Abstract
Oxidative sulfamidation is a promising approach to the synthesis of numerous organic compounds, including N-heterocycles or unsaturated species having the sulfonamide group, which is a key structural motif of synthetic antimicrobial drugs. The formed products can undergo further reactions leading to a wide variety of functionalized sulfonamides. This review summarizes the current state of knowledge on the oxidative reactions of sulfonamides and their derivatives with unsaturated and CH-active compounds with an emphasis on dienes as substrates. This produces a diverse range of compounds possessing sulfonamide function and capable of further functionalization.
Introduction
Sulfonamides are the oldest and still remain among the most widely used synthetic antibiotics, attracting the interest of organic chemists. This interest received a renewed impetus as is evident from the growing number of publications in the last decade on the oxidative reactions of sulfonamides and their analogues with different unsaturated and CH active compounds. Oxidative sulfamidation, as distinct from simple addition of sulfonamides to double bonds, is envisioned as a reaction proceeding formally with dehydrogenation under the action of external oxidant, or simultaneous addition of the sulfonamide and another electron-withdrawing group (X) of the reagent, like in RSO2NHX, or insertion of the RSO2N residue (generated, for example, from the azide or other nitrene precursor) into the C=C or C–H bonds (Scheme 1).

‘Simple’ (a) or oxidative (b, c) sulfamidation of the double bond.
This review mainly focuses on the state-of-the-art of the chemistry of sulfonamides, in particular, based on the reactions of intra- and intermolecular oxidative sulfamidation of various unsaturated compounds, with special accent on dienes as substrates. The analysis below will be categorized based on the type of the reactants and the conditions of the reaction.
Reactions of sulfonamides with dienes in the presence of terminal oxidants
In earlier works, the group of Sharpless reported the reactions of 1,3-dienes with the in situ prepared N,N′-diimidoselenides (ArSO2N)2Se, proceeding as the Diels-Alder cyclization followed by (2,3)-sigmatropic rearrangement to cis-1,2-diaminoalkenes [1], [2]. Initially, the selenium reagent was separately prepared [1], but later [2] the conditions were modified in such a way that dichloramine RSO2NCl2 and the salt RSO2NHNa were used by mixing them with Se and CH2Cl2 and, after stirring for 3 h, alkene or diene was added. The effectiveness of the reaction depends on Ar; thus, with 2,3-dimethylbuta-1,3-diene, tosylamide gives the product of diamination in 68% yield [1], while with nosylamide both the product of allylic monoamination (17%) and the product of diamination (46%) were obtained. With hexa-1,5-diene, oxidative allylic substitution took place [2] (Scheme 2).

Oxidative sulfamidation of linear (a, c) and cyclic (b) dienes with arenesulfonamides.
Similarly react cyclohexa-1,3-diene, isoprene, 2-phenylbuta-1,3-diene, 1-vinylcyclohexene, the yields varying from 4 to 68% [2]. The reaction of N,N′-ditosyldiimidoselenide with cycloocta-1,3-diene gives the product of allylic amination at position 5 of the ring [1]. Electron-withdrawing substituents in the substrates decrease their reactivity and prevent the formation of any products for methyl sorbate or ethyl furoate. With methyl cyclohexadiene-1,3-carboxylate-1, only allylic amidation to position 5 takes place with the yield as low as 7% [2].
Primary and secondary sulfonamides were reported to react with dienes in the presence of different oxidants and on various metal complex catalysts. The N-Boc protected sulfamide reacted with a series of dienes in the presence of mild oxidant PhI(OAc)2. With norbornadiene, on Rh(II) catalyst, the only product was that of monoaddition (Scheme 3) [3]. The maximum yield of the selectively formed endo-adduct of 42% was achieved when using tenfold excess of the substrate. For the reaction with 1-phenylhexa-1,5-diene-3-one, a higher yield (61%) was obtained. The only conjugated diene involved in this reaction was cyclohexa-1,3-diene. The reaction proceeds also as diastereoselective monoaddition, with the protected nitrogen atom being more remote from the intact double bond (Scheme 3), and is more effective than with nonconjugated dienes (77% yield) [3].

Rh-catalyzed oxidative monosulfamidation of norbornadiene, 1-phenylhexa-1,5-diene-3-one and cyclohexa-1,3-diene with N-Boc protected sulfamide.
An interesting example was reported by Stoll and Blakey, who found a new [3+3] rather than [3+2] annulation reaction in the Rh2(esp)2-catalyzed intramolecular oxidative sulfamidation of allenyl sulfamates with participation of nitrones and with PhI(RCOO)2 as the oxidant (Scheme 4) [4].
![Scheme 4: Unusual [3+3] annulation reaction in the course of Rh-catalyzed oxidative intramolecular sulfamidation of allenyl sulfamate with nitrones.](/document/doi/10.1515/pac-2018-1219/asset/graphic/j_pac-2018-1219_scheme_004.jpg)
Unusual [3+3] annulation reaction in the course of Rh-catalyzed oxidative intramolecular sulfamidation of allenyl sulfamate with nitrones.
In a similar catalytic and oxidative system based on Rh(II) complexes and PhI(OAc)2, trichloroethoxysulfonamide reacts with alkenes and conjugated dienes under mild conditions to afford the products of 1,2-acetoxyamidation (Scheme 5) [5].

Acetoxysulfamidation of linear dienes by trichloroethoxysulfonamide.
The yield of the 1,2-addition product in the reaction with 1-phenylbuta-1,3-diene was 65%, while with 2,5-dimethylhexa-2,4-diene it decreased to 38%, and 48% of the product of 1,4-addition was also obtained [6]. Note, that earlier, the same reagent in the reaction with linear and cyclic aliphatic alkenes and dienes catalyzed by N-heterocyclic carbene copper complexes and with iodozobenzene as an oxidant, gave exclusively the products of aziridination in the yield from moderate to 88% (for cyclooctene) [7]. The catalyst and the oxidant in Scheme 6 were shown to be superior to other tested catalysts and oxidants for the case of 1-hexene, and TcesNH2 was much more effective in aziridination than tosylamide [7].

Aziridination of 1-hexene by trichloroethoxysulfonamide.
Tetrakis(triphenylphosphine)palladium catalyzed reaction of various alkenes and dienes with N,N-di-tert-butylthiadiaziridine 1,1-dioxide was found to give the products of oxidative diamination, 3-substituted 2,5-di-tert-butyl-1,2,5-thiadiazolidine 1,1-dioxides (Scheme 7) [8]. The oxidant in this reaction is the second molecule of thiadiaziridine dioxide, which is taken in twofold excess being reduced to N,N′-di-tert-butylsulfamide (Scheme 7). The yield of the products of deamination of dienes in Scheme 7 increases from 47% to 66% for 1-phenylbuta-1,3-diene and to 92% for penta-1,3-diene [8].

Oxidative diamination of terminal alkenes by N,N-di-tert-butylthiadiaziridine 1,1-dioxide.
N-(2-Hydroxyaryl)tosylamides were recently studied in the Pd(OAc)2 catalyzed reaction with various 1,3-butadienes with molecular oxygen as the oxidant [9]. The course of the reaction is solvent-controlled: in acetonitrile, 2-functionalized 1,4-benzoxazines are formed as the products of 1,2-aminooxygenation, while in DMSO 1,2-oxyamination occurs leading to 3-functionalized 1,4-benzoxazines (Scheme 8) [9]. The highest regioselectivity of up to 20:1 was found for isoprene, the yields varying from good to quantitative. For the reaction with 1,2-dimethylenecyclohexane, only the spirocyclic product of 1,2-aminooxygenation was obtained in acetonitrile, while no products were detected in the reaction in DMSO [9].

Solvent-controlled 1,2-aminooxygenation vs. 1,2-oxyamination of dienes.
Independently and practically simultaneously, other Pd-catalyzed reactions of oxidative sulfonamidation/cyclization in the reaction of N-(2-hydroxyaryl)- or N-[2-(2-hydroxymethyl)aryl]sulfonamides with terminal alkenes were reported and proposed for the synthesis of benzoxazolidines and dihydrobenzoxazines in moderate to good yields (Scheme 9). The method was also found to be suitable to access imidazolidines [10]. K2S2O8 was found to be the most effective among the tested oxidants, such as NaIO4, KBrO3, oxone (KHSO5), 1,4-benzoquinone, m-CPBA, Ag or Cu salts. The proposed mechanism of the reaction was similar to that suggested in [9].

Oxidative sulfamidation/cyclization of alkenes.
Under the same conditions, the same authors have developed the method of oxidative sulfamidation of electron deficient alkenes by primary and secondary arenesulfonamides [11]. With primary arenesulfonamides, the formed unsaturated sulfonamides predominantly had the Z-configuration, while with the secondary arenesulfonamides the yields were lower (40–78%) and the thermodynamically more preferable E-isomers were formed, with the recovery of starting material (Scheme 10) [11].

Different stereoselectivity in oxidative sulfamidation of acrylates with primary and secondary arenesulfonamides.
Similar to the reaction in Scheme 10, the E-isomers of enesulfonamides were formed exclusively by Pd(OAc)2-catalyzed sulfamidation of acrylates with N-alkylsulfonamides under the action of strong oxidant Selectfluor® [1-chloromethyl-4-fluoro-1,4-diazoniabicyclo[2.2.2]octane bis(tetrafluoroborate)] in the presence of methanesulfonic acid [12].
The group of Yoon has developed a method of aminohydroxylation of olefins by the action of N-sulfonyloxaziridines catalyzed by various copper(II) salts (Scheme 11) [13], [14], [15]. This reaction is similar to oxidative diamination of alkenes [13], [14] and dienes [14] by thiadiaziridine 1,1-dioxide shown in Scheme 7. Noteworthy, however, is that while the reagent in Scheme 7 is opened via the N–N bond, N-benzenesulfonyloxaziridine in the reaction with styrene can give the products of either the O–C or O–N bond splitting (isoxazolidine and oxazolidine, respectively), depending on the catalyst used – Sc(OTf)3 in the former case and Cu(OAc)2 in the latter [14].

Cu(II) catalyzed aminohydroxylation of olefins (a) and dienes (b) with N-arenesulfonyloxaziridines (Ns=4-NO2C6H4SO2).
The reactions in Scheme 11 represent a new methodology of Cu(II)-catalyzed reaction of chemo- and regioselective aminohydroxylation of alkenes and dienes. Remarkably, the regioselectivity of oxyamination is reversed when going from Cu(II) to Fe(III) salts [16], [17]. Unlike the formation of 4-Ar-substituted 1,3-oxazolidines in the Cu(TFA)2 catalyzed reaction (a) in Scheme 11, the similar Fe(acac)3 catalyzed reaction gives rise to the isomeric 5-Ar-substituted 1,3-oxazolidines, also in high yields [16]. By using the complexes of Fe(NTf2)2 with optically active bis(oxazoline) ligands (Scheme 12), the authors succeeded in preparation of 5-Ar-1,3-oxazolidines in a highly regio- and enantioselective manner [17].

