Home Physical Sciences Recent advances in catalytic Wittig-type reactions based on P(III)/P(V) redox cycling
Article Open Access

Recent advances in catalytic Wittig-type reactions based on P(III)/P(V) redox cycling

  • Lars Longwitz and Thomas Werner EMAIL logo
Published/Copyright: December 3, 2018

Abstract

Numerous organic transformations are based on the use of stoichiometric amounts of phosphorus reagents. The formation of phosphane oxides from phosphanes is usually the thermodynamic driving force for these reactions. The stoichiometric amounts of phosphane oxide which are formed as by-products often significantly hamper the product purification. Organophosphorus catalysis based on P(III)/P(V) redox cycling aims to address these problems. Herein we present our recent advances in developing catalytic Wittig-type reactions. More specifically, we reported our results on catalytic Wittig reactions based on readily available Bu3P=O as pre-catalyst as well as the first microwave-assisted version of this reaction and the first enantioselective catalytic Wittig reaction utilizing chiral phosphane catalysts. Further developments led to the implementation of catalytic base-free Wittig reactions yielding highly functionalized alkylidene and arylidene succinates.

Introduction

Carbon-carbon double bonds are ubiquitous functional groups in organic chemistry. Compounds containing this structural motive can be both feedstock chemicals and synthetic targets. One of the most important methods for the construction of carbon-carbon double bonds is the olefination of carbonyl groups utilizing phosphorus ylides. This reaction was discovered by Wittig and Geissler in 1953 [1], [2]. Over the years the so-called Wittig reaction developed into one of the most recognized methods for the chemo- and regioselective olefination of carbonyl groups. Notably, this reaction has been extensively employed in synthesis [3], [4], [5], [6] even on industrial scale [7], [8]. A variety of reagents and modifications have emerged [9], [10], [11]. The reaction occurs between carbonyl compounds 1, usually an aldehyde or ketone, and a carbon–phosphorus ylide 2 to yield the corresponding alkene 3 and a phosphane oxide 4 as a by-product (Scheme 1).

Scheme 1: 
          The Wittig reaction.
Scheme 1:

The Wittig reaction.

However, the classical Wittig reaction suffers from several drawbacks. For instance the ylide usually needs to be prepared prior to the olefination step. This requires the alkylation of a suitable phosphane 7 and subsequent deprotonation of salt 9 with stoichiometric amounts of a suitable base (Scheme 2) [9], [10], [11]. The carbon–phosphorus ylide 10 is then converted with an aldehyde or ketone to generate the alkene and a phosphane oxide as the by-product. Even though the formed alkene is typically around 125 kJ mol−1 less stable than the C=O bond of the respective aldehyde or ketone, the remarkable P=O bond strength of approx. 537 kJ mol−1 compensates for this and represents the thermodynamic driving force for the reaction. However, the separation of the phosphane oxide by-product can be challenging and sometimes significantly hampers product purification which reduces the overall efficiency of this reaction [12], [13]. The chemoselective reduction of the P=O bond is a prerequisite for the realization of a catalytic Wittig reaction, beside the formation of the ylide and the subsequent Wittig reaction in one pot. Since the As=O bond is about 108 kJ mol−1 weaker compared to the respective P=O bond it is significantly easier to reduce. Thus it is not surprising that the first example on a catalytic Wittig-type reaction has been realized using nBu3As (5) as a catalyst by Shi and coworkers in 1989 [14]. Subsequently, Tang et al. reported the use of alkyl tellurides as viable catalysts for this reaction [15], [16]. Notably, in 2009, O’Brien et al. described the first Wittig reaction using catalytic amounts of phosphane and subsequently further elaborated this methodology [17], [18], [19], [20].

Scheme 2: 
          Proposed catalytic cycle for the Wittig reaction and first reports on catalytic Wittig(-type) reactions.
Scheme 2:

Proposed catalytic cycle for the Wittig reaction and first reports on catalytic Wittig(-type) reactions.

