Abstract
Two resistance-distance-based graph invariants, namely, the Kirchhoff index and the additive degree-Kirchhoff index, are studied. A relation between them is established, with inequalities for the additive degree-Kirchhoff index arising via the Kirchhoff index along with minimum, maximum, and average degrees. Bounds for the Kirchhoff and additive degree-Kirchhoff indices are also determined, and extremal graphs are characterised. In addition, an upper bound for the additive degree-Kirchhoff index is established to improve a previously known result.
1 Introduction
Let G= (V, E) be a connected graph. For any two distinct vertices i, j∈V, the resistance distance [1] between them, denoted by Ωij, is defined as the net effective resistance between nodes i and j in the electrical network constructed from G when each edge is identified as a unit resistor.
Since the appearance of the concept of resistance distance, some resistance distance-based graph invariants have been defined. Among these invariants, a famous one is the Kirchhoff indexR(G) [1] (or total effective resistance [2], or effective graph resistance [3]), which is defined as the sum of resistance distances between all pairs of vertices of G:

Then, two modifications of the Kirchhoff index have been made to take the degrees of vertices into account. The first one is the multiplicative degree-Kirchhoff indexR*(G) introduced by Chen and Zhang [4] as

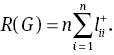
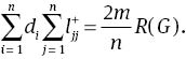
where di is the degree (i.e., the number of neighbours) of the vertex i. The second one is the additive degree-Kirchhoff introduced by Gutman et al. [5] as

The Kirchhoff index has been widely studied, and we refer the reader to recent papers [6–19] and references therein. However, the study of the additive degree-Kirchhoff index is at an initial stage. In Ref. [5], Gutman et al. characterised n-vertex unicyclic graphs having minimum and second minimum additive degree-Kirchhoff indices. Then, Palacios and his collaborators [20, 21] exhibited various bounds for this index using elegant random walks, majorization, and Schur-convexity techniques. In Refs. [16, 18], the current authors obtained formulae for these Kirchhoffian indices of the subdivision and triangulation of a graph G, which neatly relates their Kirchhoffian indices to that of the original graph G.
In this article, first of all, we establish a relation between the Kirchhoff index and the additive degree-Kirchhoff index by expressing the additive degree-Kirchhoff index in terms of the Kirchhoff index and the Moore–Penrose inverse of the Laplacian matrix of G, so as to yield inequalities for the additive degree-Kirchhoff index via the Kirchhoff index, minimum, maximum, and average degrees. Then, we determine bounds for the Kirchhoff and additive degree-Kirchhoff indices via maximum and minimum degrees, with extremal graphs being characterised. Finally, we obtain an upper bound for the additive degree-Kirchhoff index, which improves the result obtained in Ref. [21].
2 A Relation between the Kirchhoff Index and the Additive Degree-Kirchhoff Index
Let G be a connected graph with n vertices. The adjacency matrixA= (aij) of G is the matrix with aij=1 if i and j are adjacent and 0 otherwise. Let D=diag{d1, d2, …, dn} be the diagonal matrix of vertex degrees. Then, the Laplacian matrix of G is defined as L=D – A. Because the sum of each row and of each column is zero, L is singular and does not admit an (ordinary) inverse.
Let M be an n×m matrix. Then, the Moore–Penrose inverse of M, denoted by M+, is [22] an m×n matrix satisfying the equations:
where MH denotes the conjugate transpose of M. It is well known [22] that the Moore–Penrose inverse of a matrix exists and is unique. Let
Theorem 1 [1] The resistance distance between vertices i and j can be computed as

Theorem 2 [23, 24] Let G be a connected graph with n vertices. Then,

Using Theorems 1 and 2, a formula for the additive degree-Kirchhoff index is obtained.
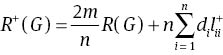
Theorem 3Let G be a connected graph with n vertices and m edges. Then,

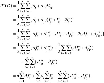
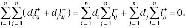
Proof. By the definition of the additive degree-Kirchhoff index, we have

By the fact that

On the other hand, by the fact that L+ is symmetric and that the n–vector 1 with all entries equal to 1 is a 0-eigenvalue eigenvector of L+, that is, L+1=0, we have

