Startseite Nomenclature and terminology for linear lactic acid-based polymers (IUPAC Recommendations 2019)
Artikel Öffentlich zugänglich

Nomenclature and terminology for linear lactic acid-based polymers (IUPAC Recommendations 2019)

  • Michel Vert EMAIL logo , Jiazhong Chen , Karl-Heinz Hellwich ORCID logo , Philip Hodge , Tamaki Nakano , Carmen Scholz , Stanislaw Slomkowski und Jiri Vohlidal
Veröffentlicht/Copyright: 29. November 2019

Abstract

Lactic acid enantiomers and cyclic lactic acid dimers, the latter referred to as lactides, are sources of degradable aliphatic polymers that are composed of chiral constitutional repeating units. The different synthesis routes and the various combinations of chiral units result in a multitude of chiral structures and of corresponding properties. Distinctive structural identification is often crucial, especially for applications as degradable polymers. This document provides recommendations for the nomenclature, abbreviations, and terminology related to lactic acid-based polymers in order to allow consistent comparison between polymers of different origins and between data collected within different disciplines.

CONTENT

PLA-1 Introduction

For more than 60 years, scientists have studied polymers based on lactic acid enantiomers. This family includes aliphatic polyesters and linear, branched, and star copolymers containing lactic acid-based aliphatic polyester segments. These polymers have been developed primarily for applications in biological situations where full performance is required for only a limited period of time, after which degradation and elimination occur. Areas of application include surgery, pharmacology, regenerative medicine, dentistry, ecology, agriculture, packaging, etc. [1], [2], [3]. To take full advantage of the outstanding properties of these polymers, it is essential that a unique terminology and mode of naming is used to identify, qualify, and distinguish the members of this polymer family and their particularities.

A polymer can be systematically named using either the ‘Structure-based’ [4], [5], [6], [7], [8], [9], [10] or the ‘Source-based’ nomenclature systems [5], [9], [10], [11] extended to non-linear macromolecules [12]. Both systems are general and enable the naming of most organic polymers. However, in the case of chiral aliphatic polymers based on lactic acid enantiomers, academic and patent literatures can be confusing, because specialists as well as non-specialists frequently use different names and abbreviations that do not respect the particularities originating from the source and structure-dependent factors affecting material and degradation properties. In order to facilitate an efficient exchange of accurate information, the IUPAC Subcommittee on Polymer Terminology prepared the present recommendations, which provide the nomenclature and terminology rules and the abbreviations to be respected in all fields concerned with the science and the applications of these degradable polymers.

PLA-1.1 Sources of lactic acid-based polymers

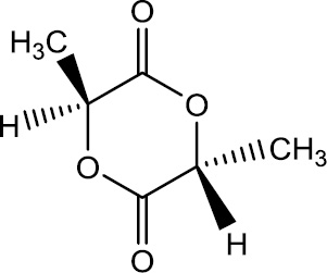
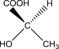
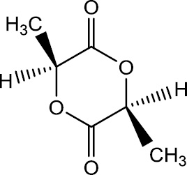
Lactic acid-based polymers are generally derived from one of the two types of chiral monomers: i) 2-hydroxypropanoic acid, known as lactic acid (IUPAC-approved trivial name) [13], which is available as R or S enantiomers or their racemate (Table 1), and ii) 3,6-dimethyl-1,4-dioxane-2,5-dione, the cyclic dimer of lactic acid, also known as lactide, which is available in three stereoisomeric forms and as the racemate of the S,S and R,R isomers (Table 2). Lactide is also the IUPAC-approved class name for cyclic dimers and higher cyclic oligomers of lactic acid (dilactide, trilactide, …) and of other hydroxycarboxylic acids [14].

Table 1:

Structures and names of the lactic acids used for preparation of lactic acid-based polymers.

1:1 mixture of R and S enantiomers (racemate)
Preferred IUPAC names (PINs)
(R)-2-hydroxypropanoic acid (S)-2-hydroxypropanoic acid rac-2-hydroxypropanoic acid
Other IUPAC approved names
(R)-lactic acid (S)-lactic acid (RS)-2-hydroxypropanoic acid

rac-lactic acid

(RS)-lactic acid
Other names
d-lactic acid*

d-(−)-lactic acid**
l-lactic acid*

l-(+)-lactic acid**
dl-lactic acid*
  1. *The stereodescriptors d and l for specifying the absolute configuration, still frequently used in biology, are retained for carbohydrates and amino acids only [12]. Their use for lactic acid enantiomers and derived polymers is hence not recommended although their frequent use is acknowledged. Their use dates back to the configuration correlation of (R)- and (S)-lactic acid to the d- and l-glyceraldehyde enantiomers, respectively.

  2. **(+) or (−) is sometimes inserted to indicate clockwise and counter-clockwise rotation observed in polarimetry. In association with a specific configuration, this complement of information is inappropriate and can be misleading because the sign of rotation depends on temperature, wavelength and solvent. The lower-case d and l are obsolete descriptors formerly used instead of (+) and (−), respectively. They are sometimes mistakenly confused with the descriptors d and l.

Table 2:

Structures and names of lactides used for preparation of lactic acid-based polymers.

1:1 mixture of R,R and S,S enantiomers (racemate)
Preferred IUPAC names (PINs)
(3R,6R)-3,6-dimethyl-1,4-dioxane-2,5-dione (3S,6S)-3,6-dimethyl-1,4-dioxane-2,5-dione (3R,6S)-3,6-dimethyl-1,4-dioxane-2,5-dione rac-(3R,6R)-3,6-dimethyl-1,4-dioxane-2,5-dione
Other IUPAC approved names
meso-3,6-dimethyl-1,4-dioxane-2,5-dione (3RS,6RS)-3,6-dimethyl-1,4-dioxane-2,5-dione
Other names
(R,R)-lactide (S,S)-lactide meso-lactide

(R,S)-lactide
rac-lactide
  1. Note: Because of the presence of two stereogenic centres in a lactide molecule, the traditional names l-lactide and d-lactide (and consequently also polymer names derived from them) are no longer acceptable.

PLA-1.2 Polymerization routes to lactic acid-based polyesters

A lactic acid-based polyester, also known as a PLA (where LA stands for lactic acid [15]) is composed of one of the stereorepeating units (SRUs [16]) shown in Fig. 1, or of the two (stereocopolymers). Such polymers are generally prepared by one of two approaches: i) polycondensation of 2-hydroxypropanoic acid enantiomers, giving polyesters in which stereorepeating units are introduced statistically (Fig. 2), and ii) ring-opening chain polymerization (ROP [15]) of 3,6-dimethyl-1,4-dioxane-2,5-dione stereoisomers, in which chain growth proceeds by the addition of pairs of stereorepeating units (Fig. 3).

Fig. 1: R and S stereorepeating units (SRUs) present in chiral lactic acid-based polymers.
Fig. 1:

R and S stereorepeating units (SRUs) present in chiral lactic acid-based polymers.

Fig. 2: Polycondensation of lactic acids.
Fig. 2:

Polycondensation of lactic acids.