Results and discussion

Microwave assisted catalytic Wittig reaction

Initially, we envisioned to develop a variant of the catalytic Wittig reaction employing readily available catalysts and pre-catalysts, respectively. Thus, we screened various phosphane oxides as well as phosphanes in the presence of different silane reducing agents and solvents utilizing conventional heating as well as microwave irradiation. In this study nBu3P=O (4b, 10–15 mol%) proved to be the most suitable pre-catalyst while microwave heating gave superior results compared to conventional heating [21], [22]. Under the optimized reaction conditions aromatic (R=Ar), aliphatic (R=alkyl) as well as heteroaromatic (R=HetAr) substrates 11 were converted. The desired products 13 were obtained in moderate to good yields (Scheme 3).

Scheme 3: 
            First microwave assisted catalytic Wittig reaction and selected examples. Yields in parenthesis corresponds to the use of 10 mol% catalyst 4b.
Scheme 3:

First microwave assisted catalytic Wittig reaction and selected examples. Yields in parenthesis corresponds to the use of 10 mol% catalyst 4b.

Notably, the use of capped bases (epoxides) namely butylene oxide (14) proved to be essential to obtain good results. Based on our experience with phosphonium salts as catalysts for the addition of CO2 to epoxides a putative mechanism for the formation of the carbon–phosphorus ylide 10a is shown in Scheme 4 [23], [24], [25], [26]. The initial step of the ylide formation is the nucleophilic ring opening of the epoxide 14 by the anion (Br) of the in situ formed phosphonium salt 9a. Subsequent deprotonation of the phosphonium salt 9a by the formed alkoxide 15 yields the desired ylide 10a. The formed bromo hydrine 16 was detected by GC-MS from the reaction mixture.

Scheme 4: 
            Putative mechanism for the ylide formation in the presence of butylene oxide as a capped base.
Scheme 4:

Putative mechanism for the ylide formation in the presence of butylene oxide as a capped base.

Phospholane catalyzed Wittig reaction

Phospholane-based catalysts are frequently employed in P(III)/P(V) redox cycling [17], [18], [19], [20], [27], [28]. In this respect we envisioned easily accessible 2-phenylisophosphindoline oxide (4c) to be a promising catalyst for catalytic Wittig reactions [29]. In this case trimethoxysilane proved to be the reducing agent of choice while simple sodium carbonate could be used as base. However, to realize reproducible results it is crucial to use sodium carbonate with a grain size ≤250 μm. Under the optimized reaction conditions good to excellent yields for the desired alkenes 13 were obtained (Scheme 5).

Scheme 5: 
            Phospholane catalyzed Wittig reaction and selected examples.
Scheme 5:

Phospholane catalyzed Wittig reaction and selected examples.

Enantioselective catalytic Wittig reaction

One major advantage of phosphorus-based organocatalysis is the good availability of chiral phosphanes e.g. 7d–7g, which are commonly used as ligands in transition metal catalysis. Generally it is possible to realize enantioselective Wittig reactions e.g. by converting pro-chiral substrates with chiral ylides which has been reported by Trost and Curran in 1980 namely the intramolecular Wittig reaction of a pro-chiral diketone 17 to form the chiral bicyclic compound 18 (Scheme 6) [30], [31]. We envisioned the use of chiral phosphanes to be suitable catalysts to realize the first enantioselective catalytic Wittig reaction.

Scheme 6: 
            Intramolecular Wittig reaction of pro-chiral diketones lead to chiral products.
Scheme 6:

Intramolecular Wittig reaction of pro-chiral diketones lead to chiral products.

We tested various chiral phosphanes in the asymmetric synthesis of 18 from 17 as potential catalysts under the reaction conditions for catalytic Wittig reactions that have previously established in our group (Scheme 7) [29], [32]. Notably, chiral bisphosphane catalysts 7e–7g, bearing phospholane substructures proved to be most promising. When DuanPhos 7g was employed as the catalyst, a yield of 50% and ee of 62% were obtained. A higher enantioselectivity of over 80% was observed for Me-Duphos 7f, but an unsatisfying yield <10% was achieved.

Scheme 7: 
            First enantioselective catalytic Wittig reaction and selected examples of chiral catalysts.
Scheme 7:

First enantioselective catalytic Wittig reaction and selected examples of chiral catalysts.

