Abstract
Hydroxyapatite (HAp) is a well-known bioceramic known for its high biocompatibility and good bioactivity. The structure of HAp mimics the natural bone structure and thus, it is widely used as implants for hard tissues. Despite possessing the above properties, it lacks mechanical strength, is susceptible to the growth of microbes over time and has low degradability. Polymers can be synthetic or natural. They can be a better choice to be used as additives to improve the properties of HAp due to its better mechanical strength and high biodegradability. A combination of metals and polymers together can overcome the drawbacks of HAp to a greater extent. This review article deals with different polymers and metal/polymer fabricated HAp to show the changes in the properties of HAp following the substitution. It also deals with how better they could be used as a hard tissue implant.
1 Introduction
Hard tissues are mineralized, living tissue with high hardness. Hard tissues include the bones and the teeth. Bones have special nature to repair themselves in case of small damage caused to them. But in case of large damage or severe trauma to the bones, we need to proceed for repair and reconstruction surgery. There are several techniques to undergo the replacement of the damaged or lost bone. This includes exogenous and endogenous methods. These techniques are associated with certain disadvantages. Endogenous involves additional surgery while the exogenous is associated with disease transmission and rejection by the body [1]. Therefore, research has been focused on the fabrication of materials that can replace the diseased part. The new artificial materials have thus, been named biomaterials. These are known to mimic the natural bone. Biomaterials can be synthesized directly or by some chemical modifications to the existing materials [2]. Biomaterials have been used for over 2000 years. The traditional biomaterials did not prove to manifest good results as they led to various infections and the biological relationship could not be established. Following the development in the field of biology and material science, innovative ideas have been incorporated into the invention of new biomaterials where the biomaterials can function normally, improve the body’s response to the biomaterials and integrate into the body [3].
There are three distinct generation of biomaterials. The first being the bioinert biomaterial also called the first-generation biomaterial, the second being the bioactive and biodegradable biomaterial which are called the second-generation biomaterials, and lastly, the third type is the biomaterial which is known to stimulate specific cellular response at the molecular level known as the third-generation biomaterials. These are classification based on the property of the biomaterials and are not in chronological order. The first-generation biomaterials are prepared in such a way that it could lower the toxic response of the host and possessing physical properties matching with the replaced tissue. Some common examples of this generation include metallic alloys (stainless steel, cobalt-based alloys, etc.), ceramics (alumina, zirconia), and polymers (silicone rubber, polyethylene [PE], acrylic resins, polyurethanes, polypropylene, and polymethylmethacrylate [PMMA]) [4]. The metallic materials which include stainless steel, cobalt-based alloys, Ti, and its alloys are extensively used because of their excellent mechanical strength and forbearance [5]. Stainless steel is used as an implant because of its low price, abundance, biocompatibility and excellent strength. Cobalt-based alloys possess high wear resistance and excellent mechanical properties [6]. Titanium and its alloys are used in joint prosthesis, oral implants and bone surgery since years [7]. Apart from the various advantages of metallic implants, they suffer several drawbacks. Once implanted, stainless steel alloys are known to cause in-vitro corrosion which leads to the release of metal ions which inhibit the immune response [8]. The elastic modulus of titanium alloys are higher than that of the bone [9] along with low shear resistance [4]. The main problem faced with the cobalt-based alloys is the Ni and Co ions which are susceptible to allergic reactions in the body. Furthermore, Ni is carcinogenic [10]. Ceramic biomaterials like alumina and zirconia are now extensively being used in hard and soft tissue implants. These are known to show excellent mechanical properties especially high flexural strength accompanied by high biocompatibility [11]. Moreover, zirconium oxide has been proved to show no cytotoxic effect or mutagenic or oncogenic effect on the cells in-vitro [12]. Alumina and zirconia are chemically resistant materials. Being oxides themselves, they do not undergo oxidative reactions and have excellent load-bearing properties. Alumina is favored for hip, shoulder and knee replacements while zirconia is preferred for restorative dentistry [13]. Jun et al. [14] prepared alumina reinforced HAp or β-tri-calcium phosphate (β-TCP) which enhanced the porosity, the adhesion between alumina and calcium phosphate layer and accelerated the new bone formation. Another very important bio-inert materials are the polymer-based biomaterials. These materials are used extensively due to their biocompatibility, low impact strength, high stability, excellent toughness, high abrasion and resistance [4]. The main disadvantage suffered by the bio-inert biomaterials is that they do not interact with the host tissue thereby causing no immune response. Moving to the second generation, that is, bioactive biomaterials. The bioactive materials biologically interact with the host tissue producing an immune response and bonding to the surface. Simultaneously, the invention of bio-resorbable materials that undergo degradation in the body over time without causing any harm to the body [4]. The examples include ceramics, glass-ceramics and composites. Ceramics are the most widely used bioactive materials as hard tissue replacements. Amongst them, HAp is extensively and most commonly used. The main disadvantage of bioactive ceramics is the low load-bearing properties and high solubility. The mechanical strength of these ceramics prevents them to be used as a long-term implant [15]. HAp is known for its excellent biocompatibility having the structure similar to that of the natural bone. HAp mixed with Ti substrates have been known to show greater bone ingrowth, improved fixation to the host tissues and better biocompatibility [16, 17]. When HAp is combined with other substrates like metals, polymers, etc. is known to show enhanced properties that could serve as a long-term implant. TCP, another ceramic biomaterial known for its biocompatibility and good osteoconductivity also serves good substitute to act as an implant [18]. Jang et al. [19] studied that incorporation of TCP in the site of fracture accelerated the bone formation in animals. Moreover, β-TCP is known for its high solubility; due to this nature, it can dissolve very readily and further prompt the regeneration of natural bone. It generally forms after heat treatment of above 900 °C usually designated as a high-temperature phase. Furthermore, the bioactive glass, graphene are few other bioactive materials used as bone implants. They are used for their bioactivity and bone-forming capacity. Hench et al. in the year 1971 developed calcium-phospho-silicate glass-ceramic for bone bonding which allowed the reaction to occur between the bone and the material [20]. Heat treatment of MgO–CaO–SiO2–P2O5 glass resulted in the formation of a crystalline apatite in the glassy matrix. The newly formed glass was proved to show excellent bioactivity with high mechanical strength which gradually decreased [21]. The necessary condition for the glass ceramics and glasses to bond with the bone is the formation of the apatite layer on the surface inside the body [22]. These materials promote the formation of the apatite layer on their surface once they come in contact with the fluids that mimic the plasma [23]. Studies have revealed that sol–gel derived bioactive glass showed higher bioactivity and high degradability [24]. Bioglass suffers the disadvantage of having weak mechanical properties and low load-bearing properties. Thus, these ceramics have successful applications in low load-bearing materials in dentistry and orthopaedics. The second-generation biomaterials also include certain bio-resorbable polymers that degrade in the body over the time. These include biodegradable polymers like polyglycolide (PGA), polylactide (PLA), polydioxanone (PDS), poly(ε-caprolactone) (PCL), polyhydroxybutyrate (PHB), polyorthoester, Chitosan, poly(2-hydroxyethyl-methacrylate) (PHEMA), hyaluronic acid, and other hydrogels. Polymers are of two different origins: synthetic and natural. There are several advantages of using these polymers. They reduce the cost to remove the implant from the body over time and reduce the stress shielding effect [4]. Third generation materials are those which form a porous 3-dimensional structure that allows cell attachment, proliferation, stimulate cellular activity, etc. For such types of materials, the properties like bioactivity, biodegradability should be essentially present so that they can trigger cell response.
2 Hydroxyapatite (HAp)
The major component of hard tissues is the mineral phase also called the inorganic phase which is primarily composed of calcium phosphate. The organic phase includes collagen and water. Bone and dentine contains about 45–70 wt% mineral, 10 wt% water and the rest being collagen [25]. HAp, having the formula Ca10(PO4)6(OH)2, is one of the most important bioceramic used as an implant. The reason being that it mimics the natural bone. It is widely used because of its bioactivity and excellent biocompatibility. Synthetic HAp is used in the repair and reconstructive surgery, conservative dentistry, and pharmacy as represented in Figure 1 (Kolmas et al. [26]).

Schematics of various applications of hydroxyapatite.
The compatibility of HAp with the hard tissues has proved to be superior amongst all the other artificial materials [27]. The permanent fixation of the implant taking place is akin to the biological fixation. Moreover, it is very osteoconductive [28], promotes osseointegration, is non-toxic and can form chemical bonds with the host tissue [29].
2.1 Structure of pure HAp
Pure HAp crystallizes in a hexagonal lattice (Figure 2, Kolmas et al. [26]). Important structural features of stoichiometric HAp are it includes three types of ions: calcium ions, phosphate ions, and hydroxyl ions. Two types of calcium ions are present in HAp: Ca (I) and Ca (II) ions. Ca (I) ions are located at the edges of the hexagonal unit cell and Ca (II) ions form equilateral triangles with the hydroxyl groups in the middle. Hydroxyl groups are arranged at the edges of the elementary cells forming columns of OH–OH–OH– while the oxygen atoms are grouped in such a manner that they will not be able to form a hydrogen bond. Lastly, the phosphate ions, being the largest ions are the ones to determine the structure of HAp [26].

Schematic showing the structure of pure hydroxyapatite.
2.2 Disadvantages of HAp
Inspite of the above advantages, HAp suffers many drawbacks. It possesses inferior mechanical properties such as low ductility, low fracture toughness and cannot tolerate large stress which ultimately leads to failure of the implants [30]. The surface of HAp is susceptible to the attack of microbes over the period of time. Bacteria, fungi and viruses start to grow on the surface of HAp gradually which eventually leads to the failure of the implant. Therefore, HAp cannot be used as a long-term implant [31]. The surface of HAp is conducive to variety of substitutions. Substitution in HAp by various ions or adding polymers will improve the properties of HAp making it a better participant to act as a long-term implant.
3 Substitution by the polymers
The mechanical properties can be magnified by the addition of some polymers to HAp to form composites. They could be either natural or synthetic as gelatin, Chitosan, graphene oxide, polyvinyl alcohol (PVA), PLA, PGA, PCL and many more [31]. The implants needed for bone repair must have high mechanical properties and good load-bearing properties; ceramics and metals are usually preferred. They are associated with some disadvantages like corrosion, inflammation, and bone loss. Therefore, polymers could be a better choice to overcome these disadvantages. Polymers exhibit good elastic modulus, do not corrode and high tensile strength. Some polymers are even known to degrade in the body over a period of time. They are associated with some disadvantages like X-ray transparency, unidentified influences of foreign body interactions and gradual decrease of mechanical strength [32]. Mousa et al. [33] prepared PMMA based bioactive bone cement where the addition of PMMA improved the mechanical strength. The increase of PMMA content caused the diminishing of the mechanical property. Graphene supported HAp played a key role in biomedical application. However, the 3-dimensional graphene network is light in weight, has excellent electrical conductivity, large internal surface area, high mechanical strength, macroscopic porous structure and good flexibility [34]. Polymers mainly come into the applications due to their superior biocompatibility, low toxicity, bioinert nature, and good mechanical properties such as strength, abrasion resistance and flexibility [35]. Polymers are used as sensors for spotting ammonia when combined with HAp as other inorganic oxide semiconductors fail to work above 300 °C [36]. Use of biodegradable polymers like PLA and PCL are known to improve the biocompatibility, the mechanical properties like modulus and strength. In addition to the above advantages, combination of PLA/PCL in HAp also improves the hydrophobicity [37].
This review article summarizes the various natural and synthetic polymer and changes in the morphology, the mechanical properties, the antibacterial studies and cytotoxicity studies when either doped or coated with the calcium phosphate ceramics to finally assess which of the composite will be the best to act as a biomedical implant. Table 1 describes the various methods of preparation of polymer and metal/polymer fabricated HAp; explaining the advantages of each of the method.
Summary of the various methods of preparation followed by the advantages of each of the HAp/polymer and HAP/metal/polymer samples.
| Preparation method | Advantages | References |
|---|---|---|
| Polymeric foams | Inexpensive, biodegradable | [38] |
| ECD | Easy controlled one (via potential and time of deposition), different coating compositions can be used, and its suitability for complex implant geometries | [39] |
| EPD | Controls the chemical composition, suited for nano, micro and biotechnologies, performed near room temperature. | [39] |
| Electrospraying | Simple, relevant, cost effective, fast, low temperature technique; particle size ranges in micro to nano scales. | [39] |
| Solution casting | Better uniformity of thickness. | [40, 41] |
| Wet precipitation method | Versatile technique for low temperature preparation. | [42] |
| Citrate reduction method | Uniform particle size | [43] |
| Green method | – | [44] |
| Sol–gel method | Low temperature synthesis, cost effective, homogenous mixing, size of particle can range from microns to nanometer range. | [45] |
| Microwave assisted co-precipitation method | Homogenous composition. | [46] |
| Biomimetic mineralisation | It can mimic the biologically mineralized growth. | [47] |
| Matrix-assisted pulsed laser evaporation | Controlled assembly of biopolymer thin films. | [48] |
4 Fabrication of HAp with single polymer
4.1 HAp/glutin/PMMA composites
Sun et al. prepared films of HAp using glutin and PMMA [49]. PMMA is a biodegradable polymer. The films were prepared in several ways like biomimetic, sol–gel etc. The coating was done by dissolving PMMA or glutin in acetic acid at 60 °C which was followed by the addition of HAp powder. The glutin/HAp ratios were 10/1, 5/1, 2/1 and the PMMA/HAp ratios were 2/1, 1/2, 1/5. Rapid stirring was done to form a slurry followed by brushing on the implant and drying in vacuum which finally led to the formation of HAp film.
