Abstract
Two polymorphs of Cy3PAu[SC(OEt)=N(C6H4Cl-3)], that is a triclinic form (P
1 Introduction
The original interest in phosphanegold(I) thiocarbamato species, that is, molecules having the general formula R3PAu[SC(OR′)=NR′′], for R/R′/R′′ = alkyl/aryl, related to their putative biological properties. Thus, the pharmacological potential of these molecules has been evaluated in the context of cancer 1 , 2 , 3 and microbes. 4 , 5 This practical interest has been supported by crystallographic studies for unambiguous structural characterisation. Indeed, the relative ease of crystallisation of these molecules has enabled some systematic studies delineating molecular packing preferences 6 , 7 and correlations with solid-state luminescence. 8 During these studies, instances of conformational polymorphism have arisen, that is, where one or more of the phosphane and thiocarbamato residues exhibit distinctive conformations. 9 , 10 , 11 , 12
The phenomenon of polymorphism is well documented and has an enormous impact upon the pharmaceutical and several other industries. 13 , 14 , 15 , 16 , 17 , 18 , 19 Polymorphs can exhibit quite distinctive packing arrangements for molecules resulting in specific physiochemical properties: the discovery of a new polymorph with favourable characteristics, for example, the histamine-2 blocker Zantac® (Ranitidine Hydrochloride), 20 , 21 , 22 or even the intriguing “disappearing polymorph” phenomenon, 23 , 24 , 25 for example, the protease inhibitor Ritonavir®, 26 , 27 , 28 can have considerable ramifications for intellectual property issues. 29 , 30 , 31 , 32 , 33 , 34 , 35 , 36 , 37 The difficulty with polymorphism is highlighted by computational chemistry studies which show the energy differences between polymorphs can be rather small, with the majority of polymorphs differing in lattice energy by less than 6 kJ/mol, 38 , 39 , 40 , 41 , 42 , 43 , 44 , 45 , 46 , 47 , 48 which provides a rationale for concomitant crystallisation 49 whereby polymorphs can precipitate from the same solution concomitantly, an area still attracting considerable attention. 50 , 51 , 52 , 53 , 54
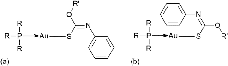
Given the interest in the biological properties of R3PAu[SC(OR′)=NR′′] and related binuclear species, these molecules have been characterised in over 80 crystal structures included in the Cambridge Structural Database (CSD), 55 which was searched employing standard procedures. 56 The overwhelming majority of molecules adopt structures related to the generic structure shown in Figure 1a, where the gold atom is coordinated in a linear fashion by the phosphane-P and thiolate-S atoms, with the thiocarbamato ligand orientated to place the alkoxy-O atom in close proximity to the gold atom. Among the structures of R3PAu[SC(OR′)=NR′′] deposited in the CSD, there are only three pairs of polymorphs, all of which may be classified as conformational polymorphs.
![Figure 1:
Chemical diagrams for the conformational polymorphs for R3PAu[SC(OR’)=NPh].](/document/doi/10.1515/zkri-2024-0124/asset/graphic/j_zkri-2024-0124_fig_001.jpg)
Chemical diagrams for the conformational polymorphs for R3PAu[SC(OR’)=NPh].
For the triclinic (P
Thus, over 20 years since the initial report of monoclinic (P21/n) Ph3PAu[SC(OEt)=NPh], 84 which adopts the motif shown in Figure 1a, a second monoclinic (P21/c) polymorph was characterised 85 which exhibits the motif shown in Figure 1b, that is, with an intramolecular Au···π(phenyl) interaction. Experiments showed the conformation with an intramolecular Au⋯O interaction was the kinetic outcome of crystallisation and that with the Au···π contact, the thermodynamic outcome. 85 Computational chemistry indicates the intramolecular Au···π contact is over 20 kJ/mol more stabilising than that with the Au⋯O interaction. 85 , 86 The final pair of monoclinic polymorphs, that is, with formula (4-tolyl)3PAu[SC(OEt)=N(C6H4NO2-4)], exhibit similar behaviour with an intramolecular Au⋯O interaction found in the P21/c form 87 and a Au···π contact in the Cc form. 88
In continuation of structural studies on this class of compound, which have shown some interesting crystallographic phenomena over the years, 6 , 7 , 8 the title compound was synthesised, being motivated by the desire to expand the range of substitution patterns in the N-bound substituents of the thiocarbamato anions and the relationship between this and anti-cancer and anti-microbial activity, herein is reported the crystal and molecular structures of two polymorphs of the formula Cy3PAu[SC(OEt)= N(C6H4Cl-3)], an analysis of the molecular packing including an evaluation of the calculated Hirshfeld surfaces as well as computational chemistry.
2 Materials and methods
2.1 Chemicals and instrumentation
All solvents were obtained from Merck and used as supplied. The chemicals were used as received without further purification: tricyclohexylphosphane (Aldrich), potassium tetrachloridoaurate(III) (Acros Organic), 3-chlorophenyl isothiocyanate (Merck), sodium sulphite (Merck) and sodium hydroxide (Merck). The ligand, EtOC(=S)N(H)C6H4Cl-3, was prepared by reacting 3-chlorophenyl isothiocyanate with ethanol in the presence of base. Tricyclohexylphosphanegold(I) chloride was prepared from the reduction of potassium tetrachloroaurate(III) by sodium sulphite followed by the addition of a molar equivalent of tricyclohexylphosphane.
The melting points were determined on a Stuart melting point apparatus SMP30 (Cole-Parmer, Chicago, USA). The 1H and 13C{1H} NMR spectra were recorded in CDCl3 solution on a Bruker Ascend 400 MHz NMR spectrometer (Bruker, Billerica, MA, USA) with chemical shifts relative to tetramethylsilane. The 31P{1H} NMR spectra were recorded in CDCl3 solution on the same instrument with the chemical shifts recorded relative to 85 % aqueous H3PO4 as external reference; abbreviations for NMR assignments: br, broad; d, doublet; t, triplet; q, quartet; m, multiplet. The IR spectra were measured on a Bruker Vertex 70v FTIR spectrophotometer (Bruker, Billerica, MA, USA) from 4,000 to 400 cm−1; abbreviations: s, strong; m, medium. The elemental analyses were performed on a Leco TruSpec Micro CHN Elemental Analyser (Leco, Saint Joseph, MI, USA). The luminescence spectra of solid samples were recorded on a JASCO FP-8600 spectrofluorometer (JASCO Corporation, Tokyo, Japan) equipped with liquid nitrogen cooled 100 mm ϕ integrating sphere. The low-temperature luminescent measurements were carried out on powdered samples immersed in a liquid nitrogen bath with constant flush of dried N2. The powder X-ray diffraction (PXRD) measurements were performed on a Rigaku SmartLab with CuKα1 radiation (λ = 1.54060 Å) in the 2θ range from 5 to 40° with a step size of 0.010°. The experimental PXRD patterns were compared to the simulated PXRD patterns calculated from the respective Crystallographic Information File (CIFs) using the Rigaku PDXL2 structure analysis software package.
2.2 Synthesis and characterisation
Synthesis of Cy3PAu[SC(OEt)=N(C6H4Cl-3)], 1: Sodium hydroxide (0.5 mmol, 0.020 g) in water (1 ml) was added to a suspension of tricyclohexylphosphanegold(I) chloride (0.5 mmol, 0.256 g) in acetonitrile (10 ml) followed by the addition of EtOC(=S)N(H)C6H4Cl-3 (0.5 mmol, 0.108 g) in dichloromethane (10 ml). After 3 h stirring at room temperature, the resulting mixture was left for slow evaporation at room temperature, yielding fine needles (β-form of 1) after 3 weeks.
Yield: 0.249 g, 72 %. M.pt: 436.9–437.2 K. Anal. Calc’d for C27H42AuClNOPS: C, 46.86; H, 6.12; N, 2.02. Found: C, 46.48; H, 6.14; N, 2.13 %. FTIR (cm−1): 1,577 (s) ν(C=N), 1,149 (s) ν(C–O), 1,087 (m) ν(C–S). 1H NMR {CDCl3}: δ 7.17 (t, 1H, aryl-H5, JHH = 7.77 Hz), 6.95–6.93 (m, 2H, aryl-H2,4), 6.81 (d, 1H, aryl-H6, JHH = 7.80 Hz), 4.30 (q, 2H, OCH2, JHH = 6.94 Hz), 2.02–1.21 (m, br, 33H, Cy3P), 1.31 (t, 3H, CH3, JHH = 7.13 Hz) ppm. 13C{1H} NMR {CDCl3}: 165.5 (Cq), 152.3 (aryl-C1), 133.8 (aryl-C3), 129.4 (aryl-C5), 122.5 (aryl-C4), 122.3 (aryl-C2), 120.6 (aryl-C6), 63.7 (OCH2), 33.3 (d, 1-PC6H11, JCP = 27.98 Hz), 30.7 (s, 2-PC6H11), 27.0 (d, 3-PC6H11, JCP = 12.07 Hz), 25.9 (d, 4-PC6H11, JCP = 0.95 Hz), 14.6 (CH3) ppm. 31P{1H} NMR {CDCl3}: 56.8 ppm. The original spectra are given in Supplementary Materials Figure S1 (IR) and Figure S2 (1H, 13C{1H} and 31P{1H} NMR).