Base-free catalytic Wittig reaction

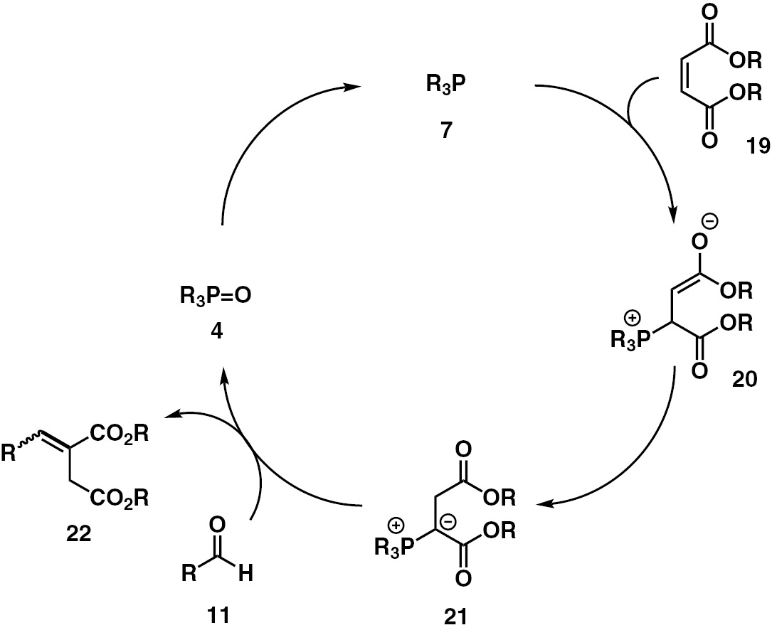
The formation of a carbon–phosphorus ylide 10 usually requires stoichiometric amounts of a base for the deprotonation of the respective phosphonium salt 9 (Scheme 2). However, we could show that a Brønsted base is not required when acceptor substituted alkenes 19 are utilized as substrates instead of alkyl halides (Scheme 8) [33], [34], [35]. The initial step is a Michael addition of the phosphane to the acceptor substituted double bond [36]. Subsequent intermolecular deprotonation or a 1,2-proton shift leads to the formation of the ylide 21 which reacts with an aldehyde 11 identical to the classic Wittig reaction to liberate alkylidene or arylidene succinates 22. Notably, these compounds have a similar substructures compared to Stobbe condensation products [37]. The in situ reduction of the formed phosphane oxide 4 to the phosphane 7 is finally closing the catalytic cycle.

Scheme 8: 
            Proposed mechanism for the base-free catalytic Wittig reaction.
Scheme 8:

Proposed mechanism for the base-free catalytic Wittig reaction.

We investigated two different catalytic systems utilizing simple tributyl phosphane (7b) as well as a phospholene-based catalyst 4h (Scheme 9). Notably, both catalysts are readily available from commercial sources. The utilization of tributyl phosphane (7b) allows the conversion of differently substituted aldehydes 11 under the optimized reaction conditions to yield the respective succinate derivatives 22 in moderate to good yield [35]. However, the results could be significantly improved by employing 3-methyl-1-phenyl-2-phospholene oxide (4h) as the pre-catalyst [34]. In this case the addition of a Brønsted acid, specifically benzoic acid, proved to be beneficial most probably facilitating the reduction of the phosphane oxide 4h [38].

Scheme 9: 
            Base-free catalytic Wittig reactions and selected examples.
Scheme 9:

Base-free catalytic Wittig reactions and selected examples.

Kinetic studies indicate that the reduction of the phosphane oxide is the rate determining step of the catalytic cycle. Moreover NMR spectroscopic investigations support the Michael addition to the acceptor substituted alkene to be the initial step. Scheme 10 shows a section of the substrate 19b (dimethyl maleate) 1H NMR (0 min, spectra A). The maleate 19b was isomerized to the fumarate 23 in less than 15 min by a Michael addition/elimination sequence in the presence of phosphane (R=nBu, spectrum B). Furthermore, a second compound was identified in 1H NMR of the mixture. The doublet for the CH2–group at 3.14 ppm showed a typical 3J-coupling constant of 15.9 Hz indicating the formation of the proposed ylide 21a. This signal collapsed to a singlet upon decoupling from phosphorus.

