Abstract
In this article, we explore for the first time which types of individuallevel language change following major life events (MLEs) can be observed among a sample of 701 Austrian participants, and which social variables are associated with these different types of change. A cluster analysis reveals five distinct types of MLE-related language change. Regression analyses illustrates that social variables such as gender and educational attainment were significant predictors of participants’ probability of belonging to a specific cluster (i.e., a certain type of MLE-related language change). Our results further our understanding about the linguistic relevance of MLEs and, more importantly, about the different types of intra-speaker trajectories across the lifespan.
1 Einführung
Verschiedene Panelstudien aus dem österreichischen und internationalen Kontext haben den Befund erbracht, dass sich das sprachliche Verhalten einer Person über die gesamte Lebensspanne ändern kann (vgl. Bülow & Vergeiner 2021; Grama et al. 2023; Mechler & Buchstaller 2019; Mechler et al. 2022). Diese Veränderungen können in Richtung des gesamtgesellschaftlichen Wandels verlaufen und zum Beispiel zu mehr Standardverwendung beitragen (vgl. etwa Beaman 2021, 2024), das individuelle Sprachverhalten kann sich aber auch gegenläufig entwickeln (vgl. etwa Bülow & Vergeiner 2021; Vergeiner et al. 2021). Solche Erkenntnisse belegen eine zeitlebens andauernde Flexibilität im sprachlichen Repertoire, auch in spät- und post-adoleszenten Phasen; sie werfen zugleich die Frage auf, welche Arten sprachlicher Veränderungen bei welchen Sprecher:innen aus welchen Gründen auftreten.
Buchstaller (2015, 485) zufolge sind die sprachlichen Veränderungen über die Lebensspanne eine Reaktion auf „life-stage specific demands regarding demeanor and language use that we encounter as we progress through our life histories“. Die Art und das Ausmaß sprachlicher Veränderungen wird also durch die persönlichen Erfahrungen eines Individuums geprägt (vgl. etwa Grama et al. 2023; Mechler & Buchstaller 2019; Mechler et al. 2022; Pfenninger et al. 2023; Wirtz & Pickl 2025). Folglich wurde wiederholt darauf hingewiesen, dass „targeted studies of critical turning points in the life course can contribute to the understanding of individual life span change“ (Wagner 2012b, 197, vgl. auch Buchstaller 2015; Eckert 1997). Auch wenn solche Studien bislang nur vereinzelt durchgeführt wurden, bestätigen die vorhandenen Ergebnisse die Relevanz von Lebensereignissen auf den individuellen Sprachwandel (vgl. etwa De Decker 2006; Prichard & Tamminga 2012; Wagner 2008; Wagner 2012b; Wirtz & Pickl 2025). Somit kann festgehalten werden, dass individueller Sprachwandel im Laufe des Lebens als Folge von wichtigen Lebensereignissen auftreten kann. Zu beobachten ist jedoch auch, dass Sprecher:innen auf derartige Einschnitte in der Biographie sprachlich unterschiedlich reagieren, wobei bislang unklar ist, mit welchen Faktoren (etwa Alter, Geschlecht, Bildung) diese Differenzen zusammenhängen. Hier bestehen klare Forschungsdesiderate.
Ziel des vorliegenden Beitrages ist es, sich dieser Desiderate anzunehmen. Gefragt wird zunächst, welche unterschiedlichen Sprachwandeltendenzen nach dem Erleben wesentlicher Lebensereignisse (engl. major life events, verkürzt MLEs) festgestellt werden können. In Einklang mit der entwicklungspsychologischen Forschung definieren wir MLEs als „time-specific transitions that indicate a new status (i. e., position, rank, role, condition) or denote the end of a previous status“ (Bühler et al. 2023, 2). Beispiele für solche MLEs sind etwa der Eintritt ins Berufsleben, eine Eheschließung oder der Eintritt in den Ruhestand. In weiterer Folge wird in diesem Aufsatz versucht, verschiedene ‚Sprachwandeltypen‘ nach solchen MLEs zu identifizieren und zu beschreiben. Anschließend wird beleuchtet, welche sozialen Variablen (Alter, Geschlecht, Bildung) mit diesen Sprachwandeltypen zusammenhängen.
Als Grundlage für die Untersuchung werden die Daten von 701 Personen herangezogen, die im Rahmen einer umfassenden Fragebogenstudie in Österreich erhoben wurden. Mithilfe unterschiedlicher statistischer Verfahren (Clusteranalyse, Bayes’sche Modelle) werden die retrospektiven Perzeptionen (Selbstwahrnehmungen) zum individuellen Sprachwandel durch MLEs analysiert, und zwar in Hinblick auf den Gebrauch von und die Einstellungen[1] gegenüber Sprachvarietäten in Österreich. Hervorzuheben ist, dass die untersuchten Selbstberichte die longitudinalen Messungen des individuellen Sprachwandels zwar nicht ersetzen können, sie dienen jedoch als eine wertvolle ‚Vorstufe‘ zu real-time-Studien. Die Erfassung objektsprachlicher Veränderungen als Reaktion auf ein MLE erfordert eine umfassende Erhebung von Längsschnittdaten, was ein zeit- und auch ressourcenintensives Unterfangen ist, zumal unklar ist, welche MLEs tatsächlich individuellen Sprachwandel hervorrufen können. Studien wie die vorliegende, die sich auf retrospektive Wahrnehmungen sprachlicher Veränderungen stützen, können hingegen vergleichsweise große Stichprobengrößen erzielen, um zunächst zu ermitteln, (a) nach welchen MLEs die größten sprachlichen Veränderungen erlebt werden, (b) in welche Richtung sich Individuen – jedenfalls aus ihrer Sicht – sprachlich verändert haben und (c) in welchen Bereichen des Repertoires der stärkste Wandel erlebt wird, etwa beim Sprachgebrauch selbst oder auf der affektiv-attitudinalen Ebene. Die Ergebnisse von Untersuchungen zur retrospektiven Wahrnehmung des individuellen Sprachwandels bilden somit eine wesentliche Grundlage für das Design künftiger longitudinaler Studien, insbesondere in Hinblick darauf, für welche MLEs sich die aufwändige Erhebung von Längsschnittdaten überhaupt lohnt.
2 Hintergrund
In diesem Abschnitt werden die Hintergründe der vorliegenden Studie genauer beschrieben. Dazu wird in Abschnitt 2.1 zunächst auf die soziolinguistische Situation in Österreich eingegangen. Im Anschluss werden in Abschnitt 2.2 vorhandene Typologisierungen individueller sprachlicher Veränderungen und ihre Erklärungen thematisiert.
2.1 Die österreichische Situation
Die Sprachverwendung in Österreich ist durch eine ausgeprägte Dialekt-/Standardvariation gekennzeichnet. Basisdialektal verankert sind dabei vor allem Varietäten des Bairischen sowie – im äußersten Westen – auch des Alemannischen (Lenz 2019). Anders als in vielen Regionen Deutschlands werden diese dialektalen oder dialektnahen Varietäten bis heute im österreichischen Alltag häufig gebraucht; so dürfte der überwiegende Teil der Österreicher:innen zumindest gelegentlich Dialekt oder eine dialektnahe Varietät verwenden. Anders als zum Beispiel in der Schweiz spielt in Österreich aber auch die Standardsprache in der alltäglich gesprochenen Sprache eine relevante Rolle (vgl. Ender & Kaiser 2009; Lenz 2019; Steinegger 1998). Dabei handelt es sich – je nach theoretischer Ausrichtung – entweder um eine spezifisch österreichische Variante des Standards (= „Österreichisches Standarddeutsch“) (Ammon 1995) oder um mehrere regional geprägte Standardvarietäten (Elspaß & Kleiner 2019).
Dialekt und Standard bilden in den meisten Regionen Österreichs jedoch nur die Endpunkte eines komplexen diaglossischen Varietätenspektrums. Zur Modellierung dieses Spektrums existieren unterschiedliche Konzeptionen – zum Teil wird von einem vollständigen Kontinuum ohne (klare) Grenzen ausgegangen, teilweise werden aber auch weitere Varietäten (Regiolekte, Umgangssprachen) zwischen Dialekt und Standard angesetzt (vgl. z. B. Fanta-Jende 2023). Da die derzeitigen Befunde eher dafür sprechen, dass aus Sprecher:innen-Sicht nur bedingt ein Bewusstsein für dieses Varietätenspektrum vorhanden ist und stattdessen eine weitgehend dichotome Unterscheidung zwischen Dialekt und Standard getroffen wird (vgl. z. B. Ender & Kaiser 2009, 270; de Cillia 2018, 70), fokussieren wir uns in der vorliegenden Untersuchung auf die beiden Endpunkte des Kontinuums.
Welche Varietäten wann und von wem verwendet werden, wird von unterschiedlichen sozialen und situativen Faktoren gesteuert. Neben dem Alter, der regionalen Herkunft, dem Geschlecht und der Bildung erweist sich dabei insbesondere der jeweilige Formalitätsgrad und das Gegenüber als relevant. Eine standardnähere Sprachverwendung findet sich dabei v. a. in formellen Situationen und mit Nicht-Österreicher:innen (vgl. z. B. Ender & Kaiser 2009).
Die komplexe diaglossische Situation spiegelt sich auch in den aktuellen Sprachwandeltendenzen wider. Als vorherrschende Richtung des Wandels kann dabei Dialekt-zu-Standard-Advergenz gelten, die zwar zu keinem vollständigen Schwund des Dialekts, wohl aber zu einem verstärkten Dialektumbau führt (vgl. bspw. Lenz 2019; Scheuringer 1990; Scheutz 1985). Dabei werden insbesondere kleinräumige Dialektmerkmale zunehmend durch standardnähere oder großräumiger verbreitete Formen ersetzt (vgl. auch Wirtz, Pickl, Niehaus, Elspaß & Möller im Druck); zugleich steigt der Einfluss standardnäherer urbaner Varietäten auch im ruralen Raum stark an (vgl. z. B. Vergeiner et al. 2021; Vergeiner 2022). Wie Lenz (2019, 341) bemerkt, lassen sich vor allem im städtischen Bereich außerdem schon „Prozesse der soziolinguistischen Dialektaufgabe“ beobachten.
In Hinblick auf die affektiv-attitudinale Ebene stellen bisherige Studien einerseits eine hohe Dialektloyalität in Österreich fest, andererseits werden dialektale und standardsprachliche Varietäten mit unterschiedlichen indexikalischen Attributen verbunden. Während Dialekt im Zusammenhang mit Sympathie, Natürlichkeit und Humor besser abschneidet, wirken Sprecher:innen durch Standardverwendung „more polite, intelligent, educated, gentle, serious and refined, but also […] more arrogant“ (Soukup 2009, 127; vgl. auch Bellamy 2012). Zusammengefasst punktet die Standardsprache v. a. auf der Status-, der Dialekt hingegen auf der Solidaritätsdimension, was auf die typischen Verwendungssituationen der Varietäten verweist. Den Wandel von Einstellungen in Österreich untersuchen etwa Bülow et al. (i. Er.) im Rahmen einer Panel-Studie mit 12 Personen aus Ulrichsberg. Gezeigt wird, dass die Einstellungen der Sprecher:innen über die Zeit bemerkenswert stabil geblieben sind, wobei sie sich in beiden untersuchten Zeitpunkten als signifikanter Prädiktor für den tatsächlichen Sprachgebrauch erweisen (vgl. zum Schwäbischen auch Beaman 2021).
