Abstract
The readily accessible and inexpensive dialkyl H-phosphonates are important building blocks for organic synthesis. This review specifically covers our recent work on the application of H-phosphonates as reactants for C–P bond formation, and as promoters for quinoline N-oxides to synthesize 2-functionalized quinolines.
Introduction
Organophosphorus compounds have been widely applied in the field of organic chemistry, biochemistry, and photoelectric materials. Due to the importance of these compounds, the development of novel and efficient synthetic strategies for the construction of organophosphorus compounds have drawn much attention in the past decades, including the well-known Michaelis–Arbuzov reaction [1], [2], Hirao cross-coupling [3], [4], Atherton–Todd reaction [5], [6], [7], [8], [9], and Kabachnik–Fields reaction [10], [11], [12], [13], [14], [15], [16]. Particularly, dialkyl H-phosphonates are an important class of building blocks for the synthesis of organophosphorus compounds, which have been applied for the synthesis of α-aminophosphonic acids, bisphosphonates, alkynylphosphonates, poly(alkylene H-phosphonate)s, etc. (Scheme 1) [17].

Application of H-phosphonates as building blocks.
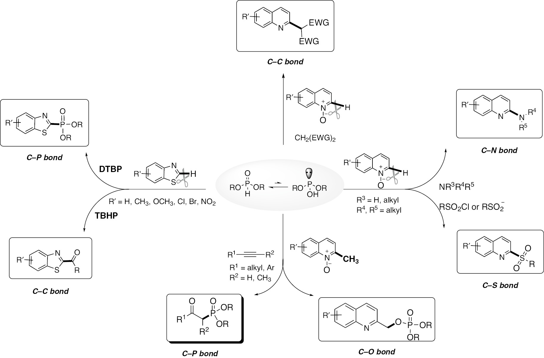
In the recent years, the research groups of Han [18], [19], [20], [21], Zhao et al. [22], [23], [24], [25], Yang et al. [26], [27], Xiao et al. [28], [29], Wu et al. [30], [31], Zou et al. [32], [33], [34], [35], Toste et al. [36], Montchamp [37], [38], [39], and others have made critical and promising contributions in developing the novel synthetic methods in organophosphorus chemistry. For example, the tautomeric equilibrium of dialkyl H-phosphonates between their phosphite form and phosphonate form, namely the tricoordinated phosphorus form and the tetracoordinated phosphorus form (Scheme 2), makes this compound a highly intriguing building block. In the past several years, our research group of Zhengzhou University devoted our efforts to the exploration of novel application of H-phosphonates for organic synthesis. Herein, the recent advances of the application of H-phosphonates as a reactant or promoter for C–P, C–C, C–N, C–S and C–O bond formation are summarized using representative results from our lab (Scheme 2).

Application of H-phosphonates for C element bond formation.
H-Phosphonates as reactant for C–P bond construction
β-Ketophosphonates are a significant class of organic intermediates for various transformations, and also exhibit interesting bioactivities and prominent metal-complexing abilities. Due to their importance, various methods have been developed by using Arbuzov reaction [2], LDA-mediated acylation reaction [40], PdCl2-catalyzed reaction [41], and Cu–Fe catalytic system [42]. In our reported system, a convenient synthetic approach via the one-pot aerobic reaction of alkynes with dialkyl H-phosphonates and oxygen in the air was developed (Scheme 3) [43]. In the presence of AgNO3 (5.0 mol%), CuSO4·5H2O (10.0 mol%) and K2S2O8 (4 equiv.), in the mixture solvent, i.e. CH2Cl2/H2O (v/v=1/1), a wide variety of β-ketophosphonates were prepared at room temperature for 3 h at room temperature. The substrate scope of the reaction was broad, with a variety of alkynes and dialkyl H-phosphonates undergoing coupling in excellent yields (see Scheme 3).

Selected examples of the synthesis of β-ketophosphonates via the reaction of alkynes and H-phosphonates.