4.1.1 SEM and XRD results
Scanning electron microscopy (SEM) results showed that the grains of HAp crystal were uniformly distributed only when the glutin/HAp ratio was 10:1 or the PMMA/HAp ratio was 1/5. This concluded that coating led to the formation of small pores in the samples. Pores led to greater bone ingrowth as observed after the coating. Both glutin and PMMA served different functions and could serve various medical purposes [49].
4.2 PVA/HAp foams
Ashraf et al. prepared polymeric foams for biomedical purposes [38]. Fabrication of PVA based composite using esterification and formalizing improved the resistance against water. Tissue engineering attempts to help the growth of cells and proliferation on particular matrices known as scaffolds. In this article, polyvinyl alcohol was used to fabricate the scaffold due to its biodegradability, cost effectiveness and solubility in water. Scaffolds are limited in use due to a lack of interaction between the scaffold material and bone. To overcome this problem, HAp was used. It is known for its excellent biocompatibility. PVA matrix was prepared using the esterification and acetalizing method. The foams were then characterized. Using PVA/HAp foams, 3-D scaffolds were prepared which is important in regenerative medicine.
4.2.1 Surface morphology
The morphologies were studied using SEM. Sufficient pores were observed in the foams. The pore size was measured by the porosity test. The porosity values were increased on the addition of HAp. The size of the pores was in the range of 100–200 µm which was appropriate for bone regeneration.
4.2.2 Mechanical studies
The mechanical studies were done by checking the stress–strain curve. Plateau stress was obtained from the average stress between 0.2 and 0.3 strain values and the densification was started from 1.3 times of plateau stress. The densification strain was also achieved from the corresponding point of densification stress. Increase in the amount of HAp decreased the stress. The densification stress decreased and relative strain reduced due to the aggregation of HAp particles in the foam structure. The results showed that using HAp particles as a secondary agent improved the foams bioactivity and their biodegradability but caused some defects in structure which finally led to a plateau stress reduction from 5 MPa in PHF0 to 3.37 MPa in PHF3.
4.2.3 Biocompatibility test
Bioactivity tests of the foams were evaluated by immersing the samples in the Ringer’s solution for 28 days at 37 °C followed by the X-ray diffraction (XRD) and SEM analysis. XRD pattern revealed a considerable change due to higher amounts of HAp after immersing in Ringer’s solution. SEM studies showed the presence of a secondary phase in the foam during the biological test [38].
4.3 Analyzing the different drying methods of PVA/HAp composites
Başargan et al. prepared PVA-HAp composite using an in-situ biomimetic process with two different drying methods [50]. The drying methods used were oven drying and spray drying. Uniform size, control on the morphology and mixing could be achieved using the in-situ biomimetic process. In this article, the effect of drying and the effect of molecular PVA was investigated. The starting material used was Ca(OH)2, H3PO4, de-ionized water and PVA.
4.3.1 XRD results
The XRD pattern revealed that different drying methods or changes in the weight of the polymer did not change the peak position to a greater extent. The Ca/P ratio was maintained at 1.665 as shown by XRD analysis. An increase in the weight of the polymer slightly decreased the size of the crystal.
4.3.2 Surface morphology
SEM analysis to compare the morphology of the samples was done. There showed a clear change in the morphology when different drying methods and different molecular weights of PVA were used. PVA led to porous surfaces. Agglomeration was shown in oven drying while a smooth sphere was seen in case of the spray drying method. The high molecular weight of PVA induced smaller sized particles. It was observed that oven-dried particles had a crystal size in the nano range while spray drying particles ranged in microns as observed from the Brunner–Emmett–Teller (BET) surface area [50].
4.4 Advancement in polymer/HAp composites
Pielichowska reviewed the advancement in the polymer/HAp composite for bone tissue regeneration [51]. There are several techniques of preparation of HAp which could be the hydrothermal method, wet precipitation method, template technology, wet chemistry method etc. Polymers could be a substitute for metallic implant because of their biodegradability, reasonable cost and wide range of physical and mechanical properties. Based on the properties and degradation of the polymers, they can be classified as bioresorbable and bioerodable.
4.4.1 Polyethylene
Polyethylene is a non-degradable polymer with good ductility, good wear resistance, chemical resistance, low coefficient of friction, self-lubricating mainly due to linear chains and high molecular weight. High-density polyethylene (HDPE) is mainly used for the bone replacements. Polyethylene/HAp was the first bioactive composite prepared to mimic the natural bone. An increase in the volume percent (vol%) of HDPE increased the Young’s modulus, shear modulus, microhardness and tensile strength of HDPE/HAp. The particle size and morphology also affected the mechanical properties. The large size of the composites increased the ductility of the samples but diminished the mechanical properties. HDPE/HAp had lower coefficient of friction than HDPE. The addition of 10 vol% HAp improved the friction and wear properties but above 10 vol% deteriorated the tribiological properties of the composites.
4.4.2 Polyamides
Polyamides are another class of polymers with good properties. Amongst them, polyamide 6,6 are biocompatible and are known to possess good mechanical properties which are suitable for biomedical applications. The main drawback is that it is inert; therefore, it needs to be combined with some bioactive ceramics. HAp/polyamide 6,6 when prepared showed good homogeneity and mimicked the natural bone.
4.4.3 Polyacetals
Polyacetals are another class of polymers called polyoxymethylene homopolymer copolymer of trioxane with dioxolane or ethylene oxide. They have very high Young’s modulus but the polymer has inferior mechanical properties for application in joints replacements like knee and hip prosthesis. Polyacetals as implants do not degrade on exposure to body fluids up to 20 years. Moreover, no cytotoxicity was investigated on cells. When mixed with HAp, the degree of crystallinity improved and also showed bioactivity in the SBF solution.
4.4.4 Polysulphone
Polysulphone is an amorphous polymer with sulphone repeating units with high thermal and mechanical stability, good dielectric properties, resistance to chemicals, etc.
4.4.5 Poly(ether ether ketone)
Poly(ether ether ketone) is a bioinert, non-cytotoxic, having good chemical and fatigue resistance and high mechanical properties. It is even resistant to radiation. With the addition of HAp, the bioactivity of the composite increased considerably.
4.4.6 PMMA
It is a non-degradable polymer. It has been widely used in bone cement for fixation in orthopaedic surgeries because of various properties like good impact strength, non-toxic, good chemical resistance, weathering resistant, optical clarity, etc. while the major drawback comes in bioactivity; it does not adhere to the surface of the tissues. The cell response was improved by addition of bioactive ceramics like HAp. Degradable polymers were being used in short-term medical applications. These could be drug delivery, orthopaedic fixation, wound dressing, etc. Synthetic biomaterials are bio-inert and have properties similar to the natural polymers. Synthetic biomaterials need to be used with the bioactive ceramics like HAp to improve the interaction with the host tissues.
4.4.7 PLA
PLA is a linear aliphatic thermoplastic and biodegradable polyester with good mechanical properties, thermal plasticity, and biocompatibility. It possesses high tensile strength, wear and chemical resistance. These properties make polylactide more widely used than amorphous polymers for orthopaedic fixations.
4.4.8 PCL
PCL is a commonly used polymer due to its low elastic modulus and high elongation at break. The incorporation of HAp in this polymer leads to the osteoblast growth with an increase in the mechanical properties. There are several natural degradable polymers used in the biomedical field. These include collagen, gelatin, and silk. An important aspect for the assessment of biocompatibility is that the pore size should be maintained. A sufficient pore will lead to the osteoblast growth as well as the structure for adherence. Scaffolds of polymer/HAp can be prepared in several ways. These include solvent casting and particulate leaching, melt molding, emulsion freeze-drying, gas foaming, electrospinning, thermally induced phase separation or solid freeform fabrication (SFF) [51].
4.5 Advancement in biodegradable polymer/HAp composites
Ramesh et al. reviewed the recent developments in the polymer/HAp composite [52]. HAp/biodegradable polymer composite showed better bioactivity.
4.5.1 Chitosan
Chitosan is a versatile natural biopolymer. It has been extensively used for its biocompatibility, biodegradability, and antibacterial properties. It was reported that Ag/HAp combined with Chitosan resulted in enhanced biocompatibility, higher bioactivity and improved antibacterial activity. Chitosan/HAp has been used as a coating on titanium alloy implants to accelerate the osseointegration process.
4.5.2 Collagen
Collagen is a protein found in the body. It is known for its biocompatibility, degradable properties and exhibits good interaction with the cells. Collagen mixed with HAp showed an increase in the mechanical properties by diminishing the pore size. Collagen/HAp enhanced the cytocompatibility as compared to pure collagen scaffolds as showed by the in-vitro studies. The studies revealed improved osteoblast attachment and proliferation of cell lines like human osteoblast cells, osteosarcoma cells, fibroblast cells when a varying amount of HAp was added.
4.5.3 Alginate
Alginate is a biodegradable and biocompatible marine sourced biopolymer. To improve the mechanical properties of alginate, ceramics like HAp needs to be reinforced.
4.5.4 Hyaluronic acid
Hyaluronic acid is an unbranched linear hydrophilic polymer formed from the disaccharide units. It is known to have many biomedical properties like biocompatibility, bone regeneration due to its elasticity, osteoinductivity, antimicrobial properties, cell proliferation and differentiation. The major problem associated with this acid is its enzymatic degradation in-vivo resulting in the depletion of its mechanical properties.
4.5.5 PCL
PCL is a synthetic, non-toxic and biocompatible polymer mainly known for its biodegradability. It is known to degrade and completely get eliminated from the host in 3 years. It was also approved by the U.S. Food and Drug Administration to be used as an implant. When combined with HAp, there showed an increase in mechanical properties. Porous HAp/PCL scaffolds are reported to show greater cell viability and proliferation on primary fetal bovine osteoblast than PCL scaffolds. The major drawback of PCL is its hydrophobic nature resulting in lower antimicrobial activity.
4.5.6 Poly-3-hydroxybutyrate (P3HB)
P3HB is a crystalline polyester that is formed as a result of enzymatic synthesis by the bacteria. It is biocompatible and non-toxic polymer as low molecular-weight poly-3-hydroxybutyrate degrade into non-toxic D-3-hydroxybutyrate in-vivo, a by-product seen in the human blood. Due to its brittleness, it needs to be combined with another polymer to form a copolymer or mixed with HAp. Mixing of 5% HAp improved the mechanical strength and elastic modulus wherein the addition of 10% HAp led to a decline in the mechanical strength. Nano-HAp/P3HB scaffolds showed better cell attachment and proliferation on MG63 osteoblasts. The composite cannot be used for long term implant due to its mechanical instability.
4.5.7 Polylactic acid
Polylactic acid is formed by the polyesterification of lactic acid. It exists in four chiral forms: poly (D-lactic acid) (PDLA), poly (L-lactic acid) (PLLA), poly (D, L-lactic acid) (PDLLA), and meso-poly(lactic acid). Polylactic acid is known for its high tensile strength and Young’s modulus; dependant on the percentage. PDLLA, on the other, has lower tensile strength and is amorphous, and has a faster degradation rate. Polylactic acid/HAp showed good biocompatibility in many cell lines.
4.5.8 PGA
PGA is a semi-crystalline polymer with high tensile strength. It is insoluble in most of the organic solvents. The mechanical properties and the degradation rates are faster than PLA. Studies revealed that a strong inflammatory response is evoked as a result of the degradation of PGA and the formation of glycolic acid. When combined with HAp, PGA/HAp showed good resorption in-vitro. The use of PGA has been confined in the biological field because of its high stiffness and the nature of the degradation products.
4.5.9 Poly(lactide-co-glycolide) (PLGA)
PLGA is a biocompatible polymer with satisfactory mechanical properties. PLGA containing 75% PGA is known to be amorphous and hydrolytically unstable, thereby degrades faster. When combined with HAp, the mechanical properties can be improved. PLGA/nano-HAP showed excellent in-vitro behaviour. The HAP/polymer samples are still restricted to small models only [52].
