Comparing Non-destructive Mechanical Testing Methods for the Assessment of Brittle Papers – The Cantilever, Hanging Pear Loop, and Clamped Fold Tests
-
Andrea K. I. Hall
, Raymond H. PlautAndrea Hall is a Senior Research Specialist at Heritage Science for Conservation in the Department of Conservation and Preservation at Johns Hopkins University. Hall has a background as a conservation specialist and a materials scientist. She received her Masters of Science in Engineering from Johns Hopkins University in 2016, her Bachelor of Science in biology at Bowling Green State University, and studied the conservation of art and artifacts at Studio Arts College International in Florence, Italy. and Patricia M. McGuigganDr. Raymond H. Plaut received his B.S. from Caltech, and his M.S. and Ph.D. in Applied Mechanics from the University of California at Berkeley. He was a faculty member for one year at the University of Nottingham, seven years at Brown University, and 33 years at Virginia Tech including a one-year sabbatical at the Technical University of Denmark. Since retiring in 2008 he has been a full-time voluntary teacher’s aide, for three years at Head Start pre-school and since then in a kindergarten class.Patricia McGuiggan obtained her Ph.D. in Chemical Engineering from the University of Minnesota. During her Ph.D., she was a research scholar in the Applied Mathematics Department at the Australian National University working with Richard Pashley. She spent 3 years as a postdoctoral fellow at the University of California, Santa Barbara with Professor Jacob Israelachvili. She has worked at 3 M, W.L. Gore & Associates, and the National Institute of Standards and Technology. She is currently an associate research professor in the Department of Materials Science and Engineering at Johns Hopkins University and is P.I. of the Heritage Science for Conservation Program in the Department of Conservation and Preservation at JHU.
Abstract
The ability to determine the condition of paper (e.g. its brittleness) and its permanence is a need in libraries and archives. This study investigates various bend tests and applies these tests to aged paper with the goal of finding easy, non-destructive tests to determine the mechanical properties of paper. The cantilever test was previously shown to accurately assess mechanical properties of paper-based materials, such as elastic and bending moduli as well as the bending length. This work investigates the hanging pear loop and clamped fold tests and compares the results with those found with the cantilever test. The results show that the strain and curvature induced by the two tests are much larger than those experienced in the cantilever test. This large strain and curvature induce plastic behaviour and make the hanging pear loop and clamped fold tests inappropriate for use on paper-based materials.
Zusammenfassung
Ein Vergleich verschiedener nicht-destruktiver mechanischer Testmethoden für brüchiges Papier: Cantilever, Hanging Pear Loop, and Clamped Fold Tests
Für Archive und Bibliotheken ist es wichtig, den Zustand von Papier – vor allem seine Brüchigkeit und Beständigkeit – möglichst genau einschätzen zu können. In der vorliegenden Studie wurden unterschiedliche Biegeprüfungen untersucht und auf verschiedene Papiere angewendet, um einfache, nicht-destruktive Testmethoden für die Eigenschaften von Papier zu finden. In der Vergangenheit konnte gezeigt werden, dass mit dem Cantilever Test genaue Daten zu mechanischen Eigenschaften wie dem Elastizitätsmodul und der Biegebruchtfestigkeit sowie Biegelänge von Papieren gewonnen werden können. Ergebnisse des Hanging Pear Loop und Clamp Fold Tests wurden mit jenen des Cantilever Tests verglichen. Zugfestigkeit und Biegefestigkeit, die mit diesen Tests gemessen wurden, sind größer als jene, die mit dem Cantilever Test erreicht werden. Hoher Zug und große Krümmung verursachen plastische Verformungen, die Hanging Pear Loop und Clamp Fold Tests ungeeignet machen, um die Eigenschaften von Papier zu erfassen.
Résummé
Comparaison de méthodes de tests mécaniques non destructives pour évaluer le degré de fragilité de papiers – les tests Cantilever, de cercle accroché en forme de poire et du pli bloqué
La capacité de déterminer la condition du papier (par exemple sa fragilité) et sa permanence est un besoin pour les archives et bibliothèques. Cette étude se penche sur différents tests de résistance à la pliure et applique ces tests à un papier vieilli afin de définir des tests faciles, non destructifs pour déterminer les propriétés mécaniques du papier. Il a été démontré précédement que le test Cantilever permet d’évaluer de manière précise les propriétés mécaniques des matériaux à base de papier, telles que l’élasticité et la résistance à l’élongation ainsi que la longueur d’étirement. Dans cette étude, nous étudions les tests de cercle accroché en forme de poire et du pli bloqué et nous comparons les résultats avec ceux du test Cantilever. Les résultats montrent que l’élongation et le degré de courbure induites par ces deux tests sont beaucoup plus prononcés qu’avec le test Cantilever. Cette élongation et ce degré de courbure importants induisent un comportement plastique et de ce fait rendent ces deux tests inadaptés pour des matériaux à base de papier.
1 Introduction
Paper is an incredibly important material to humanity and ever-present in cultural heritage. A complex network of fibers, paper poses interesting challenges to conservators and conservation scientists alike. Its mechanical properties have long been studied, as they are integral to the production and use of paper. Mechanical properties are determined by the network formation of paper, which can have fibers that are as much as ten times longer than the sheet thickness (Alava and Niskanen 2006). Additionally, mechanical properties are affected by composition (type and length of the cellulose fibers and the presence of sizing and additives), manufacturing techniques, and the history of its use.