Generally, α,β-alkenyl carboxylic acids and alkenes are cheaper than corresponding alkynes. Inspired by the above-mentioned results, we then extended the similar methodology to synthesize β-ketophosphonates from α,β-alkenyl carboxylic acids or alkenes rather than terminal alkynes [44]. After the optimization of reaction conditions, we found that only CuSO4·5H2O (10.0 mol%) was needed for the reaction of α,β-alkenyl carboxylic acids (or alkenes) and dialkyl H-phosphonates in CH3CN at 60°C for 6 h (Scheme 4). Importantly, CH3CN was demonstrated to be a unique solvent for this transformation, and no reaction was observed when the reaction was conducted in other solvents like THF, DMF, EtOH, 1,4-dioxane, EtOAc, etc. Therefore, it was proposed that the complex [Cu(MeCN)n]2+, in situ generated from Cu2+ and CH3CN, probably was the active catalytic species. The oxygen (O2) in air was initially trapped by [Cu(MeCN)n]2+ to form active oxygen complex [·O–O–Cu(MeCN)n], by which an efficient cascade decarboxylation-oxyphosphorylation reaction was thus triggered.

Reaction of α,β-alkenyl carboxylic acids (or alkenes) and H-phosphonates.
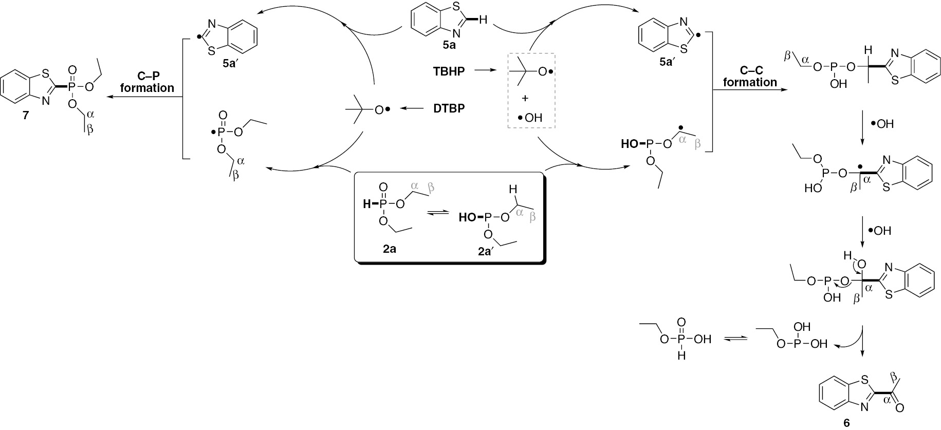
On the other hand, the reactive sites of dialkyl H-phosphonates could be the α-carbon-center or the phosphorus-center (Scheme 5). When the benzothiazoles 5 and H-phosphonates 2 were applied as substrates under oxidative conditions, it was unexpectedly found that the dialkyl H-phosphonate 2 was a switchable synthetic precursor for the C2-acylation of benzothiazoles and C2-phosphonation of benzothiazoles. Accordingly, two important benzothiazole derivatives, i.e. 2-acylbenzothiazoles 6 and dialkyl benzothiazol-2-ylphosphonates 7 were synthesized. After optimization of the reaction conditions, tert-butyl hydroperoxide (TBHP) and di-tert-butyl peroxide (DTBP) proved to be the optimal oxidant in CH3CN at 80°C for the selective C2-acylation or C2-phosphonation of benzothiazoles, respectively [45].

Reaction of benzothiazoles and H-phosphonates.
In these reactions, oxidants were converted into radicals, e.g. HO· and tBuO·. By using density functional theory (DFT) calculation, the free energy barriers for the possible proton transfer pathways were 12.58, 15.87, 7.11, and 3.69 kcal/mol, respectively. These results suggested that the phosphorus-centered phosphonate radical can be easily generated in the presence of tBuO· (Scheme 6, a vs b); while the α-carbon-centered phosphite radical can be easily generated in the presence of HO· (Scheme 6, c vs d), which is in good agreement with the experimental results.

Proton transfer pathways and the corresponding free energy barriers.
The proposed reaction mechanism in Scheme 7 showed that the C–P bond formation was achieved by the reaction of phosphorus-centered phosphonate radical and the radical 5a′. While the C–C bond formation was achieved by the reaction of α-carbon-centered phosphite radical and the radical 5a′.

Proposed reaction mechanism.