4.6 Choices of materials used for bone generation
Sarkar and Lee updated about the latest innovations on bone regenerations by preparing different materials that caused rapid bone formation [53]. There are many choices for preparation of the materials; each having its advantages and disadvantages.
4.6.1 Bioceramics
These are widely used as implants due to their similarity with the structure of bone. The pore size and microstructure will the mechanical properties. There should be a balance between the mechanical properties and bioresorbability; this is the new concept of bio-active material using biphasic calcium phosphate. The osteoblast proliferation and material performance, densification behaviour, dissolution rate and biocompatibility can be enhanced by addition of dopants like Zn, Sr, Si, etc. These dopants are known to promote bone formation. Nanophase has many advantages like improvement in biological and mechanical properties, effect on the size, etc. The main disadvantage of the bioceramics are its brittleness and low load bearing property. Pore size greatly affects the strength. Greater pore size shows higher bone ingrowth but decreased mechanical strength. The usage of ceramic-polymer hybrid scaffolds is gradually gaining attention. It is well known that polymers alone cannot fulfil all the criteria for a good scaffold. It needs to be combined with ceramics like hydroxyapatite, bioactive glass, or glass-ceramics to produce a better biocompatible scaffold with strong mechanical properties.
4.6.2 Ceramic-polymer scaffold
These intensify the morphology and functional properties of the scaffolds. Bioactive glass and glass ceramics are known for their biocompatibility and bioactivity. They can bond with the living host tissues. Bioglass is amorphous whereas glass-ceramics are crystalline. These materials cause biological responses that enhance cell-material interaction. The products of bioglass accelerate bone cell regeneration and the formation of natural bonds with the existing bone.
4.6.3 Bioglass
They are formed by the sol–gel method which produces particles in the nanometer range. They form scaffolds that are highly biodegradable with enhanced biological response. Bioglass can be used to coat bioinert surfaces like metallic implants. The advantage of metallic implants is their high mechanical strength but they lack any bonding with the host tissues. Several modifications like plasma spraying, dip coating, electrophoretic coating are done to modify the metallic implants.
4.6.4 Biopolymers
Biopolymers are very safe in-situ thereby widely used as implants. Natural polymers include Chitosan, hyaluronic acid, alginate, oxidized alginate, gelatin, pectin, starch; and proteins including soy, collagen, fibrin gels and silk. Synthetic polymers include PGA, polylactic acid, their copolymer PLGA, polyanhydrides, polycarbonates, polyphosphazene, polyfumarates, and poly(butylene terephthalate)/poly(ethylene oxide). Biopolymers are degradable and the degradation products can be discarded by metabolic activity.
4.6.5 Natural polymers
Natural polymers show poor mechanical properties. Crosslinking with polymers can improve the properties of scaffolds. Hydrogels can also be a good alternative for metallic implants but they lack mechanical strength and low load-bearing properties. Therefore, they alone cannot be used as an implant for bone regeneration in-vivo. Hydrogels when combined with HAp/β-TCP improved the delivery and distribution of cells [53].
4.7 Electrochemical methods used for preparation of polymer/calcium phosphate ceramics
Touny et al. reviewed various electrochemical methods for the fabrication of different polymers/calcium phosphate nanocomposite for hard tissues [39]. The polymers/calcium phosphate composite resembles to that of the natural bone. Moreover, calcium phosphates are known to promote osseointegration and are widely used for bone repair and restoration. Natural polymers are often identical to the macromolecules present in the bone. They provide better biocompatibility than synthetic polymers. Electrochemical deposition (ECD) and electrophoretic deposition (EPD) and two electrochemically based techniques differing in the setup of the experiment. Natural polymers like collagen, Chitosan, silk, gelatin are extensively used with CaP ceramics to serve as an implant.
4.7.1 ECD
It was reported that ECD controls the mineralization of collagen fibers on metallic implants. It also controls the porosity which led to good cytocompatibility and better osteoblast adhesion. Gelatin mixed with CaP could be used for medical purposes. Composites prepared from the electrochemical route increased the bioactivity. Gelatin coated HAP showed higher resistance against corrosion as compared to HAp coated without gelatin. Gelatin plays a vital role in the enhancement of cell viability. It was reported that electrochemical deposition was suited for the proliferation of osteoblasts. Silk fibroin led to the enhancement of cellular responses.
4.7.2 EPD
This method is being extensively used for the past two decades for bone replacement. Chitosan was fabricated with CaP to coat on different metals. The coating was done using the EPD method which led to the improvement in the properties. Another study reported that EPD method was used to coat silk fibroin with Zn/HAp on titanium substrates. The coating led to the increase in the bioactivity in simulated body fluid (SBF) solution. Lignin, another natural polymer was also electrodeposited with nano-HAp on titanium substrates. Lignin acted as an adhesive and strengthened the bond between HAp and the substrate surface. This combination improved the corrosion resistance and pore size which led to better osteogenesis. Moving to the synthetic polymers, these form strong candidates to act as a composite with CaP using the electrodeposition method. PVA, a synthetic polymer is known to impact the coating strength of the metallic implants which improved the cell adhesion. PCL, a biodegradable material which is extensively used for biological purposes due to its excellent bioactivity. Polypyrrole, a conducting polymer is known for its biomedical values.
4.7.3 Electrospraying
Electrospraying is a simple and relevant approach used at the industrial level for its cost-effectiveness and that it can be used at low temperatures. The layer of coated samples formed from this technique ranged from micro to nanoscales. It was reported that electrospun nanofibers formed by spin-spray of gelatin/HAp became a promising scaffold for bone regeneration.
4.7.4 Electrospinning
Electrospinning is a versatile method for the preparation of nanofibers with a large surface area to volume ratio. It is a simple method to control the morphology. Both synthetic and natural polymers have been combined with calcium phosphate ceramics to produce electrospun nanofibers for biomedical purposes. Nanofibers collagen scaffolds were produced using the electrospinning technique. These composite displayed excellent mechanical properties with Young’s modulus of the cancellous bone. They also showed improved cell adhesion, cell proliferation and differentiation. Even synthetic polymers could be combined with the natural polymers using the electrospinning process to obtain better properties [39].
Single polymeric system cannot be used to remove the drawbacks of rapid degradation and instability in the physiological environment. The main challenges in the scaffolds preparation are the promotion of osseointegration and mechanical strength. Mechanical strength is dependable on the porosity and geometry. Insufficient vascularization of the interiors of thick bone limits the cell in-growth which led to poor osseointegration. The invention of new biomaterials and modifying them with different materials would improve the biological and systemic responses [53]. It is well known that the bio-ceramics show relatively poor mechanical property and lower degradation rate. In order to improve the mechanical strength; natural or synthetic polymers must be added to the bioceramics. Some natural polymers like Chitosan showed antimicrobial property while polymers like PVA improved the cell adhesion [39]. PVP, a water-soluble polymer is widely used to control the nucleation growth of HAp and improve the stability [54].
5 Fabrication of HAp with two polymers
5.1 PVA/PVP/HAp composites
Chaudhuri et al. prepared composites with 80 wt% PVA and 20% wt polyvinylpyrrolidone (PVP) with concentrations of HAp [55]. PVA has low conductivity and dielectric permittivity. PVA behaves like insulators. In order to make it conducting in nature, conducting polymers are added. PVP is widely used for biomedical purposes due to its cost-effectiveness. It was found that PVA-PVP nanofibers are promising wound healer. In this article, 80PVA-20PVP-xHAp has been prepared where x = 2.5, 5, 8.5, 10, 15 wt%, using the solution casting method. HAp nanoparticles were derived from the eggshells as fillers, without any acidic reagents. Fibrous scaffold meshes were prepared by the electrospinning process.
5.1.1 XRD and Fourier transform infrared spectroscopy (FTIR) results
XRD results showed that with the addition of HAp, the intensity of the PVA peaks decreased. The blended composite exhibited higher conductivity and dielectric constant. FTIR spectra showed that addition of Hap moved the composite more on the amorphous side.
5.1.2 Surface morphology
The SEM micrograph of the samples was shown in Figure 3A and B (Chaudhuri et al. [55]). The SEM study showed agglomeration with some pores which indicated good biocompatibility. The HAp particles were uniformly distributed in the polymer matrix as shown by SEM micrographs. Nanoclusters of HAp are simply homogeneously distributed (for lower HAp concentration, x = 5 wt%) within the polymer blend but those clusters remained disconnected for higher HAp concentration around percolation threshold (x ∼ 10 wt%) showing maximum conductivity.

(A) SEM micrograph of 80PVA-20PVP-5 wt% HAp. (B) SEM micrograph for 80PVA-20PVP-10 wt% HAp.
5.1.3 Biocompatibility test
In-vitro biodegradability was studied by measuring the ε and σ values of the meshes by dissolving them in phosphate buffered solution (PBS) for one week. It was seen that as the concentration of HAp increased, agglomeration of the particles was reported. Moreover, the tensile strength and elongation also increased with the increase in HAp concentration. This was due to the rigidity of HAp ceramics. The addition of HAp increased the hydrophobicity of the samples due to strong PVA-PVP-HAp bonding. Antibacterial activity was investigated Staphylococcus aureus, Escherichia coli, Salmonella typhi, Vibrio cholerae, and Klebsiella pneumoniae using different HAp concentrations. It was found that all of them showed comparable values of antimicrobial activity. It was also found that the antibacterial activity was dependent on the molecular structure of the compound, the solvent used and the bacterial strain taken in the study. Adherence of the cells after seven-day culture was investigated by SEM. It was reported that better cell adhesion, growth and proliferation was seen for 8.5 wt% HAp than 5 wt% HAp. Same results were obtained in case of the MTT study. Along with this, mitochondrial activity increased along with cell proliferation. Overall, better biocompatibility was investigated for the 8.5 wt% composites. Polymer scaffold with more conducting nature was found to show better cell growth and differentiation and hence was more biocompatible which could be used for biomedical purposes [55].
5.2 Spectroscopic aspects of PVA/PVP/HAp composites
Elashmawi and Abdel Baieth discussed the spectroscopic aspects of the PVA/PVP fabricated with different mass fractions of HAp viz. 2.5, 5, 10 wt% [40]. The films were prepared using the solution casting technique.
5.2.1 XRD and FTIR analysis
FTIR studies revealed that the PVA/PVP/HAp composites were prepared as confirmed from the vibration patterns. Moreover, addition of HAp shifted the nature of the composite towards the amorphous region. This was confirmed by the XRD studies too which showed some parts of the amorphous region and some parts of the crystalline region. For the 5 and 10 wt%, there showed an increase in the crystallinity. This was probably due to the decomposition of the apatite into the various crystalline phases. Energy dispersive X-ray analysis (EDX) study showed that the Ca/P ratio in the composite was 1.65 which agreed with the Ca/P ratio in human bone. Further, this proved that HAp formation has taken place.
5.2.2 Surface morphology
SEM study revealed that addition of HAp to the blends, aggregation of calcium phosphates was seen on the top surface. As HAp was added as a filler in the polymer blend, the thermal stability of the composites decreased. Therefore, it was desirable to use HAp/PVA/PVP composite for biomedical applications [40].
5.3 PVA/PVP, HAp/PVA/PVP and PVA/PVP/β-TCP using chemical synthesis route
Uma Maheshwari et al. prepared HAp and β-TCP using wet chemical synthesis route using calcium hydroxide and orthophosphoric acid followed by electrospinning of PVA/PVP, HAp/PVA/PVP, and β-TCP/PVA/PVP composites using ethanol as the solvent [56].
5.3.1 XRD and FTIR analysis
The XRD pattern for PVA/PVP composites showed amorphous structure while the XRD pattern for HAp showed a crystalline structure. The unit cell was hexagonal. The intensity in PVA/PVP/HAp and PVA/PVP/β-TCP samples significantly decreased due to the overlapping of the peaks of HAp and β-TCP.
5.3.2 Surface morphology
From the SEM micrograph of HAp and β-TCP as shown in Figure 4A and C and the EDX spectra shown in Figure 4B and D, respectively (Uma Maheshwari et al. [56]) revealed that the Ca/P ratio in HAp was 1.62 and the grain size for HAp was 150–300 nm while for TCP, the ratio was found to be 1.49 and the grain size was 100–180 nm.

(A) SEM image of pure HAp. (B) EDX spectra of pure HAp. (C) SEM image of β-TCP. (D) EDX spectra of β-TCP.
5.3.3 Porosity measurement
The pore size is essential for bone regeneration. From the diameter of the pore size and porosity measurement, it was seen that the addition of HAp and β-TCP to the blends increased the pore size but the pore size was the largest for the β-TCP composites. For (PVA-PVP)-HAp composites, the pore structure was uniform with lots of pores in them while (PVA-PVP)-TCP composites were found to be coarse and not uniform with larger size pores. The introduction of HAp in the blend led to greater water absorption ability than the pure PVA-PVP. The addition of β-TCP to the pure blend improved the hydrophilicity.
