Abstract
The synthesis of α-aryl-α-aminophosphonates was performed by the three-component Kabachnik-Fields reaction of primary amines, benzaldehyde derivatives and dialkyl phosphites in a continuous flow microwave reactor. The target compounds could be obtained in high (~90%) yields without any catalyst in simple alcohols as the solvent. The flow process elaborated required shorter reaction times and lower excess of the reagent, as compared to the “traditional” batch reactions, and allowed the synthesis of the α-aminophosphonates on a somewhat larger scale.
Introduction
In the past few years, flow reactors have started to become common in modern laboratories [1]. Their advantages, such as the more efficient control of reaction conditions, the easier real time analytics and the safer handling of hazardous reactions slowly convince the academic and industrial community [2]. Moreover, the flow reactions may be significantly better in productivity, selectivity and yields, as compared to batch approaches [3].
In microwave (MW) chemistry, due to the limited geometry of the MW devices, the scale-up of reactions is a real challenge [4]. By the use of flow chemistry, this problem can be eliminated [5]. During the last decade, several applications of continuous flow MW reactors were reported, however, due to the many non-professional MW reactors (“fabricated” from MW ovens), the reproduction of these approaches is problematic [6].
α-Aminophosphonates are the structural P-analogs of natural α-amino acids. Due to this similarity, they have potential biological activity [7]. The Kabachnik-Fields condensation (I) and the aza-Pudovik reaction (II) are the two main synthetic routes to α-aminophosphonate derivatives (Scheme 1) [8]. In the Kabachnik-Fields reaction, three components, an amine, an oxo compound and a >P(O)H reagent react in a one-pot manner [9], while in the aza-Pudovik reaction, a >P(O)H reagent is added to the C=N double bond of an imine [10]. Although several exotic catalytic systems have been reported, in most cases, there is no need for any catalysts and/or solvents under MW irradiation [11]. Moreover, under MW conditions, the reactions become faster and more efficient [12]. A good possibility for the scale-up of the synthesis of α-aminophosphonates is to use a flow MW reactor instead of the batch equipment [13].

Procedures for the synthesis of α-aminophoshonates.
In the literature, there are two publications dealing with the continuous preparation of α-aminophoshonates, however, in these procedures, the aza-Pudovik approach (II) was applied.
Stevens and co-workers investigated the aza-Pudovik reaction of α-aliphatic and α-aromatic imines with dimethyl phosphite in a microreactor (Scheme 2) [14]. In the first stage, the reaction conditions were optimized in a batch reactor, and then the best set of conditions was transferred to the flow system. The α-aminophosphonates were obtained in yields of 68–82% after a relatively long (78 min) residence time.

Aza-Pudovik reaction of imines with dimethyl phosphite in a microreactor.
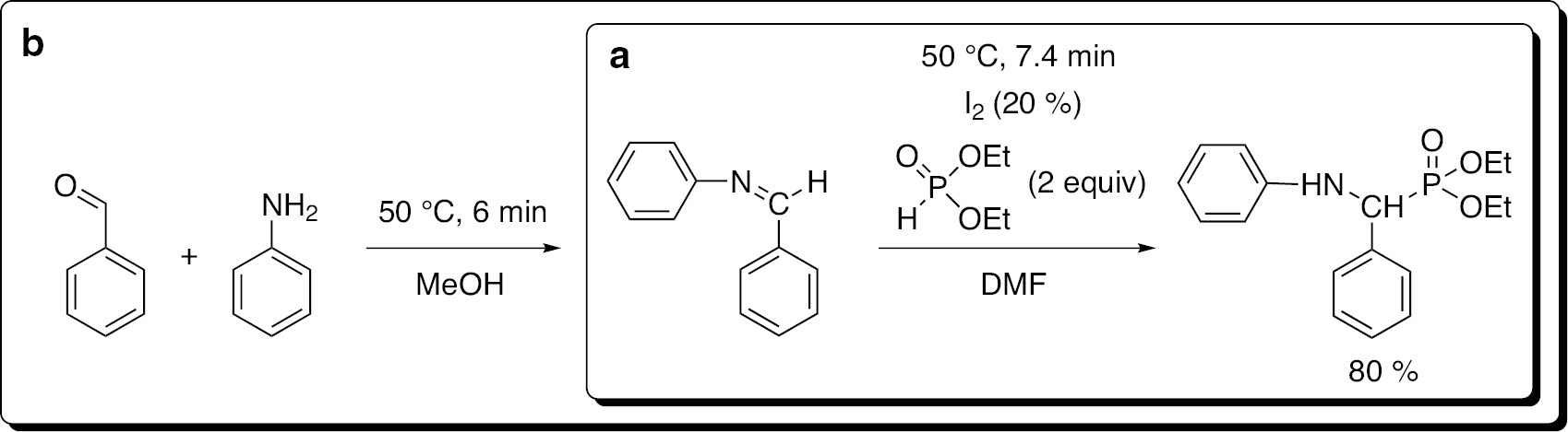
Britton investigated the synthesis of diethyl (phenylamino)benzylposphonate in a special thin-film vortex fluidic device (VFD) (Scheme 3) [15]. In the first instance (a), the traditional aza-Pudovik reaction of N-benzylideneaniline and diethyl phosphite was elaborated using iodine as the catalyst and DMF as the solvent in one device. As a continuation, an imine formation in methanol followed by an iodine-catalyzed Pudovik reaction in DMF was carried out in one system (b). The authors claimed in a later review that the two-step reaction allowed a more efficient product formation as compared to the three-component accomplishment [16].