H-Phosphonates as promoter for the transformation of heteroaromatic N-oxides
Heteroaromatic N-oxides such as pyridine N-oxides, quinoline N-oxides, often serve as important intermediates for the activation and functionalization of the corresponding parent ring [46]. Subsequently, numerous efforts have been devoted to the development of novel and efficient methods for the transformation of heteroaromatic N-oxides [47]. In the course of our continuing efforts in developing reactions of H-phosphonates [48], [49], [50], we have discovered that H-phosphonates are a class of powerful activator for heteroaromatic N-oxides. By using H-phosphonates as mediator, functionalization of quinoline N-oxides such as 2-amination, 2-alkylation, 2-sulfonation, 2-aryloxylation etc. were achieved (Scheme 8).

Overview of H-phosphonates mediate for the transformation of heteroaromatic N-oxides.
Firstly, we established a straightforward one-pot reaction for the synthesis of 2-(dialkylamino)quinolines at room temperature via the reaction of quinoline N-oxides and trialkylamines in the presence of diisopropyl H-phosphonate and CCl4 (Scheme 9) [51]. Compared with the previous reported methods for indirect N-dialkylamination of quinoline, this strategy has great advantages including high efficiency, readily available starting materials and reagents, and mild reaction conditions.

H-Phosphonate-mediated amination of quinoline N-oxides with tertiary amines.
Based on the experimental results, a plausible mechanism was proposed. As shown in Scheme 10, the H-phosphonate 2 was firstly converted into the reactive dialkyl chlorophosphate 11 in the presence of CCl4 and triethylamine, as in the Atherton–Todd reaction. Subsequently, the addition of the intermediate 11 and quinoline N-oxide 8 afford the quinolinium cation 12 (or 13), in which an energetically favorable six-membered ring was formed due to the intramolecular hydrogen bond. Subsequently, addition of tertiary amine 9 with 13 generated the intermediate 15 by releasing phosphate 14. Finally, deprotonation of 15 by the amine as base led to the desired product 10.

Proposed mechanism.
However, the above-mentioned metal-free synthetic strategy cannot synthesize 2-alkyl(aryl)aminoquinolines and 2-aminoquinolines. Subsequently, primary amines and secondary amines were successfully employed as substrate for the construction of 2-aminoquinolines derivatives. After optimization of the reaction conditions, the one-pot reaction of quinoline N-oxides with ammonia, primary amines and secondary amines were achieved in the presence of K2CO3 (2 equiv.), diethyl H-phosphonate (2 equiv.) and CCl4 (0.5 mL) for 3 h at room temperature (Scheme 11). A large variety of 2-dialkylaminoquinolines as well as 1-dialkylaminoisoquinolines were successfully synthesized [52].

H-Phosphonate-mediated amination of quinoline N-oxides with secondary and primary amines.
Following the success of the 2-amination of quinoline N-oxides by using primary, secondary and tertiary amines as nucleophiles, we further using H-phosphonate as the activator of quinoline N-oxides to explored the C–C, C–O, C–S bond formation at C-2 position from the reaction of quinoline N-oxides with different nucleophiles including active methylene compounds [52], phenols (or alcohols) [53], and sulfonyl chlorides (or sulfinate salts) [54] (Scheme 12).

H-Phosphonate-mediated transformation of quinoline N-oxides.
Moreover, when 2-methylquinoline N-oxides 20 were applied as substrates with dialkyl H-phosphonates in the presence of CCl4 and Et3N, the novel multiheteroatom (N, O and P) [3,3]-sigmatropic rearrangement were observed giving 2-(N-heteroaryl) methyl phosphates 21 [55]. Additionally, the biologically attractive α-keto phosphates 23 could also be synthesized by reaction of nitrones 22′ with dialkyl H-phosphonates by using this protocol at room temperature. The preliminary mechanistic studies showed that the dialkyl H-phosphonate 2 initially reacts with CCl4 and Et3N to form dialkylchlorophosphate 2′. Then the nucleophilic addition-elimination of 2-methyl quinolone N-oxide 20 to 2′ would give intermediate 24. Subsequently, Et3N removes the acidic hydrogen of 24, giving intermediate 25 which undergoes spontaneous [3,3]-rearrangement leading to the formation of product 21 (Scheme 13).
![Scheme 13:
H-Phosphonate in the [3,3]-sigmatropic rearrangement and the proposed mechanism.](/document/doi/10.1515/pac-2018-0906/asset/graphic/j_pac-2018-0906_fig_026.jpg)
H-Phosphonate in the [3,3]-sigmatropic rearrangement and the proposed mechanism.