Although paper fibers appear to be randomly distributed, approximately 12–15 % of the fibers are aligned in the machine direction of industrially produced papers (Baker 2010). The relative fiber alignment (i. e. machine versus cross-machine directions) impacts the mechanical behaviour of paper. The mechanical properties of paper also change over time, as inter- and intra-fiber bonds are affected by degradation through oxidation and acid-catalyzed hydrolysis (Zou et al. 1994). Age-related changes in paper can manifest themselves as increasing brittleness as these bonds degrade. Brittleness can drastically diminish a paper’s usability and is one of the main causes for deaccessioning or limiting access to paper-based materials in libraries and archives.
The ability to determine the condition of paper (e. g. its brittleness) and its permanence is a requirement in libraries and archives. If the condition of paper can be successfully monitored and its aging properties modeled, then the optimal time for intervention or deaccession can be determined. Specifically, a non-destructive, accessible test to aid in the survey and assessment of large collections would be very helpful. A number of mechanical and chemical tests are used to determine the mechanical properties and the extent of paper degradation. Chemical tests include measurements of pH, average molecular weight of the cellulose, and the extent of oxidation. Standard mechanical tests to determine the mechanical properties of paper include the tensile test, the Elmendorf tear test, the double fold test, and the cantilever test (TAPPI Press 2013, TAPPI Press 2012, TAPPI Press 2013, Hall et al. 2018). Each of these tests measures a specific property at a specific test condition such as strain rate. However, since paper can be described as a viscoelastic/plastic material, and each test measures different properties (such as fracture, tear resistance, bending) at various rates, the results obtained from one test do not necessarily correlate to those from another test. In addition, all but the cantilever test are destructive test methods.
Recently, the cantilever test was re-evaluated with the goal of non-destructively measuring the mechanical properties of aged paper (Hall et al. 2018). Discussed by Clark in 1935, the cantilever test measures the deflection of a sample that is clamped at one end and is allowed to deflect under its own weight (Clark 1935; Ewald 1927; Peirce 1930; Peterson and Dantzig 1929; Riesenfeld and Hamburger 1929; Szablewski 2004). The cantilever test can effectively and non-destructively assess the mechanical properties of aged papers (Hall et al. 2018). The results of the cantilever test give values such as the elastic and bending moduli, the bending length, c, and the ratio of exposed length to bending length, L/c. Bending modulus and L/c values were shown to trend with the MIT fold endurance number. The elastic moduli given by the cantilever test were also shown to agree with those given by tensile testing.
Other configurations have also been used for assessing mechanical properties of flexible sheets such as fabrics and paper (Peirce 1930; Plaut 2015; Takatera and Shinohara 1996). Two of these, the hanging pear loop and clamped fold tests, have been used in the analysis of fabrics (Peirce 1930; Plaut 2015). In the hanging pear loop test, a test strip is arranged into a loop, the ends clamped together, and the sample is hung vertically. In the clamped fold test, the ends of a sample are clamped together, creating a loop shape which is placed on a horizontal surface. Elasticity theory is then used to calculate the elastic and bending moduli of the samples.
This paper investigates whether the hanging pear loop and clamped fold test can be used for studying the mechanical properties of naturally aged, embrittled papers. These tests were chosen, particularly the clamped fold test, because they were considered analogous to actions regularly performed on a typical page in a book, such as turning. Eight types of paper and one elastic polymer film were studied: six naturally aged papers from the Heritage Science for Conservation (HSC) study collection, two modern papers (copy paper and Whatman #1 filter paper) and biaxially oriented polyethylene terephthalate (PET) also known more commonly as Mylar™. The results are compared to values yielded by cantilever and tensile testing and show that the clamped fold and hanging pear loop tests of the paper samples gave erroneously low values for the bending modulus and bending length due to the plastic deformation of the paper which occurred during the measurement. Though they may be valid tests for other material types, this work shows that the hanging pear loop and clamped fold tests are not as appropriate as the cantilever test for examining the mechanical properties of paper-based materials, particularly aged papers.
2 Materials and methods
Copy paper and Whatman Filter Paper #1 were purchased from Office Depot (Boca Raton, FL) and Talas (Brooklyn, NY), respectively. The aged book papers were taken from books randomly selected from the HSC study collection. The six books were printed throughout the 19th and twentieth centuries and the pages taken from them are labelled as aged papers #1- #6 (see Table 1). Every fifth page within the centre third of the selected books was removed for testing. Semi-crystalline biaxially oriented polyethylene terephthalate (PET) was obtained from Talas (Brooklyn, NY). Differential Scanning Calorimetry (DSC) measurements showed the PET film had a crystallinity of 25–33 % (McGath et al. 2017).