2.2 Sprachwandeltypen und lebenslange Entwicklung
In Einklang mit gebrauchsbasierten Ansätzen wird in der gegenwärtigen Soziolinguistik weitgehend anerkannt, dass sich das sprachliche Wissen eines Individuums und sein Repertoire zeitlebens verändern (können) (Bowie 2010; Bülow & Vergeiner 2021; Hazan 2017; Kwon 2018; Reubold & Harrington 2015, 2018; Riverin-Coutlée & Harrington 2022; Sankoff 2018; Sankoff & Blondeau 2007, 2013; Vergeiner et al. 2021). Darauf aufbauend wird untersucht, wie sprachliche Entwicklungsprozesse über die Lebensspanne sowohl auf individueller wie auch auf (gesamt-)gesellschaftlicher Ebene vonstattengehen und welche Faktoren eine Rolle dafür spielen.
Bei den verschiedenen Arten des Sprachwandels wird häufig zwischen (a) age-grading, (b) generational change und (c) communal change differenziert. Im Hinblick auf (a) sind Veränderungen in individuellen Sprechweisen und (sozio-)linguistischen Repertoires in Lebensabschnitten nach der Adoleszenz zu verzeichnen, wobei von age-grading nur dann gesprochen wird, wenn es keinen gesamtgesellschaftlichen Sprachwandel gibt. Bei (b) wird hingegen davon ausgegangen, dass sprachliche Unterschiede zwischen Personen aus unterschiedlichen Generationen einen gesellschaftlichen Sprachwandel widerspiegeln (vgl. etwa Bailey et al. 1991; Bowie 2005; Labov 1972). In aller Regel sind es dabei jüngere Sprecher:innen, die innovativere Varianten verwenden, wobei angenommen wird, dass diese die bei alten Sprecher:innen gebräuchlichen konservativeren Varianten ersetzen. Nur bei (c) treten gesamtgesellschaftliche und individuelle Änderungen gemeinsam auf, das heißt, individuelle Wandelprozesse gehen (mehr oder minder) gleichartig mit solchen in der Gesamtgesellschaft einher.
In der gegenwärtigen Forschung werden aber auch genauere Unterteilungen vorgenommen. Mit Blick auf individuelle sprachliche Veränderungen beschreibt etwa Sankoff (2006, 2019) verschiedene Arten von (dynamischen) Trajektorien: (a) speaker stability, d. h. unabhängig von einem gesamtgesellschaftlichen Wandel bleibt die Sprache der Sprecher:innen stabil (vgl. Sankoff 2006); (b) lifespan change, d. h. die individuellen Entwicklungsprozesse reflektieren die gesamtgesellschaftlichen Wandeltendenzen (die primär durch jüngere Sprecher:innen vorangetrieben werden) (vgl. Sankoff 2005; Wagner 2012a) und (c) retrograde change, d. h. es kommt zu Veränderungen auf der individuellen Ebene, die entgegen dem gesamtgesellschaftlichen Trend verlaufen, was mit einem Wandel weg von innovativeren Formen hin (bzw. zurück) zu konservativeren Formen einhergeht. Age-grading liegt hingegen nur dann vor, wenn individuelle Wandelprozesse vor dem Hintergrund gesamtgesellschaftlicher Stabilität vonstattengehen (Labov 1994; vgl. auch Bülow & Vergeiner 2021). Dabei beobachtet Sankoff (2006), dass speaker stability gegenüber den anderen Veränderungstypen überwiegt – eine Erkenntnis, die inzwischen an mehreren Stellen empirisch festgestellt wurde (vgl. aus der germanistischen Forschung etwa Beaman 2024; Oppermann & Siebenhaar 2023).
Die unterschiedlichen Arten des Sprachwandels – sei es auf individueller oder gesamtgesellschaftlicher Ebene – wurden bislang hauptsächlich anhand von apparent-time-Studien (Vergleiche zwischen unterschiedlichen Generationen im Querschnitt), real-time-trend-Studien (Daten von verschiedenen Individuen zu verschiedenen Zeitpunkten) und seltener real-time-panel-Studien (Daten von denselben Individuen zu verschiedenen Zeitpunkten) analysiert (vgl. etwa Beaman 2021, 2024; Bülow et al. i. Er.; Bülow & Vergeiner 2021; Sankoff 2018, 2019; Vergeiner et al. 2021). Letztere erbringen den Befund, dass Wandelprozesse über die Lebensspanne – auch nach der Adoleszenz – stattfinden können, Sankoff (2019, 219) unterstreicht allerdings, dass es genauere Erkenntnisse dazu braucht, „how, when, why, and to what extent“ sich Sprachvariation und -wandel über die Lebensspanne manifestieren (vgl. auch MacKenzie 2017).
In der bisherigen Forschung zum individuellen Sprachwandel wurden bislang v. a. die Zeitpunkte (when) und Ursachen (why) des individuellen Wandels thematisiert, wobei v. a. die Einflüsse berufsbezogener Faktoren beleuchtet wurden. Herausgearbeitet wurde etwa die Relevanz des Eintritts ins Berufsleben und die damit verbundenen sozialen Zwänge zum Standardgebrauch (Sankoff & Laberge 1978; Wagner 2012), außerdem der Einfluss der Pensionierung und der damit assoziierte Wegfall von sozialem Druck zur Standardverwendung (Buchstaller 2006; Chambers & Trudgill 1998; Cheshire 2008; Downes 1998; Mechler & Buchstaller 2019; Vergeiner et al. 2021). In welchem Ausmaß sich diese und weitere Lebensereignisse auf das sprachliche Repertoire eines Individuums auswirken, ist allerdings nur schlecht beforscht. Während apparent-time-Studien darüber aufgrund des Querschnitts durch verschiedene Generationen überhaupt keinen Aufschluss geben, ist die Zahl der Erhebungszeitpunkte der meisten real-time-panel-Studien zu gering, um den genaueren Effekt der Lebensereignisse auf das (sozio-)linguistische Repertoire in Echtzeit (z. B. durch Messungen unmittelbar vor, während und nach dem Ereignis) zu erfassen (vgl. etwa Mechler et al. 2022). Um also tatsächlich zu ergründen, „how, when, why, and to what extent“ (Sankoff 2019, 219) Sprachvariation und -wandel vonstattengehen, braucht es letztlich kleinräumige, temporal begrenzte Messungs- und Untersuchungsdesigns, welche die konkreten Gründe für individuellen Sprachwandel (über die Lebensspanne) operationalisieren und eine anschließende empirische Überprüfung ermöglichen.
Zu diesem Zweck kommt es seit einigen Jahren vermehrt zu Studien über ‚notable individuals‘ (Sankoff 2018) wie beispielsweise Politiker:innen, Fernsehsprecher:innen, Schauspieler:innen etc., für die ausreichend Daten über ihre Lebensspanne verfügbar sind. Diese Daten erlauben es, den individuellen Sprachwandel mit soziolinguistischen Faktoren wie der Änderungen des Wohnorts, in der beruflichen Laufbahn, im Grad der Mobilität etc. in Verbindung zu setzen, wodurch mögliche Auslöser für Sprachwandeltendenzen und deren temporale Spezifizität untersucht werden können (vgl. etwa Harrington, Palethorpe & Watson 2000; Harrington & Stevens 2014; Reubold & Harrington 2015; Reubold & Harrington 2018; Riverin-Coutlée & Harrington 2022; Shapp et al. 2014; Trinh et al. 2024).
Allerdings weisen solche Studien zu Einzelsprecher:innen bestimmte Schwächen auf: So berücksichtigen sie lediglich eine kleine Zahl an Sprecher:innen. Diese repräsentieren zudem häufig „extreme case[s]“ (Riverin-Coutlée & Harrington 2022, 49), d. h. es handelt sich um Untersuchungen von meist professionellen Sprecher:innen (z. B. Politiker:innen), deren „public language may be more self-consciously fashioned“ (Sankoff 2018, 308), weshalb sich die identifizierten Effekte wohl kaum bzw. nur in geringem Ausmaß auf den Rest der Sprachgemeinschaft übertragen lassen. Riverin-Coutlée und Harrington (2022) plädieren aus diesem Grund dafür, Untersuchungsdesigns zu entwickeln und heranzuziehen, die den Einfluss von externen Faktoren (z. B. Berufswechsel) auf Sprachwandeltendenzen einer größeren Anzahl an Sprecher:innen modellieren können.
Wirtz und Pickl (2025) kommen diesem Aufruf nach, indem sie anhand von Selbstauskünften den interindividuellen Effekt von 16 verschiedenen MLEs – z. B. Wechsel des Wohnorts oder der Arbeitsstelle, Eintritt ins Berufsleben, Übertritt in die Pension etc. – auf das Ausmaß des individuellen Sprachwandels ermitteln. Berücksichtigt wird dabei der produktive Bereich (kontextübergreifender Standard- und Dialektgebrauch) ebenso wie der affektiv-attitudinale Bereich (Akkommodationstendenzen, Dialektidentität, Einstellungen gegenüber Standarddeutsch). Die Studie liefert erste Ergebnisse dazu, welche MLEs in welchem Ausmaß Änderungen im individuellen sprachlichen Wissen und Repertoire auslösen, und auch wann diese Effekte im Lebenslauf eintreten. Unbeantwortet bleibt jedoch in solchen interindividuellen Analysen, für wen MLEs Sprachwandel in welche Richtung (z. B. stärkere Orientierung zum Dialekt oder Standard) herbeiführen. Dies ist von besonderem theoretischen wie empirischen Interesse, denn, wie psychologische Untersuchungen zeigen (vgl. etwa Kritzler et al. 2023; Rakhshani et al. 2022; Schwaba et al. 2023), erlebt nicht jedes Individuum dasselbe MLE gleichermaßen. So kommen etwa Bühler et al. (2023, 19) zur Schlussfolgerung: „people do not change in the same ways […] or that people may react differently to the same life event“.
Zur Schließung dieser Forschungslücke wenden Wirtz, Pickl und Pfenninger (2025), Wirtz (im Druck) und Wirtz und Vergeiner (2025) sowohl quantitative als auch qualitative, personenzentrierte Ansätze an, um festzustellen, welche individuellen Unterschiede mit Differenzen in MLE-bezogenen Wandeltendenzen zusammenhängen. Die quantitativen Analysen weisen dabei keine MLE-übergreifenden Muster nach; welche Prädiktoren Unterschiede in den Sprachwandeltendenzen vorhersagen, erweist sich vielmehr als MLE-spezifisch. Die qualitativen Analysen zeigen hingegen MLE-übergreifende Tendenzen dazu, wer sein soziolinguistisches Repertoire wie als Folge von MLEs adaptiert. So können MLEs zu verstärktem Kontakt mit bestimmten Varietäten beitragen oder zur Konfrontation mit gewissen soziolinguistischen Evaluationen oder Einflüssen des linguistic marketplace (vgl. Sankoff & Laberge 1978), wobei diese Faktoren über MLEs hinweg mit unterschiedlichen Sprachwandeltendenzen zusammenhängen. Insgesamt geht aber sowohl aus den quantitativen als auch den qualitativen Analysen hervor, dass MLEs auf individuell unterschiedliche Weise, in individuell unterschiedlichem Maße und aus individuell unterschiedlichen Gründen das soziolinguistische Repertoire beeinflussen. Es lässt sich also festhalten, dass auch ein und dasselbe MLE unterschiedliche Wandeltendenzen bei unterschiedlichen Personen herbeiführen kann.
Bislang unberücksichtigt bleibt in diesen Analysen die Frage, ob, unabhängig von der Art des erlebten MLE, interindividuelle Sprachwandeltendenzen festgestellt werden können. Damit ließe sich ergründen, welche Art(en) von Sprachwandel MLEs auslösen (können), wie ähnlich oder unterschiedlich Personen auf MLEs soziolinguistisch reagieren und auch, welche Faktoren (etwa Alter beim MLE, Geschlecht, Bildung) mit unterschiedlichen Sprachwandeltypen in Verbindung stehen. In diesem Zusammenhang kann ebenfalls die Frage diskutiert werden, inwiefern sich einzelne Sprachwandeltypen in Beziehung zu bisher thematisierten Sprachwandelarten vor allem auf der individuellen Ebene (etwa lifespan change, retrograde change, age-grading etc.) setzen lassen.