Synthesis of diethyl (phenylamino)benzylposphonate by aza-Pudovik reaction.
The continuous flow synthesis of α-aminophosphonates by the one-pot Kabachnik-Fields condensation (I) was mentioned only in a PhD dissertation in the group of Stevens [17]. The three-component reaction of isopropylamine, benzaldehyde and dialkyl phosphites in an alcohol as the solvent was studied in a microreactor (Scheme 4). The purpose of adding one equivalent of trialkyl orthoformate to the mixture was to eliminate the water formed in the reaction. Although several different circumstances were tried out, a significant amount of α-hydroxyphosphonate was also formed beside the expected α-aminophosphonate. According to the author, the three-component synthesis was not efficient due to the low conversion and the poor selectivity towards the α-aminophosphonates.

Attempts to synthesize α-aminophosphonates by Kabachnik-Fields reaction.
In the field of continuous flow multicomponent reactions, it is known that selectivity problems may occur [18]. Similar problems were reported in different multicomponent reactions, such as cyclizations, condensations and also the regular Mannich reactions, which may be solved by reducing the number of the components [19].
In this paper, we aimed at developing a MW-assisted continuous flow method for the synthesis of α-aryl-α-aminophosphonates by the three-component Kabachnik-Fields reaction of primary amines, aldehydes and dialkyl phosphites. Our purpose was to find the optimum conditions for the selective formation of the α-aminophosphonates in a flow MW reactor, and to elaborate the MW-assisted synthesis of the title compounds on a bigger scale.
Experimental
General
HPLC-MS experiments were performed with an Agilent 1200 liquid chromatography system coupled with a 6130 quadrupole mass spectrometer equipped with an ESI ion source (Agilent Technologies, Palo Alto, CA, USA). Analysis was performed at 40°C on a Gemini C18 column (150 mm×4.6 mm, 3 ƒμm; Phenomenex, Torrance, CA, USA) with a mobile phase flow rate of 0.6 mL/min. Composition of eluent A was 0.1% NH4HCO3 in water; eluent B was 0.1% HCO2NH4 and 8% water in acetonitrile. 0→3 min 5% B, 3→13 min gradient, 13→20 min 95% B. The injection volume was 5 μL. The chromatographic profile was registered at 222 nm. The MSD operating parameters were as follows: positive ionization mode, scan spectra from m/z 100 to 1000, drying gas temperature 300°C, nitrogen flow rate 12 L/min, nebulizer pressure 60 psi, capillary voltage 2500 V.
High resolution mass spectrometric measurements were performed using a TripleTOF 5600+ mass spectrometer in positive electrospray mode.
The 31P NMR spectra were obtained on a Bruker AV-300 spectrometer at 121.5 MHz. Chemical shifts are downfield relative to 85% H3PO4.
Equipment
The continuous flow reactions were performed in a self-developed continuous flow system comprising a 300 W CEM Discover focused microwave reactor equipped with a CEM 10 mL Flow Cell Accessory continuous flow unit (irradiated volume 7 mL) [20, 21], a Gilson 332 dual HPLC pump, an HPLC backpressure regulator with a 250 psi (17.2 bar) cartridge, and a cooler. The temperature was monitored and controlled by IR sensor, which is located below the MW cavity floor and measures the temperature on the bottom of the vessel. Teflon® PFA tubes with outside diameter: 0.125″ (3.175 mm), and inside diameter 0.064″ (1.575 mm) were used. The exact lengths and volumes of each tube parts are shown in Fig. 1. All of the tubes, nuts and ferrules applied were fully compatible with a regular HPLC system.

Design parameters of the continuous flow system.
General procedure for the batch synthesis of α-aryl-α-aminophosphonates by Kabachnik-Fields reaction
A mixture of 1.0 mmol of aniline (0.09 mL), 1.0 mmol of benzaldehyde (0.10 mL) and diethyl phosphite (1.0 mmol [0.13 mL], 1.5 mmol [0.19 mL], 2.0 mmol [0.26 mL] or 3.0 mmol [0.39 mL]) in 2 mL of a solvent (DMF, DMSO, MeCN or EtOH) was irradiated in a sealed tube at 100–120°C for 30 min in a CEM Microwave reactor equipped with a pressure controller. The volatile components were removed under reduced pressure, and the residue obtained was analyzed by HPLC.