Then, (6) is obtained by substitution of (8) and (9) into (7).
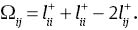
Let δ, Δ, and d̅=(2m/n) denote the minimum, maximum, and average degrees of G, respectively. Then, from the definition of the additive degree-Kirchhoff index, it is obvious that
As a consequence of Theorem 3, bounds in the earlier equation can be improved as follows.
Theorem 4R+(G) and R(G) satisfy the following inequalities:

with equality if and only if G is d-regular, that is, d= d̅= δ= Δ.
Proof. Noting that d̅=(2m/n) and
3 Bounds for the Kirchhoff and Additive Degree-Kirchhoff Indices via Maximum and Minimum Degrees
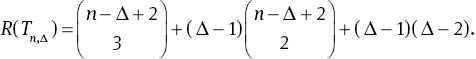
We first consider the Kirchhoff index to give an upper bound via the maximum degree as well as a lower bound via the minimum degree. A natural way to bound the Kirchhoff index is first to find the extremal graphs and use their values as bounds. It turns out that Tn,Δ and
Definition 1 [25] The broom graph Tn,Δis a tree on n vertices obtained by taking a path Pn-Δ+1and an edgeless graph
Definition 2Let
For example, graphs T10,4 and

Graphs T10,4 (left) and
Let 𝒢n,Δ be the set of all graphs with n vertices and maximum degree Δ. In Refs. [25, 26], it is shown that among all graphs in 𝒢n,Δ, the graph Tn,Δ has the maximum Wiener index.
Theorem 5For every graph G∈𝒢n,Δ,
with equality if and only if G is isomorphic to Tn,Δ.
Recall [1] that for any graph G, R(G)≤ W(G) with equality if and only if G is a tree. Then, from Theorem 5, for every graph G∈𝒢n,Δ,
with equality if and only if G is isomorphic to Tn,Δ.
Let 𝔾n,δ be the set of graphs with n vertices and minimum degree δ. Next, we characterise the extremal graph in 𝔾n,δ with the minimum Kirchhoff index. The following property, known as the non-increasing property of the Kirchhoff index, is used.
Proposition 1 [27] Let G be a connected graph, and let H be a spanning subgraph of G. Then,
with equality if and only if G ≅ H.
From Proposition 1, it is easily observed as follows.
Lemma 1For every graph G∈𝔾n,δ,
with equality if and only if G is isomorphic to
Now, we compute Kirchhoff indices for the two extremal graphs Tn,Δ and

To compute the Kirchhoff index of
Lemma 2 [28] Let i and j be vertices of G such that they have the same neighbourhood N in V–{i, j}. Then,
Lemma 3 [29] Let G=(V, E) be a connected graph. Then, for any two vertices, a, b∈V (a ≠ b),
Theorem 6Let u be the exceptional vertex in
Proof. If i, j∈N(u), then i and j are adjacent and have the same neighbourhood N=V–{i, j} with |N|=n – 2. Hence, by Lemma 2, it follows that Ωij=(2/n). If
Now, suppose that j∈N(u). To compute Ωuj, we apply Lemma 3 to u and j, to obtain that
By symmetry, it is easily seen that for any k∈N(u), Ωuk=Ωuj. Thus, the preceding equation becomes
which yields that Ωuj=((n + δ – 1)/nδ). The case for Ωuj with
Finally, we consider Ωij with i∈N(u) and
that is,
By symmetry, the preceding equation becomes
Simple calculation leads to
This gives Ωji=(2nδ – δ + 1)/(n(n – 1)δ).
Thus, the proof is complete. □
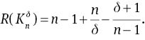
As a corollary of Lemma 2, the Kirchhoff index of
Corollary 1

Proof.
Recalling the results in Theorem 5 and Lemma 1, together with (11) and (12), the main result is obtained.
Theorem 7Let G be a n-vertex connected graph with minimum degree δ and maximum degree Δ (Δ≥ 2). Then,
The first equality holds if and only if
According to Theorems 4 and 7, bounds for the additive degree-Kirchhoff index follow directly.
Theorem 8Let G be a connected graph with n vertices, m edges, minimum degree δ, and maximum degree Δ (Δ≥2). Then,
the first equality holds if and only if G is complete.
4 An Upper Bound for the Additive Degree-Kirchhoff Index
In Ref. [21], it was shown that for any G,
In addition, it was conjectured that the maximum of R+(G) over all graphs is attained by the (1/3,1/3,1/3) barbell graph, which consists of two complete graphs on n/3 vertices united by a path of length n/3 and for which
Theorem 9Let G be a connected graph with n vertices. Then,
with equality if and only if G ≅ K2.
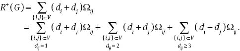
Proof. Let dij denote the distance between i and j in G. Then, by the definition of the additive degree-Kirchhoff index, we have