Fe(NTf2)2·L* catalyzed aminohydroxylation of olefins with N-arenesulfonyloxaziridines (cf. to Scheme 11).
With Cu(OTf)2 as the catalyst and PhI(OAc)2 as the oxidant, 2-benzyl-N-tosylbenzamides and related substrates undergo intramolecular oxidative sulfamidation at the benzylic methylene group to give N-arylsuflonyl-1-arylisoindolinones in up to 70% yield [18]. The products of cyclization can further be deprotected to give free 1-arylisoindolinones (Scheme 13).

Isoindolinones via intramolecular cyclization of 2-benzyl-N-tosylbenzamides with subsequent N-deprotection.
Cu(II) salts taken in large excess may act as terminal oxidants themselves. Thus, oxidative diamination of a series of buta-1,3-dienes with saccharin was reported to lead to the products of conjugate 1,4-addition (Scheme 14) in the yields from moderate to quantitative [19]. The postulated mechanism included the initial bromocupration with the formation of 1,2- or 1,4-cuprate having the terminal C–Br bond. Further displacement of the cuprate moiety and bromine atom affords the product of 1,4-diamination, possibly, with participation of the intermediate product of amidobromination [19].

CuBr2 catalyzed oxidative 1,4-diamination of buta-1,3-dienes with saccharin.
An effective enantioselective bromoamidation of allyl N-tosylcarbamates catalyzed by a chiral phosphine–Sc(OTf)3 complex was described [20]. The reaction proceeds with the sulfonamide nitrogen attacking the internal olefinic carbon atom, and the bromine atom from NBS is attached to the terminal olefinic carbon atom. A wide variety of optically active oxazolidinone derivatives containing various functional groups can be obtained with high enantioselectivity (Scheme 15).

Enantioselective intramolecular bromoaminocyclization of allyl-N-tosylcarbamates.
A rather rare case of metal-free, visible light induced, oxidative sulfamidation of a large series of pyrroles was recently reported [21]. The reaction proceeds in aqueous acetonitrile under mild conditions in the presence of acridinium dye (9-mesityl-10-methylacridinium perchlorate) as photocatalyst in up to quantitative yields of 2-arenesulfonamidopyrroles (Scheme 16).

Visible light-induced C–H oxidative sulfamidation of pyrroles.
The reaction is proposed to proceed via single-electron transfer from the pyrrole ring on the acridine dye, capture of the formed pyrrole radical cation by the attack of arenesulfonamide anion generated in the alkaline medium at position 2, and oxidation of the formed radical adduct followed by its deprotonation.
Oxidative sulfamidation of dienes by the reactions with sulfonylnitrene precursors
Derivatives of sulfonamides with substituents at the nitrogen atom capable of elimination of small neutral molecules, such as azides RSO2N3, N-sulfonyliminophenyliodinanes RSO2N=IPh, chloramine-T, dichloramine-T, N-hydroxysulfonamides RSO2NHX and related compounds, can enter reactions with unsaturated substrates via insertion of the remaining sulfonylnitrene residue RSO2N into C–H or C=C bonds leading to the products of oxidative sulfamidation and their further transformations. Below we will concentrate on the reactions with dienes, since the presence of the second double bond in the substrate significantly expands synthetic potential of the primarily formed products.
Reactions of dienes with N-sulfonyl azides
One of the first studies of the reactions of dienes with azides was the work of Scheiner, who showed that arylazides react with isoprene, 2,4-pentadiene and 1,3-cyclohexadiene via addition to only one double bond to furnish the corresponding 1-aryl-4-vinyl-1,2,3-triazolines [22]. Electron-withdrawing groups, such as acyl or sulfonyl, decrease the order of the N1–N2 bond in acyl or sulfonyl azides, thus lowering their stability with respect to alkyl or aryl azides and increasing the reactivity in the reactions proceeding with nitrogen evolution. Indeed, the obtained triazolines, upon heating above 80°C or by photolysis, decompose with elimination of nitrogen and formation of the corresponding vinylaziridines [22].
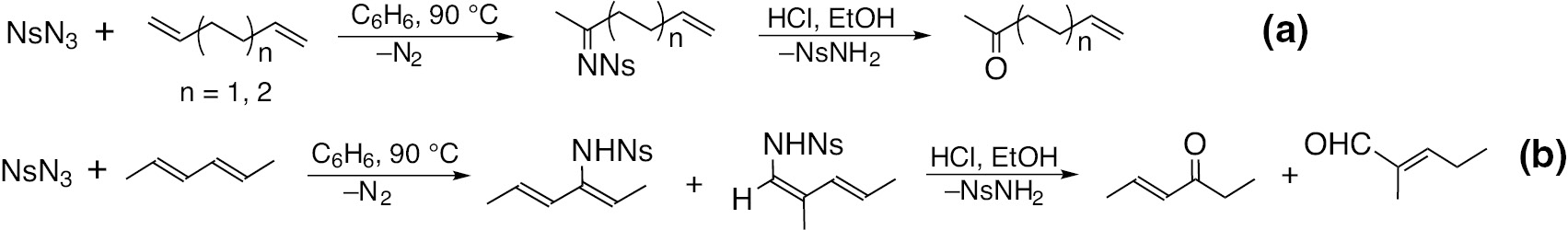
The reactions of N-sulfonyl azides with both conjugated and nonconjugated dienes proceed in a different manner. In the early work of Abramovitch et al. [23], no triazoline products were isolated from the reactions of nosyl azide with dienes. With nonconjugated hexa-1,5-diene and octa-1,7-diene, sulfonimides were formed via the insertion of the tosyl nitrene into the olefinic C–H bond with subsequent tautomeric rearrangement; the sulfonimides were hydrolyzed to the corresponding ketones (Scheme 17, (a)). With conjugated hexa-2,4-dienes and cyclohexa-1,3-diene, the reaction with NsNH2 also proceeds with subsequent rearrangements, (Scheme 17, (b)). The reactivity of dienes increases from linear nonconjugated to linear conjugated dienes and to cyclohexa-1,3-diene [23].

Sulfonamides from C–H insertion of nosyl nitrene with nonconjugated (a) and conjugated linear dienes with subsequent rearrangement (b) (Ns=4-NO2C6H4SO2).
The result of the reaction of arylsulfonyl azides with morpholinobuta-1,3-diene depends on the reagent: with tosyl azide, N-tosyl amidine was isolated in 56% yield formed via the nitrene insertion into the olefinic C–H bond of the enamine fragment with subsequent tautomeric rearrangement (Scheme 18, (a)), while with nosyl azide, 1,2,3-triazoline was formed as the product of [3+2] cycloaddition (Scheme 18, (b)) [24].
![Scheme 18: C–H insertion with enamide-imide isomerization (a) vs. [3+2] cycloaddition (b) depending on the structure of the reagent (Ns=4-NO2C6H4SO2).](/document/doi/10.1515/pac-2018-1219/asset/graphic/j_pac-2018-1219_scheme_018.jpg)
C–H insertion with enamide-imide isomerization (a) vs. [3+2] cycloaddition (b) depending on the structure of the reagent (Ns=4-NO2C6H4SO2).
Note, that neither in the early work of Abramovitch et al. [23], nor in the later work of Brunner et al. [24], were aziridines detected among the products. However, they were the only products of the reaction of norbornene and norbornadiene with 5-dimethylaminonaphthalene-1-sulfonyl azide, which was undertaken in order to introduce a fluorescent label in olefins [25]. The yield of aziridines was 38–39% (Scheme 19).

Aziridination of norbornene and norbornadiene.
In the same manner, that is, with the formation of aziridine, phenylsulfonyl azide reacts with 7-methylenebicyclo[2.2.1]hept-2-ene. The reaction affords both the endo and exo-adducts to the endocyclic double bond, the exocyclic C=C bond remaining intact (Scheme 20) [26].
![Scheme 20: Aziridination of 7-methylenebicyclo[2.2.1]hept-2-ene.](/document/doi/10.1515/pac-2018-1219/asset/graphic/j_pac-2018-1219_scheme_020.jpg)
Aziridination of 7-methylenebicyclo[2.2.1]hept-2-ene.
In contrast, substituted norbornadienes react with tosyl azide under mild conditions with ring expansion to give 2-azabicyclo[3.2.1]octadienes [27]. Note, that the similar product of ring expansion was obtained in the early work from norbornadienes and phenylsulfonyl azide [28]. The reaction proceeds as insertion to the C–C bond distal with respect to the substituent(s). The ratio of the 7-R to 6-R-2-azabicyclo[3.2.1]octa-3,6-diene in Scheme 21 drops from 85:15 (R=CO2Et) to 94:6 (R=CH2OAc) and 100:0 (R=CH2OTBS, CH2OPiv). For norbornadienes disubstituted at one C=C bond, the reaction course is different (Scheme 21). At room temperature or heating to 80°C the aziridine predominates in the mixture (4:1). When refluxed in toluene, the yield of the ring expansion product increased and after 3 days it was the only product in the mixture [28]. For unsymmetrically disubstituted norbornadienes (R1=COOR, R2=Alk, Ar) only 6-COOR regioisomers of 2-azabicyclo[3.2.1]octa-3,6-diene were formed.

Reactions of mono and disubstituted norbornadienes with tosyl azide.
Trichloroethoxysulfonyl azide reacts with 2,3-dimethylbuta-1,3-diene and alkenes in the presence of optically active Co(II) porphyrin catalyst under mild conditions also affording aziridines [29]. The yield of the product of monoaziridination of the diene in Scheme 22 was 50%, while with alkenes the yield and the enantiomeric purity were close to 100%.

Aziridination of alkenes and dienes with trichloroethoxysulfonyl azide.
Katsuki et al. showed that the Rh-catalyzed reaction of 2-phenylbuta-1,3-diene with tosyl azide (Scheme 23) proceeds very slowly – after 24 h the conversion was as low as 7.3% [30]. Under the same conditions, terminal alkenes (styrene, 4-Br, 4-NO2-styrenes, 2-vinylnaphthalene, but-3-en-1-yn-1-ylbenzene) give the corresponding aziridines in a good yield. In contrast, octene-1 as well as trisubstituted olefins did not undergo aziridination or allylic C–H sulfamidation [30].

Rh-catalyzed aziridination of 2-phenylbuta-1,3-diene.
The results of these and related studies were summarized in a mini-review [31]. 4′-Vinyl-2,3,4,5-tetrahydro-1,1′-biphenyl reacts with tosyl azide via aziridination of the terminal double bond. No product of allylic C–H sulfamidation was detected [30], [31]. However, such a product was detected in the reaction with 2-ethyl-1H-indene (Scheme 24) [31].

