Abstract
The properties of the materials are intimately related to the nature of the chemical bond. Research to explain the peculiarities of superionic materials by focusing on the bonding character of the materials is presented. In particular, a brief review of some fundamental aspects of superionic conductors is given based on the talk presented at “Solid State Chemistry 2018, Pardubice” in addition to some new results related to the subject. Specifically, the topics on bond fluctuation model of ionic conductors, the role of medium range structure in the ionic conductivity, bonding aspects of non-Arrhenius ionic conductivity and elastic properties of ionic conductors are discussed. Key concepts that are gained from these studies is stressed, such as the importance of the coexistence of different types of bonding, and the role of medium range structure in glasses for efficient ionic transport in solids. These concepts could help the development of new materials.
Introduction
Superionic conductors or solid electrolytes are widely used in fuel cells, batteries, sensors, etc. Understanding the fundamental properties of these materials is of primordial importance to expand their applicability. In recent years, driven by the social demand in searching for new energy sources, the number of researches related to solid electrolytes has increased hugely. Due to these efforts which are accompanied by the synthesis of new materials, development of new experimental techniques and theoretical methods, our understanding on solid electrolytes as engineering materials has deepened considerably [1], [2], [3], [4]. However, regarding the fundamental material properties of superionic conductors, our understanding is not sufficient. For instance, we have not yet found a clear answer to questions such as, what is the origin of the correlated ionic motion? How are the optical properties of superionic materials affected by the movement of ions? etc.
From a fundamental point of view, the properties of the materials are intimately related to the nature of the chemical bond. In the present contribution, research to explain the peculiarities of superionic materials by focusing on the bonding character of the materials is presented. In the following, a brief review on some fundamental aspects of superionic conductors is given based on the talk presented at “Solid State Chemistry 2018, Pardubice”. New related results that were not described in detail at that time are also included.
Bond fluctuation model of ionic conduction
Superionic conductors are characterized by their high ionic conductivity which they exhibit in the solid phase. The ionic conductivity is usually larger than 10−3 (Ω·cm)−1, and in some cases it is comparable to those values found in molten salts [5]. Clarifying the mechanism of this exceptional high ionic conductivity has been a challenge for many decades. In the early studies, most of the approaches had been based on structural arguments [5], [6], [7]. Structure is surely an important factor that determines the fast ion transport within the solid, but it is not the only factor.
Concerning the origin of superionic properties, the author has suggested that a change of bonding that occurs locally and fluctuates in time plays an important role [8], [9], [10]. There, it has been considered that local fluctuations of the bonding create a field of forces that move the ions, which in turn triggers new bond fluctuations. This process provides the origin of correlated ionic movement. Studies based on ab initio molecular dynamics simulations have confirmed the existence of such bond fluctuation processes [11], [12], [13]. As an example, Fig. 1a shows the case where the mobile Cu ion in CuI is located at the tetrahedral site and octahedral site, respectively. We can see clearly that the electronic cloud distribution around the mobile ion are different. That is, the local bonding fluctuates accompanying the movement of ions. Figure 1b illustrates the origin of the correlated ionic movement. For instance, if the Cu ion denoted as Cu-1 moves, the electronic cloud surrounding Cu-1 changes, which in turns modifies the electronic cloud distribution around Cu-2, mediated by the electronic distribution around I-1 ion.

(a) Isosurface of electron density when the Cu ion is at the tetrahedral and octahedral sites, respectively. (b) Mechanism of correlated ionic motion.
The important messages gained from the model are the following: (1) Ion movements are accompanied by electronic cloud deformation. (2) Superionic transport is favored when different types of bonding coexist. Further descriptions of bond fluctuation model and related effects are given in the original papers, review articles and books [8], [9], [10], [14]. In addition, it is gratifying to mention here that the results of recent studies are in accord with the view proposed in the bond fluctuation model [15], [16], [17].