2.3 Polymorph screening
Compound 1 was recrystallised from six solvent systems, that is, acetonitrile/chloroform (1:1 v/v), acetonitrile/dichloromethane (1:1 v/v), dichloromethane/ethanol (1:1 v/v), dichloromethane/isopropanol (1:1 v/v), chloroform/ethanol (1:1 v/v) and ethanol. From these trials, the α-form of 1 was obtained from the slow evaporation of 1 from its ethanol solution (M.pt: 437.1–437.4 K); the β-form of 1 was recovered from the remaining solutions. The obtained powders from each recrystallisation were subjected to PXRD analysis; the measured powder patterns were compared with the pattern generated from the respective CIF file for each of the α-and β-forms of 1.
2.4 X-ray crystallography
The X-ray intensity data for colourless crystals of the α-and β-forms of 1 were measured at T = 100 K on a Rigaku/Oxford Diffraction XtaLAB Synergy (Dualflex, AtlasS2) diffractometer (Rigaku Oxford Diffraction, Oxford, UK) fitted with CuKα radiation (λ = 1.54178 Å). CrysAlisPro (Oxfordshire, England) 89 was employed for data reduction, including gaussian absorption corrections. The structures were solved by dual space direct methods using SHELXT 90 and refined (anisotropic displacement parameters and C-bound H atoms in the riding model approximation) on F2. 91 A weighting scheme of the form w = 1/[σ2(Fo2) + (aP)2 + bP], where P = (Fo2 + 2F c 2)/3), was introduced in each case. The molecular structure diagrams were generated with ORTEP for Windows 92 with 50 % displacement ellipsoids, and the packing diagrams were drawn with DIAMOND. 93 The residual electron density peaks for the α-form were near the Au atom while those for the β-form were in the vicinity of the chlorophenyl ring. Additional data analysis was made with PLATON. 94 Crystal data and refinement details are given in Table 1.
Crystallographic data and refinement details for the α- and β-forms of 1.
| Polymorph | α | β |
|---|---|---|
| Formula | C27H42AuClNOPS | C27H42AuClNOPS |
| Molecular weight | 692.06 | 692.06 |
| Crystal size/mm3 | 0.06 × 0.13 × 0.30 | 0.14 × 0.18 × 0.28 |
| Colour | Colourless | Colourless |
| Crystal system | Triclinic | Monoclinic |
| Space group |
P
|
P21/c |
| a/Å | 7.6146(1) | 12.1412(1) |
| b/Å | 13.3443(2) | 18.9285(1) |
| c/Å | 14.6344(2) | 12.8511(1) |
| α/° | 103.294(1) | 90 |
| β/° | 101.583(1) | 107.192(1) |
| γ/° | 92.658(1) | 90 |
| V/Å3 | 1,411.01(3) | 2,821.41(4) |
| Z | 2 | 4 |
| Dc/g cm−3 | 1.629 | 1.629 |
| μ/mm−1 | 12.037 | 12.040 |
| Measured data | 35,698 | 37,207 |
| θ range (100 % compl.)/° | 3.2–67.7 | 3.8–67.7 |
| Unique data | 5,813 | 5,837 |
| Observed data (I ≥ 2.0σ(I)) | 5,777 | 5,808 |
| No. parameters | 299 | 299 |
| R, obs. data; all data | 0.021; 0.021 | 0.024; 0.024 |
| a; b in weighting scheme | 0.035; 0.698 | 0.025; 6.181 |
| Rw, obs. data; all data | 0.055; 0.055 | 0.059; 0.059 |
| Range of residual electron density peaks/eÅ−3 | −1.46–+1.07 | −1.39–+1.52 |
| CCDC deposition number | 2411162 | 2411163 |
2.5 Computational details
The molecular geometries of polymorphs α and β were optimised in the framework of density functional theory (DFT) at the M06 level of theory. 95 A pruned super-fine integral grid (175, 974) was used for all calculations. All atoms were described by the Pople-type 6–311 ++ G(d,p) basis set. The harmonic frequency analyses were performed on all optimised geometries to confirm that the structures had converged to local minima on the potential energy surface (PES). The relative enthalpies were calculated and corrected by zero-point vibration energies (ZPVE). The TD-DFT calculations were also performed on the M06 optimised structure at the PBE0 level of theory 96 to obtain their absorption spectra. All DFT calculations were performed using the Gaussian 16 software package. 97
3 Results and discussion
3.1 Isolation and spectroscopic characterisation
Two polymorphs of Cy3PAu[SC(OEt)=N(C6H4Cl-3)], 1, have been characterised after recrystallisation by slow evaporation at room temperature, namely, a triclinic form (P
The IR spectra of the α- and β-forms of 1 show no significant differences and reveal the presence of characteristic thiocarbamato bands at 1,577, 1,149 and 1,087 cm−1, which correspond to the stretching vibrations of the ν(C=N), ν(C–O) and ν(C–S) bonds, respectively.
Compound 1 is anticipated to undergo complete relaxation in CDCl3 solution, leading to uniform NMR characteristics for both polymorphs. Indeed, the spectra were identical and exhibited the expected resonances and integration in the 1H NMR spectrum. The notable feature of the 13C{1H} NMR spectrum is the most shielded resonance at 165.5 ppm due to the quaternary carbon of the thiocarbamato ligand.
The luminescence profiles of the α- and β-forms of 1 were investigated in the solid-state at 77 K. Each polymorphic form displayed similar excitation spectra but with an opposite pattern of peak maxima, Table 2 and Figure 2. Thus, λmax was 301 nm for the α-form while for the β-form, λmax was the high energy peak at 264 nm. The low intensity peaks were at λ = 271 and 295 nm for the α- and β-forms, respectively. Despite the distinct excitation spectra, in both cases, the α-and β-forms exhibited emission profiles that peaked at around 600 nm, see Figure 2. The low-energy emissions at approximately 600 nm are attributed to thiolate-to-gold ligand-to-metal charge transfer (LMCT) transitions. 98 This assignment is supported by the expectation that thiolate-to-phosphine ligand-to-ligand charge transfer (LLCT) transitions would occur at higher energies. 98
Solid-state luminescence data for the α- and β-forms of 1.
| Compound | λ (excitation; nm) | λ (emisson; nm) | Relative intensity |
|---|---|---|---|
| α-form | 301 | 924 | |
| 271 | 517 | ||
| 609 | 942 | ||
| β-form | 295 | 407 | |
| 264 | 489 | ||
| 603 | 502 |

Solid-state excitation (blue trace) and emission (red trace) spectra measured at 77 K for the (a) α-form (λex = 301 nm) and (b) β-form (λex = 264 nm).
Based on the calculated UV spectrum, the absorption peak at 301 nm observed for the α-form arises from the HOMO to LUMO +1 transition, due to the excitation of a π-electron of the thiocarbamato ligand to the d orbital of the gold centre. On the other hand, the absorption peak at 264 nm in the experimental excitation spectrum of the β-form is due to the HOMO to LUMO + 2 transition. The transitions are shown in the spatial plots of Figure 3.

Spatial plots (isovalue = 0.03 a.u.) of selected molecular orbitals for the (a) α-form and (b) β-form calculated for each optimised ground state geometry.
3.2 Molecular structures
While to a first approximation the molecular structures in the α- and β-forms of 1 are similar, notable conformational differences are apparent from the molecular structure diagrams illustrated in Figure 4; key geometric parameters are collected in Table 3. For each polymorph, the gold atom is linearly coordinated by sulphur and phosphorus atoms. The free ligand, that is, S=C(OEt)N(H)C6H4Cl-3, is available for comparison of key geometric parameters. 99 The lengthening and shortening of the C1–S1 and C1–N1 bond lengths of 1.6676(16) and 1.340(2) Å, respectively, compared with those in the α- and β-forms of 1 is particularly noteworthy as are the angles subtended at the quaternary-C1 atom. Specifically, the angles subtended at the C1 atom by the doubly-bonded N1 atom are systematically wider than those of the free ligand, that is, S1–C1–N1 = 122.27(11)° and O1–C1–N1 = 113.07(13)°, and concomitant reduction in the S1–C1–O1 angle, 124.66(11)°. 99 These data confirm the S1 atoms in the α- and β-forms are coordinating the gold atom as thiolato-S atoms.