Conclusion
In summary, from the above-mentioned advances in the application of H-phosphonates, it can be concluded that the H-phosphonates are a class of useful feedstocks for the construction of C–P bond and activation of quinoline N-oxides for the synthesis of 2-functionalized quinolines. Such findings will open new avenues for the application of H-phosphonates in organic synthesis.
Article note
A collection of invited papers based on presentations at the 22nd International Conference on Phosphorous Chemistry (ICPC-22) held in Budapest, Hungary, 8–13 July 2018.
Funding source: National Natural Science Foundation of China
Award Identifier / Grant number: 21501010
Funding statement: We are indebted to our colleagues and co-workers in our lab, whose names are cited in the references. We also acknowledge financial support from National Natural Science Foundation of China, Funder Id:10.13039/501100001809, (21501010), the 2017 Science and Technology Innovation Team in Henan Province (22120001), Major scientific and technological projects in Henan Province (181100310500), and the Key Laboratory for Chemical Biology of Fujian Province (Xiamen University) (2017002).
References
[1] A. K. Bhattacharya, G. Thyagarajan. Chem. Rev.81, 415 (1981).10.1021/cr00044a004Search in Google Scholar
[2] B. A. Arbusow. Pure Appl. Chem.9, 307 (1964).10.1351/pac196409020307Search in Google Scholar
[3] T. Hirao, T. Masunaga, Y. Ohshiro, T. Agawa. Synthesis1981, 56 (1981).10.1055/s-1981-29335Search in Google Scholar
[4] M. C. Kohler, J. G. Sokol, R. A. Stockland. Tetrahedron Lett.50, 457 (2009).10.1016/j.tetlet.2008.11.040Search in Google Scholar
[5] S. Li, T. Chen, Y. Saga, L.-B. Han. RSC Adv.5, 71544 (2015).10.1039/C5RA16015DSearch in Google Scholar
[6] B. Kaboudin, A. Donyavi, F. Kazemi. Synthesis50, 170 (2018).10.1055/s-0036-1589111Search in Google Scholar
[7] S. S. Le Corre, M. Berchel, H. Couthon-Gourves, J.-P. Haelters, P.-A. Jaffres. Beilstein J. Org. Chem.10, 1166 (2014).10.3762/bjoc.10.117Search in Google Scholar PubMed PubMed Central
[8] P. A. Volkov, N. N. Pogodaeva, N. I. Ivanova, K. O. Khrapova, L. I. Larina, B. G. Sukhov, Y. V. Gatilov, N. K. Gusarova, B. A. Trofimov. Tetrahedron Lett.55, 4927 (2014).10.1016/j.tetlet.2014.07.016Search in Google Scholar
[9] X. Chen, Y. Yu, L. Qu, X. Liao, Y. Zhao. Synth. Commun.34, 493 (2004).10.1081/SCC-120027289Search in Google Scholar
[10] Y. H. Wu, Q. L. Wu, W. P. Wang, X. C. Wang, Z. J. Quan. Adv. Synth. Catal.360, 2382 (2018).10.1002/adsc.201800303Search in Google Scholar
[11] E. D. Matveeva, T. A. Podrugina, E. V. Tishkovskaya, L. G. Tomilova, N. S. Zefirov. Synlett. 2321 (2003).10.1055/s-2003-42118Search in Google Scholar
[12] X. Cheng, R. Goddard, G. Buth, B. List. Angew. Chem. Int. Ed.47, 5079 (2008).10.1002/anie.200801173Search in Google Scholar PubMed
[13] M. Ohara, S. Nakamura, N. Shibata. Adv. Synth. Catal.353, 3285 (2011).10.1002/adsc.201100482Search in Google Scholar
[14] M. P. Placidi, M. Botta, F. K. Kalman, G. E. Hagberg, Z. Baranyai, A. Krenzer, A. K. Rogerson, I. Toth, N. K. Logothetis, G. Angelovski. Chem. Eur. J.19, 11644 (2013).10.1002/chem.201300763Search in Google Scholar PubMed