Year of publication, thickness and density measurements of the samples.
| Sample | Year of Publication (where applicable) | Thickness (mm) | Grammage (g/m2) | Density (g/cm3) |
|---|---|---|---|---|
| Aged Paper #1 | 1927 | 0.147 | 88.5±1.3 | 0.600±0.009 |
| Aged Paper #2 | 1957 | 0.151 | 98.3±0.5 | 0.634±0.003 |
| Aged Paper #3 | 1869 | 0.153 | 109.9±0.8 | 0.719±0.005 |
| Aged Paper #4 | 1909 | 0.131 | 78.0±1.4 | 0.595±0.011 |
| Aged Paper #5 | 1961 | 0.130 | 92.4±1.1 | 0.711±0.009 |
| Aged Paper #6 | 1943 | 0.149 | 73.0±3.0 | 0.494±0.019 |
| Copy Paper | new | 0.132 | 76.5±1.1 | 0.622±0.009 |
| Whatman Filter Paper #1 | new | 0.173 | 88.2±1.4 | 0.509±0.008 |
| PET | new | 0.101 | 124.8±0.7 | 1.236±0.007 |
All paper was pre-conditioned in an oven at 39±1 °C for twenty-four hours, followed by conditioning at 23±1 °C and 50±2 % relative humidity for an additional twenty-four hours prior to testing per TAPPI Standard T402 sp-08 (TAPPI Press 2013). Some of the equations used in this work are very dependent on thickness and therefore it is important to have an accurate measurement. To address this, the average thickness of the sheets was measured by stacking 10 sheets of paper together and measuring the thickness using a digital caliper. All samples were cut into 15 mm wide strips using a Thwing-Albert JDC Precision Sample Cutter. The paper strips were cut in the machine direction which had been determined previously by wetting one side of a sample of each page and noting the direction of the curl in the wet paper. The year of publication, thickness, grammage (mass/area) and density of the samples are given in Table 1. The PET film was conditioned for 40 hours at 23±1 °C and 50 % ±2% relative humidity prior to measurement according to ASTM D618-13 (ASTM 2013). All mechanical measurements were taken at 23±1 °C and 50 %±2 % relative humidity in the HSC TAPPI room.
2.1 Tensile tests
Tensile tests were conducted according to TAPPI/ANSI T494-om13 (TAPPI Press 2013) using a TMI Testometric M100-1CT (TMI North America, New Castle, DE). Tests were run with an initial test span of 180±5 mm and a span rate of 25±5 mm/min with ten repetitions (TAPPI Press 2013). The tensile tester measures the tensile force with respect to percent strain.
2.2 Bending tests
Samples subjected to the various bending tests described below were recorded photographically using a Canon EOS 5D Mark III digital camera. Samples were clamped on a stand affixed near a calibrated grid to allow for the translation of bending profiles into Cartesian coordinates using the open source software, WebPlotDigitizer (Rohatgi). The stand was fixed relative to the calibrated grid to prevent small displacements which might affect measurement accuracy. The photographs of the samples were taken within five minutes of being placed into the test configurations. Images were analyzed by measuring the maximum deflection (cantilever test) or height (hanging pear loop test, clamped fold test). The exposed length, mass, and density of the paper were also recorded. All tests were run with four replicates.
3 Theory
Elasticity theory involves the study of the deformation of materials. Both linear (small deflection) and non-linear (large deflection) continuum mechanics equations are applied to model the deformation. In particular, for thin sheets such as paper, paperboard, and fabrics, the deformation generally involves a bending configuration. For example, cantilever beams and rods can be deformed by three-point bending, four-point bending, and cantilever tests where a material is clamped at one end and allowed to deflect under its own weight or end-loaded weights. Besides the cantilever test, various loop configurations have been proposed for the study of fabrics, in particular the heart loop test, the hanging pear loop test, the hanging ring test, and the clamped fold test (Ghosh and Zhou 2003; Peirce 1930; Plaut 2015; Takatera and Shinohara 1996). In these bending tests, the material is assumed to behave elastically.
The large bending involved in the study of paper and fabrics necessitates non-linear bending equations to describe the mechanics, and the equations must be solved numerically. The procedure involves measuring the entire profile and fitting the profile to numerical calculations using the appropriate boundary conditions. If the entire measured profile fits the numerical model, then each individual point on the bend could be used to determine the deformation. This means that analytic and polynomial approximations specific to each configuration allow calculations of the deformation mechanics using only one specific point on the sample (such as the maximum height or maximum deflection) (Plaut 2015; Szablewski 2004; Takatera and Shinohara 1996). In particular, the bending and elastic moduli can be determined by measuring the maximum bending and using the polynomial approximations. For a rectangular strip, the bending can be defined in terms of the variables (Plaut 2015):
where ŵ and ĥ are non-dimensional, w=weight per unit length=ρgbt, ρ=density, b=width, t=thickness, L=undeformed, exposed length, B=bending modulus, h=maximum deflection or loop height, and c=bending length.
The Young’s modulus, E, can be determined from the bending modulus, B, via
In addition, the bending moment, M, can be assumed to be proportional to the local curvature, κ, and the strain, ε, can be calculated from the curvature via
The specific calculations used for each of the configurations are given below. Note that for the experiments, L is taken as the undeformed, exposed length which should be the same as the total arc length when there is no stretching of the film, which is assumed in the theory. It should be noted that the bending modulus, B, is independent of width, meaning that the geometry of these tests can be scaled for use with full pages, and therefore they are considered non-destructive, though we have used cut samples for this work.