Medium range structure and ionic conduction in glasses
Usually, if we compare the ionic conductivity of glassy and crystalline materials having the same chemical composition at the same temperature, glassy materials exhibit larger ionic conductivity [18]. Most researchers understand that this difference is due to the larger available free volume in glasses than in the crystals [19]. Certainly, the available free volume is an important factor. However, the author has noted that the medium range structure of the glass plays a fundamental role in the ion transport properties. In particular, in AgI–Ag2O–MxOy (MxOy=B2O3, P2O5, MoO3, WO3) glasses, it was shown that the ionic conductivity increases (or the activation energy decreases) with the decrease of the wave number of the first sharp diffraction peak (FSDP), Q [20], [21]. The FSDP reflects the medium range structure present in disordered systems [22].
The relation between the activation energy of ion transport and the FSDP wave number is shown in Fig. 2. The origin of this behavior can be understood by using the concept of bond fluctuation mechanism mentioned in Section “Bond fluctuation model of ionic conduction” [20], [21]. In AgI–Ag2O–MxOy glasses, the network is formed by Ag2O–MxOy, and AgI is added into this network. Thus, the Ag atoms form at least three types of bonds. The Ag–I bond dominant in the added salt, the Ag–O bond dominant in the network, and the I–Ag–O bond that abound in the boundary sites between the added salt and the network. According to the bond fluctuation model of superionic conductors [8], [9], the I–Ag–O bonded Ag ions are more mobile, because these Ag ions feel an asymmetric field of forces which result in the local atomic site instability. The high ionic conductivity results from the percolation of these sites [20], [21]. Since the concentration of these sites increases and the FSDP wave number decreases with the concentration of AgI, the correlation between the FSDP wave number and the ionic transport property is explained straightforwardly [21].
![Fig. 2:
Relation between the activation energy of ion transport Ea and the FSDP wave number Q [21].](/document/doi/10.1515/pac-2018-1220/asset/graphic/j_pac-2018-1220_fig_002.jpg)
Relation between the activation energy of ion transport Ea and the FSDP wave number Q [21].
Interestingly, for the case of oxide glasses containing AgI, the model predicts that there must be an optimal value of the FSDP wave number for an efficient ionic transport in the glasses [21]. At this point, it should be mentioned that for the case of Ag conducting chalcogenide glasses and Li conducting oxide glasses, a different trend is observed [23]. Such difference arises from the different nature of the chemical bond between Ag oxide, Ag chalcogenide and Li oxide glasses. An interesting phenomenon observed in ion conducting glasses is the power-law composition dependence [24], [25]. At the present stage, it is not clear if such composition dependence can be related to the view of ionic conduction in glasses discussed here. Regarding this point, further study is necessary.
Related with the behavior shown in Fig. 2, it could be interesting to note the study of the power exponent appearing in the frequency response of the ionic conductivity. The interpretation of the power exponent given here is different from the other studies [26]. Usually the frequency response is described as σ(ω)−σ(0)=Aωn+Bω, where A, B and n are constants. Regarding this subject, there are a lot of studies [27], [28], [29], and different interpretations for the exponent n has been proposed. Some authors attribute it to interactions between the mobile ions [30]. Others connect it to some kind of geometric factors [31]. Figure 3 shows the relation between the exponent n and the FSDP wave number in Ag conducting glasses. It shows that information of medium range structure is reflected in the value of n. The figures in the inset illustrate how the ion dynamics are affected by the medium range network structure. The spatial range of ion dynamics decreases with the increase of network separation (that is, with the decrease of the FSDP wave number). The result shown in Fig. 3 suggests the existence of a universal pattern of the potential barrier at intermediate length scales. This interpretation of n is different from the other interpretations [27], [28]. It must be mentioned however, that some related works have been reported [31], [32]. For instance, the onset frequency of the ac conductivity in ion conducting glasses has been related to the fraction of high energy barriers that connect the clusters of fast ion conducting sites [32]. Other works have related n to the dimensionality of ion transport pathways [31].
