Abstract
Lignocellulosic biomass is considered an attractive and most abundant renewable carbon feedstock. Hydroxymethylfurfural (HMF) is one of the platform molecules obtained from biomass. HMF transformation in the reductive atmosphere allows to obtain numerous value-added molecules with applications in several recently emerged sectors, e.g. biofuels and biopolymers. This process is still intensively investigated, and more efficient, stable and sustainable solutions are envisaged. Therefore, the choice of efficient analytical methods is of great importance. This review covers the methodologies used for the analysis of HMF hydrodeoxygenation, including chromatographic and spectrometric methods. Techniques such as gas chromatography, high-performance liquid chromatography, Fourier transform infrared spectroscopy, nuclear magnetic resonance, and mass spectrometry are mentioned as well in this review.
1 Introduction
Lignocellulosic biomass is considered the most abundant source of renewable carbon. Taking into account the depletion of the fossil fuel reserves, biomass constitutes a very attractive sustainable carbon feedstock. In the last decade, we could observe an increasing interest in the development of bio-based processes allowing to reach high yields of newly emerged products like biofuels or various platform molecules [1, 2, 3, 4, 5]. Those processes provide new, more advanced functionality of biomass-derived raw materials, which is often allowed by precisely tailored oxygen content [6].
Following this, 5-hydroxymethylfurfural (HMF) has since the last decade of the 19th century been considered a valuable platform molecule, which is broadly illustrated in excellent reviews on this topic [7, 8, 9, 10]. It is obtained from lignocellulosic biomass via a multi-step reaction, with acid hydrolysis of lignocellulose being the first step, followed by dehydration of glucose or fructose in the presence of acid catalysts (Scheme 1). Due to the higher selectivity, fructose is considered as the preferred source allowing to obtain high HMF yield. [11].

Synthesis of HMF from biomass.
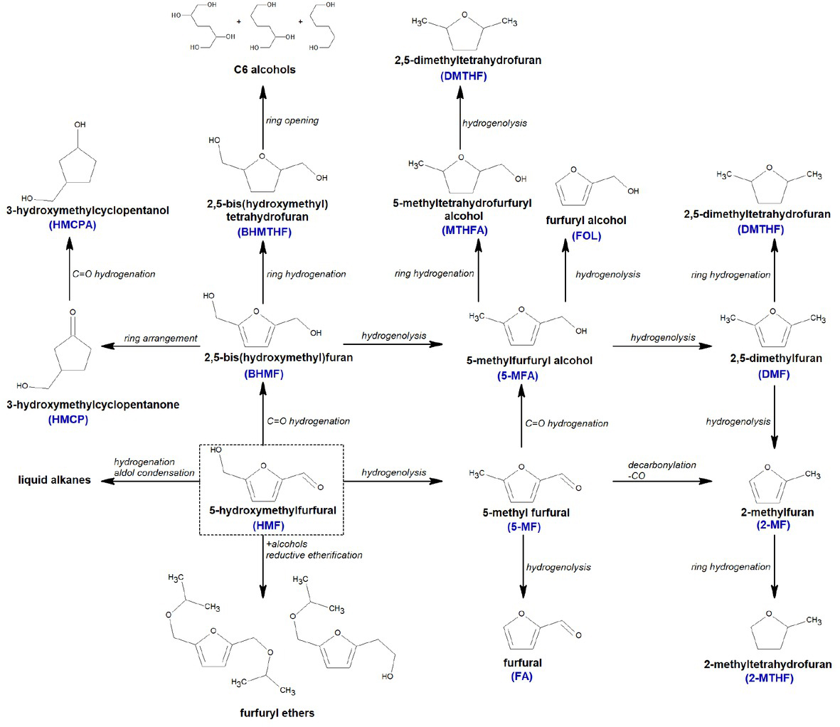
Thanks to the high functionalization of HMF, i.e. both hydroxyl and carbonyl groups in its structure, it possesses a high potential to be catalytically transformed to multiple industrially relevant products of both oxidation [12,13] and reduction reactions [7]. Particularly its hydrodeoxygenation provides a series of added-value molecules possessing a wide range of applications. Among the products of the HMF reductive transformation (Scheme 2) there are 2-methyltetrahydrofuran (2-MTHF), known as an appealing eco-friendly aprotic ether solvent and biofuel additive, 2,5-bishydroxymethylfuran (BHMF), a potential substrate for biopolymer production [14,15], or 2,5-dimethylfuran (DMF), a biofuel [16], among others.

Conversion of HMF to valuable chemicals.
As illustrated in Scheme 2, HMF transformation in the reductive atmosphere involves several processes like hydrogenation of the C-O bond, hydrogenation of the furan ring, C−O hydrogenolysis, or polymerization. The selectivity of this reaction strongly depends on the reaction conditions, including the catalyst used [8]. This process is still intensively investigated, and more efficient, stable and sustainable solutions are envisaged. The vast potential of this reaction is however partly overshadowed by analytical difficulties which are often faced by researchers. The bottlenecks are associated with the closure of the carbon balance for all reaction products, their separation and identification.
HMF hydrodeoxygenation products can be of high complexity. Therefore, specific, comprehensive, and robust analytical methodologies need to be used in order to understand the transformation pathways of this process and to work out new, more efficient solutions. This review concentrates on presenting various analytical methods and their potential, as to the best of our knowledge the analytical challenges of this process are omitted in most of the papers. Although high-resolution chromatographic techniques are fundamental for the characterization of HMF value-added reaction products, they are not exclusive. This work provides an overview of the current state of the art, the main challenges that still need to be addressed, and improvements concerning more robust, sustainable and efficient separation processes.
2 HMF separation from cellulose/ sugars
The most conventional methods of HMF synthesis include acid‐catalyzed dehydration of monosugars obtained from biomass. HMF is obtained from fructose rather than glucose because the ring structure of glucose is more stable and therefore fructose reacts faster [17]. Water is usually used as a reaction solvent, although unfortunately it accelerates the consecutive side reactions and consumes HMF. It is worth noting that the formation of HMF by sugar dehydration is a complicated process due to the possibility of many side reactions. As a result of decomposition of fructose in water at high temperatures, isomerization, dehydration or condensation products may be formed. That is why the process is usually carried out in a biphasic system in order to extract HMF from the aqueous phase or aprotic organic solvents like dimethylsulfoxide (DMSO). The used organic solvent reduces the HMF degradation and the formation of by-products such as soluble polymers or humines, among others [18]. The most commonly used solvents include ethyl acetate, diethyl ether, and ionic liquids or methyl isobutyl ketone (MIBK) [19, 20, 21, 22]. In literature, there are also numerous examples of efficient use of biphasic systems for direct HMF production from sugars. Biphasic system MIBK/H2O together with different zeolite catalysts was used for the HMF production and its efficiency was much higher in comparison to water only [23,24]. Biphasic THF/H2O systems modified with NaCl together with FePO4 and NaH2PO4 as catalysts show a potential as an efficient solvent system as well [25]. Advanced approach related to the design of a biphasic reactor system composed of the aqueous phase modified with DMSO, combined with an organic extracting phase composed of MIBK–2-butanol mixture or dichloromethane (DCM) was shown by the group of Dumesic. By using the modified conditions tuned for the specific feedstock this reactor allows to obtain HMF with good selectivities at high conversions, independently of the feedstock [26].
Another approach includes environmentally friendly solvents like 2-MTHF, γ-valerolactone (GVL) or 1-butanol are considered as good bio renewable, sustainable alternative solvents, as they are effective, stable, and reasonably cheap [27].
3 Analytical techniques used for the analysis of HMF conversion products
HMF hydrodeoxygenation has been continuously explored in the literature. In order to avoid side reactions, the selectivity to the main products is tuned by the change of reaction conditions (temperature, pressure, hydrogen source, solvent) and the use of proper catalysts. A large group of catalysts is based on noble metals (Pd, Au, Pt, Ru) [7,8]. Non-noble metal-based catalysts are more appealing due to lower cost and availability, but harsher experimental conditions are generally required in their presence [28]. Electro- and photo-assisted approaches to catalytic hydrogenation are examples of a greener methodology found in the literature. Competitive side reactions, which are often co-catalyzed by the same system or are also sensitive to the experimental conditions, are however difficult to avoid. In turn, this requires complex analytical systems. This section is divided into two parts and will be related to the analysis of the reaction products by gas and liquid chromatography, Fourier transforms infrared spectroscopy and nuclear magnetic resonance spectroscopy.
4 Gas and liquid chromatography
For several decades, gas chromatography (GC) has been one of the most popular techniques for the detection, identification and separation of volatile and semi-volatile analytes, in complex, including biomass-related samples [29,30]. GC usually concentrates on the volatile organic species with lower polarity and lower boiling point (<350°C) [31].
Different detectors are applied in GC analysis due to the different resolutions and sensitivities to specific molecules. For instance, GC–MS is rather established as a semi-quantitative tool, for which the limitation is additionally related to its lack of capability of direct analysis of nonvolatile or polar compounds.
In the case of highly polar analytes, a derivatization step is usually required in order to increase both volatility and thermal stability of the analyzed species. This procedure can increase the detector response by incorporating functional groups which lead to higher detector signals and in consequence to improved GC separation performances [32,33]. Multiple derivatization reactions like silylation, alkylation, or acylation can be used to mask the polar functional groups [34].
Several different derivatizing procedures are used in the case of the HMF analysis. They are mostly based on the formation of silylated derivatives with the use of different reagents. Among the derivatizing reagents examined, N,O-bis-trime- thylsilyltrifluoroacetamide (BSTFA) provided very good deri- vatization yields, while those examples are usually limited to food analysis [35].
The strong advantage of GC-MS is related to the high reproducibility of the generated mass spectra using electron impact ionization (EI). EI is a hard ionization process that results in the production of very reproducible mass spectra independently of the instrument used – in consequence, it allows the use of broad EI-mass spectral libraries [36]. EI fragmentation can be however sometimes too powerful and extensive so that softer ionization techniques such as chemical ionization (CI) can enhance the detection of molecular ion-based species.