Rh-catalyzed aziridination or allylic C–H sulfamidation.
Rh-catalyzed oxidative sulfamidation of 1-arylbutadienes-1,3 was realized in both two-step and in the three-component one-pot versions using either 1-mesyl-1,2,3-triazole or its precursors – arylalkynes and mesyl azide (Scheme 25) [32]. The reaction affords finally dihydropyrroles, which can further be oxidized to N-mesylpyrroles. The stepwise reaction proceeds via the formation of intermediate N-mesyl cyclopropylaldimine by [2+1] cycloaddition to the terminal double bond of the diene, followed by the Clock rearrangement to 2-styryl dihydropyrrole, or by the aza-Cope rearrangement to dihydroazepines, which undergo 1,3-migration of the N-mesyl group to give 2-styryl dihydropyrroles [32]. The latter are directly formed in the three-component one-pot reaction, as shown in Scheme 25.

Stepwise and three-component one-pot routes to 2-alkenyl dihydropyrroles.
Reactions of dienes with N-tosyl phenyliodinane
N-Tosyl phenyliodinane PhI=NTs, prepared by the reaction of tosyl amide with phenyliodo diacetate in MeOH in the presence of NaOH [33], and related compounds are efficient reagents for aziridination and amidation of alkenes and dienes. Thus, the reaction of PhI=NTs with two-fold excess of cyclopentadiene gives 6-tosyl-6-azabicyclo[3.1.0]hex-2-ene (Scheme 26) [33]. Similarly proceeds the reaction with cyclohexa-1,3-diene or butadiene [34], [35]. With equimolar ratio of the reagents at room temperature the yield drops to 30–45% [35], [36], [37].

Monoaziridination of cyclopentadiene with N-tosyl phenyliodinane.
This method was used by Hudlicky et al. for the synthesis of analogues of Amaryllidaceae alkaloids (Scheme 27) [38], [39], [40], [41], [42].

Monoaziridination of 4-halogeno-2,2-dimethyl-3a,7a-dihydro-1,3-benzodioxoles.
The yield of aziridines was 59% for X=Cl, but only 20% for X=Br [38], [39], [40], [41]. Cycloocta-1,5-diene is not aziridinated by PhI=NTs [42].
The Sharpless (with TsNClNa·3H2O, vide infra) and Yamada (with PhI=NTs) methods were compared for aziridination of a series of conjugated and nonconjugated cyclodienes [35]. For conjugated substrates (cyclopentadiene, cyclohexa-1,3-diene), PhI=NTs gave good yields of the corresponding aziridines, while the Sharpless method was ineffective. For nonconjugated dienes, both methods demonstrated comparable effectiveness [35].
Fullerene C60 is aziridinated with PhI=NTs in the presence of CuCl and 2,6-lutidine in 1,2-dichlorobenzene (Scheme 28) in maximum yield of 43% [43]. The formed aziridine allows versatile further functionalization and provides access to diverse fullerene derivatives.

Aziridination of fullerenes with PhI=NTs.
The copper complex [(i-Pr3TACN)Cu(O2CCF3)2] was shown to catalyze nitrene transfer from PhI=NTs to olefins (styrene, cyclooctene, hexene-1) to form N-tosylaziridines in good to excellent yields [44]. Aziridination mediation capability of copper complex Cu(CH3CN)]PF6 was examined in the reaction of PhI=NTs with olefins. Cyclohexa-1,4-diene forms monoaziridine in 35% yield [45]. Isoprene (2-methylpenta-1,3-diene) undergoes aziridination to either terminal or internal C=C double bond in total yield of 51%, the ratio of the former to the latter product being 5:1. Ethyl sorbate Me(CH=CH)2COOEt undergoes aziridination exclusively at the more electron-rich terminal C=C bond [45].
Bisoxazoline-CuOTf complexes were shown to be effective in asymmetric aziridination of 1,3-dienes with PhI=NTs. The products are formed in moderate yields but with quantitative regio- and diastereoselectivity (>99%), and up to 80% enantioselectivity. α,β,γ,δ-Unsaturated ketones give cis-γ,δ-aziridinated products, while 1,4-diphenylbuta-1,3-diene afforded both cis- and trans-aziridines [46].
Aziridination of 2,4-hexadien-1-ols with PhI=NTs catalyzed by Ag and Cu(I) trispyrazolyl borate complexes [Tp] was investigated aiming at the synthesis of sphingosine (2-amino-4-trans-octadecene-1,3-diol), which is a key motif of sphingolipids, a class of important cell membrane lipids, like sphingomyelin. Aziridination of trans,trans-2,4-hexadien-1-ol (Scheme 29) proceeds predominantly via the C2=C3 double bond with predominant (on Cu catalyst) or almost exclusive (on Ag catalyst) formation of the trans isomer of the major regioisomer [47], [48].
![Scheme 29: Regio- and stereoselective aziridination of trans,trans-2,4-hexadien-1-ol with PhI=NTs on Cu or Ag trispyrazolyl borate complexes [Tp].](/document/doi/10.1515/pac-2018-1219/asset/graphic/j_pac-2018-1219_scheme_029.jpg)
Regio- and stereoselective aziridination of trans,trans-2,4-hexadien-1-ol with PhI=NTs on Cu or Ag trispyrazolyl borate complexes [Tp].
The ratio of the β,γ- to δ,ε-adducts in Scheme 29 on different catalysts varies from 81:19 to 90:10. Similar results were obtained for the acyl or benzyl O-protected substrates on Ag[Tp] catalyst: the regioselectivity was 56:44 (for Ac) or 60:40 (for Bn) and the trans isomers of the major regioisomers comprised 98%. Substitution at 2- and 5-positions of the chain (including 5-C13H27 radical as the precursor of sphingosine) did not affect much the results [47]. The origin of the observed regioselectivity and the mechanism of the reaction were investigated computationally [48].
The reaction of iodinanes PhI=NR (R=Ts, Ns) with conjugated linear dienes and cycloocta-1,3-diene in the presence of copper hexafluoroacetylacetonate gives rise to 3-pyrrolines [49]. However, their formation only formally can be considered as [1+4]-cycloaddition, since at the temperature below 36°C 2-vinylaziridines are formed which isomerise to 3-pyrrolines only by heating to 100°C (Scheme 30) [49].

3-Pyrrolines via aziridination of conjugated dienes with subsequent thermal rearrangement.
An efficient one-pot synthesis of isoxazol-3(2H)-ones catalyzed by Cu(OAc)2 from α-acyl cinnamides and PhI=NTs has been developed [50]. The reaction of 2-benzyl-3-oxo-N-arylbutanamides proceeds under mild conditions, the yields of the products of cyclization/allylic sulfamidation, 5-methyl-2-(4-aryl)-4-[1-(N-tosylamino)benzyl]isoxazol-3(2H)-ones, falling in the range 80–90%. The same reaction of α-acetyl penta-2,4-dienamide gives rise to two isomeric products of allylic sulfamidation (Scheme 31) [50].

Reaction of α-acetyl penta-2,4-dienamide with PhI=NTs.
Furan, thiophene and pyrrole are often considered as heterocyclic analogues of conjugated dienes. Two principal reaction pathways are possible with these: sulfamidation (known for all these heterocycles) and cycloaddition (characteristic of furan and thiophene). For example, the Ru(II)·porphyrine complexes catalyzed sulfamidation with PhI=NTs occurs under mild conditions (CH2Cl2, 40°C, molecular sieves 4 Å, unltrasound) affording 2-substituted products. N-Alkyl and N-aryl pyrroles under the same conditions give the products of 3,4-bissulfamidation (Scheme 32) [51]. The products are formed in moderate to good yields.

Oxidative bissulfamidation of furan, thiophene and pyrroles with PhI=NTs.
A diversity of products was obtained from the reaction of sterically hindered 3,4-di-tert-butylthiophene with PhI=NTs in the presence of Cu(MeCN)4PF6 and Cu(OTf)2 (Scheme 33) [52].

Cu(I) or Cu(II) catalyzed oxidative sulfamidation of 3,4-di-tert-butylthiophene by PhI=NTs.
The major product formed in 60% yield was N-tosylimino-3,4-di-tert-butylthiophene, other products being formed in the yields not exceeding 10% [52]. The group of Pérez reported the reactions of mono- or dialkyl furans with PhI=NTs catalyzed by Ag or Cu(I) trispyrazolyl borate complexes and leading to 1,2-dihydropyridines including those fused with the furan ring (Scheme 34) [53], [54], [55].

1,2-Dihydropyridines from the reaction of 2-methylfuran with PhI=NTs.
In the case of 2-methylfuran, 95% of diketone and 5% of monoketone in Scheme 34 is formed, whereas 2,5- and 2,3-dimethylfurans give only monoketones in 99% yield [53], [54], [55]. The reaction was proposed to include four consecutive catalytic cycles. Furan aziridination is followed by aziridine ring-opening, transimination, inverse-electronic-demand aza-Diels−Alder reaction, and hydrogen elimination [53].
The reactions of oxidative sulfamidation with new dinuclear iodine(III) reagents elaborated by Muñiz et al. have been studied. The reagents are formed similar to the Yamada reagent PhI=NTs, by the reaction of four equivalents of bissulfonylimides (ArSO2)2NH with PhI(OAc)2 in water at room temperature. The reaction of 1-arylbutadienes-1,3 with PhI(NTs2)2, or with PhI(OAc)(NTs2) and addition of Ts2NH, or with Ts2NH in the presence of PhI(OAc)2 affords the products of regioselective oxidative sulfamidation at the terminal double bond (Scheme 35) [56], [57]. The same reaction occurs with 1-phenylhexatriene-1,3,5.

Oxidative bistosylimidation of 1-arylbutadienes-1,3 with PhI(NTs2)2 (cf. with Scheme 32).
The yields in Scheme 35 vary from 35 to 90% depending on the reaction conditions. Butadiene and its derivatives – isoprene and 2,3-dimethylbuta-1,3-diene – give the products of both 1,2- and 1,4-sulfimidation (Scheme 36) [57].

1,2- vs. 1,4-Oxidative bistosylimidation of butadienes-1,3 with PhI(NTs2)2.
Most effectively, with 73% yield, buta-1,3-diene is imidated in the system PhI(OAc)(NTs2) with addition of Ts2NH, the ratio of the 1,4- to 1,2-adducts being 1:1.3. The highest yield in the reaction with isoprene was 84%, obtained with the sulfamidating system Ts2NH+PhI(OAc)2=2:1, the ratio of the 1,4- to 1,2-adducts being 2:1. Similarly reacts 2,3-dimethylbuta-1,3-diene (82% yield) but the ratio of the products is 1:1. Undeca-1,3,5-triene gives only the product of 1,6-bisimidation in 60% yield. Finally, diethyl-3,4-dimethylenecyclopentane dicarboxylate both in the system Ts2NH+PhI(OAc)2=2:1 and PhI(OAc)(NTs2) with addition of Ts2NH (Scheme 37) affords the single product of 1,4-bisimidation in 80% yield [57].