![Fig. 3:
Relation between the FSDP wave number Q and the exponent n of the ac conductivity dispersion [26]. The numbers denote the following glasses: (1) (Ag2S)0.3(GeS2)0.7, (2) (AgI)0.2(0.6Ag2O–0.4V2O5)0.8, (3) (AgI)0.48(Ag2SeO4)0.52, (4) (AgI)0.75(AgMoO4)0.25, (5) AgI–alkylammonium iodide.](/document/doi/10.1515/pac-2018-1220/asset/graphic/j_pac-2018-1220_fig_003.jpg)
Relation between the FSDP wave number Q and the exponent n of the ac conductivity dispersion [26]. The numbers denote the following glasses: (1) (Ag2S)0.3(GeS2)0.7, (2) (AgI)0.2(0.6Ag2O–0.4V2O5)0.8, (3) (AgI)0.48(Ag2SeO4)0.52, (4) (AgI)0.75(AgMoO4)0.25, (5) AgI–alkylammonium iodide.
As mentioned above, the bond fluctuation model predicts that there must be an optimal value of the FSDP wave number for an efficient ionic transport in glasses. At the same time, the model predicts that the value of n will take a maximum value at that glass composition. Figure 3 seems to support this prediction. However, for a definite verification, further data accumulation is necessary.
Non-Arrhenius ionic conductivity
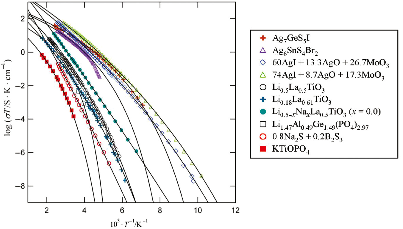
Usually, the temperature dependence of the ionic conductivity in solids follows the Arrhenius type behavior. However, in the last two decades, the non-Arrhenius type ionic conductivity has been observed in various materials [33], [34], [35], [36]. When the ionic conductivity is plotted against the inverse temperature, the ionic conductivity changes from an Arrhenius type behavior at low temperature, to a non-Arrhenius type exhibiting a convex shape upwards at high temperature. From the application point of view, this change is intriguing because it limits the access to achieve high ionic conductivity at high temperature. Indeed, it has been suggested that the non-Arrhenius temperature dependence of the ionic conductivity is a ubiquitous feature of optimized fast ionic conducting glasses [33]. In order to understand the behavior of the non-Arrhenius ionic conductivity, large number of studies have been done [37], [38], [39]. Some years ago, we proposed a model that describes such kind of behavior [40]. The model was derived by exploiting the formulation of a model of viscosity developed in our group [41], [42]. The expression for the ionic conductivity derived is written as [40]
where AσT is a pre-exponential factor that is written in terms of usual quantities such as oscillation frequency of the ion, jump distance, charge of the ion, concentration of mobile ions, correlation and geometric factors.
![Fig. 4:
Temperature dependence of the ionic conductivity of different materials [40]. The solid curves are described by eq. 1.](/document/doi/10.1515/pac-2018-1220/asset/graphic/j_pac-2018-1220_fig_005.jpg)
Temperature dependence of the ionic conductivity of different materials [40]. The solid curves are described by eq. 1.
The above observation sheds a light on understanding the origin of the non-Arrhenius behavior, because it can be connected with the idea of the bond fluctuation mechanism mentioned in a previous section. From the chemical bond point of view, typical superionic conductors have intermediate bonding character between ionic and covalent materials [43]. As mentioned above, according to the bond fluctuation model, the high ionic conductivity is attributed to the coexistence of different types of bonding. When an ion migrates in a solid, it encounters different environments along the diffusing path. In other words, the migrating ions occupy the sites with different values of
Here, ni and nj denote the numbers of cations and anions of species i and j, respectively. rl,i and rl,j (l=s, p) are the valence electron radii of the l-orbital of atoms i and j, respectively. Previous studies [44], [45], [46] revealed that rσ gives a measure of the ionicity of the compound, whereas
In Fig. 5, the bonding characteristics of the materials are calculated through the quantities rσ and

Structural and bonding characterization of the materials in terms of rσ and rπ−1. The straight broken line gives the boundary between the binary four-fold (wurtzite and zincblende structure) and binary six-fold (sodium chloride structure) coordinated compounds. Ionic conducting materials are represented by circles. The “deviation” is defined as the shortest distance between the location point of the compound and the straight broken line.