3 Methode
Die hier vorliegenden Daten stammen aus einer sozio- und psycholinguistischen Fragebogenstudie, welche in Österreich durchgeführt wurde. Ziel der Studie ist es, die Rolle von MLEs auf retrospektive Perzeptionen (Selbstwahrnehmungen) des individuellen Sprachwandels zu untersuchen, und zwar sowohl in Bezug auf den Varietätengebrauch als auch die affektiv-attitudinale Ebene. Die empirische Analyse fokussiert die folgenden Fragestellungen:
Welche Typen des (selbst wahrgenommenen) Sprachwandels gibt es unter Österreicher:innen erwachsenen Alters als Folge von MLEs, d. h. welche unterschiedlichen Muster individuellen Sprachwandels zeichnen sich ab?
Welche sozialen Variablen (Alter beim MLE, Geschlecht, Bildung) hängen mit den unterschiedlichen Sprachwandeltypen zusammen?
3.1 Stichprobe
In dieser Studie wird dieselbe Stichprobe wie in Wirtz und Pickl (2025) herangezogen, sie wird jedoch unter Anwendung anderer Analyseverfahren zur Beantwortung anderer Forschungsfragen untersucht. Der Größe der analysierten Stichprobe beträgt 701 Personen, wobei alle Proband:innen laut Selbstauskunft Deutsch als Erstsprache sprechen, (großteils) in Österreich aufgewachsen sind bzw. dort sozialisiert wurden und zur Zeit der Erhebung in Österreich wohnhaft waren. Die Stichprobe wurde als convenience sample durch Crowdsourcing-Methoden zusammengestellt, weshalb die Stichprobe nicht nach soziolinguistischen Variablen stratifiziert werden konnte. Die Stichprobe ist deswegen in Bezug auf Geschlecht (männlich: 207; weiblich: 491; divers: 3), Alter (Mittelwert = 44; Standardabweichung = 16,3; Spannweite = 14–82), Alter beim MLE (Mittelwert = 34,3; Standardabweichung = 15,2; Spannweite = 6–71) und Region uneinheitlich verteilt, wobei junge Personen, Frauen und Personen aus den Bundesländern Salzburg (n = 301), Wien (n = 120) und Oberösterreich (n = 119) im Sample überrepräsentiert sind. In Hinblick auf den aktuellen Bildungs- bzw. Berufsstatus zur Zeit der Erhebung (Mehrfachnennungen waren möglich) gaben 12 Personen an, noch die Schule zu besuchen; 452 Proband:innen gaben an, berufstätig zu sein, 169 Proband:innen eine Universität / (Fach-)Hochschule / ein College (o. Ä.) zu besuchen, und 158 Personen befanden sich laut ihren Angaben bereits im Ruhestand.
3.2 Verfahren
Die Fragebogenstudie wurde online mittels Limesurvey (Limesurvey GmbH) durchgeführt. Einzelheiten zur Pilotphase des Fragebogens werden in Wirtz und Pickl (2025) erörtert. Der endgültige Fragebogen wurde Ende Oktober 2023 online gestellt, und die Datenerfassung erstreckte sich bis Anfang 2024. Im Weiteren werden sowohl der Aufbau als auch die einzelnen Items des Fragebogens detaillierter beschrieben.
3.2.1 Aufbau des Fragebogens
In Anlehnung an Schwaba et al. (2023, 11–12) wurden die Proband:innen im Fragebogen zunächst dazu befragt, ob sie in den letzten max. 20 Jahren ein MLE erlebt haben, und ob sie der Ansicht sind, dieses MLE habe ihre Verwendung und Wahrnehmung verschiedener Sprachvarietäten, insbesondere des Standards und Dialekts, beeinflusst. Wurde eine der beiden Fragen mit nein beantwortet, wurde für sie die Umfrage beendet (ohne dass die Teilnehmer:innen dies zuvor wussten). Wurden beide Fragen mit ja beantwortet, konnte die Umfrage fortgesetzt werden.
Die Teilnehmenden wurden aufgefordert, aus einer Liste von 16 Ereigniskategorien das MLE auszuwählen, das ihrer Meinung nach den stärksten Einfluss auf ihren Sprachgebrauch in den letzten max. 20 Jahren hatte. Diese Zeitspanne wurde gewählt, um ein relativ rezentes Ereignis zu erfassen, das das gegenwärtige soziolinguistische Repertoire der Befragten beeinflusst hat. Die Liste an Ereigniskategorien wurde von Schwaba et al. (2023) aufgegriffen, wobei zwei womöglich sprachlich relevante MLEs hinzugefügt wurden, nämlich ‚Umzug‘ und ‚Beginn eines Studiums bzw. einer Ausbildung‘.
Anschließend wurden die Teilnehmenden aufgefordert, das Jahr des Ereignisses anzugeben. Es folgten die Skalen zum wahrgenommenen individuellen Sprachwandel, die in Abschnitt 3.2.2 erläutert werden.
3.2.2 Skalen zur Erfassung des individuellen Sprachwandels
Um zu erfassen, inwiefern ein individueller Sprachwandel als Folge des identifizierten MLE (rückwirkend) wahrgenommen wird, wurde der Ansatz zur Messung perzipierter Veränderung aus der Life Event Study adaptiert (Schwaba et al. 2023, 12). Dabei wurden die Proband:innen mit verschiedenen Aussagen konfrontiert (z. B. „In einer durchschnittlichen Woche verwende ich häufig Dialekt mit der Familie.“). Sie sollten dann bewerten, ob und wie sich die jeweilige Aussage durch das Ereignis verändert hat. Die Bewertung erfolgte auf einer quasi-kontinuierlichen Skala, die von „trifft weniger zu durch das Ereignis“ bis „trifft mehr zu durch das Ereignis“ reichte. Der Mittelpunkt der Skala repräsentierte, dass infofolge des MLEs keine Veränderung wahrgenommen wird.
Die Aussagen, die zur Erfassung des selbst wahrgenommenen individuellen Sprachwandels dienten, wurden aus Steiner et al. (2023a, 14) übernommen und basieren auf einer Adaption des Bilingual Language Profils von Birdsong et al. (2012). Die Items zielten darauf ab, zu messen, welcher Wandel im Standard- und Dialektgebrauch (etwa mit der Familie, unter Freunden etc.) aufgrund des Lebensereignisses wahrgenommen wird. Um die Sprachgebrauchskontexte an die Proband:innen anzupassen, sollten diese zu Beginn des Fragebogens sowohl ihren aktuellen beruflichen Status angeben (z. B. berufstätig, Student:in, im Ruhestand) als auch ihren beruflichen Status vor und nach dem Lebensereignis (z. B., ob die Person sowohl vor als auch nach dem MLE berufstätig war). Im weiteren Verlauf der Befragung wurden die Teilnehmenden um Selbsteinschätzungen zum Sprachwandel im Varietätengebrauch mit der Familie, Freund:innen, sich selbst und beim Einkaufen gebeten. Weitere Items zum Sprachwandel in Bezug auf den Varietätengebrauch mit Arbeitskolleg:innen und in der Arbeit, mit Universitätskolleg:innen und am Ausbildungsort sowie mit Mitschüler:innen und in der Schule wurden nur jenen Proband:innen präsentiert, bei denen der jeweilige Gebrauchskontext aufgrund der vorangehenden Angaben im Fragebogen plausibel war.
Darüber hinaus wurden auch wahrgenommene Wandeltendenzen im affektiv-attitudinalen Bereich gemessen. Übernommen wurden dazu drei Fragekomplexe mit insgesamt 10 Items aus Steiner et al. (2023c, 10) zur Erfassung (a) der persönlichen Dialektakkommodation, (b) der Dialektloyalität und (c) der Einstellungen gegenüber Standarddeutsch.
In weiterer Folge wurden Mittelwerte auf Basis der beschriebenen Skalenitems gebildet, um die folgenden fünf Messungen für die Wahrnehmungen zum individuellen Sprachwandel zu generieren:
Wahrgenommener individueller Wandel im kontextübergreifenden Gebrauch der Standardsprache (zwischen 4 und 10 Items, in Abhängigkeit der individuellen Bedingungen eines:r Proband:in; Beispielitem: „In einer durchschnittlichen Woche verwende ich häufig Standarddeutsch mit der Familie.“)
Wahrgenommener individueller Wandel im kontextübergreifenden Gebrauch des Dialekts (zwischen 4 und 10 Items, in Abhängigkeit der individuellen Bedingungen eines:r Proband:in; Beispielitem: „In einer durchschnittlichen Woche verwende ich häufig Dialekt mit der Familie.“)
Wahrgenommener individueller Wandel in der persönlichen Dialektakkommodation (3 Items; Beispielitem: „Wenn ich mit Leuten aus einem anderen Dialektgebiet spreche, passe ich mich an.“)
Wahrgenommener individueller Wandel in der Dialektidentität (4 Items; Beispielitem: „Ich finde es schön, wenn Leute aus anderen Regionen merken, welchen Dialekt ich spreche.“)
Wahrgenommener individueller Wandel in den Einstellungen gegenüber Standarddeutsch (3 Items; Beispielitem: „Wenn ich Hochdeutsch spreche, fühle ich mich wohl.“)
3.3 Datenanalyse
Zur Ermittlung der verschiedenen Typen des selbst wahrgenommenen Sprachwandels als Folge von MLEs wird eine hierarchische Clusteranalyse durchgeführt. Dabei handelt es sich um ein multivariates exploratives Verfahren zur Identifizierung von zugrundeliegenden Mustern in den Daten (vgl. etwa Staples & Biber 2015). Clusteranalysen ermöglichen es also, Gruppen von ähnlichen ‚Objekten‘ in den Daten zu bestimmen. Im Folgenden werden die fünf Messungen zum wahrgenommenen individuellen Sprachwandel als Datengrundlage für die Clusteranalyse herangezogen. Ziel der Analyse ist es, zu bestimmen, in welche Gruppen sich die Proband:innen nach ihrem (selbsteingeschätzten) Sprachwandel sinnvollerweise einteilen lassen.
Grundlage für die Clusteranalyse ist die Aggregation der fünf Messungen zum wahrgenommenen individuellen Sprachwandel. Dazu wird eine Distanzmatrix zwischen den einzelnen Objekten – in diesem Falle den einzelnen Proband:innen – auf Basis der fünf Messungen errechnet (vgl. auch Levshina 2015). Die Distanzmatrix gibt an, wie (un)ähnlich sich die einzelnen Personen in Hinblick auf die fünf Sprachwandelmessungen sind. Zur Berechnung der Distanzmatrix wird nachfolgend die Manhattan-Distanz genutzt. Diese errechnet die paarweisen Distanzen zwischen den Personen als Summe der absoluten Differenzen zwischen den fünf Messungen. Die Manhattan-Distanz wurde herangezogen, weil sie im Vergleich zu anderen Distanzmaßen robustere und von Ausreißern weniger beeinflusste Ergebnisse liefert (Kassambara 2017, 29). Die Clusterung selbst beruht nachfolgend auf dem Ward-Algorithmus, der auf eine Minimierung der Cluster-internen Varianz abzielt.[2] Die Clusterlösung wird auf Basis der durchschnittlichen Silhouettenbreite bestimmt, deren Werte zwischen 0 und 1 liegen können. Dabei gilt: Je näher der Wert bei 0 liegt, desto weniger Clusterstruktur ist in den Daten vorhanden; je näher der Wert 1 kommt, desto besser sind die einzelnen Cluster voneinander getrennt (Levshina 2015).