3.1 Cantilever test
Individual samples were clamped at one end and allowed to deflect under their own weight (Figure 1). Samples were imaged and the maximum deflection of the end of the sample, h, was measured. The maximum deflection of the cantilever test can be numerically analyzed using the quintic polynomial (Plaut 2015)

Schematic depiction of the cantilever test. The dotted curve shows the deflection of a strip of paper under its own weight. L is the undeformed, exposed length and h is the height of the maximum deflection.
where the fit is accurate within the range 0.2<ŵ<16.0, 0.1<ĥ<0.8, and 0.6<L/c<2.5.
3.2 Hanging pear loop test
Samples had their ends clamped together, forming a loop, and were hung between two stands in such a way that the loop was aimed downwards (Figure 2). The loop was photographed and the maximum height of the loop, h, was measured. The maximum height of the loop can be approximated by the quintic polynomial (Plaut 2015)

Schematic depiction of the hanging pear loop test. L is the total length which is the undeformed, exposed length, s is the arc length, d is the maximum width of the loop, and h is the height of the loop.
where the fit is accurate within the range 0<ŵ<2500, 0.424<ĥ<0.466, and 0.00<L/c<13.51.
3.3 Clamped fold test
The ends of a sample were clamped together into a loop shape, and then were placed horizontally on a flat surface (Figure 3). The configuration was photographed and the maximum height of the loop, h, was measured. The shapes of the samples are fit with the cubic polynomial (Plaut 2015)

Schematic depiction of the clamped fold test. L is the total length of the strip, h is the maximum height of the loop, and x is the maximum horizontal length of the loop. s is the arc length measured from the point where the strip lifts off the foundation (base) at s=0. Lp is the length of the strip after the point s=0.
accurate within the range 0<ŵ<368, 0.127<ĥ<0.204, and 0.00<L/c<7.14.
4 Results and discussion
4.1 The cantilever test
The cantilever test was recently evaluated to determine the mechanical properties of aged paper, with the goal of obtaining a reliable, non-destructive test for these papers (Hall et al. 2018). Using a variety of new and aged papers, the bending profile of the paper was measured and the profile (with and without end loaded weights) analyzed using a full numerical analysis of the entire profile. Through this analysis, the bending modulus, B, the bending length, c, the strain, ε, and the curvature, κ, of the bending were determined. It was found that the bending modulus, B, and bending length, c, correlated with results found in tensile and double fold tests. When compared to the double fold test, samples with a larger bending length were more brittle than those with a smaller bending length. In addition, the strain and curvature of the samples ensured the testing remained within the elastic regime. Fitting the entire profile to the single maximum deflection point (eq. [7]) was also found to reliably describe the deflection and mechanical properties of the aged paper samples.
The cantilever test is shown in Figure 1. In this test, strips of paper were held horizontally and allowed to bend under their own weight. The maximum deflection of the strips, h, was measured. The values of ĥ, ŵ, B, and c, calculated (eqs. [1], [2], [3] and [7]) from the measured maximum deflection are shown in Table 2. For these calculations, L is measured as the undeformed, exposed length. Note that these values were previously published (Hall et al. 2018) and represent the unweighted case for the cantilever test for the aged papers, and are given as a comparison to the other tests. The curvature and strain were calculated, averaged over all paper samples, to be κ<0.03 mm−1 and ε<0.14 % (Hall et al. 2018). As will be shown later, these small strains represent a region where elastic behaviour can be assumed. Note that the maximum strain is equal to the product of the maximum curvature and half the thickness (eq. [6]).
Sample specifications from the cantilever test. The range of exposed length, L, of the samples is given and the maximum deflection, h, is used to calculate the other values according to eqs. [1], [2], [3], and [7].
| Sample | Range of L [mm] | Average ĥ | Average ŵ | Mean Bending Modulus B [N*mm] | Mean Bending Length c [mm] |
|---|---|---|---|---|---|
| Aged Paper #1 | 124–134 | 0.27±0.01 | 2.2±0.1 | 0.81±0.04 | 98±2 |
| Aged Paper #2 | 142–145 | 0.35±0.02 | 3.1±0.3 | 0.92±0.07 | 99±3 |
| Aged Paper #3 | 128–131 | 0.45±0.03 | 4.4±0.4 | 0.56±0.03 | 80±1 |
| Aged Paper #4 | 122–128 | 0.39±0.05 | 3.7±0.6 | 0.41±0.04 | 81±3 |
| Aged Paper #5 | 138–142 | 0.40±0.01 | 3.7±0.2 | 0.67±0.04 | 90±2 |
| Aged Paper #6 | 134–139 | 0.43±0.03 | 4.1±0.4 | 0.45±0.03 | 85±3 |
| Copy Paper | 131–132 | 0.51±0.05 | 5.2±0.8 | 0.33±0.06 | 76±4 |
| Whatman Filter Paper #1 | 135–136 | 0.52±0.08 | 5.6±1.4 | 0.40±0.01 | 77±7 |
| PET film | 132 | 0.65±0.09 | 9.0±2.0 | 0.40±0.07 | 66±4 |
4.2 The hanging pear loop test
The ends of a sample strip were clamped together, forming a loop that resembled a pear shape, and the loop was hung between two stands in such a way that the loop was aimed downwards (Figure 2). All samples hung straight down, and no horizontal deflection of loop midpoints was observed. The maximum height, h, and maximum width, d, of the loop were measured. The samples tested all maintained approximately the same loop shape with maximum height to maximum width ratios of the looped strip ranging from 2.05–2.45. When released from the loop conformation, a residual curve was observed where the bottom of the loop had been. The measurements and calculations (according to eqs. [1], [2], [3], and [8]) for the hanging pear loop test are shown in Table 3. The maximum height of the loop, h, was used in the calculations. Aged Paper #1 fractured on bending and so values could not be calculated for this sample.