Fig. 3: Ring-opening polymerization of lactides showing the pair addition of SRUs and end-groups the nature of which depends on the polymerization protocol (E1=H or R, and E2=OH or OR′).
Fig. 3:

Ring-opening polymerization of lactides showing the pair addition of SRUs and end-groups the nature of which depends on the polymerization protocol (E1=H or R, and E2=OH or OR′).

In the absence of racemization, PLA chains synthesized by polycondensation are terminated by OH and COOH groups and the corresponding end-groups are H and OH (Fig. 2).

In the case of PLAs synthesized by ring-opening polymerization of lactide stereoisomers, chain ends can be similar or different to those typical of polycondensates (Fig. 3).

Many compounds are able to initiate the polymerization of lactides [17], and in general they leave a group from the initiator at one end of the polymer chain [18]. In general, polycondensates and polymerizates with similar SRU compositions have different end-groups, E1 and/or E2, although similarity may be observed for some polymerization conditions or progressively during the hydrolytic cleavage of intra-chain ester bonds. In the absence of racemization, the polymerization of (R,R)-lactide and (S,S)-lactide yields isotactic polyesters of opposite configuration. In general, the polymerization of the meso-lactide or of mixtures of lactides leads to a multitude of stereocopolymers because of more or less head-to-tail (RS-RS) and head-to-head (RS-SR) attachments of the dimeric monomers to growing chains that generate different extra pairs of units (diads) at the junctions, the extent of which depends on the mechanism of polymerization. Basically, the result is that rac-lactide gives PLAs with more m than r diads, whereas meso-lactide gives PLAs with more r than m diads. Under particular conditions, the ROP of meso-lactide yields macromolecules composed of r diads only, but this is exceptional [19]. Typical SRUs distributions are shown schematically in Fig. 4.

Fig. 4: Schematic representations of the distributions of stereorepeating units in hypothetical 20-mer macromolecules synthesized by polycondensation of lactic acids and by ROP of lactides.
Fig. 4:

Schematic representations of the distributions of stereorepeating units in hypothetical 20-mer macromolecules synthesized by polycondensation of lactic acids and by ROP of lactides.

It is, however, important to bear in mind that the basic sequences of SRUs schematized in Fig. 4 can be dramatically perturbed by racemization during polymerization or heat-based processing. On the other hand, stereochemically asymmetric polymerizations, which cause differentiation among cyclic stereoisomers, can lead to highly stereoregular chains due to either asymmetric polymerization or asymmetric enantiomer-differentiating polymerization [20]. Last but not least, transesterification during the polymerization or thermal processing can redistribute SRUs without total randomization because of dependence on local tacticity in chiral segments. 1H and/or 13C NMR spectroscopy can be used to determine unit distributions in terms of diads, triads, etc. [21], [22], [23].

PLA-1.3 Degradation of PLAs in aqueous media

The degradation of the backbone ester groups of PLAs can occur by the hydrolytic action of water absorbed into the matrix. In organic chemistry, it is well known that ester hydrolysis is catalyzed by the generated acid, a process referred to as autocatalysis [24]. Applied to polymers, the hydrolysis of intra-chain ester bonds leads to important particularities related to the autocatalytic action of COOH groups, the number of which increases in parallel to chain cleavages and shortening. Therefore, chain ends that have negligible effects on most material properties can play important roles in hydrolytic degradation. The general mechanism and the factors that can affect the degradation were identified many years ago [25]. To summarize, the whole process depends on four main phenomena: (i) the amount of water absorbed, which depends in part on the hydrophilicity of the matrix; (ii) the rate of ester cleavage, which depends on the structure of the macromolecules and the morphology of derived matrices; (iii) the rate of diffusion of macromolecular degradation products through the hydrated matrix towards the outer medium; and (iv) the solubility of degradation products in the outer medium, which commands the interphase diffusion process. Any factor that affects one or several of these phenomena impacts degradation characteristics. Examples of these factors are: composition in chiral units, chiral unit distribution, chain ends, hydrophilic or hydrophobic additives and impurities, morphology and intra-chain defect-related difference of reactivity, and even the shape and the physical size of a device [26], [27]. Chiral unit distribution in macromolecules and polymer morphology are both important factors because the hydrolytic cleavage of ester bonds located in amorphous domains is much faster than that of ester bonds located in crystalline domains, where water cannot penetrate because of a lack of free space. Similarly, irregular stereosequences in stereocopolymers are less resistant to hydrolysis than isotactic ones. This dependence on local sequences leads to dramatic changes in composition, chiral unit distribution, and morphology as degradation advances [28]. Figure 5 illustrates the main consequences.

Fig. 5: Schematic representation of the influence of lactic unit distributions on morphology evolution due to intra-chain defect-dependent selective degradation in the absence of racemization and transesterification [25].
Fig. 5:

Schematic representation of the influence of lactic unit distributions on morphology evolution due to intra-chain defect-dependent selective degradation in the absence of racemization and transesterification [25].

Figures 4 and 5 emphasize the diversity of lactic acid-based macromolecules derived from lactides or lactic acid stereoisomers and their fate during hydrolytic degradation. To clearly reflect this diversity, the source-based and the structure-based nomenclatures recommended for naming polymers should be applied [4], [6], [7], [8], [9], [10], [11], as well as the method to indicate end-groups [4], [9], [11]. For a better and more precise identification of a particular PLA polymer, especially if it is to be exploited as a degradable polymer, the names need to be complemented by structural characteristics of interest (gross composition in chiral units, distribution of chiral units via composition in m and r diads deduced by NMR spectroscopy and chain ends) and occasionally by information on the presence of chemicals that may affect the process of hydrolytic degradation, such as additives, pollutants, and hydrophobic or hydrophilic species. The indication of chain ends is important because they condition the initial stages of hydrolytic degradation. However, the role of initial chain ends decreases progressively, since hydrolytic ester cleavages generate shorter and shorter segments and thus increase the number of chains with terminal –OH and –COOH groups [25]. It is important to note that the hydrophilicity of a polymer can also change during storage because of aging-related chain cleavages in the absence of precautions, such as vacuum or dry atmosphere.

PLA-1.4 Need for easily built informative abbreviations

Abbreviations like PLA, PLLA, PDLA, PDLLA, and PLAX (where X stands for percentage of L-lactic units) can be found in the literature and in the IUPAC Recommendation “Abbreviations of polymer names and guidelines for abbreviating polymer names” (PLA) [15]. However, none is informative enough to reflect the structural differences emphasized in sections PLA-1.2 and PLA-1.3. Therefore, the complex structures of lactic acid-based polymers require, not only distinctive names, but also corresponding, easily-built abbreviations adopted systematically by the users of the different products of the lactic acid-based polymer family.

PLA-2 Nomenclature rules

This section provides the rules for arriving at names and abbreviations for linear lactic acid-based polymers. The corresponding examples are discussed in sections PLA-3 and PLA-4. Some of these rules are applicable to non-linear lactic acid-based polymer segments present in non-linear macromolecules after suitable adaptation according to [12].

