Abstract
Cytochrome P450s belong to a superfamily of enzymes that catalyse a wide variety of oxidative transformations. Hydroxylation is one the most thoroughly investigated of all identified P450-catalysed reactions whilst dehydrogenation has been relatively much less explored to date. P450-catalysed dehydrogenation is often found to occur with hydroxylation and thus, it was initially suspected to be a stepwise process consisting of hydroxylation and subsequent dehydration to yield the final olefin product. This theory has been proven to be invalid and the olefin was shown to be the direct product of a P450-catalysed reaction. This interesting reaction plays a vital role in the metabolism of xenobiotics and the biosynthesis of endogenous compounds, including a number of steroids. A number of well-known examples of P450 mediated dehydrogenation, including those in the metabolism of valproic acid, capsaicin and 3-methylindole and those in the biosynthesis of plant and fungal sterols are discussed in this review.
Introduction
The cytochromes P450 (P450s) comprise a superfamily of heme-containing monooxygenases and are present in all kingdoms of life including animals, plants, fungi, bacteria and archaea. In 2016, there are more than 35 000 identified P450s and the number is still growing [1]. The number of P450s found in any species is different and is independent of each organism’s complexity; for example, there are 57 in humans [2], 20 in Mycobacterium tuberculosis [3], three in Saccharomyces cerevisiae [2] and 272 in Arabidopsis thaliana [4]. P450s catalyse a wide variety of reactions involving both endogenous and exogenous substrates. These reactions are usually difficult to achieve via synthetic chemistry and the representative reaction is the insertion of oxygen into an unactivated C–H bond (eq. 1) [5]. The potential biotechnological applications of P450s are diverse and advanced protein engineering has allowed development of enzymes with improved stability, efficiency and accessibility to be employed in the field of biocatalysis, bioremediation and most importantly, pharmaceutical drug development [6], [7], [8]. However, the potential of P450s is yet to be fully established. Hence, a comprehensive understanding of P450s, their physiological functions and their catalytic mechanisms is necessary for further expanding their synthetic application.
(1)
P450-catalysed dehydrogenation is an unusual and interesting reaction found in both biodegradative e.g. xenobiotic metabolism and biosynthetic pathways e.g. sterol formation. It is one of the rare reactions catalysed by P450s where no insertion of oxygen into the substrate occurs. The reaction converts an oxygen molecule entirely into two water molecules yielding an olefin as the final organic product (eq. 2) and although unusual is a significant physiological reaction. Several examples of P450s catalysed dehydrogenation will be discussed in this paper.
(2)
Non-heme di-iron desaturases are another family of enzymes that commonly catalyse fatty acid desaturation in both plants and animals. Reviews of the investigation of these non-heme iron desaturases can be found in previous literature [9], [10], [11], [12].
Valproic acid
The anticonvulsant property of 2-propylpentanoic acid (1), commonly known as valproic acid (VA), was first discovered by a French scientist, Pierre Eymard in 1962 and 5 years later, the first VA based anti-epilepsy drug was marketed in France [13]. The drug was gradually introduced to other countries and since then, it has been widely employed globally as a first line anti-epilepsy drug [14]. Unfortunately, hepatotoxicity [15], [16] due to VA therapy has been reported and it was found that one of the desaturated metabolites of VA, 2-propylpent-4-enoic acid (2) was the primary causative agent for its toxicity [17]. VA is metabolised by P450s via multiple pathways: ω-, (ω-1)- and (ω-2)-hydroxylation or desaturation yield a range of metabolites including 2, 3-hydroxy VA (3), 4-hydroxy VA (4), 5-hydroxy VA (5) and ∆2,4-VA (6) (Fig. 1) [18]. The close structural resemblance of 2 to a known fatty acid oxidation inhibitor, pent-4-enoic acid [19] has prompted investigators to link hepatotoxicity to this terminal olefin. Rettenmeier and colleagues suggested that 2 inhibits both β-oxidation and P450-catalysis in rat liver microsomes [20]. The mechanism of dehydrogenation of VA that leads to the hepatotoxic terminal olefin is still somewhat ambiguous but the emergence of hepatotoxicity induced by the desaturated metabolite 2 has, at least partially, sparked the interest of researchers in investigating the mechanism of P450-catalysed dehydrogenation.