Nach der Clusteranalyse selbst werden die Eigenschaften der errechneten Gruppierung – sprich: Clusterung – genauer beleuchtet. Dabei soll unter anderem auch ermittelt werden, welche personenbezogenen demographischen Merkmale (Alter beim MLE, Geschlecht und Bildungserfahrung) mit den Clusterzuweisungen zusammenhängen beziehungsweise diese vorhersagen können. Dazu wird eine Regressionsanalyse mit der Clusterzuweisung als abhängiger Variable und den personenbezogenen demographischen Merkmalen als Prädiktoren durchgeführt. Konkret wird ein Bayes’sches multinomiales Mehrebenenmodell mit dem brms Paket (Bürkner 2017) in R (R Core Team 2020) errechnet. Näheres zum Verfahren wird an der entsprechenden Stelle im Abschnitt 4.2 erläutert.
4 Ergebnisse
Abbildung 1 bietet einen deskriptiven Überblick der Ergebnisse. Visualisiert wird, welche Wandeltendenzen die unterschiedlichen MLEs in Bezug auf den Dialekt- und Standardgebrauch sowie die Akkommodationstendenzen, die Dialektidentität und die Einstellungen zur Standardsprache nach Einschätzung der Proband:innen hervorgerufen haben. Die grün schattierten positiven Werte deuten auf eine positive Direktionalität des wahrgenommenen Wandels hin (d. h. höhere Anteile von Dialekt-/Standardgebrauch, mehr Dialektakkommodation, stärker gewordene Dialektidentität, positivere Einstellungen gegenüber Standarddeutsch), und die rot schattierten negativen Werte auf eine negative Direktionalität.

Deskriptive Daten zum wahrgenommenen individuellen Sprachwandel, aufgeteilt nach MLE
Deutlich werden einige interindividuelle Muster in Bezug auf den wahrgenommenen individuellen Sprachwandel (vgl. hierzu Wirtz & Pickl 2025): Beispielsweise wird nach den MLEs ‚Eintritt in den Ruhestand‘ und ‚Beginn einer neuen Freundschaft‘ ein verstärkter Gebrauch des Dialekts und ein geringerer Gebrauch der Standardsprache berichtet. Als Folge der vier MLEs ‚Beginn eines Studiums bzw. einer Ausbildung‘, ‚erster Eintritt ins Berufsleben‘, ‚Elternschaft‘ und ‚Umzug‘ geben die Proband:innen eher an, mehr Standardsprache und dafür weniger Dialekt zu gebrauchen, diese MLEs sind also mit einem „retrenchment“ (Chambers 2008, 190) in Richtung Standarddeutsch assoziiert. Aus Abbildung 1 wird aber auch deutlich, dass die Variationsbreite bei den Antworten für ein und dasselbe MLE beträchtlich ist. Dies weist darauf hin, dass die MLEs Individuen sowohl in unterschiedlichem Ausmaß als auch auf unterschiedliche Art und Weise beeinflussen (vgl. auch hierzu Wirtz et al. 2025; Wirtz & Vergeiner 2025; Wirtz im Druck).
Zudem ist bemerkenswert, dass nach den meisten MLEs Veränderungen in beide Richtungen berichtet werden, also beispielsweise sowohl in Richtung einer stärkeren Dialektorientierung als auch einer stärkeren Standardorientierung. Die wahrgenommenen Veränderungen sind somit trotz der übergreifenden Tendenzen recht unterschiedlich. Um dieser Tatsache Rechnung zu tragen, wird im Folgenden versucht, induktiv und unter Absehung des konkreten MLEs verschiedene ‚Typen‘ des wahrgenommenen individuellen Sprachwandels zu bestimmen. Dies hat den besonderen Vorteil, dass keine Orientierung am (globalen) Durchschnitt der verschiedenen Messungen des wahrgenommenen individuellen Sprachwandels erforderlich ist; stattdessen werden zunächst Personen mit ähnlichen Angaben bei den fünf Wandelmessungen in Gruppen (Clustern) gebündelt. Erst im zweiten Schritt wird ein Blick auf die möglichen Erklärungsfaktoren geworfen, die mit den jeweiligen Clusterzuweisungen und damit den verschiedenen Sprachwandeltypen zusammenhängen.
4.1 Clusteranalyse
Mithilfe einer hierarchischen Cluster-Analyse (Ward-Methode, Manhattan-Distanz) sollen Proband:innen, die sich in ihren (wahrgenommenen) MLE-induzierten Sprachwandelmustern ähneln, zu Gruppen (Clustern) zusammengefasst werden. Die beste mittlere Silhouettenbreite ergibt sich bei einer Lösung mit zwei Clustern (mittlere Silhouettenbreite = 0,22). Dies legt nahe, dass sich die Proband:innen in Bezug auf ihre Wahrnehmungen zu den MLE-induzierten Veränderungen zunächst in zwei Großgruppen einteilen lassen. Auch eine 5-Cluster-Lösung scheint angesichts der nur unwesentlich geringeren durchschnittlichen Silhouettenbreite (= 0,20) plausibel. Abbildung 2 zeigt das Ergebnis der Clusteranalyse in Form eines Dendrogramms, wobei der graue Rahmen die Aufteilung der 2-Cluster-Lösung und der schwarze Rahmen die der 5-Cluster-Variante markiert.[3]
Anzumerken ist die insgesamt niedrige durchschnittliche Silhouettenbreite beider Cluster-Lösungen. So sprechen Werte von unter 0,20 für keine substanzielle Clusterstruktur in den Daten (Levshina 2015, 311) – die beiden Clusterlösungen befinden sich nur knapp über bzw. genau an dieser Grenze. Dies ist angesichts der ausgeprägten Heterogenität bei den wahrgenommenen Veränderungen im soziolinguistischen Repertoire allerdings nicht überraschend. Wie nachfolgend gezeigt wird, kann die Clusterung nichtsdestoweniger dabei helfen, einen Überblick über die verschiedenen Typen des wahrgenommenen Wandels zu gewinnen. Um die Sprachwandeltypen möglichst differenziert beschreiben zu können, werden wir uns dabei auf die inhaltliche Abgrenzung und Interpretation der 5-Cluster-Lösung fokussieren.

Dendrogramm der 2-Cluster-Lösung (grauer Rahmen) und 5-Cluster-Lösung (schwarzer Rahmen)
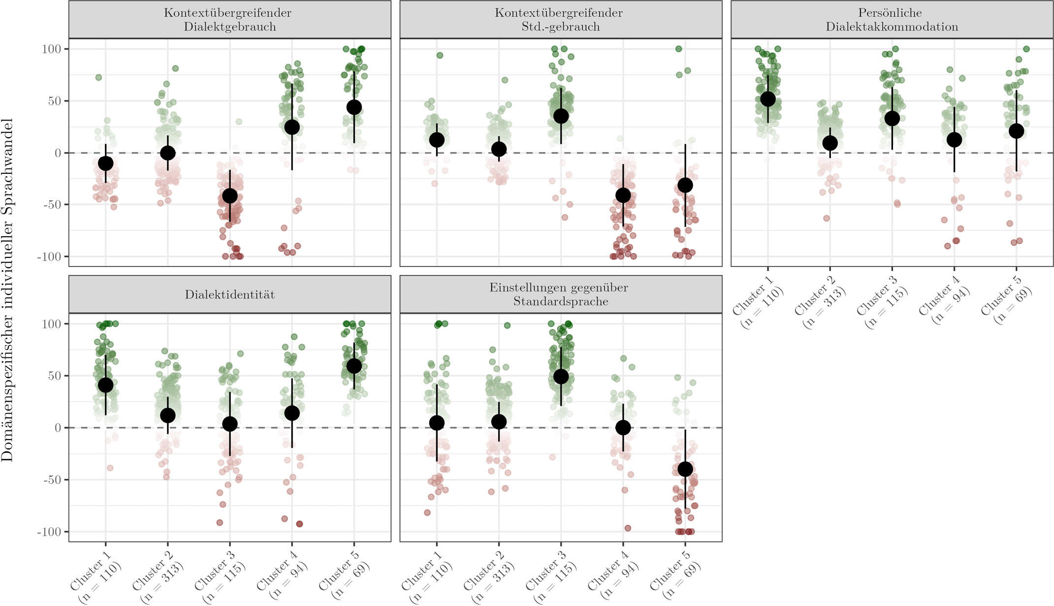
Abbildung 3 visualisiert die individuellen Wandeltendenzen in Abhängigkeit von den jeweiligen Clusterzuweisungen. Im Folgenden werden die clusterspezifischen Wandeltendenzen sowie die allgemeinen Charakteristika der Cluster beschrieben.
Cluster 1: stärkerer wahrgenommener Wandel bei affektiv-attitudinalen Faktoren, weniger Wandel im produktiven Repertoire
Cluster 1 umfasst 110 Proband:innen (ungefähr 16 % der Stichrobe), die sich vor allem dadurch auszeichnen, dass sie berichten, ihre Dialektakkommodation und Dialektidentität habe in Folge des MLEs zugenommen. Die Proband:innen im Cluster berichten hingegen bei den Einstellungen zur Standardsprache recht unterschiedliche Veränderungen, wobei der Mittelwert bei ungefähr 0 liegt, was insgesamt auf eine wahrgenommene Stabilität bei dieser attitudinalen Dimension hindeutet. Auch was die Wahrnehmungen zum Gebrauch von Dialekt und Standardsprache betrifft, scheinen die Proband:innen in Cluster 1 eher stabil zu bleiben; allenfalls berichten die Proband:innen etwas häufiger davon, in Folge des MLEs den Anteil des Dialektgebrauchs reduziert zu haben und dafür mehr Standardsprache zu gebrauchen.
In Cluster 1 befinden sich insgesamt 30 Männer, davon 17 mit einem tertiären Bildungsabschluss, und 80 Frauen, wovon 52 über einen tertiären Bildungsabschluss verfügen. Das durchschnittliche Alter beim MLE lag bei ungefähr 30 Jahren (Standardabweichung = 13,4).
Cluster 2: die Stabilen
Cluster 2 umfasst die meisten Proband:innen (n = 313), also fast die Hälfte der gesamten Stichprobe (45 %). Aus Abbildung 2 geht hervor, dass sich die Personen in diesem Cluster durch eine relativ starke Stabilität auszeichnen, und zwar sowohl in Hinblick auf den produktiven als auch den affektiv-attitudinalen Bereich. Trotz der recht großen Varianz bei den fünf Messungen gibt die Mehrheit dieser Proband:innen an, wenige bis keine Veränderungen im soziolinguistischen Repertoire als Folge der jeweiligen MLEs verzeichnet zu haben.
Dieses Cluster setzt sich aus insgesamt 86 Männern, 225 Frauen und zwei diversen Personen zusammen. Davon verfügen 60 Männer, 153 Frauen und beide diverse Personen über einen tertiären Bildungsabschluss. Das durchschnittliche Alter beim MLE liegt mit 36 Jahren (Standardabweichung = 15,1) etwas höher als bei Cluster 1.
Cluster 3: die Standardaffinen
Die Proband:innen in Cluster 3 sind durch eine verstärkte Hinwendung zur Standardsprache charakterisiert; Cluster 3 bildet dabei mit 115 Proband:innen (16 %) das zweitgrößte Cluster. Nahezu alle Proband:innen in diesem Cluster geben an, weniger Dialekt als Folge des jeweiligen MLEs zu verwenden und dafür stärker von der Standardsprache Gebrauch zu machen. Zudem gibt die Mehrheit der Personen im Cluster an, nach dem jeweiligen MLE mehr zu akkommodieren und positivere Einstellungen gegenüber der Standardsprache entwickelt zu haben. Die Varianz in Hinblick auf die Dialektidentität ist indes stark ausgeprägt, wobei der Mittelwert auf Stabilität bei dieser Wandeldomäne hindeutet.