5.3.4 Biocompatibility studies
Biocompatibility studies were investigated against MG-63 cell lines. It was found that after 7-day cell culture, the cell viability showed a fair amplification in case of HAp added composite than the β-TCP composites. This resulted in good cell adherence, faster proliferation and growth of the cells [56].
5.4 Synthesis and characterization of PVA/type 1 collagen/HAp composites
Asran et al. prepared PVA nanofibers, PVA/Type I collagen, and their composite by electrospinning process. 15 wt% PVA was dissolved in de-ionized water and Type I Collagen was used as a diluting agent to dilute 15 wt% PVA to obtain the weight ratio of 55:45 of collagen:PVA which was followed by the electrospinning of the scaffold [57]. Later, the characterization of the composites was done.
5.4.1 XRD and FTIR results
The study revealed that the incorporation of HAp in PVA structure resulted in the shift of the broad absorption band of the OH group. Moreover, the crystallinity of PVA decreased as nano-HAp was added. The presence of strong intermolecular hydrogen bonding in the electrospun PVA/Collagen/nano-HAp composite was revealed due to large number of OH groups.
5.4.2 Surface morphology
TEM analysis was done to study the morphology of the HAp nanofibers. An important feature observed was that all HAp nanorods had porous structure. The electrospun PVA nanofibers showed a uniform morphology without any bead formation. The electrospun PVA/nano-HAp fibers also showed a similar morphology with slight difference that addition of HAp resulted in increase in the average size of the fibers from 160 to 176 nm. PVA/Collagen had similar morphology with a difference in the average size of 245 nm. With addition of 5 wt% nano-HAp to PVA/Collagen nanofibers, the average diameter size increased to nearly 320 nm. When 10 wt% nano-HAp was added, it resulted in the agglomeration of nano-HAp with the average size diameter in the range of 350–520 nm.
5.4.3 Mechanical studies
The mechanical properties were calculated using tensile testing. It was observed that electrospun nanofiber of PVA/collagen/n-HAp in which 5 wt% HAp was added showed an overall highest tensile strength. Moreover, it was seen that increase in the tensile strength was due to the rigidity of nano-HAp. A decrease in the tensile strength and elastic modulus of the composite was observed when 10 wt% nano-HAp was added. Strong adhesion was seen when collagen and nano-HAp were added and improvement of the mechanical properties was observed when PVA was added. The samples were not able to support high load. Therefore, these could be used in low-bearing applications [57].
5.5 Characterization of PVA/PCL on HAp composites
Uma Maheshwari et al. prepared a composite with PVA/PCL on HAp and tested for the mechanical properties, biocompatibility and cell adhesion [42]. HAp was prepared by the wet chemical synthesis route with calcium oxide and orthophosphoric acid as the starting materials. PVA-HAp was prepared by mixing in the ratio of 80:10 in the de-ionized water to give 8.75 wt% solutions while PCL-HAp was prepared by mixing 80:20 mixture of chloroform/Dimethyl formamide (DMF) to give a 9 wt% solution. PVA/PCL bilayer was incorporated into the HAp by the electrospinning process.
5.5.1 FTIR and XRD studies
FTIR studies showed the presence of new functional groups in the sample when the polymer bilayer was added to HAp. The XRD pattern showed that pure HAp had a highly crystalline structure. The pattern for the PCL-HAp showed no significant change in the crystalline structure which concluded that HAp was uniformly dispersed into the matrix. Moreover, the PVA peaks were weak and broad in PVA-HAp and (PVA/PCL)-HAp. The bilayer nanocomposite showed an increase in the sharpness and intensity of the HAp peaks due to the large size of HAp.
5.5.2 Surface morphology
SEM results showed that the fibers were in the nanometer range. EDX analysis showed that Ca/P ratio was 1.62 which was close to the theoretical value. A highly agglomerated structure was seen in case of pure HAp. When bilayer polymer was added to HAp, the concentration of HAp started to decrease which led to the better formation of fiber with the range of 340 nm.
5.5.3 Porosity measurement
Correct pore size allowed the cells to adhere to the surface of the composites. Bilayer composite showed an increase in porosity to about 64% which was advantageous for the adherence and proliferation of the cells. The pore size for the bilayer composite was about 525 nm. PVA is highly hydrophilic; the hydrophilicity of the PVA-HAp sample was 143%. The addition of the polymers to the HAP showed improved hydrophilicity of the samples (141%). This discussion is shown in Table 2.
Porosity, average diameter and water swelling ratio of the PVA-nHAp, PCL-nHAp and PVA/n-HAp/PCL composites [42].
| Nanocomposites | Average fiber diameter AFD (nm) | Porosity (%) | Water swelling ratio (%) |
|---|---|---|---|
| PVA-nHAp | 147 | 59 | 143 |
| PCL-nHAp | 334 | 63 | 115 |
| PVA/n-HAp/PCL | 340 | 64 | 141 |
5.5.4 Biocompatibility studies
MTT assay results on the MG-63 seeded cells showed that the bilayer polymer had higher cell proliferation rate with enhanced cell viability. Good porosity and optimum pore diameter of over 500 nm facilitated better cell adherence and growth. HAp increased the surface roughness and mechanical strength of the scaffold. The bilayer composite could be a better choice to be used as potential scaffolds [42].
5.6 Effect of Chitosan/PLGA in Hap
Ignjatović et al. combined a natural polymer and a synthetic polymer with nano-HAp to evaluate and study the osteoconductivity and the antimicrobial activity of the composites [58]. Chitosan has many physicochemical and biological properties including antimicrobial, anti-inflammatory and has been known to enhance the immunity. Poly-D, L-lactide-co-glycolide (PLGA) has been used in the field of medicine over years. Both the polymers suffer certain disadvantages. Pure HAp was synthesized using calcium nitrate and diammonium hydrogen phosphate as the precursors. Chitosan solution was prepared by dissolving Chitosan in acetic acid and PLGA solution was prepared by preparing PLGA in acetone followed by mixing in HAp. This was followed by the coating of both polymers into the HAp.
5.6.1 XRD results
XRD pattern showed that peaks were only due to Chitosan and HAp in Chitosan/PLGA/HAp. This was so because PLGA was purely amorphous.
5.6.2 Surface morphology
Field emission scanning electron microscopy (FESEM) images showed that HAp had platelet like morphology while Chitosan/HAp/PLGA had round morphology while Chitosan/HAp had spherical morphology. HAP showed uniform distribution of particles and with the increase in the polymer content, the diameter of the particles also increased. This could be due to the agglomeration in the particles with the addition of polymers.
5.6.3 Biocompatibility studies
The antimicrobial activity of three samples showed that the HAp/Chitosan was found to have the highest antimicrobial activity. The three samples showed good cell viability. The presence of inflammatory cells, lymphocytes at the osseous site after four weeks of reconstruction of the osseous was visible in HAp/Chitosan sample. The number of osteoblast cells was found to be the maximum for Chitosan/PLGA surface, thereby showing an increase in the quality of the newly formed bone tissues [58].
Combination of bioceramics with two polymers provides the characteristic feature of both the polymers. PVA/PVP blend is used as dressing component for the skin. Moreover, the thermal stability of the blends is also higher than single polymer fabricated HAp. The addition of HAp to PVA/PVP showed raised conductivity [55]. PVA is semi-crystalline which suffers suspension under physiological condition. Blending it with PVP removes the disadvantages due to the intermolecular hydrogen bonding [59]. The combination of PVA/Type1 collagen in HAp showed the highest tensile strength and elastic modulus which was greater than the PVA/HAp and Type 1 collagen/HAp [56]. The bilayer composite creates specific biological environment due to its varied structure and chemical properties. In the PCL/PVA/HAp bilayer composite, the polyester improves the mechanical strength and PVA hydrogel provides cell supportive environment [57].
6 Fabrication of HAp with polymers and metals
6.1 Characterization of PVA/HAp with gold particles
Ismail et al. prepared PVA/HAp composite fabricated with gold nanoparticles [43]. Gold nanoparticles were synthesized using the citrate reduction method. In-situ preparation of nano-HAp was done using PVA at pH 11. The gold particles were fabricated using ultrasonication for 30 min at 60 °C. UV–Vis spectroscopy confirmed that due to the very small size of the gold particles, there showed a difference in the physical and chemical properties which included photoemission, high electrical and heat conductivity and improved surface catalytic activity.
6.1.1 XRD results
XRD studies revealed that the pattern remained nearly the same corresponding to the hexagonal structure of HAp after doping with gold nanoparticles. Secondary phases were not detected. Further, doping with gold nanoparticles increased the crystallinity.
6.1.2 Surface morphology
Transmission electron microscopy (TEM) studies showed that the HAp/PVA samples were elongated spheres with a diameter of about 40 nm. After doping with Au nanoparticles, the shape changed to rod-like structure resembling to the biological apatite. Moreover, the fabricated particles were present at the surface. From the FTIR analysis, the various functional groups of the powders were detected. The thermal behavior of the gold fabricated HAp/PVA composite, showed that doping had a significant effect on the hydroxyl groups in the HAp [43].
6.2 HAp/PVA with gold particles using green method
Hezma et al. prepared electrospun PVA fabricated on HAp doped with gold nanoparticles [44]. Gold nanoparticles (Au) were synthesized using green method using Eurotium herbariorum biomass. In this method, the composition of PVA and HAp were fixed while the gold concentrations were varied.
6.2.1 Surface morphology
TEM study was done for the gold nanoparticles. From the TEM analysis, it was found that the gold nanoparticles had spherical structures. SEM images showed that the electrospun fibers had a diameter range of 100–150 nm. The addition of nano-HAp led to an increase in the diameter from 300 to 400 nm. The addition of HAp also showed some agglomerations. Doping with Au nanoparticles showed uniform distribution inside the fibers with no agglomerations.
6.2.2 Mechanical studies
The mechanical studies showed that the addition of Au nanoparticles showed higher elastic modulus. Moreover, the addition of Au particles led to the improvement of tensile strength of HAp/PVA. The mechanical properties were dependent on several factors. The addition of Au nanoparticles to HAp/PVA composite increased the inorganic phase which led to stronger interfacial interaction between the organic and inorganic phases.
6.2.3 Biocompatibility studies
The samples were immersed in the simulated body fluid for 14 days and analyzed by SEM. Apatite-like structure started to form gradually whose size was increased as the concentration of Au nanoparticles increased. Moreover, the concentration of 2 mg of Au nanoparticles led to increased mineralization compared to the other samples. Therefore, this concentration could be later used for biomedical applications by inducing the bioactivity. It was concluded that the continuous formation of apatite in a higher concentration of Au nanoparticles had higher ability to induce the formation of minerals in-vitro. To confirm the predictions, SEM-EDX was performed. EDX results confirmed that the Ca/P ratio in 2 mg Au nanoparticles was 1.68 which was very close to the ratio present in the natural apatite i.e. 1.67. The composition and the phase analysis showed that the results nearly matched the natural bone. The electrospun fibers had nanoporous structure on the surface which could serve a better biomedical applicant and used for the repair of the defects [44].
6.3 Effects of spray-coated magnesium alloys with HAp films/PLA composites on corrosion
Abdal-hay et al. studied the effect of spray-coated magnesium alloys with the films of pristine and hydroxyapatite fabricated PLA on corrosion and bioactivity [60]. HAp powders were synthesized using wet chemical synthesis route. Instead of pure magnesium, Die-cast magnesium alloy with 2.47% Al, 0.63% Zn, bal Mg (wt.%) was used as the material. This was followed by the coating of the polymer onto the alloy surface.
6.3.1 XRD results
From the XRD pattern, it was observed that calcined HAp showed sharp and high peaks than the dried HAp. It was found that the dried samples had low crystallinity and were small in size with non-uniform grains. The secondary phases were also not detected. EDX of the samples was performed which showed impurity. Only the Ca and P peaks were seen.
6.3.2 Surface morphology
The TEM study concluded that calcined HAp had relatively smaller size than HAp with spherical geometry. Calcined HAp had higher crystallinity with less agglomeration and higher uniformity. Therefore, calcined HAp promoted greater osseointegration. Characterization of the coated surface was done. PLA had a highly ordered porous structure as revealed from the SEM study.
6.3.3 Porosity measurement
The addition of HAp nanoparticles to the polymer had minimal effect on the porosity of the coated layer while increasing the concentration of the polymer decreased the porosity of the coated layer. As we are aware of the fact that pore size plays a critical role in assessing the in-vitro bioactivity of the samples, the optical contact angle test was very important. PLA is known to be highly hydrophilic. Hydrophilic substances are known to promote cell growth, proliferation and protein adsorption. Incorporation of HAp into the polymer caused an increase in the contact angle. We were aware of the fact that Mg alloys suffered a major drawback of getting easily corroded. In order to remove the above drawback, HAp nanoparticles were incorporated.