The metabolism of valproic acid (1) yields a range of metabolites (2–8).
Dehydrogenation of VA by different P450s including members of the CYP2, CYP3 and CYP4 families to give 2 (Fig. 2), albeit as a minor metabolic pathway of VA in the body, is one of the more extensively studied P450-catalysed dehydrogenations [21], [22], [23]. It is worth noting that dehydrogenation of VA is not always a low yield reaction because the partition ratios between hydroxylation and dehydrogenation in different enzymes vary significantly (e.g. from 2:1 in CYP4B1 to 37:1 in CYP2B1) [24]. Initially, the terminal olefin was suspected to be an artefact from the dehydration of 4 or 5 but this speculation was proven to be invalid because no desaturated product was detected when the hydroxyl compound was employed as the substrate [21], [25]. As shown in Fig. 2, the initial step in the mechanism is proposed to be the same as for P450-catalysed hydroxylation. A carbon based radical intermediate forms by reaction of a high valent iron(IV)oxo porphyrin cation radical (so-called Compound I) with a methylene [26]. Intramolecular isotope effect studies by Rettie confirmed that the initial hydrogen abstraction occurs primarily at C4 to give a C4 radical intermediate [27]. Then, the catalytic processes branch into two separate pathways to give 4 and 2, with the pro-R alkyl chain desaturated stereoselectively [28]. The metabolism of another valproate metabolite, ∆2-VA (7) to produce 6 and 4-hydroxy-∆2-VA (8) is also catalysed by P450s, as shown in experiments with hepatic microsome [29]. The partition ratio between hydroxylation via radical rebound and dehydrogenation by the loss of another hydrogen varies, depending on the P450 isozyme but the factors affecting this ratio are unknown. Two mechanistic pathways (Fig. 2) are proposed for the dehydrogenation step which both begin with hydrogen abstraction by Compound I to give an initial radical intermediate. The first pathway involves electron transfer from the radical intermediate to give a cation and this is followed by deprotonation to give the alkene. In the second pathway, a second hydrogen abstraction occurs to give the terminal alkene directly. The formation of a carbocation in a P450-catalysed reaction was initially speculated to have occurred in parallel with the radical intermediate via a separate pathway [30], but it was later shown computationally by Shaik and colleagues that branching before forming the initial radical intermediate was unlikely to occur [31]. The authors suggested that the cation was formed after the radical (R˙) where branching to either hydroxylation or dehydrogenation began.

Two mechanistic pathways, A and B were proposed to yield 2 along with 4 from 1. Metabolism of 1 by P450 gives multiple products but only two of them (2 and 4) are shown.
Sterol C22 desaturation
P450 catalysed desaturation does not occur just as an alternative pathway in xenobiotic metabolism but is also essential in the biosynthesis of sterols in different organisms. C22 desaturase is probably the most investigated P450 desaturase and catalyses desaturation in steroidal compounds exclusively. These C22 desaturases are distributed across the plant kingdom, in fungi and also in some protozoa such as Leishmania spp. As the name suggests, this enzyme introduces a new double bond at the C22 position in the steroidal side chain and produces essential sterols like stigmasterol (9), brassicasterol (10), crinosterol (11) and ergosterol (12) in different organisms (Fig. 3). The C22 desaturase in fungi belongs to the CYP61 family [32], while for plants and protozoa such as Leishmania spp., it is from the CYP710 family [1], [33]. C22 desaturases in different species have specific substrate requirements and their tolerance to substrate modification is very limited. Various end products can be produced but normally, each substrate only leads to one specific final product. CYP710A1 in the plant species, Arabidopsis thaliana, and the tomato CYP710A11 convert β-sitosterol (13) to 9 [34], [35]. The A. thaliana CYP710A2 produces 10 from 24-epi-campesterol (14) but it does not accept campesterol (15), the stereoisomer of 14, as a substrate to produce 11 [35]. The plant C22 desaturase (CYP710) also rejects the probable substrate of the fungal C22 desaturase (CYP61), ergosta-5,7,24(28)-trien-3β-ol (16) [35], [36].

The C22 desaturases of different species convert various substrates to the corresponding end products.