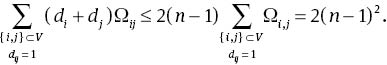
By the Foster formula [30], which states that the sum of resistance distances between pairs of adjacent vertices is equal to n – 1, we have

Then, by the fact that Ωij ≤ dij, it follows that

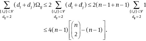
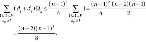
For i, j∈V such that dij ≥ 3, since i and j have no common neighbours, it follows that
which gives
Noting that pairs of vertices at distance 3 is less than or equal to
it follows that

Substitution of (14)–(16) back into (13) yields the desired result.
Equality in (14) holds only when the end vertices of each edge of G are n – 1, which means G is n – 1 regular, in other words, G is a complete graph. On the other hand, equality in (15) holds also requires that G has n – 1 edges, which indicates G is a tree. Thus, equality in Theorem 9 holds only when G ≅ K2, and it is easily verified that R+(K2) does attain the upper bound.
Acknowledgments
The authors acknowledge the support of the Welch Foundation of Houston, Texas, through Grant BD-0894. Y. Yang acknowledges the support of the National Science Foundation of China through Grant 11201404, China Postdoctoral Science Foundation through Grants 2012M521318 and 2013T60662, and Yantai University Foundation through Grant SX14GG3.
References
[1] D. J. Klein and M. Randić, J. Math. Chem. 12, 81 (1993).10.1007/BF01164627Search in Google Scholar
[2] A. Ghosh, S. Boyd, and A. Saberi, SIAM Rev. 50, 37 (2008).10.1137/050645452Search in Google Scholar
[3] W. Ellens, F. M. Spieksma, P. Van Mieghem, A. Jamakovic, and R. E. Kooij, Linear Algebra Appl. 435, 2491 (2011).10.1016/j.laa.2011.02.024Search in Google Scholar
[4] H. Chen and F. Zhang, Discrete Appl. Math. 155, 654 (2007).10.1016/j.dam.2006.09.008Search in Google Scholar
[5] I. Gutman, L. Feng, and G. Yu, Trans. Comb. 1, 27 (2012).Search in Google Scholar
[6] M. Bianchi, A. Cornaro, J. L. Palacios, and A. Torriero, J. Math. Chem. 51, 569 (2013).10.1007/s10910-012-0103-xSearch in Google Scholar
[7] N. Chair, Ann. Phys. 341, 56 (2014).10.1016/j.aop.2013.11.012Search in Google Scholar
[8] K. C. Das, Z. Naturforsch. 68a, 531 (2013).Search in Google Scholar
[9] Q. Deng and H. Chen, Linear Algebra Appl. 439, 167 (2013).10.1016/j.laa.2013.03.009Search in Google Scholar
[10] Q. Deng and H. Chen, Linear Algebra Appl. 444, 89 (2014).10.1016/j.laa.2013.11.038Search in Google Scholar
[11] R. Li, MATCH-Commun. Math. Co. 70, 163 (2013).10.4028/www.scientific.net/AMR.827.163Search in Google Scholar
[12] J. Liu, J. Cao, X. Pan, and A. Elaiw, Discrete Dyn. Nat. Soc. 2013, 7 p. (2013), Article ID 543189.10.1155/2013/543189Search in Google Scholar
[13] J. Liu, X. Pan, Y. Wang, and J. Cao, Math. Probl. Eng. 2014, 9 p. (2014), Article ID 380874.Search in Google Scholar
[14] A. Nikseresht and Z. Sepasdar, Electron J. Comb. 21, P1.25 (2014).10.37236/3508Search in Google Scholar
[15] W. Wang, D. Yang, and Y. Luo, Discrete Appl. Math. 161, 3063 (2013).10.1016/j.dam.2013.06.010Search in Google Scholar
[16] Y. Yang, Discrete Appl. Math. 171, 153 (2014).10.1016/j.dam.2014.02.015Search in Google Scholar
[17] Y. Yang and D. J. Klein, Discrete Appl. Math. 175, 87 (2014).10.1016/j.dam.2014.05.014Search in Google Scholar
[18] Y. Yang and D. J. Klein, Discrete Appl. Math. 181, 260 (2015).10.1016/j.dam.2014.08.039Search in Google Scholar
[19] Z. Zhang, J. Stat. Mech. 2013, P10004 (2013).10.1088/1742-5468/2013/10/P10004Search in Google Scholar
[20] M. Bianchi, A. Cornaro, J. L. Palacios, and A. Torriero, Croat. Chem. Acta 86, 363 (2013).10.5562/cca2282Search in Google Scholar