Figure 6 shows the relation between the deviation defined in this way and the quantity

Relation between the magnitude of the fluctuation
Elastic properties of ionic conductors
The physical properties of ionic conductors are intimately related to their elastic constants. The elastic constants also reflect the bonding nature of the compounds. The understanding of elastic constants is also important in the device applications of ionic conductors [48]. However, surprisingly, detailed data on elastic constants of ionic conductors are limited [49], [50], [51], [52], [53]. With the objective to fill this gap and gain further understanding of the fundamental properties of superionic materials, we are studying systematically the elastic properties of different materials [54], [55], [56].
Figure 7 shows the relation between the elastic constants and the ionic conductivity in PbF2 [54]. PbF2 is a well-known superionic material which exhibits a diffuse phase transition to the superionic state at Tc=705 K. The figure shows clearly the correlation between the temperature dependencies of the ionic conductivity and the elastic constants. The ionic conductivity in PbF2 starts to increase at around 600 K. At around the same temperature, the elastic constants start to deviate from the almost linear behavior observed at low temperature. At around 700 K, an abrupt increase of the ionic conductivity and a large change in the elastic constants is discernible. This observation indicates that the microscopic mechanisms that originate these properties have common elements. Indeed, in previous studies it has been shown that the elastic constants of ion conducting materials AgCl and AgBr deviate from the linear behavior at high temperature, whereas the elastic constants of a typical ionic crystal NaCl retain their linearity up to a temperature close to the melting point [51]. From Fig. 7, we also note that the deviation from the linear behavior in C11 is much larger than that in C44. This observation indicates that particular force constants are more effectively interrelated with the atomic transport properties.

Temperature dependence of the elastic constants Cij and ionic conductivity σ in PbF2.
The linear behavior of the elastic constants observed at low temperature in Fig. 7, is well described by a temperature independent Anderson-Grüneisen parameter which is given by
where α is the thermal expansion coefficient, BT is the isothermal bulk modulus, V is the volume, T is the temperature, and P is the pressure. The large increase of the ionic conductivity observed above Tc in PbF2 arises from the dramatic increase of Frenkel defects with the increase of temperature [57]. Therefore, the deviation of the elastic constants from the linear behavior at high temperature is due at least in part, to the presence of these defects.
The influence of such defects to the elastic constants are reflected in the temperature dependence of the Anderson-Grüneisen parameter δ. Usually, this parameter is considered as a constant of the material and depends only weakly on temperature. However, for the case of ionic conducting materials we have found that δ depends strongly on temperature as shown in Fig. 8 [56]. We note that δ of ion conducting materials AgCl, AgBr and CaF2 exhibit large temperature dependence compared with other materials KBr, Mg2SiO2 and Ag that are not ionic conductors.

The Anderson-Grüneisen parameter of some materials as a function of normalized temperature T/Tm, where Tm is the melting temperature.
Along with the Anderson-Grüneisen parameter δ, the Grüneisen parameter γ is a quantity widely used in the discussion of anharmonic lattice vibrations. Usually, the parameter γ is considered as constant of the material. That is true if the anharmonicity of the material is weak. Thus, we can anticipate that in ionic conductors, the constancy of γ is violated. In the thermodynamic description, the Grüneisen parameter γ is written as
where CV is the molar heat capacity. Despite its importance, data of γ in ionic conducting materials are quite limited [56], [58], [59], [60], [61] due to the difficulty of evaluation of different quantities at high temperatures. This difficulty can be overcome by using the evaluation method used recently [62]. Accordingly to that work, the Grüneisen parameter can be evaluated by using only the longitudinal and transverse sound velocities. Figure 9a shows the temperature dependence of the Grüneisen parameter of ion conducting glasses xAg2S-(1−x)AgPO3. The sound velocity data was taken from [59]. As expected, we observe that the Grüneisen parameter increases with the increase of temperature. In view of the result shown in Fig. 7, it is of considerable interest to investigate the relation between the Grüneisen parameter and the ionic conductivity. A preliminary result is shown in Fig. 9b. We observe that the ionic conductivity increases with the value of γ. This behavior is in line with the results shown in Fig. 7.