Flame ionization detectors (FID) are most commonly used. Due to their broad detection limits, they can measure organic substance concentration at very low (10−13 g/s) and very high levels, having a linear response range of 107 g/s. Here the analysis strongly depends on the column choice and methodology applied, as the separation depends on the interaction of the substances with the stationary phase in the chromatography column. One of the important features of GC column is the kind of its active phase. Interaction between solutes and stationary phases decides about the separation of different solute molecules. For typical stationary phases like polysiloxanes and polyethylene glycols, three factors are crucial: dispersion, dipole-dipole interaction and hydrogen bonding interaction. The presence of the dipole-dipole interaction can enhance the separation of solutes like in the case of polyethylene glycols phase. The stationary phases that undergo dipole-dipole interactions also undergo hydrogen bonding interactions that also strongly influence the separation. The latter interaction is present when there is hydrogen bonding between the solute molecules and the stationary phase. Another key issue is the column polarity, which can strongly affect the separation of the solutes. For the molecules of similar volatility, higher retention time is obtained for the molecules possessing similar polarity to the polarity of the stationary phase [37]. In the broad range of presented examples (Table 1), FID was the most commonly used and high-polarity columns (like WAX) with the polyethylene glycol polymer phase were often applied. They are known to be good in the separation of many nonhalogenated organics, free C1-C26 fatty acids, alcohols, diols including glycols, and many other chemicals with different nature. When it comes to the subject of this review, the product identification efficiency depends on many factors, of which one of the most important is the selectivity of HMF hydrodeoxygenation reaction and therefore the number of products to analyze, and their difference in volatility. There are some limited examples where only one GC detector was used for analysis (FID) [38,39] and for selective reactions with the presence of only a few products (HMF, DMF, BHMF, 5-MFA) without many impurities it proved fully sufficient, practically allowing to close the carbon balance of the reaction [40, 41, 42]. However, where a wide range of by-products is present, FID is often combined with MS detector or NMR spectroscopy analysis, which allow the structure confirmation [42, 43, 44, 45, 46, 47, 48] and therefore more complete detection. This combined technique allows to nearly fully identify and quantify all reaction products [40,46,49]. An interesting example of analysis is described in the work of Chimentão et al. [41] with the use of GC-MS equipped with a β-dex column containing permethylated β-cyclodextrin embedded in an intermediate-polarity stationary phase. Those types of phases are recommended for analysis of chiral compounds like ketones, alkanes, alkenes, alcohols, acids, ethers, etc. Performing the mass spectrometry allowed to compare the mass spectral patterns (m/z) of the compounds in the reaction mixture. The most intense peaks in the mass spectrum (notably m/z: 97 and 126 for HMF, 128 and 97 for BHMF, 56 and 41 for DMTHF, 96 and 95 for DMF) allowed to identify HMF and the reaction products [41]. Analytics was as well established in detail way in the work of Gyngazova et al. [50]. The study focused on understanding the reaction kinetics of HMF hydrogenation. Thanks to the identification of products (2-MF, 5-MFA, DMTHF, BHMF, BHMTHF and 2-MTHF) in a presence of different solvents by GC-FID with CP-Wax 57, the authors [50] understand the reaction network and explained that it proceeds via the hydrogenation of HMF aldehyde group to form BHMF and the subsequent conversion of BHMF to 5-MFA, followed by its to DMF. Side reactions include the formation of BHMTHF and DMTHF. The proposed analysis did not allow however to close the carbon balance. This could be caused by polymeric side reaction products in the reaction mixture which could not be analyzed by the current device [50].
GC analysis of the reaction products of HMF hydrodeoxygenation with the use of polar columns
Detector | Column | Internal standard | Typical GC operating conditions and additional comments | Hydrogen source for HMF conversion | Carbon balance analysis | Reaction products to be analyzed | Reference |
---|---|---|---|---|---|---|---|
FID | DB-WAX capillary column (30.0m×250 µm×0.25 µm) | Tridecane | The injector temperature 250 °C, and the column temperature was increasing from 100 to 150 °C with a ramp rate of 5 °C min-1. | Hydrogen | Up to around 4% of non-identified products | HMF, DMF, BHMF, 5-MFA, others mainly include DMTHF, tetrahydrofuran (THF) and C-C cracking products. | [38,39] |
FID MS | DB-WAXetr (FID) DB -WAX and non-polar HP-5MS (MS) | n-propylbenzene | For the analysis of GC and GC-MS, the initial column temperature was set to 40 °C and kept for 2 min, then, the column temperature was elevated to 100 °C at 5 °C min-1 and kept for 2 min, after the temperature was further elevated to 250 °C at 10 °C min-1 and kept for 4 min | Methanol, ethanol, n-propanol, i-propanol, n-butanol, sec-butanol Isopropanol, hydrogen | From 2% to 20% of non-identified products | HMF, BHMF DMF, 5-MF, BHMF, MFM (5-methyl-2-furanmethanol), 2-MF, 5-MF, HA, FOL, MFM | [52, 53, 54, 55, 56, 57, 58] |
FID MS | DB-WAXetr column (30 m x 250 µm x 0.25 µm)(FID) and non-polar TR-5 MS (15 m x 250 µm x 0.25 µm) (MS) | no | For GC-MS and GC analyses the initial column temperature was 40 °C held for 4 min, followed by heating at a rate of 10 °C min-1 to 360 °C with a hold time of 2 min. | Isopropanol | From around 8% to 24% of non-identified products | HMF, BHMF, 2,5-bis(isopropoxymethyl)-furan (BPMF) | [59,60] |
FID MS | DB-WAXetr 60 x 0.25 mm i.d., 0.25 µm film thickness capillary column was employed in both cases. | no | 1H and 13C NMR used as complementary technique - | Hydrogen | 100% identified products | HMF, BHMF | [36] |
FID | HP-Innowax, capillary column 30 m x 0.25 mm, 0.25 µm film thickness | no | - | 1-Propanol Hydrogen | Up to around 5%-56% of non-identified products | HMF, DMF, DMTHF, HA, HD, 2-hexanone | [48,61,84] |
FID MS | HP-Innowax capillary column (30 m x 0.25 mm, 0.25 µm film thickness (FID) HP-Innowax column (MS) | Cyklohexanone | Hydrogen; n-butyl alcohol; 1-propanol; Ethanol; toluene | Up to around 5%- 35% non-identified products | HMF, DMF, HD, 2-MF, 5-MF, MTHFA, DMTHF, HA, HD, monoether-furfural alcohol (EFA) and 2-hexanone | [43, 44, 45, 46, 47, 48, 49] | |
FID MS | Wax pillar column (film thickness: 0.25 µm, internal diameter: 0.25 mm, length: 30 m) | no | The temperature of the vaporization chamber: 250 °C, the temperature of the column: maintained at 50 °C for 3 min and then increased to 250 °C at 10 °C min-1 | Hydrogen | Most of the products are identified. Between 10- 75 % of non-quantified products | HMF, 5-MF, DMTHF, BHMF, 2,5-diformyl furan (DFF) | [65] |
FID MS | 1.SUPELCO-WAX 10 capillary column (30 m × 0.32 mm × 0.25 µm)(FID) 2.HP-5MS column (MS) | Tridecane | injector = 270 °C; TFID = 280°C; flow(N2) = 1 mL min-1. The following method was used: 40 °C for 2 min, 20 K min-1 ramp to 260 °C and hold for 3 min. | Hydrogen | Up to around 10% of non-identified products | HMF, DMF, BHMF, DMTHF | [42] |
FID MS | TC-WAX or a slightly polar - Inert Cap 5 capillary column was used for the separation (FID) | no | - | Hydrogen | Up to around 16% of non-identified products | HMF, THFA, FOL, tetrahydro furfural (THF2A), BHMTHF, BHMF, THFA | [62] |
FID | CP-Wax 57 CB | 1-heptanol | Injection volume 1.0 mL, inlet temperature 250°C, detector temperature 250°C, split flow 50 ml min-1, column flow 1.5 ml min-1 He. The initial column temperature was 50°C (5 min) with a temperature rise of 12°C min-1 and a final temperature of 200°C (30 min). | Hydrogen, 1-butanol, 1- phenyloethanol, 2- phenyloethanol, 1-phenyl-1-propanol, 3- phenyl-1-propanol | - | HMF, BHMF, 5-MFA, DMF, DMTHF, BHMTHF | [50] |
FID | β-dex column (length 30 m, diameter 225 µm, film thickness 0.25 µm) | no | The temperature of the GC injector was fixed at 513 K with the column detector at 533 K. The oven temperature was set at 363 K for 6 min followed by heating (10 K min-1) up to 443 K and finally this temperature was kept for 30 min. | Hydrogen, | Up to around 1% of non-identified products | HMF, BHMF, DMTHF, DMF | [41] |
FID | DM-FFAP capillary column | Toluene | - | - | Up to around 10% of non-identified products | HMF, DFF, BHMF | [63] |
FID | Restek RTX-1701 mid polarity capillary column 60 x 0.25 mm i.d. and 0.25 µm film | Toluene or decane | The temperature of the injector and detector were set at 250°C and 285°C, respectively. The programmed temperature starts from 40°C (10 min) and is then increased up to 250°C with a heating rate of 10 °C min-1. | Hydrogen, Ethanol, isopropanol, 2-methyltetrahydrofural, cyclopentyl methyl ether, methyl isobutyl carbinol | Up to around 21% of non-identified products | HMF, DMF, DMTHF, MFM, 5-MF, ether 2-(ethoxymethyl)-5-methylfuran (EMMF), BHMF, BHMTHF, HD, 1,2-hexanediol | [64] |
Also, in the work of Li et al., a very detailed GC-MS analysis did not allow to close the carbon balance [57]. When THF was used as a solvent, different unidentified peaks with high molecular weights of ca. 200-250 could be identified in the GC-MS spectrum. Only HMF dimer with a molecular weight of 190 was identified, suggesting that a polymerization catalyzed by the Lewis acidity of the Fe catalysts can take part. Therefore, it was concluded that the Lewis-acid-catalyzed polymerization formed humins and other polymers, that could not be identified by GC-MS.
The side products resulting from HMF polymerization products during the hydrogenation reaction were however analyzed in the work of the group of Sun et al. [65] thanks to the use of fluorescence spectrometer. In this work, the reaction network was examined in detail and the liquid reaction products were analyzed with a GC–MS with a Wax pillar column. GC-MS spectra allowed to identify the majority of the products, although not all were analyzed in the quantitative manner [65]. Among the factors that increase the number of by-products, the authors included side reactions like polymerization, dehydration and the furan ring opening, that can be co-catalyzed by the presence of acid/basic sites in the used catalyst.
