In the last few decades, the development of photo-responsive materials has become an intensive area of research. These substances are intended for the production of “smart chemical systems”, whose properties – and eventually functionality – are controlled by changes in the environment (light irradiation) [1]. These systems have already been implemented in a wide range of modern materials and devices for daily applications such as sunglass lenses, memory devices, photochromic inks, etc. [2]. Light offers unparalleled opportunities as a non-invasive regulatory element for biological applications. First, it shows a great degree of orthogonality toward most elements of chemical and biochemical systems. In contrast to chemicals, which are used for regulating biological processes, photons do not cause contamination of the studied object and have low or negligible toxicity. Second, light can be delivered with very high spatial and temporal precision, which is of paramount importance for controlling the action of bioactive compounds. Finally, light can be regulated in a qualitative and quantitative manner by adjusting wavelength and intensity [3]. Despite the importance and versatility of transition metal complexes, smart photo-responsive examples remain rather unexplored in comparison with the large number of well-known light-triggered organic switches. In principle, photo-responsive metal complexes can be obtained by incorporation of organic photochromic units in the structure of their ligands. These photo-sensitive ligands, rather than acting as conventional spectators that tune the properties of their complexes, transform them into dynamic smart entities able to offer a functional response to an external stimulus.
This chapter is divided into two parts. In the first part we discuss the photoisomerisation processes of azobenzene molecules as organic photochromic units, while in the second part we describe selected examples of complexes containing these UV-sensitive moieties in their structures.
1 Azobenzene
Azobenzene (Fig. 1) was described for the first time in 1834 [4], and one century later, in 1937, G. S. Hartley published a study of the influence of light on the configuration of its N=N double bonds [5].

The structure of azobenzene.
Azobenzene-based chromophores are versatile molecules and have received much attention in both fundamental and applied research. The strong electronic absorption maximum can be tailored by ring substitution to fall anywhere from ultraviolet to red-visible regions, allowing chemical fine-tuning of colour. This, combined with the fact that these azo groups are relatively robust and chemically stable, has prompted extensive study of azobenzene-based structures as dyes and colorants. The rigid mesogenic shape of the molecule is well suited for spontaneous organisation into liquid-crystalline (LC) phases, and hence polymers doped or functionalised with azobenzene-based chromophores (azo polymers) are common as LC media. With appropriate electron donor/acceptor ring substitution, the π electron delocalisation of the extended aromatic structure can yield high optical nonlinearity, and azo chromophores have been extensively studied for nonlinear optical applications as well. One of the most interesting properties of these chromophores, however, and the subject of this chapter, is the readily induced and reversible isomerisation about the azo bond between trans and cis geometric isomers and the geometric changes that result when azo chromophores are incorporated into complexes. For purpose of classification of geometrical photoswitching, the nature and behaviour of an azobenzene based chromophore can be well described by four variables:
electronic absorbance maximum, λmax
dipole moment, µ
shape, which can be roughly quantified by the aspect ratio ra
effective occupied volume, OV.
Each of these variables can be controlled synthetically with the introduction of appropriate ring substituents, or in the case of ra also by linking together additional phenyl rings with azo bonds to form dis- and tris-azobenzene dyes. For a wide range of λmax values displayed by various azo chromophores (and hence a wide range of colours and properties) a useful classification scheme was introduced by Rau. Azo aromatic chromophores can be considered to belong to one of three spectral types based on the energetic ordering of their (π⋆, n) and (π⋆, π) electronic states as that of azobenzene type, aminoazobenzene type, or pseudo-stilbene type.
Azobenzene-type molecules display a low-intensity π⋆ ← n absorption band in the visible region and a high-intensity π⋆ ← π band in the UV one. Ortho- or para-substitution with an electron-donating group (such as an –NH2 amino) leads to the aminoazobenzene type where the π⋆ ← n and π⋆ ← π bands are very close or overlapped in violet or near-visible UV due to an increase in the π orbital energy and a decrease in the energy of the π⋆ orbital. This effect is enhanced with the 4 and 4′ position substitution of electron donor and electron acceptor (push/pull) substituents (such as an amino and –NO2 nitro group, respectively), which shifts the π⋆ ← π transition band toward the red (past that of the π⋆ ← n) to assume a reverse order, and places the molecule in the pseudo-stilbene spectral class.
Key to some of the most interesting applications of azobenzene complexes is the readily induced and reversible isomerisation about the azo bond between trans (E) and cis (Z) geometrical isomers, which can be interconverted by light and heat (Fig. 2). The trans-isomer can be photoisomerised to the cis-isomer, which can be converted back to the trans form again either photochemically or thermally. As shown in Fig. 2, the geometrical change associated with trans- to cis-isomerisation of azobenzenes is significant, and can be used to destroy or rearrange the order in a wide variety of organised media. The conversion from trans- to cis-azobenzene decreases the distance between the 4 and 4′ ring positions from 9.0 to 5.5 Å [6], increases the average free-volume requirement [7], and can produce a substantial change in many of the observable properties of azo-containing systems. The isomerisation is completely reversible, and free from side reactions. This applies to azobenzenes in solution, liquid crystals, sol-gel systems, monolayer films, dispersed in polymers, and bound in polymers, though with marked differences in kinetics and quantum yields. It is important to note that the composition of the photostationary state, the equilibrium state of the three conversion processes under irradiation, is unique to each system and can depend on irradiation intensity, temperature, quantum yields, free volume, and substituents. The trans form of azobenzene is more stable with a difference in ground-state energies of cis and trans of 50 kJ/mol. Unlike the planar trans form, cis-azobenzene assumes a geometry with the phenyl rings twisted at right angles to the C–N═N–C plane.

Trans (left) and cis (right) geometric isomers of azobenzene.
For purposes of azobenzene isomerisation, the nature of the light that is used to induce isomerisation can be defined simply by three properties:
wavelength
intensity
polarisation.
The irradiation used in most experimental work with azo polymers can be generated by low-power gas lasers (such as Ar+ or HeNe) or solid-state (such as YAG or GaAs) lasers, as they produce light that is of more than sufficient intensity and of the appropriate frequency. The wavelengths of light produced by these readily available lasers can address usual λmax values of a wide range of substituted azo chromophores, from the UV (Ar+ line at 350 nm), through blue (Ar+ line at 488 nm) and green (Ar+, YAG, HeNe lines at 514, 532, 545 nm), to the red (HeNe, GaAs lines at 633, 675 nm). The rates and extent of isomerisation of azobenzenes depend on the irradiation intensity, the quantum yields for the two processes (Φtrans and Φcis), and the rate constant k, which governs the thermal relaxation from the cis back to the trans form. The net effect of these competing processes can be summarised by the cis concentration [cis] in the photostationary state (PSS), representing the extent of isomeric conversion achieved under irradiation. In general, k for the spectral classes of azobenzene, aminoazobenzene, and pseudo-stilbene is observed to be of the order of hours, minutes, and seconds, respectively, and the isomeric ratio in the PSS is observed to be predominantly cis, near unity, and predominantly trans, respectively, under usual irradiation levels. In the dark, [cis] usually lies below the limit of detection, and the system can be considered to be composed of 100% trans molecules. The mechanism of isomerisation of azobenzene is still unclear. Early suggestions of a rotation about the –N═N– double bond axis were in disagreement with later work suggesting an inversion mechanism through a linear transition state, though further work with substituent dependencies of thermal relaxation again suggested a rotation mechanism. The range of results suggests that there may not be one general mechanism, but a competition between the two, depending on the spectral class of the chromophore and the local environment [8–12]. A combination of these remarkable photoswitching properties of azobenzene with the electrochemical, magnetic, catalytic, or biological properties of the metal complexes could give rise to multifunctional molecules. In many of these metal species, the ligand is chelated to the metal through one of the nitrogen atoms and either a second nitrogen donor substituent or a carbon atom, so that the photoisomerisation of the azo group is not possible [13]. Thanks to the light-induced interconversion, the systems incorporating azobenzenes can be used as photoswitches, effecting rapid and reversible control over a variety of chemical, mechanical, electronic, and optical properties [14]. According to Professor Han [15], light-responsive metal complexes are considered potential candidates for applications in sensors, molecular motors, optical data storage, and medicine.
2 UV-sensitive complexes
2.1 Azobenzene with nickel (Ni)
Azobenzene–metal complexes are considered potential candidates for applications in medicine, especially in magnetic resonance imaging (MRI). MRI is one of the most important noninvasive tools in diagnostic medicine. As opposed to other deep tissue imaging modalities such as computer tomography (CT) or positron emission spectroscopy (PET), no ionising radiation is used in MRI examinations, and no radiation damage is induced. To date, >200 million doses of MRI contrast agents (CAs) have been administered to patients worldwide [16]. Commercially available CAs are mainly gadolinium(III) chelate complexes [17]. With a spin of
![Fig. 3 Azobenzene-Ni complexes for magnetic resonance imaging. Reprinted with permission from [20]. Copyright (2015) American Chemical Society.](/document/doi/10.1515/psr-2016-0002/asset/graphic/j_psr-2016-0002_fig_003.jpg)
Azobenzene-Ni complexes for magnetic resonance imaging. Reprinted with permission from [20]. Copyright (2015) American Chemical Society.