Conclusion
The properties of the materials are intimately related to the nature of the chemical bond. In the present contribution, research done by the author to explain the peculiarities of superionic materials by focusing on bonding character of the materials is reviewed briefly. In addition, some new results related to the subject covered are added. The main objective of the present contribution is to transmit the concept gained from the bond fluctuation model, “Fast ion movement occurs when different types of bonding coexists”. The model presented in the text predicts some behaviors which need experimental verification. Among these we can mention the existence of an optimal value of the FSDP wave number for efficient ionic transport in glasses, and the maximum value of the exponent n in the frequency response. Hopefully these suggestions will help when performing new studies and will lead to a better understanding of the properties of superionic materials.
Article note
A collection of invited papers based on presentations at the 13th International Conference on Solid State Chemistry (SSC-2018), Pardubice, Czech Republic, September 16–21, 2018.
Acknowledgments
This work was supported in part by JSPS KAKENHI Grant Number JP16H03903, and JST CREST JPMJCR1861 and JPMJCR18I2.
References
[1] J. C. Bachman, S. Muy, A. Grimaud, H-.H. Chang, N. Pour, S. F. Lux, O. Paschos, F. Maglia, S. Lupart, P. Lamp, L. Giordano, Y. Shao-Horn. Chem. Rev.116, 140 (2016).10.1021/acs.chemrev.5b00563Suche in Google Scholar PubMed
[2] P. E. de Jongh, D. Blanchard, M. Matsuo, T. J. Udovic, S. Orimo. Appl. Phys. A122, 251 (2016).10.1007/s00339-016-9807-2Suche in Google Scholar
[3] T. P. Bailey, C. Uher. Curr. Opin. Green Sustain. Chem.4, 58 (2017).10.1016/j.cogsc.2017.02.007Suche in Google Scholar
[4] A. Arya, A. L. Sharma. Ionics23, 497 (2017).10.1007/s11581-016-1908-6Suche in Google Scholar
[5] S. Chandra. Superionic Solids, North-Holland, Amsterdam (1981).Suche in Google Scholar
[6] S. Hoshino. Solid State Ionics48, 179 (1991).10.1016/0167-2738(91)90032-7Suche in Google Scholar
[7] S. Hull. Rep. Prog. Phys.67, 1233 (2004).10.1088/0034-4885/67/7/R05Suche in Google Scholar
[8] M. Aniya. Solid State Ionics50, 125 (1992).10.1016/0167-2738(92)90044-PSuche in Google Scholar
[9] M. Aniya. J. Phys. Soc. Jpn.61, 4474 (1992).10.1143/JPSJ.61.4474Suche in Google Scholar
[10] M. Aniya. Integr. Ferroelect.115, 81 (2010).10.1080/10584587.2010.488552Suche in Google Scholar
[11] F. Shimojo, M. Aniya. J. Phys. Soc. Jpn.72, 2702 (2003).10.1143/JPSJ.72.2702Suche in Google Scholar
[12] F. Shimojo, M. Aniya. J. Phys. Soc. Jpn.74, 1224 (2005).10.1143/JPSJ.74.1224Suche in Google Scholar
[13] M. Aniya, F. Shimojo. Solid State Ionics177, 1567 (2006).10.1016/j.ssi.2005.12.022Suche in Google Scholar
[14] C. S. Sunandana. Introduction to Solid State Ionics, CRC Press, Boca Raton (2016).10.1201/b19496Suche in Google Scholar
[15] N. Adelstein, B. C. Wood. Chem. Mater.28, 7218 (2016).10.1021/acs.chemmater.6b00790Suche in Google Scholar
[16] A. Duvel, P. Heitjans, P. Fedorov, G. Scholz, G. Cibin, A. V. Chadwick, D. M. Pickup, S. Ramos, L. W. L. Sayle, E. K. L. Sayle, T. X. T. Sayle, D. C. Sayle. J. Am. Chem. Soc.139, 5842 (2017).10.1021/jacs.7b00502Suche in Google Scholar PubMed