General procedure for the continuous flow synthesis of α-aryl-α-aminophosphonates by Kabachnik-Fields reaction
Before each experiment, two solutions (A and B) were prepared. For solution A, 35.0 mmol of the benzaldehyde derivatives (benzaldehyde [3.6 mL], 2-chlorobenzaldehyde [3.9 mL], 3-chlorobenzaldehyde [4.0 mL], 4-chlorobenzaldehyde [4.9 g], 4-hydroxybenzaldehyde [3.5 mL], 4-methylbenzaldehyde [4.1 mL] or 4-methoxybenzaldehyde [4.3 mL]) were dissolved in alcohols (methanol, ethanol or butanol) in a 50 mL volumetric flask, resulting in the aldehyde concentration of 0.70 M. For solution B, 35.0 mmol of the amines (aniline [3.2 mL], 4-chloroaniline [4.6 g], 4-methoxyaniline [4.3 g], benzylamine [3.8 mL], 4-methoxybenzylamine [4.6 mL], butylamine [3.5 mL] or cyclohexylamine [4.0 mL]) and dialkyl phosphites [35.0 mmol of diethyl phosphite (4.5 mL) or 52.5 mmol of diethyl phosphite (6.8 mL), or 70.0 mmol of dimethyl phosphite (6.4 mL), diethyl phosphite (9.0 mL) or dibutyl phosphite (13.7 mL)] were dissolved in alcohols (methanol, ethanol or butanol) in a 50 mL volumetric flask, resulting in the amine concentration of 0.70 M and the dialkyl phosphite concentration of 0.70 M, 1.05 M or 1.40 M, respectively. The two solutions (A and B) were pumped separately. The system was flushed with 15 mL of solution A and 15 mL of solution B with a summa flow rate of 10 mL/min (A:B 1:1) at 25°C and 17 bar. Next, under the same pressure, the flow rate was set to the desired value (can be seen in Tables 3, 4 and Scheme 5) and the vessel was irradiated with a power of 20–100 W for 3–5 min, until the temperature reached the desired value, then the power was controlled automatically by the software of the MW reactor. The operation was regarded steady state on the basis of the results of the HPLC measurements. The α-aminophosphonates were obtained by column chromatography using silica gel as the absorbent and ethyl acetate:hexane (1:1) or dichloromethane:methanol (97:3) as the eluent. Yields were calculated on the basis of the mass obtained after separation and evaporation taking into consideration the quantity of the limiting starting materials fed in during a given time.

Continuous flow MW-assisted Kabachnik-Fields reaction of butylamine and cyclohexylamine with benzaldehyde and diethyl phosphite.
General procedure for the continuous flow synthesis of α-aryl-α-aminophosphonates by Pudovik reaction
The continuous flow Pudovik reactions were carried out in the same system using a Gilson 305 single HPLC pump. The mixture of 25.0 mmol of the imines (synthesized by a previously reported method [10]) (1b [4.0 g] or 1c [4.7 g]) and diethyl phosphite (50 mmol [6.4 mL], 62.5 mmol [8.1 mL] or 75 mmol [9.7 mL]) was dissolved in 50 mL ethanol. The reactor was flushed with 20 mL of the mixture with a flow rate of 10 mL/min at 25°C and 17 bar. Next, under the same pressure, the flow rate was set to the desired value (can be seen in Table 5), and the vessel was irradiated with a power of 25–50 W for 3–5 min, until the temperature reached the desired value, then the power was controlled automatically by the software of the MW reactor. The operation was regarded steady state on the basis of the results of the HPLC measurements. The α-aminophosphonates were obtained by column chromatography using silica gel as the absorbent and ethyl acetate:hexane 1:1 as the eluent. Yields were calculated on the basis of the mass obtained after separation and evaporation taking into consideration the quantity of the starting materials fed in during a given time.
The measured and literature [10, 22], [23], [24], [25], [26], [27], [28], [29] 31P NMR data of the α-aryl-α-aminophosphonates, as well as the HRMS data are listed in Table 1.
31P NMR and HRMS Data for the α-aryl-α-aminophosphonates.