On the other hand, there are several examples where non-polar or low-polarity columns, like HP-5, or AB-5 with (5%-phenyl)-methylpolysiloxane, or CP-Sil 5 containing 100% dimethylpolysiloxane phase, are used (Table 2). Those columns are quite popular for general purposes in a broad range of applications. Their advantage is the high temperature limit. When a small number of reaction products were observed [66], the carbon balance was nearly fully closed. Of course, typical internal standards (e.g. tetradecane, tridecane, or naphthalene) were often used to improve the quantitative analysis of the products. Typically, an MS detector with EI ionization or even liquid chromatography was used for improved analysis [67,68].
GC analysis of the reaction products of HMF hydrodeoxygenation with the use of non-polar or low polarity columns
Detector | Column | Internal standard | Typical GC operating conditions and additional comments | Hydrogen source for HMF conversion | Carbon balance analysis | Reaction products to be analyzed | Ref. |
---|---|---|---|---|---|---|---|
FID | HP-5 capillary column, 30.0 m × 320 µm × 0.25 μm | Tetradecane, Tridecane, or Naphthalene | Injector port temperature, 250 °C; detector temperature, 300 °C; and oven temperature, starting at 60 °C and rising to 230 °C at 20 °C min-1 | Hydrogen or Formic acid | Up to 41% of not identified products | HMF, DMF, 5-MF,5- MFA, BHMF, DMTHF FA, BHMTHF, MTHFA | [70, 71, 72, 73] |
FID | HP-5 capillary column | Naphthalene | Injector and detector temperatures of 240 and 280 °C, respectively; oven temperature programmed from 60°C (keeping for 1 min) to 100 °C at a rate of 5°C min-1, then raised to 270°C (keeping for 2 min) at a rate of 10°C min-1 HPLC- UV used as a complementary technique | Hydrogen | Up to around 25% of non-identified products | BHMF | [74] |
FID MS | HP-5 capillary column (30 m x 0.32 mm x 0.25 µm) | Tridecane | Initial column temperature of 40°C was held for 2 min, and then, the temperature was ramped at 5 °C min-1 until 100 °C was reached and held for 2 min; after that, the temperature was ramped at 10 °C min-1 until 250 °C was reached and held for 2 min. | Hydrogen Formic acid, hydrogen, 2-propanol | Up to around 7-36% | HMF, DMF, 2-MF, 5-MF, BHMF, 5-MFA, HD, FOL, HA, THFA, 2,5-hexanediol | [69,75,76] |
FID MS TCD | HP-5 capillary column (30 m x 0.32 mm x 0.25 µm) (FID) HP-5 capillary column (MS) Porapak Q column (3 m x 3 mm) (TCD) | no | - | Hydorgen, n-butanol | Up to around 20% of non-identified products – | 1. HMF, DMF, DMTHF, BHMF, 5-MFA 2. Others 3. Gaseous products | [68] |
FID MS TCD | KB-5 capillary column (30.0 m x 0.32 µm x 0.25 µm) (FID) 30 m HP-5 (0.25 mm internal diameter) (MS) Agilent 7890A - CP-7429 (TCD) | no | Injector port temperature 533 K, column temperature and initial temperature 323 K (3 min), gradient rate 10 K min-1, final temperature 493 K (2 min), (FID) Column temperature was maintained at 333 K for 15.2 min (TCD) | Methanol | Up to around 66% of non-identified products | HMF, DMF | [67] |
FID MS | HP-5MS capillary column (0.25 mm in diameter, 30 m in length) | Dodecane | Hydrogen | Up to around 4% of non-identified products | HMF, DMF, DMTHF, 5-MFA | [66] | |
FID | HP-5MS collumn | Naphthalene | The GC oven was held at a controlled temperature of 303 K for 1 minute and then increased to 358 K with a temperature gradient of 10 K min-1. This temperature was held for 2 minutes and then increased to 423 K with a temperature gradient of 10 K min-1 and hold for 10 minutes | Hydrogen 2-propanol | - | HMF, DMF, FOL, 5-MF, 5-MFA, DFF | [77,78] |
FID | GC AB-5 capillary column with dimension of 30 m x 0.25 mm x 0.5µm | - | The initial oven temperature was held at 50 °C and increased up to 180 °C with the ramp of 10 °C min-1, and further increased up to 280 °C with the ramp of 5 °C min-1 and hold for 2 min. | 2-propanol Hydrogen | Up to around 25%-39% of non-identified products | HMF, DMF, BHMF, 5-MFA, FOL, 2-MF | [79,80] |
FID MS | CP SIL 5 CB column (60 m, i.d. = 0.32 mm, Film = 5 µm) FID) CP-WAX 57 CB (25 m, ID = 0.25 mm)(MS) | - | - | Butan-2-ol, hydrogen | Up to around 30% of non-identified products | HMF, 2-butanone, 5-MF, 2-(sec- butoxymethyl)-5-methylfuran, hydroxymethyl furfural ether), dihydroxymethyl furan ether, dihydroxymethyl furan diether | [81] |
FID MS | CP Sil 8 CB capillary column (30 m length, 0.25 mm diameter) | n-decane | - | Hydrogen | Up to around 20% of non-identified products | HMF, DMF, BHMF, MFA, DMTHF | [82] |
FID MS | 1. GC FID DB-5 capillary column of dimension 0.25 mm ID x 0.25 µm x 30 m 2. GC-MS 30 meter DB-5 capillary column (250 µm i.d. x 0.25 µm film thickness) | - | 1. Injection volume 1.0 mL, inlet temperature 250°C, detector temperature 250°C, and a split ratio 1:5. The initial column temperature was 50°C (2 min) with a temperature rise of 10°C min-1 and the final temperature was 300°C 2. The initial column temperature was set at 35°C (for 3 min) and programmed to 280°C at 10.0°C min-1. The flow rate was typically set at 1 mL min-1. The injector temperature was set at 250°C. | Hydrogen | Up to around 10% of non-identified products | 1. HMF, DMF, BHMF, 2. MTHFA, HD | [83] |
A very interesting example is provided in the work of Hu et al. [69] showing a detailed analysis of by-products provided by the use of GC-FID with HP-5 column, with confirmation of the DMF structure by GC-MS and NMR and FT-IR. Moreover, the authors established a detailed separation procedure of DMF from the by-product mixture (2,5-hexanedione (HD), 2-hexanol (HA), FOL and tetrahydrofurfuryl alcohol (THFA)) based on distillation and fractionation. This allowed to obtain 98.9% purity of the final product (DMF). Additionally, the structure of all the reaction products was confirmed by GC-MS analysis, which allows to propose a plausible mechanism of the reaction [69].
In order to increase the sustainability aspect, the reaction is frequently performed with internal hydrogen source like formic acid. In this case for closing the carbon balance, it is obligatory to use a thermal conductivity detector (TCD) for analyzing the gaseous substances, like in the work of Zhang et al. [67] and Yu et al. [68]. Three GC detectors FID, MS, TCD were used for the analysis of the HMF conversion products in the hydrogenation with Ni-Fe catalysts with the use of different solvents. Besides the typical reaction products HMF, BHMF, 5-methyl-2-furanmethanol (MFM), DMF, and DMTHF, as well as the starting material, the authors identified different ethers, products of decarbonylation and ring-opening product, and humins [68].
In some cases, the presence of large amounts of non-analyzed products is related to several factors. Firstly, often the research focuses only on the key molecules obtained in high yield [84], whereas the analysis of side products is omitted. Another reason is the complexity of the analysis itself. In the HMF valorization under hydrogen atmosphere, the by-products are of similar chemical properties, particularly volatility, which can make the analysis difficult. Additionally, by-products are present in small quantities in comparison to the main reaction product. On the other hand, side reactions lead to various kinds of products, e.g. polymers or C1-C2 compounds present in the gas phase. The C1 products can also be formed when another, the more sustainable hydrogen source is used, e.g. formic acid. Its non-selective decomposition can produce CO and CH4 [85] that even in small quantities can poison the catalyst used for the HMF hydrodeoxygenation. This requires the use of complex analysis tools, including several techniques.
Liquid chromatography is more frequently used for the analysis of the compounds possessing lower vapor pressure, lower thermal stability and higher polarity or samples where water was used as a solvent. However, its limitations include the lower resolution or sensitivity of the columns to different impurities related to the catalyst leaching to the reaction solvent. Various HPLC detectors have been used for analyte characterization. Detectors based on the absorption of light in the ultraviolet and visible ranges are the most common, as they respond to a wide variety of compounds with satisfactory sensitivity. The same holds for the photodiode array detector (PDA) since besides producing a typical chromatogram it can deliver the UV/VIS scan of every component.
There are some examples shown in Table 3 of HPLC analysis with the use of standard UV-VIS or PDA detectors, that typically were performed with a gradient of two solvents [86,87]. Due to the complexity of the reaction mixture, this analysis was usually limited to the identification of two reaction products [86]. Otherwise, examples, where HPLC with UV-VIS is a dominant analytical technique, are scarce. More typically, the UV-VIS detector was used in combination with other techniques. The refractive index detector (RID) thanks to its simplicity of analysis is often applied. It has a broad range of analyzed products but does not respond well to very low concentrations of measured samples, cannot be used in a gradient of solvents and as a result does not allow to provide information about the reaction products obtained with the lower yield.
