Abstract
The microwave-assisted Hirao reaction of bromobenzene and diarylphosphine oxides was performed at 120 °C using triethylamine as the base, and 5% of palladium acetate as the catalyst in ethanol. 5% Excess of the >P(O)H reagent served as the reducing agent, while another 10% as the preligand (in the >POH tautomeric form). It was found that the P–C coupling reaction was significantly faster with (2-MeC6H4)2P(O)H (A) and (3,5-diMeC6H3)2P(O)H (B), than with Ph2P(O)H (C) and (4-MeC6H4)2P(O)H (D). Moreover, species A and B could be applied as selective P-ligands in the reaction of bromobenzene with C or D. Dependence of the effectiveness of “PdP2” catalysts with diarylphosphine oxide preligands on the methyl substituents followed a reversed order as the reactivity of the diarylphosphine oxide species in the P–C coupling itself. Formation of the “PdP2” catalyst from palladium acetate and diarylphosphine oxide has never been studied, but now it was evaluated by us at the B3LYP level of theory applying 6-31G(d,p) for C,H,P,O and SDD/MW28 for Pd including the explicit-implicit solvent model. The novel mechanism requiring three equivalents of the >P(O)H species for each of the palladium acetate molecule was in agreement with the preparative experiments. The ligation of palladium(0) with different P(III) species comprising the >POH form of the >P(O)H reagent was also studied, and the critical role of the steric hindrance on the ligation, and hence on the activity of the “PdP2” catalyst was substantiated. Last but not least, the influence of the Me substituents in the aromatic ring of the P-reagents on the energetics of the elemental steps of the Hirao reaction itself was also evaluated.
Introduction
The P–C coupling reaction of dialkyl phosphites, alkyl H-phosphinates or secondary phosphine oxides with bromoarenes carried out in the presence of a suitable Pd(0) – phosphine catalyst, and in most cases triethylamine as the base affords dialkyl arylphosphonates, alkyl aryl-phenylphosphinates and tertiary phosphine oxides, respectively [1], [2], [3], [4], [5], [6], [7], [8]. In the early version of the Hirao reaction, Pd(PPh3)4 was applied as the catalyst [1], [2], [3], later on, different Pd(0) precursors including Pd(OAc)2 and PdCl2 were used together with mono- or bidentate P-ligands [4], [5], [6], [7]. Ni- and Cu complexes were also described as catalysts [4], [5]. Green chemical variations including phase transfer catalyzed methods [9], [10], [11], [12], and microwave (MW)-assisted protocols [13], [14], [15] were also elaborated.
The Keglevich group found that the P–C coupling reaction under discussion may take place in the presence of Pd(OAc)2 or NiCl2 without the addition of the usual P-ligands [16], [17], [18]. It was observed and proved that the excess of the >P(O)H reagent may serve as the reducing agent to convert Pd(II) to Pd(0), and, in its trivalent tautomeric form >POH, as the two P-ligands [19]. Considering that the reduction of the Pd(II) salt and the ligation of the Pd(0) so formed requires three equivalents of the P-species to the catalyst applied in 5–10%, all together 15–30% of the >P(O)H reactant is necessary beyond its stochiometric quantity covering the P–C coupling itself. It is well-known that the trivalent tautomeric form (Y2POH) of secondary phosphine oxides (Y2P(O)H) may be preligands in transition metal complexes that may serve as catalysts in different reactions [20], [21], [22], [23]. In this respect, the ligation of Pd(0) [24], [25], [26], [27], [28], [29] and Pt(0) [30], [31] is of special importance.
Existence of the [H(OPh2P)2PdOAc]2 complex (Fig. 1/I) described by Buono et al. [26], and derived from the interaction of Pd(OAc)2 and diphenylphosphine oxide is questionable on the basis of high level theoretical calculations, and also on the basis of our preparative experiences [19]. Kalek and Stawinski proposed another Pd complex (Fig. 1/II) as an active species in the Hirao reaction utilizing Pd(OAc)2 as the catalyst precursor and PPh3 as the P-ligand [32]. However, complex III (Fig. 1) was considered by them as an unreactive species in the catalytic cycle [32]. At the same time, Ackermann et al. described a similar species as an active catalyst in another kind of reaction [29]. On the basis of our theoretical calculations and experiments [19], the simple “PdP2” type complex (Fig. 1/IV) was suggested as, for the time being, the most probable catalyst in P–C coupling reactions.

Pd(0) complexes emerged in the Hirao reaction.
However, the formation of Pd complex IV from Pd(OAc)2 and the excess of the Y2P(O)H reagent has so far never been investigated in details. For this, we wished to explore the formation of “PdP2” type complexes incorporating different diarylphosphine oxides as the P-ligands. We were interested in evaluating the effect of the substituents on the formation of the Pd catalyst, and on the energetics of the mechanism of the Hirao reaction as well.
Results and discussion
Experimental results on the P–C coupling reaction of bromobenzene and diarylphosphine oxides
In our experiments, 1.15 equivalents of diarylphosphine oxides were reacted with bromobenzene in the presence of 5% of Pd(OAc)2 and 1.1 equivalents of triethylamine in ethanol at 120 °C under MW irradiation. The results were summarized in Table 1. It can be seen that under the conditions applied, completion of the P–C coupling with diphenylphosphine oxide and di(4-methylphenyl)phosphine oxide required 1 h (Table 1, entries 2 and 4). After 30 min, the conversions were only ≤17% (Table 1, entries 1 and 3). It is noteworthy that the similar reaction of di(2-methylphenyl)phosphine oxide and bis(3,5-dimethylphenyl)phosphine oxide took place much faster, both P–C couplings were complete after 15 min (Table 1, entries 5 and 6, respectively). From the best experiments (marked in boldface), the corresponding diaryl-phenylphosphine oxides (1a–d) were obtained in yields of 80–83% after purification by column chromatography (Table 1, entries 2, 4–6).
The Hirao reaction of bromobenzene and diarylphosphine oxides in the presence of Pd(OAc)2/Ar2P(O)H as the catalyst.
| Ar | t (min) | Conversion (%)a | Yield (%)b | Entry |
|---|---|---|---|---|
| Ph | 30 | 17 | 1 | |
| Ph | 60 | 100 | 83 (1a) | 2 |
| 4-MeC6H4 | 30 | 11 | 3 | |
| 4-MeC6H4 | 60 | 100 | 83 (1b) | 4 |
| 2-MeC6H4 | 15 | 100 | 80 (1c) | 5 |
| 3,5-diMeC6H3 | 15 | 100 | 82 (1d) | 6 |
-
aBased on 31P NMR.
-
bThe average of 2 or 3 parallel measurements.
-
Text in bold represents the best experiments.