As presented in Fig. 3, green (500 nm) and violet-blue (435 nm) light were used to switch the relaxation time of solvent protons in a 3 mM solution by a factor of >2, and the relaxivity (R1) of the contrast agent changes by a factor up to 6.7. The change in contrast was clearly visible in a clinical MRI scanner. Contrast control was based on a cascade of events that includes photoisomerisation of an azo ligand, coordination change at Ni2+, spin switch, and MRI contrast change. The system was optimised in such a way that each step was close to quantitative. No side reaction or fatigue was detected after >100,000 switching cycles. The metastable cis form (contrast “on” state) has a half-life of >1 year at room temperature. Prof. Herges’s light-driven coordination-induced spin state switch approach has the potential to provide the basis for the development of a number of interesting applications, including the design of temperature- or pH-responsive contrast agents for MRI. The latter would be useful to detect tumours because they exhibit a higher temperature and a lower pH than surrounding tissue.
2.2 Azobenzene with platinum (Pt) and palladium (Pd)
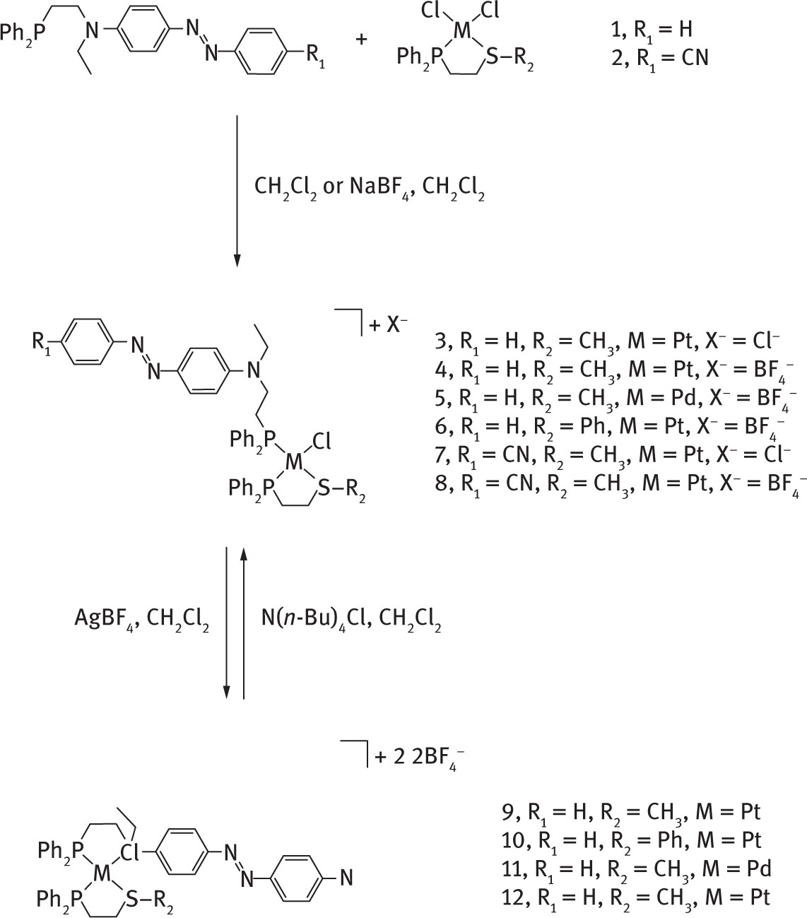
As mentioned in the introduction section, extensive studies have led to general categorisation of azobenzene derivatives into three types, namely azobenzene (AB), aminoazobenzene (aAB), and pseudostilbene types (pAB), on the basis of the relative energetic order of their n–π⋆ and π–π⋆ transition bands. The materials of pAB-and aAB-type, obtained through attachment of electron-accepting and/or – donating moieties to the parent AB, display the desired red-shifted photoexcitation energies for isomerisation in comparison to the AB-type materials. However, both aAB and pAB exhibit significantly increased rates of thermal cis to trans isomerisation, which may limit their use in applications that require longer lived cis isomers [21]. Even though the AB family as a whole offers a wide span of photoexcitation energies and cis thermal stabilities, there is still a major challenge to develop new synthetic approaches that would allow forward and back isomerisation of AB with visible light and thermal stabilities of the corresponding cis isomers within a wide range of time scales. Among several synthetic strategies employed to control the photochemical properties given above, azo-conjugated transition-metal complexes have been shown to provide new advanced molecular functions via combinations of the remarkable photoswitching properties of AB and the magnetic, electrochemical, or coordination properties of the transition metal complexes [22–24]. For this reason the research group of Prof. Mirkin from the Department of Chemistry and International Institute for Nanotechnology, Northwestern University in Evanston, USA has been particularly interested in exploiting the photochemistry of AB moieties in the context of the weak-link approach (WLA), a coordination-chemistry-based method for the construction of allosterically controlled supramolecular complexes. This approach allows modulation of the structure and properties of functional moieties embedded into the supramolecular architecture via coordination chemistry at distal sites, and it has been extensively employed in catalytic switches, chemical sensors, and signal amplification applications. Prof. Mirkin and his group envisioned that AB could bestow WLA systems with multiple new functionalities, since its photoisomerisation can allow the toggling of properties intrinsic to the behaviour of catalytic switches, such as reactive cavity sizes and substrate binding affinities. Furthermore, they hypothesised that AB could provide signaling for coordination changes that directly relate to the activity of a WLA system through the modulation of AB’s electronics upon changes in coordination to the structural regulatory centers. Recently, the authors published a paper that presented results concerning the synthesis and study of a series of d8 transition-metal (Pt(II) and Pd(II)) coordination complexes incorporating phosphine-functionalised aminoazobenzene derivatives as hemilabile phosphino-amine (P, N) ligands as model WLA photoresponsive constructs (Fig. 4) [25].
![Fig. 4 Synthetic Routes to Aminoazobenzene-Conjugated WLA Complexes, Reprinted with permission from [25]. Copyright (2013) American Chemical Society.](/document/doi/10.1515/psr-2016-0002/asset/graphic/j_psr-2016-0002_fig_004.jpg)
Synthetic Routes to Aminoazobenzene-Conjugated WLA Complexes, Reprinted with permission from [25]. Copyright (2013) American Chemical Society.
The group of Prof. Mirkin has found that the optical and photochemical properties of these complexes are highly influenced by various tunable parameters in WLA systems, which include the type of metal, coordination mode, type of ancillary ligand, solvent, and outer-sphere counteranions. The authors conclude that in dichloromethane, reversible chelation and partial displacement of the P, N coordinating moieties allow the toggling between aminoazobenzene- or pseudostilbene- and azobenzene-type derivatives. The reversible switching between electronic states of azobenzene can be controlled through either addition or extraction of chloride counterions and is readily visualised in the separation between π–π⋆ and n–π⋆ bands in the complexes’ electronic spectra. In acetonitrile solution, the WLA variables inherent to semiopen complexes have a significant impact on the half-lives of the corresponding cis isomers, allowing tuning of their half-lives from 20 to 21000 s, while maintaining photoisomerisation behaviours with visible light. Therefore, one can significantly increase the thermal stability of a cis-aminoazobenzene derivative to the extent that single crystals for X-ray diffraction analysis can be grown for the first time, uncovering an unprecedented edge-to-face arrangement of the phenyl rings in the cis isomer. Overall, the azobenzene-functionalised model complexes shed light on the design parameters relevant for photocontrolled WLA molecular switches, as well as offer new ways of tuning the properties of azobenzene-based, photoresponsive materials.
Palladium complexes with azobenzene moieties as photo-sensitive ligands have also been a subject of study of Prof. Han from Nagoya University in Japan. Azobenzene-based palladium(II) complexes have been extensively studied because of their widespread applications in catalysis, organic and organometallic synthesis, optoelectronic devices, and in the design of a new class of metallomesogens. On reaction with readily available palladium, platinum, and a variety of other transition metals, azobenzene frequently undergoes cyclometalation at the ortho carbon of the phenyl ring along with the lone pair of a nitrogen of the azo group. Recent investigation has suggested that cyclopalladated azobenzene complexes derive their novel liquid crystalline, electrochemical, photoconducting, and fluorescence characteristics from interactions between transition metal ions and azobenzenes. However, once a cyclopalladation reaction occurs between a central metal ion and photoisomerisable azobenzene ligands, azobenzene becomes a rigid trans-blocked ligand and does not show reversible conformation changes in response to light wavelength. One way to overcome this drawback is to obstruct facile cyclopalladation at the ortho carbon of the phenyl ring and to synthesise stable mononuclear palladium complexes through only one N:/Pd s-bond [15]. For this reason, Prof. Han and his group has decided to design a strategy for stable light-sensitisation of palladium complexes, and to describe the important determinants of stabilising/destabilising azobenzene-based palladium complexes capable of undergoing repeated light-triggered conformation changes. Experimental results presented by the authors [15] suggest that unusually distorted trans-azobenzene is hardly influenced by the complexation reaction which requires considerable distortion of the azobenzene unit, thus stabilising mononuclear palladium complexes. In nonpolar solvents, these complexes underwent repeated conformation changes under alternating UV and visible light irradiation. However, in polar solvents, the UV-triggered conformation change was accompanied by facile light-assisted breaking of the N:/Pd bond. Even dark incubation in polar organic solvents caused the dissociation of azobenzene ligands from the complexes. The same authors have discovered that the breaking rate of the N:/Pd bond increased in the order of benzene z dichloromethane < acetone < DMF, with more polar solvents inducing faster dissociation. The results obtained clearly show that the solvent polarity effect on the stability of azobenzene-based complexes can be interpreted in terms of the degree of polarisation of the metal–ligand bond formed as a consequence of interactions between the palladium ion as a soft acid and azobenzene nitrogen as a hard base.