HPLC analysis of the reaction products of HMF hydrodeoxygenation
Detector | Column | Eluent | Other complementary techniques | Hydrogen source for HMF conversion | Carbon balance | Reaction products to be analyzed by HPLC | Ref. |
---|---|---|---|---|---|---|---|
PDA | Eclipse XDB-C18 (4.6mmx250 mm, 5 µm) (reversed-phase HPLC) | Acetonitrile/0.4% (NH4)2SO4 solution (10:90, v/v) with the flow rate of 0.6 mL min-1. | - | - | Up to around 18 % of non-identified products | HMF, BHMF 5- hydroxymethyl-2-furancarboxylic acid (HMFCA) retention times of HMFCA, BHMF and HMF were 6.1, 8.3 and 9.9 min, | [86] |
RID UV (280 nm) | Aminex HPX-87H (Bio-Rad, Richmond, CA) | GC-FID (BHMF; HP-5 column (30mx0.320mmx0.25 µm) using naphthalene as internal standard) GC-MS (by-products) | Polymethylhydrosiloxane (PMHS) | Up to around 23% of non-identified products | HMF | [94] | |
UV | Bio-Rad Aminex HPX-87 H prepacked column | Diluted solution of H2SO4 (0.0005 M) in water | Hydrogen, Methanol | Up to around 34% of non-identified products | HMF, BHMF, BHMTHF | [88] | |
UV RID | Shodex Sugar SH-1011 103 (300 x8 mm) | H2SO4 (0.005 M) water solution and a flow rate of 0.5 mL min-1 Column temp 50°C | LC-MS | Hydrogen | Up to around 2% of non-identified products | UV detector (284 nm) for determination of HMF Refractive index (RI) detector for determination of BHMF, DHMTHF and hexanetriol (HT) | [93] |
RID | Shodex SP0810 | Water Column temp 30°C/50°C | GC-MS | 1-butanol | Up to around 65% of non-identified products | BHMF, 5-MF, DMF, 2,5-dimethyl-2,3-dihydrofuran | [95] |
RID | C18 column | GC-FID DB-wax capillary column (Other products analyzed: 5-MF, 5-methyl-2-furanmethanol, ring-opening rearrangement products, etherification products) | Hydrogen, ethanol | Up to around 43% of non-identified products | HMF, BHMF | [89] | |
RID | Aminex HPX 87-H (Bio-Rad) with Sugar SH1011 (Shodex) | 0.5 mM H2SO4 column temp 85°C | LC-MS | surface-adsorbed hydrogen atoms are generated electrochemically from water or proton reduction, | - | HMF, DHMF, DHMTHF, 2,5-dimethyl-2,3-dihydrofuran | [90] |
UV (250 nm) | C18 column (4.6 mm inner diameter) | methanol/ water gradient was used as eluent (A: 30% methanol; B: 90% methanol; linear gradient from 100% A to 100% B in 5 min.) | GC-FID AT 6890 N gas chromatograph equipped with a 30 m DB-1 column and a flame ionization detector (FID) | 2-propanol, hydrogen | Up to around 20 % of non-identified products | HMF, (E)-4-[5-(hydroxymethyl) furan-2-yl]but-3-en-2-one, (1E, 4E)-1,5-bis[5-(hydroxymethyl) furan-2-yl]penta-1,4-dien-3-one | [87] |
UV (265 nm) | C18 column | 1%o aqueous acetic acid solution and pure acetonitrile. The volume ratio of them was 80:20. Column temp 30°C | GC-MS DB-35MS column | Formic acid | - | HMF, MF | [91] |
IR | Hi-Plex H | GC-FID with Suprawax 280 capillary column DMF and other products in the liquid product stream | Hydrogen | Up to around 80% of non-identified products | HMF | [97] | |
IR | Hi-Plex H | GC-FID with Suprawax 280 capillary column DMF and other products in the liquid product Stream | 1-butanol, hydrogen | Up to around 80% of non-identified products | HMF | [96] | |
PDA ( 284 nm for the identification of HMF) and (223 nm for the identification of BHMF) | Cortecs T3 2.4 µm (4.6 x 100 mm) | Gradient elution in three steps: isocratic conditions for 6 minutes, with eluent composed of CH3CN/H2O 10/90 v/v ratio; gradient elution for 5 minutes until a CH3CN/H2O 50/50 elution ratio was obtained; gradient elution for 4 minutes until a CH3CN/H2O 70/30 elution ratio was obtained. The flow rate was 0.7 mL min-1. Column temp 30°C | GC-MS capillary column HP5, composed by (5%-Phenyl)-methylpolysiloxane. ESI-MS | surface-adsorbed hydrogen atoms are generated electrochemically from water or proton reduction, | - | HMF, BHMF | [92] |
However, when combined with UV-VIS and additionally GC, GC-MS and LC-MS [93,94], it allows to nearly close the carbon balance of obtained products.
The use of LC-MS combined with GC-MS and H1 NMR was described in the work of Sun et al. and allowed to describe and understand the reaction mechanism of MF formation which occurred via esterification and hydrogenolysis, rather than decarboxylation reaction [91].
The potential of RID is often used for the analysis of sugars that are the HMF precursors or reaction impurities or by-products [94,95]. For complementarity of analysis it is often combined with GC [94] or with MS detector, allowing broader identification of the products [83]. A detailed study concerning analytical procedures of hydrogenolysis of 5-hydroxymethylfurfural towards 5-methylfurfural is shown by Sun et al. [91] who present clear examples of HPLC-MS of HMF, FFMF ((5-formylfuran-2-yl)methyl formate and 5-MF and GC-MS of the HMF over hydrogenation products, combined also with NMR analysis. HPLC with UV-VIS also clearly shows that the product distribution was worked out elegantly. The authors however concentrated mainly on the main reaction product 5-MF, limiting the analysis of other products to the qualitative aspect. To complete the overview, the analysis of C1 gaseous products of the formic acid decomposition would be desirable.
Besides the necessary complete analysis of gaseous or liquid products formed during the hydrodeoxygenation of HMF, we would like to emphasize that an extended analysis of the reaction products might also request to investigate the deposition with a time of solid or polymeric carbonaceous products at the surface of the catalyst. Indeed, while this might help in closing the carbon balance, this also influences the catalytic performance with potential impact on both conversion and selectivity patterns, as well as on stability and reusability issues. Whether academic or industrial investigations are concerned, it is worth keeping always in mind that the criteria for selecting the adequate analytical tool should include the analysis time. Indeed, due to the high number of products with close functions, the analysis might remain time-consuming when a good chromatographic product separation is desired.
5 Fourier transform infrared spectroscopy (FTIR) and Nuclear magnetic resonance spectroscopy (NMR)
Another technique worth describing is Fourier transform infrared spectroscopy (FTIR), which is frequently applied in the qualitative and quantitative analysis of organic substances [30]. The mid-infrared region is particularly used to reveal the presence of various functional groups in molecules, thanks to their characteristic absorption bands. Bands around 3050 cm−1 are commonly attributed to C-H stretching vibrations indicating the presence of aliphatic hydrocarbons. Bands around 3300–3400 cm−1 correspond to O-H stretching vibrations suggesting the presence of carboxylic acids or alcohols. Bands in the region of 1450 and 1600 cm−1 show C=C stretching vibrations indicating the presence of aliphatic or aromatic structure. Finally, bands at 1600 and 1800 cm−1 are attributed to the presence of C=O groups, whereas bands between 1000 and 1100 cm−1 are assigned to C-O stretching vibrations which can indicate the presence of e.g. ethers, alcohols or carboxylic acids.
In the HMF hydrodeoxygenation there are only very limited examples of the application of this method [96,97] and additionally, they are supported by other techniques like GC. HPLC with IR detector was used for HMF determination whereas all other products of hydrogenolysis of HMF were analyzed by GC (Table 4).
NMR analysis of the reaction products of HMF conversion.
Technique | NMR as Prevailing analytical technique | Other complementary techniques | Hydrogen source | Reaction Products to be analyzed | Analytical Device | Solvent for analysis | Typical shifts δ/ppm | Ref. |
---|---|---|---|---|---|---|---|---|
1H NMR | yes | No | surface-adsorbed hydrogen atoms are generated electrochemically from water or proton reduction, | BHMF | 1H NMR frequency 400 MHz | 90% H2O and 10% D2O. Acetonitrile was used as an internal standard | HMF peaks at 9.37, 7.45, and 6.59 ppm. BHMF peaks at 6.28 ppm. | [99] |
1H NMR | yes | No | surface-adsorbed hydrogen atoms are generated electrochemically from water or proton reduction, | BHMF | 1H NMR frequency 400 MHz | 90% H2O and 10% D2O | HMF peaks at 9.36, 7.45, and 6.59 ppm. BHMF peaks at 6.24 and 4.45 ppm | [98] |
1H NMR | yes | HSQC HPLC GC-MS 13C-NMR | surface-adsorbed hydrogen atoms are generated electrochemically from water or proton reduction, | HD DMF 5-MF | 1H NMR frequency 400 MHz | 90% H2O and 10% D2O 0.2 M sulfate buffer solution (pH 2.0) | (HMF peaks at 9.35, 7.43, and 6.57 ppm. HD peaks at 2.71 and 2.12 ppm. HHD peaks at 4.31, 2.78, 2.59, and 2.24 ppm. 5-MF peaks at 9.21, 7.40, 6.32, and 2.32 ppm. | [100] |
1H NMR 13C NMR | no | 1H NMR 400 MHz, 13C NMR 100 MHz | CDCl3 | 1H NMR HMF peaks at 7.34 (s, 2H), 9.86 (s, 2H); 13C NMR 119.23 (2C), 154.23 (2C), 179.24 (2C). | [101] | |||
1H NMR | no | GC | hydrogen | DMF | 500 MHz | CDCl3 | Np | [102] |
1H NMR 13C NMR | no | GC-MS GC-FID | hydrogen | HMF and 1-hydroxyhexane-2,5-dione (HHD) in order to obtain HHD/HMF molar ratio | - | - | - | [103] |
Carbon 13C NMR and hydrogen 1H NMR allow both qualitative and quantitative analysis of chemical structures. They are however used marginally, and their potential is mainly used for confirmation of the structure functionality and purity rather than the analysis of the reaction product range. The existing examples where this technique is used solely for following the reaction performance are limited to the analysis of one reaction product [98].
The concentration of HMF and BHMF, the product of its electrochemical or photoelectrochemical hydrogenation in water was estimated thanks to hydrogen NMR by the group of Roylance et al. [98] and Zhang et al. [99]. The measurements were performed using acetonitrile as an internal standard, and 90% H2O and 10% D2O were used as a solvent. 1H signal originating from water was removed by the water suppression method. Then the respective 1H NMR peaks allowed to determine the selectivity to the main reaction product and the HMF conversion. The identification of other possible reaction products was however omitted.
Another interesting example where the NMR technique was efficiently exploited for analysis was also used in the case of electrochemical reduction of HMF to HD, a hydrated derivative of DMF, which can be used for the production of terephthalic acid for polyethylene terephthalate (PET) [100]. Here the analysis of other main reaction products was also performed. In all those examples water was used as a reaction medium, often with the presence of inorganic salts working as a buffer, which could be potentially problematic for other chromatographic techniques.
6 Conclusions and future outlook
Conversion of HMF is a process of constantly growing interest. It is a difficult reaction from an analytical point of view due to the variety of formed products. Numerous analytical approaches have already been developed. Most of the studies however concentrate only on the most important reaction products, omitting the analysis of by-products. Information about the detailed product contributions therefore of high interest, as understanding all side reactions that can occur allows improving the whole process. The precise analysis includes a combined approach using several techniques. Gas chromatography coupled with various detectors (TCD, FID, MS) is the most frequently used method and allows both qualitative and quantitative understanding of most of the products. FTIR and NMR analyses additionally provide information on the functional groups and types of chemical bonds, which allows to complete the picture of reaction network and product distribution.