The beneficial effect of the 2-Me or 3-Me group in the phenyl ring is obvious. However, it is a question if the formation of the active catalyst, or the P–C coupling reaction itself is enhanced by the 2- or 3-Me substituent. To evaluate this, 0.15 equivalents of di(2-methylphenyl)phosphine oxide was applied as the P-ligand in the Hirao reaction of diphenylphosphine oxide with bromobenzene that was carried out otherwise as above. As compared to the case, where diphenylphosphine oxide served both as the reagent and the preligand (Table 2, entries 1 and 2), the P–C coupling using di(2-methylphenyl)phosphine oxide as the catalyst ligand was significantly faster. Completion of the phosphinoylation required 30 min (Table 2, entries 3 and 4). The selectivity of the Hirao reaction was rather good, only 5% by-product 1c contaminated triphenylphosphine oxide 1a. The application of 10% of Pd(OAc)2 together with 30% of di(2-methylphenyl)phosphine oxide led to similar results (Table 2, entry 5). The catalyst formed from Pd(OAc)2 and bis(3,5-dimethylphenyl)phosphine oxide as the P-ligand revealed an intermediate activity as compared to the complexes involving diphenylphosphine oxide or di(2-methylphenyl)phosphine oxide as the preligand (Table 2, entries 6, 1 and 4). The experiment applying di(4-methylphenyl)phosphine oxide as the preligand led to similar results as the reference reaction with the use of only diphenylphosphine oxide (Table 2, entries 7 and 2). It can be seen that the 4-Me substituent has practically no effect on the course of the reaction. Hence, the beneficial effect of di(2-methylphenyl)phosphine oxide is to promote the formation of a more active catalyst. The activity of the Pd complexes with the tautomeric form of diarylphosphine oxides as the P-ligands shows the following trend regarding the P-species:
Varying the P-ligand in the Hirao reaction of PhBr and Ph2P(O)H.

| Ph2P(O)H (equiv.) | L (equiv.) | Ar | Cat. (%) | t (min) | Conv. (%)a | Yield (%)b | Entry | |
|---|---|---|---|---|---|---|---|---|
| 1 | 0.15 | Ph | 5 | 30 | 17 | 1 | ||
![]() |
||||||||
| 1.15 | ||||||||
| 1 | 0.15 | Ph | 5 | 60 | 100 | 83 | 2 | |
![]() |
||||||||
| 1.15 | ||||||||
| 1 | 0.15 | 2-MeC6H4 | 5 | 15 | 20 | 3 | ||
| 1 | 0.15 | 2-MeC6H4 | 5 | 30 | 100 | 80c | 4 | |
| 1 | 0.30 | 2-MeC6H4 | 10 | 30 | 100 | 82c | 5 | |
| 1 | 0.15 | 3,5-diMeC6H3 | 5 | 30 | 39 | 6 | ||
| 1 | 0.15 | 4-MeC6H4 | 5 | 60 | 100 | 90d | 7 | |
-
aBased on 31P NMR.
-
bThe average of 2 or 3 parallel measurements.
-
cPurity: 95% [by-product (2-MeC6H4)2P(O)Ph (1c)].
-
dPurity: 89% [by-product (4-MeC6H4)2P(O)Ph (1b)].
After confirming that di(2-methylphenyl)phosphine oxide and bis(3,5-dimethylphenyl)phosphine oxide are more efficient preligands to Pd0 than diphenylphosphine oxide, we wished to explore the reactivity of the different secondary phosphine oxides in the Hirao reaction itself. For this, competitive P–C coupling reactions were carried out applying two different secondary phosphine oxides in quantities of 0.575–0.575 equivalents (all together 1.15 equivalents) to the bromobenzene. Experimental results were summarized in Table 3. One can see from the interrupted reactions that diphenylphosphine oxide is more reactive than di(2-methylphenyl)phosphine oxide and bis(3,5-dimethylphenyl)phosphine oxide (Table 3, entries 1 and 3, respectively), and that the bis(3,5-dimethylphenyl)phosphine oxide is more reactive than the 2-methylphenyl P-reagent (Table 3, entry 5). This difference in the reactivity may be the consequence of steric hindrance. The results of the competitive reactions using the diphenylphosphine oxide – di(4-methylphenyl)phosphine oxide reactant pair suggested that the phenyl-reagent is somewhat more reactive than the 4-methylphenyl species (Table 3, entry 7). It is also seen that allowing complete conversions (Table 3, entries 2, 4 and 6), the ratio of products 1a/1c, 1a/1d and 1c/1d was practically 1:1 in all cases. It should be noted that the reaction times listed in Table 3 cannot be compared strictly, as the diarylphosphine oxides also have an impact on the activity of the catalyst (as was shown above), and hence, this also influences the overall reaction time. However, within the pairs, the product ratio (A/B) of the incomplete reactions bears relevant information on the relative reactivity of the two diarylphosphine oxides involved. Our experiments suggest the following order of reactivity of the diarylphosphine oxides in the P–C couplings themselves:
Competitive P–C coupling reactions of PhBr with equimolar mixtures of two diarylphosphine oxides.
| Ar1 | Ar2 | T (°C) | t (min) | Conversion (%) | Yield (%)a | (A/B) (%)a,b | Entry | |
|---|---|---|---|---|---|---|---|---|
| Ph | 2-MeC6H4 | 120 | 7 | 60c | 81 (1a) | 19 (1c) | 1 | |
| Ph | 2-MeC6H4 | 120 | 15 | 100 | 72d | 51 (1a) | 49 (1c) | 2 |
| Ph | 3,5-diMeC6H3 | 120 | 15 | 85c | 63 (1a) | 37 (1d) | 3 | |
| Ph | 3,5-diMeC6H3 | 120 | 20 | 100 | 80d | 53 (1a) | 47 (1d) | 4 |
| 2-MeC6H4 | 3,5-diMeC6H3 | 100 | 15 | 52c | 28 (1c) | 72 (1d) | 5 | |
| 2-MeC6H4 | 3,5-diMeC6H3 | 120 | 5 | 100 | 88d | 50 (1c) | 50 (1d) | 6 |
| Ph | 4-MeC6H4 | 120 | 30 | 27c | 62 (1a) | 38 (1b) | 7 | |
-
aThe average of 2 or 3 parallel measurements.
-
bBased on 31P NMR.
-
cAverage conversion for the two components.
-
dBased on the average molar mass.
According to the experimental results, the activity of the catalyst influenced by the steric and electric properties of the preligand has a more significant effect on the overall rate, and hence on the reaction time than the reactivity of the Ar2P(O)H species in the Hirao reaction itself.
