Abstract
Acylphloroglucinols (ACPLs) are a broad class of compounds structurally derived from phloroglucinol and characterised by the presence of a CRO group. They are interesting for their biological activities and their potentialities as lead compounds in drug development. The current review considers a series of works which, altogether, sum up to a systematic computational study of ACPLs in vacuo and in three solvents – chloroform, acetonitrile and water. An initial set of studies, focusing on ACPLs as a class and utilising an adequately representative selection of molecules, identified patterns in the conformational preferences and molecular properties of ACPLs, which appear valid for the whole class or for specific subclasses such as monomeric ACPLs, dimeric ACPLs, ACPLs with substituents containing C=C double bonds, etc. The validity of the identified patterns was further verified through the study of additional and significantly different ACPL molecules, as well as other molecular structures containing ACPL units. Furthermore, the computational study of ACPLs proved interesting for the insights into the factors stabilising their conformers, first of all intramolecular hydrogen bonding, which plays dominant roles in determining conformational preferences and energetics. The current review outlines the objectives, approaches and main results of these studies. The obtained information may be relevant for further studies aimed at a better understanding of the molecular bases of the biological activities of ACPLs.
Introduction
Acylphloroglucinols (ACPLs, Fig. 1) are a broad class of compounds structurally derived from 1,3,5-trihydroxybenzenes (phloroglucinol) and characterised by the presence of a CRO group (acyl group). Many of them are found in natural sources and exhibit a variety of biological activities: antioxidant, antimalarial, anticancer, antituberculosis, antifungal, and others [1]. Their medicinal properties make them interesting candidates as lead structures for drug development [2]. An extensive review of the structures, natural sources and pharmacological properties of the ACPLs known up to 2006 is offered in [1]. New ACPLs continue to be discovered in a variety of sources, including those reported from traditional medicine practices, and have been tested for various biological activities.
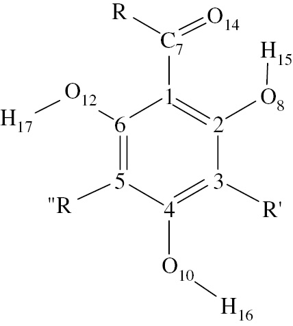
![Fig. 1: General structure of acylphloroglucinols and atom-numbering utilised in the computational studies reviewed here [9], [10], [11], [12], [13], [14], [15], [16], [17], [18], [19], [20], [21], [22], [23], [24], [25], [26], [27], [28], [29], [30], [31], [32], [33], [34], [35], [36], [37], [38]. The first atom of R (after C7) is given the number 13, the first atom of R′ is given the number 9 and the first atom of R″ is given the number 11. For dimeric acylphloroglucinols, C9 is the C atom of the methylene bridge joining the two moieties, and the atom numbers of the second moiety are primed.](/document/doi/10.1515/pac-2018-0909/asset/graphic/j_pac-2018-0909_fig_001.jpg)
General structure of acylphloroglucinols and atom-numbering utilised in the computational studies reviewed here [9], [10], [11], [12], [13], [14], [15], [16], [17], [18], [19], [20], [21], [22], [23], [24], [25], [26], [27], [28], [29], [30], [31], [32], [33], [34], [35], [36], [37], [38]. The first atom of R (after C7) is given the number 13, the first atom of R′ is given the number 9 and the first atom of R″ is given the number 11. For dimeric acylphloroglucinols, C9 is the C atom of the methylene bridge joining the two moieties, and the atom numbers of the second moiety are primed.
Computational studies of ACPLs (other than those that are the object of the current review) have mostly been performed as support to experimental investigations, more frequently in view of structure and stereochemistry elucidation, and, therefore, have focused mainly on the prediction of spectra or circular dichroism (e.g. [3], [4], [5], [6], [7], [8]). The current review focuses on an extensive computational study of ACPLs as a class of compounds, aimed at identifying patterns in their conformational preferences and the factors influencing them, as well as in other computable properties such as dipole moments, HOMO-LUMO energy gaps, vibrational frequencies, solvent effect, etc. Altogether, the study comprised: a preliminary use of model structures to focus on influencing factors related to the acylphloroglucinol moiety [9]; the investigation of specific properties across many molecules of the same broad sub-class, such as monomeric ACPLs [10], [11], [12], [13], [14], [15] or dimeric ACPLs [16] (with the former containing one acylphloroglucinol moiety and the latter containing two acylphloroglucinol moieties linked through a methylene bridge); and the study of individual ACPL molecules or small sets of molecules [9], [17], [18], [19], [20], [21], [22], [23], [24], [25], [26], [27], [28], [29], [30], [31], [32], [33], including the study of complexes of antioxidant ACPLs with a Cu2+ ion [24], [31], [32]. It also included a predictive study of supermolecular bowl-shaped structures that may be built from ACPL units [34]. Furthermore, in order to enable better understanding of the findings on ACPLs, it included the study of the parent compound (phloroglucinol [35]), of its carboxylic acid (i.e. another of its derivatives containing a C=O group [36]) and of the class of compounds to which phloroglucinol belongs (polyhydroxybenzenes [37]); the latter extended to the study of the dimers of polyhydroxybenzenes [38] to enable better understanding of the interactions between two hydroxybenzene rings for the ACPLs containing two or more rings.
The intramolecular hydrogen bond (IHB) between O14 and either H15 or H17 proved the dominant stabilising factor and was therefore given specific attention throughout the study. For easy of reference, it was termed ‘first IHB’ (H15O14 or H17···O14, according to the conformers). Additional IHBs (additional O–H···O IHBs, or O–H···π IHBs) may be present when R, R′ or R″ contain suitable groups, and they were also given explicit attention because of their stabilising roles. Besides their stabilising effects, IHBs may play relevant roles in the mechanism through which the biological activity is exerted, which increases the interest in their specific investigation.
Most of the ACPL molecules were studied both in vacuo and in solution, because of the importance of considering the medium when dealing with biologically active compounds [39]. Three solvents were selected, with different polarities and different H-bonding abilities: chloroform, acetonitrile and water. Water is the main component of living organisms, chloroform is a good model for non-polar media in living organisms and acetonitrile is a solvent frequently used in both experimental and computational studies. Their different H-bonding abilities largely define their types of interactions with solute molecules. Chloroform molecules cannot form the stronger types of H-bonds, such as O–H···O or O–H···N (although they can form C–H···O interactions, e.g. with acetone [40]). Acetonitrile molecules can only be H-bond acceptors, but not donors, and, therefore, they can form H-bonds with a solute molecule containing donors (O–H···N in the case of ACPLs), but not among themselves. Water molecules can be both donors and acceptors and, therefore, they can form O–H···O H-bonds both with an ACPL solute molecule and among themselves. The consideration of solvents with different H-bonding abilities is particularly important when considering molecules like ACPLs, where the H atoms of the three OH groups (H15, H16 and H17) can act as donors, and O14 and (with rather lesser strength) O8, O10 and O12 can act as acceptors in intermolecular (solute-solvent) H-bonds.