Scheme 10: 
            Isomerization of dimethyl maleate (19b) to fumerate 23 and the respective carbon–phosphorus ylide 21a. SpectrumA: section of the 1H NMR spectra of dimethyl maleate (19b). Spectrum B: section of the 1H NMR of a 1:1 mixture of nBu3P/dimethyl maleate (1:1) in toluene-d8 at 296 K after a reaction time of ≤15 min.
Scheme 10:

Isomerization of dimethyl maleate (19b) to fumerate 23 and the respective carbon–phosphorus ylide 21a. SpectrumA: section of the 1H NMR spectra of dimethyl maleate (19b). Spectrum B: section of the 1H NMR of a 1:1 mixture of nBu3P/dimethyl maleate (1:1) in toluene-d8 at 296 K after a reaction time of ≤15 min.

Conclusion

The implementation of catalytic Wittig reactions is a challenging task which requires the careful choice and evaluation of the reagents and reaction conditions to obtain the desired products in satisfying yields and to avoid unwanted side reactions. Herein, we reported our recent efforts in the development of catalytic Wittig(-type) reactions based on P(III)/P(V) redox cycling. Initially, the first microwave assisted catalytic Wittig reaction has been realized. Subsequently, we established a protocol based on 2-phenylisophosphindoline oxide as the pre-catalyst. This was of particular interest for the development of an asymmetric version of this reaction since many chiral phosphanes comprise a similar (phospholane) substructure. Consequently, the first enantioselective catalytic Wittig reaction by means of the desymmetrization of a prochiral diketone was realized. In the presence of DuanPhos, a yield of 50% and ee of 62% was obtained which highlights the feasibility of this concept. Furthermore, a base-free variant of the catalytic Wittig reaction was established using acceptor substituted alkenes as the substrates. Additional studies revealed that this methodology could be improved by adding a Brønsted acid co-catalyst. The proposed mechanism was supported by mechanistic investigations e.g. evidence for the initial Michael addition of the phosphane catalyst as well as the formation of the phosphorus ylide were obtained by 1H NMR spectroscopy. The potential of the intermolecular base-free catalytic Wittig reaction is by far not fully recognized and currently under further investigation in our group e.g. the obtained alkylidene and arylidene succinates are highly functionalized building blocks which allow a wide variety of subsequent functionalization. Moreover, we are currently developing an intramolecular version of this reaction for the synthesis of heterocycles. With regard to the classical catalytic Wittig reactions the conversion of ketones as substrates, the use of cheap reducing agents such as polymethylhydrosiloxane or even hydrogen, or general protocols for the conversion of non-stabilized ylides remain unsolved challenges which surely will be paid attention to in the future.


Article note

A collection of invited papers based on presentations at the 22nd International Conference on Phosphorous Chemistry (ICPC-22) held in Budapest, Hungary, 8–13 July 2018.


Acknowledgement

M. Hoffmann, M.-L. Schirmer, S. Deshmukh and S. Adomeit are kindly acknowledged for their contributions. This research project is part of the Leibniz ScienceCampus Phosphorus Research Rostock and is co-funded by the funding line strategic networks of the Leibniz Association.

References

[1] G. Wittig, G. Geissler. Liebigs Ann. Chem.580, 44 (1953).10.1002/jlac.19535800107Search in Google Scholar

[2] G. Wittig, U. Schöllkopf. Chem. Ber.87, 1318 (1954).10.1002/cber.19540870919Search in Google Scholar

[3] K. C. Nicolaou, M. W. Härter, J. L. Gunzner, A. Nadin. Liebigs Ann./Recl.1997, 1283 (1997).10.1002/jlac.199719970704Search in Google Scholar

[4] B. E. Maryanoff, A. B. Reitz. Chem. Rev.89, 863 (1989).10.1021/cr00094a007Search in Google Scholar

[5] P. J. Murphy, S. E. Lee. J. Chem. Soc. Perkin Trans 1, 3049 (1999).10.1039/a803560aSearch in Google Scholar

[6] P. A. Byrne, D. G. Gilheany. Chem. Soc. Rev.42, 6670 (2013).10.1039/c3cs60105fSearch in Google Scholar PubMed

[7] H. Ernst. Pure Appl. Chem.74, 2213 (2002).10.1351/pac200274112213Search in Google Scholar

[8] C. Mercier, P. Chabardes. Pure Appl. Chem.66, 1509 (1994).10.1351/pac199466071509Search in Google Scholar