CYP61 is the second P450 required for the biosynthesis of ergosterol (12) after CYP51, a sterol C14-demethylase found in fungi, plants and animals [37]. Ergosterol in fungi and protozoa is the functional equivalent of cholesterol in mammals and it is crucial for their growth and survival. Interestingly CYP51, is one the more popular chemotherapeutics targets to inhibit sterol biogenesis, despite its presence across many kingdoms of life [38], [39]. Although the therapeutic drugs targeting CYP51 may be species specific, this does not completely eliminate the possibility of interference with the human CYP51. Hence the C22 desaturase, which does not exist in mammals, has become an attractive alternative potential drug target especially in antifungal therapy [40], [41], [42].
The fungal C22 desaturase (CYP61) catalyses the dehydrogenation step in the biosynthesis of 12 but the identity of the true substrate(s) remains unclear. Two compounds, ergosta-5,7-dien-3β-ol (17) [40], [41], [43], [44] and ergosta-5,7,24(28)-trien-3β-ol (16) [45], [46], [47] have both been proposed to be the substrate for fungal CYP61 (Fig. 4). The difference between these two compounds is the presence or absence of the Δ24(28) double bond in the side chain of the substrate. It was first suggested by Akhtar and colleagues that the presence of the Δ24(28) double bond was not necessary for C22 desaturation in yeast [48]. Later, Fryberg et al. also pointed out that there could be many possible biosynthetic pathways to ergosterol in yeast and both saturated and unsaturated side chain could be accepted for C22 desaturation [49]. The evidence for this was intermediate incorporation experiments performed on whole organisms and not purified CYP61 and thus the conclusion must be regarded as tentative as interconversion between precursors could occur in the cell. However, it may be that the active site of CYP61 has a relatively high tolerance to substrate change and thus both 16 and 17 could be accepted as substrates. These hypotheses will be clarified when evaluation of both possible precursors with purified CYP61 is performed.

The potential substrates of CYP61, ergosta-5,7,24(28)-trien-3β-ol (16) and ergosta-5,7-dien-3β-ol (17).
Capsaicin
Ingestion or exposure to chilli peppers often triggers a hot and spicy sensation on internal or external contact sites. This “burning” feeling is attributed to a group of compounds named capsaicinoids found in chilli peppers such as Capsicum annum and C. frutescens. In addition to their most common usage in food preparation, capsaicinoids are found in topical analgesia, weight loss products, and chemical defence products such as pepper spray [50], [51], [52]. In recent years, capsaicin has also been investigated as a chemotherapeutic drug for cancer treatment [53], [54]. There are six major naturally occurring capsaicinoids with capsaicin (18) as the most abundant substance (>50%) followed by dihydrocapsaicin (19), nordihydrocapsaicin (20), homocapsaicin (21), homodihydrocapsaicin (22) and nonivamide (23) (Fig. 5) [55]. Studies based on extracts from chilli pepper often contain all six capsaicinoids at various ratios. These compounds interact with a cation channel called Vanilloid Receptor-1/VR-1 or Transient Receptor Potential Vanilloid/TRPV-1 which is highly expressed in sensory neurons and responsible for inducing the characteristic “burning” sensation upon exposure to capsaicinoids [50]. The activation of TRPV-1 is structure dependent, especially upon the presence of the vanilloid ring of the substrate which is important for binding to the active site. The biological reactivity of each capsaicinoids is influenced by the alkyl side chain.

The structures of the six major capsaicinoids with the variation in their alkyl chains.