6.3.4 Corrosion analysis
HAp has excellent thermal stability which resulted in lowering the corrosion rate. This was well supported by the Tafel plot results. Higher corrosion potential (Ecorr) and lower corrosion current (Icorr) values were observed for the PLA fabricated HAp samples. Therefore, it was concluded that PLA fabricated HAp could be added in Mg alloys to reduce the corrosion.
6.3.5 Mechanical studies
Mechanical studies were investigated using the immersion for 5 and 15 days using the bend test. It was observed that the bending strength for the Mg alloys sharply declined up to 15% after 5 days and 25% after 15 days. In contrast to the pure samples, the coated samples declination rate was linear over the time. Therefore, the coated samples could be used as an implant to heal the bone. Also, it could be used to lower the corrosion rate. Therefore, Mg alloy coated HAp fabricated PLA film could be used as a promising biomaterial implant which promoted cell growth, cell proliferation and cell attachment.
6.3.6 Biocompatibility studies
The samples were immersed in Hank’s solution followed by the analysis with SEM-EDX. It was observed that after one-day immersion in the solution, the growth of bone-like substance on the surface was observed. The EDX study confirmed the presence of Ca and P on the surface. Due to the high degradation rate of Mg, the bioactivity also diminished. The addition of HAp nanoparticles improved the bioactivity subsequently they can be used for orthopaedic and bone healing applications. The pH values were also calculated after immersing in the SBF solution for 15 days. It was found that the pH variation of the coated samples was slower than the magnesium alloy samples. Cytotoxicity of the samples was investigated using MC3T3 cells. It was observed that the coated samples increased the number of the cells which indicated improved bioactivity [60].
6.4 Ag/HAp with electrospun PVA fibers composites for hard tissues
Anjaneyulu et al. prepared Ag-fabricated HAp having different concentration using sol–gel method followed by the electrospinning process using 10 wt% PVA [45]. This was followed by the characterization of the samples.
6.4.1 XRD, FTIR and EDX studies
XRD studies revealed that there were no secondary phases like β-TCP and AgO. The crystallinity of Ag/HAp increased from 1 to 5%. EDX results showed that Ag was added into HAp. Furthermore, the ratio of (Ca + Ag)/P was found to be near 1.66. FTIR studies showed the presence of strong hydrogen bonding which was due to the bonding between OH– of PVA and OH– of Ag-fabricated HAp.
6.4.2 Surface morphology
SEM studied showed that Ag-fabricated HAp had rod-like shape with agglomerations whose size was in nano to submicron range. From the SEM study, it was seen that the pure PVA nanofibers had a smooth surface. With the addition of Ag, swelling of the fibers was noticed as they were loaded with Ag. There was non-uniformity with increase in the diameter. The percentage of Ca and P gradually increased as the concentration of Ag increased in the Ag-fabricated HAp-PVA composite. TEM studied proved that different concentrations of Ag+ had been incorporated into the PVA matrix.
6.4.3 Biocompatibility studies
The antibacterial activity of fabricated electrospun composite nanofibers were checked against the common pathogen namely S. aureus and E. coli. It was found that 1–5 wt% Ag-HAp-PVA showed excellent antibacterial activity. The mechanism was probably due to the release of Ag+ ions into the matrix. The graph of zone of inhibition was demonstrated in Figure 5 (Anjaneyulu et al. [45]). These consequences concluded that E. coli had higher microorganism restriction ability than the S. aureus which might be due to the less-denser cell wall and also the zone of inhibition was found to be enhanced with the increase in the inclusion of Ag-HAp concentration into PVA matrix.

Graph showing the zone of inhibition for (a) pure PVA nanofiber, (b) 1 wt% Ag-HAp-PVA, (c) 2 wt% Ag-HAp-PVA, (d) 3 wt% Ag-HAp-PVA, (e) 4 wt% Ag-HAp-PVA, (f) 5 wt% Ag-HAp-PVA.
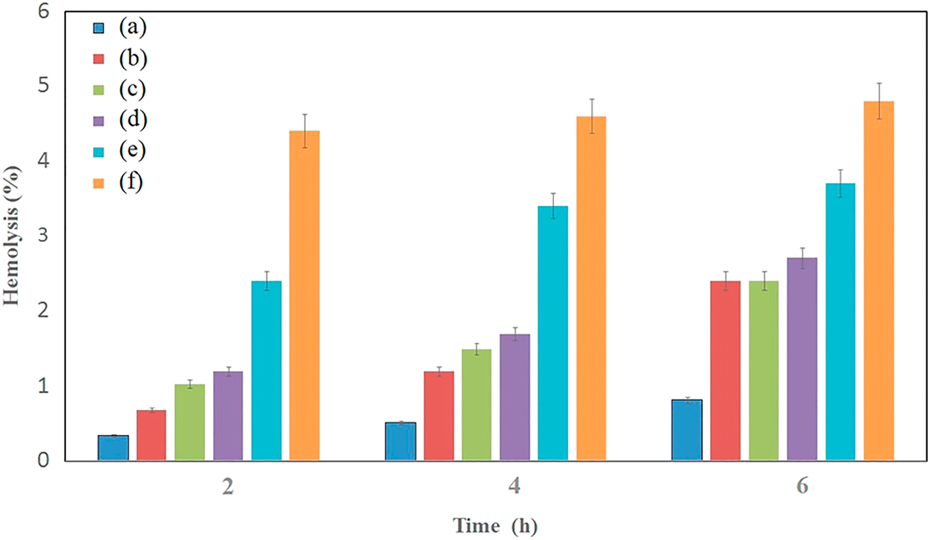
From the in-vitro hemocompatibility study, the hemolytic percentage of pure PVA and Ag-HAp-PVA composite nanofibers were calculated by exposing the length of 1 × 1 cm to human blood for 2, 4 and 6 h at 37 °C. The hemocompatibility studies showed that all the composite samples had good compatibility to the human blood with less than 5% of hemolytic ratio. The hemolysis ratio was found to increase from PVA to 5 wt% Ag/HAp-PVA composite as shown in Figure 6 (Anjaneyulu et al. [45]).

Graph for the in vitro hemolytic assay of (a) pure PVA nanofiber, (b) 1 wt% Ag-HAp-PVA, (c) 2 wt% Ag-HAp-PVA, (d) 3 wt% Ag-HAp-PVA, (e) 4 wt% Ag-HAp-PVA, (f) 5 wt% Ag-HAp-PVA.
The SBF immersion test was used to determine the bone bonding ability of fabricated electrospun Ag/HAp-PVA composite nanofibers with natural bone by the formation of apatite layer on the surface of composite mats. The composite was immersed in SBF solution for 7 days at 37 °C and checked for the apatite formation. It was found out that increase in the Ag+ concentration enhanced the apatite layer formation, indicating that higher Ag+ concentration accelerated the bone mineralization [45].
6.5 Mechanical and biological properties of Chitosan/PVA-HAp based ZnO2 composites
Bhowmick et al. studied the mechanical and biological properties of Chitosan-PVA-HAp based ZnO2 based composites [61]. In this experiment, the wt% of Chitosan was kept constant and the rest of them were varied.
6.5.1 XRD and FTIR results
The functional groups were detected by the FTIR studies. The XRD pattern showed that all three samples were amorphous.
6.5.2 Surface morphology
The size and morphology were studied by SEM. The SEM studies showed that three of the samples were porous in nature and size varied from 1 to 10 µm. The PVA/Chitosan composite showed cell attachment and growth.
6.5.3 Porosity measurement
All the samples showed a good porosity percentage. The porosity increased gradually with increase in the PVA and ZrO2-HAp content which was in the range of human cancellous cells or spongy bone. Higher pore size resulted in protein adhesion and favored cell adhesion. Swelling studies were done to check the uptake of water in the samples. The percentage of swelling was found to increase with the increase in the PVA content which meant that the hydrophilic nature became more pronounced as the PVA content increased. The swelling capacity was even checked in the SBF medium. The results contradicted those obtained in the water medium.
6.5.4 Mechanical studies
The mechanical studies including the tensile strength, toughness and elongation at break were found to increase with the increase in the concentrations of ZrO2 in the composite.
6.5.5 Biocompatibility studies
Antimicrobial studies were done against the Gram-negative bacterial strain E. coli and Gram-positive bacterial strains Lysinibacillus fusiformis and Bacillus cereus. All three composites were found to possess antibacterial properties. PVA does not have antibacterial property therefore, the property was solely due to the presence of ZrO2-HAp in the composite. A similar trend was followed in the case that as the amount of nano-HAp-ZrO2 increased, the antimicrobial activity also increased. In-vitro cell proliferation study was done using MTT assay. Greater cell proliferation was observed for the highest concentration of nano-HAp and ZrO2 in the sample. MTT assay results concluded that these samples were cytocompatible to the osteoblast cells [61].
6.6 Synthesis and characterization of Fe-HAp/PLA composite
Morsi and Hezma prepared iron-fabricated HAp and a solution casting method was used to fill the PLA polymer matrix [41]. Iron fabricated HAp (Fe-HAp) nanopowder was prepared using calcium nitrate and diammonium hydrogen phosphate as the starting material. This was followed by the casting method in which PLA was incorporated into the iron-fabricated HAP nanopowder.
6.6.1 XRD and FTIR studies
FTIR studies were done to study the changes before and after the addition of PLA into the Fe-HAp. It was concluded that PLA was attached to the HAp via hydrogen bonding between OH– of Ca(OH)2 and the oxygen atoms in the ester groups of the PLA matrix. XRD studies were performed on Fe-HAp/PLA and pure PLA. It was observed that with the increase in the Fe-HAp content, the crystalline nature decreased while the amorphous nature increased.
6.6.2 Surface morphology
SEM images showed that there was aggregations in the nanopowder and Fe-HAp was uniformly distributed within the polymer matrix.
6.6.3 Mechanical studies
The stress-strain curve confirmed that the addition of high content of Fe-HAp into the matrix decreased the tensile stress and elastic modulus.
6.6.4 Biocompatibility studies
Antibacterial studies showed that addition of Fe-HAp improved the antibacterial activity. The antibacterial activity increased with the increase in the concentration of Fe-HAp concentration. The PLA nanocomposite samples had comparatively high and nearly similar antibacterial activity against Gram-negative and Gram-positive bacteria as compared to that of pure PLA, where the inhibition zones were increased with increasing the nanoparticle content within PLA matrix [41].
6.7 Synthesis and characterization of Fe-HAp/PCL composites
Gloria et al. prepared magnetic Fe-HAp in PCL matrix followed by the mechanical and biological characterization of the Fe-HAp/PCL composite [62]. Preparation of Fe-HAp was done using the Ca(OH)2, phosphoric acid, FeCl2 and FeCl3 as the starting materials. The casting and molding method was used to prepare the Fe-HAp/PCL composite.
6.7.1 XRD, EDX and FTIR studies
The EDX analysis showed the (Fe–Ca)/P ratio was near to the theoretical ratio of 1.67. XRD analysis showed that Fe-HAp/PCL magnetic substance did not modify the crystallinity of the Fe-HAp. Moreover, it also showed the peaks for both PCL and Fe-HAp.
6.7.2 Surface morphology
SEM analysis showed that the nanoparticles were uniformly distributed in the polymer matrix which formed aggregates in the nanocomposites.
6.7.3 Mechanical studies
Mechanical studies confirmed that that the load-bearing properties of Fe-HAp/PCL was better than the pure PCL matrix; the best being when 10 wt% of Fe-HAp are included in the Fe-HAp/PCL composites.
6.7.4 Biocompatibility studies
The pure PCL matrix has optical contact angle greater than 90°; the surface being hydrophobic. The inclusion of Fe-HAp into the polymeric matrix makes it hydrophilic. An increase in the amount of Fe-HAp decreased the contact angle. From the biocompatibility studies, it was concluded that the surface topography and roughness enhanced greater cell adhesion. The AlamarBlue test confirmed that the composite formed promoted greater cell proliferation, cell attachment and from the ALP/DNA test it was concluded that they allowed osteogenic differentiation [62].
6.8 Effect of co-doping with Mg2+ and Ag+ ions on nano-HAp/Chitosan composite
Mansour et al. used the microwave-assisted co-precipitation method to prepare the nano-HAp/Chitosan composite [46]. Later, co-doping with Mg2+ and Ag+ ions was done to improve the mechanical and antibacterial property. Mg and Ag-fabricated HAp was synthesized by the microwave-assisted co-precipitation method. The ratio of (Ca + Mg + Ag)/P was 1.67. The composite so formed were later investigated for their properties.