  • Rule 1: The preferred way to name a lactic acid-based polymer is by its structure-based name, constructed according to the IUPAC rules of polymer nomenclature [4], [8], [9], [10].

    Note 1: Lactic acid-based polymers derived from (R)- and/or (S)-lactic acid enantiomers are binary copolymers. Their structure-based names are thus based on the names of the corresponding SRUs (Fig. 1) separated by a slash/oblique stroke, as recommended for copolymers [6], [9].

    Note 2: When the structure-based nomenclature is not strictly applicable, the name is constructed according to the source-based nomenclature for copolymers [11] (see Rule 2).

    Note 3: For complex names requiring multiple sets of enclosing marks, the established nesting order for enclosing marks, …{[({[(…)]})]}…, is used [4], [7], [8], [9], [10], [11], [12], [13].

  • Rule 2: Lactic acid-based polymers can also be named according to the IUPAC rules for source-based nomenclature [9], [11].

    Note: In the IUPAC source-based nomenclature [11], recommendations to name polymers derived from cyclic monomers that are oligomers (dimer, trimer, etc.) of a smaller monomer are provided (see Note 3 in SB-2.2 [11]). However, the case of cyclic monomers composed of enantiomers is not considered in that document. The present recommendations address the specific case of lactides that are explicitly cyclic monomers of the dimer type.

  • Rule 3: The chain ends are specified as “α-endα-ω-endω” before “poly” [11].

    Note 1: This is essential in order to make a clear distinction between polymers derived from lactic acids and those derived from lactides, especially when the chain ends may affect hydrolytic degradation and other properties.

    Note 2: As monomer units are oriented, “endα” and “endω” correspond to E1 and E2 (PLA-1), respectively (see Note 1 in SB-4 [11]).

    Note 3: Because chain ends can change with time during storage and processing, the chemical nature of chain ends must be determined and quantified on ready-to-use polymers and not solely deduced from the mechanism of polymerization.

  • Rule 4: The chiral unit composition of lactic acid-based polymers is indicated as (a:b x) separated by a space from the name of the polymer, x indicating that numerals a and b correspond to the amount-of-substance fractions of (R)- and (S)-lactic units, respectively.

    Note 1: The order of citation in the parentheses is the same as in the name, i.e. R units before S units.

    Note 2: The terms “lactate” unit and “lactyl” unit, sometimes used in the literature to designate SRUs, are inappropriate or wrong, respectively. The use of “lactic” unit is recommended.

  • Rule 5: The chiral unit distribution in stereocopolymers deduced from the contents in m and r diads is indicated as (z % m diads), z being the numeral corresponding to the percentage [100m/(m + r)] of m diads. This specification is inserted after the composition in chiral units and a comma within the same set of parentheses.

    Note 1: In the absence of stereoselectivity, racemization, and/or transesterification, the value of z is given by the Bernoullian statistics applied to the composition of the feed in chiral monomers.

    Note 2: To date the only available analytical method to determine the amount of m and r diads in a polymer is NMR spectroscopy.

  • Rule 6: Lactic acid enantiomers and lactides are often combined with other types of monomers to make copolymers more complex than PLA homopolymers. In the case of copolymers composed of lactic acid-based monomers and achiral monomers, the IUPAC recommendations for indicating the composition is italicized a, b, c, …n; where x indicates that a, b, c, …n are the amount of substance fractions of the corresponding monomers or constitutional units expressed in the name as roman numerals when they are known, and according to the order of the corresponding monomers or constitutional units [9], which are usually cited in alphabetical order [6], [11].

    Note 1: The fractions a, b, c, … always refer to the monomeric units, irrespective of the number of monomeric units the actual sources contribute or the SRU contains. In the case of a source-based name, this means that the fractions are those derived from the name that would be constructed according to Note 3 in section SB-2.2 [11], even if a cyclic dimer or oligomer is used in the actual name (see Example 5 in PLA-3.6).

    Note 2: Even though the fractions a, b, c, … refer to the monomeric units, they are cited in the order the actual monomers or SRUs are cited in the name.

    Note 3: When the source is a cyclic monomer of the (1,4-dioxane-2,5-dione)-type comprising monomeric units differentiated by their side chains [a cycle composed of a hydroxyacetic unit and a (S)-lactic unit for example], the two monomeric units are considered independent and lead to two figures in the expression of the composition after the names (see Example 6 in PLA-3.6).

  • Rule 7: Following general principles and IUPAC recommendations [15], abbreviations are to be constructed from PLA as the generic acronym applicable to any of the poly(lactic acid)s and polylactides, complemented by the structural descriptors included in Rules 1, 2, 3, 4 and 5 whenever these descriptors play critical roles relative to material properties and hydrolytic degradation.

    The recommended generic abbreviation is then:

    endα,endωPLAX,z

    where X is a variable representing the content in S units present in the polymer (X=100a or 100b or 100c or … 100n depending on the location of the (S)-lactic unit in the name), and z is the percentage of m lactic unit diads.

    Note: The abbreviation of a polymer name must be introduced the first time the name appears in a text [15].

  • Rule 8: For copolymers of lactic acid and lactide monomers with at least one other monomer, the generic abbreviation (Rule 7) must be complemented by the abbreviation of the other unit and a number for the corresponding content.

    Note 1: Abbreviations for the monomeric units are listed according to the alphabetical order of the unit names.

    Note 2: Since, according to Rule 7, for lactic units only the content in S monomeric units is to be specified in the abbreviation, the sum of the contents in the abbreviation is then less than 100 %. The difference between the sum and 100 corresponds to the content in (R)-lactic units. (see Examples 6 and 7 in PLA-3.6).

    Note 3: When the name of a lactic acid-based polymer includes specific connectives, such as block, alt, stat, etc. [9], [11], according to [15] these connectives should appear as: b, a, s, etc. in the abbreviations (see Example 7 in PLA-3.6).

PLA-3 Nomenclature of lactic acid-based polyesters

For each item, the recommended structure-based name is given first, followed by the source-based name and the traditional name.

PLA-3.1 Homochiral polymers from the polycondensation of a lactic acid enantiomer

Lactic acid-based polyesters derived from the (R)- or the (S)-lactic acid enantiomer by polycondensation are named according to the rules for naming polymers [4], [8], [9], [10], [11] and chiral compounds [13] with endα=H and endω=OH (Table 3).

Table 3:

Structure and names of homochiral lactic acid-based polycondensates.

Structure-based names
α-hydro-ω-hydroxypoly{oxy[(1R)-1-methyl-2-oxoethylene]} α-hydro-ω-hydroxypoly{oxy[(1S)-1-methyl-2-oxoethylene]}
IUPAC source-based names
α-hydro-ω-hydroxypoly[(R)-lactic acid]

α-hydro-ω-hydroxypoly[(R)-2-hydroxypropanoic acid]
α-hydro-ω-hydroxypoly[(S)-lactic acid]

α-hydro-ω-hydroxypoly[(S)-2-hydroxypropanoic acid]

PLA-3.2 Stereocopolymers from the polycondensation of mixtures of lactic acid enantiomers

In the absence of racemization, the value of the ratio m/(m + r) is given by the Bernoullian statistics applied to the composition of the feed in enantiomers (Table 4).