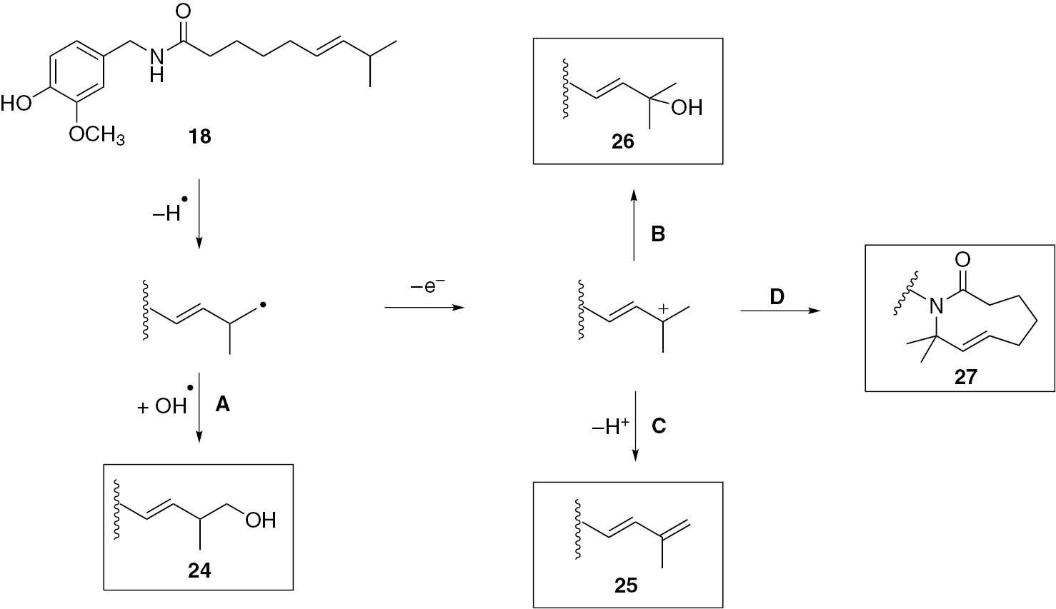
Capsaicinoids are metabolised by various human cytochrome P450 enzymes including CYP2C9, CYP2C8, CYP2C19, CYP2E1, CYP3A4, and a few other P450s to give four major metabolites via ω-, ω-1-hydroxylation and alkyl dehydrogenation [50], [51]. Reilly and Yost proposed that P450-mediated oxidation first abstracts the hydrogen from the terminal carbon (ω-position) to give a radical intermediate followed by oxygen rebound to yield the major metabolite, ω-hydroxylated capsaicin 24 (Fig. 6) [56]. It was proposed that the first hydrogen abstraction does not occur at the ω-1 position to give the tertiary radical, despite the lower activation energy and increased electronic stability compared to the terminal radical [52]. Instead, a rearrangement followed by a loss of an electron to yield the more stable tertiary cation intermediate was suggested [52]. Subsequent deprotonation from the vicinal position gives the terminal alkene 25 or an addition of hydroxide ion to the allylic cation yields the ω-1-hydroxylated product 26. The macrocyclic metabolite 27 was proposed to be a cyclisation product after the rearrangement [51]. Previous investigations suggested that both the olefin and the ω-1 tertiary carbon of the alkyl chain play a vital role in determining the ratio of hydroxylation to dehydrogenation of 18 [52], [56]. The lack of resonance stabilisation from the olefin (e.g. in 19 or 22) or the absence of an isopropyl moiety (e.g. in 23) which can yield a tertiary cation, reduces the potential for dehydrogenation remarkably. The formation of the allylic radical followed by the formation of the resonance stabilised tertiary cation is thus deemed important for the production of the dehydrogenated product.
![Fig. 6: P450s mediated metabolic pathway of 18 proposed by Reilly and Yost [56]. Four major metabolites are formed via ω-hydroxylation (A), ω-1-hydroxylation (B), dehydrogenation (C) and cyclisation (D). Simplified structures of the sidechains of the products are shown in boxes.](/document/doi/10.1515/pac-2016-1216/asset/graphic/j_pac-2016-1216_fig_006.jpg)
P450s mediated metabolic pathway of 18 proposed by Reilly and Yost [56]. Four major metabolites are formed via ω-hydroxylation (A), ω-1-hydroxylation (B), dehydrogenation (C) and cyclisation (D). Simplified structures of the sidechains of the products are shown in boxes.
3-Methylindole
Humans and animals like ruminants can be exposed to 3-methylindole (28), a pneumotoxin precursor via several routes including oral ingestion and cigarette smoke. This compound is a fermentation product from the protein amino acid tryptophan (TRP) in the intestinal tract and it can also be formed through pyrolysis from TRP in cigarettes [57], [58]. P450 catalysed oxidation is the primary metabolic pathway of many xenobiotics including 28. This compound is metabolised by P450s to a range of compounds such as indole-3-carbinol (29), 3-methyleneindolenine (30), 3-methyloxindole (31), and 3-hydroxy-3-methyloxindole (32) (Fig. 7). Some of these metabolites bind to proteins, DNA and RNA inducing cytotoxicity in specific species and organs [59], [60], [61], [62]. For instance, the primary causative agent of the acute bovine pulmonary edoema and emphysema, a lung disease common among the ruminants, is the toxic metabolite 30 [63].