Computational details
The same calculation methods were utilised for all the molecules, in order to enable meaningful comparisons of results. The selection of the calculation methods needed to respond to both results-quality and affordability criteria (the latter being particularly important for studies involving a large number of non-small molecules). The selection comprised two ab initio methods {Hartree Fock (HF) and Møller–Plesset Perturbation Theory (MP2)} and the Density Functional Theory (DFT) with the B3LYP functional. Preliminary calculations tested different basis sets (6-31G(d,p), 6-31+G(d,p) and 6-31++G(d,p)) with these three methods. While calculations with all the three basis sets continued being performed for smaller molecules (e.g. [37]), all the other molecules were studied using the less expensive 6-31G(d,p) basis set for HF and MP2 calculations and the 6-31+G(d,p) basis set for DFT. Both HF and DFT calculations were performed with fully relaxed geometries. MP2 calculations were performed with fully relaxed geometry for smaller molecules and as single point (SP) calculations on the HF-optimised geometries for larger molecules (which amounted to the majority of the cases). HF results are the natural (and necessary) inputs for SP MP2 calculations because HF constitutes the zeroth (unperturbed) approximation in the MP2 algorithm.
HF/6-31G(d,p) calculations are the least expensive calculations capable of providing reasonable information about conformational preferences and about trends across a large family of related compounds, where errors can be expected to be similar, making the identified trends reasonable. Furthermore, comparisons of the HF results with those or higher levels of theory showed reasonably good HF performance for ACPLs also with the less demanding 6-31G(d,p) basis set (HF/6-31+G(d,p) calculations required at least twice the time of HF/6-31G(d,p) calculations).
High quality description of the characteristics of individual H-bonds would require the inclusion of correlation [41], [42], [43], [44], [45], [46], [47], [48] and dispersion [49] effects and may benefit from the inclusion of diffuse functions in the basis set [50], [51], [52], [53], [54]. MP2 takes into account both electron correlation and dispersion effects and would, therefore, be the optimal choice for ACPLs. However, MP2 calculations with fully relaxed geometry would be very expensive or unaffordable for non-small molecules (as is the case of many ACPL molecules). On the other hand, SP MP2 calculations do not improve the description of IHB parameters because of lack of geometry flexibility. The main usefulness of SP MP2 calculations is that of providing additional comparison of energy trends (which, in turn, are largely related to the roles of the IHBs).
DFT calculations incorporate part of the electron correlation. The B3LYP functional [55], [56], [57] is the most widely utilised functional in molecular calculations [58]. The 6-31+G(d,p) basis set was selected for this method because the preliminary studies with different basis sets had shown the importance of the presence of diffuse functions on the heavy atoms for the quality of DFT/B3LYP results for ACPLs.
Calculations in solution were performed with the polarisable continuum model (PCM [59], [60], [61], [62], [63]), with the default settings of its implementation in Gaussian03 [64]. They were performed at the HF/6-31G(d,p) and DFT/B3LYP/6-31+G(d,p) levels; the latter were performed with fully relaxed geometries for smaller molecules and as SP calculations on the in vacuo optimised geometries for larger molecules. Both fully-relaxed-geometry and SP calculations were carried out for the molecules for which the former were affordable, in order to compare the performance of the two options. The comparison showed that SP and full re-optimisation PCM results are sufficiently close and highlight sufficiently similar patterns; in particular, the conformers’ relative energies largely maintain the same sequence and similar spacings in a given solvent, with occasional exceptions only for high energy conformers. This is expedient to the identification of conformers which may potentially be involved in the biological activities (cautiously taken as those whose relative energy is ≤3.5 kcal/mol in at least one of the media).
PCM does not take into explicit account directional solute-solvent interactions such as solute-solvent H-bonds (although many results on ACPLs suggested some implicit consideration [65]). Since ACPL molecules contain several sites capable of forming such H-bonds, adducts with explicit water molecules were calculated in most cases [12], [17], [18], [33], [35], [36], to complement the information about the molecules’ situation in water solution and to check for the outcome of the competition between IHBs and solute-solvent intermolecular H-bonds. They were calculated at the HF and DFT levels.
Vibrational frequencies (harmonic approximations) were calculated at the HF and DFT levels and the calculated values were scaled by the factors recommended in [66]. The results showed that all the calculated conformers correspond to true minima (absence of imaginary frequencies). In the case of ACPLs, the calculation of vibrational frequencies has the additional advantage of providing indications about the strength of IHBs, through the red shift that they cause in the frequency of the donor OH.
Complexes of antioxidant ACPL molecules with a Cu2+ ion [24], [31], [32] were calculated at the DFT/B3LYP level with the 6-31+G(d,p) basis set for the C, O and H atoms and the LANL2DZ pseudopotential (which includes scalar relativistic effects [67]) for the Cu2+ ion); this basis set option enables better estimation of the molecule-ion interaction energy for transition metals complexes [68], [69]. Natural Bond Orbital [70], [71], [72], [73], [74] analysis was utilised to obtain the natural charges on the atoms because of the importance of a realistic estimation of the charge on the copper ion in the complex, as the reduction of this charge on complexation can be considered an indication of the molecule’s ability to reduce oxidant species [75], [76].
The calculation of supermolecular structures entails the evaluation of the interaction energy between the central molecule and the molecules or ions interacting with it. The basis set superposition error (BSSE) was taken into account using counterpoise corrections [77] for the cases where the interaction is comparatively weak, like in the adducts of ACPLs or hydroxybenzenes molecules with explicit water molecules [12], [17], [18], [33], [35], [36]. It was not taken into account on evaluating the interaction energy between the molecule and the ion in the complexes of antioxidant ACPL molecules with a Cu2+ ion [24], [31], [32], because the interaction energy in these cases is large and the correction would be non-influential [76] (the counterpoise correction had been explicitly introduced for weak intermolecular interactions [77]).
All the calculations were performed on desktop PCs using GAUSSIAN 03, version D01 [49]. Except the ones for which SP has been mentioned in the previous paragraphs, all the other calculations were performed with fully relaxed geometry. Visualisation utilised GaussView [78] and Chem3D [79].
The calculation methods utilised in these works are concisely denoted in the following way in the rest of the text: HF for HF/6-31G(d,p), DFT for DFT/B3LYP/6-31+G(d,p) and MP2 for MP2/6-31G(d,p) or MP2/HF/6-31G(d,p).
Overview of results
Selection of molecules to be studied
The selection of molecules to be studied aimed at maximising representativeness. More that 100 molecules were considered in the study of monomeric ACPLs as a class [10], [11], [12], [13], [14], [15], and 47 molecules in the study of dimeric ACPLs [16]. The selection aimed at including all the main features that may be present in naturally-occurring ACPLs: different R chains; presence or absence of substituents at C3 and C5 (modelled by methyl groups for the cases when the substituents do not contain sites capable of forming IHBs with neighbouring phenol OHs); presence of a prenyl (3-methylbut-2-en-1-yl) chain as substituent at C3 or C5; presence – in the R chain or in a substituent at C3 or C5 – of groups that can form additional O–H···O IHBs; replacement of a phenol OH by an OCH3 group; replacement of the OH at C2 or C6 by a keto O (for dimeric ACPLs, this replacement concerns only the C between the acyl group and the methylene bridge); etc. The study of bowl-shaped structures built from ACPL units [34] also took into account various R chains as well as two ‘sizes’ for the overall structures, with three or four ACPL units.