Table 4:

Structure and names of lactic acid-based polycondensates derived from mixtures of lactic acid enantiomers.

Structure-based names
α-hydro-ω-hydroxypoly({oxy[(1R)-1-methyl-2-oxoethylene]}/{oxy[(1S)-1-methyl-2-oxoethylene]}) (a:b x, z % m diads)
IUPAC source-based names
α-hydro-ω-hydroxypoly{[(R)-2-hydroxypropanoic acid]-co-[(S)-2-hydroxypropanoic acid]} (a:b x, z % m diads)

α-hydro-ω-hydroxypoly{[(R)-lactic acid]-co-[(S)-lactic acid]} (a:b x, z % m diads)
  1. Note 1: In the above names, the connective -co- can be replaced by the more specific connective -stat- in the absence of racemization.

  2. Note 2: The polycondensation of racemic lactic acid generally gives an atactic polyester with equal contents (1:1) of R and S SRUs distributed at random (Bernoullian statistics). According to the rules for deriving polymer source-based names [11], the following names can be used in addition to the above source-based names:

  3. α-hydro-ω-hydroxypoly(rac-2-hydroxypropanoic acid) (0.5:0.5 x, 50 % m diads).

  4. Note 3: For the stereodescriptors d and l used for specifying the absolute configuration, cf. PLA-1.1 Table 1.

  5. Note 4: Following the principles of source-based nomenclature, it is clear that the names based on lactic acid do not correctly describe the chemical functionality of the resulting polymer, which is a polyester. Similarly, the polylactides usually designate an open-chain polyester, even though the name lactide itself refers to a cyclic structure.

PLA-3.3 Homochiral polymers from the ring-opening polymerization of homochiral lactide stereoisomers

In the absence of racemization, the polymerization of (R,R)-lactide and (S,S)-lactide yields homochiral polymerizates comparable to polycondensates derived from (R)-lactic acid and (S)-lactic acid, respectively (Table 5). However, chain ends may be different because they depend on the polymerization process and additionally on post-polymerization hydrolytic degradation (see the end of section PLA-1.3).

Table 5:

Structures and names of lactic acid-based polymers derived from the ring-opening polymerization of homochiral (R,R)- and (S,S)-lactides.

Structure-based names*
 α-endα-ω-endωpoly{oxy[(1R)-1-methyl-2-oxoethylene]} α-endα-ω-endωpoly{oxy[(1S)-1-methyl-2-oxoethylene]}
IUPAC approved source-based names for homochiral polylactides
α-endα-ω-endωpoly[(3R,6R)-3,6-dimethyl-1,4-dioxane-2,5-dione] α-endα-ω-endωpoly[(3S,6S)-3,6-dimethyl-1,4-dioxane-2,5-dione]
Other names

α-endα-ω-endωpoly[(R,R)-lactide]


α-endα-ω-endωpoly[(S,S)-lactide]
  1. *The structure-based names do not provide systematic correlation with the lactide-type sources, even if endα and endω are different from H and OH, since endα and or endω can also result from the end-capping of polycondensates of lactic acids.

  2. Note 1: Most industrially produced polylactides, often considered as poly[(S,S)-lactide)]s, are actually stereocopolymers, since their chains include small amounts of (R)-lactic units [29]. Therefore, they should not be referred to as poly[(S,S)-lactide)] (see PLA-2.3). Furthermore, they are formulated with various additives (nucleating agent, stabilizer, etc.).

  3. Note 2: Because of the presence of two stereogenic centers in a lactide molecule, the traditional names poly(L-lactide) and poly(D-lactide) are no longer acceptable.

PLA-3.4 Stereocopolymers from the ring-opening polymerization of the (R,S)-lactide (meso-lactide)

The structure-based name to be used for an ideally alternating polymer derived from meso-lactide is:

α-endα-ω-endωpoly{oxy[(1R)-1-methyl-2-oxoethylene)]oxy[(1S)-1-methyl-2-oxoethylene]}(0.5:0.5 x, 0 % m diads)

The IUPAC-approved source-based name is then:

α-endα-ω-endωpoly[(3R,6S)-3,6-dimethyl-1,4-dioxane-2,5-dione] (0.5:0.5 x, 0 % m diads)

and other names:

α-endα-ω-endωpoly(meso-lactide) (0.5:0.5 x, 0 % m diads).

Note: Despite the absence of racemization and transesterification, head-to-tail and head-to-head additions occur in the ROP of (R,S)-lactide (meso-lactide) and lead to partially syndiotactic stereocopolymers with z>0 (cf. PLA-3.5 and Table 6) instead of z=0, which is specific of head-to-tail enchainment.

Table 6:

Structure and names of irregular heterochiral stereocopolymers synthesized by ROP of mixtures of lactides.

Structure-based name
α-endα-ω-endωpoly({oxy[(1R)-1-methyl-2-oxoethylene]}/{oxy[(1S)-1-methyl-2-oxoethylene]}) (a:bx, z % m diads)
IUPAC source-based name

α-endα-ω-endωpoly[(3R,6R)-3,6-dimethyl-1,4-dioxane-2,5-dione]-co-[(3S,6S)-3,6-dimethyl-1,4-dioxane-2,5-dione] (a:b x, z % m diads)

Other name
α-endα-ω-endωpoly{[(R,R)-lactide]-co-[(S,S)-lactide]-co-[(R,S)-lactide]} (a:bx, z % m diads)*
  1. *General name corresponding to mixtures of the different lactides to be adapted according to feed composition.

    Note 1: Ideally, analyses necessary to identify the end-groups and to determine the values of a, b, and z must be performed on ready-to-use stereocopolymers and not deduced from the feed or from the mechanism of polymerization in order to take into account the effects of racemization and of post-polymerization changes in the SRUs distribution due to processing and aging.

    Note 2: In the case of an equimolar mixture of (R,R)-lactide and (S,S)-lactide (rac-lactide) in the absence of racemization and transesterification, the IUPAC-approved source-based name and the other name are, respectively:

  2. α-endα-ω-endωpoly[(3R,6R)-3,6-dimethyl-1,4-dioxane-2,5-dione]-co-[(3S,6S)-3,6-dimethyl-1,4-dioxane-2,5-dione] (0.5:0.5 x, >50 % m diads)

  3. and

  4. α-endα-ω-endωpoly{[(R,R)-lactide]-co-[(S,S)-lactide]} (0.5:0.5 x, >50 % m diads).

  5. in which endα, endω and z depend on the history of the polymer.

  6. Note 3: In the case of the sole meso-lactide that results from head-to-head and head-to-tail lactide additions, the source-based name is generally of the form:

  7. α-endα-ω-endωpoly[(R,S)-lactide] (0.5:0.5 x, z % m diads).

  8. Note 4: It is important to note that in addition to a:b and z, other information may be necessary to precisely identify some members of the family having the same a,b and z values, such as stereocopolymers and block copolymers with a:b=0.5:0.5 and z=100 (or ≈100).