[17] K. E. Kweon, J. B. Varley, P. Shea, N. Adelstein, P. Mehta, T. W. Heo, T. J. Udovic, V. Stavila, B. C. Wood. Chem. Mater.29, 9142 (2017).10.1021/acs.chemmater.7b02902Suche in Google Scholar
[18] T. Minami. J. Non-Cryst. Solids56, 15 (1983).10.1016/0022-3093(83)90440-4Suche in Google Scholar
[19] J. Swenson, L. Börjesson. Phys. Rev. Lett.77, 3569 (1996).10.1103/PhysRevLett.77.3569Suche in Google Scholar PubMed
[20] M. Aniya. Solid State Ionics136–137, 1085 (2000).10.1016/S0167-2738(00)00496-3Suche in Google Scholar
[21] M. Aniya, J. Kawamura. Solid State Ionics154–155, 343 (2002).10.1016/S0167-2738(02)00571-4Suche in Google Scholar
[22] D. L. Price. Curr. Opin. Solid State Mater. Sci.1, 572 (1996).10.1016/S1359-0286(96)80075-1Suche in Google Scholar
[23] M. Aniya, F. Shimojo. J. Non-Cryst. Solids341, 110 (2004).10.1016/j.jnoncrysol.2004.05.003Suche in Google Scholar
[24] E. Bychkov. Solid State Ionics180, 510 (2009).10.1016/j.ssi.2008.09.013Suche in Google Scholar
[25] K. Shimakawa, T. Wagner. J. Appl. Phys.113, 143701 (2013).10.1063/1.4798595Suche in Google Scholar
[26] M. Aniya. J. Non-Cryst. Solids354, 365 (2008).10.1016/j.jnoncrysol.2007.06.088Suche in Google Scholar
[27] J. C. Dyre, T. B. Schrøder. Rev. Mod. Phys.72, 873 (2000).10.1103/RevModPhys.72.873Suche in Google Scholar
[28] J. C. Dyre, P. Maass, B. Roling, D. L. Sidebottom. Rep. Prog. Phys.72, 046501 (2009).10.1088/0034-4885/72/4/046501Suche in Google Scholar
[29] D. S. Patil, K. Shimakawa, V. Zima, T. Wagner. J. Appl. Phys.115, 143707 (2014).10.1063/1.4871286Suche in Google Scholar
[30] W. Dieterich, P. Maass. Chem. Phys.284, 439 (2002).10.1016/S0301-0104(02)00673-0Suche in Google Scholar
[31] D. L. Sidebottom. Phys. Rev. Lett.83, 983 (1999).10.1103/PhysRevLett.83.983Suche in Google Scholar
[32] G. Garcia-Belmonte, F. Henn, J. Bisquert. Chem. Phys.330, 113 (2006) 113.10.1016/j.chemphys.2006.08.001Suche in Google Scholar
[33] J. Kincs, S. W. Martin. Phys. Rev. Lett.76, 70 (1996).10.1103/PhysRevLett.76.70Suche in Google Scholar PubMed
[34] M. Ribes, G. Taillades, A. Pradel. Solid State Ionics105, 159 (1998).10.1016/S0167-2738(97)00464-5Suche in Google Scholar
[35] N. Kuwata, T. Saito, M. Tatsumisago, T. Minami, J. Kawamura. Solid State Ionics175, 679 (2004).10.1016/j.ssi.2004.08.035Suche in Google Scholar
[36] S. Daugėla, A. Kežionis, T. Šalkus, A. F. Orliukas, A. G. Belous, O. I. V’yunov, S. D. Kobylianska, L. O. Vasylechko. Solid State Ionics300, 86 (2017).10.1016/j.ssi.2016.12.011Suche in Google Scholar
[37] K. L. Ngai, A. K. Rizos. Phys. Rev. Lett.76, 1296 (1996).10.1103/PhysRevLett.76.1296Suche in Google Scholar PubMed
[38] P. Maass, M. Meyer, A. Bunde, W. Dieterich. Phys. Rev. Lett.77, 1528 (1996).10.1103/PhysRevLett.77.1528Suche in Google Scholar PubMed
[39] S. Murugavel. Phys. Rev. B72, 134204 (2005).10.1103/PhysRevB.72.134204Suche in Google Scholar
[40] Y. Okada, M. Ikeda, M. Aniya. Solid State Ionics281, 43 (2015).10.1016/j.ssi.2015.08.020Suche in Google Scholar
[41] M. Aniya. J. Therm. Anal. Calorim.69, 971 (2002).10.1023/A:1020636829278Suche in Google Scholar
[42] M. Ikeda, M. Aniya. J. Non-Cryst. Solids371–372, 53 (2013).10.1016/j.jnoncrysol.2013.04.034Suche in Google Scholar