Sample specifications from the hanging pear loop test. The ranges of exposed length, L, of the samples are given. Aged Paper #1 fractured on bending. Values are averaged from results of four replications of the test.
| Sample | Range of L [mm] | Average ĥ | Average ŵ | Average h/d | Mean Bending Modulus B [N*mm] | Mean Bending Length c [mm] |
|---|---|---|---|---|---|---|
| Aged Paper #1 | 120–124 | − | − | − | − | − |
| Aged Paper #2 | 135–141 | 0.421±0.005 | −100±140 | 2.36±0.11 | −0.02±0.08 | −10±39 |
| Aged Paper #3 | 114–123 | 0.421±0.005 | −100±160 | 2.45±0.09 | −0.011±0.038 | −13±30 |
| Aged Paper #4 | 119–125 | 0.417±0.002 | −300±100 | 2.36±0.11 | −0.006±0.004 | −20±3 |
| Aged Paper #5 | 137–138 | 0.414±0.003 | −500±200 | 2.23±0.04 | −0.006±0.003 | −19±4 |
| Aged Paper #6 | 123–130 | 0.418±0.004 | −300±300 | 2.28±0.10 | −0.02±0.02 | −26±11 |
| Copy Paper | 129–130 | 0.427±0.002 | 50±40 | 2.25±0.05 | 0.05±0.04 | 38±11 |
| Whatman Filter Paper #1 | 126–134 | 0.426±0.007 | 30±120 | 2.24±0.10 | −0.1±0.2 | −9±50 |
| PET film | 128–132 | 0.423±0.003 | −40±70 | 2.05±0.01 | −0.03±0.09 | −15±34 |
| Whatman Filter Paper #1 – Long Sample | 554–560 | 0.436±0.001 | 190±40 | 2.35±0.04 | 0.76±0.13 | 100±5 |
As shown in Table 3, of the six naturally aged papers, none could be fit within the range of accuracy for the test (0.424 ≤ ĥ ≤ 0.466) (Plaut 2015). The PET film also fell outside the range of fit accuracy. The Whatman filter paper #1 and copy paper samples could be fit using the polynomial approximation, though there were several runs of the Whatman filter paper #1 which, when fit, gave negative values. Averaging through all runs of the Whatman filter paper #1 samples yielded positive values for ĥ and ŵ, and negative values for bending modulus, B, and bending length, c. These negative values are nonphysical and clearly indicate that the assumptions in the model, likely the assumption of elastic bending, are not correct for these papers. As previously mentioned, plastic deformation was observed after the measurements, confirming that the model is not expected to fit the data.
It should be noted that the length of the strips for aged paper was limited by the size of the book. However, Whatman Filter Paper #1 can be obtained in various sizes. Therefore, a longer length of this paper was used (550 mm versus 130 mm) and the maximum height of the hanging pear loop was again measured. The measured ĥ was slightly larger than the shorter samples and gave positive bending modulus and bending length. It is interesting to note that the general shape of the loop (i. e. the ratio of the loop height to maximum diameter) was relatively unchanged, as noted by the similar values of h/d for the shorter and longer lengths (2.24 vs. 2.35). Further, a residual curve was also observed in these longer Whatman samples following the measurement.
The bending modulus and bending length obtained from the cantilever test and the hanging pear loop test of the samples that had a positive bending modulus – copy paper and Whatman Filter paper #1 (long sample) – can be compared. For copy paper, the bending modulus and bending length measured with the hanging pear loop were 15 % and 50 % respectively of those measured with the cantilever test. The bending modulus and L/c of Whatman Filter paper (long sample) were larger than those measured by the cantilever test. Specifically, the values of B and c were 90 % larger and more than 3 times larger for the hanging pear loop test than the cantilever test.
To understand this result, the curvature was calculated along the length of a copy paper sample strip using the full numerical solution to the elastic bending equations for the hanging pear loop and using the maximum height, h=55.31 mm, and undeformed length, L=130 mm, obtained from the experiments. As shown in Figure 4, a negative (concave) curvature is observed near the clamp at s=0. The curvature increases and becomes positive as the distance from the clamp increases until the maximum curvature, κ=0.084 mm−1 at the bottom of the hanging pear loop where s=L/2. The maximum strain can be calculated using eq. [6] to be 0.557 %, much higher than that of the cantilever test.