[21] J. L. Palacios, MATCH-Commun. Math. Co. 70, 651 (2013).Search in Google Scholar
[22] A. Ben-Israel and T. N. E. Greville, Generalized Inverses: Theory and Applications, 2nd ed., Springer, New York 2003.Search in Google Scholar
[23] I. Gutman and B. Mohar, J. Chem. Inf. Comput. Sci. 36, 982 (1996).10.1021/ci960007tSearch in Google Scholar
[24] D. J. Klein, MATCH-Commun. Math. Co. 35, 7 (1997).10.1007/978-3-322-96937-8_6Search in Google Scholar
[25] D. Stevanović, MATCH-Commun. Math. Co. 60, 71 (2008).Search in Google Scholar
[26] A. Ilic, Linear Algebra Appl. 431, 2203 (2009).10.1016/j.laa.2009.07.022Search in Google Scholar
[27] H. Zhang and Y. Yang, Int. J. Quantum Chem. 107, 330 (2007).10.1002/qua.21068Search in Google Scholar
[28] Y. Yang and H. Zhang, J. Phys. A: Math. Theor. 41, 445203 (2008).10.1088/1751-8113/41/44/445203Search in Google Scholar
[29] H. Chen and F. Zhang, J. Math. Chem. 44, 405 (2008).10.1007/s10910-007-9317-8Search in Google Scholar
[30] R. M. Foster, The average impedance of an electrical network, in: Contributions to Applied Mechanics (Ed. J. W. Edwards), Edwards Brothers, Inc., Ann Arbor, MI 1949, pp. 333–340.Search in Google Scholar
©2015 by De Gruyter
Articles in the same Issue
- Frontmatter
- A Note on Exact Solutions for the Unsteady Free Convection Flow of a Jeffrey Fluid
- Equation of State, Nonlinear Elastic Response, and Anharmonic Properties of Diamond-Cubic Silicon and Germanium: First-Principles Investigation
- Quantum Electron-Exchange Effects on the Buneman Instability in Quantum Plasmas
- Diffraction of Pulsed Sound Signals by Elastic Bodies of Analytical and Non-analytical Forms, Put in Plane Waveguide
- Density Functional Theory Calculations of H/D Isotope Effects on Polymer Electrolyte Membrane Fuel Cell Operations
- Rogue Waves and New Multi-wave Solutions of the (2+1)-Dimensional Ito Equation
- Direct Similarity Reduction and New Exact Solutions for the Variable-Coefficient Kadomtsev–Petviashvili Equation
- Application of Nuclear Quadrupole Resonance Relaxometry to Study the Influence of the Environment on the Surface of the Crystallites of Powder
- A Note on the Kirchhoff and Additive Degree-Kirchhoff Indices of Graphs
- Dimer Coverings on Random Polyomino Chains
- Application of Laplace Transform for the Exact Effect of a Magnetic Field on Heat Transfer of Carbon Nanotubes-Suspended Nanofluids
Articles in the same Issue
- Frontmatter
- A Note on Exact Solutions for the Unsteady Free Convection Flow of a Jeffrey Fluid
- Equation of State, Nonlinear Elastic Response, and Anharmonic Properties of Diamond-Cubic Silicon and Germanium: First-Principles Investigation
- Quantum Electron-Exchange Effects on the Buneman Instability in Quantum Plasmas
- Diffraction of Pulsed Sound Signals by Elastic Bodies of Analytical and Non-analytical Forms, Put in Plane Waveguide
- Density Functional Theory Calculations of H/D Isotope Effects on Polymer Electrolyte Membrane Fuel Cell Operations
- Rogue Waves and New Multi-wave Solutions of the (2+1)-Dimensional Ito Equation
- Direct Similarity Reduction and New Exact Solutions for the Variable-Coefficient Kadomtsev–Petviashvili Equation
- Application of Nuclear Quadrupole Resonance Relaxometry to Study the Influence of the Environment on the Surface of the Crystallites of Powder
- A Note on the Kirchhoff and Additive Degree-Kirchhoff Indices of Graphs
- Dimer Coverings on Random Polyomino Chains
- Application of Laplace Transform for the Exact Effect of a Magnetic Field on Heat Transfer of Carbon Nanotubes-Suspended Nanofluids