[9] M. Edmonds, A. Abell. In Modern Carbonyl Olefination, T. Takeda (Ed.), pp. 1–17, Wiley-VCH, Weinheim (2004).10.1002/3527601880.ch1Search in Google Scholar

[10] M. Edmonds, A. Abell. In Organophosphorus Reagents, P. J. Murphy, (Ed.), pp. 99–127, Oxford Unversity Press, Oxford (2004).Search in Google Scholar

[11] O. I. Kolodiazhnyi. In Phosphorus Ylides, pp. 359–538, Wiley-VCH Verlag GmbH (2007).Search in Google Scholar

[12] H. A. van Kalkeren, A. L. Blom, F. P. J. T. Rutjes, M. A. J. Huijbregts. Green Chem.15, 1255 (2013).10.1039/c3gc00053bSearch in Google Scholar

[13] H. A. van Kalkeren, F. L. van Delft, F. P. J. T. Rutjes. ChemSusChem.6, 1615 (2013).10.1002/cssc.201300368Search in Google Scholar PubMed

[14] L. Shi, W. Wang, Y. Wang, Y. Huang. J. Org. Chem.54, 2027 (1989).10.1021/jo00270a001Search in Google Scholar

[15] Y.-Z. Huang, L.-L. Shi, S.-W. Li, X.-Q. Wen. J. Chem. Soc. Perkin Trans. 1, 2397 (1989).10.1039/p19890002397Search in Google Scholar

[16] Z.-Z. Huang, S. Ye, W. Xia, Y.-H. Yu, Y. Tang. J. Org. Chem.67, 3096 (2002).10.1021/jo025586hSearch in Google Scholar PubMed

[17] C. J. O’Brien, J. L. Tellez, Z. S. Nixon, L. J. Kang, A. L. Carter, S. R. Kunkel, K. C. Przeworski, G. A. Chass. Angew. Chem. Int. Ed.48, 6836 (2009).10.1002/anie.200902525Search in Google Scholar PubMed

[18] C. J. O’Brien, F. Lavigne, E. E. Coyle, A. J. Holohan, B. J. Doonan. Chem. Eur. J.19, 5854 (2013).10.1002/chem.201300546Search in Google Scholar PubMed

[19] C. J. O’Brien, Z. S. Nixon, A. J. Holohan, S. R. Kunkel, J. L. Tellez, B. J. Doonan, E. E. Coyle, F. Lavigne, L. J. Kang, K. C. Przeworski. Chem. Eur. J.19, 15281 (2013).10.1002/chem.201301444Search in Google Scholar PubMed

[20] E. E. Coyle, B. J. Doonan, A. J. Holohan, K. A. Walsh, F. Lavigne, E. H. Krenske, C. J. O’Brien. Angew. Chem. Int. Ed.53, 12907 (2014).10.1002/anie.201406103Search in Google Scholar PubMed

[21] M. Hoffmann, S. Deshmukh, T. Werner. Eur. J. Org. Chem. 4532 (2015).10.1002/ejoc.201500310Search in Google Scholar

[22] T. Werner, M. Hoffmann, S. Deshmukh. Eur. J. Org. Chem. 6873 (2014).10.1002/ejoc.201403113Search in Google Scholar

[23] H. Büttner, J. Steinbauer, C. Wulf, M. Dindaroglu, H.-G. Schmalz, T. Werner. ChemSusChem.10, 1076 (2017).10.1002/cssc.201601163Search in Google Scholar PubMed

[24] T. Werner, H. Büttner. ChemSusChem.7, 3268 (2014).10.1002/cssc.201402477Search in Google Scholar PubMed

[25] H. Büttner, J. Steinbauer, T. Werner. ChemSusChem.8, 2655 (2015).10.1002/cssc.201500612Search in Google Scholar PubMed

[26] J. Steinbauer, L. Longwitz, M. Frank, J. Epping, U. Kragl, T. Werner. Green Chem.19, 4435 (2017).10.1039/C7GC01782KSearch in Google Scholar

[27] H. A. van Kalkeren, F. L. van Delft, F. P. J. T. Rutjes. Pure Appl. Chem.85, 817 (2013).10.1351/PAC-CON-12-06-13Search in Google Scholar