PLA-3.5 Stereocopolymers from the ring-opening polymerization of meso-lactide and mixtures of lactide stereoisomers

In the absence of racemization, the ROP polymerization of a feed composed of mixtures of two or three of the lactides or composed of the sole meso-lactide with head-to-tail and head-to-head pair additions, stereocopolymers are formed. As emphasized in section PLA-1.2, transesterification reactions may change the statistical distribution of SRUs that resulted from the polymerization process. In parallel, aging-based cleavage may change both the nature of chain ends and the distribution of SRUs (see section PLA-1.3). Therefore, the number of possible stereocopolymers is very high and the structure-based naming of one of them requires the specification of SRUs composition and SRUs distribution as referred to diads via z the percentage of m diads whenever these indications are necessary in complement to the indication of endα and endω (Table 6).

PLA-3.6 Examples of abbreviations for typical lactic acid-based polymers

Table 7 shows the results of the application of Rule 7 to abbreviate the source-based names of polymers obtained from the different sources individualized from PLA-3.1 to PLA-3.5, followed by examples of abbreviations of specific names constructed according to Rules 1 to 6 listed in PLA-2.

Table 7:

Application of Rule 4 in PLA-2 to abbreviate the names of some typical lactic acid-based polymers in the absence of racemization and/or transesterification.

Monomers Polymer
Abbreviation elements
Abbreviations
Source-based name Base Descriptors
Eα* Eω* % S % m
Any Lactic acid-based polymer PLA PLA
(S)-lactic acid α-hydro-ω-hydroxypoly[(S)-lactic acid] PLA H OH 100 100 H,OH-PLA100,100
(R)-lactic acid α-hydro-ω-hydroxypoly[(R)-lactic acid] PLA H OH 0 100 H,OH-PLA0,100
(RS)-lactic acid α-hydro-ω-hydroxypoly[(RS)-lactic acid] PLA H OH 50 50 H,OH-PLA50,50
a (R)-lactic acid + b (S)-lactic acid α-hydro-ω-hydroxypoly(R)-lactic acid)-co-(S)-lactic acid) (a:b x, z % m diads) PLA H OH X z H,OH-PLA100b,z
(S,S)-lactide α-endα-ω-endωpoly[(S,S)-lactide] PLA endα endω 100 100 α-endα-ω-endω-PLA100,100
(R,R)-lactide α-endα-ω-endωpoly[(R,R)-lactide] PLA endα endω 0 100 α-endα-ω-endω-PLA0,100
rac-lactide α-endα-ω-endωpoly[(RS)-lactide] (0.5:0.5 x, z % m diads) PLA endα endω 50 Z α-endα-ω-endω-PLA50,z
meso-lactide α-endα-ω-endωpoly(meso-lactide)(0.5:0.5 x, 0 % m diads) PLA endα endω 50 0 α-endα-ω-endω-PLA50,0**
a (S,S)-lactide + b (R,R)-lactide (interchange) α-endα-ω-endωpoly{[(R,R)-lactide]-co-[(S,S)-lactide]}(a:bx, z % m diads) PLA endα endω b Z α-endα-ω-endω-PLA100b,z
a glycolide + b (S,S)-lactide + c (R,R)-lactide α-endα-ω-endωpoly{(glycolide)-co-[(R,R)-lactide]-co-[(S,S)-lactide]}(a:b:cx, z % m diads) PGALA endα endω c Z α-endα-ω-endω-PGA100aLA100c,z
  1. *It is important to take into account that Eα and Eω, which resulted from the polycondensation of lactic acids or from the ROP of lactides, may be changed later on. This is the case when chain ends are capped and during the hydrolytic degradation of lactide-based polymers if Eα and Eω resulting from the ROP initiation and/or termination are different from H and OH. In any case, hydrolytic degradation minimizes the influence of initial chain ends because of the progressive formation of more and more H and OH chain ends, a process that makes instantaneous degradation resembling more and more that of lactic acid-based polycondensates.

  2. **Abbreviation specific to poly(meso-lactide) when chain growth is proven to occur by head-to-tail enchainment only.

  • Example 1: Abbreviation for a polymer of rac-lactic acid named: “α-hydro-ω-hydroxypoly{[(R)-lactic acid]-co-[(S)-lactic acid]} (0.5:0.5 x)”:

    H,OHPLA50

  • Example 2: Abbreviation for a lactic acid stereocopolymer of the polycondensate-type named: “α-hydro-ω-hydroxypoly{[(R)-lactic acid]-co-[(S)-lactic acid]} (0.2:0.8 x, 80 % m diads)”:

    H,OHPLA80,80

  • Example 3: Abbreviation for a lactic acid-based stereocopolymer of the polymerizate-type named: “α-hydro-ω-[2-(2,5-dioxo-2,5-dihydro-1H-pyrrol-1-yl)ethoxy]poly{[(3R,6R)-3,6-dimethyl-1,4-dioxane-2,5-dione]-co-[(3S,6S)-3,6-dimethyl-1,4-dioxane-2,5-dione]} (0.4:0.6 x, z % m diads)”:

    H,DDPEPLA60,z

  • Example 4: The source-based name of a lactic acid-based polycondensate composed on a molar basis of 30 % of 2-hydroxybutanoic units and 30 % and 40 % of (R)- and (S)-lactic units, respectively, is: “α-hydro-ω-hydroxypoly{[(2-hydroxybutanoic acid)]-co-[(R)-lactic acid]-co-[(S)-lactic acid]} (0.30:0.30:0.40 x)” where the amount-of-substance fraction of S units is c=0.40.

    To fully reflect the order of the name(s), the abbreviation is:

    H,OHPHB30LA40

    Note: The descriptor z is not available.

  • Example 5: The source-based name of a polymer synthesized by ring-opening polymerization of a mixture of 40 % of the cyclic dimer of hydroxyethanoic acid (also known as hydroxyacetic or glycolic acid (abbreviation: GA)) and 60 % of (R,S)-lactide is: “α-endα-ω-endωpoly{(1,4dioxane-2,5-dione)-co-[(R,S)-lactide]} (0.4:0.3:0.3 x), and the abbreviation is:

    endα,endωPGA40LA30

  • Example 6: The source-based name of a polymer obtained by ring-opening polymerization of a mixture of 40 % of a (1,4-dioxane-2,5-dione)-type cyclic monomer composed of a (S)-lactic unit and a glycolic unit and 60 % of (R,S)-lactide) is: “α-endα-ω-endωpoly{[(R,S)-lactide]-co-[(3S)-3-methyl-1,4-dioxane-2,5-dione]} (0.3:0.5:0.2 x)”, and the abbreviation is:

    endα,endωPLA50GA20

  • Example 7: The source-based name of a block copolymer made by polymerization of a mixture of 40 % of glycolide (the 1,4-dioxane 2,5-dione cyclic dimer of glycolic acid and 60 % of (S,S)-lactide using α-methyl-ω-hydroxypolyoxirane (Mr,n=2000) as initiator is: “α-methyl-ω-hydroxy{[polyoxirane (Mr,n=2000)]-block-[poly{[(3S,6S)-3,6-dimethyl-1,4-dioxane-2,5-dione]-co-(1,4-dioxane-2,5-dione)} (0.6:0.4 x)]}”.