1,4-Oxidative sulfimidation of diethyl-3,4-dimethylenecyclopentane dicarboxylate by PhI(NTs2)2.
Styrene, octane-1 and cyclopentene give the products of bisimidation with PhI(NTs2)2 in 66–80% yield, a higher yield of 90% was obtained for allylbenzene [56]. With the similar iodine(III) reagent obtained from 2,2′-diiodo-1,1′-biphenyl, 1-phenylbuta-1,3-diene gives the product of 1,2-bisimidation in the yield not exceeding 70% [58].
Reactions of dienes with chloramine-T, dichloramine-T and other N-halosulfonamides
Chloramine-Т (TsNClNa) in reactions with dienes normally acts as a haloamidating agent. In the presence of acetic acid in dry CH2Cl2 with heating, chloramine-T taken in 20% excess to the substrate effectively reacts with linear and cyclic 1,3-dienes to afford the products of 1,4-chloroamidation (Scheme 38) [59]. The diastereomer ratio for 1,4-diphenylbuta-1,3-diene was 1:1. The reaction with the isomeric 2,3-diphenylbuta-1,3-diene or with 2,3-dimethylbuta-1,3-diene furnishes the trans and cis adducts in the ratio of 3:1 or 5:1, respectively, and in total yield of 64% or 61% [59].

1,4-Chloroamidation of isomeric diphenylbuta-1,3-diene with chloramine-T.
2,3-Dibenzylbuta-1,3-diene gives only the trans-adduct in 81% yield, apparently, due to steric hindrances. Cycloocta-1,3-diene furnishes the product of 1,4-chlorosulfamidation in 96% yield with the ratio of regioisomers 10:1, and for cyclohexa-1,3-diene two diastereomers were formed in 1:1 ratio in total yield of 63%. With cycloheptatriene, the single cis-1,6-adduct was obtained in 93% yield (Scheme 39) [59].

1,6-Chloroamidation of cycloheptatriene-1,3,5 with chloramine-T.
A new metal-free synthetic protocol for chlorosulfamidation of olefins with chloramine-T was reported by Minakata et al. [60]. The method consists in carrying out the reaction in CO2 atmosphere under pressure. It was applied to various olefins and one diene – cycloocta-1,3-diene. With olefins the yields vary from 27 to 81%. The tosylamido group enters mainly the β-position in the reaction with styrenes, position 3 in the reaction with 1H-indene, and exclusively the α-position in the reaction with butyl vinyl ether. With cycloocta-1,3-diene, only 1,4-adduct was obtained in 70% as a single stereoisomer (its stereochemistry was not determined) [60].
In the presence of molecular iodine, TsNClNa reacts with cyclohexa-1,3-diene in aqueous medium chemo-, regio- and stereoselectively affording the product of 1,2-iodosulfamidation in 64% yield (Scheme 40) [61].

Chemo, regio and stereoselective iodosulfamidation of cyclohexa-1,3-diene by chloramine-T.
It is worth noting that when the reaction of styrene was performed in organic solvents with chloramine-T in the presence of iodine [62], [63], [64] or with tosylamide in the presence of oxidative system t-BuOCl+NaI [65], aziridines were formed as sole products, and no iodoamidated products were obtained. Pyridinium hydrobromide perbromide catalyzed reaction of buta-1,3-diene with chloramine-T under mild conditions leads to N-tosyl-2-vinylaziridine in 65% yield [66]. The mechanism of the Cu(hfacac)(cod) and PhNMe3Br3 catalyzed reaction of buta-1,3-diene with a series of chloramines ArSO2NClNa leading to vinylaziridines in 57–72% yield (calculated to the initial ArSO2NH2) was investigated [67].
Cyclohexa-1,4-diene and its alkylated derivatives were investigated using the Sharpless aziridination method (vide supra) [68]. The method consists in reacting 1 mol of diene with 3.3-fold excess of chloramine-T and 0.3 mol PhMe3N·Br3. The reaction furnishes aziridinocyclohexenes in 45–70% yield (Scheme 41) [68].

The Sharpless aziridination of cyclohexa-1,4-dienes.
Bicyclic cyclohexa-1,4-dienes on the example of 1,2,3,4,5,8-hexahydronaphthalene are aziridinated on the internal double bond in 50% yield [68] (and 45% yield by the Yamada method, vide supra [35]) (Scheme 42).

The Sharpless aziridination of 1,2,3,4,5,8-hexahydronaphthalene.
For 2,3,4,7-tetrahydro-1H-indene, no reaction was observed under the same conditions. Note also, that no aziridination occurred when cycloocta-1,5-diene was treated with the Yamada reagent PhI=NTs, while the Sharpless method gave aziridine in 45% yield. The obtained aziridine derivatives of cyclohexa-1,4-diene were further subjected to epoxidation with m-CPBA [68].
N,N-Dichloro- and N,N-dibromosulfonamides were also involved in the reactions with conjugated and nonconjugated linear and cyclic dienes. In an early work the reactions of N,N-dichloro- and N,N-dibromophenylsulfonamides with hexa-1,5-diene, penta-1,4-diene and 1,4-diphenylbuta-1,3-diene have been investigated [69]. With hexa-1,5-diene, the formation of a mixture of linear and heterocyclic products was shown (Scheme 43).

Diversity of products formed in the reactions of PhSO2NX2 with hexa-1,5-diene.
2,5-Disubstituted pyrrolidines are formed diastereoselectively with the cis-configuration of the 2,5-dihalogenmethyl groups in 28% yield (X=Br) and only 4.8% yield (X=Cl). Linear diadducts were isolated in 3.7% yield (X=Br) and 21% yield (X=Cl). Isomeric 1,2-monoadducts were obtained as mixtures in total yield of ~21%. From the reaction with penta-1,4-diene, the 2,4-disubstituted pyrrolidines were obtained in the yield of 19% (X=Br) and 1.3% (X=Cl). With 1,4-diphenylbuta-1,3-diene only the reaction with PhSO2NBr2 was performed and 3,4-dibromo-1-(phenylsulfonyl)pyrrolidine was isolated in 9.2% yield (Scheme 44) [69]. The formation of 4-halo-2-(halomethyl)-1-(phenylsulfonyl)pyrrolidines in the former reaction implies that halogenation of the double bonds of penta-1,4-diene proceeds with different regioselectivity – on the internal carbon of one of them and on the terminal carbon of the other. With 1,4-diphenylbuta-1,3-diene, only internal carbon atoms of the diene are brominated.

Different courses of the reaction of N,N-dihalogenophenylsulfonamide with conjugated and nonconjugated dienes.
In aqueous acetone, olefins react with TsNBr2 to furnish α-bromoketones in a good yield [70]. The reaction proceeds via intermediate formation of α-bromoalcohols, which are oxidized to α-bromoketones with excess of TsNBr2. Under the same conditions, 5-(buta-1,3-dien-1-yl)-1,2,3-trimethoxybenzene reacts with TsNBr2 to give the product of oxidative 1,4-bromosulfamidation and ring bromination to one of free aromatic carbons in 62% yield (Scheme 45) [70].

1,4-Bromosulfamidation/aromatic bromination of 5-(buta-1,3-dien-1-yl)-1,2,3-trimethoxybenzene with TsNBr2.
A large series of chalcones ArC(O)CH=CHAr′ was introduced in the Sc(OTf)3 catalyzed reaction of chlorosulfamidation with the 1:1 mixture TsNCl2+TsNH2, which turned out to be much more effective than TsNCl2 alone or TsNH2 in the presence of N-chlorosuccinimide as the oxidant [71]. The terminally acylated analogue of the diene in Scheme 45, 1,5-diphenylpenta-2,4-dien-1-one, was also investigated and showed very high yield (95%), diastereoselectivity (97:3) and enantiomeric excess (ee) (98%) when performing the reaction in the presence of complex of Sc(OTf)3 with optically active ligand L (Scheme 46) [71].

Highly diastereo- and enantioselective chlorosulfamidation in the system TsNCl2+TsNH2.
A high regioselectivity was observed in the reaction of radical addition of dichloramine-B (PhSO2NCl2) to 1,3-dienes induced by Et3B at –78°C and leading to N-chloro-N-allylamides in up to quantitative yields [72]. The lowest yield of 74% was obtained for 1-phenylbuta-1,3-diene. The formed N-chloro-N-allylamides react with alkenes affording the pyrrolidine derivatives in good yield (Scheme 47).

Et3B-Induced radical addition of PhSO2NCl2 to alkenes as a route to pyrrolidines.
The Cu(OAc)2 catalyzed reaction of dichloramine-T with alkenes and dienes in acetonitrile affords the products of chlorosulfamidation with participation of the molecule of the solvent [73]. Note, that in the reaction of cyclohexene with other catalysts – CuOTf, [Rh(COD)Cl]2, Pd(OAc)2 as well as in the noncatalyzed reaction, from 10 to 40% of the product of chlorosulfamidation without incorporation of the molecule of acetonitrile was formed. The reaction with cyclohexa-1,3-diene proceeds as 1,4-addition with the formation of single diastereoisomer in 80% yield. With the isomeric cyclohexa-1,4-diene the addition occurs only to one double bond to give trans-N-[6-chlorocyclohex-3-en-1-yl]-N′-(4-tosyl)ethaneimidamide in 90% yield. The latter amidine, when treated with KOH in aqueous dioxane affords the corresponding tetrahydro-1H-benzimidazole as the single diastereomer in 65% yield (Scheme 48) [73].

Three-component reaction of cyclodienes with TsNCl2 and acetonitrile, and cyclization to imidazoles.
Of special interest are our recent results on haloamination of unsaturated silanes by N,N-dichlorotriflamide TfNCl2.[1] Trimethylvinylsilane, dimethyl(divinyl)silane and diphenyl(divinyl)silane were shown to react with N,N-dichlorotriflamide to give mainly the products of chlorotriflamidation of one or two C=C bonds, as summarized in Scheme 49.