3-Methylindole (28) is metabolised by P450s to give a mixture of compounds.
Compound 28 is converted into 29 via the typical P450-catalysed hydroxylation reaction while 31 and 32 are believed to arise from the 2,3-epoxide derivative 33 [64]. The reactive toxic metabolite 30, that can be trapped by forming adduct with glutathione or N-acetylcysteine, is a product of P450-catalysed dehydrogenation [65], [66]. The mechanism of the oxidation step is not confirmed but the abstraction of the hydrogen atom at the 3-methyl position is isotopically sensitive in both the dehydrogenation and oxygenation processes [67], [68]. Molecular modelling and docking studies also show that the 3-methyl group is held nearest to the heme iron which should facilitate its oxidation. The partition ratio between oxygenation and dehydrogenation is isozyme dependent [69]. Mutations at selective substrate recognition sites can switch the activity from one reaction to the other [68]. This suggests that the difference in the active sites may contribute to the preference for one pathway over the other.
Miscellaneous
P450-catalysed oxidation of lauric acid (34) (Fig. 8) using either rabbit liver microsomes or a number of purified isoforms (CYP1A1, CYP1A2, CYP2B4, CYP2C3, CYP2E1, CYP4A5/7 and CYP4B1) gives two major hydroxylated products, 11-hydroxydodecanoic acid (35) and 12-hydroxydodecanoic (36) and a minor, dehydrogenated product 11-dodecenoic acid (37) [70]. Kinetic isotope effect studies showed that the first hydrogen abstraction occurs at the ω-1 position and subsequent radical rebound provides the 11-hydroxylated derivative as the major product. Dehydration of the hydroxylated derivatives does not produce the dehydrogenated product 37 but instead, this is formed directly from the oxidation of 34.

Lauric acid (34) is metabolised by P450s to form the hydroxylated products (35 and 36) and the terminal alkene (37).
Testosterone (38) is oxidised by rat CYP2A1 to give 7α-hydroxytestosterone (39) primarily together with 6α-hydroxytestosterone (40) and 17β-hydroxy-4,6-androstadiene-3-one (41) as the minor products (Fig. 9) [71]. The unusual desaturated product 41 was initially suspected to be an artefact from dehydration but later, it was demonstrated by Nagata and co-workers that it was indeed a product obtained from P450 catalysed dehydrogenation [72]. Kinetic isotope studies showed that the C6 hydrogen atom is first abstracted to give a carbon-based radical intermediate and subsequent radical rebound or abstraction of a second hydrogen provides 40 and 41, respectively [71].

Testosterone (38) is oxidised by rat CYP2A1 to yield 39 as the major product together with two minor products, 40 and 41.
P450BM3 (CYP102A1) is a self-sufficient bacterial fatty acid hydroxylase from Bacillus megaterium and is a popular enzyme in P450 studies due to its easy accessibility, efficiency and capacity to be modified to catalyse different transformations. This enzyme is able to oxidise various alkylbenzenes such as ethylbenzene, sec-butylbenzene, cumene or p-cymene although these compounds are not the natural substrates [73]. The alkylbenzenes, for instance, p-cymene (42) is transformed via alkyl hydroxylation to 43, aryl hydroxylation to 44 or by dehydrogenation to 45 (Fig. 10). Wild type P450BM3 gave α-hydroxylated product 43 primarily but the enzyme could be mutated to increase the production of β-hydroxylated or α,β-unsaturated products. The abstraction of the α-proton was isotopically sensitive for hydroxylation and to a lesser extent for dehydrogenation. The authors also demonstrated that rearrangement from a primary β-cation to a more stable tertiary α-cation in cumene or p-cymene was not detected. Hence, a cationic rearrangement similar to that proposed for capsaicin dehydrogenation is less likely to have occurred during the formation of this olefin product.

P450BM3 catalysed oxidation of p-cymene (42) provided 43 as the major product while 44 and 45 as the minor products.