| Compound | δP in CDCl3 | δP [lit.] in CDCl3 | [M+H]+found | [M+H]+requires |
|---|---|---|---|---|
| 1a | – | – | 182.0972 | 182.0964 |
| 1b | – | – | 162.1282 | 162.1277 |
| 1c | – | – | 188.1441 | 188.1434 |
| 2a | 22.8 | 22.8 [10] | 320.1418 | 320.1410 |
| 2b | 25.2 | 25.2 [10] | 292.1103 | 292.1097 |
| 2c | 22.7 | 22.7 [10] | 376.2044 | 376.2036 |
| 3 | 20.2 | 20.0 [22] | 354.1033 | 354.1026 |
| 4 | 20.4 | 20.2 [23] | 354.1034 | 354.1026 |
| 5 | 22.1 | 22.5 [24] | 354.1033 | 354.1026 |
| 6 | 21.0 | 21.3 [25] | 336.1373 | 336.1365 |
| 7 | 20.0 | 19.9 [25] | 334.1577 | 334.1572 |
| 8 | 22.7 | 22.4 [26] | 350.1528 | 350.1521 |
| 9 | 20.9 | 20.8 [26] | 354.1024 | 354.1016 |
| 10 | 21.4 | 21.3 [22] | 350.1529 | 350.1521 |
| 11 | 23.6 | 23.5 [27] | 334.1579 | 334.1572 |
| 12 | 23.7 | 23.5 [28] | 364.1686 | 364.1678 |
| 13 | 23.8 | 23.8 [10] | 300.1734 | 300.1723 |
| 14 | 21.6 | 21.5 [29] | 245.0940 | 245.0937 |
| 15 | 24.1 | 24.1 [10] | 326.1890 | 326.1880 |
Results and discussion
The first model investigated was the Kabachnik-Fields reaction of aniline with benzaldehyde and diethyl phosphite (DEP) in a batch MW reactor (Table 2). It was previously reported by our research group that in the absence of any catalyst and solvent, the condensation reached full conversion using one equivalent of DEP at 100°C for 30 min (Table 2/Entry 1). As the solvent-free condition is not flow compatible, it was necessary to find a suitable solvent to avoid heterogeneity and/or high viscosity in the reaction mixture. Therefore, the condensation was studied using various solvents, such as DMF, DMSO, acetonitrile, as well as ethanol at 100°C for 30 min (Table 2/Entries 2–5). Carrying out the reaction in DMF and in DMSO, the product composition was almost similar, however, only 13% and 20% of the target α-aryl-α-aminophosphonate (2a) was present beside the imine (1a) formed in the condensation of the aniline and the benzaldehyde (Table 2/Entries 2 and 3). Applying acetonitrile, the ratio of compound 2a increased to 51% (Table 2/Entry 4). Among the solvents investigated, ethanol proved to be the most efficient, since the α-aminophosphonate (2a) could be prepared in the proportion of 63% (Table 2/Entry 5). In order to find the optimum conditions for the formation of diethyl ((phenylamino)(phenyl)methyl)phosphonate (2a) in ethanol, the condensation was performed applying a longer reaction time, higher temperature or using the phosphite in a larger excess (Table 2/Entries 5–9). It was found that using one equivalent of the DEP, the product composition did not change significantly even after longer reaction time (40 min) or carrying out the synthesis at a higher temperature (120°C) (Table 2/Entries 5 and 6). Applying a higher excess of the DEP (1.5 equiv) at 100°C, the ratio of product 2a was already 76% (Table 2/Entry 7). Further increasing the excess of the DEP to two and three equivalents, the product ratios were 83 and 100%, respectively (Table 2/Entries 8 and 9).
Kabachnik-Fields reaction of aniline with benzaldehyde and diethyl phosphite in a batch MW reactor.
| Entry | Solvent | DEP [eq.] | T [°C] | Product composition [%]a |
|
|---|---|---|---|---|---|
| 1a | 2a | ||||
| 1 | – | 1.0 | 100 | 0 | 100b |
| 2 | DMF | 1.0 | 100 | 87 | 13 |
| 3 | DMSO | 1.0 | 100 | 80 | 20 |
| 4 | MeCN | 1.0 | 100 | 49 | 51 |
| 5c | EtOH | 1.0 | 100 | 37 | 63 |
| 6 | EtOH | 1.0 | 120 | 33 | 67 |
| 7 | EtOH | 1.5 | 100 | 24 | 76 |
| 8 | EtOH | 2.0 | 100 | 17 | 83 |
| 9 | EtOH | 3.0 | 100 | 0 | 100 |
-
aDetermined by HPLC analysis. bBased on reference [10]. cNo change on longer reaction time. The bold number refers to the best composition of compound 2a in the reaction investigated in solvent.
In the next step, the catalyst-free three-component reaction of aniline, benzaldehyde and DEP was investigated in a CEM MW reactor equipped with a commercially available CEM continuous flow cell. Among the starting materials, the benzaldehyde reacts with aniline and also with DEP forming imine or α-hydroxyphosphonate, respectively, while there is no reaction between aniline and DEP at room temperature, therefore, we developed a dual pump continuous flow system (Fig. 1). The benzaldehyde in ethanol (solution A) and the mixture of aniline and DEP in ethanol (solution B) was fed separately into the mixer. The mixture reached the reactor at a summa flow rate of 0.14–0.70 mL/min (corresponding to residence time of 50–10 min, respectively). The temperature was monitored and controlled by the IR sensor of the MW device.
The mixture leaving the reactor was cooled down using a spiral-like cooler (to 25°C), and was passed through a back pressure regulator operating at 250 psi (17 bar). Consecutive fractions of the leaving mixture were analyzed by HPLC measurements in order to determine the composition and to identify the stationary operation.