Oxidative triflamidation of unsaturated silanes with TfNCl2.
Remarkably, the second double bond of diphenyl(divinyl)silane remained intact even with double excess of TfNCl2, apparently, because of steric congestions in possible diadducts due to the presence of two phenyl groups at silicon.
Recently, a new method was proposed for the synthesis of 2-chloroenesulfonamides [74], [75]. To a large family of aminohalogenating reagents, a new member was added – N-chloro-N-fluorobenzenesulfonamide PhSO2N(F)Cl. The reaction with styrenes was found to proceed with different regioselectivity depending on the temperature (Scheme 50) [74]. The authors explained such an unusual behavior by the different mechanisms: electrophilic chlorination of the double bond at room temperature and its electrophilic sulfamidation at higher temperatures, in both cases the most stable benzylic cations being formed.

Temperature-dependent regioselectivity of chlorosulfamidation of styrenes with PhSO2N(F)Cl.
In the next work of this group, the reactions at both ambient and elevated temperature followed by elimination of HF with Et3N and imine–enamine tautomerization were proposed as an efficient approach to 2-chloroenesulfonamides [75]. A series of substituted styrenes and 1,4-diphenylbuta-1,3-diene were tolerated in these reactions, as shown in Scheme 51 for the latter. The mechanism was proposed and confirmed by contrast experiments [75].

Oxidative addition/dehydrofluorination/tautomerization in the reaction of dienes with PhSO2N(F)Cl.
Miscellaneous sulfamidation reactions of dienes
N-Hydroxytosylamide TsNHOH, which is isoelectronic with chloramine-T, also adds to alkenes and dienes under oxidative conditions, although with the rupture of N–S rather than N–O bond. In the presence of periodate as an oxidant, styrenes and 1-phenylbuta-1,3-diene give with TsNHOH α-sulfonyloximes. The reaction follows radical mechanism with oxidation of N-hydroxytosylamide by periodate to N-oxosulfonamide, which eliminates NO to give tosyl radical. The later adds to styrene to give stable benzyl radical, which recombines with NO with the subsequent nitroso–oxime tautomeric rearrangement. With 1-phenylbuta-1,3-diene, the tosyl radical adds to the terminal olefinic atom to give the radical, which is vinilogous to the benzyl radical (Scheme 52) [76].

Radical mechanism of α-sulfonyloximes formation by oxidative addition of TsNHOH to 1-phenylbuta-1,3-diene.
In a number of studies, oxidative sulfamidation reactions were employed in intramolecular fashion. Thus, the reaction of NBS-promoted cyclization of N-tosyl 1,3-dienes with the nitrogen atom separated from the diene moiety by three Csp3 atoms in the presence of different catalysts (Scheme 53, a) proceeds stereoselectively in good isolated yield [77]. The reaction may proceed either as 1,4-cycloaddition of the pre-formed N-bromo-N-tosyl derivative or via the initial radical bromination of the starting compound at the terminal olefinic carbon atom (Scheme 53, b). The presence of allylic bromine in the products allows their further functionalization.

1,4- (a) and 1,5-Oxidative cyclization (b) of γ- and δ-tosylaminodienes (NBS=N-bromosuccinimide).
The analogue of the starting compound in Scheme 53, reaction (a), containing protected sulfamido group, undergoes double cyclization in the presence of various oxidants (Scheme 54). Similar cyclizations were performed for alkenes containing substituents at the internal or terminal olefinic carbons, as well as 1,3-dienes TsNHC(O)NHCH2C(Ph)2CH2CH=CHCH=CH2 and MeOC(O)NHSO2NHCH2C(Ph)2CH2CH=CHCH=CH2 [78].

Oxidative double cyclization of N-protected alkenylsulfamides.
β,γ,δ,ε-Unsaturated N-tosylhydrazones in the presence of N-iodosuccinimide and chiral catalysts afford Δ2-pyrazolines via 1,4-iodosulfamidation proceeding at low temperature with high enantioselectivity (Scheme 55) [79].

Intramolecular oxidative iodosulfamidation of β,γ,δ,ε-unsaturated N-nosylhydrazones.
3-Ethoxycarbonyl-5-phenyl-N-sulfonyldienamides, when refluxed in xylene, furnished the products of 6-endocyclization. In contrast, in the presence of oxidants such as MnO2 or DMP (Dess–Martin periodinane, 1,1,1-triacetoxy-1,1-dihydro-1,2-benziodoxol-3(1H)-one), they suffer 5-exocyclization (Scheme 56) [80].

6-Endo- vs. 5-exocyclization of N-sulfonylenamides.
However, the latter reaction in Scheme 56 cannot be considered as oxidative sulfamidation but rather as hydroamination because only substituent R1 but not the dienesulfamide fragment is oxidized. Related HI-catalyzed intramolecular cyclization reactions of alkenyl and dienyl tosylamides were recently investigated as a step en route to the total synthesis of Lycopodium alkaloids [81].
Although the reactions of hydroamidation lie beyond the scope of the present review, some of them, throwing the light on the regioselectivity of sulfamidation, deserve to be mentioned here. Thus, the reaction of allylic substitution of dimethyl octadiene-2,6-dicarbonate-1,8 with NsNH2 catalyzed by iridium complexes with chiral phosphorus amidite ligands proceeds enantio- and regioselectively leading to 1-nosyl-2,5-divinyl pyrrolidines with retention of the double bonds of the substrate (Scheme 57) [82].

Stereoselective hydroamidation/cyclization of dimethyl octadiene-2,6-dicarbonate-1,8 on iridium complexes with chiral phosphorus amidite ligands.
Pyrrolidines were also formed in up to 90% yield as the products of hydroamination of hexa-1,5-dienes with tosylamide in the presence of Ph3PAuOTf complex (Scheme 58) [83].

Pyrrolidine formation upon cyclization of hexa-1,5-dienes with tosylamide.
The structure of the products in Schemes 56 and 57 suggests the attack of the sulfonylamide moiety on the internal olefinic carbon atom of dienes.
Cyclohexa-1,3-diene is hydroaminated with arenesulfonamides in the presence of 1,2-bis(diphenylphosphino)ethane (dppe) and bismuth-copper catalyst (Scheme 59) [84].

Allylic sulfamidation in metal-catalyzed addition of arenesulfonamides to cyclohexa-1,3-diene.
Unlike reaction (b) in Scheme 2, occurring in oxidative conditions, in hydroamination reaction the entering sulfamido group appears only in the allylic position (Scheme 58). Numerous alkenes and dienes were successfully hydroaminated by the use of (triphenyl phosphite)gold(I) chloride and silver triflate as a catalytic mixture [85], or only one catalyst AgOTf or TfOH [86]. The reactions proceed in toluene on heating and MW activation in up to quantitative yield.
Oxidative triflamidation of linear and cyclic alkenes and dienes
There are two reasons for separate consideration of the reactions of sulfamidation with participation of trifluoromethanesulfonamide (triflamide, CF3SO2NH2 or TfNH2). One is that it often demonstrates the reactivity different from that of its nonfluorinated analogues [87], including the reactions with unsaturated compounds [88]. Another reason is that there is a good deal of studies in the last few years on the reactions of triflamide with different alkenes and dienes leading to interesting and often unexpected products. Below, the reactions of oxidative triflamidation are considered for various types of unsaturated substrates.
Reactions of alkenes with triflamide in oxidative conditions
Even the first studies on the reactions of triflamide in the system (t-BuOCl+NaI) in MeCN, which was successfully used for aziridination of alkenes by different sulfonamides [65], showed a drastic effect of fluorination on the reactivity of sulfonamides. Instead of aziridines, two linear adducts and 2,5-diphenyl-1,4-bis(triflyl)piperazine were isolated (Scheme 60) [89].

Oxidative triflamidation of styrene in the system (t-BuOCl+NaI).
Interestingly, when carrying out the reaction of styrene [90] or vinylcyclohexane [91] with dry NaI, the isomeric 2,6-diphenyl- of 2,6-dicyclohexyl-1,4-bis(triflyl)piperazines are formed; possible reasons were discussed in [91]. Besides, no product of bis-triflamidation was detected with vinylcyclohexane, and no piperazine was obtained in the reaction with p-chlorostyrene [91]. Irrespective of the form of the iodine source (NaI or NaI·2H2O), the reaction of α-methylstyrene with triflamide gives 1-iodo-2-phenylpropan-2-ol as the single product [92]. This is likely to be formed via iodination of α-methylstyrene by t-BuOI and subsequent fast reaction of the latter with water. Apparently, such a course of the reaction is due to the effect of the phenyl group, because from the analogous reaction with 2-methylpent-1-ene three products, each containing triflamide residues, were isolated (Scheme 61). Again, no aziridines were identified in the reaction mixture. Evidently, the last product (ether) is formed from the preceding alcohol by dehydrative condensation.

Oxidative triflamidation of 2-methyl-pentene-1.
Reactions with cyclic dienes
We have studied the reactions of triflamide with a number of cyclic dienes in the oxidative system (t-BuOCl+NaI). Transannular addition of triflamide to cycloocta-1,5-diene affords two bicyclic products: 9-oxabicyclo[4.2.1]nonane and 9-azabicyclo[4.2.1]nonane (Scheme 62) [92]. Their formation is the first example of cycloaddition of sulfonamides to dienes, directly leading to bicyclononane heterocycles.
![Scheme 62: Direct assembling of [3.2.1]bicyclononane framework from cycloocta-1,5-diene.](/document/doi/10.1515/pac-2018-1219/asset/graphic/j_pac-2018-1219_scheme_062.jpg)
Direct assembling of [3.2.1]bicyclononane framework from cycloocta-1,5-diene.
Unlike the reaction in Scheme 62 proceeding as 1,6-cycloaddition, the isomeric conjugated cycloocta-1,3-diene reacts with triflamide with ring contraction to give N-(3-formylcyclohept-2-en-1-yl)triflamide in 57% yield [93]. The reaction in Scheme 63 represents a rare case of eight- to seven-membered ring contraction. The presence of several acidic and basic centers in the molecule prompted us to investigate the product by spectral and theoretical methods [94].

Ring contraction in the reaction of triflamide with cycloocta-1,3-diene.
Oxidative triflamidation of cyclopentadiene in the oxidative system employed proceeds as 1,2-iodotriflamidation at only one double bond of the diene (Scheme 64) [95], [96]. Such a regioselectivity is consistent with the localization of the HOMO of the cyclopentadiene molecule mainly on the C1 and C4 atoms [97]. Note, that the reaction of cyclopentadiene with selenium tosylamidate proceeds as bis-sulfamidation (cf. Scheme 2), again demonstrating specific reactivity of triflamide. The reaction of triflamide with cyclohexa-1,3-diene proceeds as 1,2-addition of two triflamide residues to the diene molecule. The choice between the structures of 1,2- and 1,4-adduct was made based on the IR and NMR spectroscopy data and finally the formation of trans-N,N′-(cyclohex-3-ene-1,2-diyl)bis(triflamide) was determined by X-ray analysis [95], [96].