6.8.1 XRD and FTIR results
The XRD studies showed the hexagonal structure of HAp was distorted due to the addition of the dopants viz. Mg2+, Ag+ and Chitosan. The broadening of the peaks indicated that the substitution has taken place and the crystalline nature of HAp slowly moved towards the amorphous part. The FTIR studies revealed that after doping, there showed a shift in the band position and new peaks were observed. This concluded that the dopants have been incorporated into HAp and the new composite has been formed.
6.8.2 Surface morphology
Surface morphology and roughness studies were done using TEM and FESEM analysis. It was seen that pure HAp had fused grains with cracks in the micrometer range, covered with microfibers of Chitosan. With an increase in the Mg2+ content, both the grain size and the fiber diameter decreased while with increase in the Ag+ concentration, only the diameter of the fibers increased. Moreover, the intergranular pores showed an increment although the pore size declined with the increase in Mg2+ content. The average roughness was found to increase with the increase in Mg2+ concentration but promising results were obtained when Ag+ concentration was higher.
6.8.3 Mechanical studies
From the mechanical studies, the following conclusions were drawn. Keeping the concentration of Ag+ to zero and constantly increasing the Mg2+ content, the mechanical strength was found to increase. Just in the opposite case, keeping the Mg2+ concentration to zero and increasing the Ag+ content, the strength decreased. Adding both the dopants simultaneously, strength was first found to increase then decrease.
6.8.4 Biocompatibility studies
The cytotoxicity test was performed against the normal osteoblast cells. It was found that increasing the co-dopant concentration caused no harmful effects to the cells. A low dosage of the dopants proved to be non-toxic to the cells. Antibacterial activity against the E. coli and S. aureus bacteria was found to be solely dependent on the Ag+ concentration. However, there should a balance between the antibacterial and the cytotoxicity to act as an implant. The samples were subjected to the biodegradability test in SBF solution. The results showed that Mg–Ag–HAp/Chitosan could be a promising composite for biomedical applications [46].
6.9 Characterization of porous PLLA/Sr-HAp composites by biomimetic method
Ge et al. prepared porous PLLA/(Sr fabricated HAp) scaffold composites using the biomimetic method [47]. Sr-HAp/PLLA composite showed better biocompatibility, osteogenesis and degradability. Several methods were used to coat HAp on the polymer but biomimetic mineralization mimicked the biologically mineralized growth. The replacement of Ca2+ ion with the Sr2+ ion in HAp had many advantages like improvement in biocompatibility, better bone response, osteogenesis and increased surface roughness which led to better cell growth and attachment. Polymers; natural and synthetic are used because of their good biodegradability and flexibility. PLLA is an environment-friendly polymer with good hydrophobicity and faster degradation rate.
6.9.1 XRD analysis
The phase analysis and the composition of the porous scaffold were analyzed by FTIR and XRD. The scaffolds were needle-like crystals.
6.9.2 Surface morphology
SEM study was done after the mineralization of the porous composite for 7 days. The structure was found to be highly porous with uniform particles of nearly 100 nm in diameter. This showed that the porous structure promoted cell growth, differentiation and adhesion.
6.9.3 Biocompatibility studies
The properties like the water contact angle, the mechanical strength and the degradability assess the cell adhesion to the surface. PLLA is an extremely hydrophobic polymer, consequently its contact angle was found to be very high while the addition of Sr-HAp in the sample made the contact angle move towards the hydrophilic part. The porous scaffolds with higher hydrophilicity showed higher cell adhesion and greater protein adsorption. The mechanical studies showed the scaffolds were hard and the compression modulus was as high as compared to PLLA and PLLA/HAp.
6.9.4 Degradability test
From the degradability studies, it was revealed that the porous scaffolds had a slow degradation rate as compared to PLLA. After 100 days, Sr-HAp/PLLA composite showed a stable morphology and weight loss near to 40%. The new bone formation analysis was done after 5 weeks of surgery and it was found that the Sr-HAp/PLLA porous scaffolds promoted the new bone formation. This was probably due to the release of Sr2+ ions from the scaffolds during the degradation of the scaffolds. The in-vivo biocompatibility studies showed that the porous scaffolds did not any show any cell inflammation after 4 weeks of implantation. Therefore, the porous scaffolds could be a promising orthopaedic implant [47].
6.10 Effects of combining biopolymer lignin to Ag-Hap
Janković et al. prepared silver (Ag) fabricated HAp combined with a biopolymer lignin by matrix-assisted pulsed laser evaporation [48]. Titanium is a widely used implant material known for its mechanical strength, biocompatibility, toughness and durability. The major drawback of using HAp as a long-term implant is the growth of microbes over time leading to the failure of the implant. Silver and silver-based materials are known to possess very high antimicrobial activity that can kill many type of bacteria, viruses and fungi. Matrix-assisted pulsed laser evaporation is a technique derived from Pulsed laser deposition used for the controlled assembly of biopolymer thin films. The Ag-fabricated HAp was prepared by the modified chemical precipitation method.
6.10.1 XRD and FTIR analysis
The pattern showed that the Ag/HAp/lignin coatings, HAp/lignin and TiO2 nanotubes had amorphous nature. The FTIR studies identified the functional groups of Ag/HAp/lignin coatings. There showed a difference in the absorbance bands which could be due to the modification of HAp by lignin.
6.10.2 Surface morphology
SEM results showed homogeneous, smooth films and pore-free surface. The elemental analysis was done using EDS. The Ca/P ratio was poor nearly 1.33, which did not match the theoretical value of 1.67.
6.10.3 Biocompatibility studies
MSC is an adult stem that was used to test the cell viability in-vitro. The coatings proved to be non-toxic to the MSC cells with no change in the morphology. Moreover, lignin improved the biocompatibility of HAp by promoting the growth of the adhered cells. Microbial studies after 24 and 48 h showed that the number of viable cells in the Ag/HAp/lignin composite increased with time. Thus, as there was a slow release of Ag+ ions from the composite, the antimicrobial activity successively increased. Apart from the Ag+ ions, lignin also showed good antibacterial activity as shown in the HAp/lignin composite. Thus, it can be concluded that the implant can be used for facilitating a safe osteointegration of the medical device [48].
6.11 Synthesis and characterization of nano-HAp/PCL coating in Mg–Ca alloys
Bakhsheshi-Rad et al. prepared nanoHAp/PCL coatings in the Mg-Ca alloys [63]. Incorporation of nano-HAp in the alloys increased the corrosion resistance of the alloy. Nano-HAp acted as an inner layer and the top layer was the PCL. Surface modification was done using the electrodeposition method due to its simplicity, cost-friendly, particle size control and its ability to coat with complex shapes. PCL is a semi-crystalline polymer with good mechanical properties, biocompatibility, biodegradability and flexibility. Due to its high stiffness and low bioactivity, the use of PCL is limited. To overcome the drawbacks of PCL, nano-HAp is added.
6.11.1 XRD, EDX and FTIR results
EDX studies showed that apart from the individual elements no other impurity elements were present. From the XRD and the FTIR studies, it was clear that nano-HAp had a crystalline structure.
6.11.2 Surface morphology
SEM images showed that the formation of secondary phases was seen in the Mg alloys, while single and double layer coating led to the formation of pores with uniform distribution. When the double layer was incorporated in the Mg alloys, no pores were visible due to the presence of HAp in the inner layer which acted as a barrier against the electrolytes thus improving the corrosion resistance. HAp/PCL showed a larger pore size than PCL itself. TEM studied showed that the nano-HAp was present on the pores of PCL.
6.11.3 Mechanical studies
The mechanical properties were studied for the samples before and after immersion in Kokubo solution for 10 days. The ceramic/polymer coating delayed the decrease in the mechanical properties. The ductility improved when polymer and ceramic were added to the alloys. The reason being HAp acting as an inner layer.
6.11.4 Biocompatibility studies
The needle-like morphology resulted in decrease in the porosity which led to the increase in bonding strength of the nano-HAp/PCL composite. The samples were immersed in SBF for 24 h. The single layer and double layer coated samples maintained their integrity in SBF. The bilayer coated samples acted as a means to prevent the corrosion in Mg alloys [63].
Incorporation of metal ions like Zn2+, Mg2+, Ag+, Ce2+, Cu2+ etc., are known to show antibacterial activity [64]. The metal ions when added to the polymer/HAp will not only improve the mechanical property, but will also show the antibacterial property. In preparing scaffold using Cu-Zn alloy/gelatin/Chitosan fabricated HAp, gelatin is known to promote cell adhesion. Chitosan is known to possess antibacterial property. In addition to that, Cu and Zn shows osteoblast activity, bone mineralization, cell adhesion and proliferation [65]. Furthermore, Au-HAp-collagen shows that the as-prepared scaffold was non-toxic and allowed greater cellular attachment, growth and proliferation [66].
Table 3 lists the various in vitro cytotoxicity tests and the results obtained from them.
List of in vitro cytotoxity tests and the results obtained from them.
| Type of cell taken | Medium used | Result | References |
|---|---|---|---|
| Fibroblast cells (NIH 3T3) | Supplemented by 10% FBS and 1% 100× antibiotic-antimycotic solution | Better cell adhesion and growth | [55] |
| Human mesenchymal stem cells | DMEM | Increase in number of adhered cells | [62] |
| Human fibroblast skin cells (HFB4) | DMEM | Increase in dopant content lowered the decreasing rate of cell viability | [46] |
| MC3T3-E1 | Α-MEM supplemented 10% FBS | Superb cell attachment and strong interaction with the scaffold | [47] |
| Human Wharton’s jelly-derived mesenchymal stromal cells (WJ-MSCs) | Propidium iodide (PI) | Promotion in the number of adhered cells | [48] |
| MC3T3 cells | DMEM supplemented with 10% FBS | Cell growth and viability increased with the incubation time | [63] |
7 Conclusions
It is clear from the above papers that no single polymer can fulfil all the properties to act as an implant for orthopaedic application. However, HAp is known for its excellent biocompatibility and bioactivity. The structure of HAp mimics the natural bone. HAp can be the best choice to be added to different polymers to improve the mechanical property and biodegradability of the ceramics. Further, adding two or three polymers to the ceramics can even enhance these property. The biodegradable polymers like PLA, PDS, PCL, PGA, Chitosan, etc. have the ability to resorb in the body over the time which fixes the problem arising from post implantation. Moreover, the research focuses on the preparation of composites which includes the polymers, the metals and the ceramics to better function as an orthopaedic implant. Addition of two or more different polymers to HAp also is known to improve the mechanical properties of HAp with a drawback that mechanical properties first increased with increase in the polymer content then decreased progressively with the increase in the polymer content. The composite fabricated HAp is known to show greater biocompatibility, higher bioactivity, better mechanical properties and higher antibacterial activity. Table 4 lists the various sample name along with the preparation technique, the sample size and the results obtained from the biocompatibility studies to finally assess which could better act as an implant for the hard tissues.
Comparative study on the grain size and the biocompatibility studies of different composites.
| Sample name | Preparation technique | Grain size | Staphylococcus aureus | Escherichia coli | Ringer’s/SBF solution | References |
|---|---|---|---|---|---|---|
| PVA/Hap composite | Esterification and acetalizing method | 100–200 µm | – | – | Magnificent growth of apatite layer | [38] |
| PVA/HAp | In situ biomimetic process | 2.70–229.6 µm | – | – | – | [50] |
| PVA/PVP/HAp | Solution-casting method | – | Showed good antimicrobial activity | Showed good antimicrobial activity | – | [55] |
| PVA/PVP (PVA/PVP)-HAp and (PVA/PVP)-β-TCP composite | Wet precipitation route followed by electrospinning. | 261 nm for (PVA: PVP)-HAp and 408 nm for (PVA: PVP)-TCP | – | – | – | [56] |
| PVA-collagen/HAp | Electrospinning | 320–450 nm | – | – | – | [57] |
| Chitosan/PLGA/HAp | Solvent/non-solvent precipitation and freeze-drying | d90-820 nm | Moderate antimicrobial activity | Moderate antimicrobial activity | – | [58] |
| PVA-HAp/Au composite | Citrate reduction method | 5–15 nm | – | – | 14 days SBF test resulted in the increase in apatite layer formation with increase in Au concentration. | [44] |
| HAp-PLA coated on Mg alloy | Wet chemical synthesis | 120 ± 30 nm | – | – | After 1 day immersion, it was bony apatite was observed in the composite sample | [60] |
| Ag-HAp/PVA composite | Sol–gel followed by electrospinning | 238 nm | Zone of inhibition increased with the increase in Ag+ concentration | Zone of inhibition increased with the increase in Ag+ concentration | 7 day SBF immersion test showed that apatite formation increased with the Ag concentration | [45] |
| CTS-PVA-HAp/ZrO2 | Polymerization reaction | 60–180 nm | Increased antimicrobial activity with increase in Zr2+ content | Increased antimicrobial activity with increase in Zr2+ content | – | [61] |
| Nano-HAP/Chitosan/Mg2+ and Ag+ | Microwave assisted co-precipitation | 40 µm | Increase in the Ag+ content increased the antimicrobial activity | Increase in the Ag+ content increased the antimicrobial activity | – | [46] |
| Sr-HA/PLLA composite | Biomimetic mineralization | 100 nm | – | – | The structure is highly porous and inter-connected in SBF | [47] |
| Ag:HAp–Lig | Matrix-assisted pulsed laser evaporation | 180 ± 10 nm | Gradual release of Ag+ ions increased the antimicrobial activity | – | – | [48] |
| HAP/PCL/Mg–Ca alloy | Electrodeposition and dip-coating method. | 40–50 µm | Double layered coated samples showed higher integrity in SBF solution diped for 240 h than the uncoated samples | [63] |
-
Author contributions: All the authors have accepted responsibility for the entire content of this submitted manuscript and approved submission.