2.3 Azobenzene with cobalt (Co)
The group of Prof. Nishihara from the University of Tokyo, Japan, has investigated the photochemical properties of azobenzene-bound bipyridine and terpyridine metal complexes [26, 27]. Generated results show that tris(bipyridine)cobalt complexes exhibit a number of interesting behaviours, including: (1) a simple electronic structure exhibiting only weak ð-ð⋆ absorption bands in the UV region and very weak d-d⋆ absorption in the visible region, which could simplify photochemical investigations; and (2) the reversible redox behaviour of cobalt bipyridine complexes, which yields electron-related phenomena of interest, including light induced electron transfer. The same authors have found that the Co-(III) complexes [Co(pAB)3](BF4)3{pAB) 4-[4-(4-tolylazo)-phenyl]-2,2ʹ-bipyridine and [Co(mAB)3](BF4)3 mAB)4-[3″-(4‴-tolylazo)phenyl]-2,2ʹ-bipyridine significantly prevent formation of the cis isomer by UV light irradiation, whereas the corresponding Co(II) complexes do not [28]. According to the investigators, the achieved result could be applied to realise the reversible trans-cis photoisomerisation of azobenzene moieties using a single UV light source and the CoIII/CoII redox reaction (Fig. 5). Furthermore the group of Prof. Nishihara has investigated photoisomerisation properties of tris(bipyridine)cobalt complexes containing six or three azobenzene moieties (Fig. 6) [29], namely, [CoII(dmAB)3](BF4)2 dmAB) 4,4ʹ-bis[3″-(4‴-tolylazo)phenyl]-2,2ʹ-bipyridine, [CoIII(dmAB)3](BF4)3, [CoII-(mAB)3](BF4)2 mAB) 4-[3″-(4‴-tolylazo)phenyl]-2,2ʹ-bipyridine, and [CoIII(dmAB)3](BF4)3, derived from the effect of gathering azobenzenes in one molecule and the effect of the cobalt(II) or cobalt(III) ion using UV-vis absorption spectroscopy, femtosecond transient spectroscopy, and 1H NMR spectroscopy.
![Fig. 5 Reversible isomerisation using a single light source and redox reaction. Reprinted with permission from [28]. Copyright (2005) American Chemical Society.](/document/doi/10.1515/psr-2016-0002/asset/graphic/j_psr-2016-0002_fig_005.jpg)
Reversible isomerisation using a single light source and redox reaction. Reprinted with permission from [28]. Copyright (2005) American Chemical Society.
![Fig. 6 Azobenzene-bound tris(bipyridine) cobalt complexes. Reprinted with permission from [29]. Copyright (2005) American Chemical Society.](/document/doi/10.1515/psr-2016-0002/asset/graphic/j_psr-2016-0002_fig_006.jpg)
Azobenzene-bound tris(bipyridine) cobalt complexes. Reprinted with permission from [29]. Copyright (2005) American Chemical Society.
Under this study, in the photostationary state of these four complexes, nearly 50% of the trans-azobenzene moieties of the Co(II) complexes were converted to the cis isomer, and nearly 10% of the trans-azobenzene moieties of the Co(III) complexes isomerised to the cis isomer, implying that the cis isomer ratio in the photostationary state upon irradiation at 365 nm is controlled not by the number of azobenzene moieties in one molecule, but rather by the oxidation state of the cobalt ions. The femtosecond transient absorption spectra of the ligands and the complexes suggested that the photoexcited states of the azobenzene moieties in the Co(III) complexes were strongly deactivated by electron transfer from the azobenzene moiety to the cobalt center to form an azobenzene radical cation and a Co(II) center. The cooperation among the photochemical structural changes of six azobenzene moieties in [CoII(dmAB)3](BF4)2 was investigated with 1H NMR spectroscopy. The time-course change in the 1H NMR signals of the methyl protons indicated that each azobenzene moiety in [CoII(dmAB)3](BF4)2 isomerised to a cis isomer with a random probability of 50% and without interactions between the azobenzene moieties as shown in Fig. 7.
Very interesting results have been presented by Wang et al. [30]. They showed that by using trimethylphosphine-supported organocobalt compounds in low oxidation states, they were able to activate the C–H bond with an azo N atom and phenoxy O atom as anchoring groups through cyclometalatio and obtain the aniline derivatives, shown in Fig. 8, as a result of the N═N cleavage.
![Fig. 8 Reactions of 2-(4′-R-phenylazo)-4-methylphenols (R = Me (1), Br (2)) with Co(PMe3)3Cl afford two organocobalt(III) complexes, Co(PMe3)2Cl(Me(C6H3O∩N=NC6H3R)·(H2NC6H4R)) (R = Me (3), Br (4)), whereas the reactions of 1 and 2 with Co(PMe3)4 and Co(PMe3)4Me afford the dinuclear complex [Co2(PMe3)4(MeC6H3O∩NH)2] with the cleavage of N═N bond. Reprinted with permission from [30]. Copyright (2008) American Chemical Society.](/document/doi/10.1515/psr-2016-0002/asset/graphic/j_psr-2016-0002_fig_008.jpg)
Reactions of 2-(4′-R-phenylazo)-4-methylphenols (R = Me (1), Br (2)) with Co(PMe3)3Cl afford two organocobalt(III) complexes, Co(PMe3)2Cl(Me(C6H3O∩N=NC6H3R)·(H2NC6H4R)) (R = Me (3), Br (4)), whereas the reactions of 1 and 2 with Co(PMe3)4 and Co(PMe3)4Me afford the dinuclear complex [Co2(PMe3)4(MeC6H3O∩NH)2] with the cleavage of N═N bond. Reprinted with permission from [30]. Copyright (2008) American Chemical Society.
New dimeric η2-diyne complexes of cobalt, linked through an azobenzene ligand, presented in Fig. 9, have been a subject of investigation of Moreno and co-workers [13]. The authors synthesised cobalt-azobenzene complexes via coupling reactions of 4,4′-diiodoazobenzene with excess trimethylsilylacetylene (TMSA) and 1-decyne, respectively, under Sonogashira coupling conditions. Under this study, para-Alkynyl azobenzene derivatives (R-Azo-R) and their organometallic cobalt complexes linked to the azobenzene unit by a π-conjugated carbon bridge were synthesised in satisfactory yields by direct reaction between Co2(CO)8 and the organic ligands. Complexes containing Co2(CO)4(L-L) have been obtained by substitution reaction of carbonyl ligands, in the presence of Me3NO. Figure 10 shows a polarising optical photomicrograph of the complex obtained by Moreno et al. at 37 °C on cooling from the isotropic liquid. The results obtained clarified the scientific knowledge about the role of transsubstituents, and the mesomorphic behaviour of several para-alkynyl azobenzene derivatives (R-Azo-R) and their organometallic cobalt complexes linked to the azobenzene unit by a π-conjugated carbon bridge.
![Fig. 9 Dimeric η2-diyne complexes of cobalt linked through an azobenzene ligand. Reprinted with permission from [13]. Copyright (2015) American Chemical Society.](/document/doi/10.1515/psr-2016-0002/asset/graphic/j_psr-2016-0002_fig_009.jpg)
Dimeric η2-diyne complexes of cobalt linked through an azobenzene ligand. Reprinted with permission from [13]. Copyright (2015) American Chemical Society.
![Fig. 10 Polarising optical photomicrograph (20×) of the complex obtained by the at 37 °C on cooling from the isotropic liquid. Reprinted with permission from [13]. Copyright (2015) American Chemical Society.](/document/doi/10.1515/psr-2016-0002/asset/graphic/j_psr-2016-0002_fig_010.jpg)
Polarising optical photomicrograph (20×) of the complex obtained by the at 37 °C on cooling from the isotropic liquid. Reprinted with permission from [13]. Copyright (2015) American Chemical Society.