The reaction conditions and the experimental results are shown in Table 3. To find the optimum conditions for the formation of the α-aryl-α-aminophosphonate (2a), the reaction was performed varying the excess of the DEP, the residence time and the reaction temperature. Carrying out the condensation with one equivalent of DEP at 100°C with a residence time of 30 min (at a flow rate of 0.25 mL/min) the leaving mixture contained 30% of the imine 1a and 70% of the aminophosphonate 2a (Table 3/Entry 1). Using higher excess of the DEP (1.5 equivalents) and performing the reaction at 100°C with a residence time of 10 min (at a flow rate of 0.70 mL/min), 57% of compound 1a and 43% of product 2a was formed (Table 3/Entry 2). Increasing the residence time to 20 or 30 min (by decreasing the flow rate to 0.35 or 0.25 mL/min), the ratio of α-aryl-α-aminophosphonate (2a) could be increased to 68% or 81%, respectively (Table 3/Entries 3 and 4). Applying a longer residence time of 40 or 50 min (by setting the flow rate of 0.18 or 0.14 mL/min), the composition did not change significantly (Table 3/Entries 5 and 6). The condensation was also carried out at 120°C with a residence time of 30 min (at a flow rate of 0.25 mL/min), and the ratio of α-aryl-α-aminophosphonate (2a) was only 5% higher than in the same experiment at 100°C (Table 3/Entries 4 and 7). Thereafter, the effect of the increase of the excess of phosphite was studied. Using two equivalents of DEP at 100°C at a flow rate of 0.35 mL/min (at a residence time of 20 min), the proportion of compound 2a was already over 90% (Table 3/Entry 8). Using a slightly longer residence time (25 min; by decreasing the flow rate to 0.28 mL/min), the reaction was complete (Table 3/Entry 9).
Optimization of the continuous flow MW-assisted Kabachnik-Fields reaction of aniline with benzaldehyde and diethyl phosphite.
| Entry | DEP [eq.] | T [°C]a | τ [min] | Flow rate [mL/min]b | Product composition [%]c |
|
|---|---|---|---|---|---|---|
| 1a | 2a | |||||
| 1 | 1.0 | 100 | 30 | 0.25 | 30 | 70 |
| 2 | 1.5 | 100 | 10 | 0.70 | 57 | 43 |
| 3 | 1.5 | 100 | 20 | 0.35 | 32 | 68 |
| 4 | 1.5 | 100 | 30 | 0.25 | 19 | 81 |
| 5 | 1.5 | 100 | 40 | 0.18 | 15 | 85 |
| 6 | 1.5 | 100 | 50 | 0.14 | 14 | 86 |
| 7 | 1.5 | 120 | 30 | 0.25 | 14 | 86 |
| 8 | 2.0 | 100 | 20 | 0.35 | 6 | 94 |
| 9 | 2.0 | 100 | 25 | 0.28 | 0 | 100 |
-
aThe pressure was 17 bar. bBased on the HPLC pump. cDetermined by HPLC analysis in the stationary operation.
Based on the optimized conditions, the continuous flow Kabachnik-Fields reaction was extended to different amines, aldehydes and dialkyl phosphites (Table 4). The condensations were performed with two equivalents of the dialkyl phosphite at 100°C using a flow rate of 0.28 mL/min (corresponding to a residence time of 25 min). After purification of the reaction mixture obtained in the experiment of Table 3/Entry 9, the diethyl ((phenylamino)(phenyl)methyl)-phosphonate (2a) was isolated in a yield of 95% (Table 4/Entry 1). The condensation of aniline and benzaldehyde was also carried out with dimethyl phosphite in methanol, as well as with dibutyl phosphite in butanol, and the corresponding α-aryl-α-aminophosphonates (2b and 2c) were obtained in a yield of 92% and 96%, respectively (Table 4/Entries 2 and 3). Thereafter, the three-component reaction of aniline and benzylamine derivatives was investigated with various substituted benzaldehydes (2-, 3- or 4-chlorobenzaldehyde, 4-hydroxybenzaldehyde 4-methylbenzaldehyde and 4-methoxybenzaldehyde) and DEP in ethanol. Altogether ten α-aryl-α-aminophosphonates (3–12) were obtained in high yields (90–95%) (Table 4/Entries 4–13).
Continuous flow MW-assisted Kabachnik-Fields reaction of primary amines with benzaldehyde derivatives and dialkyl phosphites.
| Entry | Y1 | Y2 | R | Yield [%]a |
|---|---|---|---|---|
| 1 | Ph | H | Et | 95 (2a) |
| 2 | Ph | H | Me | 92 (2b) |
| 3 | Ph | H | Bu | 96 (2c) |
| 4 | Ph | 2-Cl | Et | 90 (3) |
| 5 | Ph | 3-Cl | Et | 92 (4) |
| 6 | Ph | 4-Cl | Et | 95 (5) |
| 7 | Ph | 4-OH | Et | 93 (6) |
| 8 | Ph | 4-Me | Et | 95 (7) |
| 9 | Ph | 4-MeO | Et | 94 (8) |
| 10 | 4-ClC6H4 | H | Et | 92 (9) |
| 11 | 4-MeOC6H4 | H | Et | 94 (10) |
| 12 | PhCH2 | H | Et | 94 (11) |
| 13 | 4-MeOPhCH2 | H | Et | 90 (12) |
-
aIsolated yield. Bold numbers refer to the corresponding products.