Oxidative triflamidation of cyclopentadiene and cyclohexa-1,3-diene.
The reaction of triflamide with nonconjugated cyclohexa-1,4-diene proceeds in a completely different way resulting in the formation of fully saturated product, for which the structure of N,N′-(2-chloro-5-iodo-cyclohexane-1,4-diyl)bis(triflamide) was elucidated from spectral data and chemical transformations (Scheme 65) [95], [96].

Oxidative triflamidation of 1,4-cyclohexadiene and further transformations of the product (Tf=CF3SO2).
Reactions with hexa-1,5-diene and nonconjugated heterodienes
Hexa-1,5-diene reacts with triflamide in the oxidative system (t-BuOCl+NaI) to furnish two cyclic products in total yield of 91% (Scheme 66) [98]. The formation of the bicycle in reaction (a) in Scheme 66 is the first example of assembling the 3,8-diazabicyclo[3.2.1]octane framework in one-pot procedure. Evidently, its formation is possible only for the cis-arrangement of the two iodomethyl groups in the preceding pyrrolidine, so, the structure of pyrrolidine was of special interest. From the X-ray analysis of the isolated pyrrolidine, the two iodomethyl groups are in the trans-position to each other; this explains why pyrrolidine does not react with triflamide in the used oxidative system, as has been shown by special experiment. For comparison, the reaction of hexa-1,5-diene with a series of arenesulfonamides was investigated [98], [99]. As distinct from the reaction with triflamide, two isomeric pyrrolidines shown in Scheme 66, reaction (b) were formed. The ratio of the trans to cis isomers varied from 1:1 to 3:1. No bicyclic products similar to 3,8-bis(triflyl)-3,8-diazabicyclo[3.2.1]octane formed in reaction (a) were formed with arenesulfonamides, even from the reaction of triflamide with the cis-isomers, which seem to be spatially ready for cyclization to 3,8-diazabicyclo[3.2.1]octanes.

Comparative study of oxidative triflamidation (a) and arenesulfonamidation (b) of cyclohexa-1,5-diene with triflamide and arenesulfonamides.
The derivatives of diallylsulfide and diallylamine (on the example of diallyltriflamide, see Scheme 69 below), which can be considered as heterodienes, were also investigated in the reactions of oxidative triflamidation. The molecule of diallyl sulfide has three reactive sites for electrophilic attack: two π-bonds C=C and the sulfur atom. The only product isolated in 67% yield was N,N′-(diprop-2-en-1-yl-λ4-sulfanediyl)bis(triflamide) [100]. The examples of S(IV) tetracoordinate compounds (λ4-sulfanes) are very scarce (see Refs. in [100], [101]) and refer only to S-spirocyclic compounds, therefore, the product in Scheme 67 can be considered as the first representative of acyclic λ4-sulfanes.

Unusual formation of N,N′-(diprop-2-en-1-yl-λ4-sulfanediyl)bis(triflamide) via oxidative triflamidation of divinyl sulfide.
The observed unusual course of the reaction was explained by theoretical analysis of diallyl sulfide, which showed that the HOMO of the molecule is less than 2% localized on all four olefinic carbon atoms, and more than 55% – on the sulfur atom [100] which is consistent with the electrophilic oxidation reaction on sulfur with the C=C double bonds remaining intact. Divinyl sulfone, in which localization of the HOMO on the sulfur atoms is negligible, react with triflamide on the C=C bonds to give the product of oxidative heterocyclization (Scheme 68) [100].

Oxidative heterocyclization of divinyl sulfoxide.
The same product is formed in the reaction with divinyl sulfoxide, apparently, due to initial oxidation to divinyl sulfone under the reaction conditions.
The introduction of nitrogen as a heteroatom changes the situation; oxidative triflamidation of diallyltriflamide leads to a diversity of products of both linear and cyclic structure. Scheme 69 provides another example of different reactivity of triflamide and arenesulfonamides: no cyclic products are formed with the latter. Moreover, no addition to the second C=C bond takes place even with double excess of sulfonamide [102].

Linear and cyclic products from oxidative triflamidation or arenesulfamidation of diallyltriflamide.
Reactions with buta-1,3-diene derivatives
Interesting results were obtained for the reaction of triflamide with 2,3-dimethylbuta-1,3-diene and 2,5-dimethylhexa-2,4-diene, allowing to synthesize in one preparative step compounds containing the fused pyrrolidine and aziridine rings in one molecule (Scheme 70) [103].
![Scheme 70: One-step design of 3,6-diazabicyclo[3.1.0]hexane motif in the reaction with triflamide vs. 1,4-oxidative sulfamidation with arenesulfonamides.](/document/doi/10.1515/pac-2018-1219/asset/graphic/j_pac-2018-1219_scheme_070.jpg)
One-step design of 3,6-diazabicyclo[3.1.0]hexane motif in the reaction with triflamide vs. 1,4-oxidative sulfamidation with arenesulfonamides.
Again, arenesulfonamides react in a principally different manner giving the linear products of oxidative 1,4-addition (Scheme 70) in 79% (Ar=Tol) or 20% yield (Ar=Ph) [103].
Triflamide and 2,5-dimethylhexa-2,4-diene react differently depending on the temperature. At room temperature, unlike the reaction in Scheme 70, no products of triflamidation were formed, but only trans-4-iodo-2,2,5,5-tetramethyltetrahydrofuran-3-ol was isolated in 83% yield [103]. On cooling, 2,2,4,4-tetramethyl-3,6-bis(triflyl)-3,6-diazabicyclo[3.1.0]hexane (37%) and a mixture of pyrrolidines is formed (57%) with the cis/trans isomer ratio of 1:1 (Scheme 71). Lowering the temperature to –40°C increases the yield of the bicyclic product to 70%, while pyrrolidines could not be detected in the mixture. This allows assuming that pyrrolidines are formed via nucleophilic opening of the aziridine ring in the bicycle by the action of halogenide anions presenting in the reaction mixture.

Oxidation or oxidative triflamidation with cyclization of 2,5-dimethyl-2,4-hexadiene.
Finally, we have studied the reactions of triflamide and nosylamide with 1,4-diphenylbuta-1,3-diene and 1,1,4,4-tetraphenylbuta-1,3-diene in the same oxidative system. Both reactions proceed in two steps: 1,4-cycloaddition and subsequent iodotriflamidation or chloroiodination leading to fully substituted pyrrolidines (Scheme 72) [104].

1,4-Cycloaddition and 1,2-addition in oxidative sulfamidation of 1,4-diphenylbuta-1,3-diene.
In contrast, the reaction of 1,1,4,4-tetraphenylbuta-1,3-diene under the same conditions unexpectedly gave 3,4,5,5-tetraphenyldihydrofuran-2(3H)-one in 76% yield [104]. The absence of the triflamide residue in the product could be indicative that triflamide is not involved in the reaction; however, blank experiment showed that no reaction occurs in the absence of triflamide. Based on this, the following tentative mechanism was suggested (Scheme 73) [104].