Research groups of Prof. Itoh from Japan [31] and Prof. Shumelyuk from Ukraine [32] have performed intensive studies in order to understand the influence of cobalt-azobenzene complexes on the composite films behaviour. In particular, the group of Prof. Itoh has investigated polarised spectra of hybrid materials of chiral Schiff base cobalt(II), nickel(II), copper(II), and zinc(II) complexes and photochromic azobenzenes in polymethylmethacrylate (PMMA) cast films, while the group of Prof. Shumelyuk has recorded holograms in films of a 4-methacroyloxy-(4-carboxy-3-hydroxy)-2-chloroazobenzene polycomplex with cobalt, for parallel and orthogonal orientation of the light beam polarisation. Prof. Itoh’s group studied a series of hybrid materials in the aspect of photo-tuning of optical anisotropy and conformational changes caused by the so-called Weigert’s effect (merely polarised light induces optical anisotropy in azo-compounds) accompanying cis–trans photoisomerisation, by means of alternate irradiation of UV or visible polarised light. In order to confirm certain intermolecular interactions, these authors used polarised light irradiation and polarised absorption spectroscopy to generate or observe molecular arrangement. This approach was one of several attempts to design multi-input and multi-output digital logic circuits by using conventional organic–inorganic hybrid materials and spatial information. The results have provided evidence that a dichroism of polarised spectra could be observed for the cis-form of azobenzene but not for the trans-form of azobenzene. The group of Prof. Shumelyuk, based on the results obtained, hypothesised that the information-related characteristics of the recording medium can be controlled by external electric or magnetic fields, owing to the presence of magnetic metal ions in the composition of the medium.
2.4 Azobenzene with manganese (Mn), rhenium (Re) and ruthenium (Ru)
Although the toxicity of carbon monoxide is well established (it is often referred to as the silent killer) [33], the salutary effects of this diatomic molecule have only recently been recognised [34, 35]. CO is endogenously produced through the catabolism of heme by the enzyme heme oxygenase (HO) [36]. Surprisingly, at low concentrations, CO imparts significant anti-inflammatory and antiapoptotic effects in mammalian physiology through various pathways [34]. CO also provides protection from myocardial infraction [37] and has been employed during pretreatment in procedures of organ transplantation and preservation [38]. Despite such beneficial roles of CO in different therapeutic settings, difficulties in handling this toxic gaseous molecule loom as a major concern in CO therapy [39]. To evade such impediments, researchers have undertaken initiatives to synthesise various transition metal carbonyl complexes for use as pro-drugs, which eventually deliver CO to biological targets [40]. Many of these carbonyl complexes, commonly known as CORMs (carbon monoxide releasing molecules), undergo solvent-assisted release of CO and thus serve as agents for controlled CO delivery. However, such CORMs often suffer from poor solubility in biological systems, poor stability under aerobic conditions, or short half-lives. These drawbacks called for an alternative trigger for CO release from CORMs in addition to achieve better stability in biological milieu. Because further control of such CO delivery through light-triggering can be achieved with photoactive metal carbonyl complexes (photoCORMs), over the past few years much effort has been directed to isolating such complexes. Typical metal carbonyl complexes release CO when exposed to UV light, a fact that often deters their use in biological systems. A significant contribution to photoCORMs has been brought by a research group of Prof. Mascharak from the Department of Chemistry and Biochemistry, University of California, Santa Cruz, California, United States. The group has focused its investigation on identifying the design principles that could lead to photoCORMs that would release CO upon illumination with low-power (5-15 mW/cm2) visible and near-IR light. Prof. Mascharak [41] and his co-workers have used Mn(I) center to ensure overall stability of the carbonyl complexes as shown in Fig. 11.
Prof. Mascharak [41] and his co-workers have hypothesised that transfer of electron density from the electron-rich metal centers to π⋆ MOs of the ligand frame via strong metal-to-ligand charge transfer (MLCT) transitions in the visible/near-IR region would weaken metal-CO back-bonding and promote rapid CO photorelease. This expectation has been realised in a series of carbonyl complexes derived from a variety of designed ligands in combination with a smart choice of ligand/ coligand. Several principles have emerged from their systematic approach to the design of principal ligands and the choice of auxiliary ligands (in addition to the number of CO) in synthesising these photoCORMs. In each case, density functional theory (DFT) and time-dependent DFT (TDDFT) study afforded insight into the dependence of the CO photorelease from a particular photoCORM on the light wavelength. Results of these theoretical studies indicate that extended conjugation in the principal ligand frames as well as the nature of donor groups lower the energy of the lowest unoccupied MOs (LUMOs), while auxiliary ligands like PPh3 and Br- modulate the energy of the occupied orbitals depending on their strong σ- or π-donating abilities. As a consequence, the ligand/coligand combination dictates the energy of MLCT bands of the resulting carbonyl complexes. The rate of CO photorelease can be altered further by proper disposition of the coligands in the coordination sphere to initiate transeffect or alter the extent of π back-bonding in the metal-CO bonds. Addition of more CO ligands blue shift the MLCT bands, while intersystem crossing impedes labilisation of metal-CO bonds in several Re(I) and Ru(II) carbonyl complexes. These authors anticipate that their design principles will provide help in the future design of photoCORMs that could eventually find use in clinical studies.
2.5 Azobenzene with ferro (Fe) and zinc (Zn)
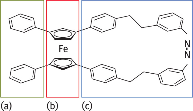
In recent years, a large variety of synthetic molecular machines have been published [42]. The design of artificial molecular machines often takes inspiration from the macroscopic world [43]. The huge challenge has been to construct a single molecule that shows mechanical motion caused by external stimulation resembling the movement of its macroscopic analogue. These attempts have yielded analogues of rotors [44], gears [45], (4) clutches [46], shuttles [47], ratchets [48], elevators [49], and muscles [50]. Angular motion of the cyclopentadienyl rings about the metal center in ferrocene has been used for developing molecular machines [51]. Aida and co-workers have reported chiral molecular scissors (Fig. 12) that performed a light-induced open-close motion [52].
![Fig. 12 Molecular structures of trans-1 (left) and cis-1 (right) azobenzene isomers, optimised with DFT calculation (B3LYP/3-21G⋆), and schematic representation of its open-close motion induced by photoisomerisation of the azobenzene unit scissors. Reprinted with permission from [52]. Copyright (2003) American Chemical Society.](/document/doi/10.1515/psr-2016-0002/asset/graphic/j_psr-2016-0002_fig_012.jpg)
Molecular structures of trans-1 (left) and cis-1 (right) azobenzene isomers, optimised with DFT calculation (B3LYP/3-21G⋆), and schematic representation of its open-close motion induced by photoisomerisation of the azobenzene unit scissors. Reprinted with permission from [52]. Copyright (2003) American Chemical Society.
Figure 13 shows the photo-sensitive complex synthesised by Aida and co-workers. The complex consists of two phenyl groups (a) as the blade moieties, a ferrocene unit (b) as the pivot part, and two phenylene groups (c) as the handle parts, which are linked together by an azobenzene unit. In its native state, the azobenzene adopts a trans-configuration which keeps the blades in a “closed” state. Upon irradiation with UV light (λ = 350 nm), the trans-azobenzene is converted to the cis-isomer, thereby inducing an angular motion of the ferrocene unit, which opens the blade moieties. Subsequent irradiation with visible light (λ > 400 nm) results in the cis- to trans-isomerisation, which closes the blades. Later investigation has established that, upon changing the oxidation state of the ferrocene, the reversible open-close motion of molecular scissors could be actuated only by UV light [53].
Subsequently, the Aida group devised a signal transmission system (Fig. 14) consisting of three different movable components: a chiral “scissoring” unit (3⋆; red), an intermediate “bridging” unit (2; blue/purple), and a photochromic “signalling” unit (1open; green) [54]. These components were mechanically interconnected through coordinative interactions. Signaling unit 1open is a pyridine-appended dithienylethene (DTE) derivative, and can undergo switching between open and closed forms through irradiation. Scissoring component 3⋆ involves a chiral tetrasubstituted ferrocene core bearing two pyridyl groups, capable of coordinating to the zinc porphyrin handles of bridging module 2. Bridging module 3⋆ is a biaryl derivative bearing two sets of zinc porphyrin handles. Upon irradiation, 1open undergoes an opening or closing motion. As the bridging module is coordinated to the signaling unit, the opening/closing motion induced an angular motion in the bridging unit. This rotary motion is translated into a scissoring motion of 3⋆. As in the previous examples, the scissoring motion was monitored through CD measurements.
![Fig. 14 Schematic illustration of the expected ternary complex of 1open, 2, and 3⋆ (Ar: 3, 5-dioctyloxyphenyl). Reprinted with permission from [54]. Copyright (2008) American Chemical Society.](/document/doi/10.1515/psr-2016-0002/asset/graphic/j_psr-2016-0002_fig_014.jpg)
Schematic illustration of the expected ternary complex of 1open, 2, and 3⋆ (Ar: 3, 5-dioctyloxyphenyl). Reprinted with permission from [54]. Copyright (2008) American Chemical Society.