Finally, the continuous flow MW-assisted Kabachnik-Fields reaction of butylamine and cyclohexylamine was investigated with benzaldehyde and DEP in ethanol under the optimized conditions (two equivalents of the DEP, 100°C, τ=25 min, at a flow rate of 28 mL/min) (Scheme 5). It was found that the condensation was not selective; beside the expected α-aryl-α-aminophosphonates (13 or 15), N-benzylideneamines (1b or 1c) and diethyl (hydroxy(phenyl)methyl)-phosphonate (14) were also formed. Based on the HPLC analysis, the proportion of product 13 or 15 was 40% or 29%, respectively. Neither a longer reaction time, nor a higher temperature changed significantly the ratio of the desired α-aryl-α-aminophosphonates (13 or 15), as a significant amount of the α-hydroxyphosphonate (14) was present in the reactions. Our observations in the flow Kabachnik-Fields condensation of butlyamine and cyclohexylamine were consistent with the results obtained in the similar reaction of isopropylamine [17].
In order to avoid the formation of the unreactive α-hydroxyphosphonate 14 and to synthesize the α-aryl-α-aminophosphonates (13 and 15) selectively, we changed for the aza-Pudovik reaction of N-benzylidenebutylamine (1b) and N-benzylidenecyclohexylamine (1c) with DEP in ethanol in a continuous flow MW reactor (Table 5). First, the imine 1b was reacted with two equivalents of the DEP at 100°C using a residence time of 20 min (at a flow rate of 0.35 mL/min), and product 13 was formed with a conversion of only 52% (Table 5/Entry 1). Increasing the excess of the DEP to 2.5 equivalents, the conversion was 26% higher (78%) (Table 5/Entry 2). Performing the addition with longer residence time, such as 30 or 40 min (flow rates of 0.25 or 0.18 mL/min), the conversions were similar, and 90% of the α-aryl-α-aminophosphonate (13) was formed (Table 5/Entries 3 and 4). For a complete conversion, the use of three equivalents of the DEP was necessary at a flow rate of 0.25 mL/min (residence time of 30 min) (Table 5/Entry 5). From the mixture obtained, the diethyl ((butylamino)(phenyl)methyl)phosphonate (13) could be isolated in a yield of 90% after purification. The aza-Pudovik reaction of N-benzylidenecyclohexylamine (1c) was carried out under similar conditions, and the corresponding α-aminophosphonate (15) was obtained in a yield of 92% (Table 5/Entry 6).
Continuous flow MW-assisted aza-Pudovik reaction of N-benzylideneamines with DEP.
| Entry | Y | DEP [eq.] | τ [min] | Flow rate [mL/min]a | Conversion [%]b | Yield [%]c |
|---|---|---|---|---|---|---|
| 1 | Bu | 2.0 | 20 | 0.35 | 52 | – |
| 2 | Bu | 2.5 | 20 | 0.35 | 78 | – |
| 3 | Bu | 2.5 | 30 | 0.25 | 89 | – |
| 4 | Bu | 2.5 | 40 | 0.18 | 90 | – |
| 5 | Bu | 3.0 | 30 | 0.25 | 100 | 90 (13) |
| 6 | c Hex | 3.0 | 30 | 0.25 | 100 | 92 (15) |
-
aBased on the HPLC pump. bDetermined by HPLC analysis in the stationary operation. cIsolated yield. Bold numbers refer to the corresponding products.
Conclusions
In conclusion, an efficient, catalyst-free MW-assisted continuous flow method was elaborated for the selective synthesis of various α-aryl-α-aminophosphonates with a somewhat higher productivity (1.7–2.2 g/h) as compared to the batch reactions. After the optimization of the reaction parameters, the continuous protocol was proved to be more effective; the corresponding α-aryl-α-aminophosphonates could be obtained using a lesser excess of DEP and in a shorter reaction time. The three-component Kabachnik-Fields reaction in a flow MW reactor is a novel approach for the preparation of the target compounds.
Article note
A collection of invited papers based on presentations at the 22nd International Conference on Phosphorous Chemistry (ICPC-22) held in Budapest, Hungary, 8–13 July 2018.
Acknowledgements
The project was supported by the Hungarian Research Development and Innovation Fund (FK123961 and K119202), by the National Research, Development and Innovation Fund of Hungary in the frame of the FIEK_16-1-2016-0007 (Higher Education and Industrial Cooperation Center) project and by the János Bolyai Research Scholarship of the Hungarian Academy of Sciences (BO/00278/17/7) (E.B.), as well as by the ÚNKP-18-4-BME-131 New National Excellence Program of the Ministry of Human Capacities (E.B.).