Molecular structures of the (a) α-form and (b) β-form of 1 showing atom labelling schemes and 50 % displacement ellipsoids, and overlay diagrams of the α- (red image) and β-forms (blue image) overlapped so that the (c) cyclohexyl groups are coincident and (d) the thiocarbamato residues are coincident.
Selected bond lengths (Å) and angles (°) for the α- and β-forms of 1.
| Parameter | α-form | β-form | Parameter | α-form | β-form |
|---|---|---|---|---|---|
| Au–S1 | 2.2971(6) | 2.3157(7) | Au–S1–C1–N1 | −179.91(19) | 174.9(3) |
| Au–P1 | 2.2667(6) | 2.2704(7) | S1–C1–O1–C8 | 175.39(16) | −176.6(2) |
| Au⋯O1 | 3.1552(17) | 3.097(2) | S1–C1–N1–C2 | −3.1(3) | −1.1(5) |
| C1–S1 | 1.752(2) | 1.757(3) | P1–Au–S1–C1 | 135.0(4) | 91.7(17) |
| C1–O1 | 1.351(3) | 1.346(4) | C1–O1–C8–C9 | −170.6(2) | 174.2(3) |
| C1–N1 | 1.276(3) | 1.273(4) | C1–N1–C2–C3 | 101.7(3) | −84.7(4) |
| C2–N1 | 1.415(3) | 1.409(4) | C1–N1–C2–C7 | −82.2(3) | 101.9(4) |
| P1–Au–S1 | 176.431(19) | 178.96(3) | Au–P1–C10–C11 | 54.05(18) | 57.0(2) |
| Au–S1–C1 | 107.19(8) | 105.11(10) | Au–P1–C10–C15 | −67.86(18) | −65.2(2) |
| S1–C1–O1 | 115.03(17) | 114.5(2) | Au–P1–C16–C17 | −51.16(17) | −60.6(2) |
| S1–C1–N1 | 124.37(18) | 125.8(2) | Au–P1–C16–C21 | −177.23(15) | 172.45(18) |
| O1–C1–N1 | 120.6(2) | 119.6(3) | Au–P1–C22–C23 | −155.36(15) | −150.40(17) |
| Au–S1–C1–O1 | −0.12(18) | −7.4(2) | Au–P1–C22–C27 | −28.20(18) | −23.9(2) |
The bond lengths involving the sulphur and phosphorus atoms represent the major geometric differences between the molecules; as per normally observed, the Au–S1 bond length is longer than the Au–P1 bond. The Au–S1 bond length in the α-form [2.2971(6) Å] is shorter than the equivalent bond in the β-form [2.3157(7) Å], and a similar trend is evident in the Au–P1 bond lengths although not as pronounced, that is, 2.2667(6) compared with 2.2704(7) Å. These trends are clearly related to the close approach of the ethoxy-O atom to the gold centre which is shorter by approximately 0.06 Å in the β-form, Table 3; a further reason for the relative elongation of the Au–S1 bond in the α-form might relate to the participation of the thiolato-S1 atom in a close intermolecular contact, as discussed below.
The central CNOS residue is strictly planar exhibiting a r.m.s. deviations of 0.0006 and 0.0070 Å for the α- and β-forms, respectively. While this planarity generally extends to the ethoxy groups, kinks, in opposite orientations, of up to 20° are noted in the C1–N1–C2–C3 and C1–N1–C2–C7 torsion angles, Table 3. These differences between molecules notwithstanding, as evident from Figure 4c and d, rather large conformational disparities are apparent. In Figure 4c, the cyclohexyl groups of the two molecules have been overlaid resulting in very distinct relative orientations for the thiocarbamato residues, as reflected in a difference of approximately 43° in the P1–Au–S1–C1 torsion angles. When the thiocarbamato residues are overlaid, Figure 4d, the cyclohexyl residues in the polymorphs are rotated by approximately 60° with respect to each other.
Density functional theory (DFT) calculations were performed on the α- and β-forms at the M06 level of theory. Preliminary calculations show both α- and β-forms are isoenergetic based on single-point calculations with the energy calculated for the α-form computing to 433.78 eV compared with 433.79 eV for the β-form.
This conclusion was confirmed by an evaluation of the isomerisation kinetics between the α- and β-forms. Specifically, the Au–S1 bond rotation kinetics were calculated by using constrained structural optimisation at different P1–Au–S1–C1 dihedral angles. The rotation about the Au–S1 bond in each of the α- and β-forms of 1 is effectively barrierless, as illustrated for the α-form in Figure 5.

The relative enthalpies calculated for the α-form at P1–Au–S1–C1 torsion angles (TA) of 120, 0 and 80°. Regardless of the value of the torsion angle, the enthalpy computes to 0 kJ/mol.
3.3 Molecular packing
The analysis of the molecular packing was initially conducted based on geometric considerations 94 followed by an analysis of surface contacts; the geometric parameters characterising the identified intermolecular contacts in the crystals are listed in Table 4. Two short contacts were detected for the α-form, namely cyclohexyl-C–H⋯S(thiolate) and methyl-C–H⋯π(chlorophenyl) contacts which occur between molecules aligned along the a-axis as shown in Figure 6a. The chains pack without directional interactions between them; a view of the unit-cell contents is shown in Figure 6b.
Geometric parameters characterising the specified intermolecular contacts in the crystals of the α- and β-forms of 1.
| A | H | B | H⋯B | A···B | A–H···B | Symmetry Operation |
|---|---|---|---|---|---|---|
| α-form | ||||||
| C17 | H17a | S1 | 2.86 | 3.760(3) | 152 | 1 + x, y, z |
| C9 | H9c | Cg(C2–C7) | 2.92 | 3.764(3) | 145 | − x, 1 − y, 1 − z |
| β-form | ||||||
| C20 | H20a | Cg(C2–C7) | 2.77 | 3.755(4) | 172 | 1 − x, 1 − y, 1 − z |
| Cg(C2–C7) | – | Cg(C2–C7) | – | 3.934(2) | 0a | 1 − x, 1 − y, − z |
-
aangle between the aromatic rings.

Supramolecular association in the crystal of the α-form of 1: (a) Supramolecular chain along the a-axis and (b) view of the unit-cell contents shown in projection down the a-axis. The cyclohexyl-C–H⋯S(thiolate) and methyl-C–H⋯π(chlorophenyl) contacts are shown as orange and purple dashed lines, respectively. In (a), the non-participating H atoms have been omitted.
A distinct mode of packing is noted for the crystal of the β-form of 1. In this case, methyl-C–H⋯π(chlorophenyl) and π(chlorophenyl)⋯π(chlorophenyl) contacts are apparent, each occurring between centrosymmetrically related molecules aligned along the c-axis. The slippage between the parallel chlorophenyl rings involved in the π⋯π interaction is 2.15 Å with the result that the closest C⋯C contact within the pair of participating rings of 3.370(5) Å occurs between C5 atoms [symmetry operation: 1 − x, 1 − y, − z]. A view of the supramolecular chain featuring these contacts is shown in Figure 7a. No directional interactions are noted between the chains with the unit-cell contents illustrated in Figure 7b.

Supramolecular association in the crystal of the β-form of 1: (a) Supramolecular chain along the c-axis and (b) view of the unit-cell contents shown in projection down the c-axis. The methyl-C–H···π(chlorophenyl) and π(chlorophenyl)⋯π(chlorophenyl) contacts are shown as purple and blue dashed lines, respectively. In (a), the non-participating H atoms have been omitted.
3.4 Hirshfeld surface analysis
The delineation of the molecular surface interactions participating in molecular packing of the α- and β-forms of 1 was carried out by generating Hirshfeld surfaces mapped over normalised contact distances, dnorm, 100 and two-dimensional fingerprint plots 101 using Crystal Explorer 21 102 and standard protocols. 103 In these analyses, the C–H bond lengths were adjusted to their neutron values (1.08 Å).
The analysis of the calculated surface contacts in the α- and β-forms of 1 reveal remarkable similarities in the predominant interactions, Figure 8. Primarily, the overall two-dimensional fingerprint plots for each crystal present very similar distributions, Figure 8a. This is highlighted by the observation and the H⋯H interactions account for 67.8 % of all surface contacts in each crystal and which also reflects the absence of strong, directional interactions in the molecular packing, Figure 8b. Other significant contacts include Cl⋯H/H⋯Cl interactions, accounting for approximately 10.5 and 9.8 %, respectively, followed by C⋯H/H⋯C interactions (9.4 and 8.2 %) and S⋯H/H⋯S contacts (6.5 and 6.9 %) contacts, see Figure 8c–e. More information concerning the supramolecular packing is apparent in the Hirshfeld surface mapping over dnorm.