Theoretical calculations
Formation of the Pd catalyst from Pd(OAc)2 and diarylphosphine oxides
Thermodynamics for the formation of the Pd catalyst from Pd(OAc)2 and diarylphosphine oxides
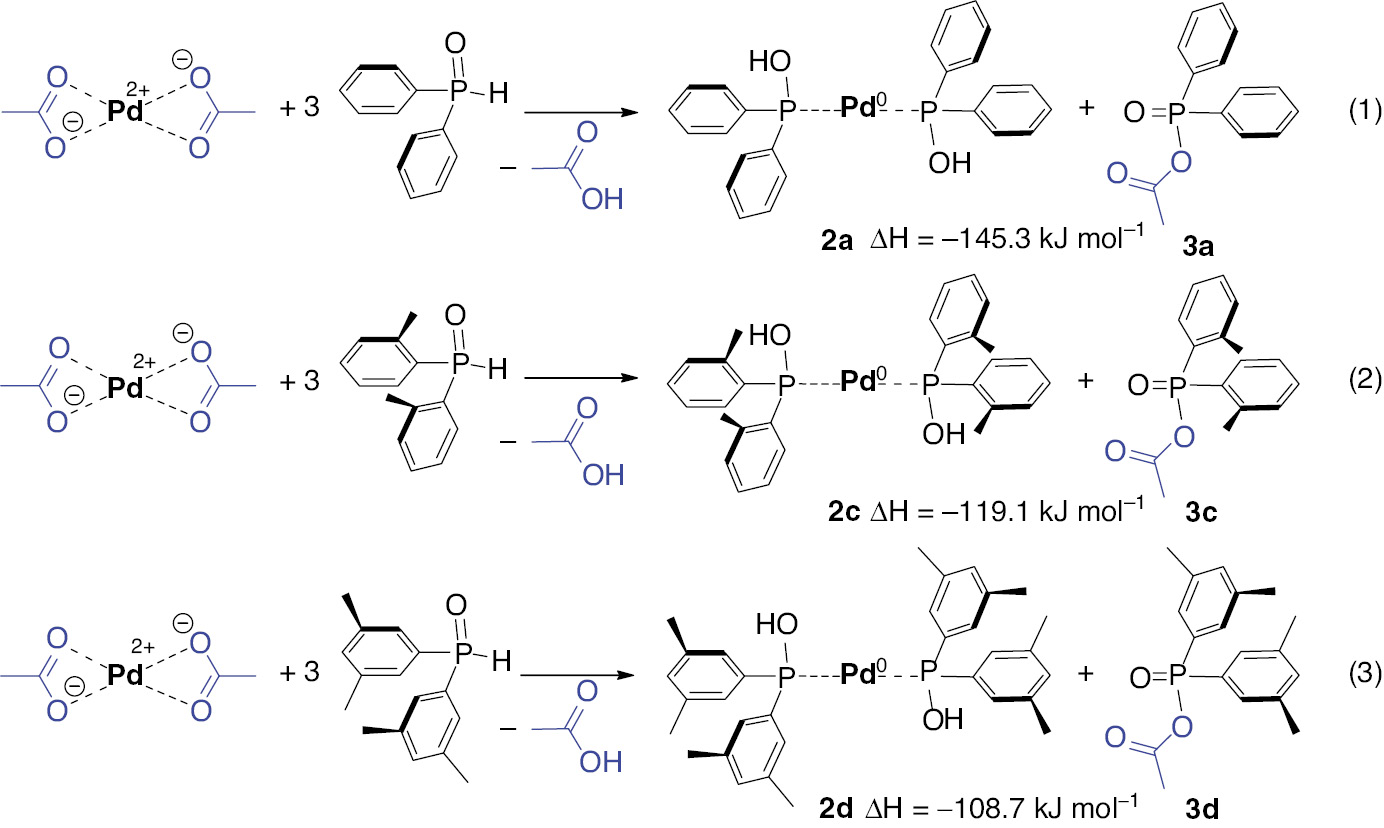
In our earlier paper [19], it was proposed that the interaction of Pd(OAc)2 and diphenylphosphine oxide affords a complex of type [(HO)Ph2P]2Pd (2a). The formation of species “PdP2” (2) for three aryl derivatives together with the energetics are represented in Scheme 1. Reaction enthalpies for the three specific conversions were calculated at the B3LYP level of theory applying 6-31G(d,p) for CHPO, and SDD(MWB28) for Pd including the explicit-implicit solvent model [33]. It can be seen that the formation of complex [(HO)Ph2P]2Pd (2a) is more favorable than that of [(HO)(2-MeC6H4)2P]2Pd (2c) and [(HO)(3,5-diMeC6H3)2P]2Pd (2d) referring to the role steric hindrance, and, as a consequence, to a somewhat looser Pd–P connection (see later) in the latter cases.
![Scheme 1:
Thermodynamics for the reaction of Pd(OAc)2 with Ar2P(O)H to afford [(HO)Ar2P]2Pd complexes calculated by the B3LYP/genecp//PCM(EtOH) method using the 6-31G(d,p) basis set for CHOP, and SDD(MWB28) for Pd atoms including the explicit-implicit solvent model.](/document/doi/10.1515/pac-2018-1004/asset/graphic/j_pac-2018-1004_fig_019.jpg)
Thermodynamics for the reaction of Pd(OAc)2 with Ar2P(O)H to afford [(HO)Ar2P]2Pd complexes calculated by the B3LYP/genecp//PCM(EtOH) method using the 6-31G(d,p) basis set for CHOP, and SDD(MWB28) for Pd atoms including the explicit-implicit solvent model.
Mechanism for the formation of the Pd catalyst from Pd(OAc)2 and diarylphosphine oxides
According to the general hypotheses and earlier findings [32], it was assumed that the active oxidation state of the Pd is the zero. The question arises, how Pd2+ of Pd(OAc)2 added to the reaction mixture may be reduced to Pd(0), and what the mechanism of the complex formation is. Diarylphosphine oxide may serve as the reducing agent. As a matter of fact, the corresponding diarylphosphinic acid by-products were identified from the crude mixtures by LC-MS (Ar=Ph: [M+H]+=219.1, Ar=2-MeC6H4: [M+H]+=247.1 and Ar=3,5-diMeC6H3: [M+H]+=275.1). After considering a few possibilities, the most probable reaction mechanism is shown in Scheme 2. The interaction of Pd(OAc)2 and two units of Ar2P(O)H leads to Pd(II) complex 4, which is then deprotonated by TEA to provide species 5. In the next step, the acetate anion of the “PdOAc” moiety is replaced by a third Ar2P(O)H molecule affording complex 6. Then, an intermolecular O-insertion into the P–Pd bond of intermediate (6) furnishes intermediate 7 with a P–O–Pd unit. In the next step, an acetate anion is connected to the P atom of the “Ar2POPd” moiety of complex 7 to give associate 8. A reductive elimination from intermediate 8 via TS 9 affords complex 10 and Ar2POC(O)Me (3). A final stabilization of species 10 by the elimination of Ar2P(O)OH and AcO−, and by the simultaneous incorporation of the Ar2POH species formed by regeneration via hydrolysis of “acyloxyphosphine” 3 results in the formation of complex 2 that is the active form of the catalyst, as it was shown earlier [19]. The energetical background belonging to the mechanism illustrated in Scheme 2 is shown in Fig. 2, while the enthalpy values are listed in Table 4. It can be seen that, in the first approach, the level of enthalpies does not depend much on the nature of the aryl group of diarylphosphine oxides. The formation of complexes 2 with methyl-substituted P-species is somewhat unfavored as compared to the case with phenyl ring. The relatively high overall enthalpy of activation values may be overcome by MW irradiation.
![Scheme 2:
Proposed detailed mechanism for the formation of catalyst [(HO)Ar2P]2Pd from Pd(OAc)2 and Ar2P(O)H including the explicit-implicit solvent model.](/document/doi/10.1515/pac-2018-1004/asset/graphic/j_pac-2018-1004_fig_020.jpg)
Proposed detailed mechanism for the formation of catalyst [(HO)Ar2P]2Pd from Pd(OAc)2 and Ar2P(O)H including the explicit-implicit solvent model.

Energetics for the reductive formation of the Pd(Ar2POH)2 complex form Pd(OAc)2 and Ar2POH calculated by the B3LYP/genecp//PCM(EtOH) method using the 6-31G(d,p) basis set for CHOP, and SDD(MWB28) for Pd atoms including the explicit-implicit solvent model.