Subsequently, Aida and co-workers attached zinc porphyrin units to the blades, which provided a binding site for guest molecules wherein bidentate ligands were found to coordinate in a 1:1 fashion with a high binding affinity [55]. Reversible photoisomerisation of the azobenzene strap in response to irradiation with UV and visible light induced a scissor- or pedal-like conformational change of the zinc porphyrins, which was translated into a twisting motion of the rotary guest repeatedly in clockwise and counterclockwise directions. The rotary motion of the bound guest was monitored through circular dichroism (CD) spectroscopy. In isolation, the guest is not optically (CD) active because of the free rotation about the C-C bond connecting the two bicyclic rings. However, upon binding to the host, the guest loses this freedom and becomes optically active. Upon irradiation with UV light, the CD intensity decreased, which suggested that the trans-to-cis isomerisation of the azobenzene induced a conformational change (twist) in the guest.
Viau and co-workers have studied a photo-sensitive star-shaped polymer containing complexes based on azobenzene molecules [56]. First, the authors designed a new type of 4,4′-bis- (styryl)-2,2′-bipyridine functionalised by a dialkylamino-azobenzene group. This ligand allowed them to prepare photoisomerisable octupolar tris(bipyridyl)zinc(II) complexes and the corresponding star-shaped polymer by atom transfer radical polymerisation (ATRP) of methyl methacrylate (MMA) showed in Fig. 15. Authors reported the photoisomerisation properties of such new metallochromophores and presented for the first time the macroscopic molecular orientation of the corresponding doped and star-shaped non-linearly oriented polymer films [56]. The results indicated a possibility to generate a new class of nonlinear quadratic materials capable of answering the request for stability and efficiency in conjunction with the symmetry control.
![Fig. 15 Structures of zinc complexes 2a-daa conditions: (i) BrC(Me)2C(O)Br, pyridine, THF, rt, 77%; (ii) MMA/CuBr/iPrN═C-Py, (600/6/12), MeOH, 60 °C, 85%. Reprinted with permission from [56]. Copyright (2004) American Chemical Society.](/document/doi/10.1515/psr-2016-0002/asset/graphic/j_psr-2016-0002_fig_015.jpg)
Structures of zinc complexes 2a-daa conditions: (i) BrC(Me)2C(O)Br, pyridine, THF, rt, 77%; (ii) MMA/CuBr/iPrN═C-Py, (600/6/12), MeOH, 60 °C, 85%. Reprinted with permission from [56]. Copyright (2004) American Chemical Society.
Arguably, catalysis is among the most attractive functions of photoswitch. However, reversible photomodulation of catalytic activity has thus far been poorly explored, and the few reported cases [57] suffer from a lack of generality and low on/off-ratios, i.e. small changes in activity. In search of a more general photoswitchable catalyst, Peters and co-workers [58] have targeted photocontrol over accessibility to metalloporphyrins, which are ubiquitous in nature since they perform important binding, activation, and catalytic processes. Their design involved a direct incorporation of an azobenzene unit into the framework of a meso-tetraphenylporphyrin in such a way that two o-phenylazo substituents could occupy the space above and below the plane of the metalloporphyrin, leading to an effective shielding of the catalytically active metal center as shown in Fig. 16.
![Fig. 16 Concept of photomodulating axial accessibility and therefore catalytic activity in azobenzene-substituted metalloporphyrins. Reprinted with permission from [58]. Copyright (2006) American Chemical Society.](/document/doi/10.1515/psr-2016-0002/asset/graphic/j_psr-2016-0002_fig_016.jpg)
Concept of photomodulating axial accessibility and therefore catalytic activity in azobenzene-substituted metalloporphyrins. Reprinted with permission from [58]. Copyright (2006) American Chemical Society.
Peters and co-workers expected that, upon irradiation, the large structural reorganisation accompanying the trans–cis isomerisation of the azobenzenes would open the pocket and dramatically increase access to the axial positions of the metal center, thereby enabling binding and catalysis to occur. They reported the efficient synthesis as well as structural and photophysical characterisation of novel bisazobenzene-substituted porphyrin complexes with zinc (Fig. 17).
Marchi and co-workers [59] have also concentrated their work on the Zinc complexes; however they decided to investigate a photo-sensitive dendrimer. Dendrimers [60, 61], a class of multibranched molecules that can – by design – exhibit a high degree of order and complexity, are ideal scaffolds to organise multiple units into a nano-object. Dendrimers containing photochromic [62, 63] or luminescent units [64] or acting as ligands of metal ions [21, 65] have been extensively investigated in the past decade; however Marchi et al. have reported the first example of dendrimers (Fig. 18) containing photochromic (azobenzene), luminescent (naphthalene), and metal coordinating units and thus performing three different functions: light-harvesting, metal coordination and photoswitching. Because of their proximity, the various functional groups of the dendrimers interact: the azobenzene unit enables to control the distance between the two cyclam moieties upon light stimulation.
2.6 Azobenzene with copper (Cu)
A special challenge is construction of molecular machines showing unidirectional, multi-state switching cycles. The problem in the design of such systems is that the path of leaving the starting state must differ from the path returning back to the starting point, as otherwise no mechanical work is performed during one cycle. Therefore, a system is needed that, on the one hand, is flexible enough to allow a complex motion sequence and, on the other hand, is so rigid that the movements are controlled in a single direction. The targeted unidirectional nanomachine should pass through a cycle of four states. Such a cycle (I → II → III → IV → I), together with the structure, concept, and principle of the nanomachine activity, is depicted in Fig. 19. The system consists of a scaffold, which must be chiral to control the direction of motion, two arms, and two types of hinge (blue and red circles in Fig. 19). This system can be compared to the arm movements of a human breaststroke swimmer, the scaffold corresponds to the human torso and the arms represent human arms. The blue hinge corresponds to the shoulder joints, and the red hinges represent the elbow joints. In state I, both arms are stretched forward. During the transition from state I to state II, a rotation of the stretched arms around the blue hinge takes place. This motion can also be considered to be the power stroke of a breaststroke swimmer. It is of the utmost importance that this motion is directed (unidirectional); this means that in our case the right arm in Fig. 19 must rotate only clockwise, whereas the left arm must move counterclockwise. The second stroke is the folding of the two arms around the two red hinges (II → III). In the third stroke, a rotation of the folded arms around the blue hinge takes places (III → IV) whereby the direction occurs in exactly the inverse fashion to that in the first step. The fourth stroke is the stretching of the arms, which leads back to starting state I and completes the swimming cycle (IV → I).
![Fig. 19 Structure, concept, and principle of the nanomachine. The nanomachine consists of a torso and two arms. The arms can be unidirectionally rotated around the blue hinge. The stretching/ folding of the two arms takes place around the two red hinges. Sequence of motions: I → II (directed motion of the forward-stretched arms from the front to the side; power stroke), II → III (folding of the arms), III → IV (rotation of the folded arms), and III → IV (stretching of the arms). Reprinted with permission from [66]. Copyright (2015) American Chemical Society.](/document/doi/10.1515/psr-2016-0002/asset/graphic/j_psr-2016-0002_fig_019.jpg)
Structure, concept, and principle of the nanomachine. The nanomachine consists of a torso and two arms. The arms can be unidirectionally rotated around the blue hinge. The stretching/ folding of the two arms takes place around the two red hinges. Sequence of motions: I → II (directed motion of the forward-stretched arms from the front to the side; power stroke), II → III (folding of the arms), III → IV (rotation of the folded arms), and III → IV (stretching of the arms). Reprinted with permission from [66]. Copyright (2015) American Chemical Society.
Haberhauer and co-workers [66] have designed molecular machines that demonstrate unidirectional, four-state switching cycles that bear similar characteristics to the arm movements of a human breaststroke swimmer. The photo-sensitive machines are based on a peptidic, macrocyclic scaffold that controls the direction of motion. The arms performing the swimming movements are rotated around one hinge and are stretched and folded by another hinge. The first hinge is a meta-substituted azobenzene attached to the chiral scaffold and can be switched by light. The arms are bipyridine units that are either directly attached or connected via rigid spacers to the azobenzene unit. The bipyridine units are stimulated by Cu2+ ions. The movements of these machines are triggered by alternating addition of chemicals and irradiation with light. The limiting factor for the repeatability of the cycles is the dilution effect caused by the addition of solutions, which worsens the recording of the spectra. The rate-limiting factor is the time to record the spectra for each cycle. According to Haberhauer and co-workers their design is a promising small step to an artificial nano-swimmer that is propelled in solution by an external stimuli.
Very fascinating results concerning the assembly of artificial molecular machines that allow precisely controlled motion that responds to light and electrons have been presented by Kume et al. [67]. These authors have shown that UV/blue-controlled repetitive motion of azobenzene moieties in 6,6′-bis(4″-tolylazo)-4,4′-bis (4- tertbutylphenyl)-2,2′-bipyridine (Fig. 20) causes reciprocal CuI translocation between two coordination environments, resulting in pumping of the redox potential of CuI, as presented in Fig. 21. Therefore, UV/blue light information can be successfully transformed into an electrode potential change and positive/negative current response, which is closely related to natural visual transduction both functionally and mechanically. This result demonstrates a new strategy for artificial molecular machine assembly, i.e. forming a path with multistep chemical reactions between input/output couples of choice.