Im Cluster 3 befinden sich 89 Frauen, 25 Männer und eine diverse Person. Dabei zeigt sich, dass die Personen in diesem Cluster durch eine hohe Bildung charakterisiert sind – so verfügen 68 Frauen und 21 Männer im Cluster über einen tertiären Bildungsabschluss. Im Durchschnitt waren die Proband:innen beim Erleben des jeweiligen MLEs 29 Jahre alt (Standardabweichung = 13,1).
Cluster 4: wahrgenommener Wandel im produktiven Repertoire, Stabilität bei affektiv-attitudinalen Faktoren
Die Proband:innen in Cluster 4 zeichnen sich durch einen ausgeprägten Wandel im produktiven Repertoire aus, wobei vor allem ein verstärkter Dialektgebrauch und dafür ein verminderter Standardgebrauch berichtet wird. Cluster 4 bildet mit 94 Proband:innen (13 %) das zweitkleinste Cluster der Cluster-Lösung. Bemerkenswerterweise erweisen sich die Proband:innen in diesem Cluster im Schnitt – trotz der starken wahrgenommenen Wandeltendenzen beim Standard- und Dialektgebrauch – in Bezug auf den affektiv-attitudinalen Bereich als eher stabil. Allerdings ist dabei auch eine große Varianz zwischen den Personen zu verzeichnen, insofern einige Proband:innen eine MLE-induzierte Abnahme bei den jeweiligen affektiv-attitudinalen Faktoren berichten, andere hingegen eine Zunahme.
Hinsichtlich der sozialen Zusammensetzung besteht Cluster 4 aus 32 Männern und 62 Frauen, wobei 21 Männer und 46 Frauen einen tertiären Bildungsabschluss vorweisen können. Das Alter beim MLE beträgt – ähnlich wie bei Clusters 2 – im Schnitt 37,5 Jahre (Standardabweichung = 15,3).
Cluster 5: die Dialektaffinen
Cluster 5 umfasst 69 Proband:innen (10 %) und bildet somit das kleinste Cluster. Die Proband:innen im Cluster zeichnen sich dadurch aus, dass sie nach dem Erleben des jeweiligen MLEs eine stärkere Dialektorientierung berichten und zwar sowohl im produktiven wie auch im affektiv-attitudinalen Bereich. So gaben die Proband:innen an, nach dem MLE ihren Dialektgebrauch erhöht und gleichzeitig den Standardgebrauch reduziert zu haben. Ein ähnliches Bild zeichnet sich auf der affektiv-attitudinalen Dimension ab: Die Mehrheit der Proband:innen gibt an, nach dem MLE eine stärkere Dialektidentität und zugleich negativere Einstellungen gegenüber der Standardsprache entwickelt zu haben. Nur in Hinblick auf die Dialektakkommodation gibt ein größerer Teil der Proband:innen kaum Veränderungen an, während andere angaben, entweder mehr oder – bei einigen wenigen Proband:innen – weniger zu akkommodieren.
Auffällig an der sozialen Zusammensetzung von Cluster 5 ist, dass Männer (n = 34) gegenüber Frauen (n = 35) vor dem Hintergrund der Zusammensetzung der Gesamtstichprobe überrepräsentiert sind. Weiters fällt auf, dass es sich dabei mehrheitlich um Männer ohne tertiären Abschluss (n = 20) handelt, während die Frauen überwiegend einen solchen aufweisen (n = 23). Das durchschnittliche Alter beim MLE lag – ähnlich wie bei Cluster 2 und 4 – bei 37 Jahren (Standardabweichung = 18,5).

Unterschiede beim wahrgenommenen individuellen Sprachwandel bei den fünf Clustern

Clusterzuweisungen aufgeteilt nach MLE
Ein näherer Blick auf die Zusammenhänge zwischen den MLEs und den fünf Clustern (Abbildung 4) zeigt, dass die meisten MLEs in allen fünf Clustern vorkommen. Allerdings werden einige übergreifende Tendenzen sichtbar: So sind die MLEs ‚Eintritt in den Ruhestand‘ und ‚Beginn einer neuen Freundschaft‘ stärker in den Clustern 4 und 5 vertreten, also in jenen beiden Clustern, in denen sich eher dialektaffine Proband:innen befinden. Dies ist nicht überraschend, schließlich gehen die beiden MLEs häufig damit einher, dass eine verstärkte Dialektorientierung angegeben wird. Insgesamt bestätigt sich aber, dass auch nach ein und demselben MLE unterschiedliche Wandeltendenzen wahrgenommen werden. Inwiefern sich diese durch die Clusterlösung abgebildeten unterschiedlichen Wandeltendenzen durch soziale Faktoren vorhersagen lassen, wird im folgenden Abschnitt näher analysiert.
4.2 Regressionsanalyse
Wie im Abschnitt 3.3 beschrieben, wurde ein Bayes’sches multinomiales Mehrebenenmodell berechnet, um die Clusterzuweisung als abhängige Variable (mit fünf Ebenen) mithilfe einer dreifachen Interaktion zwischen Geschlecht, Bildung und Alter beim MLE vorherzusagen. Seit ihren Anfängen (siehe Labov 1966) weist die soziolinguistische Forschung auf den ausgeprägten Einfluss von Geschlechter- und Bildungseffekten auf den Erwerb und Gebrauch soziolinguistischer Variation hin (vgl. etwa Labov 1990; Cheshire 2004; Tagliamonte 2012), wobei solche Effekte auch für Österreich nachgewiesen wurden (vgl. zum Überblick etwa Ender & Kaiser 2009). Auch Alter(n) erweist sich als ein wichtiger Faktor für sprachliche Veränderungen (vgl. etwa im Kontext von real-time-Studien Vergeiner et al. 2021). Dementsprechend gilt im Kontext der statistischen Modellierung zu überprüfen, inwiefern sich Unterschiede in Geschlecht und Bildung auf die wahrgenommenen Veränderungen im soziolinguistischen Repertoire auswirken, und ob diese Effekte etwa durch Alter moderiert sein könnten (wie etwa bei Wirtz, Pickl, Niehaus, Elspaß und Möller 2025 im Kontext der deutschen Alltagssprache festgestellt wurde).
Um festzustellen, ob es zwischen den Ausprägungen der kategorialen Variablen Unterschiede gibt, werden Bayes’sche Hypothesentests herangezogen. Dabei wird die Wahrscheinlichkeit errechnet, dass der Unterschied δ zwischen zwei Bedingungen (Männer vs. Frauen, kein tertiärer Bildungsabschluss vs. tertiärer Bildungsabschluss) größer als Null ist. Von einem signifikanten Unterschied wird erst dann ausgegangen, wenn (a) δ > 0 ist, (b) 0 nicht im 95 % highest density interval (HDI; das Bayes’sche Analogon zum Konfidenzintervall in herkömmlichen Verfahren) von δ enthalten ist, und (c) das Posterior P (δ > 0) nahe 1 liegt (d. h. ≥ 0.95).
Bayes’sche Modelle generieren eine Gesamtverteilung wahrscheinlicher Werte für jeden Effekt (die sogenannte ‚Posterior-Verteilung‘). Diese Verteilungen werden in Abbildung 5 in Form von vorhergesagten Wahrscheinlichkeiten für die jeweiligen Clusterzuweisungen in Abhängigkeit von Geschlecht (Abbildung 5a), Bildung (Abbildung 5b) und Alter beim MLE (Abbildung 5c) visualisiert. Höhere und steilere Spitzenwerte bei den density plots in Abbildungen 5a und 5b weisen auf wahrscheinlichere Werte hin. Oben rechts abgebildet werden bei 5a und 5b ebenfalls die Median-Unterschiede zwischen den zwei Ausprägungen der jeweiligen Variable, die HDI-Werte sowie die Wahrscheinlichkeiten, dass der Unterschied größer als 0 ist.
Konditionale Effekte von Geschlecht (Plot a), Bildung (Plot b) und Alter beim MLE (Plot c) auf die Wahrscheinlichkeit der Clusterzuweisungen
Anmerkung. Der Median-Unterschied bei Abbildung 5a und 5b wurde auf Basis der Differenz zwischen Frauen und Männern bzw. zwischen Personen mit tertiärer Bildung und Personen ohne solche errechnet. Positive Werte zeigen an, dass Frauen und Personen mit tertiärer Bildung eine höhere Wahrscheinlichkeit für die jeweilige Clusterzuweisung aufweisen, während negative Werte das Gegenteil anzeigen. Bei Abbildung 5c werden die z-Werte dargestellt, sodass die Skalen in Standardabweichungen interpretiert werden müssen – 0 repräsentiert den Mittelwert, 1 repräsentiert eine Standardabweichung über dem Mittelwert etc.
|
|
|
(a) |
|
|
|
(b) |
|
|
|
(c) |
Als Ergebnis zeigen sich bei den Clustern 3 und 5 (d. h. den standard- und dialektaffinen Proband:innen) signifikante Unterschiede in Abhängigkeit von Geschlecht und Bildungsgrad. Der stärkste Unterschied findet sich bei Cluster 5 in Abhängigkeit vom Geschlecht. Dabei haben Männer eine signifikant höhere Wahrscheinlichkeit (ca. 12 % erhöht), Cluster 5 und damit den Dialektaffinen zugewiesen zu werden. Umgekehrt haben Frauen eine circa 7 % höhere Wahrscheinlichkeit, Cluster 3 und damit den Standardaffinen zugerechnet zu werden. Ein ähnliches Bild ergibt sich bei den Effekten von Bildung auf die Clusterzuweisung: Personen ohne einen tertiären Bildungsabschluss haben eine 8 % höhere Wahrscheinlichkeit, dem dialektaffinen Cluster anzugehören, während Personen mit einem tertiären Abschluss circa 10 % wahrscheinlicher den Standardaffinen zuzurechnen sind.
In Hinblick auf die Alterseffekte zeigt sich der stärkste Trend bei Cluster 2, insofern Personen, die beim Erleben des MLE älter sind, wahrscheinlicher den Sprecher:innen zuzurechnen sind, die eine (weitgehende) Stabilität im Repertoire angeben. Auch für Cluster 3, das die standardaffinen Proband:innen bündelt, kann ein Alterstrend beobachtet werden, wobei ein höheres Alter beim MLE mit einer niedrigeren Wahrscheinlichkeit für die Zuweisung zu diesem Cluster einhergeht. Die Alterstendenzen bei den Clustern 1 und 4 scheinen gegenteilig zu verlaufen – ältere Proband:innen scheinen also nach dem jeweiligen MLE eher eine höhere Bereitschaft zur Akkommodation und eine stärker gewordene Dialektidentität (Cluster 1) sowie höhere Anteile beim Dialektgebrauch (Cluster 4) wahrzunehmen.
Abschließend sollen die Interaktionen zwischen diesen drei Faktoren beleuchtet werden, vgl. Abbildung 6. Der am stärksten ausgeprägte Effekt zeigt sich zwischen Alter, Bildung und Geschlecht bei Cluster 5 (d. h. bei den dialektaffinen Proband:innen). Dabei lässt sich festhalten, dass jüngere Männer ohne tertiären Bildungsabschluss am wahrscheinlichsten den Dialektaffinen zugewiesen werden. Auch wenn der Effekt deutlich schwächer ausgeprägt ist, deutet Abbildung 6 zugleich darauf hin, dass am wahrscheinlichsten jüngere Frauen ohne tertiären Abschluss Stabilität (Cluster 2) wahrnehmen.