[43] J. C. Phillips. Bonds and Bands in Semiconductors, Academic Press, New York (1973).Suche in Google Scholar
[44] J. St. John, A. N. Bloch. Phys. Rev. Lett.33, 1095 (1974).10.1103/PhysRevLett.33.1095Suche in Google Scholar
[45] A. N. Bloch, G. C. Schatteman. in Structure and Bonding in Crystals, M. O’Keeffe, A. Navrotsky (Eds.), Vol. 1, p. 49. Academic Press, New York (1981).10.1016/B978-0-12-525101-3.50010-3Suche in Google Scholar
[46] D. Lencer, M. Salinga, B. Grabowski, T. Hickel, J. Neugebauer, M. Wuttig. Nat. Mater.7, 972 (2008).10.1038/nmat2330Suche in Google Scholar PubMed
[47] J. R. Chelikowsky, J. C. Phillips. Phys. Rev. B17, 2453 (1978).10.1103/PhysRevB.17.2453Suche in Google Scholar
[48] A. Kato, M. Nose, M. Yamamoto, A. Sakuda, A. Hayashi, M. Tatsumisago. J. Ceram. Soc. Jpn.126, 719 (2018).10.2109/jcersj2.18022Suche in Google Scholar
[49] T. A. Fjeldly, R. C. Hanson. Phys. Rev. B10, 3569 (1974).10.1103/PhysRevB.10.3569Suche in Google Scholar
[50] M. O. Manasreh, D. O. Pederson. Phys. Rev. B31, 3960 (1985).10.1103/PhysRevB.31.3960Suche in Google Scholar PubMed
[51] W. C. Hughes, L. S. Cain. Phys. Rev. B53, 5174 (1996).10.1103/PhysRevB.53.5174Suche in Google Scholar
[52] L. S. Cain, G. Hu. Phys. Rev. B64, 104104 (2001).10.1103/PhysRevB.64.104104Suche in Google Scholar
[53] C. N. Reddy, R. P. S. Chakradhar. Mater. Res. Bull.42, 1337 (2007).10.1016/j.materresbull.2006.10.001Suche in Google Scholar
[54] H. Sadakuni, M. Aniya. Phys. Rep. Kumamoto Univ.14, 15 (2012).Suche in Google Scholar
[55] M. Aniya, H. Sadakuni. Thermochim. Acta532, 111 (2012).10.1016/j.tca.2011.02.035Suche in Google Scholar
[56] H. Sadakuni, M. Aniya. Physica B410, 81 (2013).10.1016/j.physb.2012.11.005Suche in Google Scholar
[57] J. Oberschmidt. Phys. Rev. B24, 3584 (1981).Suche in Google Scholar
[58] R. Bogue, R. J. Sladek. Phys. Rev. B42, 5280 (1990).Suche in Google Scholar
[59] G. A. Saunders, R. D. Metcalfe, M. Cutroni, M. Federico, A. Piccolo. Phys. Rev. B53, 5287 (1996).10.1103/PhysRevB.53.5287Suche in Google Scholar PubMed
[60] G. Carini, G. Carini, G. D’Angelo, G. Tripodo, A. Bartolotta, G. Salvato. Phys. Rev. B72, 014201 (2005).10.1103/PhysRevB.72.014201Suche in Google Scholar
[61] E. Dologlou. J. Appl. Phys.112, 096101 (2012).10.1063/1.4766384Suche in Google Scholar
[62] D. S. Sanditov, V. V. Mantatov, B. D. Sanditov. Phys. Solid State51, 998 (2009).10.1134/S1063783409050187Suche in Google Scholar
[63] G. Baud, J. P. Besse. J. Am. Ceram. Soc.64, 242 (1981).10.1111/j.1151-2916.1981.tb10277.xSuche in Google Scholar
[64] C. Fanggao, G. A. Saunders, Z. Wei, D. P. Almond, M. Cutroni, A. Mandanici. Solid State Ionics109, 89 (1998).Suche in Google Scholar
© 2019 IUPAC & De Gruyter, Berlin/Boston
Artikel in diesem Heft
- Frontmatter
- In this issue
- Editorial
- The 2019 Nobel Prize in Chemistry
- Preface
- 13th Conference on Solid State Chemistry (SSC-2018)
- Conference papers
- Speciation and siting of divalent transition metal ions in silicon-rich zeolites. An FTIR study
- TiO2 microrods with stacked 3D nanovoids for photoelectrochemical water splitting
- High-temperature Raman spectroscopy
- 1.5 μm photoluminescence and upconversion photoluminescence in GeGaAsS:Er chalcogenide glass