The research group of Prof. Hirota from the Nara Institute of Science and Technology, Japan, has published very interesting results about photocontrol of the cooperation of metal ions for DNA cleavage [68]. Over the last decade, DNA cleavage by metal complexes has been actively studied to design artificial metallonucleases. For this purpose, many dinuclear metal complexes have been shown to be effective, in which the metal ion centers could exhibit cooperation for DNA cleavage [68–70]. Peptide and amino acid metal complexes have also been shown to be effective for DNA cleavage [71]. Photoresponsive molecules are of enormous interest in the aspect of control of the structure and function of biomolecules. The helical structure and spatial orientation of DNA-binding peptides have been photocontrolled by modification of the peptides with an azobenzene cross-linker, which was photoisomerised between the trans and cis forms [68, 72–74]. The research group of Prof. Hirota has envisaged that the cooperation of the metal ion centers in DNA cleavage could be photocontrolled by linking two metal complexes with an azobenzene derivative, in which the distance between the metal ion centers could be modulated by changes in their spatial orientation by photoisomerisation of the azobenzene linker [68]. Therefore, Prof. Hirota and coworkers linked CysGly (cystylglycine) dipeptides by an azobenzene derivative, trans-4,4′-bisbromomethylazobenzene, and obtained a photoisomerisable peptide (1) as a ligand and its dicopper complex (1-2 Cu2+; Fig. 22). The copper complex 1-2Cu2+ was reactive for DNA cleavage in the cis form (1-cis-2Cu2+), in which the copper(II) ion centers are oriented close to each other. However, the reactivity of 1-2Cu2+ was negligible in the trans form (1-trans-2Cu2+), in which the copper(II) ions are far away from each other. These results demonstrate the photocontrol of the spatial orientation of the copper(II)-bound dipeptides linked by an azobenzene derivative for DNA cleavage.
![Fig. 22 Photoconversion between the trans and cis forms of 1-2Cu2+, in which the azobenzene chromophore links Cu(II)-bound CysGly peptides. Reprinted with permission from [68]. Copyright (2008) American Chemical Society.](/document/doi/10.1515/psr-2016-0002/asset/graphic/j_psr-2016-0002_fig_022.jpg)
Photoconversion between the trans and cis forms of 1-2Cu2+, in which the azobenzene chromophore links Cu(II)-bound CysGly peptides. Reprinted with permission from [68]. Copyright (2008) American Chemical Society.
Acknowledgment
Financial support from European Community’s Seventh Framework Programme (FP/2007-2013) under the Individual Outgoing Marie Curie Grant agreement no. 328794 is gratefully acknowledged by Dr. Bartosz Tylkowski.
This article is also available in: Jastrząb, Tylkowski, New-Generation Bioinorganic Complexes. De Gruyter (2016), isbn 978-3-11-034880-4.
References
[1] Tylkowski B, Pregowska M, Jamowska E, Garcia-Valls R, Giamberini M. Preparation of a new lightly cross-linked liquid crystalline polyamide by interfacial polymerization. Application to the obtainment of microcapsules with photo-triggered release. European Polymer Journal 2009;45:1420–32.10.1016/j.eurpolymj.2009.02.008Search in Google Scholar
[2] Perez-Miqueo J, Telleria A, Munoz-Olasagasti M, Altube A, Garcia-Lecina E, de Cozar A, Freixa Z. Azobenzene-functionalized iridium(iii) triscyclometalated complexes. Dalton Transactions 2015;44:2075–91.10.1039/C4DT02018ASearch in Google Scholar
[3] Velema WA, Szymanski W, Feringa BL. Photopharmacology: Beyond Proof of Principle. Journal of the American Chemical Society 2014;136:2178–91.10.1021/ja413063eSearch in Google Scholar PubMed
[4] Mitscherlich, E. Ueber das Stickstoffbenzid. Annalen der Pharmacie 1834;12:311–34.10.1002/andp.18341081502Search in Google Scholar
[5] Hartley GS. Cis form of azobenzene. Nature 1937;140:281–2.10.1038/140281a0Search in Google Scholar
[6] Sato M, Kinoshita T, Takizawa A, Tsujita Y. Photoinduced conformational transition of polypeptides containing azobenzenesulfonate in the side chains. Macromolecules 1988;21:1612–6.10.1021/ma00184a014Search in Google Scholar
[7] Ubukata T, Seki T, Ichimura K. Molecular hybrids of azobenzene polymer and liquid crystal molecule. A new approach for understanding the command surface system. Macromolecular Symposia 1999;137:25–31.10.1002/masy.19991370104Search in Google Scholar
[8] Gámez JA, Weingart O, Koslowski A, Thiel W. Cooperating dinitrogen and phenyl rotations in trans-azobenzene photoisomerization. Journal of Chemical Theory and Computation 2012;8:2352–8.10.1021/ct300303sSearch in Google Scholar PubMed
[9] Neukirch AJ, Shamberger LC, Abad E, Haycock BJ, Wang H, Ortega J, Prezhdo OV, Lewis JP. Nonadiabatic ensemble simulations of cis-stilbene and cis-azobenzene photoisomerization. Journal of Chemical Theory and Computation 2014;10:14–23.10.1021/ct4009816Search in Google Scholar PubMed
[10] Zapata F, Fernández-González MÁ, Rivero D, Álvarez Á, Marazzi M, Frutos LM. Toward an optomechanical control of photoswitches by tuning their spectroscopical properties: Structural and dynamical insights into azobenzene. Journal of Chemical Theory and Computation 2014;10:312–23.10.1021/ct4007629Search in Google Scholar PubMed
[11] Loos P-F, Preat J, Laurent AD, Michaux C, Jacquemin D, Perpète EA, Assfeld X. Theoretical investigation of the geometries and UV–vis spectra of poly(l-glutamic acid) featuring a photochromic azobenzene side chain. Journal of Chemical Theory and Computation 2008;4:637–45.10.1021/ct700188wSearch in Google Scholar PubMed
[12] Avila Ferrer FJ, Cerezo J, Stendardo E, Improta R, Santoro F. Insights for an accurate comparison of computational data to experimental absorption and emission spectra: Beyond the vertical transition approximation. Journal of Chemical Theory and Computation 2013;9:2072–82.10.1021/ct301107mSearch in Google Scholar PubMed
[13] Moreno C, Arnanz A, Medina R-M, Macazaga M-J, Pascual M, García-Frutos EM, Martínez-Gimeno E, Marcos M-L. Synthesis and properties of new dimeric η2-Diyne complexes of cobalt linked through an azobenzene ligand. Organometallics 2015;34: 2971–84.10.1021/acs.organomet.5b00257Search in Google Scholar
[14] Tylkowski B, Peris S, Giamberini M, Garcia-Valls R, Reina JA, Ronda JC. Light-induced switching of the wettability of novel asymmetrical poly(vinyl alcohol)-co-ethylene membranes blended with azobenzene polymers. Langmuir 2010;26:14821–9.10.1021/la101809rSearch in Google Scholar PubMed
[15] Hirade T, Okui Y, Han M. A design strategy for stable light-sensitive palladium complexes. Journal of Materials Chemistry C 2013;1:2672–9.10.1039/c3tc00779kSearch in Google Scholar
[16] Hao D, Ai T, Goerner F, Hu X, Runge VM, Tweedle M. MRI contrast agents: Basic chemistry and safety. Journal of Magnetic Resonance Imaging : JMRI 2012;36:1060–71.10.1002/jmri.23725Search in Google Scholar PubMed
[17] Caravan P, Ellison JJ, McMurry TJ, Lauffer RB. Gadolinium(III) chelates as MRI contrast agents: Structure, dynamics, and applications. Chem Rev 1999;99:2293–352.10.1021/cr980440xSearch in Google Scholar PubMed
[18] Hifumi H, Tanimoto A, Citterio D, Komatsu H, Suzuki K. Novel 15-crown-5 ether or beta-diketone incorporated gadolinium complexes for the detection of potassium ions or magnesium and calcium ions. The Analyst 2007;132:1153–60.10.1039/b707225bSearch in Google Scholar PubMed
[19] Tu C, Louie AY. Photochromically-controlled, reversibly-activated MRI and optical contrast agent. Chemical Communications (Cambridge, England) 2007:1331–3.10.1039/b616991kSearch in Google Scholar PubMed PubMed Central
[20] Dommaschk M, Peters M, Gutzeit F, Schütt C, Näther C, Sönnichsen FD, Tiwari S, Riedel C, Boretius S, Herges R. Photoswitchable magnetic resonance imaging contrast by improved light-driven coordination-induced spin state switch. Journal of the American Chemical Society 2015;137:7552–5.10.1021/jacs.5b00929Search in Google Scholar PubMed