The molecules that were objects of individual studies were sufficiently different from each other and from the molecules included in the study of monomeric ACPLs as a class to provide independent verification of the validity of the identified patterns. In caespitate [9], [17], [20], [21], [29], R′ is a highly flexible substituent with three additional sites capable of forming IHBs (the O atoms of an ester function and a double bond). In nodifloridin [18], [19], [22], [23], both R and R′ are long chains ending with a carboxylic function, enabling a variety of IHB patterns as well as the possibility of forming both open and ring-shaped dimers. In euglobals [26], [28], the phloroglucinol moiety is part of a phloroglucinol–terpene adduct involving the formation of a chroman ring skeleton and contains an additional acyl group at C5. Antioxidant ACPLs show a variety of structural features, leading to different binding-sites patterns for the Cu2+ ion in the formation of complexes [30], [31], [32].
Introduction of acronyms
The objective of comparing the effects of the geometric features which may be responsible for the stabilisation of the conformers of a given molecule and influence their properties, requires an effective way of keeping track of those features. When the study involves a large number of molecules of the same class, each of which may have many conformers, it becomes necessary to keep track of the conformers’ characterising features across the class, to facilitate comparison of corresponding conformers of different molecules. A system of symbols was introduced to this purpose, assigning a lowercase letter to denote each relevant feature and utilising these letters to build acronyms to denote each conformer. The same features have been denoted in the same way throughout all the studies, to facilitate comparisons. The symbols used for all the structures and conformers are those denoting the position of the first IHB (H15···O14 or H17···O14), the orientation of O10–H16 (towards the R′ substituent or towards the other side) and the orientation of O8–H15 or O12–H17 when not engaged in the first IHB (away from the acyl group or towards it). Other symbols have been introduced when needed, to denote the presence and the donor of O–H···π interactions, the position of additional O–H···O IHBs, the mutual orientation of rings when more than one ring is present, etc. Molecules themselves are often denoted with symbols in the acronyms, for conciseness sake; these symbols utilise uppercase letters and numbers, and appear at the beginning of the acronym. Figure 2 provides some examples to illustrate the practical use of acronyms, and to highlight their handiness in providing quick information about the characterising features of molecules and conformers, and also the expansion of symbols for larger-size structures, including dimeric ACPLs. Tables with detailed information about the meanings of all the symbols utilised in a specific work are provided in individual articles, but are not suitable within a review.

Illustrative examples of the use of acronyms in the study of acylphloroglucinols. In D-d-r-1, D informs that R is an ethyl group and that R′ is a methyl group, d informs that the first IHB is H15O14, r informs that O10H16 is oriented towards R′ and 1 informs that R has on-the-plane geometry. In E1-s-w-u-2, E1 informs that R is an n-propyl group and that R′ is a methyl group, s informs that the first IHB is H17O14, w informs that O10H16 is oriented to the other side with respect to R′, u informs that O9H15 is oriented towards the acyl group and 2 informs that R has a bent, out-of-plane geometry. In B-Y3B5-d-r-q2, B informs that R is a methyl group, Y3 informs about R′ (a chain denoted as Y), B5 informs that R″ is a methyl group, d and r have the above-mentioned meanings, and q2 informs that the second IHB has O10H16 as donor. In B-P3B5-s-w-ξ, B informs that R is a methyl group, P3 informs that R′ is a prenyl chain, B5 informs that R″ is a methyl group, s and w have the above-mentioned meanings, and ξ informs that O8H15 is engaged in an O–Hπ IHB with the π bond of the prenyl chain. In ARZ-1-d-r-ξ-αδ, ARZ informs that the molecule considered is arzanol, 1 refers to the mutual orientation of the two rings, d and r have the above-mentioned meanings, ξ informs that O12H17 is engaged in an O–Hπ IHB with the π bond of the prenyl chain and α and δ denote the intermonomer IHBs shown in the model. For dimeric ACPLs, the uppercase letter D is used to inform that the compound considered is a dimeric ACPL and is immediately followed by a number denoting the combination of acyl chains in that compound; the substituents in the C5 positions of each monomer are also denoted by symbols; and the information about the geometry of each monomer is summarised by numbers. In D7-M5,5′-1, D7 informs that the dimeric molecule has the combination of acyl chains indicated by the number 7 (n-propyl in one monomer and ethyl in the other), M5,5′ informs that the substituents at the C5 positions in the two monomers are methyls, and 1 informs about the geometry of the two monomers and their mutual orientations (both monomers with d-r geometry and with the acyl groups on opposite sides with respect to the methylene bridge). In D2-P5,5′-2-ξη′, D2 informs that the dimeric molecule has the combination of acyl chains indicated by the number 2 (both of them methyls), P5,5′ informs that the substituents at the C5 positions in the two monomers are prenyl chains, 2 informs that the two monomers have d-r and s-w geometries, respectively and their acyl chains are on the same side with respect to the methylene bridge, ξ informs that, in the first monomer, O12H17 is engaged in an O–Hπ IHB with the π bond of the prenyl chain at C5 and η′ informs that, in the second monomer, O10H16 is engaged in an O–Hπ IHB with the π bond of the prenyl chain at C5′.
The goal of facilitating comparisons across the various studies has also prompted the use of the same atom-numbering throughout. The atom numbering shown in Fig. 1 is utilised in all the studies (with slight differences only in the earliest ones), and is suitably adapted for structures containing more than one ACPL unit (e.g. dimeric ACPLs or bowl-shaped structures) by priming (′), double priming (″) etc. the numbers of the second, third, etc. acylphloroglucinol moiety. Furthermore, in order to facilitate immediate visual comparisons, model images of structures and conformers are always oriented in the same way, i.e. with the acyl group at the top of the image.
Intramolecular hydrogen bonding and conformational preferences
IHBs generally play important roles in determining conformational preferences and energy and influence a number of physicochemical properties [80], [81]. They also play relevant roles in aspects of biological activity mechanisms such as molecular recognition, selective binding and others [82], [83]. In the case of ACPLs, IHBs proved the dominant stabilising factors. Patterns in their characteristics (H···O length, O···O distance and OĤO angle for O–H···O IHBs) and for their effects on the conformers’ relative energies are largely similar across the considered ACPLs.
It is arduous to evaluate the energy of an IHB. An evaluation through the most straightforward option (considering the energy difference between the conformer in which a given IHB is present and the corresponding conformer in which it is removed through 180° rotation of the donor OH) is affected by the geometry changes caused by the removal [84], [85], [86], [87], [88], [89]. For ACPLs, the removal of the first IHB prompts an off-plane shift of the acyl group bringing O14 farther away from the donor O (O8 or O12), which smoothes their repulsion (an IHB removal leaves the two O atoms exposed to increased repulsion of their lone pairs [90], [91], [92], [93]). Attempts to evaluate the energy of the first IHB taking the impact of this geometry change into as-much-as-possible account have been made [9], [10], leading to the conclusion that it is a moderate IHB [94], often rather close to the border between moderate and strong IHBs. The geometry changes accompanying the removal of other O–H···O IHBs (not constrained by the rigidity of the benzene ring as in the case of the first IHB) may be much greater and even dramatic [15]. In view of all this, comparisons of the relative strength of IHBs, as well as approximate estimations of whether they are weak, moderate or strong, rely more effectively on quantities which are related to their energy and easier to determine, rather than on the evaluation of their energies. Such quantities comprise the IHB lengths, the red shifts they cause in the vibration frequency of the donor OH and also their stabilising effects (although the actual energy of an IHB is not easy to be determined with satisfactory accuracy, a comparison of the relative energies of conformers differing by the presence or absence of a given IHB across different ACPLs enables approximate comparison of its stabilising effect in those ACPLs). The next paragraphs will compare the various IHBs encountered in ACPLs in terms of these quantities.