- Investigation of the oxidation process in GeTe-based phase change alloy using Ge K-edge XANES spectroscopy
- Chalcogenide van der Waals superlattices: a case example of interfacial phase-change memory
- 2D GeSe2 amorphous monolayer
- Bonding character and ionic conduction in solid electrolytes
- Ionic transport and atomic structure of AgI-HgS-GeS2 glasses
- Kinetics of silver photodiffusion into amorphous S-rich germanium sulphide – neutron and optical reflectivity
- Electrical Impedance Spectroscopy: “First Principles” analysis and simulations of electrical response in the classical range of frequencies below 1 THz and the resulting new role of Electrical Impedance Spectroscopy in electrical characterisation within Condensed Matter Physics
- High pressure impacts on meteorites
- IUPAC Technical Reports
- An inter-comparison of isotopic composition of neon via chemical assays and thermal analyses (IUPAC Technical Report)
- Critically evaluated propagation rate coefficients for radical polymerizations: acrylates and vinyl acetate in bulk (IUPAC Technical Report)
- IUPAC Recommendations
- Definition of the chalcogen bond (IUPAC Recommendations 2019)
Artikel in diesem Heft
- Frontmatter
- In this issue
- Editorial
- The 2019 Nobel Prize in Chemistry
- Preface
- 13th Conference on Solid State Chemistry (SSC-2018)
- Conference papers
- Speciation and siting of divalent transition metal ions in silicon-rich zeolites. An FTIR study
- TiO2 microrods with stacked 3D nanovoids for photoelectrochemical water splitting
- High-temperature Raman spectroscopy
- 1.5 μm photoluminescence and upconversion photoluminescence in GeGaAsS:Er chalcogenide glass
- Investigation of the oxidation process in GeTe-based phase change alloy using Ge K-edge XANES spectroscopy
- Chalcogenide van der Waals superlattices: a case example of interfacial phase-change memory
- 2D GeSe2 amorphous monolayer
- Bonding character and ionic conduction in solid electrolytes
- Ionic transport and atomic structure of AgI-HgS-GeS2 glasses
- Kinetics of silver photodiffusion into amorphous S-rich germanium sulphide – neutron and optical reflectivity
- Electrical Impedance Spectroscopy: “First Principles” analysis and simulations of electrical response in the classical range of frequencies below 1 THz and the resulting new role of Electrical Impedance Spectroscopy in electrical characterisation within Condensed Matter Physics
- High pressure impacts on meteorites
- IUPAC Technical Reports
- An inter-comparison of isotopic composition of neon via chemical assays and thermal analyses (IUPAC Technical Report)
- Critically evaluated propagation rate coefficients for radical polymerizations: acrylates and vinyl acetate in bulk (IUPAC Technical Report)
- IUPAC Recommendations
- Definition of the chalcogen bond (IUPAC Recommendations 2019)
![Fig. 9:
(a) Temperature dependence of the Grüneisen parameter of xAg2S-(1−x) AgPO3 glasses. (b) Relation between the Grüneisen parameter and the ionic conductivity in xAg2S-(1−x) AgPO3. The ionic conductivities at low temperatures were evaluated by extrapolating the data reported in [63], [64].](/document/doi/10.1515/pac-2018-1220/asset/graphic/j_pac-2018-1220_fig_020.jpg)