Curvature κ, for half the hanging pear loop versus fraction of the exposed length (s/L) for copy paper samples. s is the arc length and L is the total undeformed, exposed length. s/L=0.5 represents the bottom of the hanging loop.
4.3 The clamped fold test
As shown in Figure 3, the ends of a sample were clamped together into a loop shape, and the loop was then placed horizontally on a flat surface. The values measured for the clamped fold test are shown in Table 4. For all samples except PET, the samples maintained a slight curvature after the measurement, indicating that plastic deformation had occurred. All of the samples gave ĥ values within the range of accuracy for the test (0.127<ĥ<0.204). In addition, the mean bending modulus and bending length were positive, and seemed reasonable. However, the values of the bending modulus for the paper samples were an order of magnitude smaller than those measured with the cantilever test, and the bending length values were 2–4 times smaller than those measured with the cantilever test. It is probable that the act of forcing the bend of the paper caused plastic deformation which gave rise to smaller than expected values of the bending moduli and bending lengths. The exception was the PET sample which gave the same bending modulus and a slightly smaller (8 %) value for L/c. This indicates that the clamped fold test can assess the mechanical properties of certain types of materials accurately, such as PET. However, when testing paper-based materials, the fit for this test is not as reliable.
Clamped fold test. Values are averaged from results of four replications of the test.
| Sample | Range of L [mm] | LP (L above foundation) [mm] | Average L/x | Average ĥ | Average ŵ | Mean Bending Modulus B [N*mm] | Mean Bending Length c [mm] |
|---|---|---|---|---|---|---|---|
| Aged Paper #1 | 126–132 | 99±1 | 2.37±0.02 | 0.173±0.005 | 90±20 | 0.022±0.004 | 29±2 |
| Aged Paper #2 | 142–152 | 110±7 | 2.39±0.05 | 0.177±0.009 | 80±30 | 0.05±0.04 | 36±8 |
| Aged Paper #3 | 132–137 | 100±3 | 2.40±0.03 | 0.182±0.005 | 58±16 | 0.049±0.016 | 35±4 |
| Aged Paper #4 | 126–129 | 90±2 | 2.37±0.03 | 0.171±0.006 | 98±20 | 0.018±0.004 | 28±2 |
| Aged Paper #5 | 135–144 | 103±4 | 2.42±0.02 | 0.184±0.003 | 52±8 | 0.044±0.003 | 37±1 |
| Aged Paper #6 | 132–136 | 99±3 | 2.42±0.02 | 0.182±0.007 | 60±20 | 0.034±0.016 | 35±6 |
| Copy Paper | 131–134 | 101±2 | 2.39±0.02 | 0.189±0.003 | 35±11 | 0.053±0.014 | 41±4 |
| Whatman Filter Paper #1 | 133–138 | 100±3 | 2.29±0.03 | 0.165±0.006 | 140±30 | 0.017±0.004 | 20±7 |
| PET film | 126–134 | 97±3 | 2.45±0.03 | 0.198±0.002 | 12±5 | 0.4±0.3 | 60±11 |
| Whatman Filter Paper #1 – long sample | 548–555 | – | 2.21±0.01 | 0.142±0.001 | 251±4 | 0.56±0.02 | 87±1 |
The clamped fold test was also run on Whatman #1 at a much longer initial length and results were closer in value but did not agree well with those produced by the cantilever test. The values of L/c and bending modulus were 6.3 times greater and 40 % larger than those calculated by the cantilever test, respectively. Once again, plastic deformation is probably influencing the result even for this longer length, as was observed at shorter lengths. This plastic deformation is evidenced by a residual curve when the sample is removed from the clamp, also seen in the hanging pear loop test.
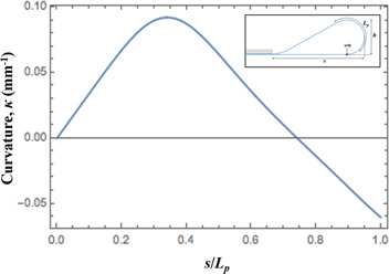
Because the ĥ values were within the range of accuracy for eq. [9], the ŵ was calculated from eq. [9] and the resulting values were used to calculate the maximum curvature for the clamped fold test. Note that the curvature, κ=0 occurs when the paper is resting on the flat plate. Therefore, for the clamped fold test, s is the arc length along the strip beginning at the point where the strip lifts off the foundation (base) at s=0. Lp is the total length of the strip measured from s=0, which is approximately 75 % of the undeformed exposed length, L. As shown in Figure 5, for copy paper, starting from s=0, as the arc length increases, the curvature steadily increases, reaches a maximum, and falls to negative values near the clamped end. The maximum curvature is 0.093 mm−1 and the maximum strain is 0.614 %.

Calculated curvature, κ, for the clamped fold test for copy paper. s=0 represents the point where the strip lifts off the foundation (base). Starting from s=0, as the strip length increases, the curvature steadily increases, reaches a maximum, and falls to negative values near the clamped end.