The first IHB has the strongest stabilising effect. Its characteristics are not influenced significantly by the nature of R, as long as R≠H, whereas they are influenced by other geometry features [10]. Its length is shorter when it forms on the side of the substituent at C3 or, if substituents are present at both C3 and C5, when it forms on the side of the bulkier substituent (in this regard, the methylene bridge in dimeric ACPLs has the same role as a substituent at C3). It is shorter when the other OH ortho to the CRO group is oriented away from CRO (‘downwards’) and longer when it is oriented ‘upwards’. It is also shorter when the other OH ortho to the CRO group is replaced by a keto O. Its stabilising effect follows the patterns of its length (shorter bond length corresponding to greater stabilising effect). Similarly, the red shifts it causes on the vibrational frequency of the donor OH show correspondence with its length (shorter bond length corresponding to greater red shift).
Additional O–H···O IHBs [15] appear when R, R′ or R″ contain additional OH groups (which can act as donors or acceptors to a phenol OH) or O atoms that can act as acceptors. Their presence significantly influences conformational preferences, although they usually have smaller stabilising effect than the first IHB (closer to it if the acceptor is another sp2 O). Their bond lengths are longer than for the first IHB and their red shifts are smaller. Their parameters also depend significantly on the geometry of the surrounding molecular context. The lower energy conformers of molecules where additional O–H···O IHBs are possible contain the highest possible number of simultaneous IHBs.
Cooperativity of the first IHB and additional O–H···O IHBs involving groups in a substituent (e.g. hyperjovinol A [24]) or O–H···O IHBs between monomers (e.g. arzanol [30], dimeric ACPLs [16], bowl-shaped structures [34]) becomes evident from the shortening of the lengths of the IHBs concerned and the increase in their red shifts. Their stabilising effects also increase, as shown by the lower relative energy of conformers in which the two IHBs are cooperative with respect to conformers in which they are not. This is in line with the known effects of IHB cooperativity, enhancing the stabilising effects of each IHB [95], [96], [97], [98], [99], [100], [101] (cooperativity may also confer interesting properties to substances and materials [95], [96], [97], [98], [99], [100], [101]).
O–Hπ IHBs are known to have significant influence on the preferred orientation of the portion of a molecule containing a π system, when the π system can come sufficiently close to a donor OH [102], [103], [104], [105], [106]. They are present in ACPLs in which R, R′ or R″ contain a π bond (e.g. in a prenyl chain) or a larger π system (e.g. a benzene ring). It is not possible to strictly define a bond length for these IHBs because the acceptor is a π electron cloud, not an individual atom (although the distances of the H atom from the C atoms forming a π bond give an indication of how close it approaches the π bond); therefore, an idea of the strength of an O–Hπ IHB can be derived mainly from its effect on relative energies and from the red shift it causes. The stabilising effect of O–Hπ interactions in ACPLs [14] is usually smaller than (sometimes, comparable to) that of O–HO IHBs in which the acceptor is an sp3 O.
C–HO IHBs [107], [108] are weaker than the IHBs considered in the previous paragraphs. Despite this, they often play significant roles in determining molecular preferences and in several chemical and biological processes, as established in the years following their recognition as IHBs [109], [110], [111], [112], [113], [114]. In the case of ACPLs [14], they determine the orientation of R′ or R″ when these are methyl groups, and contribute to determine the orientation of the initial part of R. The absence of C–HO IHBs is responsible for the higher relative energy of conformers in which the first IHB is H17O14 and H16 is oriented to the same side as R′.
PCM calculations [11] show that the first IHB is maintained in solution; for the case of water solutions, this is confirmed by the calculation of adducts with explicit water molecules [12], [17], [33]. The first IHB maintains its fundamental role in determining conformational preferences and energy in all the solvents considered. Its parameters are not influenced significantly by the solvent: their changes in different solvents are smaller than the changes related to different orientations of the other OHs or to the presence or absence of a substituent at C3. The adducts with explicit water molecules indicate that the region around the first IHB is largely hydrophobic – a phenomenon observed also with the IHB of the carboxylic acid of phloroglucinol [36].
Weaker O–HO IHBs are not maintained in water solution, whenever their removal makes the corresponding OH accessible to water molecules to form solute-solvent H-bonds [14], [17]. When geometry constrains do not favour the ‘opening’ of the IHB, then the IHB may co-exist with a solute-solvent H-bond and even become cooperative with it – a phenomenon observed also for hydroxybenzenes with neighbouring OHs [37]. O–Hπ IHBs have lower stabilising effect in non-polar solvents than in vacuo and disappear in water solution, where the donor OHs form H-bonds with water molecules and other water molecules often establish O–Hπ intermolecular interactions with the π bond or system.
In the complexes of antioxidant ACPLs with a Cu2+ ion [24], [31], [32], transfer of the proton from the donor sp3 O to the acceptor sp2 O is observed frequently. When the ion binds to other sites (not the donor or the acceptor O), the length of the first IHB decreases slightly only in few cases (none of them entailing a proton transfer from the donor to the acceptor) and, more often, it increases slightly. When the ion binds to the donor O, the IHB length may increase more considerably; the greatest increase pertains to the complexes where the ion binds to O14. The red shifts of the donor OHs show corresponding patterns, becoming smaller when the IHB length increases and greater when it decreases. All these phenomena suggest frequent slight weakening of the first IHB when the ion binds to its donor O and always-occurring greater weakening when the ion binds to the acceptor O. When the ion binds to the atoms engaged in the O–Hπ interaction, the red shifts show that the interaction may weaken or strengthen (even considerably), depending on the molecular context and on the way in which the ion binds to the atoms.
Patterns in other properties – selected examples
Besides the dominant dependence on the presence of IHBs, conformational preferences show some dependence on the orientation of the OH groups. Like in the parent compound (where the uniform orientation of the OHs (C3h symmetry) corresponds to ≈1 kcal/mol better energy [115]), the uniform orientation is preferred in all the ACPLs considered, with smaller energy-influence only in the case of bowl-shaped structures [34] and in the cases of complexes with a Cu2+ ion [24], [31], [32]. In water solution, the preferred orientations of the OH groups not engaged in the first IHB are those that enable better approach by water molecules to form solute-solvent H-bonds; thus, e.g. when R′≠H, H16 prefers the orientation away from R′, which makes it more available to an approaching water molecule.
The solvent effect (free energy of solvation, ΔGsolv) provides indications on a molecule’s stabilisation associated with the solvation process. For ACPLs [13], ΔGsolv is always negative in chloroform and in water, with considerably greater magnitude in water; it may be negative (with small magnitude) or positive in acetonitrile. The stabilisation by the solvent is greater for conformers in which more OH groups are accessible to solvent molecules.