[28] H. A. van Kalkeren, J. J. Bruins, F. P. J. T. Rutjes, F. L. van Delft. Adv. Synth. Catal.354, 1417 (2012).10.1002/adsc.201100967Search in Google Scholar

[29] T. Werner, M. Hoffmann, S. Deshmukh. Eur. J. Org. Chem. 3286 (2015).10.1002/ejoc.201500243Search in Google Scholar

[30] B. M. Trost, D. P. Curran. J. Am. Chem. Soc.102, 5699 (1980).10.1021/ja00537a059Search in Google Scholar

[31] B. M. Trost, D. P. Curran. Tetrahedron Lett.22, 4929 (1981).10.1016/S0040-4039(01)92384-6Search in Google Scholar

[32] T. Werner, M. Hoffmann, S. Deshmukh. Eur. J. Org. Chem. 6630 (2014).10.1002/ejoc.201402941Search in Google Scholar

[33] M.-L. Schirmer, A. Spannenberg, T. Werner. Acta Cryst.C72, 504 (2016).Search in Google Scholar

[34] M.-L. Schirmer, S. Adomeit, A. Spannenberg, T. Werner. Chem. Eur. J.22, 2458 (2016).10.1002/chem.201503744Search in Google Scholar PubMed

[35] M.-L. Schirmer, S. Adomeit, T. Werner. Org. Lett.17, 3078 (2015).10.1021/acs.orglett.5b01352Search in Google Scholar PubMed

[36] D. Enders, A. Saint-Dizier, M.-I. Lannou, A. Lenzen. Eur. J. Org. Chem.2006, 29 (2006).10.1002/ejoc.200500593Search in Google Scholar

[37] W. S. Johnson, G. H. Daub. in Organic Reactions, S. Denmark (Ed.), Wiley-VCH, Weinheim (2011).Search in Google Scholar

[38] M.-L. Schirmer, S. Jopp, J. Holz, A. Spannenberg, T. Werner. Adv. Synth. Catal.358, 26 (2016).10.1002/adsc.201500762Search in Google Scholar

Published Online: 2018-12-03
Published in Print: 2019-01-28

© 2018 Werner et al., published by IUPAC & De Gruyter.

This work is licensed under the Creative Commons Attribution-NonCommercial-NoDerivatives 4.0 International License.

Articles in the same Issue

  1. Frontmatter
  2. In this issue
  3. Guest Editorial
  4. Research Papers from the 22nd International Conference on Phosphorus Chemistry (ICPC-22)
  5. Conference papers
  6. Efficient modular phosphorus-containing ligands for stereoselective catalysis
  7. Opportunities and challenges for combining electro- and organometallic catalysis in C(sp2)-H phosphonation
  8. Applications of H-phosphonates for C element bond formation
  9. Stereochemistry of electrophilic and nucleophilic substitutions at phosphorus
  10. Direct esterification of phosphinic and phosphonic acids enhanced by ionic liquid additives
  11. Continuous flow synthesis of α-aryl-α-aminophosphonates
  12. Low-coordinate organophosphorus compounds: some stereochemical considerations
  13. Applications of transition metal catalyzed P-radical for synthesis of organophosphorus compounds
  14. Recent advances in catalytic Wittig-type reactions based on P(III)/P(V) redox cycling
  15. Making and breaking of phosphorus–phosphorus bonds
  16. Challenges and solutions in phosphinate chemistry
  17. Palladium-catalyzed microwave-assisted Hirao reaction utilizing the excess of the diarylphosphine oxide reagent as the P-ligand; a study on the activity and formation of the “PdP2” catalyst
  18. Synthesis of a variety of organophosphorus compounds using 2-phosphaindolizines as precursors
  19. Microwave irradiation and catalysis in organophosphorus reactions
  20. Erratum
  21. Correction to “Post-transition state bifurcations gain momentum – current state of the field”
  22. IUPAC Technical Report
  23. International Standard for viscosity at temperatures up to 473 K and pressures below 200 MPa (IUPAC Technical Report)
  24. Erratum
  25. Erratum to: Isotope-abundance variations and atomic weights of selected elements: 2016 (IUPAC Technical Report)
Downloaded on 12.12.2025 from https://www.degruyterbrill.com/document/doi/10.1515/pac-2018-0920/html?lang=en
Scroll to top button