-
Research funding: None declared.
-
Conflict of interest statement: The authors declare no conflicts of interest regarding this article.
References
1. Suchanek, W., Yoshimura, M. Processing and properties of hydroxyapatite-based biomaterials for use as hard tissue replacement implants. J. Mater. Res. 1998, 13, 94–117. https://doi.org/10.1557/jmr.1998.0015.Search in Google Scholar
2. Peppas, N. A., Langer, R. New challenges in biomaterials. Science 1994, 263, 1715. https://doi.org/10.1126/science.8134835.Search in Google Scholar
3. Ratner, B. D., Bryant, S. J. Biomaterials: where we have been and where we are going. Annu. Rev. Biomed. Eng. 2004, 6, 41–75. https://doi.org/10.1146/annurev.bioeng.6.040803.140027.Search in Google Scholar
4. Navarro, M., Michiardi, A., Castaño, O., Planell, J. A. Biomaterials in orthopaedics. J. R. Soc. Interface 2008, 5, 1137–1158. https://doi.org/10.1098/rsif.2008.0151.Search in Google Scholar
5. Wang, G., Zreiqat, H. Functional coatings or films for hard-tissue applications. Materials 2010, 3, 3994–4050; https://doi.org/10.3390/ma3073994.Search in Google Scholar
6. Mantripragada, V. P., Lecka-Czernik, B., Ebraheim, N. A., Jayasuriya, A. C. An overview of recent advances in designing orthopedic and craniofacial implants. J. Biomed. Mater. Res. 2013, 101, 3349–3364. https://doi.org/10.1002/jbm.a.34605.Search in Google Scholar
7. Taddei, E. B., Henriques, V. A. R., Silva, C. R. M., Cairo, C. A. A. Production of new titanium alloy for orthopedic implants. Mater. Sci. Eng. C 2004, 24, 683–687. https://doi.org/10.1016/j.msec.2004.08.011.Search in Google Scholar
8. Fathi, M. H., Salehi, M., Saatchi, A., Mortazavi, V., Moosavi, S. B. In vitro corrosion behavior of bioceramic, metallic, and bioceramic–metallic coated stainless steel dental implants. Dent. Mater. 2003, 19, 188–198. https://doi.org/10.1016/s0109-5641(02)00029-5.Search in Google Scholar
9. Kuroda, D., Niinomi, M., Morinaga, M., Kato, Y., Yashiro, T. Design and mechanical properties of new β type titanium alloys for implant materials. Mater. Sci. Eng. A 1998, 243, 244–249. https://doi.org/10.1016/s0921-5093(97)00808-3.Search in Google Scholar
10. Manam, N. S., Harun, W. S. W., Shri, D. N. A., Ghani, S. A. C., Kurniawan, T., Ismail, M. H., Ibrahim, M. H. I. Study of corrosion in biocompatible metals for implants: a review. J. Alloys Compd. 2017, 701, 698–715. https://doi.org/10.1016/j.jallcom.2017.01.196.Search in Google Scholar
11. Blaschke, C., Volz, U. Soft and hard tissue response to zirconium dioxide dental implants--a clinical study in man. Neuro Endocrinol. Lett. 2006, 27, 69–72.Search in Google Scholar
12. Spies, B. C., Sperlich, M., Fleiner, J., Stampf, S., Kohal, R. J. Alumina reinforced zirconia implants: 1‐year results from a prospective cohort investigation. Clin. Oral Implants Res. 2016, 27, 481–490. https://doi.org/10.1111/clr.12560.Search in Google Scholar
13. Piconi, C., Condo, S. G., Kosmač, T. Alumina-and zirconia-based ceramics for load-bearing applications. Adv Ceram. Dentistry 2014, 219–253. https://doi.org/10.1016/b978-0-12-394619-5.00011-0.Search in Google Scholar
14. Jun, Y.-K., Kim, W. H., Kweon, O.-K., Hong, S.-H. The fabrication and biochemical evaluation of alumina reinforced calcium phosphate porous implants. Biomaterials 2003, 24, 3731–3739. https://doi.org/10.1016/s0142-9612(03)00248-5.Search in Google Scholar
15. Kawahara, H. Bioceramics for hard tissue replacements. Clin. Mater. 1987, 2, 181–206. https://doi.org/10.1016/0267-6605(87)90044-8.Search in Google Scholar
16. Kim, H.-W., Kim, H.-E., Knowles, J. C. Fluor-hydroxyapatite sol–gel coating on titanium substrate for hard tissue implants. Biomaterials 2004, 25, 3351–3358. https://doi.org/10.1016/j.biomaterials.2003.09.104.Search in Google Scholar
17. Kim, H. W., Knowles, J. C., Salih, V., Kim, H. E. Hydroxyapatite and fluor‐hydroxyapatite layered film on titanium processed by a sol–gel route for hard‐tissue implants. J. Biomed. Mater. Res. Part B 2004, 71, 66–76. https://doi.org/10.1002/jbm.b.30064.Search in Google Scholar
18. Kurashina, K., Kurita, H., Hirano, M., Kotani, A., Klein, C., De Groot, K. In vivo study of calcium phosphate cements: implantation of an α-tricalcium phosphate/dicalcium phosphate dibasic/tetracalcium phosphate monoxide cement paste. Biomaterials 1997, 18, 539–543. https://doi.org/10.1016/s0142-9612(96)00162-7.Search in Google Scholar
19. Jang, H. L., Zheng, G. B., Park, J., Kim, H. D., Baek, H. R., Lee, H. K., Lee, K., Han, H. N., Lee, C. K., Hwang, N. S. In vitro and in vivo evaluation of whitlockite biocompatibility: comparative study with hydroxyapatite and β‐tricalcium phosphate. Adv. Healthc. Mater. 2016, 5, 128–136. https://doi.org/10.1002/adhm.201400824.Search in Google Scholar
20. Hench, L. L., Splinter, R. J., Allen, W. C., Greenlee, T. K. Bonding mechanisms at the interface of ceramic prosthetic materials. J. Biomed. Mater. Res. 1971, 5, 117–141. https://doi.org/10.1002/jbm.820050611.Search in Google Scholar
21. Kokubo, T. Bioactive glass ceramics: properties and applications. Biomaterials 1991, 12, 155–163. https://doi.org/10.1016/0142-9612(91)90194-f.Search in Google Scholar
22. Kokubo, T., Kushitani, H., Ohtsuki, C., Sakka, S., Yamamuro, T. Chemical reaction of bioactive glass and glass-ceramics with a simulated body fluid. J. Mater. Sci. Mater. Med. 1992, 3, 79–83. https://doi.org/10.1007/bf00705272.Search in Google Scholar
23. Roman, J., Padilla, S., Vallet-Regi, M. Sol−gel glasses as precursors of bioactive glass ceramics. Chem. Mater. 2003, 15, 798–806. https://doi.org/10.1021/cm021325c.Search in Google Scholar
24. Ma, J., Chen, C. Z., Wang, D. G., Hu, J. H. Synthesis, characterization and in vitro bioactivity of magnesium-doped sol–gel glass and glass-ceramics. Ceram. Int. 2011, 37, 1637–1644. https://doi.org/10.1016/j.ceramint.2011.01.043.Search in Google Scholar
25. Šupová, M. Substituted hydroxyapatites for biomedical applications: a review. Ceram. Int. 2015, 41, 9203–9231.10.1016/j.ceramint.2015.03.316Search in Google Scholar
26. Kolmas, J., Groszyk, E., Kwiatkowska-Różycka, D. Substituted hydroxyapatites with antibacterial properties. BioMed Res. Int. 2014, 2014, 178123. https://doi.org/10.1155/2014/178123.Search in Google Scholar
27. Liu, H. S., Chin, T. S., Lai, L. S., Chiu, S. Y., Chung, K. H., Chang, C. S., Lui, M. T. Hydroxyapatite synthesized by a simplified hydrothermal method. Ceram. Int. 1997, 23, 19–25. https://doi.org/10.1016/0272-8842(95)00135-2.Search in Google Scholar
28. Thian, E. S., Konishi, T., Kawanobe, Y., Lim, P. N., Choong, C., Ho, B., Aizawa, M. Zinc-substituted hydroxyapatite: a biomaterial with enhanced bioactivity and antibacterial properties. J. Mater. Sci. Mater. Med. 2013, 24, 437–445. https://doi.org/10.1007/s10856-012-4817-x.Search in Google Scholar PubMed
29. Ratnayake, J. T. B., Mucalo, M., Dias, G. J. Substituted hydroxyapatites for bone regeneration: a review of current trends. J. Biomed. Mater. Res. Part B Appl. Biomater. 2017, 105, 1285–1299. https://doi.org/10.1002/jbm.b.33651.Search in Google Scholar PubMed
30. Webster, T. J., Ergun, C., Doremus, R. H., Bizios, R. Hydroxylapatite with substituted magnesium, zinc, cadmium, and yttrium. II. Mechanisms of osteoblast adhesion. J. Biomed. Mater. Res. 2002, 59, 312–317. https://doi.org/10.1002/jbm.1247.Search in Google Scholar PubMed
31. Yuan, Q., Xu, A., Zhang, Z., Chen, Z., Wan, L., Shi, X., Lin, S., Yuan, Z., Deng, L. Bioactive silver doped hydroxyapatite composite coatings on metal substrates: synthesis and characterization. Mater. Chem. Phys. 2018, 218, 130–139. https://doi.org/10.1016/j.matchemphys.2018.07.038.Search in Google Scholar
32. Prakasam, M., Locs, J., Salma-Ancane, K., Loca, D., Largeteau, A., Berzina-Cimdina, L. Biodegradable materials and metallic implants—a review. J. Funct. Biomater. 2017, 8, 44. https://doi.org/10.3390/jfb8040044.Search in Google Scholar
33. Mousa, W. F., Kobayashi, M., Shinzato, S., Kamimura, M., Neo, M., Yoshihara, S., Nakamura, T. Biological and mechanical properties of PMMA-based bioactive bone cements. Biomaterials 2000, 21, 2137–2146. https://doi.org/10.1016/s0142-9612(00)00097-1.Search in Google Scholar
34. Manoj, M., Song, J., Zhu, W., Zhou, H., Zhang, J., Meena, P., Yuan, A. Polymer-assisted synthesis and applications of hydroxyapatite (HAp) anchored nitrogen-doped 3D graphene foam-based nanostructured ceramic framework. RSC Adv. 2020, 10, 17918–17929. https://doi.org/10.1039/d0ra01852j.Search in Google Scholar PubMed PubMed Central
35. Galindo, T. G. P., Chai, Y., Tagaya, M. Hydroxyapatite nanoparticle coating on polymer for constructing effective biointeractive interfaces. J. Nanomater. 2019, 2019, 6495239. https://doi.org/10.1155/2019/6495239.Search in Google Scholar
36. Huixia, L., Yong, L., Lanlan, L., Yanni, T., Qing, Z., Kun, L. Development of ammonia sensors by using conductive polymer/hydroxyapatite composite materials. Mater. Sci. Eng. C 2016, 59, 438–444. https://doi.org/10.1016/j.msec.2015.10.036.Search in Google Scholar PubMed
37. Yavarpanah, S., Seyfi, J., Davachi, S. M., Hejazi, I., Khonakdar, H. A. Evaluating the effect of hydroxyapatite nanoparticles on morphology, thermal stability and dynamic mechanical properties of multicomponent blend systems based on polylactic acid/Starch/Polycaprolactone. J. Vinyl Addit. Technol. 2019, 25, E83–E90. https://doi.org/10.1002/vnl.21647.Search in Google Scholar
38. Sun, H., Mou, J., Tang, Y., Zhang, F., Wu, G., Chan, S.-K. Hydroxyapatite coating on a polyamide implant. J. Mater. Sci. Lett. 2002, 21, 901–902. https://doi.org/10.1023/a:1015791132623.10.1023/A:1015791132623Search in Google Scholar
39. Ashraf, A. A., Zebarjad, S. M., Hadianfard, M. J. The cross-linked polyvinyl alcohol/hydroxyapatite nanocomposite foam. J. Mater. Res. Technol. 2019, 8, 3149–3157. https://doi.org/10.1016/j.jmrt.2019.02.024.Search in Google Scholar
40. Başargan, T., Erdöl-Aydin, N., Nasün-Saygili, G. In situ biomimetic synthesis to produce hydroxyapatite–polyvinyl alcohol biocomposites: precipitation and spray drying methods. Polym. Plast. Technol. Eng. 2016, 55, 447–452.10.1080/03602559.2015.1098674Search in Google Scholar
41. Pielichowska, K. B. S. Biopolymers. In Bioactive polymer/hydroxyapatite (Nano)composites for bone tissue regeneration; Abe, D. K.A., Kobayashi, S., Eds. Springer: Berlin, Heidelberg, 2010; p. 270.10.1007/12_2010_50Search in Google Scholar