Tentative mechanism of formation of 3,4,5,5-tetraphenyldihydrofuran-2(3H)-one.
Conclusions
In this review, the reactions of sulfonamides, versatile reagents for amination of unsaturated compounds, are overviewed focusing on oxidative sulfamidation of dienes. The reactions of oxidative sulfamidation, reviewed here for the first time, can be performed either with external oxidants or using pre-activation of sulfonamides by converting them to azides, N-halosulfonamides, or N-sulfamidoiodinanes, or related active derivatives. As distinct from conventional hydroamination reactions, oxidative sulfamidation provides an approach to numerous unsaturated and heterocyclic compounds bearing pharmacophore sulfamide group due to the presence in many of the primarily formed adducts of groups capable of further functionalization. Special attention is paid to oxidative triflamidation reactions, since triflamide demonstrates specific reactivity, in many cases drastically different from that of non-fluorinated analogues. Undoubtedly, the synthetic potential of these reactions is far from being completely disclosed so much of the progress in this field must be expected in the near future.
Article note
A collection of invited papers based on presentations at the 24th IUPAC International Conference on Physical Organic Chemistry (ICPOC 24) held in Faro, Portugal, 1–6 July 2018.
Conflicts of interest: There are no conflicts of interest to declare.
References
[1] K. B. Sharpless, S. P. Singer. J. Org. Chem. 41, 2504 (1976).10.1021/jo00876a040Search in Google Scholar
[2] M. Bruncko, T.-A. V. Khuong, K. B. Sharpless. Angew. Chem. Int. Ed. 35, 454 (1996).10.1002/anie.199604541Search in Google Scholar
[3] D. E. Olson, J. Y. Su, D. A. Roberts, J. Du Bois. J. Am. Chem. Soc. 136, 13506 (2014).10.1021/ja506532hSearch in Google Scholar PubMed PubMed Central
[4] A. H. Stoll, S. B. Blakey. Chem. Sci. 2, 112 (2011).10.1039/C0SC00375ASearch in Google Scholar
[5] G. Dequirez, J. Ciesielski, P. Retailleau, P. Dauban. Chem. – Eur. J. 20, 8929 (2014).Search in Google Scholar
[6] J. Ciesielski, G. Dequirez, P. Retailleau, V. Gandon, P. Dauban. Chem. – Eur. J. 22, 9338 (2016).10.1002/chem.201600393Search in Google Scholar PubMed
[7] Q. Xu, D. H. Appella. Org. Lett. 10, 1497 (2008).10.1021/ol800288bSearch in Google Scholar PubMed
[8] B. Wang, H. Du, Y. Shi. Angew. Chem. Int. Ed. 47, 8224 (2008).10.1002/anie.200803184Search in Google Scholar PubMed PubMed Central
[9] K. Wen, Z. Wu, B. Huang, Z. Ling, I. D. Gridnev, W. Zhang. Org. Lett. 20, 1608 (2018).10.1021/acs.orglett.8b00352Search in Google Scholar PubMed
[10] N. Panda, S. A. Yadav. Tetrahedron 74, 1497 (2018).10.1016/j.tet.2018.02.012Search in Google Scholar
[11] N. Panda, S. A. Yadav, S. Giri. Adv. Synth. Catal. 359, 654 (2017).10.1002/adsc.201601048Search in Google Scholar
[12] H. Hu, J. Tian, Y. Liu, Y. Liu, F. Shi, X. Wang, Y. Kan, C. Wang. J. Org. Chem. 80, 2842 (2015).10.1021/jo502823mSearch in Google Scholar PubMed
[13] D. J. Michaelis, M. A. Ischay, T. P. Yoon. J. Am. Chem. Soc. 130, 6610 (2008).10.1021/ja800495rSearch in Google Scholar PubMed
[14] D. J. Michaelis, C. J. Shaffer, T. P. Yoon. J. Am. Chem. Soc. 129, 1866 (2007).10.1021/ja067894tSearch in Google Scholar PubMed
[15] T. Benkovics, J. Du, I. A. Guzei, T. P. Yoon. J. Org. Chem. 74, 5545 (2009).10.1021/jo900902kSearch in Google Scholar PubMed PubMed Central
[16] K. S. Williamson, T. P. Yoon. J. Am. Chem. Soc. 132, 4570 (2010).10.1021/ja1013536Search in Google Scholar PubMed PubMed Central
[17] K. S. Williamson, T. P. Yoon. J. Am. Chem. Soc. 134, 12370 (2012).10.1021/ja3046684Search in Google Scholar PubMed PubMed Central
[18] R. B. Bedford, J. G. Bowen, C. Méndez-Gálvez. J. Org. Chem. 82, 1719 (2017).10.1021/acs.joc.6b02970Search in Google Scholar PubMed
[19] C. Martínez, L. Martínez, J. Kirsch, E. C. Escudero-Adán, E. Martin, K. Muñiz. Eur. J. Org. Chem. 2014, 2017 (2014).10.1002/ejoc.201301805Search in Google Scholar
[20] D. Huang, X. Liu, L. Li, Y. Cai, W. Liu, Y. Shi. J. Am. Chem. Soc. 135, 8101 (2013).10.1021/ja4010877Search in Google Scholar PubMed
[21] A. U. Meyer, A. L. Berger, B. König. Chem. Commun. 52, 10918 (2016).10.1039/C6CC06111GSearch in Google Scholar PubMed
[22] P. Scheiner. Tetrahedron 24, 349 (1968).10.1016/0040-4020(68)89033-7Search in Google Scholar
[23] R. A. Abramovitch, M. Ortiz, S. P. McManus. J. Org. Chem. 46, 330 (1981).10.1021/jo00315a022Search in Google Scholar
[24] M. Brunner, G. Maas, F.-G. Klaerner. Helv. Chim. Acta 88, 1813 (2005).10.1002/hlca.200590142Search in Google Scholar
[25] A. Takadate, K. E. N. Tahara, H. Fujino, S. Goya. Yakugaku Zasshi 106, 36 (1986).10.1248/yakushi1947.106.1_36Search in Google Scholar
[26] R. W. Hoffmann, N. Hauel, B. Landmann. Chem. Ber. 116, 389 (1983).10.1002/cber.19831160140Search in Google Scholar
[27] N. Emelda, S. C. Bergmeier. Tetrahedron Lett. 49, 5363 (2008).10.1016/j.tetlet.2008.06.123Search in Google Scholar PubMed PubMed Central
[28] A. C. Oehlschlager, L. H. Zalkow. J. Org. Chem. 30, 4205 (1965).10.1021/jo01023a051Search in Google Scholar
[29] V. Subbarayan, J. V. Ruppel, S. Zhu, J. A. Perman, X. P. Zhang. Chem. Commun. 4266 (2009).10.1039/b905727gSearch in Google Scholar PubMed
[30] K. Omura, M. Murakami, T. Uchida, R. Irie, T. Katsuki. Chem. Lett. 32, 354 (2003).10.1246/cl.2003.354Search in Google Scholar
[31] T. Katsuki. Chem. Lett. 34, 1304 (2005).10.1246/cl.2005.1304Search in Google Scholar
[32] S. Kim, J. Mo, J. Kim, T. Ryu, P. H. Lee. Asian J. Org. Chem. 3, 926 (2014).10.1002/ajoc.201402071Search in Google Scholar
[33] Y. Yorinobu, Y. Tamotsu, O. Makoto. Chem. Lett. 4, 361 (1975).10.1246/cl.1975.361Search in Google Scholar
[34] R. L. O. R. Cunha, D. G. Diego, F. Simonelli, J. V. Comasseto. Tetrahedron Lett. 46, 2539 (2005).10.1016/j.tetlet.2005.02.089Search in Google Scholar
[35] D. Sureshkumar, S. Maity, S. Chandrasekaran. J. Org. Chem. 71, 1653 (2006).10.1021/jo052357xSearch in Google Scholar
[36] E. Baron, P. O’Brien, T. D. Towers. Tetrahedron Lett. 43, 723 (2002).10.1016/S0040-4039(01)02238-9Search in Google Scholar
[37] J. G. Knight, M. P. Muldowney. Synlett 1995, 949 (1995).10.1055/s-1995-5128Search in Google Scholar
[38] T. Hudlicky, K. A. Abboud, J. Bolonick, R. Maurya, M. L. Stanton, A. J. Thorpe. Chem. Commun. 1717 (1996).10.1039/CC9960001717Search in Google Scholar
[39] T. Hudlicky, X. Tian, K. Koenigsberger, R. Maurya, J. Rouden, B. Fan. J. Am. Chem. Soc. 118, 10752 (1996).10.1021/ja960596jSearch in Google Scholar
[40] B. J. Paul, J. Willis, T. A. Martinot, I. Ghiviriga, K. A. Abboud, T. Hudlicky. J. Am. Chem. Soc. 124, 10416 (2002).10.1021/ja0205378Search in Google Scholar PubMed
[41] T. Hudlicky, M. Moser, S. C. Banfield, U. Rinner, J.-C. Chapuis, G. R. Pettit. Can. J. Chem. 84, 1313 (2006).10.1139/v06-078Search in Google Scholar
[42] J. Gilmet, B. Sullivan, T. Hudlicky. Tetrahedron 65, 212 (2009).10.1016/j.tet.2008.10.070Search in Google Scholar
[43] M. Nambo, Y. Segawa, K. Itami. J. Am. Chem. Soc. 133, 2402 (2011).10.1021/ja111213kSearch in Google Scholar PubMed
[44] J. A. Halfen, J. K. Hallman, J. A. Schultz, J. P. Emerson. Organometallics 18, 5435 (1999).10.1021/om9908579Search in Google Scholar
[45] R. R. Conry, A. A. Tipton, W. S. Striejewske, E. Erkizia, M. A. Malwitz, A. Caffaratti, J. A. Natkin. Organometallics 23, 5210 (2004).10.1021/om040098gSearch in Google Scholar
[46] L. Ma, D.-M. Du, J. Xu. Chirality 18, 575 (2006).10.1002/chir.20282Search in Google Scholar PubMed
[47] J. Llaveria, A. Beltran, M. M. Diaz-Requejo, M. I. Matheu, S. Castillon, P. J. Perez. Angew. Chem., Int. Ed. 49, 7092 (2010).10.1002/anie.201003167Search in Google Scholar PubMed
[48] J. Llaveria, A. Beltran, W. M. C. Sameera, A. Locati, M. M. Diaz-Requejo, M. I. Matheu, S. Castillon, F. Maseras, P. J. Perez. J. Am. Chem. Soc. 136, 5342 (2014).10.1021/ja412547rSearch in Google Scholar PubMed
[49] Q. Wu, J. Hu, X. Ren, J. Zhou. Chem. Eur. J. 17, 11553 (2011).10.1002/chem.201101630Search in Google Scholar PubMed
[50] M. Yu, Q. Zhang, G. Li, J. Yuan, N. Zhang, R. Zhang, Y. Liang, D. Dong. Adv. Synth. Catal. 358, 410 (2016).10.1002/adsc.201500990Search in Google Scholar
[51] L. He, P. W. H. Chan, W.-M. Tsui, W.-Y. Yu, C.-M. Che. Org. Lett. 6, 2405 (2004).10.1021/ol049232jSearch in Google Scholar PubMed
[52] J. Nakayama, T. Otani, Y. Sugihara, Y. Sano, A. Ishii, A. Sakamoto. Heteroat. Chem. 12, 333 (2001).10.1002/hc.1052Search in Google Scholar
[53] M. R. Fructos, E. Alvarez, M. M. Diaz-Requejo, P. J. Perez. J. Am. Chem. Soc. 132, 4600 (2010).10.1021/ja1006614Search in Google Scholar PubMed
[54] L. Maestre, M. R. Fructos, M. M. Diaz-Requejo, P. J. Perez. Organometallics 31, 7839 (2012).10.1021/om3008234Search in Google Scholar
[55] M. Angeles Fuentes, E. Alvarez, A. Caballero, P. J. Perez. Organometallics 31, 959 (2012).10.1021/om201016bSearch in Google Scholar
[56] J. A. Souto, C. Martinez, I. Velilla, K. Muniz. Angew. Chem. Int. Ed. 52, 1324 (2013).10.1002/anie.201206420Search in Google Scholar PubMed
[57] A. Lishchynskyi, K. Muniz. Chem. – Eur. J. 18, 2212 (2012).10.1002/chem.201103435Search in Google Scholar PubMed
[58] C. Roben, J. A. Souto, E. C. Escudero-Adan, K. Muniz. Org. Lett. 15, 1008 (2013).10.1021/ol3034884Search in Google Scholar PubMed
[59] C. Martinez, K. Muniz. Eur. J. Org. Chem. 2018, 1248 (2018).10.1002/ejoc.201701624Search in Google Scholar
[60] S. Minakata, Y. Morino, Y. Oderaotoshi, M. Komatsu. Org. lett. 8, 3335 (2006).10.1021/ol061182qSearch in Google Scholar PubMed
[61] S. Minakata, J. Hayakawa. Chem. Commun. 47, 1905 (2011).10.1039/C0CC03855ESearch in Google Scholar PubMed