Enthalpy (ΔH) changes in kJ mol−1 for the reaction sequence suggested for the formation of the Pd(PAr2OH)2 complex computed by the B3LYP/genecp//PCM(EtOH) method using the 6-31G(d,p) basis set for CHOP, and SDD(MWB28) for Pd atoms with the explicit-implicit solvent model.
| Ar |
|||
|---|---|---|---|
| Ph |
3,5-diMeC6H3 |
2-MeC6H4 |
|
| ΔH (kJ mol−1) | ΔH (kJ mol−1) | ΔH (kJ mol−1) | |
| Pd(OAc)2+2 Ar2P(O)H | 0.0 | 0.0 | 0.0 |
| 4 | −79.9 | −70.1 | −61.4 |
| 5 | −35.1 | −22.4 | −16.5 |
| 6 | −133.4 | −120.6 | −111.3 |
| 7 | −8.9 | −2.3 | 8.7 |
| 8 | 58.5 | 60.6 | 76.8 |
| 9 | 121.5 | 125.1 | 131.7 |
| 10 | 0.8 | 5.0 | 10.9 |
| 2+Ar2P(O)OH+AcO− | −90.6 | −92.7 | –79.8 |
A study on the ligation of Pd(0)
In our calculations carried out with the B3LYP method [34] using 6-31G(d,p) basis set for CHOP, and MWB28 for Pd [35] including the explicit-implicit solvent model, the complexation of Pd(0) with diarylphosphine oxides and triphenylphosphine was investigated. The enthalpy values for the complexations are listed in Table 5 and shown in Fig. 3. It was found that the mono- (V) and bis-ligated Pd(0) complexes (IV) may be formed in exothermic reactions for all the cases studied, as characterized by delta enthalpy values of −150.5 to −90.6 kJ mol−1 and −91.3 to −27.7 kJ mol−1, respectively. Within series IV, the distances of 2.298 Å, 2.300 Å, and 2.309 Å calculated for the cases with Ph, 3,5-diMeC6H3, and 2-MeC6H4 substituents, respectively, refer to somewhat elongated Pd–P bonds in the order mentioned. The tris-complexation (VI) is not favorable, and turned to endothermic in all cases. For Ph2POH, this value is quite low- and (3,5-diMeC6H3)2POH exhibits a somewhat larger value. With (2-MeC6H4)2POH and PPh3, the enthalpy of the tris-ligation proved to be rather high, and hence these processes are unfavorable, obviously as a consequence of steric hindrance. The gross energetics can be seen well in Fig. 3/(2). In case of the (2-MeC6H4)2POH and PPh3 ligands, the real minima are at bis-ligation, while the complexation with Ph2POH may remain significant at tris-ligation in the presence of excess of the ligand. The situation regarding enthalpies is rather similar for the tetra-ligation (VII). The complex forming ability of PPh3 is comparable with that of the (2-MeC6H4)2POH species. Furthermore, it can be said that while forms IV and VI are real complexes, VII is mainly a dissociated variation. It is noted that the complexation degree of a catalyst is a crucial parameter during the reaction it is involved in. An “under-complexed” metal is not active and not stabilized sufficiently, so it may tend to precipitate as a black solid. At the same time, an overcrowded complex surrounded by more ligands deactivates the catalyst, hence preventing its assistance in the particular reaction. From among the species discussed, IV may be the best catalyst, VI and VII are hindered forms. Pd(PPh3)4 may also exist in the Pd(PPh3)3+PPh3 form not only in accord with our calculations, but also by as described by others [36].
Consecutive ligation of “Pd(0)” by phosphines computed by the B3LYP/genecp//PCM(EtOH) method using the 6-31G(d,p) basis set for CHOP, and SDD(MWB28) for Pd atoms with the explicit-implicit solvent model.
| Y | X | Step 1 (V) |
Step 2 (IV) |
Step 3 (VI) |
Step 4 (VII) |
||||
|---|---|---|---|---|---|---|---|---|---|
| ΔH (kJ mol−1) | d 1 (Å) | ΔH (kJ mol−1) | d 2 (Å) | ΔH (kJ mol−1) | d 3 (Å) | ΔH (kJ mol−1) | d 4 (Å) | ||
| Ph | OH | –106.2 | 2.171 | –39.1 | 2.298 | 4.8 | 2.322 | 79.1a | 2.384b |
| 3,5-diMeC6H3 | OH | –97.2 | 2.173 | –31.2 | 2.300 | 18.1 | 2.327 | 83.0a | 2.404b |
| 2-MeC6H4 | OH | –90.6 | 2.181 | –27.7 | 2.309 | 51.3 | 2.363 | 174.6a | 2.475b |
| Ph | Ph | –150.5 | 2.198 | –91.3 | 2.323 | 53.9 | 2.386 | 113.6 | 2.545 |
-
aEstimated values, optimized at loose convergence criteria.
-
bAverage values.

Enthalpy changes (1) and total enthalpy changes (2) for the mono-, bis- and tris-ligation of Pd(0) computed by the B3LYP/genecp//PCM(EtOH) method using the 6-31G(d,p) basis set for CHOP, and SDD(MWB28) for Pd atoms including the explicit-implicit solvent model.
Mechanism of the Hirao reaction of bromobenzene and diarylphosphine oxides
Beside our detailed investigations on the mechanism [19], the literature mentions the usual mechanistic protocol comprising oxidative addition of the bromoarene of the Pd(0) complex, incorporation of the >P(O)H reagent by exchange, deprotonation, and reductive elimination to provide the ArP(O)< product [37], [38], [39]. The proposal of Kalek and Stawinski contains new elements regarding the “Pd”–ArX adduct, and the coordination of the >P(O)H species [40]. However, to date, the mechanism suggested by us (Fig. 4) on the basis of high level quantum chemical calculations is the most detailed version. According to this, the “Pd”–PhBr adduct undergoes an SN1 substitution with the >P(O)H reagent, and the formation of the Pd–C bond following a deprotonation takes place according to a new way [19].
![Fig. 4:
Enthalpy diagram for the P–C coupling reaction of bromobenzene with diarylphosphine oxides in the presence of [(HO)Ar2P]2Pd catalyst computed by the B3LYP/genecp//PCM(EtOH) method using the 6-31G(d,p) basis set for CHOP, and SDD(MWB28) for Pd atoms.](/document/doi/10.1515/pac-2018-1004/asset/graphic/j_pac-2018-1004_fig_024.jpg)
Enthalpy diagram for the P–C coupling reaction of bromobenzene with diarylphosphine oxides in the presence of [(HO)Ar2P]2Pd catalyst computed by the B3LYP/genecp//PCM(EtOH) method using the 6-31G(d,p) basis set for CHOP, and SDD(MWB28) for Pd atoms.
The calculated values of the enthalpy of activation for the rate determining oxidative addition (58.5 kJ mol−1, 60.8 kJ mol−1 and 70.4 kJ mol−1 for the models Y=Ph, 3,5-diMeC6H3, 2-MeC6H4, respectively) are not in accord with the experimentally observed reaction times of 60, 15 and 15 min, respectively. As it was discussed above, the ligation of Pd(0) determines the activity of the catalyst that also has an impact on the course of the reaction. The sterically more hindered ligands ((2-MeC6H4)2POH and (3,5-diMeC6H3)2POH) favor the dominance of the active Pd(0)L2 form over the inactive Pd(0)L3 species.