42. Ramesh, N., Moratti, S. C., Dias, G. J. Hydroxyapatite–polymer biocomposites for bone regeneration: a review of current trends. J. Biomed. Mater. Res. Part B Appl. Biomater. 2018, 106, 2046–2057. https://doi.org/10.1002/jbm.b.33950.Search in Google Scholar PubMed
43. Sarkar, S. K., Lee, B. T. Hard tissue regeneration using bone substitutes: an update on innovations in materials. Korean J. Intern. Med. 2015, 30, 279–293. https://doi.org/10.3904/kjim.2015.30.3.279.Search in Google Scholar PubMed PubMed Central
44. Touny, A. H., Saleh, M. M., Abd El-Lateef, H. M., Saleh, M. M. Electrochemical methods for fabrication of polymers/calcium phosphates nanocomposites as hard tissue implants. Appl. Phys. Rev. 2019, 6, 021303. https://doi.org/10.1063/1.5045339.Search in Google Scholar
45. Suresh Kumar, C., Dhanaraj, K., Vimalathithan, R. M., Ilaiyaraja, P., Suresh, G. Hydroxyapatite for bone related applications derived from sea shell waste by simpleprecipitation method. J. Asian Ceram. Soc. 2020, 8, 416–429. https://doi.org/10.1080/21870764.2020.1749373.Search in Google Scholar
46. Chaudhuri, B., Mondal, B., Ray, S. K., Sarkar, S. C. A novel biocompatible conducting polyvinyl alcohol (PVA)-polyvinylpyrrolidone (PVP)-hydroxyapatite (HAP) composite scaffolds for probable biological application. Colloids Surf. B Biointerfaces 2016, 143, 71–80. https://doi.org/10.1016/j.colsurfb.2016.03.027.Search in Google Scholar PubMed
47. Elashmawi, I. S., Abdel Baieth, H. E. Spectroscopic studies of hydroxyapatite in PVP/PVA polymeric matrix as biomaterial. Curr. Appl. Phys. 2012, 12, 141–146. https://doi.org/10.1016/j.cap.2011.05.011.Search in Google Scholar
48. Uma Maheshwari, S., Govindan, K., Raja, M., Raja, A., Pravin, M. B. S., Vasanth Kumar, S. Preliminary studies of PVA/PVP blends incorporated with HAp and β-TCP bone ceramic as template for hard tissue engineering. Bio Med. Mater. Eng. 2017, 28, 401–415. https://doi.org/10.3233/bme-171682.Search in Google Scholar PubMed
49. Asran, A. S., Henning, S., Michler, G. H. Polyvinyl alcohol–collagen–hydroxyapatite biocomposite nanofibrous scaffold: mimicking the key features of natural bone at the nanoscale level. Polymer 2010, 51, 868–876. https://doi.org/10.1016/j.polymer.2009.12.046.Search in Google Scholar
50. Uma Maheshwari, S., Samuel, V. K., Nagiah, N. Fabrication and evaluation of (PVA/HAp/PCL) bilayer composites as potential scaffolds for bone tissue regeneration application. Ceram. Int. 2014, 40, 8469–8477. https://doi.org/10.1016/j.ceramint.2014.01.058.Search in Google Scholar
51. Ignjatović, N., Wu, V., Ajduković, Z., Mihajilov-Krstev, T., Uskoković, V., Uskoković, D. Chitosan-PLGA polymer blends as coatings for hydroxyapatite nanoparticles and their effect on antimicrobial properties, osteoconductivity and regeneration of osseous tissues. Mater. Sci. Eng. C 2016, 60, 357–364.10.1016/j.msec.2015.11.061Search in Google Scholar PubMed PubMed Central
52. Abou_Taleb, M. H. Thermal and spectroscopic studies of poly(N-vinyl pyrrolidone)/poly(vinyl alcohol) blend films. J. Appl. Polym. Sci. 2009, 114, 1202–1207. https://doi.org/10.1002/app.30082.Search in Google Scholar
53. Ismail, E. M. M. B., Mostafa, A., Oudadesse, H., Kamal, G. Evaluation study OF doping hydroxyapatite nanocomposite with gold nanoparticles. J. Adv. Chem. 2015, 11, 3559–3566.Search in Google Scholar
54. Hezma, A. M., El-Rafei, A. M., El-Bahy, G. S., Abdelrazzak, A. B. Electrospun hydroxyapatite containing polyvinyl alcohol nanofibers doped with nanogold for bone tissue engineering. Interceram - Int. Ceram. Rev. 2017, 66, 96–100. https://doi.org/10.1007/bf03401205.Search in Google Scholar
55. Abdal-hay, A., Barakat, N. A. M., Lim, J. K. Hydroxyapatite-doped poly(lactic acid) porous film coating for enhanced bioactivity and corrosion behavior of AZ31 Mg alloy for orthopedic applications. Ceram. Int. 2013, 39, 183–195. https://doi.org/10.1016/j.ceramint.2012.06.008.Search in Google Scholar
56. Anjaneyulu, U., Priyadarshini, B., Nirmala Grace, A., Vijayalakshmi, U. Fabrication and characterization of Ag doped hydroxyapatite-polyvinyl alcohol composite nanofibers and its in vitro biological evaluations for bone tissue engineering applications. J. Sol. Gel Sci. Technol. 2017, 81, 750–761. https://doi.org/10.1007/s10971-016-4243-5.Search in Google Scholar
57. Bhowmick, A., Pramanik, N., Mitra, T., Gnanamani, A., Das, M., Kundu, P. P. Mechanical and biological investigations of chitosan–polyvinyl alcohol based ZrO2 doped porous hybrid composites for bone tissue engineering applications. New J. Chem. 2017, 41, 7524–7530. https://doi.org/10.1039/c7nj01246b.Search in Google Scholar
58. Morsi, M. A., Hezma, A. E. M. Effect of iron doped hydroxyapatite nanoparticles on the structural, morphological, mechanical and magnetic properties of polylactic acid polymer. J. Mater. Res. Technol. 2019, 8, 2098–2106. https://doi.org/10.1016/j.jmrt.2019.01.017.Search in Google Scholar
59. Gloria, A., Russo, T., D’Amora, U., Zeppetelli, S., D’Alessandro, T., Sandri, M., Bañobre-López, M., Piñeiro-Redondo, Y., Uhlarz, M., Tampieri, A., Rivas, J., Herrmannsdörfer, T., Dediu, V. A., Ambrosio, L., De Santis, R. Magnetic poly(ε-caprolactone)/iron-doped hydroxyapatite nanocomposite substrates for advanced bone tissue engineering. J. R. Soc. Interface 2013, 10, 20120833. https://doi.org/10.1098/rsif.2012.0833.Search in Google Scholar PubMed PubMed Central
60. Mansour, S. F., El-dek, S. I., Dorozhkin, S. V., Ahmed, M. K. Physico-mechanical properties of Mg and Ag doped hydroxyapatite/chitosan biocomposites. New J. Chem. 2017, 41, 13773–13783. https://doi.org/10.1039/c7nj01777d.Search in Google Scholar
61. Ge, M., Ge, K., Gao, F., Yan, W., Liu, H., Xue, L., Jin, Y., Ma, H., Zhang, J. Biomimetic mineralized strontium-doped hydroxyapatite on porous poly(l-lactic acid) scaffolds for bone defect repair. Int. J. Nanomed. 2018, 13, 1707–1721. https://doi.org/10.2147/ijn.s154605.Search in Google Scholar
62. Janković, A., Eraković, S., Ristoscu, C., Mihailescu, N., Duta, L., Visan, A., Stan, G. E., Popa, A. C., Husanu, M. A., Luculescu, C. R. Structural and biological evaluation of lignin addition to simple and silver-doped hydroxyapatite thin films synthesized by matrix-assisted pulsed laser evaporation. J. Mater. Sci. Mater. Med. 2015, 26, 17.10.1007/s10856-014-5333-ySearch in Google Scholar PubMed
63. Bakhsheshi-Rad, H. R., Hamzah, E., Abdul-Kadir, M. R., Saud, S. N., Kasiri-Asgarani, M., Ebrahimi-Kahrizsangi, R. The mechanical properties and corrosion behavior of double-layered nano hydroxyapatite-polymer coating on Mg-Ca alloy. J. Mater. Eng. Perform. 2015, 24, 4010–4021. https://doi.org/10.1007/s11665-015-1661-4.Search in Google Scholar
64. Wu, S., Ma, S., Zhang, C., Cao, G., Wu, D., Gao, C., Lakshmanan, S. Cryogel biocomposite containing chitosan-gelatin/cerium–zinc doped hydroxyapatite for bone tissue engineering. Saudi J. Biol. Sci. 2020, 27, 2638–2644. https://doi.org/10.1016/j.sjbs.2020.05.045.Search in Google Scholar PubMed PubMed Central
65. Forero, J. C., Roa, E., Reyes, J. G., Acevedo, C., Osses, N. Development of useful biomaterial for bone tissue engineering by incorporating nano-copper-zinc alloy (nCuZn) in chitosan/gelatin/nano-hydroxyapatite (ch/G/nHAp) scaffold. Materials 2017, 10, 1–15. https://doi.org/10.3390/ma10101177.Search in Google Scholar PubMed PubMed Central
66. Mondal, S., Hoang, G., Manivasagan, P., Moorthy, M. S., Vy Phan, T. T., Kim, H. H., Nguyen, T. P., Oh, J. Rapid microwave-assisted synthesis of gold loaded hydroxyapatite collagen nano-bio materials for drug delivery and tissue engineering application. Ceram. Int. 2019, 45, 2977–2988. https://doi.org/10.1016/j.ceramint.2018.10.016.Search in Google Scholar
© 2022 Walter de Gruyter GmbH, Berlin/Boston
Articles in the same Issue
- Frontmatter
- Material Properties
- Approach to quantify the resistance of polymeric foams against thermal load under compression
- Characterisation of melamine formaldehyde microspheres synthesised with prolonged microencapsulated reaction time
- Changes in the morphology, mechanical strength and biocompatibility of polymer and metal/polymer fabricated hydroxyapatite for orthopaedic implants: a review
- Structure and mechanical properties of a multilayer biomedical shaft tubing: effect of layer composition
- Preparation and Assembly
- An environmentally sustainable isosorbide-based plasticizer for biodegradable poly(butylene succinate)
- MMA-based fast-curing repair materials suitable for low-temperature application
- Engineering and Processing
- Effect of combination printing parameter (infill density and raster angle) on the mechanical and electrical properties of 3D printed PLA/ZnO and cPLA/ZnO composites
- Improved process moldability and part quality of short-glass–fiber-reinforced polypropylene via overflow short-shot water-assisted injection molding
- Assessment of processibility and properties of raw post-consumer waste polyethylene in the rotational moulding process
Articles in the same Issue
- Frontmatter
- Material Properties
- Approach to quantify the resistance of polymeric foams against thermal load under compression
- Characterisation of melamine formaldehyde microspheres synthesised with prolonged microencapsulated reaction time
- Changes in the morphology, mechanical strength and biocompatibility of polymer and metal/polymer fabricated hydroxyapatite for orthopaedic implants: a review
- Structure and mechanical properties of a multilayer biomedical shaft tubing: effect of layer composition
- Preparation and Assembly
- An environmentally sustainable isosorbide-based plasticizer for biodegradable poly(butylene succinate)
- MMA-based fast-curing repair materials suitable for low-temperature application
- Engineering and Processing
- Effect of combination printing parameter (infill density and raster angle) on the mechanical and electrical properties of 3D printed PLA/ZnO and cPLA/ZnO composites
- Improved process moldability and part quality of short-glass–fiber-reinforced polypropylene via overflow short-shot water-assisted injection molding
- Assessment of processibility and properties of raw post-consumer waste polyethylene in the rotational moulding process