The calculation of adducts of ACPLs with explicit water molecules [12], [17], [18], [33], [35], [36] pursued two objectives: attempting to compare the approach of a water molecule to the individual H-bond donors or acceptors in the ACPL molecule (realised by considering adducts with only one water molecule, in turn attached to each of the sites) and having an idea of possible time-averaged distributions of water molecules in the first solvation layer – a concept extended to include the water molecules bridging two water molecules H-bonded to the ACPL molecule, because the stabilising effect of such bridging makes them an integral part of the distribution in the vicinity of the central molecule. Although only a limited number of water molecules can be included in the adduct to prevent the dominance of their tendency to cluster together, some patterns have been clearly identified, such as the preference for certain shapes formed by the O atoms of the water molecules and the ACPL molecule in certain regions of the latter; typical examples are the square of O atoms in the vicinity of an OH (which includes the O of the OH) and the pentagon of O atoms in the vicinity of the first IHB, which includes the donor and acceptor Os of the first IHB and keeps the water molecules away from the IHB itself.
The calculated complexes of antioxidant ACPLs with a Cu2+ ion [24], [31], [32] show preference for simultaneous binding of the ion to two sites; among these, greater preference mostly corresponds to simultaneous binding to an O atom and a π bond, followed by simultaneous binding to two O atoms, one of which is an sp2 O. The less preferred site is nearly always O10. Calculations also show effective reduction of the charge of the ion (whose natural (NBO) charge becomes slightly less than +1 in the complex). However, analogous calculations with ACPLs whose antioxidant activity is not so remarkable as to be of potential pharmacological interest also show effective reduction of the charge of the ion [24]. The molecule-ion interaction energy (considered with respect to the initial situation, i.e. taken as the difference between the energy of the complex and the sum of the energies of the isolated molecule and the isolated Cu2+ ion) also has similar ranges of magnitudes for all the cases. This suggests the inference (to be confirmed with additional calculations still in progress) that the ability to reduce a Cu2+ ion can be considered as a necessary condition for an ACPL to be a good antioxidant, but not as a sufficient one.
The calculation of bowl-shaped structures from three or four ACPL units, bonded to each other through methylene bridges (i.e. in the same way as ACPL units bind in naturally-occurring dimeric or trimeric ACPLs) has highlighted the potentialities of ACPLs for building comparatively deep and ‘tightly knitted’ bowls [34]. The bowls consisting of four ACPL units proved the more favourable, as their geometry does not show steric constraints (it is actually close to some of the possible conformational geometries of naturally-occurring quadrimeric ACPLs).
Discussion and conclusions
The overall study has highlighted patterns in the conformational preferences of ACPLs, in the characteristics and stabilising effects of their IHBs, in molecular properties such as dipole moments, HOMO-LUMO energy gaps, vibrational frequencies of the OH bonds, solvent effects, etc. Subsequent studies of selected individual molecules showed consistency with the identified patterns. The study of dimeric ACPLs and of bowl-shaped structures built from ACPLs highlighted the effects of IHB cooperativity. The study of complexes of ACPLs with a Cu2+ ion highlighted the preferences of the ion with regard to the binding sites available in the molecules and effective reduction of its charge from +2 to +1. Overall, the study confirms that the investigation of many molecules of the same class facilitates predictions of several properties of other molecules of that class, including predictions of their conformational preferences, of the relative-energy-sequence of their conformers, of the comparison of the strengths of their IHBs and of the red shifts they cause, of the preferences for complexation with a metal ion, and various others.
The use of more than one calculation method has proven particularly important for studies aimed at identifying patterns, because the availability of separate sets of results provides verification of the reliability of trends-identification. Furthermore, in the case of ACPLs, the use of both HF and DFT turned out to provide ranges for the quantities related to the strength of the IHBs, such as their length or the red shift they cause. Since HF underestimates this strength and DFT overestimates it (as verified through comparison with experimental results, when available, or with the results of fully-relaxed-geometry MP2 calculations, which are commonly used as benchmarks [116]), HF provides a lower limit and DFT an upper limit for the actual values of those quantities.
References
[1] I. P. Singh, S. B. Bharate. Nat. Prod. Rep.23, 558 (2006).10.1039/b600518gSuche in Google Scholar PubMed
[2] L. Verotta. Phytochem. Rev.1, 389 (2002).10.1023/A:1026069624278Suche in Google Scholar
[3] X. F. R. Wu, Y. D. Wang, S. S. Yu, N. Jiang, J. Ma, R.-X. Tan, Y.-C. Hu, J. Qu. Tetrahedron67, 8155 (2011).10.1016/j.tet.2011.08.034Suche in Google Scholar
[4] W. Gao, J. W. Hu, F. Xu, C. J. Wei, M. J. Shi, J. Zhao, J. J. Wang, B. Zhen, T. F. Ji, J. G. Xing, Z. Y. Gu, F. Xu. Fitoterapia115, 128 (2016).10.1016/j.fitote.2016.10.003Suche in Google Scholar PubMed
[5] Y. Ye, X. W. Yang, G. Xu. Tetrahedron72, 3057 (2016).10.1016/j.tet.2016.04.025Suche in Google Scholar
[6] H. Zhu, C. Chen, J. Yang, D. Li, J. Zhang, Y. Guo, J. Wang, Z. Luo, Y. Xue, Y. Zhang. Tetrahedron72, 4655 (2016).10.1016/j.tet.2016.06.035Suche in Google Scholar