[15] S. T. Disale, S. R. Kale, S. S. Kahandal, T. G. Srinivasan, R. V. Jayaram. Tetrahedron Lett.53, 2277 (2012).10.1016/j.tetlet.2012.02.054Search in Google Scholar
[16] Z. Qu, X. Chen, J. Yuan, Y. Bai, T. Chen, L. Qu, F. Wang, X. Li, Y. Zhao. Tetrahedron68, 3156 (2012).10.1016/j.tet.2012.02.059Search in Google Scholar
[17] K. D. Troev. Chemistry and Application of H-Phosphonates, Elsevier Science Ltd, Amsterdam (2006).10.1016/B978-044452737-0/50004-1Search in Google Scholar
[18] Y. Zhu, T. Chen, S. Li, S. Shimada, L.-B. Han. J. Am. Chem. Soc.138, 5825 (2016).10.1021/jacs.6b03112Search in Google Scholar PubMed
[19] T. Hirai, L.-B. Han. J. Am. Chem. Soc.128, 7422 (2006).10.1021/ja060984dSearch in Google Scholar PubMed
[20] L.-B. Han, C. Zhang, H. Yazawa, S. Shimada. J. Am. Chem. Soc.126, 5080 (2004).10.1021/ja0494297Search in Google Scholar PubMed
[21] X. Ma, Q. Xu, H. Li, C. Su, L. Yu, X. Zhang, H. Cao, L.-B. Han. Green Chem.20, 3408 (2018).10.1039/C8GC00931GSearch in Google Scholar
[22] W. Miao, Y. Gao, X. Li, Y. Gao, G. Tang, Y. Zhao. Adv. Synth. Catal.354, 2659 (2012).10.1002/adsc.201200295Search in Google Scholar
[23] P. Zhang, L. Zhang, Y. Gao, J. Xu, H. Fang, G. Tang, Y. Zhao. Chem. Commun.51, 7839 (2015).10.1039/C5CC01904DSearch in Google Scholar PubMed
[24] H. Zhang, W. Li, C. Zhu. J. Org. Chem.82, 2199 (2017).10.1021/acs.joc.6b02673Search in Google Scholar PubMed
[25] P. Zhang, J. Ying, G. Tang, Y. Zhao. Org. Chem. Front.4, 2054 (2017).10.1039/C7QO00466DSearch in Google Scholar
[26] Y.-N. Ma, S.-X. Li, S.-D. Yang. Acc. Chem. Res.50, 1480 (2017).10.1021/acs.accounts.7b00167Search in Google Scholar PubMed
[27] Y.-M. Li, M. Sun, H.-L. Wang, Q.-P. Tian, S.-D. Yang. Angew. Chem. Int. Ed.52, 3972 (2013).10.1002/anie.201209475Search in Google Scholar PubMed
[28] H. M. Guo, Q. Q. Zhou, X. Jiang, D. Q. Shi, W. J. Xiao. Adv. Synth. Catal.359, 4141 (2017).10.1002/adsc.201700886Search in Google Scholar
[29] J. Xuan, T.-T. Zeng, J.-R. Chen, L.-Q. Lu, W.-J. Xiao. Chem. Eur. J.21, 4962 (2015).10.1002/chem.201500227Search in Google Scholar PubMed
[30] W. C. Yang, P. Dai, K. Luo, Y. G. Ji, L. Wu. Adv. Synth. Catal.359, 2390 (2017).10.1002/adsc.201601407Search in Google Scholar
[31] W.-C. Yang, K. Wei, X. Sun, J. Zhu, L. Wu. Org. Lett.20, 3144 (2018).10.1021/acs.orglett.8b01278Search in Google Scholar PubMed
[32] W.-B. Sun, J.-F. Xue, G.-Y. Zhang, R.-S. Zeng, L.-T. An, P.-Z. Zhang, J.-P. Zou. Adv. Synth. Catal.358, 1753 (2016).10.1002/adsc.201600001Search in Google Scholar
[33] X.-Q. Pan, L. Wang, J.-P. Zou, W. Zhang. Chem. Commun.47, 7875 (2011).10.1039/c1cc12343bSearch in Google Scholar PubMed
[34] J.-A. Li, P.-Z. Zhang, K. Liu, A. Shoberu, J.-P. Zou, W. Zhang. Org. Lett.19, 4704 (2017).10.1021/acs.orglett.7b02183Search in Google Scholar PubMed
[35] C.-K. Li, D.-L. Zhang, O. O. Olamiji, P.-Z. Zhang, A. Shoberu, J.-P. Zou, W. Zhang. Synthesis50, 2968 (2018).10.1055/s-0037-1610039Search in Google Scholar
[36] Y. He, H. Wu, F. D. Toste. Chem. Sci.6, 1194 (2015).10.1039/C4SC03092CSearch in Google Scholar PubMed PubMed Central
[37] O. Berger, J.-L. Montchamp. Chem. Rec.17, 1203 (2017).10.1002/tcr.201700021Search in Google Scholar PubMed
[38] H. C. Fisher, O. Berger, F. Gelat, J.-L. Montchamp. Adv. Synth. Catal.356, 1199 (2014).10.1002/adsc.201301157Search in Google Scholar