    To fully reflect the polymer name, the abbreviation is:

    CH3,OH[PEO2000bPLA60GA40]

    The end group of the polyester block is an alcohol group OH according to the use of an alcohol to polymerize these cyclic monomers.

PLA-4 Application of the terminology of biorelated polymers to lactic acid-based polymers

IUPAC recommendations relating to the terminology of polymers must be applied to lactic acid-based polymers. People active in the science and application of this particular class of chiral polymers are strongly encouraged to look at the specific IUPAC recommendations for the terminology of biorelated polymers [29]. This section aims to complement some of the terms defined in this document in order to take into account the particularities of lactic acid-based polymers.

Cross references to terms defined elsewhere in this section are denoted in italic typeface.

PLA-4.1 asymmetric enantiomer-differentiating polymerization

Asymmetric polymerization in which, starting from a mixture of enantiomeric monomer molecules, only one enantiomer is polymerized [20].

PLA-4.2 asymmetric polymerization

Polymerization that proceeds in an unsymmetrical manner in terms of chirality under the influence of chiral features present in one or more components of the reaction system [21].

PLA-4.3 Bernoullian distribution

The Bernoullian distribution is a discrete distribution having two possible outcomes labelled by n=0 and n=1, in which n=1 (“success”) occurs with probability p and n=0 (“failure”) occurs with probability q=1 – p, where 0<p<1. It is a special case of a binomial distribution corresponding to a random distribution [31].

Note: Since enantiomers have the same reactivity, this statistic applies to units in the case of the polycondensation of mixtures of (R) and (S) lactic acid, and to pairs of units in the case of the ring-opening polymerization of mixtures of (S,S) and (R,R) lactides.

PLA-4.4 bioassimilation

Conversion of a substance into biomass by biochemical processes [30].

Note: Lactic acid-based polyesters are not biodegradable, but they can be bioassimilated, since the ultimate degradation by-products are lactic acid metabolites.

PLA-4.5 biobased

Composed of or derived from, in whole or in part, biological products derived from the biomass (including plant, animal, and marine or forestry materials) [30].

Note: Lactic acids are obtained from the fermentation of natural products, such as corn or sugars, or from oil-based chemistry. Only the lactic acid-based polymers derived from natural sources are biobased.

PLA-4.6 biodegradable

Qualifier for a substance or device that undergoes biodegradation [30].

Note 1: High molecular mass lactic acid-based polyesters are not degraded by animal cells or environmental micro-organisms. Therefore, the use of the term biodegradable is inappropriate and misleading, unless biodegradation under particular conditions is proved. The correct qualification is “hydrolytically degradable” (see “degradable” in [30]).

Note 2: As hydrolytic degradation leads to low molar mass end-products that can be biodegraded, excreted via kidneys and lungs after biomineralisation, or biorecycled by living organisms or micro-organisms, lactic acid-based polyesters are bioresorbable [30].

PLA-4.7 biodegradation

Degradation caused by an enzymatic process resulting from the action of living cells [16], [30].

Note 1: High molecular mass lactic acid-based polyesters are not considered biodegradable, despite the fact that some environmental microorganisms have been reported as capable of causing degradation.

Note 2: Oligomers formed during hydrolytic degradation of lactic acid-based polyesters are biodegraded by bacteria and fungi and assimilated by earthworms. Therefore, lactic acid-based polyesters can be bioassimilated.

PLA-4.8 bioerosion

Surface degradation resulting from the action of cells [30].

Note 1: High molecular mass lactic acid-based polyesters are not bioerodible.

Note 2: Some non-human enzymes like proteinase K can cause erosion of lactic acid-based polyesters due to surface enzymatic degradation of lactic acid-based polyesters (see enzymatic degradation in [30]).

Note 3: When hydrophobic compounds are present in a lactic acid-based polymeric matrix, water uptake can be so low that surface hydrolysis is faster than the bulk hydrolysis and causes erosion that can be confused with enzymatic erosion or bioerosion (see these terms in [30]).

PLA-4.9 biopolymer

Substance composed of one type of biomacromolecules [30].

Note 1: So far, no living system has been reported as a source of lactic acid-based polymers. Therefore, using the term biopolymer for lactic acid-based polyesters is inappropriate and misleading, unless the synthesis by animal, microbial, or plant cell activity is proved.

Note 2: Lactic acid-based polymers are biobased artificial polymers (see biobased and artificial in [30]).

PLA-4.10 biorelated

Qualifier for actions or substances that are connected to living systems [30].

Note: This qualifier can be used for lactic acid-based polyesters when appropriate according to origin or application.

PLA-4.11 bioresorbable

Qualifier used to indicate that a compound or a device is bioresorbed, i.e., totally eliminated or bioassimilated by an animal or a human body [30].

Note: Lactic acid-based polyesters are bioresorbable after preliminary hydrolytic degradation (see bioresorption and bioresorbability in [30]).

PLA-4.12 chiral

Having the property of chirality [16].

Note: Lactic acid-based polyesters are chiral polymers.

PLA-4.13 composting

Process of biological decomposition of organic matter performed by microorganisms, mostly bacteria and fungi [30]. (See biodegradation.)

Note 1: Lactic acid-based polyesters can be composted industrially provided that they are first hydrolytically degraded at a temperature above the glass transition temperature Tg [16], otherwise degradation is very slow.

Note 2: Packaging made of semi-crystalline lactic acid-based polyesters may not be compostable in a home compost bin.

PLA-4.14 degradable

Qualifier to a substance that can undergo physical and/or chemical deleterious changes of some properties, especially of integrity, under stress conditions [30].

Note: Lactic acid-based polyesters are degradable polymers and more precisely hydrolytically degradable polymers.

PLA-4.15 heterogeneous degradation

Degradation or biodegradation occurring at different rates depending on the location within a matrix [30].

Note: Heterogeneous degradation is observed when the soluble degradation by-products that participate in the autocatalysis of the hydrolytic degradation of lactic acid-based polyester matrices are degraded faster than they diffuse outside.

PLA-4.16 homogeneous degradation

Degradation that occurs at the same rate regardless of the location within a polymeric item [30].

Note: Homogeneous degradation occurs in aqueous media when soluble degradation by-products that participate in the autocatalyzed hydrolysis diffuse faster out of the matrix than they degrade inside. Homogeneous degradation is also observed in air or in a medium that is not a solvent for degradation by-products, because these products cannot diffuse to such outer media.

PLA-4.17 interchange reaction

Reaction that results in an exchange of atoms or groups between a polymer and low molar mass molecules, between polymer molecules, or between sites within the same macromolecule [16].

Note: An interchange reaction that occurs with lactic acid polymers is called transesterification.