References
[1] T. Glasnov. Continuous-Flow Chemistry in the Research Laboratory, Springer, Switzerland (2016).10.1007/978-3-319-32196-7Search in Google Scholar
[2] D. T. McQuade, P. H. Seeberger. J. Org. Chem.78, 6384 (2013).10.1021/jo400583mSearch in Google Scholar PubMed
[3] Sustainable Flow Chemistry: Methods and Applications, L. Vaccaro (Ed.), Wiley-VCH, Weinheim (2017).Search in Google Scholar
[4] E. Bálint, G. Keglevich. In Milestones in Microwave Chemistry – SpringerBriefs in Molecular Science, G. Keglevich (Ed.), pp. 1–10, Springer, Switzerland (2016).10.1007/978-3-319-30632-2_1Search in Google Scholar
[5] Microwaves in Organic Synthesis, A. de la Hoz, A. Loupy (Eds.), Wiley-VCH: Weinheim (2012).Search in Google Scholar
[6] L. Estela, M. Pouxb, N. Benamaraa, I. Polaerta. Chem. Eng. Process.113, 56 (2016).Search in Google Scholar
[7] Aminophosphonic and Aminophosphinic acids: Chemistry and Biological Activity, V. P. Kukhar, H. R. Hudson (Eds.) Wiley-VCH, Chichester (2000).Search in Google Scholar
[8] E. Bálint, Á. Tajti, A. Tripolszky. In Organophosphorus Chemistry – Novel Developments, G. Keglevich (Ed.), pp. 108–147, De Gruyter, Berlin (2018).10.1515/9783110535839-006Search in Google Scholar
[9] G. Keglevich, E. Bálint. Molecules17, 12821 (2012).10.3390/molecules171112821Search in Google Scholar PubMed PubMed Central
[10] E. Bálint, Á. Tajti, A. Ádám, I. Csontos, K. Karaghiosoff, M. Czugler, P. Ábrányi-Balogh, G. Keglevich. Beilstein J. Org. Chem. 13, 76 (2017).10.3762/bjoc.13.10Search in Google Scholar PubMed PubMed Central
[11] G. Keglevich, A. Szekrényi. Lett. Org. Chem.5, 616 (2008).Search in Google Scholar
[12] J. D, Moseley. In Microwave Heating as a Tool for Sustainable Chemistry, N. Leadbeater, (Ed.), pp. 105–147, CRC Press, New York (2010).Search in Google Scholar
[13] I. Baxendale, J. Hayward, S. Ley. Comb. Chem. High T. Scr.10, 802 (2007).10.2174/138620707783220374Search in Google Scholar PubMed
[14] E. Van Meenen, K. Moonen, D. Acke, C. V. Stevens. Arkivoc(i), 31 (2006).10.3998/ark.5550190.0007.104Search in Google Scholar
[15] J. Britton, J. W. Castle, G. A. Weiss, C. L. Raston. Chem. Eur. J.22, 10773 (2016).10.1002/chem.201602373Search in Google Scholar PubMed PubMed Central
[16] J. Britton, C. L. Raston. Chem. Soc. Rev.46, 1250 (2017).10.1039/C6CS00830ESearch in Google Scholar
[17] D. Acke. Evaluation of Microreactor Technology for Multicomponent Reactions, Ghent University, Belgium (2007).Search in Google Scholar
[18] S. Van Mileghem, C. Veryser, W. M. De Borggraeve, in Flow Chemistry for the Synthesis of Heterocycles, U. K. Sharma, E. V. Van der Eycken (Eds.), pp. 133–159, Springer, Heidelberg (2018).10.1007/7081_2018_23Search in Google Scholar
[19] Synthesis of Heterocycles via Multicomponent Reactions I, R. V. A. Orru, E. Ruijter (Eds.), Springer, Heidelberg (2010).Search in Google Scholar
[20] Á. Tajti, N. Tóth, E. Bálint, G. Keglevich. J. Flow Chem.8, 11 (2018).10.1007/s41981-018-0001-xSearch in Google Scholar
[21] E. Bálint, Á. Tajti, N. Tóth, G. Keglevich. Molecules23, 1618 (2018).10.3390/molecules23071618Search in Google Scholar PubMed PubMed Central
[22] M. Esmaeilpour, S. Zahmatkesh, J. Javidic, E. Rezaei. Phosphorus Sulfur Silicon Relat. Elem.192, 530 (2017).10.1080/10426507.2016.1269232Search in Google Scholar
[23] S. T. Disale, S. R. Kale, S. S. Kahandal, T. G. Srinivasan, R. V. Jayaram. Tetrahedron Lett.53. 2277 (2012).10.1016/j.tetlet.2012.02.054Search in Google Scholar
[24] M. Milen, P. Ábrányi-Balogh, A. Dancsó, D. Frigyes, L. Pongó, G. Keglevich. Tetrahedron Lett.54, 5430 (2013).10.1016/j.tetlet.2013.07.145Search in Google Scholar
[25] H. Peng, S. Sun, Y. Hu, R. Xing, D. Fang. Heteroatom Chem.26, 215 (2014).10.1002/hc.21251Search in Google Scholar
[26] H. Eshghi, M. Mirzaei, M. Hasanpour, M. Mokaber-Esfahani. Phosphorus Sulfur Silicon Relat. Elem.190, 1606 (2015).10.1080/10426507.2015.1012199Search in Google Scholar
[27] A. Kuśnierz, E. Chmielewska. Phosphorus Sulfur Silicon Relat. Elem.192, 700 (2017).10.1080/10426507.2017.1308934Search in Google Scholar
[28] Y. Gao, Z. Huang, R. Zhuang, J. Xu, P. Zhang, G. Tang, Y. Zhao. Org. Lett.15, 4214 (2013).10.1021/ol4019419Search in Google Scholar PubMed
[29] G. Keglevich, A. Fehérvári, I. Csontos. Heteroatom Chem. 22, 599 (2011).10.1002/hc.20676Search in Google Scholar
©2018 Bálint and Keglevich et al., published by IUPAC & De Gruyter.