Besides the necessary complete analysis of gaseous or liquid products formed during the hydrodeoxygenation of HMF, we would like to emphasize that an extended analysis of the reaction products might also request to investigate on the deposition with time of solid or polymeric carbonaceous products at the catalyst surface, as well as to implement on-line product analysis. Indeed, while this might help in closing the carbon balance, this also influences the catalytic performance with potential impact on both conversion and selectivity patterns, as well as on stability and reusability issues. Whether academic or industrial investigations are concerned, it is worth keeping always in mind that the criteria for selecting the adequate analytical tool should include the analysis time. Indeed, due to the high number of products with close functions, the analysis might remain time-consuming when a good chromatographic product separation is desired. We believe that that information presented in this current review can also shed the light on the selection of adapted chromatographic techniques for other similar biomass-derived molecule hydrogenation processes.
Further, the continuous improvement of the analytical tools played a role – and is still expected to do so in the future – in the progress obtained in the last decades both from fundamental and applied points of view, notably by allowing faster and more sensitive detection of the large variety of the HMF hydrogenation side-products view.
Acknowledgments
The authors gratefully acknowledge that this work was financially supported by a grant SONATA BIS from the National Center of Science (NCN) in Krakow (Poland) (2016/22/E/ST4/00550).
- Abbreviations
- 2-MF –
2-methylfuran
- 2-MTHF –
2-methyltetrahydrofuran
- 5-MF –
5-methyl furfural
- 5-MFA –
5-methylfurfural alcohol
- BHMF –
2,5-bishydroxymethylfuran
- BHMTHF –
2,5-bis(hydroxymethyl)tetrahydrofuran
- BPMF -
2,5-bis(isopropoxymethyl)-furan
- DCM –
dichloromethane
- DFF -
2,5-diformyl furan
- DMF –
2,5-dimethylfuran
- DMSO –
dimethylsulfoxide
- DMTHF –
2,5-dimethyltetrahydrofuran
- EFA -
mono-ether-furfural alcohol
- EMMF -
ether 2-(ethoxymethyl)-5-methylfuran
- FA –
furfural
- FFMF -
(5-formylfuran-2-yl)methyl formate
- FID –
flame ionization detector
- FOL -
furfuryl alcohol
- GC –
gas chromatography
- GVL –
γ-valerolactone
- HA -
2-hexanol
- HD –
2,5-hexanedione
- HMF –
5-hydroxymethylfurfural
- HMFCA -
5- hydroxymethyl-2-furancarboxylic acid
- HT -
hexanetriol
- MFM -
5-methyl-2-furanmethanol
- MIBK -
methyl isobutyl ketone
- MTHFA –
5-methyltetrahydrofurfuryl alcohol
- NMR -
nuclear magnetic resonance
- TCD –
thermal conductivity detector
- THF -
tetrahydrofuran
- THF2A -
tetrahydro furfural
- THFA -
tetrahydrofurfuryl alcohol
References
[1] Alonso DM, Wettstein SG, Dumesic J. Gamma-valerolactone, a sustainable platform molecule derived from lignocellulosic biomass. Green Chem. 2013;15:584–95.10.1039/c3gc37065hSearch in Google Scholar
[2] Li X, Xu R, Yang J, Nie S, Liu D, Liu Y, et al. Production of 5-hydroxymethylfurfural and levulinic acid from lignocellulosic biomass and catalytic upgradation. Ind Crops Prod. 2019;130:184–197.10.1016/j.indcrop.2018.12.082Search in Google Scholar
[3] Ruppert AM, Weinberg K, Palkovits R. Hydrogenolysis Goes Bio: From Carbohydrates and Sugar Alcohols to Platform Chemicals. Angew Chem Int Ed. 2012;51:2564–601.10.1002/anie.201105125Search in Google Scholar PubMed
[4] Ruppert AM, Jędrzejczyk M, Potrzebowska N, Kaźmierczak K, Brzezińska M, Sneka-Płatek O, et al. Supported gold–nickel nano-alloy as a highly efficient catalyst in levulinic acid hydrogenation with formic acid as an internal hydrogen source. Catal Sci Technol. 2018;8:4318–31.10.1039/C8CY00462ESearch in Google Scholar
[5] Yan K, Yang Y, Chai J, Lu Y. Catalytic reactions of gammavalerolactone: A platform to fuels and value-added chemicals. Appl Catal B. 2015;179:292–304.10.1016/j.apcatb.2015.04.030Search in Google Scholar
[6] Zhang B, Zhu Y, Ding G, Zheng H, Li Y. Selective conversion of furfuryl alcohol to 1,2-pentanediol over a Ru/MnOx catalyst in aqueous phase. Green Chem. 2012;14:3402–9.10.1039/c2gc36270hSearch in Google Scholar
[7] Wang H, Zhu C, Li D, Liu Q, Tan J, Wang C, et al. Recent advances in catalytic conversion of biomass to 5-hydroxymethylfurfural and 2, 5-dimethylfuran. Renew Sustain Energy Rev. 2019;103:227–47.10.1016/j.rser.2018.12.010Search in Google Scholar
[8] Chen S, Wojcieszak R, Dumeignil F, Marceau E, Royer S. How Catalysts and Experimental Conditions Determine the Selective Hydroconversion of Furfural and 5-Hydroxymethylfurfural. Chem Rev. 2018;118(22):11023–117.10.1021/acs.chemrev.8b00134Search in Google Scholar PubMed
[9] Tong X, Ma Y, Li Y. Biomass into chemicals: conversion of sugars to furan derivatives by catalytic processes. Appl Catal A Gen. 2010;385:1–13.10.1016/j.apcata.2010.06.049Search in Google Scholar
[10] Alonso DM, Bond JQ, Dumesic JA. Catalytic conversion of biomass to biofuels. Green Chem. 2010;12:1493–513.10.1039/c004654jSearch in Google Scholar
[11] Hu L, Lin L, Liu S. Chemoselective Hydrogenation of Biomass-Derived 5-Hydroxymethylfurfural into the Liquid Biofuel 2,5-Dimethylfuran. Ind Eng Chem Res. 2014;53(24):9969–78.10.1021/ie5013807Search in Google Scholar
[12] Lv G, Wang H, Yang Y, Li X, Deng T, Chen C, et al. Aerobic Selective Oxidation of 5-Hydroxymethyl-furfural over Nitrogen-doped Graphene Material with 2,2,6,6-Tetramethylpiperidin-oxyl as Cocatalyst. Catal Sci Technol. 2016;6:2377–2386.10.1039/C5CY01149CSearch in Google Scholar
[13] Mei N, Liu B, Zheng J, Lv K, Tang D, Zhang Z. A novel magnetic palladium catalyst for the mild aerobic oxidation of 5-hydroxy-methylfurfural into 2,5-furandicarboxylic acid in water. Catal Sci Technol. 2015;5:3194–202.10.1039/C4CY01407CSearch in Google Scholar
[14] Jiang Y, Woortman AJ. A van Ekenstein GO R, Petrović D M, Loos K. Enzymatic Synthesis of Biobased Polyesters Using 2,5-Bis(hydroxymethyl)furan as the Building Block. Biomacro-molecules. 2014;15(7):2482–93.10.1021/bm500340wSearch in Google Scholar PubMed
[15] Hu L, Xu J, Zhou S, He A, Tang X, Lin L, et al. Catalytic Advances in the Production and Application of Biomass-Derived 2,5-Dihydroxymethylfuran. ACS Catal. 2018;8(4):2959–80.10.1021/acscatal.7b03530Search in Google Scholar
[16] Tian G, Daniel R, Li H, Xu H, Shuai S, Richards P. Laminar Burning Velocities of 2,5-Dimethylfuran Compared with Ethanol and Gasoline. Energy Fuels. 2010;24(7):3898–905.10.1021/ef100452cSearch in Google Scholar
[17] Kuster BF M. 5‐Hydroxymethylfurfural (HMF). A Review Focusing on its Manufacture. Starch. 1990;42:314 –32110.1002/star.19900420808Search in Google Scholar
[18] Pedersen AT, Ringborg R, Grotkjaer T, Pedersen S, Woodley JM. Synthesis of 5-hydroxymethylfurfural (HMF) by acid catalyzed dehydration of glucose–fructose mixtures. Chem Eng J. 2015;273:455–64.10.1016/j.cej.2015.03.094Search in Google Scholar
[19] Menegazzo F, Ghedini E, Signoretto M. 5-Hydroxymethyl-furfural (HMF) Production from Real Biomasses. Molecules. 2018;23:2201.10.3390/molecules23092201Search in Google Scholar PubMed PubMed Central
[20] Rosatella AA, Simeonov SP, Frade RF M, Afonso C A M. 5-Hydroxymethylfurfural (HMF) as a building block platform: biological properties, synthesis and synthetic applications. Green Chem. 2011;13:754–93.10.1039/c0gc00401dSearch in Google Scholar
[21] de Souza RL, Yu H, Rataboul F, Essayem N. 5-Hydroxymethylfurfural (5-HMF) Production from Hexoses: Limits of Heterogeneous Catalysis in Hydrothermal Conditions and Potential of Concentrated Aqueous Organic Acids as Reactive Solvent System. Challenges. 2012;3:212–32.10.3390/challe3020212Search in Google Scholar
[22] Yu IK, Tsang DC. Conversion of biomass to hydroxymethylfurfural: A review of catalytic systems and underlying mechanisms. Bioresour Technol. 2017;238:716–32.10.1016/j.biortech.2017.04.026Search in Google Scholar PubMed
[23] Pande A, Niphadkar P, Pandare K, Bokade V. Acid Modified H-USY Zeolite for Efficient Catalytic Transformation of Fructose to 5-Hydroxymethyl Furfural (Biofuel Precursor) in Methyl Isobutyl Ketone–Water Biphasic System. Energy Fuels. 2018;32:3783–91.10.1021/acs.energyfuels.7b03684Search in Google Scholar
[24] Ordomsky VV, van der Schaaf J, Schouten JC, Nijhuis TA. Fructose Dehydration to 5‐Hydroxymethylfurfural over Solid Acid Catalysts in a Biphasic System. ChemSusChem. 2012;5:1812–9.10.1002/cssc.201200072Search in Google Scholar PubMed