Two-dimensional fingerprint plots: (a) overall and those delineated into (b) H⋯H, (c) Cl⋯H/H⋯Cl, (d) C⋯H/H⋯C and (e) S⋯H/H⋯S contacts for the α-form (upper view) and β-form.
For the α-form, a red spot discerned on the Hirshfeld surface mapped over dnorm highlights the directional interaction noted earlier, that is, the cyclohexyl-C17–H17a⋯S1 contact (distance: 2.77 Å), as well as red regions corresponding to a short ethoxy-methylene-H⋯H(methylene-cyclohexyl), that is, C8–H8b⋯H26b–C26 (2.08 Å), and a cyclohexyl-methylene-H···H(π-chlorophenyl), that is, C18–H18b⋯H6–C6 (2.09 Å) contact; Figure 9a. The fourth red spot evident on the dnorm-map is attributable to an ethoxy-methyl-H⋯C(π-chlorophenyl) contact, that is, C9–H9c⋯C6 (2.66 Å). This latter interaction was also identified in the geometric analysis of the molecular packing, as C9–H9c⋯π(C2–C7), and is clearly indicated on the shape-index property, Figure 9b. The C9–H9c⋯C6 contact represents a localised C9–H9c⋯π(C6) interaction as opposed to a delocalised C9–H9c⋯π(C2–C7) interaction. 104 This is confirmed by an analysis of the remaining H9c⋯C-ring separations which reveals a range of separations from 2.83 Å (H9c⋯C7) to 3.59 Å (H9c⋯C3), that is, an asymmetric distribution substantiating the significance of the C9–H9c⋯π(C6) contact. The other apparent contact not identified in the above geometric analysis is indicated in Figure 9c, namely a contact involving the chlorine atom, that is, cyclohexyl-C21–H21a⋯Cl1 (2.92 Å).

Views of the hirshfeld surface of the α-form mapped of 1 over (a) dnorm in the range −0.0932 to 1.5942 arbitrary units highlighting cyclohexyl-C17–H17a⋯S1, ethoxy-methylene-C8–H8b⋯H26b–C26(methylene-cyclohexyl), cyclohexyl-methylene-C18–H18b⋯H6–C6(π-chlorophenyl) and ethoxy-methyl-C9–H9c⋯C6(chlorophenyl) contacts as red spots, and the shape-index property highlighting (b) cyclohexyl-C9–H9c⋯π(C6) and (c) cyclohexyl-C21–H21a⋯Cl1 contacts.
For the β-form of 1, the dnorm surface plot shown in Figure 10a reveals the presence of additional contacts not identified in the conventional analysis of the molecular packing, namely long chlorophenyl-C5–H5⋯S1 (2.79 A) and chlorophenyl-C3–H3⋯H9a–C9(methyl-ethoxy) (1.98 Å) contacts. Also discerned in Figure 10a, is a faint red spot attributed to a N1⋯H18b–C18(methylene-cyclohexyl) contact of 2.55 Å. The shape-index plot highlights the presence of cyclohexyl-C20–H20a···π(C2–C7) interactions which occur between centrosymmetrically related molecules, Figure 10c, as identified in the above geometric analysis. More interesting is a prominent feature between the ethoxy-methylene-C8–H8b and gold atoms (2.94 Å). Such Au⋯H contacts have attracted interest in the recent literature, especially in relation to gold-catalysis. 105 , 106 , 107

View of the hirshfeld surface of the β-form of 1 mapped over (a) dnorm in the range −0.1802 to 1.5756 arbitrary units highlighting cyclohexyl-C5–H5···S1, (chlorophenyl)C3–H3⋯H9a–C9(methyl-ethoxy) and N1⋯H18b–C18(methylene-cyclohexyl) contacts and (b) shape-index property highlighting cyclohexyl-C20–H20a···π(C2–C7) (=Cg1) and ethoxy-methylene-C8–H8b···Au contacts.
4 Conclusions
Two polymorphs have been characterised for Cy3PAu[SC(OEt)=N(C6H4Cl-3)] which differ in the conformations in each of the thiocarbamato and cyclohexylphosphane residues. Computational chemistry confirms the molecules are isoenergetic and to have practically a zero barrier to interconversion about the Au–S bond. Clearly, there is a subtle, solvent-dependent interplay between the adopted conformation in the crystal and the prevalence of cyclohexyl-C–H···S(thiolate) and methyl-C–H···π(chlorophenyl) contacts in the α-form (isolated exclusively from ethanol solution), and methyl-C–H···π(chlorophenyl) and π(chlorophenyl)···π(chlorophenyl) contacts in the packing of the β-form (isolated from different solvent systems other than ethanol).
-
Research ethics: Not applicable.
-
Informed consent: Not applicable.
-
Author contributions: All authors have accepted responsibility for the entire content of this manuscript and approved its submission. Chien Ing Yeo: Synthesis, Spectroscopy, Formal analaysis, Writing – review & editing. Yee Seng Tan: X-ray data collection, PXRD, Formal analysis, Writing – review & editing. Wai Kit Tang: Computational chemisty, Formal analysis, Writing – review and editing. Edward R. T. Tiekink: Conceptulisation, Crystallography, Formal analysis, Writing – review & editing.
-
Conflict of interests: The authors state no conflict of interest.
-
Use of Large Language Models, AI and Machine Learning Tools: None declared.
-
Research funding: None declared.
-
Data availability: Not applicable.
References
1. Yeo, C. I.; Ooi, K. K.; Akim, A. M.; Ang, K. P.; Fairuz, Z. A.; Halim, S. N. B. A.; Ng, S. W.; Seng, H.-L.; Tiekink, E. R. T. The Influence of R Substituents in Triphenylphosphinegold(I) Carbonimidothioates, Ph3PAu[SC(OR)=NPh] (R = Me, Et and iPr), upon In Vitro Cytotoxicity against the HT-29 Colon Cancer Cell Line and upon Apoptotic Pathways. J. Inorg. Biochem. 2013, 127, 24–38. https://doi.org/10.1016/j.jinorgbio.2013.05.011.Search in Google Scholar PubMed
2. Ooi, K. K.; Yeo, C. I.; Ang, K.-P.; Akim, A. M.; Cheah, Y.-K.; Halim, S. N. A.; Seng, H.-L.; Tiekink, E. R. T. Phosphanegold(I) Thiolates, Ph3PAu[SC(OR)=NC6H4Me-4] for R = Me, Et and iPr, Induce Apoptosis, Cell Cycle Arrest and Inhibit Cell Invasion of HT-29 Colon Cancer Cells through Modulation of the Nuclear Factor-κB Activation Pathway and Ubiquitination. J. Biol. Inorg. Chem. 2015, 20, 855–873; https://doi.org/10.1007/s00775-015-1271-5.Search in Google Scholar PubMed
3. Ooi, K. K.; Yeo, C. I.; Mahandaran, T.; Ang, K. P.; Akim, A. M.; Cheah, Y.-K.; Seng, H.-L.; Tiekink, E. R. T. G2/M Cell Cycle Arrest on HT-29 Cancer Cells and Toxicity Assessment of Triphenylphosphanegold(I) Carbonimidothioates, Ph3PAu[SC(OR)=NPh], R = Me, Et, and iPr, during Zebrafish Development. J. Inorg. Biochem. 2017, 166, 173–181. https://doi.org/10.1016/j.jinorgbio.2016.11.008.Search in Google Scholar PubMed
4. Yeo, C. I.; Sim, J.-H.; Khoo, C.-H.; Goh, Z.-J.; Ang, K.-P.; Cheah, Y.-K.; Fairuz, Z. A.; Halim, S. N. B. A.; Ng, S. W.; Seng, H.-L.; Tiekink, E. R. T. Pathogenic Gram-Positive Bacteria Are Highly Sensitive to triphenylphosphanegold(O-Alkylthiocarbamates), Ph3PAu[SC(OR)=N(p-tolyl)] (R = Me, Et and iPr). Gold Bull 2013, 46, 145–152. https://doi.org/10.1007/s13404-013-0091-z.Search in Google Scholar
5. Siddiqui, R.; Abjani, F.; Yeo, C. I.; Tiekink, E. R. T.; Khan, N. A. The Effects of Phosphanegold(I) Thiolates on the Biological Properties of Acanthamoeba Castellanii Belonging to the T4 Genotype. J. Negat. Results Biomed. 2017, 16, 6. https://doi.org/10.1186/s12952-017-0070-7.Search in Google Scholar PubMed PubMed Central