[7] H. C. Zhu, C. M. Chen, J. W. Zhang, Y. Guo, D.-D. Tan, G.-Z. Wei, J. Yang, J.-P. Wang, Z.-W. Luo, Y.-B. Xue, Y.-H. Zhang. Chin. Chem. Lett.28, 986 (2017).10.1016/j.cclet.2016.11.014Suche in Google Scholar
[8] W. J. Tian, Y. Q. Qiu, J. J. Chen, X. J. Yao, G.-H. Wang, Y. Dai, H.-F. Chen, X.-S. Yao. RSC Adv.7, 33113 (2017).10.1039/C7RA05947GSuche in Google Scholar
[9] L. Mammino, M. M. Kabanda. J. Mol. Struct. (Theochem)805, 39 (2007).10.1016/j.theochem.2006.10.019Suche in Google Scholar
[10] L. Mammino, M. M. Kabanda. J. Mol. Struct. (Theochem)901, 210 (2009).10.1016/j.theochem.2009.01.032Suche in Google Scholar
[11] L. Mammino, M. M. Kabanda. J. Phys. Chem. A113, 15064 (2009).10.1021/jp905180cSuche in Google Scholar PubMed
[12] L. Mammino, M. M. Kabanda. Int. J. Quant. Chem.110, 2378 (2010).Suche in Google Scholar
[13] M. M. Kabanda, L. Mammino. Int. J. Quant. Chem.112, 3691 (2012).10.1002/qua.24012Suche in Google Scholar
[14] L. Mammino, M. M. Kabanda. Int. J. Quant. Chem.112, 2650 (2012).10.1002/qua.23280Suche in Google Scholar
[15] L. Mammino, M. M. Kabanda. Mol. Simulat.39, 1 (2013).10.1080/08927022.2012.700483Suche in Google Scholar
[16] L. Mammino. J. Mol. Struct.1176, 488 (2019).10.1016/j.molstruc.2018.07.013Suche in Google Scholar
[17] L. Mammino, M. M. Kabanda. Int. J. Quant. Chem.108, 1772 (2008).10.1002/qua.21594Suche in Google Scholar
[18] L. Mammino, M. M. Kabanda. WSEAS Trans. Biol. Biomed.6, 79 (2009).Suche in Google Scholar
[19] L. Mammino, M. M. Kabanda. In Recent Advances in Biology, Biophysics, Bioengineering and Computational Chemistry, C. A. Bulucea, V. Mladenov, E. Pop, M. Leba, N. Mastorakis (Eds.), pp. 58–63, WSEAS Press (2009).Suche in Google Scholar
[20] L. Mammino, M. M. Kabanda. Int. J. Biol. Biomed. Eng.1, 114 (2012).Suche in Google Scholar
[21] L. Mammino, M. M. Kabanda. In Recent Researches in Chemistry, Biology, Environment and Culture, V. Niola, Ng. Ka-Lok (Eds.), pp. 119–124, WSEAS Press, Montreux, Switzerland (2011).Suche in Google Scholar
[22] L. Mammino. In Advances in Environment, Computational Chemistry and Bioscience, S. Oprisan, A. Zaharim, S. Eslamian, M. S. Jian, C. A. F. Ajub, A. Azami (Eds.), pp. 43–48, WSEAS Press, Montreux, Switzerland (2012).Suche in Google Scholar
[23] L. Mammino. Int. J. Biol. Biomed. Eng.2, 15 (2013).Suche in Google Scholar
[24] L. Mammino. J. Mol. Model.19, 2127 (2013).10.1007/s00894-012-1684-9Suche in Google Scholar PubMed
[25] R. A. Delgado Alfaro, Z. Gomez-Sandoval, L. Mammino. J. Mol. Model.20, 2337 (2014).10.1007/s00894-014-2337-ySuche in Google Scholar PubMed
[26] L. Mammino. Curr. Bioact. Compd.10, 163 (2014).10.2174/157340721003141013142704Suche in Google Scholar
[27] L. Mammino. Curr. Phys. Chem.5, 274 (2015).10.2174/187794680504160308115419Suche in Google Scholar
[28] L. Mammino. In Proceedings of the 10th TCCA and ESAECC, L. Mammino, T. Van Ree (Eds.), pp. 29–56, Kalahari, Thohoyandou (2016).Suche in Google Scholar
[29] T. Tshiwawa, L. Mammino. In Proceedings of the 10th TCCA and ESAECC, L. Mammino, T. Van Ree (Eds.), pp. 77–120, Kalahari, Thohoyandou (2016).Suche in Google Scholar
[30] L. Mammino. Molecules22, 1294 (2017).10.3390/molecules22081294Suche in Google Scholar PubMed PubMed Central
[31] L. Mammino. J. Mol. Model.23, 276 (2017). https://doi.org/10.1007/s00894-017-3443-4.10.1007/s00894-017-3443-4Suche in Google Scholar PubMed
[32] L. Mammino. Adv. Quant. Chem.78. 83 (2019).10.1016/bs.aiq.2018.07.001Suche in Google Scholar
[33] L. Mammino. In Concepts, Methods and Applications of Quantum Systems in Chemistry and Physics, Y. A. Wang, M. Thachuk, R. Krems, J. Maruani (Eds.), pp. 281–304, Progress in Theoretical Chemistry and Physics, 31. Springer, Cham, Switzerland (2018).Suche in Google Scholar
[34] L. Mammino. Mol. Phys.115, 2254 (2017).10.1080/00268976.2017.1306127Suche in Google Scholar
[35] L. Mammino, M. M. Kabanda. J. Mol. Struct. (Theochem)852, 36 (2008).10.1016/j.theochem.2007.12.020Suche in Google Scholar
[36] L. Mammino, M. M. Kabanda. Int. J. Quant. Chem.110, 595 (2010).10.1002/qua.22262Suche in Google Scholar
[37] L. Mammino, M. M. Kabanda. Int. J. Quant. Chem.111, 3701 (2011).Suche in Google Scholar
[38] M. M. Kabanda, L Mammino. Int. J. Quant. Chem.112, 519 (2012).10.1002/qua.23025Suche in Google Scholar
[39] L. Mammino, M. M. Kabanda. In Frontiers in Computational Chemistry, Zaheer-ul-Haq, J. D. Madura (Eds.), pp. 197–256, Bentham Science Publishers, Sharjah, UAE (2014).Suche in Google Scholar
[40] P. D. Vaz, M. M. Nolasco, F. P. S. C. Gil, P. R. Claro, J. Tomkinson. Chem. Eur. J.16, 9010 (2010).10.1002/chem.201000479Suche in Google Scholar PubMed
[41] R. J. Vos, R. Hendriks, F. B. Van Duijneveldt. J. Comp. Chem.11, 1 (1990).10.1002/jcc.540110102Suche in Google Scholar
[42] O. Mó, M. Yáñez, J. Elguero. J. Chem. Phys.97, 6628 (1992).10.1063/1.463666Suche in Google Scholar
[43] A. M. Ferrari, E. Garrone, P. Ugliengo. Chem. Phys. Lett.212, 644 (1994).10.1016/0009-2614(93)85498-DSuche in Google Scholar
[44] D. J. Wales. J. Am. Chem. Soc.115, 11180 (1993).10.1021/ja00077a016Suche in Google Scholar
[45] S. S. Xantheas. J. Chem. Phys.100, 7523 (1995).10.1063/1.466846Suche in Google Scholar
[46] L. A. Schmiedekamp-Schneeweis, J. Ozment Payne. Int. J. Quant. Chem.70, 863 (1998).10.1002/(SICI)1097-461X(1998)70:4/5<863::AID-QUA32>3.0.CO;2-#Suche in Google Scholar
[47] V. V. Gromak. J. Mol. Struc. (Theochem)726, 213 (2005).10.1016/j.theochem.2005.01.043Suche in Google Scholar
[48] Y. C. Park, J. S. Lee. Bull. Korean Chem. Soc.28, 386 (2007).10.5012/bkcs.2007.28.3.386Suche in Google Scholar
[49] G. Alagona, C. Ghio. J. Mol. Struc. (Theochem)811, 223 (2007).10.1016/j.theochem.2007.02.033Suche in Google Scholar
[50] G. Alagona, C. Ghio. J. Comp. Chem.11, 930 (1990).10.1002/jcc.540110805Suche in Google Scholar