[25] Xia H, Xu S, Yang L. Efficient conversion of wheat straw into furan compounds, bio-oils, and phosphate fertilizers by a combination of hydrolysis and catalytic pyrolysis. RSC Advances. 2017;7:1200–5.10.1039/C6RA27072GSearch in Google Scholar
[26] Chheda JN, Román-Leshkova Y, and Dumesic JA. Production of 5-hydroxymethylfurfural and furfural by dehydration of biomass-derived mono- and poly-saccharides. Green Chem., 2007;9:342–5010.1039/B611568CSearch in Google Scholar
[27] Romo JE, Bollar NV, Zimmermann CJ, Wettstein SG. Conversion of Sugars and Biomass to Furans Using Heterogeneous Catalysts in Biphasic Solvent Systems. ChemCatChem. 2018;10:4805–16.10.1002/cctc.201800926Search in Google Scholar PubMed PubMed Central
[28] Brzezińska M, Keller N, Ruppert AM. Self-tuned properties of CuZnO catalysts for hydroxymethylfurfural hydrodeoxygenation towards dimethylfuran production. Catal Sci Technol. 2020;10:658–70.10.1039/C9CY01917KSearch in Google Scholar
[29] Ho TD, Zhang C, Hantao LW, Anderson JL. Ionic Liquids in Analytical Chemistry: Fundamentals, Advances, and Perspectives. Anal Chem. 2014;86:262–85.10.1021/ac4035554Search in Google Scholar PubMed
[30] Lu Y, Li GS, Lu YC, Fan X, Wei XY. Analytical Strategies Involved in the Detailed Componential Characterization of Biooil Produced from Lignocellulosic Biomass. Int J Anal Chem. 2017;9298523.10.1155/2017/9298523Search in Google Scholar PubMed PubMed Central
[31] Mieure JP. Determining volatile organics in water. Environ Sci Technol. 1980;930–5.10.1021/es60168a002Search in Google Scholar PubMed
[32] Lu Y, Wei XY, Liu FJ, Zong ZM, Rong LC, Zhao YP, et al. Evaluation of an Upgraded Bio-oil from the Pyrolysis of Rice Husk by Acidic Resin-catalyzed Esterification. Energy Sources A Recovery Util Environ Effects. 2014;36:575–81.10.1080/15567036.2011.604377Search in Google Scholar
[33] Li X, Chanbasha B, Hian KL. Chemical reactions in liquid-phase microextraction. J Chromatogr A. 2009;1216:701–7.10.1016/j.chroma.2008.10.005Search in Google Scholar PubMed
[34] Cajka T, Showalter MR, Riddellova K, Fiehn O. Advances in Mass Spectrometry for Food Authenticity Testing, 2016, Woodhead Publishing Series in Food Science. Technology and Nutrition; 2016. pp. 171–200.10.1016/B978-0-08-100220-9.00007-2Search in Google Scholar
[35] Teixidó E, Santos FJ, Puignou L, Galceran MT. Analysis of 5-hydroxymethylfurfural in foods by gas chromatography–mass spectrometry. J Chromatogr A. 2016;1135:85–90.10.1016/j.chroma.2006.09.023Search in Google Scholar PubMed
[36] Wanner K, Höfner G. Mass Spectrometry in Medicinal Chemistry: Applications in Drug Discovery (Methods and Principles in Medicinal Chemistry). J Am Soc Mass Spectrom. 2008;19:R1–2.10.1016/j.jasms.2007.11.010Search in Google Scholar
[37] Agilent J&W GC Column Selection Guide, Ref. 5990-9867, EN, Agilent Technologies Inc., USA, April 2012Search in Google Scholar
[38] Gao Z, Fan G, Liu M, Yang L, Li F. Dandelion-like cobalt oxide microsphere-supported RuCo bimetallic catalyst for highly efficient hydrogenolysis of 5-hydroxymethylfurfural. Appl Catal B. 2018;237:649–59.10.1016/j.apcatb.2018.06.026Search in Google Scholar
[39] Gao Z, Li C, Fan G, Yang L, Li F. Nitrogen-doped carbon-decorated copper catalyst for highly efficient transfer hydrogenolysis of 5-hydroxymethylfurfural to convertibly produce 2,5-dimethylfuran or 2,5-dimethyltetrahydrofuran. Appl Catal B. 2018;226:523–33.10.1016/j.apcatb.2018.01.006Search in Google Scholar
[40] Perret N, Grigoropoulos A, Zanella M, Manning TD, Claridge JB, Rosseinsky MJ. Catalytic Response and Stability of Nickel/ Alumina for the Hydrogenation of 5-Hydroxymethylfurfural in Water. ChemSusChem. 2016;9:521–31.10.1002/cssc.201501225Search in Google Scholar PubMed
[41] Chimentão RJ, Oliva H, Belmar J, Morales K, Mäki-Arvela P, Wärna J, et al. Selective hydrodeoxygenation of biomass derived 5-hydroxymethylfurfural over silica supported iridium catalysts. Appl Catal B. 2019;241:270–83.10.1016/j.apcatb.2018.09.026Search in Google Scholar
[42] Priecel P, Endot NA, Carà PD, Lopez-Sanchez JA. Fast Catalytic Hydrogenation of 2,5-Hydroxymethylfurfural to 2,5-Dimethylfuran with Ruthenium on Carbon Nanotubes. Ind Eng Chem Res. 2018;57:1991–2002.10.1021/acs.iecr.7b04715Search in Google Scholar
[43] Zhu C, Liu Q, Li D, Wang H, Zhang C, Cui C, et al. Selective Hydrodeoxygenation of 5‑Hydroxymethylfurfural to 2,5-Dimethylfuran over Ni Supported on Zirconium Phosphate Catalysts. ACS Omega. 2018;3:7407–17.10.1021/acsomega.8b00609Search in Google Scholar PubMed PubMed Central
[44] Li D, Liu Q, Zhu C, Wang H, Cui C, Wang C, et al. Selective hydrogenolysis of 5-hydroxymethylfurfural to 2,5-dimethylfuran over Co3O4 catalyst by controlled reduction. J Chem. 2019;30:34–41.10.1016/j.jechem.2018.03.008Search in Google Scholar
[45] Yang Y, Liu Q, Li D, Tan J, Zhang Q, Wang C, et al. Selective hydrodeoxygenation of 5-hydroxymethylfurfural to 2,5-dimethylfuran on Ru–MoOx/C catalysts. RSC Advances. 2017;7:16311–8.10.1039/C7RA00605ESearch in Google Scholar
[46] Luo J, Monai M, Wang C, Lee JD, Duchoň T, Dvořák F, et al. Unraveling the surface state and composition of highly selective nanocrystalline Ni–Cu alloy catalysts for hydrodeoxygenation of HMF. Catal Sci Technol. 2017;7:1735–43.10.1039/C6CY02647HSearch in Google Scholar
[47] Luo J, Arroyo-Ramírez L, Gorte RJ. Hydrodeoxygenation of HMF Over Pt/C in a Continuous Flow Reactor. AIChE. 2015;61:590–7.10.1002/aic.14660Search in Google Scholar
[48] Luo J, Arroyo-Ramírez L, Wei J, Yun H, Murray CB, Gorte RJ. Comparison of HMF hydrodeoxygenation over different metal catalysts in a continuous flow reactor. Appl Catal A Gen. 2015;508:86–93.10.1016/j.apcata.2015.10.009Search in Google Scholar
[49] Luo J, Yun H, Mironenko AV, Goulas K, Lee JD, Monai M, et al. Mechanisms for High Selectivity in the Hydrodeoxygenation of 5‑Hydroxymethylfurfural over PtCo Nanocrystals. ACS Catal. 2016;6:4095–104.10.1021/acscatal.6b00750Search in Google Scholar
[50] Gyngazova MS, Negahdar L, Blumenthal LC, Palkovits R. Experimental and kinetic analysis of the liquid phase hydrodeoxygenation of 5-hydroxymethylfurfural to 2,5-dimethylfuran over carbon-supported nickel catalysts. Chem Eng Sci. 2017;173:455–64.10.1016/j.ces.2017.07.045Search in Google Scholar
[51] Wiesfeld JJ, Kim M, Nakajima K, Hensen EJ. Selective hydrogenation of 5-hydroxymethylfurfural and its acetal with 1,3-propanediol to 2,5-bis(hydroxymethyl)furan using supported rhenium-promoted nickel catalysts in water. Green Chem. 2020;22:1229–38.10.1039/C9GC03856FSearch in Google Scholar
[52] Hu L, Li N, Dai X, Guo Y, Jiang Y, He A, et al. Highly efficient production of 2,5-dihydroxymethylfuran from biomass-derived 5-hydroxymethylfurfural over an amorphous and mesoporous zirconium phosphonate catalyst. J of Ener Chem. 2019;37:82–92.10.1016/j.jechem.2018.12.001Search in Google Scholar
[53] Hu L, Dai X, Li N, Tang X, Jiang Y. Highly selective hydrogenation of biomass-derived 5-hydroxymethylfurfural into 2,5-bis(hydroxymethyl)furan over an acid–base bifunctional hafnium-based coordination polymer catalyst. Sustain Energy Fuels. 2019;3:1033–41.10.1039/C8SE00545ASearch in Google Scholar
[54] Hu L, Li T, Xu J, He A, Tang X, Chu X, et al. Catalytic transfer hydrogenation of biomass-derived 5-hydroxymethylfurfural into 2,5-dihydroxymethylfuran over magnetic zirconium-based coordination polymer. Chem Eng J. 2018;352:110–9.10.1016/j.cej.2018.07.007Search in Google Scholar
[55] Shi J, Wang Y, Yu X, Du W, Hou Z. Production of 2,5-dimethylfuran from 5-hydroxymethylfurfural over reduced graphene oxides supported Pt catalyst under mild conditions. Fuel. 2016;163:74–9.10.1016/j.fuel.2015.09.047Search in Google Scholar
[56] Kong X, Zhu Y, Zheng H, Zhu Y, Fang Z. Inclusion of Zn into Metallic Ni Enables Selective and Effective Synthesis of 2,5-Dimethylfuran from Bioderived 5‑Hydroxymethylfurfural. ACS Sustain Chem& Eng. 2017;5:11280–9.10.1021/acssuschemeng.7b01813Search in Google Scholar
[57] Li J, Liu J, Liu H, Xu G, Zhang J, Liu J, et al. Selective Hydrodeoxygenation of 5-Hydroxymethylfurfural to 2,5-Dimethylfuran over Heterogeneous Iron Catalysts. ChemSusChem. 2017;10:1436–47.10.1002/cssc.201700105Search in Google Scholar PubMed
[58] Hu L, Yang M, Xu N, Xu J, Zhou S, Chu X, et al. Selective transformation of biomass-derived 5-hydroxymethylfurfural into 2,5-dihydroxymethylfuran via catalytic transfer hydrogenation over magnetic zirconium hydroxides. Korean J Chem Eng. 2018;35(1):99–109.10.1007/s11814-017-0238-3Search in Google Scholar