6. Ho, S. Y.; Tiekink, E. R. T. Supramolecular Aggregation Patterns in the Crystal Structures of the Dinuclear Phosphinegold(I) Thiolates, [(Ph2P(CH2)4PPh2){AuSC(OR)=NC6H4Y-4}2] for R = Me, Et & iPr and Y = H, NO2 & Me: The Influence on Intermolecular Interactions Exerted by R and Y. CrystEngComm 2007, 9, 368–378. https://doi.org/10.1039/B700295E.Search in Google Scholar
7. Kuan, F. S.; Ho, S. Y.; Tadbuppa, P. P.; Tiekink, E. R. T. Electronic and Steric Control over Au···Au, C–H···O and C–H···π Interactions in the Crystal Structures of Mononuclear Triarylphosphinegold(I) Carbonimidothioates: R3PAu[SC(OMe)=NR’] for R = Ph, O-Tol, M-Tol or P-Tol, and R’ = Ph, O-Tol, M-Tol, P-Tol or C6H4NO2-4. CrystEngComm 2008, 10, 548–564. https://doi.org/10.1039/B717198F.Search in Google Scholar
8. Ho, S. Y.; Cheng, E. C.-C.; Tiekink, E. R. T.; Yam, V. W.-W. Luminescent Phosphine Gold(I) Thiolates: Correlation between Crystal Structure and Photoluminescent Properties in [R3PAu{SC(OMe)=NC6H4NO2-4}] (R = Et, Cy, Ph) and [(Ph2P-R-PPh2){AuSC(OMe)=NC6H4NO2-4}2] (R = CH2, (CH2)2, (CH2)3, (CH2)4, Fc). Inorg. Chem. 2006, 45, 8165–8174. https://doi.org/10.1021/ic0608243.Search in Google Scholar PubMed
9. Bernstein, J.; Hagler, A. T. Conformational Polymorphism. The Influence of Crystal Structure on Molecular Conformation. J. Am. Chem. Soc. 1978, 100, 673–681. https://doi.org/10.1021/ja00471a001.Search in Google Scholar
10. Serezhkin, V. N.; Serezhkina, L. B. New Criterion for Conformational Polymorphism. Crystallogr. Rep. 2012, 57, 33–42. https://doi.org/10.1134/S1063774511030291.Search in Google Scholar
11. Nangia, A. Conformational Polymorphism in Organic Crystals. Acc. Chem. Res. 2008, 41, 595–604. https://doi.org/10.1021/ar700203k.Search in Google Scholar PubMed
12. Cruz-Cabeza, A. J.; Bernstein, J. Conformational Polymorphism. Chem. Rev. 2014, 114, 2170–2191. https://doi.org/10.1021/cr400249d.Search in Google Scholar PubMed
13. Hilfiker, R., Ed. In Polymorphism: In the Pharmaceutical Industry; Wiley-VCH Verlag GmbH & Co. KGaA: Weinheim, Germany, 2006.10.1002/3527607889Search in Google Scholar
14. Brittain, H. G. Polymorphism in Pharmaceutical Solids, 2nd ed.; Informa Healthcare: New York NY, 2009.Search in Google Scholar
15. Kitamura, M. Strategy for Control of Crystallization of Polymorphs. CrystEngComm 2009, 11, 949–964. https://doi.org/10.1039/B809332F.Search in Google Scholar
16. Bernstein, J. Polymorphism − A Perspective. Cryst. Growth Des. 2011, 11, 632–650. https://doi.org/10.1021/cg1013335.Search in Google Scholar
17. Brog, J.-P.; Chanez, C.-L.; Crochet, A.; Fromm, K. M. Polymorphism, what it Is and How to Identify it: A Systematic Review. RSC Adv. 2013, 3, 16905–16931. https://doi.org/10.1039/C3RA41559G.Search in Google Scholar
18. Cruz-Cabeza, A. J.; Reutzel-Edens, S. M.; Bernstein, J. Facts and Fictions about Polymorphism. Chem. Soc. Rev. 2015, 44, 8619–8635. https://doi.org/10.1039/C5CS00227C.Search in Google Scholar PubMed
19. Bernstein, J. Polymorphism in Molecular Crystals, 2nd ed.; Oxford University Press: New York NY, 2020.10.1093/oso/9780199655441.001.0001Search in Google Scholar
20. Brogden, R. N.; Carmine, A. A.; Heel, R. C.; Speight, T. M.; Avery, G. S. Ranitidine: A Review of its Pharmacology and Therapeutic Use in Peptic Ulcer Disease and Other Allied Diseases. Drugs 1982, 24, 267–303. https://doi.org/10.2165/00003495-198224040-00002.Search in Google Scholar PubMed
21. Trifkovic, M.; Rohani, S.; Mirmehrabi, M. Polymorphic Generation through Solvent Selection: Ranitidine Hydrochloride. Org. Process Res. Dev. 2007, 11, 138–143. https://doi.org/10.1021/op060011y.Search in Google Scholar
22. Drużbicki, K.; Pajzderska, A.; Chudoba, D.; Jenczyk, J.; Jarek, M.; Mielcarek, J.; Wa̧sicki, J. Elucidating the Structure of Ranitidine Hydrochloride Form II: Insights from Solid-State Spectroscopy and Ab Initio Simulations. Cryst. Growth Des. 2018, 18, 4671–4681. https://doi.org/10.1021/acs.cgd.8b00639.Search in Google Scholar
23. Dunitz, J. D.; Bernstein, J. Disappearing Polymorphs. Acc. Chem. Res. 1995, 28, 193–200. https://doi.org/10.1021/ar00052a005.Search in Google Scholar
24. Bučar, D.-K.; Lancaster, R. W.; Bernstein, J. Disappearing Polymorphs Revisited. Angew. Chem. Int. Ed. 2015, 54, 6972–6993. https://doi.org/10.1002/anie.201410356.Search in Google Scholar PubMed PubMed Central
25. Rai, S. K.; Tothadi, S.; Arhangelskis, M.; George, C. P.; Gonnade, R. G.; Nangia, A. K. Polymorph II of Hydroxyurea 150 Years after its First Synthesis. CrystEngComm 2023, 25, 2712–2716. https://doi.org/10.1039/D3CE00163F.Search in Google Scholar
26. Lea, A. P.; Faulds, D. Ritonavir. Drugs 1996, 52, 541–546. https://doi.org/10.2165/00003495-199652040-00007.Search in Google Scholar PubMed
27. Bauer, J.; Spanton, S.; Henry, R.; Quick, J.; Dziki, W.; Porter, W.; Morris, J. Ritonavir: An Extraordinary Example of Conformational Polymorphism. Pharm. Res. 2001, 18, 859–866. https://doi.org/10.1023/A:1011052932607.10.1023/A:1011052932607Search in Google Scholar
28. Morissette, S. L.; Soukasene, S.; Levinson, D.; Cima, M. J.; Almarsson, Ö. Elucidation of Crystal Form Diversity of the HIV Protease Inhibitor Ritonavir by High-Throughput Crystallization. Proc. Natl. Acad. Sci. U.S.A. 2003, 100, 2180–2184. https://doi.org/10.1073/pnas.0437744100.Search in Google Scholar PubMed PubMed Central
29. Almarsson, Ö.; Peterson, M. L.; Zaworotko, M. The A to Z of Pharmaceutical Cocrystals: A Decade of Fast-Moving New Science and Patents. Pharm. Pat. Anal. 2012, 1, 313–327. https://doi.org/10.4155/ppa.12.29.Search in Google Scholar PubMed
30. Lee, A. Y.; Erdemir, D.; Myerson, A. S. Crystal Polymorphism in Chemical Process Development. Annu. Rev. Chem. Biomol. Eng. 2011, 2, 259–280. https://doi.org/10.1146/annurev-chembioeng-061010-114224.Search in Google Scholar PubMed
31. Anwal, J.; Zahn, D. Polymorphic Phase Transitions: Macroscopic Theory and Molecular Simulation. Adv. Drug Deliv. Rev. 2017, 117, 47–70. https://doi.org/10.1016/j.addr.2017.09.017.Search in Google Scholar PubMed
32. Tandon, R.; Tandon, N.; Thapar, R. K. Patenting of Polymorphs. Pharm. Pat. Anal. 2018, 7, 59–63. https://doi.org/10.4155/ppa-2017-0039.Search in Google Scholar PubMed
33. Zhou, Y.; Wang, J.; Xiao, Y.; Wang, T.; Huang, X. The Effects of Polymorphism on Physicochemical Properties and Pharmacodynamics of Solid Drugs. Curr. Pharm. Des. 2018, 24, 2375–2382. https://doi.org/10.2174/1381612824666180515155425.Search in Google Scholar PubMed
34. Chistyakov, D.; Sergeev, G. The Polymorphism of Drugs: New Approaches to the Synthesis of Nanostructured Polymorphs. Pharmaceutics 2020, 12, 34. https://doi.org/10.3390/pharmaceutics12010034.Search in Google Scholar PubMed PubMed Central