Interaktionseffekte zwischen Geschlecht, Bildung und Alter beim MLE auf die Wahrscheinlichkeit der Clusterzuweisungen
5 Diskussion und Fazit
In der vorliegenden Studie wurden durch MLEs induzierte Veränderungen beim Gebrauch von und den Einstellungen zu Sprachvariation in Österreich untersucht. Dazu wurden die retrospektiven Perzeptionen (Selbstwahrnehmungen) von 701 Österreicher:innen mit Erstsprache Deutsch erhoben. Analysiert wurde, welche Typen des wahrgenommenen Wandels mithilfe einer Clusteranalyse erfasst werden können und welche Faktoren diese erklären können, wozu Bayes’sche Modelle errechnet wurden. In weiterer Folge sollen die wesentlichen Ergebnisse kurz zusammengefasst und diskutiert werden.
Die vorliegende Studie hat gezeigt, dass sich die Proband:innen entsprechend den von ihnen berichteten Veränderungen in Folge der jeweiligen MLEs in fünf Gruppen (Cluster) einteilen lassen; diese Gruppen repräsentieren unterschiedliche Typen des wahrgenommenen individuellen Sprachwandels. Zusammengefasst lassen sich die fünf Cluster wie folgt charakterisieren:
Cluster 1 umfasst Personen, die Stabilität im Sprachgebrauch bei gleichzeitigen Veränderungen im affektiv-attitudinalen Bereich berichten; die Personen geben dabei mehr Dialektidentität und Dialektakkommodation an.
Cluster 2 bündelt Proband:innen, die von Stabilität im produktiven wie auch affektiv-attitudinalen Bereich berichten.
Cluster 3 beinhaltet die „standardaffinen“ Proband:innen, die eine stärkere Hinwendung zur Standardsprache und eine Abwendung vom Dialekt im produktiven und affektiv-attitudinalen Bereich bekunden.
Cluster 4 umfasst Personen, die starke Änderung im produktiven Repertoire angeben; dabei kommt es zu einer verstärkten Hinwendung zum Dialekt und einer Abwendung von der Standardsprache; im affektiv-attitudinalen Bereich werden hingegen keine eindeutigen Veränderungen berichtet.
Cluster 5 beinhaltet schließlich die „dialektaffinen“ Proband:innen. Sie bekunden eine Hinwendung zum Dialekt im produktiven Bereich und eine stärkere Dialektidentität bei gleichzeitiger Reduktion des Standardgebrauchs und negativeren Einstellungen gegenüber der Standardsprache.
Wenn man die Selbstaussagen der Proband:innen auf tatsächliche Sprachwandeltendenzen bezieht, können die Cluster vor dem Hintergrund der in Kapitel 2.2 diskutierten Typen individuellen Wandels (vgl. u. a. Sankoff 2006, 2019; Bülow & Vergeiner 2021) sowie den in Kapitel 2.3 beschriebenen gesamt-gesellschaftlichen Wandeltendenzen in Österreich (Wandel hin zu mehr Standardsprachlichkeit; vgl. Lenz 2019) wie folgt interpretiert werden:
Bei den Proband:innen in Cluster 1 und Cluster 2 ist von wahrgenommener speaker stability auszugehen. Laut Sankoff (2006) stellt dies den am häufigsten zu beobachtbaren Wandeltyp dar, was von bisherigen Panelstudien – allerdings nur anhand kleiner Stichproben – bestätigt wird (etwa Ashby 2001; Oppermann & Siebenhaar 2023; Sankoff 2004, 2018; Wagner & Sankoff 2011; Zilles 2005). Insofern Cluster 2 fast 50 % der Stichprobe umfasst, und Cluster 1 und 2 zusammen beinahe 60 % des Samples ausmachen, stimmen auch die vorliegenden Befunde zum wahrgenommenen Sprachwandel mit der Annahme von Sankoff (2006) überein. Allerdings weist der Unterschied zwischen Cluster 1 und Cluster 2 darauf hin, dass zumindest wahrgenommene Stabilität im Sprachgebrauch nicht notwendigerweise mit wahrgenommener Stabilität in anderen Aspekten des Repertoires einhergeht. So geben die Proband:innen in Cluster 1 zwar an, ihren Sprachgebrauch in Folge des MLE nicht verändert zu haben, wohl aber ihre Einstellungen im affektiv-attitudinalen Bereich. Auch wenn Veränderungen in den verschiedenen Bereichen oft gemeinsam auftreten (Wirtz & Pickl 2025), weist dies darauf hin, dass bestimmte Aspekte des Repertoires Wandel unterworfen sein können, während andere stabil bleiben (vgl. etwa Beaman 2024; Sankoff 2018). Dieser Aspekt wird in bisherigen Typologien zum individuellen Sprachwandel noch unzureichend berücksichtigt.
Die Proband:innen aus Cluster 3 berichten eine verstärkte Orientierung zur Standardsprache, was dem gesamtgesellschaftlichen Trend entspricht (s. Abschnitt 2.1). Beim wahrgenommenen Wandel dieser Personen liegt somit lifespan change vor (vgl. etwa Brook et al. 2018). Bisherige Panelstudien zum Deutschen, primär zum Sprachwandel im schwäbischen Raum, weisen lifespan change als häufigste Art des individuellen Sprachwandels nach (etwa Beaman 2021, 2024). Die hier vorliegenden Ergebnisse deuten darauf hin, dass lifespan change auch in Österreich oft vorkommt.
Die Proband:innen aus Cluster 4 und Cluster 5 berichten indes von einer verstärkten Hinwendung zum Dialekt, was dem gesamtgesellschaftlichen Trend zuwiderläuft. Folglich lässt sich beim wahrgenommenen Sprachwandel dieser Personen von retrograde change sprechen. Bisherige Panelstudien aus Österreich (z. B. Bülow & Vergeiner 2021; Vergeiner et al. 2021) erbringen den Befund, dass retrograde change die häufigste Art des individuellen Sprachwandels über die Lebensspanne bei den untersuchten Sprecher:innen darstellt. Allerdings erscheint diese Art des Sprachwandels kontextübergreifend vergleichsweise selten zu sein (vgl. z. B. Beaman 2024), und sie wird oft mit dem Eintritt in den Ruhestand in Verbindung gebracht (etwa Grama et al. 2023; Mechler & Buchstaller 2019). Schließt man von den Wahrnehmungen der Personen auf den tatsächlichen Sprachgebrauch, deuten die Befunde dieser Studie an, dass die Tendenz zum retrograde change in Österreich vergleichsweise stark ausgeprägt ist, auch im Vergleich zu Studien aus anderen deutschsprachigen Dialektregionen (z. B. im Schwäbischen, Beaman 2021, 2024). Dabei belegt der Unterschied zwischen Cluster 4 und 5 übrigens wieder, dass wahrgenommenen Veränderungen im produktiven Bereich nicht zwangsläufig gemeinsam mit solchen im affektiv-attitudinalen Bereich auftreten müssen.
Letztlich zeigt die vorliegende Studie somit, dass die Mehrheit der Personen laut ihren Selbstwahrnehmungen eine große Stabilität im sprachlichen Repertoire aufweist, eine Minderheit der Proband:innen (ca. 40 %) kann aber auch anderen Sprachwandelarten zugewiesen werden; die Ergebnisse zum wahrgenommenen Sprachwandel stehen damit in Einklang mit Sankoff und Blondeau (2013, 262), wenn sie meinen:
although speaker stability in adult life seems to be the majority pattern, we frequently find a sizeable minority of speakers dramatically increasing their use of the innovative variant, with small minorities becoming more conservative as they age.
Zu berücksichtigen ist dabei natürlich, dass die vorliegende Methode das Ausmaß wahrgenommener individueller Veränderungen vermutlich eher überschätzt als unterschätzt – so dürften sich von der Umfrage eher solche Personen angesprochen gefühlt haben, die einen klaren Wandel in Folge eines bestimmten MLEs erlebt haben. Vor diesem Hintergrund ist der hohe Anteil an wahrgenommener speaker stability sogar überraschend.
Wie in Abschnitt 2.2 erläutert, ist es nicht ausreichend, individuelle Sprachwandeltendenzen nur zu beschreiben – sie müssen auch erklärt werden. So stellt etwa Beaman (2024, 12) die noch weitgehend unbeantwortete Frage:
what are the essential factors that cause some speakers to remain stable (speaker stability) and others to adapt, either in the direction of the community change (lifespan change) or against the change (retrograde change)?
In diesem Zusammenhang zeigt die vorliegende Studie zunächst, dass die Art eines MLEs den Typ der wahrgenommenen individuellen Veränderung zwar beeinflusst, aber keineswegs festlegt. Schließt man von den Wahrnehmungen der Proband:innen auf den tatsächlichen Wandel, scheinen MLEs individuellen Wandel auf verschiedene Art und Weise auslösen zu können. Dies stimmt mit der in der Psychologie vertretenen Annahme überein, dass MLEs Individuen sowohl in unterschiedlichem Ausmaß als auch auf unterschiedliche Art und Weise beeinflussen (etwa Bühler et al. 2023; Luhmann et al. 2021).
Die betrachteten demografischen Variablen erweisen sich als aussagekräftiger für die verschiedenen Typen des wahrgenommenen Wandels: Beispielsweise scheinen Frauen laut ihren Selbstwahrnehmungen eher zu lifespan change zu tendieren und damit eine stärkere Standardaffinität aufzuweisen, während Männer auf das jeweilige MLE ihren Antworten zufolge eher mit einer stärkeren Dialektaffinität und somit einem retrograde change reagieren. Auch der Bildungsgrad dürfte eine Rolle spielen: Personen mit höherer Bildung tendieren nach ihren Selbstwahrnehmungen stärker zum lifespan change infolge des MLE und damit zu einer verstärkten Hinwendung zur Standardsprache. Hervorzuheben ist, dass sich dabei auch Interaktionen zwischen den Variablen Alter, Bildung und Geschlecht beobachten lassen, insofern vor allem jüngere Männer (unter ca. 35) ohne tertiären Bildungsabschluss nach einem MLEs Sprachwandeltendenzen im Sinne eines retrograde change wahrnehmen.
Die vorliegende Studie konnte somit letztlich nicht nur den Nachweis für verschiedene Typen des wahrgenommenen individuellen Sprachwandels nach wesentlichen Lebensereignissen erbringen, sondern auch Erklärungsfaktoren für diese aufzeigen. Dabei wären natürlich auch weitere, stärker individuelle sprachbiographische Faktoren zu berücksichtigen (vgl. dazu u. a. Wirtz & Vergeiner 2025). Einschränkend ist außerdem anzumerken, dass die Befunde ausschließlich auf retrospektiven Perzeptionen (Selbstwahrnehmungen) beruhen. Auch wenn psychologische Studien Hinweise dafür erbringen, dass solche Perzeptionen mäßige bis starke Korrelationen mit tatsächlich beobachteten Veränderungen aufweisen (z. B. bei Persönlichkeitsfaktoren, vgl. Schwaba et al. 2023), steht ein solcher Nachweis im Bereich der Soziolinguistik noch aus.