The maximum strain is calculated from the maximum curvature via eq. [6]. The calculated maximum strains from the three tests were compared against stress-strain curves obtained from tensile measurements. The tensile test applies a tensile force to a strip of paper until the paper tears. In this test, the force is measured as a function of percent strain. The force is reported as force per unit width (F/b) to account for the sample geometry. The slope of the F/b vs. strain curve identifies the elastic/plastic properties of the sample. Software calculations for elastic modulus use least squares best fit of the F/b vs. percent strain data starting at 20 % of peak F/b. The least squares fit includes the points past 20 % of peak F/b that give the lowest deviance from the straight line. If a linear slope is observed, especially at low strains, the material is considered elastic and the deviation from elasticity occurs when the data deviate from the linear slope.
Figure 6 shows results of the tensile test for a copy paper sample. The various curves represent multiple tests. The data show that the tensile force increases with strain and deviation from linearity occurs at low strains. This implies that plastic behaviour occurs even at low strains. Though paper is a viscoelastic, plastic material, it can still be assumed to behave elastically at very small strains, when loads are well below the yield stress (Alava and Niskanen 2006). The straight line in Figure 6 shows where the elastic behaviour is assumed, although this behaviour will change with strain rate. Also shown in Figure 6 are the comparison to the maximum strains calculated for the cantilever test, the hanging pear loop test, and the clamped fold test. It should be noted that the aged papers tested generally fracture beyond 0.5 % strain (Hall et al. 2018), and for the copy paper tensile tests shown in Figure 6, fracture occurred around 1.4 % strain.

Measurements of the tensile tests for copy paper. The solid curves show individual sample runs. The solid line represents where the mechanical properties are calculated from the tensile test results and elastic behaviour is assumed. The maximum strains induced by the cantilever, hanging pear loop, and clamped fold tests in the copy paper samples are also shown. It is evident that not only is the maximum strain higher in the hanging pear loop and clamped fold tests, but also that it is outside what is assumed to be the elastic portion of the curve. Note that the arrows show the maximum % strain induced by each test and are not indicating particular curves in the tensile test.
The sample experiences a maximum strain that is 4.5 times greater in the hanging pear loop test and the clamped fold test than that of a sample in the cantilever test. Further, this strain is outside the linear elastic portion of the tensile curve. This shows that the large strain induced by the hanging pear loop test and the clamped fold test is too great to assume elastic behaviour in paper, and plastic behaviour must be accounted for. Therefore, plastic deformation is occurring during the large strains in the hanging pear loop and the clamped fold tests, and these tests do not allow for accurate measurement of the mechanical properties of paper samples, when elastic behaviour is assumed.
5 Conclusion
Three tests were assessed for their ability to measure the mechanical properties of paper – the cantilever test, the clamped fold test, and the hanging pear loop test. The cantilever test has previously been shown to be a reliable method of measuring the bending length and modulus of paper samples and was also shown to give values that trend with the MIT fold endurance number. The hanging pear loop test and the clamped fold test did not give reliable results for paper. The assumptions made in the analysis of the hanging pear loop test, namely that the elastic regime is being examined, were found to be incorrect. This was indicated by the nonphysical, negative values found for ŵ, the bending modulus, and the bending length, as well as a residual curve seen in tested samples. This residual curve was also induced by the clamped fold test. When the maximum curvature and strain were calculated for each test, it was found that they are much higher in the hanging pear loop and clamped fold tests than those experienced during the cantilever test. The strains induced by the hanging pear loop and clamped fold tests are, in fact, outside the elastic regime for the paper samples tested. It should be noted that accurate fits were possible with PET film in the clamped fold test. This shows that while it may not be an appropriate test for paper, the clamped fold test can be used successfully on other materials. The clamped fold test and hanging pear loop test are not appropriate for paper due to the plastic behaviour that is induced by high curvatures and strains.
Funding statement: Andrew W. Mellon Foundation, (Grant/Award Number: ‘Renewed support for Heritage Science for Conservation’).
About the authors
Andrea Hall is a Senior Research Specialist at Heritage Science for Conservation in the Department of Conservation and Preservation at Johns Hopkins University. Hall has a background as a conservation specialist and a materials scientist. She received her Masters of Science in Engineering from Johns Hopkins University in 2016, her Bachelor of Science in biology at Bowling Green State University, and studied the conservation of art and artifacts at Studio Arts College International in Florence, Italy.
Dr. Raymond H. Plaut received his B.S. from Caltech, and his M.S. and Ph.D. in Applied Mechanics from the University of California at Berkeley. He was a faculty member for one year at the University of Nottingham, seven years at Brown University, and 33 years at Virginia Tech including a one-year sabbatical at the Technical University of Denmark. Since retiring in 2008 he has been a full-time voluntary teacher’s aide, for three years at Head Start pre-school and since then in a kindergarten class.
Patricia McGuiggan obtained her Ph.D. in Chemical Engineering from the University of Minnesota. During her Ph.D., she was a research scholar in the Applied Mathematics Department at the Australian National University working with Richard Pashley. She spent 3 years as a postdoctoral fellow at the University of California, Santa Barbara with Professor Jacob Israelachvili. She has worked at 3 M, W.L. Gore & Associates, and the National Institute of Standards and Technology. She is currently an associate research professor in the Department of Materials Science and Engineering at Johns Hopkins University and is P.I. of the Heritage Science for Conservation Program in the Department of Conservation and Preservation at JHU.
