suche in Google Scholar PubMed PubMed Central

[27] A. Maroudas, “Hyaluronic acid films,” Proc. Inst. Mech. Eng., vol. 181, pp. 122–124, 1967.10.1243/PIME_CONF_1966_181_214_02Suche in Google Scholar

[28] P. S. Walker, J. Sikorski, D. Dowson, et al. “Behaviour of synovial fluid on surfaces of articular cartilage – A scanning electron microscope study,” Ann. Rheum. Dis., vol. 28, pp. 1–14, 1969.10.1136/ard.28.1.1Suche in Google Scholar PubMed PubMed Central

Received: 2019-12-19
Accepted: 2020-02-24
Published Online: 2020-05-29
Published in Print: 2020-05-26

© 2020 Walter de Gruyter GmbH, Berlin/Boston

Heruntergeladen am 28.11.2025 von https://www.degruyterbrill.com/document/doi/10.1515/zna-2019-0370/html
Button zum nach oben scrollen