Literatur
Ammon, Ulrich (1995): Die deutsche Sprache in Deutschland, Österreich und der Schweiz: das Problem der nationalen Varietäten. Berlin & New York: De Gruyter.10.1515/9783110872170Search in Google Scholar
Ashby, Williams (2001): Un nouveau regard sur la chute du ne en franc ̧ais parle ́ tourangeau: S’agit-il d’un changement en cours? French Language Studies 11(1). 1–22.10.1017/S0959269501000114Search in Google Scholar
Bailey, Guy, Tom Wikle, Jan Tillery & Lori Sand (1991): The apparent time construct. Language Variation and Change 3(1). 241–264.10.1017/S0954394500000569Search in Google Scholar
Beaman, Karen V. (2021): Identity and mobility in linguistic change across the lifespan: The case of Swabian German. In Arne Ziegler, Stefanie Edler & Georg Oberdorfer (Hrsg.), Urban matters: Current approaches of international sociolinguistic research (Studies in Language Variation 27), 27–60. Amsterdam: John Benjamins.10.1075/silv.27.02beaSearch in Google Scholar
Beaman, Karen V. (2024): Language Change in Real- and Apparent-Time: Coherence in the Individual and the Community. New York: Routledge.10.4324/9781003267331Search in Google Scholar
Bellamy, John (2012): Language Attitudes in England and Austria: A Sociolinguistic Investigation into Perceptions of High and Low-Prestige Varieties in Manchester and Vienna. Stuttgart: Franz Steiner Verlag.10.25162/9783515102919Search in Google Scholar
Birdsong, David, Libby Gertken & Mark Amengual (2012): Bilingual Language Profile: an Easy-to-Use Instrument to Assess Bilingualism. COERLL, University of Texas at Austin. https://sites.la.utexas.edu/bilingual/.Search in Google Scholar
Bowie, David (2005): Language change over the lifespan: A test of the apparent time construct. University of Pennsylvania Working Papers in Linguistics 11(2). 45–58.Search in Google Scholar
Bowie, David (2010): Aging and sociolinguistic variation. In Anna Duszak & Urszula Okulska (Hrsg.), Aging and sociolinguistic variation, 29–52. Berlin & New York: De Gruyter Mouton.10.1515/9783110238112.2.29Search in Google Scholar
Brook, Marisa, Bridget L. Jankowski, Lex Konnelly & Sali A. Tagliamonte (2018): ‘I don’t come off as timid anymore‘: Real-time change in early adulthood against the backdrop of the community. Journal of Sociolinguistics 22(4). 351–374. doi:10.1111/josl.12310.10.1111/josl.12310Search in Google Scholar
Buchstaller, Isabelle (2015): Exploring linguistic malleability across the life span: Age-specific patterns in quotative use. Language in Society 44(4). 457–496. doi:10.1017/S0047404515000391.10.1017/S0047404515000391Search in Google Scholar
Bühler, Janina Larissa, Ulrich Orth, Wiebke Bleidorn, Elisa Weber, André Kretzschmar, Louisa Scheling & Christopher J. Hopwood (2023): Life Events and Personality Change: A Systematic Review and Meta-Analysis. European Journal of Personality 1–25. doi:10.1177/08902070231190219.10.1177/08902070231190219Search in Google Scholar
Bülow, Lars & Philip C. Vergeiner (2021): Intra-individual variation across the lifespan: Results from an Austrian panel study. Linguistics Vanguard 7(s2). 1–11. doi:https://doi.org/10.1515/lingvan-2020-0026.10.1515/lingvan-2020-0026Search in Google Scholar
Bülow, Lars, Philip C. Vergeiner & Dominik Wallner (i. Er.): Change of language attitudes in real time. Results from the Ulrichsberg Project in Austria. In Karen Beaman & Isabelle Buchstaller (Hrsg.), Panel Research: Methodological Challenges, Practices and Ways Forward. Routledge: London.Search in Google Scholar
Bürkner, Paul-Christian (2017): brms: An R Package for Bayesian Multilevel Models Using Stan. Journal of Statistical Software 80(1). 1–28.10.18637/jss.v080.i01Search in Google Scholar
Chambers, Jack K. (2008): Sociolinguistic theory: Linguistic variation and its social significance. 3rd ed. New Jersey: Blackwell.Search in Google Scholar
Chambers, Jack K. & Peter Trudgill (1998): Dialectology. Cambridge: Cambridge University Press.10.1017/CBO9780511805103Search in Google Scholar
Cheshire, Jenny (2004): Sex and Gender in Variationist Research. In Jack K. Chambers, Peter Trudgill & Natalie Schilling-Estes (Hrsg.), The Handbook of Language Variation and Change, 423–443. John Wiley & Sons, Ltd.10.1002/9780470756591.ch17Search in Google Scholar
Cheshire, Jenny, Sue Fox, Paul Kerswill & Eivind Torgersen (2008): Ethnicity, friendship network and social practices as the motor of dialect change: Linguistic innovation in London. Sociolinguistica 22(1). 1–23. doi:10.1515/9783484605299.1.10.1515/9783484605299.1Search in Google Scholar
Cillia, Rudolf de (2018): Sprache(n) im Klassenzimmer. Varietätengebrauch und Spracheinstellungen in der Schule aus Sicht der Lehrer/innen und der Schüler/innen. In Monika Dannerer & Peter Mauser (Hrsg.), Formen der Mehrsprachigkeit. Sprachen und Varietäten in sekundären und tertiären Bildungskontexten, 67–85. Tübingen: Stauffenburg.Search in Google Scholar
De Decker, Paul (2006): A real-time investigation of social and phonetic changes in post-adolescence. University of Pennsylvania Working Papers in Linguistics 12(2). 65–76.Search in Google Scholar
Downes, William (1998): Language and society. Cambridge: Cambridge University Press.Search in Google Scholar
Eckert, Penelope (1997): Age as a sociolinguistic variable. In Florian Coulmas (Hrsg.), The handbook of sociolinguistics, 151–167. Oxford: Blackwell.10.1002/9781405166256.ch9Search in Google Scholar
Elspaß, Stephan & Stefan Kleiner (2019): Forschungsergebnisse zur arealen Variation im Standarddeutschen. In Joachim Herrgen & Jürgen Erich Schmidt (Hrsg.), Sprache und Raum. Ein internationales Handbuch der Sprachvariation. (Handbücher zur Sprach- und Kommunikationswissenschaft 30.4), vol. 4: Deutsch. Unter Mitarbeit von Hanna Fischer und Brigitte Ganswindt, 159–184. Berlin & Boston: De Gruyter.10.1515/9783110261295-006Search in Google Scholar
Ender, Andrea & Irmtraud Kaiser (2009): Zum Stellenwert von Dialekt und Standard im österreichischen und Schweizer Alltag – Ergebnisse einer Umfrage. Zeitschrift für germanistische Linguistik 37(2). 266–295. doi:https://doi.org/10.1515/ZGL.2009.018.10.1515/ZGL.2009.018Search in Google Scholar
Fanta-Jende, Johanna (2023): Individuelle Sprachrepertoires und vertikale Spektren des Deutschen in Österreich. Phonetisch-phonolgische Variation auf der DIalekt-Standard-Achse. University of Vienna (= Unpublished Dissertation).Search in Google Scholar
Grama, James, Johanna Mechler, Lea Bauernfeind, Mirjam E. Eiswirth & Isabelle Buchstaller (2023): Post-educator relaxation in the U-shaped curve: Evidence from a panel study of Tyneside (ing). Language Variation and Change 35(3). 325–350. doi:10.1017/S0954394523000194.10.1017/S0954394523000194Search in Google Scholar
Harrington, Jonathan & Mary Stevens (2014): Cognitive processing as a bridge between phonetic and social models of sound change. Laboratory Phonology 5(1). 1–8. doi:10.1515/lp-2014-0001.10.1515/lp-2014-0001Search in Google Scholar
Harrington, Jonathan, Sallyanne Palethorpe & Catherine Watson (2000): Monophthongal vowel changes in Received Pronunciation: an acoustic analysis of the Queen’s Christmas broadcasts. Journal of the International Phonetic Association 30(1–2). 63–78. doi:10.1017/S0025100300006666.10.1017/S0025100300006666Search in Google Scholar
Hazan, Valerie (2017): Speech communication across the life span. Acoustics Today 13(1). 36–43.Search in Google Scholar
Kassambara, Alboukadel (2017): Practical Guide To Cluster Analysis in R. STHDA.Search in Google Scholar
Kritzler, Sarah, Andrew Rakhshani, Sophia Terwiel, Ina Fassbender, M Brent Donnellan, Richard E Lucas & Maike Luhmann (2023): How are common major life events perceived? Exploring differences between and variability of different typical event profiles and raters. European Journal of Personality 37(2). 171–186. doi:10.1177/08902070221076586.10.1177/08902070221076586Search in Google Scholar
Kwon, Soohyun (2018): Phonetic and phonological changes of Noam Chomsky: A case study of dialect shift. American Speech 93(2). 270–297.10.1215/00031283-6926146Search in Google Scholar
Labov, William (1966): The social stratification of English in New York City. Washington, DC: Center for Applied Linguistics.Search in Google Scholar
Labov, William (1972): Sociolinguistic Patterns. Philadelphia: University of Pennsylvania Press.Search in Google Scholar
Labov, William (1990): The intersection of sex and social class in the course of linguistic change. Language Variation and Change 2(1). 205–254.10.1017/S0954394500000338Search in Google Scholar
Labov, William (1994): Principles of linguistic change, vol. I: Internal factors. Oxford: Wiley-Blackwell.Search in Google Scholar
Lenneberg, Eric H. (1967): Biological foundations of language. New York: John Wiley and Sons.10.1080/21548331.1967.11707799Search in Google Scholar
Lasagabaster, David (2004): Attitude / Einstellung. In: Ammon, Ulrich / Norbert Dittmar / Klaus J. Mattheier / Peter Trudgill (Hg.): Sociolinguistics. An international handbook of the science of language and society. Volume 1. Berlin/New York: De Gruyter, 399–405.Search in Google Scholar
Lenz, Alexandra N. (2019): Bairisch und Alemannisch in Österreich. In Joachim Herrgen & Jürgen Erich Schmidt (Hrsg.), Deutsch: Sprache und Raum – Ein Internationales Handbuch der Sprachvariation, 318–363. 4. edn. Berlin & Boston: De Gruyter.10.1515/9783110261295-011Search in Google Scholar
Levshina, Natalia (2015): How to do linguistics with R. Data exploration and statistical analysis. Amsterdam & Philadelphia: Benjamins.10.1075/z.195Search in Google Scholar
Luhmann, Maike, Ina Fassbender, Mark Alcock & Peter Haehner (2021): A dimensional taxonomy of perceived characteristics of major life events. Journal of Personality and Social Psychology 121(3). 633–668. doi:10.1037/pspp0000291.10.1037/pspp0000291Search in Google Scholar
MacKenzie, Laurel (2017): Frequency effects over the lifespan: a case study of Attenborough’s r’s. Linguistics Vanguard 3(1) doi:10.1515/lingvan-2017-0005.10.1515/lingvan-2017-0005Search in Google Scholar
Mechler, Johanna & Isabelle Buchstaller (2019): [In]stability in the use of a stable variable. Linguistics Vanguard 5(s2). 1–13. doi:10.1515/lingvan-2018-0024.10.1515/lingvan-2018-0024Search in Google Scholar
Mechler, Johanna, James Grama, Lea Bauernfeind, Mirjam Eiswirth & Isabelle Buchstaller (2022): Towards an Empirically-based Model of Age-graded Behaviour: Trac(ing) linguistic malleability across the entire adult life-span. University of Pennsylvania Working Papers in Linguistics 28(2). 101–110.Search in Google Scholar
Oppermann, Simon & Beat Siebenhaar (2023): What’s That Phthong? Automated Classification of Dialectal Mono-and Standard Diphthongs. In Radek Skarnitzl & Jan Volín (Hrsg.), Proceedings of the 20th International Congress of Phonetic Sciences – ICPhS 2023, 3637–3642. Guarant International.Search in Google Scholar
Pfenninger, Simone E., Julia Festman & David Singleton (2023): Second Language Acquisition and Lifelong Learning. New York & London: Routledge.10.4324/9781003168935Search in Google Scholar