This work is licensed under the Creative Commons Attribution-NonCommercial-NoDerivatives 4.0 International License.
Articles in the same Issue
- Frontmatter
- In this issue
- Guest Editorial
- Research Papers from the 22nd International Conference on Phosphorus Chemistry (ICPC-22)
- Conference papers
- Efficient modular phosphorus-containing ligands for stereoselective catalysis
- Opportunities and challenges for combining electro- and organometallic catalysis in C(sp2)-H phosphonation
- Applications of H-phosphonates for C element bond formation
- Stereochemistry of electrophilic and nucleophilic substitutions at phosphorus
- Direct esterification of phosphinic and phosphonic acids enhanced by ionic liquid additives
- Continuous flow synthesis of α-aryl-α-aminophosphonates
- Low-coordinate organophosphorus compounds: some stereochemical considerations
- Applications of transition metal catalyzed P-radical for synthesis of organophosphorus compounds
- Recent advances in catalytic Wittig-type reactions based on P(III)/P(V) redox cycling
- Making and breaking of phosphorus–phosphorus bonds
- Challenges and solutions in phosphinate chemistry
- Palladium-catalyzed microwave-assisted Hirao reaction utilizing the excess of the diarylphosphine oxide reagent as the P-ligand; a study on the activity and formation of the “PdP2” catalyst
- Synthesis of a variety of organophosphorus compounds using 2-phosphaindolizines as precursors
- Microwave irradiation and catalysis in organophosphorus reactions
- Erratum
- Correction to “Post-transition state bifurcations gain momentum – current state of the field”
- IUPAC Technical Report
- International Standard for viscosity at temperatures up to 473 K and pressures below 200 MPa (IUPAC Technical Report)
- Erratum
- Erratum to: Isotope-abundance variations and atomic weights of selected elements: 2016 (IUPAC Technical Report)
Articles in the same Issue
- Frontmatter
- In this issue
- Guest Editorial
- Research Papers from the 22nd International Conference on Phosphorus Chemistry (ICPC-22)
- Conference papers
- Efficient modular phosphorus-containing ligands for stereoselective catalysis
- Opportunities and challenges for combining electro- and organometallic catalysis in C(sp2)-H phosphonation
- Applications of H-phosphonates for C element bond formation
- Stereochemistry of electrophilic and nucleophilic substitutions at phosphorus
- Direct esterification of phosphinic and phosphonic acids enhanced by ionic liquid additives
- Continuous flow synthesis of α-aryl-α-aminophosphonates
- Low-coordinate organophosphorus compounds: some stereochemical considerations
- Applications of transition metal catalyzed P-radical for synthesis of organophosphorus compounds
- Recent advances in catalytic Wittig-type reactions based on P(III)/P(V) redox cycling
- Making and breaking of phosphorus–phosphorus bonds
- Challenges and solutions in phosphinate chemistry
- Palladium-catalyzed microwave-assisted Hirao reaction utilizing the excess of the diarylphosphine oxide reagent as the P-ligand; a study on the activity and formation of the “PdP2” catalyst
- Synthesis of a variety of organophosphorus compounds using 2-phosphaindolizines as precursors
- Microwave irradiation and catalysis in organophosphorus reactions
- Erratum
- Correction to “Post-transition state bifurcations gain momentum – current state of the field”
- IUPAC Technical Report
- International Standard for viscosity at temperatures up to 473 K and pressures below 200 MPa (IUPAC Technical Report)
- Erratum
- Erratum to: Isotope-abundance variations and atomic weights of selected elements: 2016 (IUPAC Technical Report)