[39] O. Berger, C. Petit, E. L. Deal, J.-L. Montchamp. Adv. Synth. Catal.355, 1361 (2013).10.1002/adsc.201300069Search in Google Scholar
[40] K. M. Maloney, J. Y. L. Chung. J. Org. Chem.74, 7574 (2009).10.1021/jo901552kSearch in Google Scholar PubMed
[41] X. Li, G. Hu, P. Luo, G. Tang, Y. Gao, P. Xu, Y. Zhao. Adv. Synth. Catal.354, 2427 (2012).10.1002/adsc.201200420Search in Google Scholar
[42] W. Wei, J.-X. Ji. Angew. Chem. Int. Ed.50, 9097 (2011).10.1002/anie.201100219Search in Google Scholar PubMed
[43] X. Chen, X. Li, X.-L. Chen, L.-B. Qu, J.-Y. Chen, K. Sun, Z.-D. Liu, W.-Z. Bi, Y.-Y. Xia, H.-T. Wu, Y.-F. Zhao. Chem. Commun.51, 3846 (2015).10.1039/C4CC10312BSearch in Google Scholar PubMed
[44] X. Chen, X. Chen, X. Li, C. Qu, L. Qu, W. Bi, K. Sun, Y. Zhao. Tetrahedron73, 2439 (2017).10.1016/j.tet.2017.03.026Search in Google Scholar
[45] X.-L. Chen, X. Li, L.-B. Qu, Y.-C. Tang, W.-P. Mai, D.-H. Wei, W.-Z. Bi, L.-K. Duan, K. Sun, J.-Y. Chen, D.-D. Ke, Y.-F. Zhao. J. Org. Chem.79, 8407 (2014).10.1021/jo501791nSearch in Google Scholar PubMed
[46] E. N. da Silva Junior, G. A. M. Jardim, R. S. Gomes, Y.-F. Liang, L. Ackermann. Chem. Commun.54, 7398 (2018).10.1039/C8CC03147ASearch in Google Scholar
[47] G. Yan, A. J. Borah, M. Yang. Adv. Synth. Catal.356, 2375 (2014).10.1002/adsc.201400203Search in Google Scholar
[48] X. Li, X.-L. Chen, Q. Zhang, L.-B. Qu, W.-Z. Bi, K. Sun, J.-Y. Chen, X. Chen, Y.-F. Zhao. RSC Adv.5, 5004 (2015).10.1039/C4RA10617BSearch in Google Scholar
[49] J.-Y. Chen, X.-L. Chen, X. Li, L.-B. Qu, Q. Zhang, L.-K. Duan, Y.-Y. Xia, X. Chen, K. Sun, Z.-D. Liu, Y.-F. Zhao. Eur. J. Org. Chem.2015, 314 (2015).10.1002/ejoc.201403278Search in Google Scholar
[50] H. Ma, S. Liu, S. Zhu, W. Bi, X. Chen, Y. Zhao. Phosphorus, Sulfur Silicon Relat. Elem.192, 887 (2017).10.1080/10426507.2017.1315422Search in Google Scholar
[51] X. Chen, X. Li, Z. Qu, D. Ke, L. Qu, L. Duan, W. Mai, J. Yuan, J. Chen, Y. Zhao. Adv. Synth. Catal.356, 1979 (2014).10.1002/adsc.201301065Search in Google Scholar
[52] W.-Z. Bi, K. Sun, C. Qu, X.-L. Chen, L.-B. Qu, S.-H. Zhu, X. Li, H.-T. Wu, L.-K. Duan, Y.-F. Zhao. Org. Chem. Front.4, 1595 (2017).10.1039/C7QO00311KSearch in Google Scholar
[53] W.-Z. Bi, C. Qu, X.-L. Chen, L.-B. Qu, Z.-D. Liu, K. Sun, X. Li, Y.-F. Zhao. Eur. J. Org. Chem.2017, 5125 (2017).10.1002/ejoc.201701080Search in Google Scholar
[54] K. Sun, X.-L. Chen, X. Li, L.-B. Qu, W.-Z. Bi, X. Chen, H.-L. Ma, S.-T. Zhang, B.-W. Han, Y.-F. Zhao, C.-J. Li. Chem. Commun.51, 12111 (2015).10.1039/C5CC04484GSearch in Google Scholar PubMed
[55] Y. Yang, C. Qu, X. Chen, K. Sun, L. Qu, W. Bi, H. Hu, R. Li, C. Jing, D. Wei, S. Wei, Y. Sun, H. Liu, Y. Zhao. Org. Lett.19, 5864 (2017).10.1021/acs.orglett.7b02852Search in Google Scholar PubMed
©2018 IUPAC & De Gruyter. This work is licensed under a Creative Commons Attribution-NonCommercial-NoDerivatives 4.0 International License. For more information, please visit: http://creativecommons.org/licenses/by-nc-nd/4.0/
Articles in the same Issue
- Frontmatter
- In this issue
- Guest Editorial
- Research Papers from the 22nd International Conference on Phosphorus Chemistry (ICPC-22)
- Conference papers
- Efficient modular phosphorus-containing ligands for stereoselective catalysis