[59] Wei J, Cao X, Wang T, Liu H, Tang X, Zeng X, et al. Catalytic transfer hydrogenation of biomass derived 5-hydroxymethylfurfural into 2,5-bis(hydroxymethyl)furan over tunable Zr-based bimetallic catalysts. Catal Sci Technol. 2018;8:4474–84.10.1039/C8CY00500ASearch in Google Scholar
[60] Wang T, Wei J, Liu H, Feng Y, Tang X, Zeng X, et al. Synthesis of renewable monomer 2, 5-bishydroxymethylfuran from highly concentrated 5-hydroxymethylfurfural in deep eutectic solvents. J Ind Eng Chem. 2020;81:93–8.10.1016/j.jiec.2019.08.057Search in Google Scholar
[61] Luo J, Lee JD, Yun H, Wang C, Monai M, Murray CB, et al. Base metal-Pt alloys: A general route to high selectivity and stability in the production of biofuels from HMF. Appl Catal B. 2016;199:439–46.10.1016/j.apcatb.2016.06.051Search in Google Scholar
[62] Nakagawa Y, Takada K, Tamura M, Tomishige K. Total Hydrogenation of Furfural and 5‑Hydroxymethylfurfural over Supported Pd−Ir Alloy Catalyst. ACS Catal. 2014;4:2718–26.10.1021/cs500620bSearch in Google Scholar
[63] Li G, Sun Z, Yan Y, Zhang Y, Tang Y. Direct Transformation of HMF into 2,5-Diformylfuran and 2,5-Dihydroxymethylfuran without an External Oxidant or Reductant. ChemSusChem. 2017;10:494–8.10.1002/cssc.201601322Search in Google Scholar PubMed
[64] Bottari G, Kumalaputri AJ, Krawczyk KK, Feringa BL, Heeres HJ, Barta K. Copper–Zinc Alloy Nanopowder: A Robust Precious-Metal-Free Catalyst for the Conversion of 5-Hydroxymethylfurfural. ChemSusChem. 2015;8:1323–7.10.1002/cssc.201403453Search in Google Scholar PubMed
[65] Sun K, Shao Y, Li Q, Liu Q, Wu W, Wang Y, et al. Cu-based catalysts for hydrogenation of 5-hydroxymethylfurfural: understanding of the coordination between copper and alkali/alkaline earth additives. Molec Catal. 2019;474:110407.10.1016/j.mcat.2019.110407Search in Google Scholar
[66] Yang Y, Liu H, Li S, Chen C, Wu T, Mei Q, et al. Hydrogenolysis of 5-Hydroxymethylfurfural to 2,5-Dimethylfuran under Mild Conditions without Any Additive. ACS Sustain Chem& Eng. 2019;7(6):5711–6.10.1021/acssuschemeng.8b04937Search in Google Scholar
[67] Zhang J, Chen J. Selective transfer hydrogenation of biomass-based furfural and 5-hydroxymethylfurfural over hydrotalcite-derived copper catalysts using methanol as hydrogen donor. ACS Sustain Chem& Eng. 2017;5(7):5982–93.10.1021/acssuschemeng.7b00778Search in Google Scholar
[68] Yu L, He L, Chen J, Zheng J, Ye L, Lin H, et al. Robust and Recyclable Nonprecious Bimetallic Nanoparticles on Carbon Nanotubes for the Hydrogenation and Hydrogenolysis of 5-Hydroxymethylfurfural. ChemCatChem. 2015;7:1701–7.10.1002/cctc.201500097Search in Google Scholar
[69] Hu L, Tang X, Xu J, Wu Z, Lin L, Liu S. Selective Transformation of 5‑Hydroxymethylfurfural into the Liquid Fuel 2,5-Dimethylfuran over Carbon-Supported Ruthenium. Ind Eng Chem Res. 2014;53(8):3056–64.10.1021/ie404441aSearch in Google Scholar
[70] Chen N, Zhu Z, Su T, Liao W, Deng C, Ren W, et al. Catalytic hydrogenolysis of hydroxymethylfurfural to highly selective 2,5-dimethylfuran over FeCoNi/h-BN catalyst. Chem Eng J. 2020;381:122755.10.1016/j.cej.2019.122755Search in Google Scholar
[71] Sun Y, Xiong C, Liu Q, Zhang J, Tang X, Zeng X, et al. Catalytic Transfer Hydrogenolysis/Hydrogenation of Biomass-Derived 5‑Formyloxymethylfurfural to 2, 5‑Dimethylfuran Over Ni−Cu Bimetallic Catalyst with Formic Acid As a Hydrogen Donor. Ind Eng Chem Res. 2019;58:5414–22.10.1021/acs.iecr.8b05960Search in Google Scholar
[72] Liao W, Zhu Z, Chen N, Su T, Deng C, Zhao Y, et al. Highly active bifunctional Pd-Co9S8/S-CNT catalysts for selective hydrogenolysis of 5-hydroxymethylfurfural to 2,5-dimethylfuran. Molec Catal. 2020;482:110756.10.1016/j.mcat.2019.110756Search in Google Scholar
[73] Zhang F, Liu Y, Yuan F, Niu X, Zhu Y. Efficient Production of the Liquid Fuel 2,5-Dimethylfuran from 5‑Hydroxymethylfurfural in the Absence of Acid Additive over Bimetallic PdAu Supported on Graphitized Carbon. Energy Fuels. 2017;31:6364–73.10.1021/acs.energyfuels.7b00428Search in Google Scholar
[74] Long J, Zhao W, Xu Y, Li H, Yang S. Carbonate-Catalyzed Room-Temperature Selective Reduction of Biomass-Derived 5-Hydroxymethylfurfural into 2,5-Bis(hydroxymethyl)furan. Catalysts. 2018;8:633.10.3390/catal8120633Search in Google Scholar
[75] Yang P, Xia Q, Liu X, Wang Y. Catalytic transfer hydrogenation/hydrogenolysis of 5-hydroxymethylfurfural to 2,5-dimethylfuran over Ni-Co/C catalyst. Fuel. 2017;187:159–66.10.1016/j.fuel.2016.09.026Search in Google Scholar
[76] Yang P, Xia Q, Liu X, Wang Y. High-yield production of 2,5-dimethylfuran from 5-hydroxymethylfurfural over carbon supported Ni-Co bimetallic catalyst. J Chem. 2016;206.10.1016/j.jechem.2016.08.008Search in Google Scholar
[77] Akmaz S, Esen M, Sezgin E, Koc SN. Efficient manganese decorated cobalt based catalysts for hydrogenation of 5-hydroxymethylfurfural (HMF) to 2,5-dimethylfuran (DMF) biofuel. Can J Chem Eng. 2019;1–9.10.1002/cjce.23613Search in Google Scholar
[78] Mhadmhan S, Franco A, Pineda A, Reubroycharoen P, Luque R. Continuous Flow Selective Hydrogenation of 5‑Hydroxymethylfurfural to 2,5-Dimethylfuran Using Highly Active and Stable Cu−Pd/Reduced Graphene Oxide. ACS Sustain Chem& Eng. 2019;7:14210–6.10.1021/acssuschemeng.9b03017Search in Google Scholar
[79] Srivastava S, Jadeja GC, Parikh J. Synergism studies on alumina-supported copper-nickel catalysts towards furfural and 5-hydroxymethylfurfural hydrogenation. J Mol Catal Chem. 2017;426:244–56.10.1016/j.molcata.2016.11.023Search in Google Scholar
[80] Srivastava S, Jadeja GC, Parikh J. Influence of supports for selective production of 2,5‐dimethylfuran via bimetallic copper‐cobalt catalyzed 5‐hydroxymethylfurfural hydrogenolysis. Chin J Catal. 2017;38:699–709.10.1016/S1872-2067(17)62789-XSearch in Google Scholar
[81] Ly N, Al-Shamery K, Chan-Thaw CE, Prati L, Carniti P, Gervasini A. Impact of Support Oxide Acidity in Pt-Catalyzed HMF Hydrogenation in Alcoholic Medium. Catal Lett. 2017;147:345–59.10.1007/s10562-016-1945-9Search in Google Scholar
[82] Nagpure AS, Lucas N, Chilukuri SV. Efficient Preparation of Liquid Fuel 2,5-Dimethylfuran from Biomass-Derived 5‑Hydroxymethylfurfural over Ru−NaY Catalyst. ACS Sustain Chem& Eng. 2015;3:2909–16.10.1021/acssuschemeng.5b00857Search in Google Scholar
[83] Saha B, Bohn CM, Abu-Omar MM. Zinc-Assisted Hydrodeoxygenation of Biomass-Derived 5-Hydroxymethylfurfural to 2,5-Dimethylfuran. ChemSusChem. 2014;7:3095–101.10.1002/cssc.201402530Search in Google Scholar PubMed
[84] Zhu C, Wang H, Li H, Cai B, Lv W, Cai C, et al. Selective Hydrodeoxygenation of 5-Hydroxymethylfurfural to 2,5-Dimethylfuran over Alloyed Cu−Ni Encapsulated in Biochar Catalysts. ACS Sustain Chem& Eng. 2019;7:19556–69.10.1021/acssuschemeng.9b04645Search in Google Scholar
[85] Egeblad K, Rass-Hansen J, Marsden CC, Taarning E, Christensen CH. Heterogeneous catalysis for productionof value-added chemicals from biomass. Catalysis. 2009;21:13–5.10.1039/b712664fSearch in Google Scholar
[86] Xu Z, Cheng A, Xing X, Zong M, Bai Y, Li N. Improved synthesis of 2,5-bis(hydroxymethyl)furan from 5-hydroxymethylfurfural using acclimatized whole cells entrapped in calcium alginate. Bioresour Technol. 2018;262:177–83.10.1016/j.biortech.2018.04.077Search in Google Scholar PubMed
[87] Pupovac K, Palkovits R. Cu/MgAl2O4 as Bifunctional Catalyst for Aldol Condensation of 5-Hydroxymethylfurfural and Selective Transfer Hydrogenation. ChemSusChem. 2013;6:2103–10.10.1002/cssc.201300414Search in Google Scholar PubMed
[88] Mishra DK, Lee HJ, Truong CC, Kim J, Suh Y, Baek J, et al. Ru/MnCo2O4 as a catalyst for tunable synthesis of 2,5-bis(hydroxymethyl) furan or 2,5-bis(hydroxymethyl) tetrahydrofuran from hydrogenation of 5-hydroxymethylfurfural. Molec Catal. 2020;484:110722.10.1016/j.mcat.2019.110722Search in Google Scholar
[89] Hu D, Hu H, Zhou H, Li G, Chen C, Zhang J, et al. The effect of potassium on Cu/Al2O3 catalysts for the hydrogenation of 5-hydroxymethylfurfural to 2,5-bisIJhydroxymethyl)furan in a fixed-bed reactor. Catal Sci Technol. 2018;8:6091–9.10.1039/C8CY02017ESearch in Google Scholar
[90] Kwon Y, Birdja YY, Raoufmoghaddam S, Koper MT. Electrocatalytic Hydrogenation of 5-Hydroxymethylfurfural in Acidic Solution. ChemSusChem. 2015;8:1745–51.10.1002/cssc.201500176Search in Google Scholar PubMed