35. Thakur, T. S.; Thakuria, R. Crystalline Multicomponent Solids: An Alternative for Addressing the Hygroscopicity Issue in Pharmaceutical Materials. Cryst. Growth Des. 2020, 20, 6245–6265. https://doi.org/10.1021/acs.cgd.0c00654.Search in Google Scholar
36. Bolla, G.; Sarma, B.; Nangia, A. K. Crystal Engineering of Pharmaceutical Cocrystals in the Discovery and Development of Improved Drugs. Chem. Rev. 2022, 122, 11514–11603. https://doi.org/10.1021/acs.chemrev.1c00987.Search in Google Scholar PubMed
37. Shi, Q.; Chen, H.; Wang, Y.; Xu, J.; Liu, Z.; Zhang, C. Recent Advances in Drug Polymorphs: Aspects of Pharmaceutical Properties and Selective Crystallization. Int. J. Pharm. 2022, 611, 121320. https://doi.org/10.1016/j.ijpharm.2021.121320.Search in Google Scholar PubMed
38. Gavezzotti, A.; Filippini, G. Polymorphic Forms of Organic Crystals at Room Conditions: Thermodynamic and Structural Implications. J. Am. Chem. Soc. 1995, 117, 12299–12305. https://doi.org/10.1021/ja00154a032.Search in Google Scholar
39. Price, S. L. Why Don’t We Find More Polymorphs? Acta Crystallogr. Sect. B: Struct. Sci. Cryst. Eng. Mater. 2013, 69, 313–328. https://doi.org/10.1107/S2052519213018861.Search in Google Scholar PubMed
40. Nyman, J.; Day, G. M. Static and Lattice Vibrational Energy Differences between Polymorphs. CrystEngComm 2015, 17, 5154–5165. https://doi.org/10.1039/C5CE00045A.Search in Google Scholar
41. Beran, G. J. O. Modeling Polymorphic Molecular Crystals with Electronic Structure Theory. Chem. Rev. 2016, 116, 5567–5613. https://doi.org/10.1021/acs.chemrev.5b00648.Search in Google Scholar PubMed
42. Dybeck, E. C.; Abraham, N. S.; Schieber, N. P.; Shirts, M. R. Capturing Entropic Contributions to Temperature-Mediated Polymorphic Transformations through Molecular Modeling. Cryst. Growth Des. 2017, 17, 1775–1787. https://doi.org/10.1021/acs.cgd.6b01762.Search in Google Scholar
43. Purdum, G. E.; Telesz, N. G.; Jarolimek, K.; Ryno, S. M.; Gessner, T.; Davy, N. C.; Petty, I. I. A. J.; Zhen, Y.; Shu, Y.; Facchetti, A.; Collis, G. E.; Hu, W.; Wu, C.; Anthony, J. E.; Weitz, R. T.; Risko, C.; Loo, Y.-L. Presence of Short Intermolecular Contacts Screens for Kinetic Stability in Packing Polymorphs. J. Am. Chem. Soc. 2018, 140, 7519–7525. https://doi.org/10.1021/jacs.8b01421.Search in Google Scholar
44. McDonagh, D.; Skylaris, C.-K.; Day, G. M. Machine-learned Fragment-Based Energies for Crystal Structure Prediction. J. Chem. Theory Comput. 2019, 15, 2743–2758. https://doi.org/10.1021/acs.jctc.9b00038.Search in Google Scholar
45. Yang, M.; Dybeck, E.; Sun, G.; Peng, C.; Samas, B.; Burger, V. M.; Zeng, Q.; Jin, Y.; Bellucci, M. A.; Liu, Y.; Zhang, P.; Ma, J.; Jiang, Y. A.; Hancock, B. C.; Wen, S.; Wood, G. P. F. Prediction of the Relative Free Energies of Drug Polymorphs above Zero Kelvin. Cryst. Growth Des. 2020, 20, 5211–5224. https://doi.org/10.1021/acs.cgd.0c00422.Search in Google Scholar
46. Perlovich, G. L. Formation Thermodynamics of Two-Component Molecular Crystals: Polymorphism, Stoichiometry, and Impact of Enantiomers. Cryst. Growth Des. 2020, 20, 5526–5537. https://doi.org/10.1021/acs.cgd.0c00695.Search in Google Scholar
47. Abramov, Y. A.; Sun, G.; Zeng, Q. Emerging Landscape of Computational Modeling in Pharmaceutical Development. J. Chem. Inf. Model. 2022, 62, 1160–1171. https://doi.org/10.1021/acs.jcim.1c01580.Search in Google Scholar
48. Abramov, Y. A.; Iuzzolino, L.; Jin, Y.; York, G.; Chen, C.-H.; Shultz, C. S.; Yang, Z.; Chang, C.; Shi, B.; Zhou, T.; Greenwell, C.; Sekharan, S.; Lee, A. Y. Cocrystal Synthesis through Crystal Structure Prediction. Molec. Pharm. 2023, 20, 3380–3392. https://doi.org/10.1021/acs.molpharmaceut.2c01098.Search in Google Scholar
49. Bernstein, J.; Davey, R. J.; Henck, J. O. Concomitant Polymorphs. Angew. Chem. Int. Ed. 1999, 38, 3440–3461. https://doi.org/10.1002/(SICI)1521-3773(19991203)38:23<3440::AID-ANIE3440>3.0.CO;2-%23.10.1002/(SICI)1521-3773(19991203)38:23<3440::AID-ANIE3440>3.0.CO;2-#Search in Google Scholar
50. Nanubolu, J. B.; Krishnan, R. K. Designing a New Cocrystal of Olanzapine Drug and Observation of Concomitant Polymorphism in a Ternary Cocrystal System. CrystEngComm 2017, 19, 355–366. https://doi.org/10.1039/C6CE02227H.Search in Google Scholar
51. Jha, K. K.; Dutta, S.; Munshi, P. Concomitance, Reversibility, and Switching Ability of Centrosymmetric and Non-centrosymmetric Crystal Forms: Polymorphism in an Organic Nonlinear Optical Material. Cryst. Growth Des. 2018, 18, 1126–1135. https://doi.org/10.1021/acs.cgd.7b01560.Search in Google Scholar
52. Saikia, B.; Mulvee, M. T.; Torres-Moya, I.; Sarma, B.; Steed, J. W. Drug Mimetic Organogelators for the Control of Concomitant Crystallization of Barbital and Thalidomide. Cryst. Growth Des. 2020, 20, 7989–7996. https://doi.org/10.1021/acs.cgd.0c01240.Search in Google Scholar
53. Tang, W.; Gong, J.; Li, T. Kinetic Retraction at the Onset of Concomitant Crystallization and Implication on Polymorphic Formation. Molec. Pharm. 2022, 19, 2676–2680. https://doi.org/10.1021/acs.molpharmaceut.2c00125.Search in Google Scholar PubMed
54. Lan, J.; Bai, Y.; Ye, Y.; XuanYuan, S.; Xie, C. Simultaneous Control of Polymorphism and Morphology via Gelatin Induction for Concomitant Systems: Case Study of Sulfathiazole. CrystEngComm 2022, 24, 4584–4592. https://doi.org/10.1039/D2CE00559J.Search in Google Scholar
55. Groom, C. R.; Bruno, I. J.; Lightfoot, M. P.; Ward, S. C. The Cambridge Structural Database. Acta Crystallogr., Sect B: Struct. Sci. Cryst. Eng. Mater. 2016, 72, 171–179. https://doi.org/10.1107/S2052520616003954.Search in Google Scholar PubMed PubMed Central
56. Bruno, I. J.; Cole, J. C.; Edgington, P. R.; Kessler, M.; Macrae, C. F.; McCabe, P.; Pearson, J.; Taylor, R. New Software for Searching the Cambridge Structural Database and Visualizing Crystal Structures. Acta Crystallogr., Sect. B: Struct. Sci. Cryst. Eng Mater. 2002, 58, 389–397. https://doi.org/10.1107/s0108768102003324.Search in Google Scholar PubMed
57. Tadbuppa, P. P.; Tiekink, E. R. T. [(Z)-O-Methyl N-(3-chlorophenyl)thiocarbamato-κS](triphenylphosphine-κP)Gold(I). Acta Crystallogr. Sect. E: Crystallogr. Commun. 2010, 66, m664. https://doi.org/10.1107/S1600536810017319.Search in Google Scholar PubMed PubMed Central
58. Yeo, C. I.; Tan, S. L.; Tiekink, E. R. T. A Monoclinic Polymorph of [(Z)-N-(3-chlorophenyl)-O-methylthiocarbamato-κS](triphenylphosphane-κP)Gold(I): Crystal Structure and Hirshfeld Surface Analysis. Acta Crystallogr. Sect. E: Crystallogr. Commun. 2016, 72, 1068–1073. https://doi.org/10.1107/S2056989016010781.Search in Google Scholar PubMed PubMed Central
59. Fürstner, A.; Davies, P. W. Catalytic Carbophilic Activation: Catalysis by Platinum and Gold π Acids. Angew. Chem. Int. Ed. 2007, 46, 3410–3449. https://doi.org/10.1002/anie.200604335.Search in Google Scholar PubMed