Conclusions
Studying the Hirao reaction of bromobenzene with diarylphosphine oxide in the presence of 5% of Pd(OAc)2 applying 15% excess of the P-reactant to ensure the reduction of Pd2+ and the bis-ligation of the Pd(0) so obtained, it was found that the P–C coupling was significantly faster with (2-MeC6H4)2P(O)H and (3,5-diMeC6H3)2P(O)H, than with Ph2P(O)H and (4-MeC6H4)2P(O)H. Moreover, the first two species could be applied as selective P-ligands in the Hirao reactions of the later two P-reagents. Dependence of the efficiency of the Pd(PAr2OH)2 catalyst on the methyl substituents of the aromatic ring followed a reversed order as the reactivity of the Ar2P(O)H in the P–C coupling reaction. The novel mechanism for the formation of the “PdP2” catalyst evaluated by theoretical calculations was in accord with preparative experiments, as required three equivalents of the >P(O)H species for each of the Pd(OAc)2 molecules. The ligation of Pd(0) with the different diarylphosphine oxides was also investigated, and the critical role of the steric hindrance due to the methyl group in the aromatic ring affecting the activity of the catalyst was pointed out. The energetics for the sequence of the Hirao reaction was also evaluated for three different models.
Experimental
Preparation of the starting materials
The synthesis of bis(2-methylphenyl)phosphine oxide
To 1.9 g (80.0 mmol) of magnesium in 20 mL of diethyl ether was added a few crystals of I2. Then, a few drops of the solution of 9.6 mL (80.0 mmol) of 2-bromotoluene in 30 mL of diethyl ether was added. After the initiation, the remaining solution was added dropwise to maintain reflux. After the addition was complete, the mixture was stirred at the boiling point for 2.5 h. Then, the mixture was cooled to 0 °C, and 2.6 mL (20.0 mmol) of diethyl phosphite in 30 mL of diethyl ether was added dropwise to the solution of the Grignard reagent. The contents of the flask were stirred at 26 °C for 2.5 h. The mixture was then quenched with 10% HCl solution at 0 °C. The aqueous phase was extracted twice with 80 mL of diethyl ether, and the combined organic phases were dried (Na2SO4). Evaporation of the solvent provided a residue that was purified by column chromatography (silica gel, 1% methanol in dichloromethane) to give bis(2-methylphenyl)phosphine oxide as pale-yellow white crystals.
Bis(2-methylphenyl)phosphine oxide
Yield: 63%; mp.: 98 °C, mp. [41]: 97–98 °C; 31P NMR (CDCl3, 121.5 MHz) δ 17.8, δP lit [41] (CDCl3, 202 MHz) 17.8, δP lit [42] (CDCl3, 162 MHz) 17.7; [M+H]+=231.0940, C14H16OP requires 231.0939.
The synthesis of bis(4-methylphenyl)phosphine oxide
The preparation of bis(4-methylphenyl)phosphine oxide was performed according to our previously described method [18].
Bis(4-methylphenyl)phosphine oxide
Yield: 60%; white crystals; mp.: 96–97 °C, mp. [43]: 95–96 °C; 31P NMR (CDCl3, 121.5 MHz) δ 21.9, δP lit [42] (CDCl3, 162 MHz) 21.7; δP lit [43] (CDCl3, 121 MHz) 20.5; [M+H]+=231.0941, C14H16OP requires 231.0939.
General procedure for the reaction of bromobenzene with diarylphosphine oxides
To 0.0056 g (0.025 mmol) of palladium acetate was added 0.053 mL (0.50 mmol) of bromobenzene, 0.58 mmol of diarylphosphine oxide [0.12 g of diphenylphosphine oxide, 0.13 g of bis(4-methylphenyl)phosphine oxide, 0.13 g of bis(2-methylphenyl)phosphine oxide or 0.15 g of bis(3,5-dimethylphenyl)phosphine oxide], 0.077 mL (0.55 mmol) of triethylamine, and 1 mL of ethanol as the solvent. The resulting mixture was irradiated in a closed vial in a CEM Discover (300 W) microwave reactor at the temperatures and for the times shown in Table 1. Then, the solvent was removed, and the mixture was purified by column chromatography (silica gel, ethyl acetate – hexane). Products 1a (83%), 1b (83%), 1c (80%) and 1d (82%) were obtained as white or pale yellow crystals.
Triphenylphosphine oxide (1a)
Appearance: white crystals; mp.: 156–158 °C, mp. [17]: 156–157 °C, mp. [44]: 156–157 °C; 31P NMR (CDCl3, 300 MHz) δ 29.1, δP lit [44] (CDCl3, 162 MHz) 29.5, δP lit [18] (CDCl3, 121.5 MHz) 30.3; 13C NMR (CDCl3, 300 MHz) δ 128.6 (d, J=12.1, C2)a, 132.0 (d, J=2.8, C4), 132.2 (d, J=9.9, C3)a, 132.7 (d, J=103.8, C1), amay be reversed, δC lit [44] (CDCl3, 100 MHz) 128.4 (d, J=12.1), 131.9 (d, J=2.2), 132.5 (d, J=9.9), 132.8 (d, J=104.6); 1H NMR (CDCl3, 300 MHz) δ 7.38–7.48 (m, 6H, ArH), 7.48–7.56 (m, 3H, ArH), 7.59–7.72 (m, 6H, ArH), δH lit [44] (CDCl3, 400 MHz) δ 7.43–7.48 (m, 6H), 7.52–7.56 (m, 3H), 7.64–7.70 (m, 6H); [M+H]+=279.0941, C18H16OP requires 279.0939.
Bis(4-methylphenyl)phenylphosphine oxide (1b)
Appearance: white crystals; mp.: 76 °C, mp. [18]: 78–79 °C; 31P NMR (CDCl3, 300 MHz) δ 27.8, δP lit [18] (CDCl3, 162 MHz) 29.4, δP lit [44] (CDCl3, 162 MHz) 30.5; 13C NMR (CDCl3, 300 MHz) δ 21.6 (CH3), 128.5 (d, J=12.1, C2′)a, 129.3 (d, J=12.5 Hz, C2)b, 129.4 (d, J=106.6 Hz, C1), 131.8 (d, J=2.7 Hz, C4′), 132.1 (d, J=9.8 Hz, C3′)a, 132.1 (d, J=10.3 Hz, C3)b, 133.1 (d, J=104.1 Hz), 142.4 (d, J=2.8 Hz) a,bmay be reversed, δC lit [45] (CDCl3, 100 MHz) 21.7, 128.6 (d, J=11.8 Hz), 129.4 (d, J=12.6 Hz), 129.4 (d, J=106.9 Hz), 131.9 (d, J=3.2 Hz), 132.0 (d, J=8.7 Hz), 132.2 (d, J=10.2 Hz), 133.0 (d, J=102.5 Hz), 142.6 (d, J=2.9 Hz); 1H NMR (CDCl3, 300 MHz): δ 2.39 (s, 6H, CH3), 7.18–7.32 (m, 4H, ArH), 7.37–7.47 (m, 2H, ArH), 7.47–7.61 (m, 5H, ArH), 7.61–7.73 (m, 2H, ArH); δH lit [45] (CDCl3, 400 MHz) 2.38 (s, 6H), 7.24 (dd, J=8.4, 2.4 Hz, 4H), 7.48 (m, 1H), 7.53 (dd, J=11.8, 8.0 Hz, 4H), 7.62–7.68 (m, 2H); [M+H]+=307.1254, C20H20OP requires 307.1252.