PLA-4.18 polycondensation

Polymerization in which the growth of polymer chains proceeds by condensation reactions between molecules of all degrees of polymerization [11], [16].

PLA-4.19 polymerization

The process of converting a monomer or mixture of monomers into a polymer [16].

PLA-4.20 ring-opening polymerization

Polymerization in which a cyclic monomer yields a monomeric unit that is acyclic or that contains fewer cycles than the monomer [11], [16].

PLA-4.21 stereocopolymer

Copolymer formed of constitutional repeating units that are constitutionally identical but configurationally different.

Note: In transesterification and hydrolytic degradation reactions of lactic-acid stereocopolymers, the intrachain ester bonds in m, r, and heterochiral short sequences exhibit different reactivity.

PLA-4.22 tacticity

The orderliness of the succession of configurational repeating units in the main chain of a regular macromolecule, a regular oligomer molecule, a regular block, or a regular chain [16].

Note: The tacticity of lactic acid-based polyesters composed of (R)- or (S)-lactic units depends on the chiral unit distribution.

PLA-4.23 toxicity

Consequence of adverse effects caused by a substance on a living system [30].

Note 1: Lactic acid-based polyesters are not toxic unless toxic impurities or toxic drugs are present in derived matrices and released in amounts and rates causing toxicity.

Note 2: In vivo, the hydrolytic degradation of lactic acid-based polyesters is sometimes considered a shortcoming because of the generation of soluble acidic oligomers and lactic acid. This is not an appropriate statement, because the release of soluble oligomers occurs at a very slow rate with continuous elimination in a buffered environment, where any acidity is neutralized and a negligible concentration is maintained. Nevertheless, the elimination of the degradation products requires cell and biological activities that are unavoidable sources of mild local inflammation that should not be confused with toxicity [30].

PLA-4.24 transesterification

See the interchange reaction entry PLA-4.17.

PLA-5 Membership of sponsoring bodies

Membership of the IUPAC Polymer Division Committee for the period 2016–2017 was as follows:

President: G. T. Russell (New Zealand); Vice President: C. K. Luscombe (USA); Secretary: M. G. Walter (USA); Past President: M. Buback (Germany); Titular Members: S. Beuermann (Germany); J. He (China); I. Lacík (Slovakia); M. Sawamoto (Japan); N. Stingelin (UK); Y. Yagci (Turkey); Associate Members: R. C. Hiorns (France); M. Hess (Germany); R. Hutchinson (Canada); G. Moad (Australia); R. Advincula (USA); D. Auhl (Netherlands); National Representatives: R. Adhikari (Nepal); M. C. H. Chan (Malaysia); C. dos Santos (Brazil); V. P. Hoven (Thailand); C.-S. Hsu (Taiwan); R. G. Jones (UK); D. S. Lee (Korea); M. Malinconico (Italy); O. Philippova (Russia); J. Vohlídal (Czech Republic).

Membership of the Subcommittee on Polymer Terminology (2013–2019) was as follows:

Chair: R. G. Jones (UK), 2006–2013; R. C. Hiorns (France), from 2014; Secretary: R. C. Hiorns (France), 2010–2013; C. K. Luscombe (USA), 2014–2015; P. D. Topham (UK), from 2016; Members: R. Adhikari (Nepal); G. Allegra (Italy); M. Barón (Argentina); R. Boucher (UK); M. C. H. Chan (Malaysia); T. Chang (Korea); J. Chen (USA); C. Fellows (Australia); A. Fradet (France); K. Hatada (Japan); J. He (China); K.-H. Hellwich (Germany); M. Hess (Germany); P. Hodge (UK); A. D. Jenkins (UK); J.-I. Jin (Korea); J. Kahovec (Czech Republic); T. Kitayama (Japan); P. Kratochvíl (Czech Republic); P. Kubisa (Poland); S. V. Meille (Italy); I. Meisel (Germany); G. Moad (Australia); W. Mormann (Germany); T. Nakano (Japan), C. K. Ober (USA); S. Penczek (Poland); M. D. Purbrick (UK); G. Russell (New Zealand); C. dos Santos (Brazil); C. Scholz (USA); S. Słomkowski (Poland); D. W. Smith (USA), R. F. T. Stepto[1] (UK); N. Stingelin (UK); J.-P. Vairon (France); M. Vert (France); J. Vohlídal (Czech Republic); M. G. Walter (USA); E. S. Wilks (USA).


Article note

Sponsoring body: IUPAC Polymer Division, Sub-Committee on Polymer Terminology (see more details in PLA-5).


  1. Funding: IUPAC Polymer Division IV, Grant Number: 2012-042-1-400.

References

[1] H. Tsuji. “Polylactides”, in Biopolymers: Biology, Chemistry, Biotechnology, Applications, Polyesters III, Y. Doi, A. Steinbüchel (Eds.), pp. 129–178, Wiley-VCH Verlag GmbH, Weinheim, Germany (2002).10.1002/3527600035.bpol4005Suche in Google Scholar

[2] A.-C. Albertson, I. K. Varma, B. Lochab, A. Finne-Wistrand, K. Kumar. “Design and synthesis of different types of poly(lactic acid)”, in Poly(lactic acid): Synthesis, Structures, Properties, Processing, and Applications, R. Auras, L.-T. Lim, S. E. M. Selke, H. Tsuji (Eds.), pp. 43–58, J. Wiley & Sons, New Jersey, USA (2010).10.1002/9780470649848.ch4Suche in Google Scholar

[3] M. Vert. Eur. Polym. J. 68, 516 (2015).10.1016/j.eurpolymj.2015.03.051Suche in Google Scholar

[4] IUPAC. Pure Appl. Chem. 74, 1921 (2002). (Ref. 9, chapter 15).10.1351/pac200274101921Suche in Google Scholar

[5] IUPAC. Pure Appl. Chem. 65, 1561 (1993). (Ref. 9, chapter 16).10.1351/pac199365071561Suche in Google Scholar

[6] IUPAC. Pure Appl. Chem. 66, 873 (1994). (Ref. 9, chapter 17).10.1351/pac199466040873Suche in Google Scholar

[7] IUPAC. Pure Appl. Chem. 80, 201 (2008).10.1351/pac200880020201Suche in Google Scholar

[8] IUPAC. Pure Appl. Chem. 89, 1695 (2017).10.1515/pac-2016-0502Suche in Google Scholar

[9] IUPAC. Compendium of Polymer Terminology and Nomenclature, IUPAC Recommendations 2008 (The “Purple Book”). Edited by R. G. Jones, J. Kahovec, R. Stepto, E. S. Wilks, M. Hess, T. Kitayama, W. V. Metanomski, RSC Publishing, Cambridge, UK (2009).Suche in Google Scholar

[10] IUPAC. Pure Appl. Chem. 84, 2167 (2012).10.1351/PAC-REP-12-03-05Suche in Google Scholar

[11] IUPAC. Pure Appl. Chem. 88, 1073–1100 (2016).10.1515/pac-2015-0702Suche in Google Scholar

[12] IUPAC. Pure Appl. Chem. 69, 2511 (1997).10.1351/pac199769122511Suche in Google Scholar