[91] Sun G, An J, Hu H, Li C, Zuo S, Xia H. Green catalytic synthesis of 5-methylfurfural by selective hydrogenolysis of 5-hydroxymethylfurfural over size-controlled Pd nanoparticle catalysts. Catal Sci Technol. 2019;9:1238-44.10.1039/C9CY00039ASearch in Google Scholar
[92] De Luna GS, Ho PH, Lolli A, Ospitali F, Albonetti S, Fornasari G, et al. Ag electrodeposited on Cu open-cell foams for the selective electroreduction of 5-hydroxymethylfurfural. ChemElectroChem. 2020;7:1238–47.10.1002/celc.201902161Search in Google Scholar
[93] Chen J, Ge Y, Guo Y, Chen J. Selective hydrogenation of biomass-derived 5-hydroxymethylfurfural using palladium catalyst supported on mesoporous graphitic carbon nitride. J Energ Chem. 2018;27:283–9.10.1016/j.jechem.2017.04.017Search in Google Scholar
[94] Zhao W, Wu W, Li H, Fang C, Yang T, Wang Z, et al. Quantitative synthesis of 2,5-bis(hydroxymethyl)furan from biomass-derived 5-hydroxymethylfurfural and sugars over reusable solid catalysts at low temperatures. Fuel. 2018;217:365–9.10.1016/j.fuel.2017.12.069Search in Google Scholar
[95] Alamillo R, Tucker M, Chia M, Pagán-Torres Y, Dumesic J. The selective hydrogenation of biomass-derived 5-hydroxymethylfurfural using heterogeneous catalysts. Green Chem. 2012;14:1413-9.10.1039/c2gc35039dSearch in Google Scholar
[96] Iriondo A, Mendiguren A, Güemez MB, Requies J, Cambra JF. 2,5-DMF production through hydrogenation of real and synthetic5-HMF over transition metal catalysts supported on carriers with different nature. Catal Today. 2017;279:286–95.10.1016/j.cattod.2016.02.019Search in Google Scholar
[97] Requies JM, Frias M, Cuezva M, Iriondo A, Agirre I, Viar N. Hydrogenolysis of 5‑Hydroxymethylfurfural To Produce 2,5-Dimethylfuran over ZrO2 Supported Cu and RuCu Catalysts. Ind Eng Chem Res. 2018;57:11535–46.10.1021/acs.iecr.8b01234Search in Google Scholar
[98] Roylance JJ, Kim TW, Choi K. Efficient and Selective Electrochemical and Photoelectrochemical Reduction of 5‑Hydroxymethylfurfural to 2,5-Bis(hydroxymethyl)furan using Water as the Hydrogen Source. ACS Catal. 2016;6:1840–7.10.1021/acscatal.5b02586Search in Google Scholar
[99] Zhang L, Zhang F, Michel FC, Co AC. Efficient Electrochemical Hydrogenation of 5-Hydroxymethylfurfural to 2,5-Bis(hydroxymethyl)furan on Ag-Displaced Nanotextured Cu Catalysts. ChemElectroChem. 2019;6:4739–49.10.1002/celc.201900640Search in Google Scholar
[100] Roylance JJ, Choi K. Electrochemical Reductive Biomass Conversion: direct Conversion of 5-hydroxymethylfurfural (HMF) to 2,5-hexanedione (HD) via Reductive Ring-opening. Green Chem. 2016;18:2956–60.10.1039/C6GC00533KSearch in Google Scholar
[101] Lv G, Wang H, Yang Y, Deng T, Chen C, Zhu Y, et al. Graphene Oxide A Convenient Metal-Free Carbocatalyst for Facilitating Aerobic Oxidation of 5-Hydroxymethylfurfural into 2, 5-Diformylfuran. ACS Catal. 2015;5(9):5636–46.10.1021/acscatal.5b01446Search in Google Scholar
[102] Tzeng T, Lin C, Pao C, Chen J, Nuguid RJ, Chung P. Understanding catalytic hydrogenolysis of 5-hydroxymethylfurfural (HMF) to 2,5-dimethylfuran (DMF) using carbon supported Ru catalysts. Fuel Process Technol. 2020;199:106225.10.1016/j.fuproc.2019.106225Search in Google Scholar
[103] Ramos R, Grigoropoulos A, Griffiths BL, Katsoulidis AP, Zanella M, Manning TD, et al. Selective conversion of 5-hydroxymethylfurfural to diketone derivatives over Beta zeolite-supported Pd catalysts in water. J Catal. 2019;375:224–33.10.1016/j.jcat.2019.04.038Search in Google Scholar
© 2020 A. M. Ruppert, published by De Gruyter
This work is licensed under the Creative Commons Attribution 4.0 International License.
Articles in the same Issue
- Review Articles
- Liquid-phase microextraction of polycyclic aromatic hydrocarbons: A review
- Colorimetric hand-held sensors and biosensors with a small digital camera as signal recorder, a review
- Mini-Review of Analytical Methods used in Quantification of Ellagic Acid
- Highly Sensitive and Robust Capillary Electrophoresis-Electrospray Ionization-Mass Spectrometry: Interfaces, Preconcentration Techniques and Applications
- Spectroscopic Determination of Two Beta-Blockers – Atenolol and Propanolol by Oxidative Derivatization Using Potassium Permanganate in Alkaline Medium
- Review on analytical methods for quantification of ADHD drugs in human biological samples
- Benzene, toluene, ethylbenzene, and xylene: Current analytical techniques and approaches for biological monitoring
- Advances in neurochemical measurements: A review of biomarkers and devices for the development of closed-loop deep brain stimulation systems
- Review on stationary phases and coating methods of MEMs gas chromatography columns
- Research Article
- Xanthene based resonance Rayleigh scattering and spectrofluorimetric probes for the determination of cyclobenzaprine: Application to content uniformity test
- Special Issue: SPECIAL ISSUE ON 25TH INTERNATIONAL SYMPOSIUM ON SEPARATION SCIENCES
- Chromatographic analysis of bio-oil formed in fast pyrolysis of lignocellulosic biomass
- Urinary carboxylic acids (UCAs) in subjects with autism spectrum disorder and their association with bacterial overgrowth
- Separation procedures in the identification of the hydrogenation products of biomass-derived hydroxymethylfurfural
- The effect of selenium, zinc and copper on the excretion of urinary modified nucleobases in rats treated with prostate cancer cells
- Analytical approaches and preparation of biological, food and environmental samples for analyses of zearalenone and its metabolites
- Nanosized zinc, epigenetic changes and its relationship with DMBA induced breast cancer in rats
- Special Issue: Bioanalytical Methods and Their Applications
- Single-molecule force spectroscopy: A facile technique for studying the interactions between biomolecules and materials interfaces
- Biological nanoscale fluorescent probes: From structure and performance to bioimaging
- Detection of metal ions in biological systems: A review
- Recent advances in animal origin identification of gelatin-based products using liquid chromatography-mass spectrometry methods: A mini review
Articles in the same Issue
- Review Articles
- Liquid-phase microextraction of polycyclic aromatic hydrocarbons: A review
- Colorimetric hand-held sensors and biosensors with a small digital camera as signal recorder, a review
- Mini-Review of Analytical Methods used in Quantification of Ellagic Acid
- Highly Sensitive and Robust Capillary Electrophoresis-Electrospray Ionization-Mass Spectrometry: Interfaces, Preconcentration Techniques and Applications
- Spectroscopic Determination of Two Beta-Blockers – Atenolol and Propanolol by Oxidative Derivatization Using Potassium Permanganate in Alkaline Medium
- Review on analytical methods for quantification of ADHD drugs in human biological samples
- Benzene, toluene, ethylbenzene, and xylene: Current analytical techniques and approaches for biological monitoring
- Advances in neurochemical measurements: A review of biomarkers and devices for the development of closed-loop deep brain stimulation systems
- Review on stationary phases and coating methods of MEMs gas chromatography columns
- Research Article
- Xanthene based resonance Rayleigh scattering and spectrofluorimetric probes for the determination of cyclobenzaprine: Application to content uniformity test
- Special Issue: SPECIAL ISSUE ON 25TH INTERNATIONAL SYMPOSIUM ON SEPARATION SCIENCES
- Chromatographic analysis of bio-oil formed in fast pyrolysis of lignocellulosic biomass
- Urinary carboxylic acids (UCAs) in subjects with autism spectrum disorder and their association with bacterial overgrowth
- Separation procedures in the identification of the hydrogenation products of biomass-derived hydroxymethylfurfural
- The effect of selenium, zinc and copper on the excretion of urinary modified nucleobases in rats treated with prostate cancer cells
- Analytical approaches and preparation of biological, food and environmental samples for analyses of zearalenone and its metabolites
- Nanosized zinc, epigenetic changes and its relationship with DMBA induced breast cancer in rats
- Special Issue: Bioanalytical Methods and Their Applications
- Single-molecule force spectroscopy: A facile technique for studying the interactions between biomolecules and materials interfaces
- Biological nanoscale fluorescent probes: From structure and performance to bioimaging
- Detection of metal ions in biological systems: A review
- Recent advances in animal origin identification of gelatin-based products using liquid chromatography-mass spectrometry methods: A mini review