Bis(2-methylphenyl)phenylphosphine oxide (1c)
Appearance: white crystals; mp.: 86–87 °C, mp. [46]: 82–85 °C; 31P NMR (CDCl3, 300 MHz) δ 35.0, δP lit [47] (CDCl3, 202 MHz) 39.4, 13C NMR (CDCl3, 300 MHz) δ 21.9 (d, J=4.3, CH3), 125.4 (d, J=12.8, C5′)a, 128.6 (d, J=12.0, C3)a, 130.9 (d, J=102.3, C1′), 131.8 (d, J=2.7, C4), 132.0 (C4′), 132.1 (d, J=13.2, C3′)b, 132.3 (d, J=9.6, C6′)b, 132.7 (d, J=104.6, C1), 133.0 (d, J=12.9)b, 143.4 (d, J=8.2, C2′), a,bmay be reversed, δC lit [47] (CDCl3, 125 MHz) 21.8 (d, JP−C=4.5), 125.3 (d, JP−C=12.7), 128.5 (d, JP−C=12.7), 130.8 (d, JP−C=101.7), 131.7 (d, JP−C=2.7), 131.8 (d, JP−C=2.7), 131.9 (d, JP−C=10.9), 132.2 (d, JP−C=10.0), 132.7 (d, JP−C=102.6), 132.9 (d, JP−C=12.7), 143.4 (d, JP−C=8.2), 1H NMR (CDCl3, 300 MHz) 2.51 (s, 6H, CH3), 6.96–7.09 (m, 2H, ArH), 7.09–7.18 (m, 2H, ArH), 7.27–7.35 (m, 2H, ArH), 7.37–7.52 (m, 4H, ArH), 7.52–7.66 (m, 3H, ArH), δH lit [47] (CDCl3, 500 MHz) 2.52 (s, 6H), 7.01–7.06 (m, 2H), 7.12–7.17 (m, 2H), 7.29–7.33 (m, 2H), 7.41–7.45 (m, 2H), 7.46–7.50 (m, 2H), 7.54–7.59 (m, 1H), 7.59e7.64 (m, 2H); [M+H]+=307.1531, C20H20OP requires 307.1252.
Bis(3,5-dimethylphenyl)phenylphosphine oxide (1d)
Appearance: white crystals; mp.: 159 °C; mp. [45]: 158.6–159.2 °C; 31P NMR (CDCl3, 300 MHz) δ 29.6, δP lit [45] (CDCl3, 162 MHz) 30.9; 13C NMR (CDCl3, 300 MHz) δ 21.4 (CH3), 128.4 (d, J=12.0 Hz, C3′)a, 129.7 (d, J=9.8 Hz, C2), 131.7 (C4′), 132.1 (d, J=9.9 Hz, C3′)a, 132.4 (d, J=105.3 Hz, C1), 133.1 (d, J=103.1 Hz, C1′), 133.7 (d, J=2.8 Hz, C4), 138.1 (d, J=12.7 Hz, C3), amay be reversed, δC lit [45] (CDCl3, 100 MHz) 21.56, 128.6 (d, J=11.7 Hz), 129.8 (d, J=10.0 Hz), 131.9 (d, J=2.2 Hz), 132.3 (d, J=9.7 Hz), 132.4 (d, J=102.6 Hz), 133.1 (d, J=102.7 Hz), 133.9 (d, J=2.3 Hz), 138.3 (d, J=12.2 Hz); 1H NMR (CDCl3, 300 MHz) 2.31 (s, 12H, CH3), 7.15 (s, 2H, ArH), 7.28 (d, J=12.2 Hz, 4H, ArH), 7.39–7.55 (m, 3H, ArH), 7.62–7.73 (m, 2H, ArH), δH lit [45] (CDCl3, 400 MHz) 2.31 (s, 12H), 7.15 (s, 2H), 7.26 (d, J=12.4 Hz, 4H), 7.42–7.47 (m, 2H), 7.51–7.55 (m, 1H), 7.63–7.68 (m, 2H); [M+H]+=335.1567, C22H24OP requires 335.1565. 31P, 13C and 1H NMR spectra of compounds 1a–d can be found in the Supplementary Material.
The P–C coupling of bromobenzene with Ph2P(O)H in the presence of (2-MeC6H4)2P(O)H as the P-ligand
To 0.0056 g (0.025 mmol) of palladium acetate was added 0.053 mL (0.50 mmol) of bromobenzene, 0.10 g (0.50 mmol) of diphenylphosphine oxide, 0.017 g (0.075 mmol) of bis(2-methylphenyl)phosphine oxide, 0.077 mL (0.55 mmol) of triethylamine, and 1 mL of ethanol as the solvent [in the case of 0.011 g (0.050 mmol) palladium acetate 0.035 g (0.15 mmol) of bis(2-methylphenyl)phosphine oxide was used]. The resulting mixture was irradiated in a closed vial in a CEM Discover (300 W) microwave reactor at the temperatures and for the times shown in Table 2. After the reaction, the solvent was removed, and the residue so obtained purified by column chromatography (silica gel, ethyl acetate – hexane). Product 1a (80/82%), was obtained as white crystals.
Concurrent Hirao reaction of diaryl phosphine oxides
To 0.0056 g (0.025 mmol) of palladium acetate was added 0.053 mL (0.50 mmol) of bromobenzene, 0.29–0.29 mmol of two diarylphosphine oxides [0.059 g of diphenylphosphine oxide and 0.067 g of bis(2-methylphenyl)phosphine oxide or 0.059 g of diphenylphosphine oxide and 0.075 g of bis(3,5-dimethylphenyl)phosphine oxide or 0.067 g of bis(2-methylphenyl)phosphine oxide and 0.075 g of bis(3,5-dimethylphenyl)phosphine oxide], 0.077 mL (0.55 mmol) of triethylamine, and 1 mL of ethanol as the solvent. The resulting mixture was irradiated in a closed vial in a CEM Discover (300 W) microwave reactor at the temperatures and for the times shown in Table 3. Then, the solvent was removed, and the residue was passed through a thin (ca. 1–2 cm) layer of silica gel using ethyl acetate. Volatile components were removed in vacuo, and the pale yellow crystals so obtained were analyzed by 31P NMR spectroscopy.
Quantum chemical calculations
All computations were carried out with the Gaussian09 program package (G09) [48] using convergence criteria of 3.0×10−4, 4.5×10−4, 1.2×10−3 and 1.8×10−3, for the gradients of the root mean square (RMS) Force, Maximum Force, RMS displacement and maximum displacement vectors, respectively. Computations were carried out at B3LYP level of theory [34] using/6-31G(d,p) basis set for nuclei CHNOPBr and MWB28 for Pd [35] including the explicit-implicit solvent model [33]. The vibrational frequencies were computed at the same levels of theory, in order to confirm properly all structures as residing at minima on their potential energy hypersurfaces (PESs). Thermodynamic functions U, H, G and S were computed at 298.15 K. Beside the vacuum calculations, IEFPCM method was also applied to model the solvent effect, by using the default settings of G09 (radii=UFF), modeling EtOH solvent [49]. Few cases, the frequency calculations could not be achieved at the standard level, due to the high memory demand, here the IR frequencies from the vacuum calculations were used.
It was found that the calculated entropy values rather depend on the change of the number of molecules than the intrinsic structural modifications in the course of the sequence of reactions. This is due to the large and overestimated value of the translational and rotational entropy contributions coming from the single molecule computations. However, this distorted entropy change modify significantly the Gibbs free energy changes (ΔG) as well, for this, the ΔG values obtained were ignored. Consequently, only the enthalpy changes (ΔH) were considered in the discussion, which are considered to provide a more reliable picture and description of the complex reaction mechanism than ΔG. It is noted that in a few cases, where the size of the molecule is rather large, the geometries were not fully optimized due to the complicated solvent model (PCM). Here, the geometry optimization could reach only the loose convergence criteria instead of the thigth one. These values are marked in Table 5. Details for the theoretical calculations are listed in the Supplementary Material.