[51] J. E. Del Bene, M. J. T. Jordan. J. Mol. Struc. (Theochem)573, 11 (2001).10.1016/S0166-1280(01)00534-6Suche in Google Scholar
[52] L. Gonzalez, O. Mo, M. Yanez. J. Comp. Chem.18, 1124 (1997).10.1002/(SICI)1096-987X(19970715)18:9<1124::AID-JCC2>3.0.CO;2-TSuche in Google Scholar
[53] M. Lozynski, D. Rusinska-Roszak. J. Phys. Chem. A102, 1542 (1997).10.1021/jp962311vSuche in Google Scholar
[54] B. J. Lynch, Y. Zhao, D. G. Truhlar. J. Phys. Chem. A107, 1384 (2003).10.1021/jp021590lSuche in Google Scholar
[55] C. Lee, W. Yang, R. G. Parr. Phys. Rev. B37, 785 (1998).10.1103/PhysRevB.37.785Suche in Google Scholar
[56] A. D. Becke. J. Chem. Phys.98, 1372 (1993).10.1063/1.464304Suche in Google Scholar
[57] A. D. Becke. J. Chem. Phys.98, 5648 (1993).10.1063/1.464913Suche in Google Scholar
[58] S. G. Chiodo, M. Leopoldini, N. Russo, M. Toscano. Phys. Chem. Chem. Phys.12, 7662 (2010).10.1039/b924521aSuche in Google Scholar
[59] J. Tomasi, M. Persico. Chem. Rev.94, 2027 (1994).10.1021/cr00031a013Suche in Google Scholar
[60] C. Amovilli, V. Barone, R. Cammi, E. Cancès, M. Cossi, B. Mennucci, C. S. Pomelli, J. Tomasi. Adv. Quantum Chem.32, 227 (1999).10.1016/S0065-3276(08)60416-5Suche in Google Scholar
[61] J. Tomasi, R. Cammi, B. Mennucci, C. Cappelli, S. Corni. Phys. Chem. Phys.4, 5697 (2002).10.1039/b207281pSuche in Google Scholar
[62] J. Tomasi, B. Mennucci, R. Cammi. Chem. Rev.105, 2999 (2005).10.1021/cr9904009Suche in Google Scholar PubMed
[63] B. Mennucci. J. Phys. Chem. Lett.1, 1666 (2010).10.1021/jz100506sSuche in Google Scholar
[64] M. J. Frisch, G. W. Trucks, H. B. Schlegel, G. E. Scuseria, M. A. Robb, J. R. Cheeseman, J. A. Montgomery, T. Vreven, K. N. Kudin, J. C. Burant, J. M. Millam, S. S. Iyengar, J. Tomasi, V. Barone, B. Mennucci, M. Cossi, G. Scalmani, N. Rega, G. A. Petersson, H. Nakatsuji, M. Hada, M. Ehara, K. Toyota, R. Fukuda, J. Hasegawa, M. Ishida, T. Nakajima, Y. Honda, O. Kitao, H. Nakai, M. Klene, X. Li, J. E. Knox, H. P. Hratchian, J. B. Cross, C. Adamo, J. Jaramillo, R. Gomperts, R. E. Stratmann, O. Yazyev, A. J. Austin, R. Cammi, C. Pomelli, J. W. Ochterski, P. Y. Ayala, K. Morokuma, G. A. Voth, P. Salvador, J. J. Dannenberg, V. G. Zakrzewski, S. Dapprich, A. D. Daniels, M. C. Strain, O. Farkas, D. K. Malick, A. D. Rabuck, K. Raghavachari, J. B. Foresman, J. V. Ortiz, Q. Cui, A. G. Baboul, S. Clifford, J. Cioslowski, B. B. Stefanov, G. Liu, A. Liashenko, P. Piskorz, I. Komaromi, R. L. Martin, D. J. Fox, T. Keith, M. A. Al-Laham, C. Y. Peng, A. Nanayakkara, M. Challacombe, P. M. W. Gill, B. Johnson, W. Chen, M. W. Wong, C. Gonzalez, J. A. Pople. GAUSSIAN 03, Gaussian, Inc., Pittsburgh, PA (2003).Suche in Google Scholar
[65] L. Mammino. Chem. Phys. Lett.473, 354, (2009).10.1016/j.cplett.2009.04.008Suche in Google Scholar
[66] J. P. Merrick, D. Moran, L. Radom. J. Phys. Chem. A111, 11683 (2007).10.1021/jp073974nSuche in Google Scholar PubMed
[67] P. J. Hay, W. R. Wadt. J. Chem. Phys.82, 284 (1985).10.1063/1.448800Suche in Google Scholar
[68] P. E. M. Siegbahn. Q. Rev. Biophys.36, 91 (2003).10.1017/S0033583502003827Suche in Google Scholar PubMed
[69] P. E. Siegbahn. J. Biol. Inorg. Chem.11, 695 (2006).10.1007/s00775-006-0137-2Suche in Google Scholar PubMed
[70] A. E. Reed, F. Weinhold. J. Chem. Phys.78, 4066 (1983).10.1063/1.445134Suche in Google Scholar
[71] A. E. Reed, R. B. Weinstock, F. Weinhold. J. Chem. Phys.83, 735 (1985).10.1063/1.449486Suche in Google Scholar
[72] A. E. Reed, F. Weinhold. J. Chem. Phys.83, 1736 (1985).10.1063/1.449360Suche in Google Scholar
[73] A. E. Reed, L. A. Curtiss, F. Weinhold. Chem. Rev.88, 899 (1988).10.1021/cr00088a005Suche in Google Scholar
[74] J. E. Carpenter, F. Weinhold. J. Mol. Struc. (Theochem)169, 41 (1988).10.1016/0166-1280(88)80248-3Suche in Google Scholar
[75] G. Alagona, C. Ghio. Phys. Chem. Chem. Phys.11, 776 (2009).10.1039/B813464BSuche in Google Scholar
[76] G. Alagona, C. Ghio. J. Phys. Chem. A113, 15206 (2009).10.1021/jp905521uSuche in Google Scholar
[77] S. F. Boys, F. Bernardi. Mol. Phys.19, 553 (1970).10.1080/00268977000101561Suche in Google Scholar
[78] GaussView 4.1., Gaussian, Inc., Wallingford, CT (2006).Suche in Google Scholar
[79] Chem3D, Ultra Version 8.0.3., Cambridge Soft, 2003.Suche in Google Scholar
[80] B. Cabane, R. C. R. Vuilleumier. Geoscience337, 159 (2005).10.1016/j.crte.2004.09.018Suche in Google Scholar
[81] T. Loftsson, M. E. Brewster. Int. J. Pharm.354, 248 (2008).10.1016/j.ijpharm.2007.08.049Suche in Google Scholar
[82] X. Meng-Xia, L. Yuan. Spectrochim. Acta A58, 2817 (2002).10.1016/S1386-1425(02)00072-0Suche in Google Scholar
[83] S. Schlucker, K. S. Ranjan, B. P. Asthana, J. Popp, W. Kiefer. J. Phys. Chem. A105, 9983 (2001).10.1021/jp0122272Suche in Google Scholar
[84] G. Buemi, F. Zuccarello. J. Mol. Struct. (Theochem)581, 71 (2002).10.1016/S0166-1280(01)00745-XSuche in Google Scholar
[85] A. Simperler, H. Lampert, W. Mikenda. J. Mol. Struct.448, 191 (1998).10.1016/S0022-2860(98)00350-0Suche in Google Scholar
[86] G. Gilli, F. Bellucci, V. Ferretti, V. Bertolasi. J. Am. Chem. Soc.111, 1023 (1989).10.1021/ja00185a035Suche in Google Scholar
[87] V. Bertolasi, P. Gilli, V. Ferretti, G. Gilli. J. Am. Chem. Soc.113, 4017 (1991).10.1021/ja00010a068Suche in Google Scholar
[88] P. Gilli, V. Bertolasi, V. Ferretti, P. Gilli. J. Am. Chem. Soc.116, 909 (1994).10.1021/ja00082a011Suche in Google Scholar
[89] M. M. Nolasco, P. J. A. Ribeiro-Claro. Chem. Phys. Chem.6, 496 (2005).10.1002/cphc.200400423Suche in Google Scholar
[90] G. Buemi. Chem. Phys.282, 181 (2002).10.1016/S0301-0104(02)00677-8Suche in Google Scholar
[91] Y. Posokhov, A. Gorski, J. Spanget-Larsen, F. Duus, P. E. Hansen, J. Waluk. Chem. Phys. Chem.5, 495 (2004).10.1002/cphc.200404016Suche in Google Scholar PubMed
[92] L. Sobczyk, S. J. Grabowski, T. M. Krygowski. Chem. Rev.105, 3513 (2005).10.1021/cr030083cSuche in Google Scholar PubMed