[13] IUPAC. Nomenclature of Organic Chemistry IUPAC Recommendations and Preferred Names 2013 (The “Blue Book”). Edited by H. A. Favre, W. H. Powell, XLIII, 1568 pp., RSC Publishing, Cambridge, UK (2014); a list of errata can be found on the web at the address http://www.sbcs.qmul.ac.uk/iupac/bibliog/BBerrors.html.Suche in Google Scholar

[14] IUPAC. Pure Appl. Chem. 67, 1307 (1995).10.1351/pac199567081307Suche in Google Scholar

[15] IUPAC. Pure Appl. Chem. 86, 1003 (2014).10.1515/pac-2012-1203Suche in Google Scholar

[16] IUPAC. Compendium of Chemical Terminology, 2nd ed. (the “Gold Book”). Compiled by A. D. McNaught and A. Wilkinson. Blackwell Scientific Publications, Oxford (1997). XML on-line corrected version: http://goldbook.iupac.org (2006) created by M. Nic, J. Jirat, B. Kosata; updates compiled by A. D. Jenkins. (https://doi.org/10.1351/goldbook).Suche in Google Scholar

[17] J. Kleine, H. Kleine. Makromol. Chem. 30, 23 (1959).10.1002/macp.1959.020300102Suche in Google Scholar

[18] A.-C. Albertsson, I. K. Varma. “Aliphatic polyesters: synthesis, properties and applications”, in Degradable Aliphatic Polyesters, A.-C. Albertsson (Ed.), pp. 1–40, Advances in Polymer Science, vol. 157. Springer, Berlin, Heidelberg (2002).10.1007/3-540-45734-8_1Suche in Google Scholar

[19] J. C. Buffet, J. Okuda. Polym. Chem. 2, 2758 (2011).10.1039/c1py00206fSuche in Google Scholar

[20] IUPAC. Pure Appl. Chem. 74, 915 (2002).10.1351/pac200274060915Suche in Google Scholar

[21] M. Bero, J. Kasperczyk, Z. Jedlinski. Makromol. Chem. 191, 2287 (1990).10.1002/macp.1990.021911007Suche in Google Scholar

[22] J. Coudane, C. Ustariz-Peret, G. Schwach, M. Vert. J. Polym. Sci.: Polym. Chem. Ed. 35, 1651 (1997).10.1002/(SICI)1099-0518(19970715)35:9<1651::AID-POLA6>3.0.CO;2-USuche in Google Scholar

[23] M. T. Zell, B. E. Padden, A. J. Paterick, K. A. M. Thakur, R. T. Kean, M. A. Hillmyer, E. J. Munson. Macromolecules 35, 7700 (2002)10.1021/ma0204148Suche in Google Scholar

[24] G. G. Pitt, M. M. Gratzl, G. L. Kimmel, J. Surles, A. Sohindler. Biomaterials 2, 215 (1981).10.1016/0142-9612(81)90060-0Suche in Google Scholar

[25] S. Li, M. Vert. “Biodegradation of aliphatic polyesters”, in Biodegradable Polymers, Principles & Applications, G. Scott, G. Gilead (Eds.), pp. 71–131, Chapman & Hall, London, UK (2003).10.1007/978-94-017-1217-0_5Suche in Google Scholar

[26] M. Vert. “Bioresorbable polymers and their operation fields”, in Biomaterials in Surgery, G. H. I. M. Walenkamp (Ed.), pp. 97–101, Georg Thieme Verlag, Stuttgart, Germany (1998).Suche in Google Scholar

[27] I. Grizzi, H, Garreau, S. Li, M. Vert. Biomaterials 16, 305 (1995).10.1016/0142-9612(95)93258-FSuche in Google Scholar

[28] M. Vert. e-Polymers 008 (2005).10.1088/1126-6708/2005/01/008Suche in Google Scholar

[29] P. Gruber, M. O’Brien. “Polylactides ‘NatureWorks™ PLA’”, in Biopolymers: Biology, Chemistry, Biotechnology, Applications, Polyesters III, Y. Doi, A. Steinbüchel (Eds.), p. 235, Wiley-VCH Verlag GmbH, Weinheim, Germany (2002).10.1002/3527600035.bpol4008Suche in Google Scholar

[30] IUPAC. Pure Appl. Chem. 84, 377 (2012).10.1351/PAC-REC-10-12-04Suche in Google Scholar

[31] A. Hald. A History of Probability and Statistics and Their Applications before 1750, John Wiley & Sons Inc., Hoboken, NJ, USA (2003).Suche in Google Scholar

Received: 2017-10-26
Accepted: 2019-07-19
Published Online: 2019-11-29
Published in Print: 2020-01-28

©2020 IUPAC & De Gruyter. This work is licensed under a Creative Commons Attribution-NonCommercial-NoDerivatives 4.0 International License. For more information, please visit: http://creativecommons.org/licenses/by-nc-nd/4.0/

Artikel in diesem Heft

  1. Frontmatter
  2. In this issue
  3. Preface
  4. The 24th IUPAC International Conference on Physical Organic Chemistry (ICPOC 24)
  5. Conference papers
  6. Binding motifs of cisplatin interaction with simple biomolecules and aminoacid targets probed by IR ion spectroscopy
  7. Synthesis and reactivity/stability study of double-functionalizable strained trans-cyclooctenes for tetrazine bioorthogonal reactions
  8. Counterion effect on sulfonatocalix[n]arene recognition
  9. Ping-pong tunneling reactions, part 2: boron and carbon bell-clapper rearrangement
  10. Insights into the photochemistry of 5-aminotetrazole derivatives with applications in coordination chemistry. Effect of the saccharyl moiety on the photostability
  11. A green road map for heterogeneous photocatalysis
  12. Computational simulation of mechanism and isotope effects on acetal heterolysis as a model for glycoside hydrolysis
  13. Coordination of tridentate ligands to SmI2: cooperativity and incremental effect on reduction potential and on reactivity
  14. An efficient and eco-friendly method for the thiol-Michael addition in aqueous solutions using amino acid ionic liquids (AAILs) as organocatalysts
  15. Changing the kinetic order of enantiomer formation and distinguishing between iminium ion and imine as the reactive species in the asymmetric transfer hydrogenation of substituted imines using a cyclopentadienyl iridium (III) complex
  16. Oxidative sulfamidation as a route to N-heterocycles and unsaturated sulfonamides
  17. Well-defined nickel(II) tetrazole-saccharinate complex as homogeneous catalyst on the reduction of aldehydes: scope and reaction mechanism
  18. Unravelling mechanistic insights in the platinum-catalysed dihydroalkoxylation of allenes
  19. The VES KM: a pathway for protein folding in vivo
  20. IUPAC Recommendations
  21. Nomenclature and terminology for linear lactic acid-based polymers (IUPAC Recommendations 2019)
Heruntergeladen am 26.11.2025 von https://www.degruyterbrill.com/document/doi/10.1515/pac-2017-1007/html
Button zum nach oben scrollen