Prichard, Hilary & Meredith Tamminga (2012): The impact of higher education on Philadelphia vowels. University of Pennsylvania Working Papers in Linguistics 18(2). 87–95.Search in Google Scholar
R Core Team (2020): R: A language and environment for statistical computing. R Foundation for Statistical Computing. Vienna, Austria.Search in Google Scholar
Rakhshani, Andrew, Richard E. Lucas, M. Brent Donnellan, Ina Fassbender & Maike Luhmann (2022): Personality Traits and Perceptions of Major Life Events. European Journal of Personality 36(4). 683–703. doi:10.1177/08902070211045825.10.1177/08902070211045825Search in Google Scholar
Reubold, Ulrich & Jonathan Harrington (2015): Disassociating the effects of age from phonetic change: A longitudinal study of formant frequencies. In Annette Gerstenberg & Anja Voeste (Hrsg.), Language development: The lifespan perspective, 9–38. Amsterdam: John Benjamins.10.1075/impact.37.02reuSearch in Google Scholar
Reubold, Ulrich & Jonathan Harrington (2018): The Influence of Age on Estimating Sound Change Acoustically From Longitudinal Data. In Suzanne Evans Wagner & Isabelle Buchstaller (Hrsg.), Panel Studies of Variation and Change, 129–151. London: Routledge.10.4324/9781315696591-6Search in Google Scholar
Riverin-Coutlée, Josiane & Jonathan Harrington (2022): Phonetic change over the career: a case study. Linguistics Vanguard 8(1). 41–52. doi:10.1515/lingvan-2021-0122.10.1515/lingvan-2021-0122Search in Google Scholar
Sankoff, David & Suzanne Laberge (1978): The linguistic market and the statistical explanation of variability. In David Sankoff (Hrsg.), Linguistic variation: models and methods, 239–250. New York: Academic Press.Search in Google Scholar
Sankoff, Gillian (2004): Adolescents, young adults, and the critical period: Two case studies from „Seven Up“. In Carmen Fought (Hrsg.), Sociolinguistic variation: Critical reflections, 121–139. Oxford: Oxford University Press.10.1093/oso/9780195170399.003.0008Search in Google Scholar
Sankoff, Gillian (2005): Cross-sectional and longitudinal studies in sociolinguistics. In Peter Trudgill (Hrsg.), Sociolinguistics: An international handbook of the science of language and society, 1003–1013. Berlin: De Gruyter.10.1515/9783110171488.2.7.1003Search in Google Scholar
Sankoff, Gillian (2006): Age: Apparent time and real time. In Keith Brown (Hrsg.), Encyclopedia of language and linguistics, vol. 1, 110–116. 2. edn. Amsterdam: Elsevier.10.1016/B0-08-044854-2/01479-6Search in Google Scholar
Sankoff, Gillian (2018): Language change across the lifespan. Annual Review of Linguistics 4(1). 297–316.10.1146/annurev-linguistics-011817-045438Search in Google Scholar
Sankoff, Gillian (2019): Language change across the lifespan: Three trajectory types. Language 95(2). 197–229. doi:10.1353/lan.2019.0029.10.1353/lan.2019.0029Search in Google Scholar
Sankoff, Gillian & Hélène Blondeau (2007): Language Change across the Lifespan: /r/ in Montreal French. Language 83(3). 560–588.10.1353/lan.2007.0106Search in Google Scholar
Sankoff, Gillian & Hélène Blondeau (2013): Instability of the [r] ∼ [ʀ] alternation in Montreal French: An exploration of stylistic conditioning in a sound change in progress. In Lorenzo Spreafico & Alessandro Vietti (Hrsg.), Rhotics. New data and perspectives, 249–265. Bozen-Bolzano: Free University of Bozen-Bolzano Press.Search in Google Scholar
Scheuringer, Hermann (1990): Sprachentwicklung in Bayern und Österreich. Eine Analyse des Substandardverhaltens der Städte Braunau am Inn (Österreich) und Simbach am Inn (Bayern) und ihres Umlandes. Hamburg: Buske.Search in Google Scholar
Scheutz, Hannes (1985): Strukturen der Lautveränderung. Variationslinguistische Studien zur Theorie und Empirie sprachlicher Wandlungsprozesse am Beispiel des Mittelbairischen von Ulrichsberg/Oberösterreich. Wien: Braumüller.Search in Google Scholar
Schwaba, Ted, Jaap Denissen, Maike Luhmann, Chris Hopwood & Wiebke Bleidorn (2023): Subjective experiences of life events match individual differences in personality development. PsyArXiv. doi:10.31234/osf.io/veztu.10.31234/osf.io/veztuSearch in Google Scholar
Shapp, Allison, Nathan LaFave & John Victor Singler (2014): Ginsburg v. Ginsburg: A longitudinal study of regional features in a Supreme Court Justice’s speech. University of Pennsylvania Working Papers in Linguistics 20(2). 149–158.Search in Google Scholar
Soukup, Barbara (2009): Dialect use as interaction strategy. A sociolinguistic study of contextualization, speech perception, and language attitudes in Austria. Wien: Braumüller.Search in Google Scholar
Staples, Shelley & Douglas Biber (2015): Cluster analysis. In Luke Plonsky (Hrsg.), Advancing Quantitative Methods in Second Language Research, 243–274. London: Routledge.10.4324/9781315870908-11Search in Google Scholar
Steinegger, Guido (1998): Sprachgebrauch und Sprachbeurteilung in Österreich und Südtirol, Ergebnisse einer Umfrage. Frankfurt a. M. et al.: Peter Lang.Search in Google Scholar
Steiner, Carina, Péter Jeszenszky & Adrian Leemann (2023a): From pasta zu pHizza. Variation and change in VOT in Swiss German. Proceedings of ICPhS 3015–3019.Search in Google Scholar
Steiner, Carina, Péter Jeszenszky & Adrian Leemann (2023b): Variation and change in Swiss German agreement morphology: Spatial, social, and attitudinal effects. Journal of Linguistic Geography 11(1). 8–24. doi:10.1017/jlg.2022.12.10.1017/jlg.2022.12Search in Google Scholar
Steiner, Carina, Péter Jeszenszky, Viviane Stebler & Adrian Leemann (2023): Extraverted innovators and conscientious laggards? Investigating effects of personality traits on language change. Language Variation and Change 35(1). 1–28. doi:10.1017/S0954394523000091.10.1017/S0954394523000091Search in Google Scholar
Tagliamonte, Sali (2012): Variationist Sociolinguistics: Change, Observation, Interpretation. Malden & Oxford: Wiley-Blackwell.Search in Google Scholar
Trinh, Thanh T. G., Kees de Bot & Marjolijn H. Verspoor (2024): A DLF Case Study: The Dynamics of Writing Development in Adulthood. Language Teaching Research Quarterly 39. 256–280. doi:https://doi.org/10.32038/ltrq.2024.39.17.10.32038/ltrq.2024.39.17Search in Google Scholar
Vergeiner, Philip C. (2022): Variation und Wandel des postvokalischen r. Zum intra- und interdialektalen Levelling in Österreich. Taal en Tongval 74 (2). 215–246.10.5117/TET2022.2.003.VERGSearch in Google Scholar
Vergeiner, Philip C., Dominik Wallner, Lars Bülow & Hannes Scheutz (2021): Redialektalisierung und Alter. Ergebnisse einer real-time-Studie zum age-grading in Ulrichsberg. In Helen Christen, Brigitte Ganswindt, Joachim Herrgen & Jürgen Erich Schmidt (Hrsg.), Regiolekt – Der neue Dialekt? Akten des 6. Kongresses der Internationalen Gesellschaft für Dialektologie des Deutschen (IGDD) (Zeitschrift für Dialektologie und Linguistik 182), 101–122. Stuttgart: Franz Steiner Verlag.Search in Google Scholar
Wagner, Suzanne Evans (2008): Language change and stabilization in the transition from adolescence to adulthood. University of Pennsylvania (= PhD Thesis).Search in Google Scholar
Wagner, Suzanne Evans (2012a): Age Grading in Sociolinguistic Theory. Language and Linguistics Compass 6(6). 371–382. doi:10.1002/lnc3.343.10.1002/lnc3.343Search in Google Scholar
Wagner, Suzanne Evans (2012b): Real-time evidence for age grad(ing) in late adolescence. Language Variation and Change 24(2). 179–202. doi:10.1017/S0954394512000099.10.1017/S0954394512000099Search in Google Scholar
Wagner, Suzanne Evans & Gillian Sankoff (2011): Age grading in the Montréal French inflected future. Language Variation and Change 23(3). 275–313. doi:10.1017/S0954394511000111.10.1017/S0954394511000111Search in Google Scholar
Wirtz, Mason A. (im Druck). Individual differences in perceived linguistic change following life-course transitions in the personal domain. Journal of Germanic Linguistics.Search in Google Scholar
Wirtz, Mason A. & Philip C. Vergeiner. (2025). Lebensereignisse im Bildungsbereich als Erklärung für individuellen Sprachwandel. Zeitschrift für Angewandte Linguistik 82(1). 172–206. https://doi.org/10.1515/zfal-2025-2006.10.1515/zfal-2025-2006Search in Google Scholar
Wirtz, Mason A. & Simon Pickl. (2025). Major life events as drivers of perceived linguistic change across adulthood. Language Variation and Change 37(1). 87–110. https://doi.org/doi:10.1017/S095439452400019X.10.1017/S095439452400019XSearch in Google Scholar
Wirtz, Mason A., Simon Pickl & Simone E. Pfenninger. (2025). Individual differences in event experiences and psychosocial factors as drivers for perceived linguistic change following occupational major life events. Open Linguistics 11(1). 1–24. https://doi.org/10.1515/opli-2024-0037.10.1515/opli-2024-0037Search in Google Scholar
Wirtz, Mason A., Simon Pickl, Konstantin Niehaus, Stephan Elspaß & Robert Möller. (im Druck). Reconciling the social and spatial: An apparent-time analysis of variation intensity in colloquial German. Journal of Linguistic Geography.Search in Google Scholar
Wirtz, Mason A., Simon Pickl, Konstantin Niehaus, Stephan Elspaß & Robert Möller. (2025). Gebrauchsstandard in der deutschen Alltagssprache: Eine integrative Modellierung räumlicher und sozialer Variation. Zeitschrift für Germanistische Linguistik 5(1). 97–125. https://doi.org/10.1515/zgl-2025-2003.10.1515/zgl-2025-2003Search in Google Scholar
Zilles, Ana M. S. (2005): The development of a new pronoun: The linguistic and social embedding of a gente in Brazilian Portuguese. Language Variation and Change 17(1). 19–53. doi:10.1017/S0954394505050027.10.1017/S0954394505050027Search in Google Scholar
Anhang

Individueller Sprachwandel unter einer Zwei-Cluster-Lösung
© 2025 bei den Autorinnen und Autoren, publiziert von Walter de Gruyter GmbH, Berlin/Boston
Dieses Werk ist lizenziert unter der Creative Commons Namensnennung 4.0 International Lizenz.
Articles in the same Issue
- Titelseiten
- Aufsätze
- Typen des individuellen Sprachwandels nach wesentlichen Lebensereignissen
- Klassische Textsortengliederung und quantitativ ermittelte Textgruppen in der frühen Neuzeit: ein Vergleich
- Bericht
- Agency: Handlungsmächtigkeit in Interaktion(en). Tagungsbericht zum 73. Treffen des Arbeitskreises Angewandte Gesprächsforschung (21.–22.11.2024)
- Ressourcen
- Zur Entstehung und Erschließung der bislang größten Lernerkorpus-Datenbank des Deutschen: Ein Bericht aus dem DAKODA-Projekt
Articles in the same Issue
- Titelseiten
- Aufsätze
- Typen des individuellen Sprachwandels nach wesentlichen Lebensereignissen
- Klassische Textsortengliederung und quantitativ ermittelte Textgruppen in der frühen Neuzeit: ein Vergleich
- Bericht
- Agency: Handlungsmächtigkeit in Interaktion(en). Tagungsbericht zum 73. Treffen des Arbeitskreises Angewandte Gesprächsforschung (21.–22.11.2024)
- Ressourcen
- Zur Entstehung und Erschließung der bislang größten Lernerkorpus-Datenbank des Deutschen: Ein Bericht aus dem DAKODA-Projekt