60. Krause, N.; Belting, V.; Deutsch, C.; Erdsack, J.; Fan, H.-T.; Gockel, B.; Hoffmann-Röder, A.; Morita, N.; Volz, F. Golden Opportunities in Catalysis. Pure Appl. Chem. 2008, 80, 1063–1069. https://doi.org/10.1351/pac200880051063.Search in Google Scholar
61. Praveen, C. Carbophilic Activation of π-systems via Gold Coordination: Towards Regioselective Access of Intermolecular Addition Products. Coord. Chem. Rev. 2019, 392, 1–34. https://doi.org/10.1016/j.ccr.2019.04.010.Search in Google Scholar
62. Caracelli, I.; Zukerman-Schpector, J.; Tiekink, E. R. T. Supramolecular Synthons Based on Gold···π(arene) Interactions. Gold Bull 2013, 46, 81–89. https://doi.org/10.1007/s13404-013-0088-7.Search in Google Scholar
63. Haruta, M. Gold as a Novel Catalyst in the 21st Century: Preparation, Working Mechanism and Applications. Gold Bull 2004, 37, 27–36. https://doi.org/10.1007/BF03215514.Search in Google Scholar
64. Hashmi, A. S. K.; Hutchings, G. J. Gold Catalysis. Angew. Chem. Int. Ed. 2006, 45, 7896–7936. https://doi.org/10.1002/anie.200602454.Search in Google Scholar PubMed
65. Nugent, W. A. “Black Swan Events” in Organic Synthesis. Angew. Chem. Int. Ed. 2012, 51, 8936–8949. https://doi.org/10.1002/anie.201202348.Search in Google Scholar PubMed
66. Gaillard, S.; Cazin, C. S. J.; Nolan, S. P. N-heterocyclic Carbene Gold(I) and Copper(I) Complexes in C–H Bond Activation. Acc. Chem. Res. 2012, 45, 778–787. https://doi.org/10.1021/ar200188f.Search in Google Scholar PubMed
67. Hendrich, C. M.; Sekine, K.; Koshikawa, T.; Tanaka, K.; Hashmi, A. S. K. Homogeneous and Heterogeneous Gold Catalysis for Materials Science. Chem. Rev. 2021, 121, 9113–9163. https://doi.org/10.1021/acs.chemrev.0c00824.Search in Google Scholar PubMed
68. Wang, W.; Ji, C.-L.; Liu, K.; Zhao, C.-G.; Lia, W.; Xie, J. Dinuclear Gold Catalysis. Chem. Soc. Rev. 2021, 50, 1874–1912. https://doi.org/10.1039/D0CS00254B.Search in Google Scholar PubMed
69. Legon, A. C. Tetrel, Pnictogen and Chalcogen Bonds Identified in the Gas Phase before They Had Names: A Systematic Look at Non-covalent Interactions. Phys. Chem. Chem. Phys. 2017, 19, 14884–14896. https://doi.org/10.1039/c7cp02518a.Search in Google Scholar PubMed
70. Edwards, A. J.; Mackenzie, C. F.; Spackman, P. R.; Jayatilaka, D.; Spackman, M. A. Intermolecular Interactions in Molecular Crystals: What’s in a Name? Faraday Discuss. 2017, 203, 93–112. https://doi.org/10.1039/C7FD00072C.Search in Google Scholar
71. Schneider, H.-J. Noncovalent Interactions: A Brief Account of a Long History. J. Phys. Org. Chem. 2022, 35, e4340. https://doi.org/10.1002/poc.4340.Search in Google Scholar
72. Clark, T.; Hennemann, M.; Murray, J. S.; Politzer, P. Halogen Bonding: The Sigma-Hole. J. Mol. Model. 2007, 13, 291–296. https://doi.org/10.1007/s00894-006-0130-2.Search in Google Scholar PubMed
73. Murray, J. S.; Lane, P.; Clark, T.; Politzer, P. J. σ-Hole Bonding: Molecules Containing Group VI Atoms. Mol. Model. 2007, 13, 1033–1038. https://doi.org/10.1007/s00894-007-0225-4.Search in Google Scholar PubMed
74. Kolář, M. H.; Hobza, P. Computer Modeling of Halogen Bonds and Other σ-hole Interactions. Chem. Rev. 2016, 116, 5155–5187. https://doi.org/10.1021/acs.chemrev.5b00560.Search in Google Scholar PubMed
75. Pandiyan, B. V.; Deepa, P.; Kolandaivel, P. Studies on the σ–hole Bonds (Halogen, Chalcogen, Pnicogen and Carbon Bonds) Based on the Orientation of Crystal Structure. Mol. Phys. 2016, 114, 3629–3642. https://doi.org/10.1080/00268976.2016.1255796.Search in Google Scholar
76. Politzer, P.; Murray, J. S. σ-Hole Interactions: Perspectives and Misconceptions. Crystals 2017, 7, 212. https://doi.org/10.3390/cryst7070212.Search in Google Scholar
77. Politzer, P.; Murray, J. S.; Clark, T.; Resnati, G. The σ-hole Revisited. Phys. Chem. Chem. Phys. 2017, 19, 32166–32178. https://doi.org/10.1039/C7CP06793C.Search in Google Scholar PubMed
78. Murray, J. S.; Politzer, P. Interaction and Polarization Energy Relationships in σ-hole and π-hole Bonding. Crystals 2020, 10, 76. https://doi.org/10.3390/cryst10020076.Search in Google Scholar
79. Bauzá, A.; Frontera, A. σ/π-Hole Noble Gas Bonding Interactions: Insights from Theory and Experiment. Coord. Chem. Rev. 2020, 404, 213112. https://doi.org/10.1016/j.ccr.2019.213112.Search in Google Scholar
80. Stenlid, J. H.; Johansson, A. J.; Brinck, T. σ-Holes and σ-lumps Direct the Lewis Basic and Acidic Interactions of Noble Metal Nanoparticles: Introducing Regium Bonds. Phys. Chem. Chem. Phys. 2018, 20, 2676–2692. https://doi.org/10.1039/c7cp06259a.Search in Google Scholar PubMed
81. Frontera, A.; Bauzá, A. Regium−π Bonds: An Unexplored Link between Noble Metal Nanoparticles and Aromatic Surfaces. Chem. – Eur. J. 2018, 24, 7228–7234. https://doi.org/10.1002/chem.201800820.Search in Google Scholar PubMed
82. Piña, M. N. P.; Frontera, A.; Bauzá, A. Regium−π Bonds Are Involved in Protein–Gold Binding. J. Phys. Lett 2020, 11, 8259–8263. https://doi.org/10.1021/acs.jpclett.0c02295.Search in Google Scholar PubMed
83. Burguera, S.; Frontera, A.; Bauzá, A. Regium-π Bonds Involving Nucleobases: Theoretical Study and Biological Implications. Inorg. Chem. 2023, 62, 6740–6750. https://doi.org/10.1021/acs.inorgchem.3c00369.Search in Google Scholar PubMed PubMed Central
84. Hall, V. J.; Siasios, G.; Tiekink, E. R. T. Triorganophosphinegold(I) Carbonimidothioates. Aust. J. Chem. 1993, 46, 561–570. https://doi.org/10.1071/CH9930561.Search in Google Scholar
85. Yeo, C. I.; Tan, S. L.; Otero-de-la-Roza, A.; Tiekink, E. R. T. A Conformational Polymorph of Ph3PAu[SC(OEt)=NPh] Featuring an Intramolecular Au···π Interaction. Z. Kristallogr. 2016, 231, 653–661. https://doi.org/10.1515/zkri-2016-1988.Search in Google Scholar
86. Yeo, C. I.; Khoo, C.-H.; Chu, W.-C.; Chen, B.-J.; Chu, P.-L.; Sim, J.-H.; Cheah, Y.-K.; Ahmad, J.; Halim, S. N. A.; Seng, H.-L.; Ng, S.; Otero-de-la-Roza, A.; Tiekink, E. R. T. The Importance of Au···π(aryl) Interactions in the Formation of Spherical Aggregates in Binuclear Phosphanegold(I) Complexes of a Bipodal Thiocarbamate Dianion: A Combined Crystallographic and Computational Study, and Anti-microbial Activity. RSC Adv. 2015, 5, 41401–41411. https://doi.org/10.1039/C5RA05604G.Search in Google Scholar
87. Kuan, F. S.; Jotani, M. M.; Tiekink, E. R. T. New Monoclinic Form of {O-Ethyl N-(4-nitrophenyl)thiocarbamato-κS}(tri-4-tolylphosphane-κP)Gold(I): Crystal Structure and Hirshfeld Surface Analysis. Acta Crystallogr. Sect. E: Crystallogr. Commun. 2017, 73, 1465–1471. https://doi.org/10.1107/S2056989017012865.Search in Google Scholar PubMed PubMed Central