P450BM3 was also employed by Cryle and colleagues in radical clock experiments to investigate the identity of the reactive intermediate in P450-catalysed oxidations (Fig. 11) [74]. A cyclopropyl group was installed at a strategic position in lauric acid to produce 46, leaving essentially only one other easy oxidised position accessible in the substrate for the heme iron. Hydrogen abstraction followed by radical rebound occurs primarily to give the anticipated hydroxylated product 47 and a small amount of unknown product is formed concomitantly. It was proposed that after the first hydrogen abstraction by the heme iron, the rearrangement of the reactive radical intermediate causes the cyclopropyl group to ring open and a homoallylic radical is formed. Then, radical rebound yields the rearranged product 48 or alternatively, an electron transfer from the radical to the heme yields a cationic intermediate followed by deprotonation to give diene 49 as a minor product. The corresponding olefin product was not detected when a substrate with a longer chain length was employed in an earlier investigation; it was suggested that differences in specific enzyme-substrate interactions accounted for the different mechanistic pathways [75]. Thus, only hydroxylated products from either direct radical rebound at the methylene α to the cyclopropane or ring opening and rearrangement were observed when tetradecanoic acid analogues were incubated with P450BM3.

The cyclopropyl-containing lauric acid 46 was used as a probe to investigate the possible alternative mechanism in P450s catalysed oxidation. The existence of a cationic pathway that gave the minor products was proposed.
CYP199A2 and CYP199A4 are bacterial P450s found in strains of Rhodopseudomonas palustris, a purple HaA2, a purple photosynthetic bacterium that both catalyse desaturation along with hydroxylation and O-demethylation of para-substituted benzoic acids [76], [77]. CYP199A4 has strict electronic and structural requirements for substrate binding and turnover. The electrostatic and H-bonding interactions between the carboxylate group of the substrate and the amino acid residues in the active site are extremely important for tight binding [78]. The alteration of the planar structure of the phenyl ring, greatly for example, replacing the phenyl group by a cyclohexane, also greatly reduces binding affinity. An X-ray crystal structure of the substrate-bound CYP199A4 (with the substrate 4-methoxybenzoic acid 50) shows that the carboxylic end is anchored strategically in the active site, placing the para-substituent in close proximity to the heme iron [79].
CYP199A4 catalyses oxidative O-demethylation of 50 to give 4-hydroxybenzoic acid (51) (Fig. 12), whilst with 4-ethyl- (52) and 4-isopropylbenzoic acid (53), desaturated products (54 and 55) are formed together with the hydroxylated products (56 and 57) respectively. The percentage of desaturation is higher for 53 (54%) than for 52 (38%) [80]. The switch from hydroxylation to dehydrogenation may support the hypothesis that a more electronically stabilised tertiary cation intermediate is formed from 53 compared to the secondary cation that would arise from 52 (Fig. 13). However, the authors could not rule out the possibility of a subsequent hydrogen atom abstraction following the formation of the initial radical intermediate. The increase in steric bulk from ethyl to isopropyl could have also contributed to the reduced accessibility of the carbon radical to the heme iron, thus, slowing radical rebound to give the hydroxylated product and favouring dehydrogenation.

Para-substituted benzoic acids are metabolised by CYP199A4 to give the hydroxylated and desaturated products at different ratio.

The possible mechanistic pathways of CYP199A4 catalysed oxidation of para-substituted benzoic acids. After the formation of the initial radical intermediate, radical rebound provides the hydroxylated product. A second hydrogen abstraction or an electron transfer to generate the cation followed by deprotonation gives the desaturated product.
Conclusions
P450-catalysed dehydrogenation is often overlooked in comparison to the much more common hydroxylation and thus, its mechanism is still relatively unexplored to date. This reaction is associated with the generation of toxic metabolites and plays a vital role in sterol biosynthesis in plants, fungi and some protozoa. One of the major questions about P450-catalysed dehydrogenation is the mechanistic pathway that leads to the formation of the olefin. Currently, there are two hypotheses for the mechanism. First, the dehydrogenated product is formed via two consecutive hydrogen abstractions or second, after initial hydrogen abstraction occurs to give a radical intermediate, an electron transfer occurs followed by deprotonation of the resultant cation. Experimental data from different research groups favours the latter and density functional theory (DFT) calculation [81] performed by Kumar and co-workers also supported the existence of the cationic pathway. Nevertheless, no consensus conclusion has been drawn at this point. The importance of P450-catalysed dehydrogenation is increasing as more examples are identified and clarification of its mechanism is an important goal in understanding the mechanism of these fascinating enzymes.