[21] Bandara HM, Burdette SC. Photoisomerization in different classes of azobenzene. Chemical Society Reviews 2012;41:1809–25.10.1039/C1CS15179GSearch in Google Scholar PubMed
[22] Dogan A, Sarkar B, Klein A, Lissner F, Schleid T, Fiedler J, Zalis S, Jain VK, Kaim W. Complex reduction chemistry of (abpy)PtCl2, abpy = 2,2′-azobispyridine: formation of cyclic [(micro,eta2:eta1-abpy)PtCl]2(2+) with a new coordination mode for abpy and a near-infrared ligand-to-ligand intervalence charge transfer absorption of the one-electron reduced state. Inorg Chem 2004;43:5973–80.10.1021/ic049941tSearch in Google Scholar PubMed
[23] Samanta S, Ghosh P, Goswami S. Recent advances on the chemistry of transition metal complexes of 2-(arylazo)pyridines and its arylamino derivatives. Dalton transactions (Cambridge, England : 2003) 2012;41:2213–26.10.1039/c2dt10986gSearch in Google Scholar PubMed
[24] Kume S, Nishihara H. Photochrome-coupled metal complexes: molecular processing of photon stimuli. Dalton Transactions (Cambridge, England : 2003), 2008:3260–71.10.1039/b716947gSearch in Google Scholar
[25] Park JS, Lifschitz AM, Young RM, Mendez-Arroyo J, Wasielewski MR, Stern CL, Mirkin CA. Modulation of electronics and thermal stabilities of photochromic phosphino–aminoazobenzene derivatives in weak-link approach coordination complexes. Journal of the American Chemical Society 2013;135:16988–96.10.1021/ja407148nSearch in Google Scholar PubMed
[26] Yutaka T, Mori I, Kurihara M, Mizutani J, Tamai N, Kawai T, Irie M, Nishihara H. Photoluminescence switching of azobenzene-conjugated Pt(II) terpyridine complexes by trans-cis photoisomerization. Inorganic Chemistry 2002;41:7143–50.10.1021/ic0260116Search in Google Scholar PubMed
[27] Yutaka T, Kurihara M, Kubo K, Nishihara H. Novel photoisomerization behavior of Rh binuclear complexes involving an azobenzene-bridged bis(terpyridine) ligand. Strong effects of counterion and solvent and the induction of redox potential shift. Inorganic Chemistry 2000;39:3438–9.10.1021/ic000123kSearch in Google Scholar PubMed
[28] Kume S, Kurihara M, Nishihara H. Reversible trans-cis photoisomerization of azobenzene-attached bipyridine ligands coordinated to cobalt using a single UV light source and the Co(iii)/Co(ii) redox change. Chemical Communications 2001:1656–7.10.1039/b104381cSearch in Google Scholar PubMed
[29] Yamaguchi K, Kume S, Namiki K, Murata M, Tamai N, Nishihara H. UV-Vis, NMR, and time-resolved spectroscopy analysis of photoisomerization behavior of three- and six-azobenzene-bound tris(bipyridine)cobalt complexes. Inorganic Chemistry 2005;44:9056–67.10.1021/ic0513538Search in Google Scholar PubMed
[30] Wang A, Sun H, Li X. N-assisted carbon-hydrogen bond activation by cobalt(i) complexes. Organometallics 2008;27:5434–7.10.1021/om8007844Search in Google Scholar
[31] Akitsu T, Itoh T. Polarized spectroscopy of hybrid materials of chiral Schiff base cobalt(II), nickel(II), copper(II), and zinc(II) complexes and photochromic azobenzenes in PMMA films. Polyhedron 2010;29:477–87.10.1016/j.poly.2009.06.050Search in Google Scholar
[32] Davidenko NA, Davidenko II, Pavlov VA, Popenaka AN, Savchenko IA, Shumelyuk AN. Recording medium based on a polymer azobenzene complex with cobalt for polarization holography. Theoretical and Experimental Chemistry 2009;45:54–7.10.1007/s11237-009-9063-zSearch in Google Scholar
[33] Chance B, Erecinska M, Wagner M. Mitochondrial responses to carbon monoxide toxicity. Annals of the New York Academy of Sciences 1970;174:193–204.10.1111/j.1749-6632.1970.tb49786.xSearch in Google Scholar PubMed
[34] Motterlini R, Otterbein LE. The therapeutic potential of carbon monoxide. Nature reviews. Drug Discovery 2010;9:728–43.10.1038/nrd3228Search in Google Scholar PubMed
[35] Heinemann SH, Hoshi T, Westerhausen M, Schiller A. Carbon monoxide--physiology, detection and controlled release. Chemical Communications (Cambridge, England) 2014;50:3644–60.10.1039/C3CC49196JSearch in Google Scholar PubMed PubMed Central
[36] Kikuchi G, Yoshida T, Noguchi M. Heme oxygenase and heme degradation. Biochemical and Biophysical Research Communications 2005;338:558–67.10.1016/j.bbrc.2005.08.020Search in Google Scholar PubMed
[37] Stein AB, Bolli R, Dawn B, Sanganalmath SK, Zhu Y, Wang OL, Guo Y, Motterlini R, Xuan YT. Carbon monoxide induces a late preconditioning-mimetic cardioprotective and antiapoptotic milieu in the myocardium. Journal of Molecular and Cellular Cardiology 2012;52:228–36.10.1016/j.yjmcc.2011.11.005Search in Google Scholar PubMed PubMed Central
[38] Kohmoto J, Nakao A, Stolz DB, Kaizu T, Tsung A, Ikeda A, Shimizu H, Takahashi T, Tomiyama K, Sugimoto R, Choi AM, Billiar TR, Murase N, McCurry KR. Carbon monoxide protects rat lung transplants from ischemia-reperfusion injury via a mechanism involving p38 MAPK pathway. American Journal of Transplantation: Official Journal of the American Society of Transplantation and the American Society of Transplant Surgeons 2007;7:2279–90.10.1111/j.1600-6143.2007.01940.xSearch in Google Scholar PubMed
[39] Alberto R, Motterlini R. Chemistry and biological activities of CO-releasing molecules (CORMs) and transition metal complexes. Dalton Transactions (Cambridge, England : 2003) 2007:1651–60.10.1039/b701992kSearch in Google Scholar PubMed
[40] Romao CC, Blattler WA, Seixas JD, Bernardes GJ. Developing drug molecules for therapy with carbon monoxide. Chemical Society Reviews 2012;41:3571–83.10.1039/c2cs15317cSearch in Google Scholar PubMed
[41] Chakraborty I, Carrington SJ, Mascharak PK. Design strategies to improve the sensitivity of photoactive metal carbonyl complexes (photoCORMs) to visible light and their potential as CO-donors to biological targets. Accounts of Chemical Research 2014;47:2603–11.10.1021/ar500172fSearch in Google Scholar PubMed
[42] Wegner HA. Molecular switches. Second Edition. Edited by Ben L. Feringa and Wesley R. Browne. Angewandte Chemie International Edition 2012;51:2281.10.1002/anie.201108931Search in Google Scholar
[43] Balzani VV, Credi A, Raymo FM, Stoddart JF. Artificial molecular Machines. Angewandte Chemie International Edition 2000;39:3348–91.10.1002/1521-3773(20001002)39:19<3348::AID-ANIE3348>3.0.CO;2-XSearch in Google Scholar
[44] Kottas GS, Clarke LI, Horinek D, Michl J. Artificial molecular rotors. Chemical Reviews 2005;105:1281–376.10.1021/cr0300993Search in Google Scholar
[45] Manzano C, Soe WH, Wong HS, Ample F, Gourdon A, Chandrasekhar N, Joachim C. Step-by-step rotation of a molecule-gear mounted on an atomic-scale axis. Nature Materials 2009;8:576–9.10.1038/nmat2467Search in Google Scholar
[46] Setaka W, Nirengi T, Kabuto C, Kira M. Introduction of clutch function into a molecular gear system by silane-silicate interconversion. Journal of the American Chemical Society 2008;130:15762–3.10.1021/ja805777pSearch in Google Scholar
[47] Brouwer AM, Frochot C, Gatti FG, Leigh DA, Mottier L, Paolucci F, Roffia S, Wurpel GW. Photoinduction of fast, reversible translational motion in a hydrogen-bonded molecular shuttle. Science 2001;291:2124–8.10.1126/science.1057886Search in Google Scholar
[48] Mahadevan L, Matsudaira P. Motility powered by supramolecular springs and ratchets. Science 2000;288:95–100.10.1126/science.288.5463.95Search in Google Scholar
[49] Badjic JD, Balzani V, Credi A, Silvi S, Stoddart JF. A molecular elevator. Science 2004;303:1845–9.10.1126/science.1094791Search in Google Scholar
[50] Bruns CJ, Stoddart JF. Rotaxane-based molecular muscles. Accounts of Chemical Research 2014;47:2186–99.10.1021/ar500138uSearch in Google Scholar
[51] Kinbara K, Muraoka T, Aida T. Chiral ferrocenes as novel rotary modules for molecular machines. Organic & Biomolecular Chemistry 2008;6:1871–6.10.1039/b718982fSearch in Google Scholar
[52] Muraoka T, Kinbara K, Kobayashi Y, Aida T. Light-driven open-close motion of chiral molecular scissors. Journal of the American Chemical Society 2003;125:5612–3.10.1021/ja034994fSearch in Google Scholar PubMed