Article note
A collection of invited papers based on presentations at the 22nd International Conference on Phosphorous Chemistry (ICPC-22) held in Budapest, Hungary, 8–13 July 2018.
Acknowledgments
This work was sponsored by the National Research Development and Innovation Fund (K119202). RH was supported through the New National Excellence Program of the Ministry of Human Capacities (ÚNKP-18-3-I-BME-118).
References
[1] T. Hirao, T. Masunaga, Y. Ohshiro, T. Agawa. Tetrahedron Lett. 21, 3595 (1980).10.1016/0040-4039(80)80245-0Search in Google Scholar
[2] T. Hirao, T. Masunaga, N. Yamada, Y. Ohshiro, T. Agawa. Bull. Chem. Soc. Jpn.55, 909 (1982).10.1246/bcsj.55.909Search in Google Scholar
[3] T. Hirao, T. Masunaga, Y. Ohshiro, T. Agawa. Synthesis 56 (1981).10.1055/s-1981-29335Search in Google Scholar
[4] E. Jablonkai, G. Keglevich. Curr. Org. Synth. 11, 429 (2014).10.2174/15701794113109990066Search in Google Scholar
[5] E. Jablonkai, G. Keglevich. Org. Prep. Proc. Int. 46, 281 (2014).10.1080/00304948.2014.922376Search in Google Scholar
[6] E. Jablonkai, G. Keglevich. Curr. Green Chem. 2, 379 (2015).10.2174/2213346102999150630114117Search in Google Scholar
[7] F. M. J. Tappe, V. T. Trepohl, M. Oestreich. Synthesis 3037 (2010).10.1055/s-0030-1257960Search in Google Scholar
[8] A. L. Schwan. Chem. Soc. Rev. 33, 218 (2004).10.1039/B307538ASearch in Google Scholar
[9] Z. S. Novikova, N. N. Demik, A. Yu. Agarkov, I. P. Beletskaya. Russ. J. Org. Chem. 31, 129 (1995).Search in Google Scholar
[10] M. M. Kabachnik, M. D. Solntseva, V. V. Izmer, Z. S. Novikova, I. P. Beletskaya. Russ. J. Org. Chem.34, 93 (1998).Search in Google Scholar
[11] I. P. Beletskaya, M. A. Kazankova. Russ. J. Org Chem. 40, 1782 (2004).10.1007/s11178-005-0099-9Search in Google Scholar
[12] I. P. Beletskaya, N. B. Karlstedt, E. E. Nifant’ev, D. V. Khodarev, T. S. Kukhareva, A. V. Nikolaev, A. J. Ross. Russ. J. Org. Chem. 42, 1780 (2006).10.1134/S1070428006120049Search in Google Scholar
[13] M. Kalek, A. Ziadi, J. Stawinski. Org. Lett. 10, 4637 (2008).10.1021/ol801935rSearch in Google Scholar PubMed
[14] D. Villemin, P.-A. Jaffres, F. Simeon. Phosphorus Sulfur130, 59 (1997).10.1080/10426509708033697Search in Google Scholar
[15] G. Bramachari. ChemTexts: The Textbook Journal of Chemistry, pp. 1–15, Springer, Switzerland (2015).10.1007/s40828-014-0004-7Search in Google Scholar
[16] E. Jablonkai, G. Keglevich. Tetrahedron Lett. 54, 4185 (2013).10.1016/j.tetlet.2013.05.111Search in Google Scholar
[17] G. Keglevich, E. Jablonkai, L. B. Balázs. RSC Adv. 4, 22808 (2014).10.1039/C4RA03292FSearch in Google Scholar
[18] E. Jablonkai, L. B. Balázs, G. Keglevich. Curr. Org. Chem. 19, 197 (2015).10.2174/1385272819666150114235413Search in Google Scholar
[19] G. Keglevich, R. Henyecz, Z. Mucsi, N. Z. Kiss. Adv. Synth. Catal. 359, 4322 (2017).10.1002/adsc.201700895Search in Google Scholar PubMed PubMed Central
[20] T. Archard. Chimia70, 8 (2016).Search in Google Scholar
[21] T. M. Shaikh, C.-M. Weng, F.-E. Hong. Coord. Chem. Rev. 256, 771 (2012).10.1016/j.ccr.2011.11.007Search in Google Scholar
[22] P. Sutra, A. Igau. Coord. Chem. Rev. 308, 97 (2016).10.1016/j.ccr.2015.07.002Search in Google Scholar
[23] L. Ackermann. Synthesis 1557 (2006).10.1055/s-2006-926427Search in Google Scholar
[24] G. Y. Li, G. Zheng, A. F. Noonan. J. Org. Chem. 66, 8677 (2001).10.1021/jo010764cSearch in Google Scholar PubMed
[25] G. Y. Li. Angew. Chem. Int. Ed. 40, 1513 (2001).10.1002/1521-3773(20010417)40:8<1513::AID-ANIE1513>3.0.CO;2-CSearch in Google Scholar
[26] J. Bigeault, L. Giordano, G. Buono. Angew. Chem. Int. Ed. 44, 4753 (2005).10.1002/anie.200500879Search in Google Scholar
[27] L. Ackermann, H. K. Potukuchi, A. R. Kapdi, C. Schulzke. Chem. Eur. J. 16, 330 (2010).10.1002/chem.201000032Search in Google Scholar
[28] H. Xu, K. Ekoue-Kovi, C. Wolf. J. Org. Chem. 73, 7638 (2008).10.1021/jo801445ySearch in Google Scholar
[29] L. Ackermann, R. Vicente, N. Hofmann. Org. Lett. 11, 4274 (2009).10.1021/ol901597dSearch in Google Scholar
[30] J. Bigeault, L. Giordano, I. de Riggi, Y. Gimbert, G. Buono. Org. Lett. 9, 3567 (2007).10.1021/ol071386mSearch in Google Scholar
[31] B. Kurscheid, B. Neumann, H.-G. Stammler, B. Hoge. J. Chem. Eur.17, 14935 (2011).10.1002/chem.201102347Search in Google Scholar
[32] M. Kalek, J. Stawinski. Organometallics26, 5840 (2007).10.1021/om700797kSearch in Google Scholar
[33] Z. Mucsi, A. Szabó, I. Hermecz, Á. Kucsman, I. G. Csizmadia. J. Am. Chem. Soc. 127, 7615 (2005).10.1021/ja042227qSearch in Google Scholar
[34] A. D. Beke. J. Chem. Phys. 98, 5648 (1993).10.1063/1.464913Search in Google Scholar
[35] D. Andrae, U. Haeussermann, M. Dolg, H. Stoll, H. Preuss. Theor. Chem. Acc. 77, 123 (1990).10.1007/BF01114537Search in Google Scholar
[36] C. Amatore, F. Pflüger. Organometallics9, 2276 (1990).10.1021/om00158a026Search in Google Scholar
[37] C. Amatore, A. Jutand. Acc. Chem. Res. 33, 314 (2000).10.1021/ar980063aSearch in Google Scholar PubMed
[38] E. L. Deal, C. Petit, J.-L. Montchamp. Org. Lett. 13, 3270 (2011).10.1021/ol201222nSearch in Google Scholar PubMed
[39] O. Berger, C. Petit, E. L. Deal, J.-L. Montchamp. Adv. Synth. Catal. 355, 1361 (2013).10.1002/adsc.201300069Search in Google Scholar
[40] M. Kalek, J. Stawinski. Organometallics27, 5876 (2008).10.1021/om800641nSearch in Google Scholar
[41] C. A. Busacca, J. C. Lorenz, N. Grinberg, N. Haddad, M. Hrapchak, B. Latli, H. Lee, P. Sabila, A. Saha, M. Sarvestani, S. Shen, R. Varsolona, X. Wei, C. H. Senanayake. Org. Lett. 7, 4277 (2005).10.1021/ol0517832Search in Google Scholar PubMed
[42] R. Shen, B. Luo, J. Yang, L. Zhanga, L.-B. Han. Chem. Commun. 52, 6451 (2016).10.1039/C6CC02563CSearch in Google Scholar PubMed