[62] T. Ando, D. Kano, S. Minakata, I. Ryu, M. Komatsu. Tetrahedron 54, 13485 (1998).10.1016/S0040-4020(98)00827-8Search in Google Scholar
[63] D. Kano, S. Minakata, M. Komatsu. J. Chem. Soc. Perkin Trans. 1 3186 (2001).10.1039/b104940mSearch in Google Scholar
[64] S. Minakata, D. Kano, Y. Oderaotoshi, M. Komatsu. Angew. Chem. Int. Ed. 43, 79 (2004).10.1002/anie.200352842Search in Google Scholar PubMed
[65] S. Minakata, Y. Morino, Y. Oderaotoshi, M. Komatsu. Chem. Commun. 3337 (2006).10.1039/b606499jSearch in Google Scholar PubMed
[66] S. I. Ali, M. D. Nikalje, A. Sudalai. Org. Lett. 1, 705 (1999).10.1021/ol9900966Search in Google Scholar PubMed
[67] D. J. Mack, J. T. Njardarson. Chem. Sci. 3, 3321 (2012).10.1039/c2sc21007jSearch in Google Scholar
[68] J. U. Jeong, B. Tao, I. Sagasser, H. Henniges, K. B. Sharpless. J. Am. Chem. Soc. 120, 6844 (1998).10.1021/ja981419gSearch in Google Scholar
[69] A. Yamasaki, H. Terauchi, S. Takemura. Chem. Pharm. Bull. 24, 2841 (1976).10.1248/cpb.24.2841Search in Google Scholar
[70] K. K. Rajbongshi, D. Hazarika, P. Phukan. Tetrahedron Lett. 56, 356 (2015).10.1016/j.tetlet.2014.11.096Search in Google Scholar
[71] Y. Cai, X. Liu, J. Jiang, W. Chen, L. Lin, X. Feng. J. Am. Chem. Soc. 133, 5636 (2011).10.1021/ja110668cSearch in Google Scholar PubMed
[72] T. Tsuritani, H. Shinokubo, K. Oshima. J. Org. Chem. 68, 3246 (2003).10.1021/jo034043kSearch in Google Scholar PubMed
[73] T. Abe, H. Takeda, Y. Miwa, K. Yamada, R. Yanada, M. Ishikura. Helv. Chim. Acta 93, 233 (2010).10.1002/hlca.200900214Search in Google Scholar
[74] X.-Q. Pu, H.-Y. Zhao, Z.-H. Lu, X.-P. He, X.-J. Yang. Eur. J. Org. Chem. 2016, 4526 (2016).10.1002/ejoc.201600709Search in Google Scholar
[75] H. Zhao, X. Pu, X. Yang. Chin. J. Chem. 35, 1417 (2017).10.1002/cjoc.201700114Search in Google Scholar
[76] N. Liu, P. Yin, Y. Chen, Y. Deng, L. He. Eur. J. Org. Chem. 2012, 2711 (2012).10.1002/ejoc.201200133Search in Google Scholar
[77] I. Marquez-Segovia, A. Baeza, A. Otero, C. Najera. Eur. J. Org. Chem. 2013, 4962 (2013).10.1002/ejoc.201300444Search in Google Scholar
[78] P. Chavez, J. Kirsch, C. H. Hoevelmann, J. Streuff, M. Martinez-Belmonte, E. C. Escudero-Adan, E. Martin, K. Muniz. Chem. Sci. 3, 2375 (2012).10.1039/c2sc20242eSearch in Google Scholar
[79] C. B. Tripathi, S. Mukherjee. Org. Lett. 17, 4424 (2015).10.1021/acs.orglett.5b02026Search in Google Scholar PubMed
[80] Y. Maekawa, T. Sakaguchi, H. Tsuchikawa, S. Katsumura. Tetrahedron Lett. 53, 837 (2012).10.1016/j.tetlet.2011.12.014Search in Google Scholar
[81] P. R. Leger, R. A. Murphy, E. Pushkarskaya, R. Sarpong. Chem. Eur. J. 21, 4377 (2015).10.1002/chem.201406242Search in Google Scholar PubMed
[82] R. Weihofen, A. Dahnz, O. Tverskoy, G. Helmchen. Chem. Commun. 3541 (2005).10.1039/b505197eSearch in Google Scholar PubMed
[83] J. Zhang, C.-G. Yang, C. He. J. Am. Chem. Soc. 128, 1798 (2006).10.1021/ja053864zSearch in Google Scholar PubMed
[84] H. Qin, N. Yamagiwa, S. Matsunaga, M. Shibasaki. J. Am. Chem. Soc. 128, 1611 (2006).10.1021/ja056112dSearch in Google Scholar PubMed
[85] X. Giner, C. Nájera. Synlett 2009, 3211 (2009).10.1055/s-0029-1218297Search in Google Scholar
[86] X. Giner, C. Nájera. Org. Lett. 10, 2919 (2008).10.1021/ol801104wSearch in Google Scholar PubMed
[87] B. A. Shainyan, L. L. Tolstikova. Chem. Rev. 113, 699 (2013).10.1021/cr300220hSearch in Google Scholar PubMed
[88] B. A. Shainyan. Eur. J. Org. Chem. 2018, 3594 (2018).10.1002/ejoc.201800130Search in Google Scholar
[89] B. A. Shainyan, M. Y. Moskalik, I. Starke, U. Schilde. Tetrahedron 66, 8383 (2010).10.1016/j.tet.2010.08.070Search in Google Scholar
[90] M. Y. Moskalik, B. A. Shainyan. Russ. J. Org. Chem. 47, 568 (2011).10.1134/S1070428011040166Search in Google Scholar
[91] B. A. Shainyan, M. Y. Moskalik, V. V. Astakhova. Russ. J. Org. Chem. 48, 918 (2012).10.1134/S1070428012070056Search in Google Scholar
[92] M. Y. Moskalik, B. A. Shainyan, U. Schilde. Russ. J. Org. Chem. 47, 1271 (2011).10.1134/S1070428011090016Search in Google Scholar
[93] M. Y. Moskalik, V. V. Astakhova, I. A. Ushakov, B. A. Shainyan. Rus. J. Org. Chem. 50, 445 (2014).10.1134/S1070428014030269Search in Google Scholar
[94] I. V. Sterkhova, M. Y. Moskalik, B. A. Shainyan. Russ. J. Org. Chem. 50, 337 (2014).10.1134/S1070428014030051Search in Google Scholar
[95] M. Y. Moskalik, V. V. Astakhova, B. A. Shainyan. Russ. J. Org. Chem. 48, 1530 (2012).10.1134/S1070428012120068Search in Google Scholar
[96] M. Y. Moskalik, B. A. Shainyan, V. V. Astakhova, U. Schilde. Tetrahedron 69, 705 (2013).10.1016/j.tet.2012.10.099Search in Google Scholar
[97] S.-S. P. Chou, P.-W. Chen. Tetrahedron 64, 1879 (2008).10.1016/j.tet.2007.11.090Search in Google Scholar
[98] B. A. Shainyan, M. Y. Moskalik, V. V. Astakhova, U. Schilde. Tetrahedron 70, 4547 (2014).10.1016/j.tet.2014.04.095Search in Google Scholar
[99] V. V. Astakhova, M. Y. Moskalik, I. V. Sterkhova, B. A. Shainyan. Russ. J. Org. Chem. 51, 904 (2015).10.1134/S1070428015060123Search in Google Scholar
[100] M. Y. Moskalik, V. V. Astakhova, B. A. Shainyan. Russ. J. Org. Chem. 49, 761 (2013).10.1134/S1070428013050242Search in Google Scholar
[101] M. Y. Moskalik, V. V. Astakhova, B. A. Shainyan. Russ. J. Org. Chem. 49, 1567 (2013).10.1134/S107042801311002XSearch in Google Scholar
[102] B. A. Shainyan, V. V. Astakhova, A. S. Ganin, M. Y. Moskalik, I. V. Sterkhova. RSC Adv. 7, 38951 (2017).10.1039/C7RA05831DSearch in Google Scholar
[103] M. Y. Moskalik, V. V. Astakhova, U. Schilde, I. V. Sterkhova, B. A. Shainyan. Tetrahedron 70, 8636 (2014).10.1016/j.tet.2014.09.050Search in Google Scholar
[104] M. Y. Moskalik, V. V. Astakhova, I. V. Sterkhova, B. A. Shainyan. Chem. Select 2, 4662 (2017).Search in Google Scholar
© 2020 IUPAC & De Gruyter, Berlin/Boston
Articles in the same Issue
- Frontmatter
- In this issue
- Preface
- The 24th IUPAC International Conference on Physical Organic Chemistry (ICPOC 24)
- Conference papers
- Binding motifs of cisplatin interaction with simple biomolecules and aminoacid targets probed by IR ion spectroscopy
- Synthesis and reactivity/stability study of double-functionalizable strained trans-cyclooctenes for tetrazine bioorthogonal reactions
- Counterion effect on sulfonatocalix[n]arene recognition
- Ping-pong tunneling reactions, part 2: boron and carbon bell-clapper rearrangement
- Insights into the photochemistry of 5-aminotetrazole derivatives with applications in coordination chemistry. Effect of the saccharyl moiety on the photostability
- A green road map for heterogeneous photocatalysis
- Computational simulation of mechanism and isotope effects on acetal heterolysis as a model for glycoside hydrolysis
- Coordination of tridentate ligands to SmI2: cooperativity and incremental effect on reduction potential and on reactivity
- An efficient and eco-friendly method for the thiol-Michael addition in aqueous solutions using amino acid ionic liquids (AAILs) as organocatalysts
- Changing the kinetic order of enantiomer formation and distinguishing between iminium ion and imine as the reactive species in the asymmetric transfer hydrogenation of substituted imines using a cyclopentadienyl iridium (III) complex
- Oxidative sulfamidation as a route to N-heterocycles and unsaturated sulfonamides
- Well-defined nickel(II) tetrazole-saccharinate complex as homogeneous catalyst on the reduction of aldehydes: scope and reaction mechanism
- Unravelling mechanistic insights in the platinum-catalysed dihydroalkoxylation of allenes
- The VES KM: a pathway for protein folding in vivo
- IUPAC Recommendations
- Nomenclature and terminology for linear lactic acid-based polymers (IUPAC Recommendations 2019)
Articles in the same Issue
- Frontmatter
- In this issue
- Preface
- The 24th IUPAC International Conference on Physical Organic Chemistry (ICPOC 24)
- Conference papers
- Binding motifs of cisplatin interaction with simple biomolecules and aminoacid targets probed by IR ion spectroscopy
- Synthesis and reactivity/stability study of double-functionalizable strained trans-cyclooctenes for tetrazine bioorthogonal reactions
- Counterion effect on sulfonatocalix[n]arene recognition
- Ping-pong tunneling reactions, part 2: boron and carbon bell-clapper rearrangement
- Insights into the photochemistry of 5-aminotetrazole derivatives with applications in coordination chemistry. Effect of the saccharyl moiety on the photostability
- A green road map for heterogeneous photocatalysis
- Computational simulation of mechanism and isotope effects on acetal heterolysis as a model for glycoside hydrolysis
- Coordination of tridentate ligands to SmI2: cooperativity and incremental effect on reduction potential and on reactivity
- An efficient and eco-friendly method for the thiol-Michael addition in aqueous solutions using amino acid ionic liquids (AAILs) as organocatalysts
- Changing the kinetic order of enantiomer formation and distinguishing between iminium ion and imine as the reactive species in the asymmetric transfer hydrogenation of substituted imines using a cyclopentadienyl iridium (III) complex
- Oxidative sulfamidation as a route to N-heterocycles and unsaturated sulfonamides
- Well-defined nickel(II) tetrazole-saccharinate complex as homogeneous catalyst on the reduction of aldehydes: scope and reaction mechanism
- Unravelling mechanistic insights in the platinum-catalysed dihydroalkoxylation of allenes
- The VES KM: a pathway for protein folding in vivo
- IUPAC Recommendations
- Nomenclature and terminology for linear lactic acid-based polymers (IUPAC Recommendations 2019)