Acknowledgements
We thank Thomas O’Connor and Molly McGath for assistance with the analysis of cantilever testing results. We also thank the Andrew W. Mellon Foundation for funding this research.
References
Alava, M., Niskanen, K.: The physics of paper. Reports on Progress in Physics 69.3 (2006): 669–723.10.1088/0034-4885/69/3/R03Search in Google Scholar
ASTM, ASTM D618-13: Standard practice for conditioning plastics for testing 1. https://compass.astm.org/download/D618.16866.pdf.Search in Google Scholar
Baker, C. A.: From the hand to the machine: Nineteenth century American paper and mediums: Technologies, materials, and conservation. Ann Arbor: the Legacy Press, 2010.Search in Google Scholar
Clarke, J. D.: Determining the rigidity, stiffness, and softness of paper. Paper Trade Journal 100.3 (1935): 41–44.Search in Google Scholar
Ewald, W.: Ein neuer Steifigkeitsprüfer für Papier. Zellstoff und Papier 7 (1927): 112–115.Search in Google Scholar
Ghosh, T. K., Zhou, N.: Characterization of fabric bending behavior: A review of measurement principles. Indian Journal of Fibre and Textile Research 28.4 (2003): 471–476.Search in Google Scholar
Hall, A. K. I., O’Connor, T. C., McGath, M. K., McGuiggan, P. M.: The bending mechanics of aged paper. Journal of Applied Mechanics 85.7 (2018): 071005–1–071005–10.10.1115/1.4039881Search in Google Scholar
McGath, M., Hall, A., Zaccaron, S., Wallace, J., Minter, W., McGuiggan, P. M.: Stewing in its own juices? The permeability of PET by water and acetic acid. Restaurator 38.4 (2017): 355–382.10.1515/res-2017-0008Search in Google Scholar
Peirce, F.: The “handle” of cloth as a measurable quantity. Journal of the Textile Institute Transactions 21.9 (1930): T377–T416.10.1080/19447023008661529Search in Google Scholar
Peterson, E. C., Dantzig, T.: Stiffness in fabrics produced by different starches and starch mixtures, and a quantitative method for evaluating stiffness (technical bulletin no. 108). Washington, D.C.: United States Department of Agriculture, 1929: 1–29.Search in Google Scholar
Plaut, R. H.: Formulas to determine fabric bending rigidity from simple tests. Textile Research Journal 85.8 (2015): 884–894.10.1177/0040517514553877Search in Google Scholar
Riesenfeld, E., Hamburger, T.: Ein neuer Steifigkeitsprüfer für Papier. Der Papier-Fabrikant 27 (1929): 709–710.Search in Google Scholar
Rohatgi, A., WebPlotDigitizer. http://www.webplotdigitizer.com (accessed 2018).Search in Google Scholar
Szablewski, P.: Numerical identification of elasticity coefficients for the bending problem. Autex Research Journal 4.4 (2004): 206–210.10.1515/aut-2004-040406Search in Google Scholar
Takatera, M., Shinohara, A.: An analysis to compare conventional methods for estimating bending rigidity of fabrics. Journal of the Textile Machinery Society of Japan 42.3,4 (1996): 86–92.10.4188/jte1955.42.86Search in Google Scholar
TAPPI Press: Standard conditioning and testing atmospheres for paper, board, pulp handsheets, and related products, TAPPI T402 sp-13. Peachtree Corners: TAPPI, 2013.Search in Google Scholar
TAPPI Press: Tensile properties of paper and paperboard (using constant rate of elongation apparatus), TAPPI/ANSI T494 om-13. Peachtree Corners: TAPPI/ANSI, 2013.Search in Google Scholar
TAPPI Press: Internal tearing resistance of paper (Elmendorf-type method), TAPPI T414 om-12. Peachtree Corners: TAPPI, 2012.Search in Google Scholar
TAPPI Press: Folding endurance of paper (MIT tester), TAPPI/ANSI T511 om-13. Peachtree Corners: TAPPI/ANSI, 2013.Search in Google Scholar
Zou, X., Gurnagul, N., Uesaka, T., Bouchard, J.: Accelerated aging of papers of pure cellulose: Mechanism of cellulose degradation and paper embrittlement. Polymer Degradation and Stability 43.3 (1994): 393–402.10.1016/0141-3910(94)90011-6Search in Google Scholar
© 2019 Walter de Gruyter GmbH, Berlin/Boston
Articles in the same Issue
- Frontmatter
- Application of 3D Scanning for Documentation and Creation of Physical Copies of Estampages
- Comparing Non-destructive Mechanical Testing Methods for the Assessment of Brittle Papers – The Cantilever, Hanging Pear Loop, and Clamped Fold Tests
- Perforated Cardboards: A Support for Embroidery Used for Various Everyday Objects in the Victorian Age
Articles in the same Issue
- Frontmatter
- Application of 3D Scanning for Documentation and Creation of Physical Copies of Estampages
- Comparing Non-destructive Mechanical Testing Methods for the Assessment of Brittle Papers – The Cantilever, Hanging Pear Loop, and Clamped Fold Tests
- Perforated Cardboards: A Support for Embroidery Used for Various Everyday Objects in the Victorian Age