[43] A. Christiansen, C. Li, M. Garland, D. Selent, R. Ludwig, A. Spannenberg, W. Baumann, R. Franke, A. Börner. Eur. J. Org. Chem. 14, 2733 (2010).10.1002/ejoc.201000037Search in Google Scholar
[44] X. Zhang, H. Liu, X. Hu, G. Tang, J. Zhu, Y. Zhao. Org. Lett. 13, 3478 (2011).10.1021/ol201141mSearch in Google Scholar PubMed
[45] C. Shen, G. Yang, W. Zhang. Org Biomol Chem. 10, 3500 (2012).10.1039/c2ob25225bSearch in Google Scholar PubMed
[46] L. Mei, S. Feng. Asian J. Chem. 16, 1124 (2004).Search in Google Scholar
[47] M. Stankevič, A. Włodarczyk. Tetrahedron69, 73 (2013).10.1016/j.tet.2012.10.064Search in Google Scholar
[48] M. J. Frisch, G. W. Trucks, H. B. Schlegel, G. E. Scuseria, M. A. Robb, J. R. Cheeseman, G. Scalmani, V. Barone, B. Mennucci, G. A. Petersson, H. Nakatsuji, M. Caricato, X. Li, H. P. Hratchian, A. F. Izmaylov, J. Bloino, G. Zheng, J. L. Sonnenberg, M. Hada, M. Ehara, K. Toyota, R. Fukuda, J. Hasegawa, M. Ishida, T. Nakajima, Y. Honda, O. Kitao, H. Nakai, T. Vreven, J. A. Montgomery, Jr., J. E. Peralta, F. Ogliaro, M. Bearpark, J. J. Heyd, E. Brothers, K. N. Kudin, V. N. Staroverov, R. Kobayashi, J. Normand, K. Raghavachari, A. Rendell, J. C. Burant, S. S. Iyengar, J. Tomasi, M. Cossi, N. Rega, J. M. Millam, M. Klene, J. E. Knox, J. B. Cross, V. Bakken, C. Adamo, J. Jaramillo, R. Gomperts, R. E. Stratmann, O. Yazyev, A. J. Austin, R. Cammi, C. Pomelli, J. W. Ochterski, R. L. Martin, K. Morokuma, V. G. Zakrzewski, G. A. Voth, P. Salvador, J. J. Dannenberg, S. Dapprich, A. D. Daniels, O. Farkas, J. B. Foresman, J. V. Ortiz, J. Cioslowski, D. J. Fox. Gaussian 09, Revision A.1, Gaussian Inc., Wallingford CT (2009).Search in Google Scholar
[49] P. R. Schleyer, C. Maerker, A. Dransfeld, H. Jiao, N. J. R. van Eikema Hommes. J. Am. Chem. Soc.118, 6317 (1996).10.1021/ja960582dSearch in Google Scholar PubMed
Supplementary Material
The online version of this article offers supplementary material (https://doi.org/10.1515/pac-2018-1004).
©2018 Henyecz and Keglevich et al., published by IUPAC & De Gruyter.
This work is licensed under the Creative Commons Attribution-NonCommercial-NoDerivatives 4.0 International License.
Articles in the same Issue
- Frontmatter
- In this issue
- Guest Editorial
- Research Papers from the 22nd International Conference on Phosphorus Chemistry (ICPC-22)
- Conference papers
- Efficient modular phosphorus-containing ligands for stereoselective catalysis
- Opportunities and challenges for combining electro- and organometallic catalysis in C(sp2)-H phosphonation
- Applications of H-phosphonates for C element bond formation
- Stereochemistry of electrophilic and nucleophilic substitutions at phosphorus
- Direct esterification of phosphinic and phosphonic acids enhanced by ionic liquid additives
- Continuous flow synthesis of α-aryl-α-aminophosphonates
- Low-coordinate organophosphorus compounds: some stereochemical considerations
- Applications of transition metal catalyzed P-radical for synthesis of organophosphorus compounds
- Recent advances in catalytic Wittig-type reactions based on P(III)/P(V) redox cycling
- Making and breaking of phosphorus–phosphorus bonds
- Challenges and solutions in phosphinate chemistry
- Palladium-catalyzed microwave-assisted Hirao reaction utilizing the excess of the diarylphosphine oxide reagent as the P-ligand; a study on the activity and formation of the “PdP2” catalyst
- Synthesis of a variety of organophosphorus compounds using 2-phosphaindolizines as precursors
- Microwave irradiation and catalysis in organophosphorus reactions
- Erratum
- Correction to “Post-transition state bifurcations gain momentum – current state of the field”
- IUPAC Technical Report
- International Standard for viscosity at temperatures up to 473 K and pressures below 200 MPa (IUPAC Technical Report)
- Erratum
- Erratum to: Isotope-abundance variations and atomic weights of selected elements: 2016 (IUPAC Technical Report)
Articles in the same Issue
- Frontmatter
- In this issue
- Guest Editorial
- Research Papers from the 22nd International Conference on Phosphorus Chemistry (ICPC-22)
- Conference papers
- Efficient modular phosphorus-containing ligands for stereoselective catalysis
- Opportunities and challenges for combining electro- and organometallic catalysis in C(sp2)-H phosphonation
- Applications of H-phosphonates for C element bond formation
- Stereochemistry of electrophilic and nucleophilic substitutions at phosphorus
- Direct esterification of phosphinic and phosphonic acids enhanced by ionic liquid additives
- Continuous flow synthesis of α-aryl-α-aminophosphonates
- Low-coordinate organophosphorus compounds: some stereochemical considerations
- Applications of transition metal catalyzed P-radical for synthesis of organophosphorus compounds
- Recent advances in catalytic Wittig-type reactions based on P(III)/P(V) redox cycling
- Making and breaking of phosphorus–phosphorus bonds
- Challenges and solutions in phosphinate chemistry
- Palladium-catalyzed microwave-assisted Hirao reaction utilizing the excess of the diarylphosphine oxide reagent as the P-ligand; a study on the activity and formation of the “PdP2” catalyst
- Synthesis of a variety of organophosphorus compounds using 2-phosphaindolizines as precursors
- Microwave irradiation and catalysis in organophosphorus reactions
- Erratum
- Correction to “Post-transition state bifurcations gain momentum – current state of the field”
- IUPAC Technical Report
- International Standard for viscosity at temperatures up to 473 K and pressures below 200 MPa (IUPAC Technical Report)
- Erratum
- Erratum to: Isotope-abundance variations and atomic weights of selected elements: 2016 (IUPAC Technical Report)