88. Broker, G. A.; Tiekink, E. R. T. [O-Ethyl N-(4-nitrophenyl)thiocarbamato-κS](tri-p-tolylphosphine-κP)Gold(I). Acta Crystallogr. Sect. E: Crystallogr. Commun. 2008, 64, m1582. https://doi.org/10.1107/S1600536808038257.Search in Google Scholar PubMed PubMed Central
89. Rigaku Oxford Diffraction, CrysAlis PRO; Oxfordshire, England, 2017.Search in Google Scholar
90. Sheldrick, G. M. A, Acta Crystallogr. Sect. A: Found. Crystallogr. 2008, 64, 112–122, https://doi.org/10.1107/S0108767307043930.Search in Google Scholar PubMed
91. Sheldrick, G. M. Crystal Structure Refinement with SHELX. Acta Crystallogr. Sect. C: Struct. Chem. 2015, 71, 3–8. https://doi.org/10.1107/S2053229614024218.Search in Google Scholar PubMed PubMed Central
92. Farrugia, L. J. WinGX and ORTEP for Windows: An Update. J. Appl. Crystallogr. 2012, 45, 849–854; https://doi.org/10.1107/S0021889812029111.Search in Google Scholar
93. Brandenburg, K.; Diamond, Crystal Impact GbR: Bonn, Germany, 2006.Search in Google Scholar
94. Spek, A. L. checkCIF Validation Alerts: What They Mean and How to Respond. Acta Crystallogr. Sect. E: Crystallogr. Commun. 2020, 76, 1–11; https://doi.org/10.1107/S2056989019016244.Search in Google Scholar PubMed PubMed Central
95. Zhao, Y.; Truhlar, D. G. The M06 Suite of Density Functionals for Main Group Thermochemistry, Thermochemical Kinetics, Noncovalent Interactions, Excited States, and Transition Elements: Two New Functionals and Systematic Testing of Four M06-Class Functionals and 12 Other Functionals. Theo. Chem. Acc. 2008, 120, 215–241. https://doi.org/10.1007/s00214-007-0310-x.Search in Google Scholar
96. Perdew, J. P.; Burke, K.; Ernzerhof, M. Generalized Gradient Approximation Made Simple. Phys. Rev. Lett. 1996, 77, 3865. https://doi.org/10.1103/PhysRevLett.78.1396.Search in Google Scholar
97. Frisch, M. J.; Trucks, G. W.; Schlegel, H. B.; Scuseria, G. E.; Robb, M. A.; Cheeseman, J. R.; Scalmani, G.; Barone, V.; Mennucci, B.; Petersson, G. A.. Gaussian 16 Rev. B.01: Wallingford, CT, 2016.Search in Google Scholar
98. Yam, V. W.-W.; Chan, C.-L.; Cheung, K.-K. Synthesis and Photophysics of Dinuclear Gold(I) Thiolates of Bis(diphenylphosphino)-Alkyl- and -Aryl-Amines. Crystal Structure of [Au2{Ph2PN(C6H11)PPh2}(SC6H4F-p)2]. J. Chem. Soc., Dalton Trans. 1996, 4019–4022. https://doi.org/10.1039/DT9960004019.Search in Google Scholar
99. Tan, Y. S.; Yeo, C. I.; Tiekink, E. R. T. Crystal Structure of N-(3-chlorophenyl)ethoxycarbothioamide, C9H10ClNOS. Z. Kristallogr. – New Cryst. Struct. 2018, 233, 511–512. https://doi.org/10.1515/ncrs-2017-0403.Search in Google Scholar
100. McKinnon, J. J.; Spackman, M. A.; Mitchell, A. S. Novel Tools for Visualizing and Exploring Intermolecular Interactions in Molecular Crystals. Acta Crystallogr. Sect. B: Struct. Sci. Cryst. Eng. Mater. 2004, 60, 627–668. https://doi.org/10.1107/S0108768104020300.Search in Google Scholar PubMed
101. Spackman, M. A.; McKinnon, J. J. Fingerprinting Intermolecular Interactions in Molecular Crystals. CrystEngComm 2002, 4, 378–392. https://doi.org/10.1039/B203191B.Search in Google Scholar
102. Spackman, P. R.; Turner, M. J.; McKinnon, J. J.; Wolff, S. K.; Grimwood, D. J.; Jayatilaka, D.; Spackman, M. A. CrystalExplorer: A Program for Hirshfeld Surface Analysis, Visualization and Quantitative Analysis of Molecular Crystals. J. Appl. Cryst. 2021, 54, 1006–1011. https://doi.org/10.1107/S1600576721002910.Search in Google Scholar PubMed PubMed Central
103. Tan, S. L.; Jotani, M. M.; Tiekink, E. R. T. Utilizing Hirshfeld Surface Calculations, Non-covalent Interaction (NCI) Plots and the Calculation of Interaction Energies in the Analysis of Molecular Packing. Acta Crystallogr. Sect. E: Crystallogr. Commun. 2019, 75, 308–318. https://doi.org/10.1107/S2056989019001129.Search in Google Scholar PubMed PubMed Central
104. Schollmeyer, D.; Shishkin, O. V.; Rühl, T.; Vysotsky, M. O. OH–π and Halogen–π Interactions as Driving Forces in the Crystal Organisations of Tri-bromo and Tri-iodo Trityl Alcohols. CrystEngComm 2008, 10, 715–723. https://doi.org/10.1039/B716442D.Search in Google Scholar
105. Schmidbaur, H.; Raubenheimer, H. G.; Dobrzańska, L. The Gold–Hydrogen Bond, Au–H, and the Hydrogen Bond to Gold, Au···H–X. Chem. Soc. Rev. 2014, 43, 345–380. https://doi.org/10.1039/C3CS60251F.Search in Google Scholar
106. Darmandeh, H.; Löffler, J.; Tzouras, N. V.; Dereli, B.; Scherpf, T.; Feichtner, K.-S.; Vanden, B. S.; Van Hecke, K.; Saab, M.; Cazin, C. S. J.; Cavallo, L.; Nolan, S. P.; Gessner, V. H. Au···H−C Hydrogen Bonds as Design Principle in Gold(I) Catalysis. Angew. Chem. Int. Ed. 2021, 60, 21014–21024. https://doi.org/10.1002/anie.202108581.Search in Google Scholar PubMed PubMed Central
107. Sorroche, A.; Moreno, S.; Olmos, M. E.; Monge, M.; López-de-Luzuriaga, J. M. Deciphering the Primary Role of Au···H−X Hydrogen Bonding in Gold Catalysis. Angew. Chem. Int. Ed. 2023, 62, e202310314. https://doi.org/10.1002/ange.202310314.Search in Google Scholar
Supplementary Material
This article contains supplementary material (https://doi.org/10.1515/zkri-2024-0124).
© 2025 the author(s), published by De Gruyter, Berlin/Boston
This work is licensed under the Creative Commons Attribution 4.0 International License.
Articles in the same Issue
- Frontmatter
- In this issue
- Inorganic Crystal Structures (Original Paper)
- Flux-growth synthesis and structural characterization of R 6Nb4Al43 (R = Sm, Gd, Tb, Dy, Ho, Er, Tm, Yb, and Lu)
- Topological densities of quasiperiodic structures
- Crystal chemistry of the high hydrous analogue of gismondine-Sr and the role of water in the extra-framework cations ordering
- Organic and Metalorganic Crystal Structures (Original Paper)
- Halogen bonds versus hydrogen bonds in the crystal packing formation of halogen substituted anilines
- One trityl, two trityl, three trityl groups – Structural differences of differently substituted triethanolamines
- Conformational polymorphism in a mononuclear phosphanegold(I) thiocarbamato species, Cy3PAu[SC(OEt)=N(C6H4Cl-3)]
Articles in the same Issue
- Frontmatter
- In this issue
- Inorganic Crystal Structures (Original Paper)
- Flux-growth synthesis and structural characterization of R 6Nb4Al43 (R = Sm, Gd, Tb, Dy, Ho, Er, Tm, Yb, and Lu)
- Topological densities of quasiperiodic structures
- Crystal chemistry of the high hydrous analogue of gismondine-Sr and the role of water in the extra-framework cations ordering
- Organic and Metalorganic Crystal Structures (Original Paper)
- Halogen bonds versus hydrogen bonds in the crystal packing formation of halogen substituted anilines
- One trityl, two trityl, three trityl groups – Structural differences of differently substituted triethanolamines
- Conformational polymorphism in a mononuclear phosphanegold(I) thiocarbamato species, Cy3PAu[SC(OEt)=N(C6H4Cl-3)]