[93] M. Jablonski, A. Kaczmarek, A. J. Sadlej. J. Phys. Chem.A110, 10890 (2006).10.1021/jp062759oSuche in Google Scholar PubMed
[94] C. A. Schalley, A. Springer. Mass Spectrometry and Gas-Phase Chemistry of Non-Covalent Complexes, p. 17, Wiley, Hoboken, NJ (2009).Suche in Google Scholar
[95] M. Lopez de la Paz, J. Jimenez-Barbero, C. Vicent. Chem. Commun.4, 465 (1998).10.1039/a708386fSuche in Google Scholar
[96] R. D. Parra, B. Gong, X. C. Zeng. J. Chem. Phys.115, 6036 (2001).10.1063/1.1400142Suche in Google Scholar
[97] M. López de la Paz, G. Ellis, M. Pérez, J. Perkins, J. Jiménez-Barbero, C. Vicent. Eur. J. Org. Chem.5, 840 (2002).10.1002/1099-0690(200203)2002:5<840::AID-EJOC840>3.0.CO;2-ISuche in Google Scholar
[98] Y. Nishiyama, P. Langan, H. Chanzy. J. Am. Chem. Soc.124, 9074 (2002).10.1021/ja0257319Suche in Google Scholar
[99] B. Xing, C. W. Yu, K. H. Chow, P. L. Ho, D. Fu, B. Xu. J. Am. Chem. Soc.124, 14846 (2002).10.1021/ja028539fSuche in Google Scholar
[100] M. M. Deshmukh, L. J. Bartolotti, S R. Gadre. J. Chem. Phys. A112, 312 (2008).10.1021/jp076316bSuche in Google Scholar
[101] X. Qian. Mol. Simul.34, 183 (2008).10.1080/08927020801961476Suche in Google Scholar
[102] E. Cubero, M. Orozco, F. J. Luque. Chem. Phys. Lett.310, 445 (1999).10.1016/S0009-2614(99)00831-3Suche in Google Scholar
[103] J. M. Bakke, L. H. Bjerkeseth. J. Mol. Struct.470, 247 (1998).10.1016/S0022-2860(98)00366-4Suche in Google Scholar
[104] T. Isozaki, Y. -I. Tsutsumi, T. Suzuki, T. Ichimura. Chem. Phys. Lett.495, 175 (2010).10.1016/j.cplett.2010.06.081Suche in Google Scholar
[105] K. Kowski, W. Lüttke, P. Rademacher. J. Mol. Struct.567, 231 (2001).10.1016/S0022-2860(01)00556-7Suche in Google Scholar
[106] P. Rademacher, L. Khelashvili. Mendeleev Commun.14, 286 (2004).10.1070/MC2004v014n06ABEH002033Suche in Google Scholar
[107] M. C. Wahl, M. Sundaralingam. TIBS22, 97 (1997).10.1016/S0968-0004(97)01004-9Suche in Google Scholar
[108] R. Taylor, O. Kennard. J. Am. Chem. Soc.104, 5063 (1982).10.1021/ja00383a012Suche in Google Scholar
[109] G. Muller, M. Lutz, S. Harder. Acta. Crystallogr.52, 1014 (1996).10.1107/S0108768196008300Suche in Google Scholar
[110] M. M. Nolasco, P. J. A. Ribeiro-Claro. Chem. Phys. Chem.6, 496 (2005).10.1002/cphc.200400423Suche in Google Scholar
[111] G. R. Desiraju. Acc. Chem. Res.24, 290 (1991).10.1021/ar00010a002Suche in Google Scholar
[112] G. R. Desiraju. Angew. Chem. Int. Ed. Engl.34, 2311 (1995).10.1002/anie.199523111Suche in Google Scholar
[113] L. Bolte, J. Bowers, W. D. Crow, D. M. Paton, A. Sakurai, N. Takahashi, M. Uji-Ie, S. Yoshida. Agric. Biol. Chem.48, 373 (1984).10.1080/00021369.1984.10866137Suche in Google Scholar
[114] Z. S. Derewenda, U. Derewenda, P. M. Kobos. J. Mol. Biol.241, 83 (1994).10.1006/jmbi.1994.1475Suche in Google Scholar
[115] M. Spoliti, L. Bencivenni, J. J. Quirante, F. Ramondo. J. Mol. Struct. (Theochem)390, 139 (1997).10.1016/S0166-1280(96)04768-9Suche in Google Scholar
[116] B. Santra, A. Michaelides, M. Scheffler. J. Chem. Phys.127, 184104 (2007).10.1063/1.2790009Suche in Google Scholar PubMed
Article note
A special collection of invited papers by recipients of the IUPAC Distinguished Women in Chemistry and Chemical Engineering Awards.
©2019 IUPAC & De Gruyter. This work is licensed under a Creative Commons Attribution-NonCommercial-NoDerivatives 4.0 International License. For more information, please visit: http://creativecommons.org/licenses/by-nc-nd/4.0/
Artikel in diesem Heft
- Frontmatter
- In this issue
- Short Technical Review Papers
- Half- and mixed-sandwich metallacarboranes for potential applications in medicine
- Synthesis of pyrrolizidines and indolizidines by multicomponent 1,3-dipolar cycloaddition of azomethine ylides
- Computational study of acylphloroglucinols: an investigation with many branches
- Metal-support interactions in the design of heterogeneous catalysts for redox processes
- Synthesis of polymacrocyclic compounds via Pd-catalyzed amination and evaluation of their derivatives as metal detectors
- Perspectives of ferrocenyl chalcones: synthetic scaffolds toward biomedical and materials science applications
- Synthesis of inorganic polymers under ionizing and super high frequency irradiation: role of reaction media
- Bioceramics: from bone substitutes to nanoparticles for drug delivery
- Surface forces measurement for materials science
- Perspective and Career Papers
- From academic research to founding a company: the story of AiCuris
- Progression towards a challenging, but worthwhile career
- Efforts to improve Japanese women’s status in STEM fields
- A brief overview on Brazilian women in chemistry
- Science in my life
Artikel in diesem Heft
- Frontmatter
- In this issue
- Short Technical Review Papers
- Half- and mixed-sandwich metallacarboranes for potential applications in medicine
- Synthesis of pyrrolizidines and indolizidines by multicomponent 1,3-dipolar cycloaddition of azomethine ylides
- Computational study of acylphloroglucinols: an investigation with many branches
- Metal-support interactions in the design of heterogeneous catalysts for redox processes
- Synthesis of polymacrocyclic compounds via Pd-catalyzed amination and evaluation of their derivatives as metal detectors
- Perspectives of ferrocenyl chalcones: synthetic scaffolds toward biomedical and materials science applications
- Synthesis of inorganic polymers under ionizing and super high frequency irradiation: role of reaction media
- Bioceramics: from bone substitutes to nanoparticles for drug delivery
- Surface forces measurement for materials science
- Perspective and Career Papers
- From academic research to founding a company: the story of AiCuris
- Progression towards a challenging, but worthwhile career
- Efforts to improve Japanese women’s status in STEM fields
- A brief overview on Brazilian women in chemistry
- Science in my life