- Opportunities and challenges for combining electro- and organometallic catalysis in C(sp2)-H phosphonation
- Applications of H-phosphonates for C element bond formation
- Stereochemistry of electrophilic and nucleophilic substitutions at phosphorus
- Direct esterification of phosphinic and phosphonic acids enhanced by ionic liquid additives
- Continuous flow synthesis of α-aryl-α-aminophosphonates
- Low-coordinate organophosphorus compounds: some stereochemical considerations
- Applications of transition metal catalyzed P-radical for synthesis of organophosphorus compounds
- Recent advances in catalytic Wittig-type reactions based on P(III)/P(V) redox cycling
- Making and breaking of phosphorus–phosphorus bonds
- Challenges and solutions in phosphinate chemistry
- Palladium-catalyzed microwave-assisted Hirao reaction utilizing the excess of the diarylphosphine oxide reagent as the P-ligand; a study on the activity and formation of the “PdP2” catalyst
- Synthesis of a variety of organophosphorus compounds using 2-phosphaindolizines as precursors
- Microwave irradiation and catalysis in organophosphorus reactions
- Erratum
- Correction to “Post-transition state bifurcations gain momentum – current state of the field”
- IUPAC Technical Report
- International Standard for viscosity at temperatures up to 473 K and pressures below 200 MPa (IUPAC Technical Report)
- Erratum
- Erratum to: Isotope-abundance variations and atomic weights of selected elements: 2016 (IUPAC Technical Report)
Articles in the same Issue
- Frontmatter
- In this issue
- Guest Editorial
- Research Papers from the 22nd International Conference on Phosphorus Chemistry (ICPC-22)
- Conference papers
- Efficient modular phosphorus-containing ligands for stereoselective catalysis
- Opportunities and challenges for combining electro- and organometallic catalysis in C(sp2)-H phosphonation
- Applications of H-phosphonates for C element bond formation
- Stereochemistry of electrophilic and nucleophilic substitutions at phosphorus
- Direct esterification of phosphinic and phosphonic acids enhanced by ionic liquid additives
- Continuous flow synthesis of α-aryl-α-aminophosphonates
- Low-coordinate organophosphorus compounds: some stereochemical considerations
- Applications of transition metal catalyzed P-radical for synthesis of organophosphorus compounds
- Recent advances in catalytic Wittig-type reactions based on P(III)/P(V) redox cycling
- Making and breaking of phosphorus–phosphorus bonds
- Challenges and solutions in phosphinate chemistry
- Palladium-catalyzed microwave-assisted Hirao reaction utilizing the excess of the diarylphosphine oxide reagent as the P-ligand; a study on the activity and formation of the “PdP2” catalyst
- Synthesis of a variety of organophosphorus compounds using 2-phosphaindolizines as precursors
- Microwave irradiation and catalysis in organophosphorus reactions
- Erratum
- Correction to “Post-transition state bifurcations gain momentum – current state of the field”
- IUPAC Technical Report
- International Standard for viscosity at temperatures up to 473 K and pressures below 200 MPa (IUPAC Technical Report)
- Erratum
- Erratum to: Isotope-abundance variations and atomic weights of selected elements: 2016 (IUPAC Technical Report)