[53] Muraoka T, Kinbara K, Aida T. Reversible operation of chiral molecular scissors by redox and UV light. Chemical Communications 2007:1441–3.10.1039/b618248hSearch in Google Scholar PubMed
[54] Kai H, Nara S, Kinbara K, Aida T. Toward long-distance mechanical communication: Studies on a ternary complex interconnected by a bridging rotary module. Journal of the American Chemical Society 2008;130:6725–7.10.1021/ja801646bSearch in Google Scholar PubMed
[55] Muraoka T, Kinbara K, Aida T. Mechanical twisting of a guest by a photoresponsive host. Nature 2006;440:512–5.10.1038/nature04635Search in Google Scholar PubMed
[56] Viau L, Bidault S, Maury O, Brasselet S, Ledoux I, Zyss J, Ishow E, Nakatani K, Le Bozec H. All-optical orientation of photoisomerizable octupolar zinc(II) complexes in polymer films. Journal of the American Chemical Society 2004;126:8386–7.10.1021/ja048143zSearch in Google Scholar PubMed
[57] Cacciapaglia R, Di Stefano S, Mandolini L. The bis-barium complex of a butterfly crown ether as a phototunable supramolecular catalyst. Journal of the American Chemical Society 2003;125:2224–7.10.1021/ja029331xSearch in Google Scholar PubMed
[58] Peters MV, Goddard R, Hecht S. Synthesis and characterization of azobenzene-confined porphyrins. The Journal of Organic Chemistry 2006;71:7846–9.10.1021/jo0612877Search in Google Scholar PubMed
[59] Marchi E, Baroncini M, Bergamini G, Van Heyst J, Vögtle F, Ceroni P. Photoswitchable metal coordinating tweezers operated by light-harvesting dendrimers. Journal of the American Chemical Society 2012;134:15277–80.10.1021/ja307522fSearch in Google Scholar PubMed
[60] Schmittel M, Mahata K. Diversity and complexity through reversible multiple orthogonal interactions in multicomponent assemblies. Angewandte Chemie International Edition 2008;47:5284–6.10.1002/anie.200800583Search in Google Scholar PubMed
[61] Franc G, Kakkar AK. “Click” methodologies: Efficient, simple and greener routes to design dendrimers. Chemical Society Reviews 2010;39:1536–44.10.1039/b913281nSearch in Google Scholar PubMed
[62] Deloncle R, Caminade A-M. Stimuli-responsive dendritic structures: The case of light-driven azobenzene-containing dendrimers and dendrons. Journal of Photochemistry and Photobiology C: Photochemistry Reviews 2010;11:25–45.10.1016/j.jphotochemrev.2010.02.003Search in Google Scholar
[63] Nguyen TT, Turp D, Wang D, Nolscher B, Laquai F, Mullen K. A fluorescent, shape-persistent dendritic host with photoswitchable guest encapsulation and intramolecular energy transfer. Journal of the American Chemical Society 2011;133:11194–204.10.1021/ja2022398Search in Google Scholar PubMed
[64] Kuroda DG, Singh CP, Peng Z, Kleiman VD. Mapping excited-state dynamics by coherent control of a dendrimer’s photoemission efficiency. Science 2009;326:263–7.10.1126/science.1176524Search in Google Scholar PubMed
[65] Branchi B, Ceroni P, Balzani V, Klarner FG, Vogtle F. A light-harvesting antenna resulting from the self-assembly of five luminescent components: A dendrimer, two clips, and two lanthanide ions. Chemistry (Weinheim an der Bergstrasse, Germany) 2010;16:6048–55.10.1002/chem.200903117Search in Google Scholar PubMed
[66] Haberhauer G, Burkhart C, Woitschetzki S, Wölper C. Light and chemically driven molecular machines showing a unidirectional four-state switching cycle. The Journal of Organic Chemistry 2015;80:1887–95.10.1021/acs.joc.5b00026Search in Google Scholar PubMed
[67] Kume S, Murata M, Ozeki T, Nishihara H. Reversible photoelectronic signal conversion based on photoisomerization-controlled coordination change of azobenzene-bipyridine ligands to copper. Journal of the American Chemical Society 2005;127:490–1.10.1021/ja045093pSearch in Google Scholar PubMed
[68] Prakash H, Shodai A, Yasui H, Sakurai H, Hirota S. Photocontrol of spatial orientation and DNA cleavage activity of copper(II)-bound dipeptides linked by an azobenzene derivative. Inorganic Chemistry 2008;47:5045–7.10.1021/ic8007443Search in Google Scholar PubMed
[69] Mancin F, Scrimin P, Tecilla P, Tonellato U. Artificial metallonucleases. Chemical Communications (Cambridge, England), 2005:2540–8.10.1039/b418164fSearch in Google Scholar PubMed
[70] van den Berg TA, Feringa BL, Roelfes G. Double strand DNA cleavage with a binuclear iron complex. Chemical Communications (Cambridge, England), 2007:180–2.10.1039/B613469FSearch in Google Scholar
[71] Copeland KD, Fitzsimons MP, Houser RP, Barton JK. DNA hydrolysis and oxidative cleavage by metal-binding peptides tethered to rhodium intercalators. Biochemistry 2002;41:343–56.10.1021/bi011793kSearch in Google Scholar PubMed
[72] Guerrero L, Smart OS, Woolley GA, Allemann RK. Photocontrol of DNA binding specificity of a miniature engrailed homeodomain. Journal of the American Chemical Society 2005;127:15624–9.10.1021/ja0550428Search in Google Scholar PubMed
[73] Hirota S, Fujimoto Y, Choi J, Baden N, Katagiri N, Akiyama M, Hulsker R, Ubbink M, Okajima T, Takabe T, Funasaki N, Watanabe Y, Terazima M. Conformational changes during apoplastocyanin folding observed by photocleavable modification and transient grating. Journal of the American Chemical Society 2006;128:7551–8.10.1021/ja058788eSearch in Google Scholar PubMed
[74] Jousselme B, Blanchard P, Gallego-Planas N, Levillain E, Delaunay J, Allain M, Richomme P, Roncali J. Photomechanical control of the electronic properties of linear pi-conjugated systems. Chemistry (Weinheim an der Bergstrasse, Germany) 2003;9:5297–306.10.1002/chem.200305010Search in Google Scholar PubMed
© 2016 by Walter de Gruyter Berlin/Boston
Articles in the same Issue
- Photo-sensitive complexes based on azobenzene
- Emerging application of vanillin microcapsules
- Design of catalytic micro trickle bed reactors
- A synaptic device built in one diode–one resistor (1D–1R) architecture with intrinsic SiOx-based resistive switching memory
- Noncovalent interactions in biocomplexes
Articles in the same Issue
- Photo-sensitive complexes based on azobenzene
- Emerging application of vanillin microcapsules
- Design of catalytic micro trickle bed reactors
- A synaptic device built in one diode–one resistor (1D–1R) architecture with intrinsic SiOx-based resistive switching memory
- Noncovalent interactions in biocomplexes
![Fig. 7 Photoisomerisation of cobalt complexes investigated by Yamaguchi et al. [29]. Reprinted with permission from [29]. Copyright (2005) American Chemical Society.](/document/doi/10.1515/psr-2016-0002/asset/graphic/j_psr-2016-0002_fig_007.jpg)
![Fig. 11 Azobenzene-Mn complex studied in [41]. Reprinted with permission from [41]. Copyright (2014) American Chemical Society.](/document/doi/10.1515/psr-2016-0002/asset/graphic/j_psr-2016-0002_fig_011.jpg)
![Fig. 13 Photo-sensitive complex synthesised by the authors of [52]. Reprinted with permission from [52]. Copyright (2003) American Chemical Society.](/document/doi/10.1515/psr-2016-0002/asset/graphic/j_psr-2016-0002_fig_013.jpg)
![Fig. 17 Azobenzene–zinc investigated by Peters and co-workers [58]. Reprinted with permission from [57]. Copyright (2006) American Chemical Society.](/document/doi/10.1515/psr-2016-0002/asset/graphic/j_psr-2016-0002_fig_017.jpg)
![Fig. 18 Photo-sensitive dendrimer designed by [59]. Reprinted with permission from [59]. Copyright (2012) American Chemical Society.](/document/doi/10.1515/psr-2016-0002/asset/graphic/j_psr-2016-0002_fig_018.jpg)
![Fig. 20 Azobenzene–Cu complex obtained by Kume et al. [67]. Reprinted with permission from [67]. Copyright (2005) American Chemical Society.](/document/doi/10.1515/psr-2016-0002/asset/graphic/j_psr-2016-0002_fig_020.jpg)
![Fig. 21 Schematic representation of energy migration in the artificial molecular machines designed by Kume et al. [67]. Reprinted with permission from [67]. Copyright (2005) American Chemical Society.](/document/doi/10.1515/psr-2016-0002/asset/graphic/j_psr-2016-0002_fig_021.jpg)