Funding: Australian Research Council, (Grant/Award Number: DP140103229).
Article note:
A collection of invited papers based on presentations at the 23rd IUPAC Conference on Physical Organic Chemistry (ICPOC-23), Sydney, Australia, 3–8 July 2016.
References
[1] See website described in: D. R. Nelson. Hum. Genomics4, 56 (2009). The Cytochrome P450 Homepage. http://drnelson.uthsc.edu/CytochromeP450.html.10.1186/1479-7364-4-1-59Search in Google Scholar PubMed PubMed Central
[2] D. R. Nelson, D. C. Zeldin, S. M. G. Hoffman, L. J. Maltais, H. M. Wain, D. W. Nebert. Pharmacogenetics14, 1 (2004).10.1097/00008571-200401000-00001Search in Google Scholar PubMed
[3] K. J. McLean, A. W. Munro. Drug Metab. Rev.40, 427 (2008).10.1080/03602530802186389Search in Google Scholar PubMed
[4] D. R. Nelson, M. A. Schuler, S. M. Paquette, D. Werck-Reichhart, S. Bak. Plant Physiol.135, 756 (2004).10.1104/pp.104.039826Search in Google Scholar PubMed PubMed Central
[5] P. R. Ortiz de Montellano. Chem. Rev.110, 932 (2010).10.1021/cr9002193Search in Google Scholar PubMed PubMed Central
[6] V. B. Urlacher, M. Girhard. Trends Biotechnol.30, 26 (2012).10.1016/j.tibtech.2011.06.012Search in Google Scholar PubMed
[7] S. L. Kelly, D. E. Kelly. Phil. Trans. R. Soc. B368, 20120476 (2013).10.1098/rstb.2012.0476Search in Google Scholar PubMed PubMed Central
[8] R. Bernhardt. J. Biotechnol.124, 128 (2006).10.1016/j.jbiotec.2006.01.026Search in Google Scholar PubMed
[9] P. H. Buist. “Chemistry of Fatty Acid Desaturases”, in Wiley Encyclopedia of Chemical Biology 5th ed., pp. 611–7. John Wiley & Sons, Inc., Hoboken, NJ, USA (2007).10.1002/9780470048672.wecb167Search in Google Scholar
[10] T. Klempova, D. Mihalik, M. Certik. Gen. Physiol. Biophys.32, 445 (2013).10.4149/gpb_2013051Search in Google Scholar PubMed
[11] M. Wang, H. Chen, Z. Gu, H. Zhang, W. Chen, Y. Q. Chen. Appl. Microbiol. Biotechnol.97, 10255 (2013).10.1007/s00253-013-5336-5Search in Google Scholar
[12] B. Behrouzian, P. H. Buist. Prostaglandins Leukot. Essent. Fatty Acids68, 107 (2003).10.1016/S0952-3278(02)00260-0Search in Google Scholar
[13] W. Löscher. “The Discovery of Valproate”, in Valproate, W. Löscher (Ed.), p. 1, Springer Basel AG, Basel (1999).10.1007/978-3-0348-8759-5Search in Google Scholar
[14] A. G. Marson, G. J. Sills. “Valproate”, in The Treatment of Epilepsy, S. Shorvon, E. Perucca, J. Engel Jr, (Eds.), p. 652, John Wiley & Sons, Ltd, Oxford, UK (2015).10.1002/9781118936979.ch51Search in Google Scholar
[15] F. E. Dreifuss, N. Santilli, D. H. Langer, K. P. Sweeney, K. A. Moline, K. B. Menander. Neurology37, 379 (1987).10.1212/WNL.37.3.379Search in Google Scholar
[16] N. M. Sussman, L. W. McLain. J. Am. Med. Assoc.242, 1173 (1979).10.1001/jama.1979.03300110045025Search in Google Scholar
[17] T. A. Baillie. Chem. Res. Toxicol.1, 195 (1988).10.1021/tx00004a001Search in Google Scholar
[18] F. S. Abbott, M. R. Anari. “Chemistry and Biotransformation”, in Valproate, W. Löscher (Ed.), p. 47, Springer Basel AG, Basel (1999).10.1007/978-3-0348-8759-5_3Search in Google Scholar
[19] M. H. Fukami, J. R. Williamson. J. Biol. Chem.246, 1206 (1971).10.1016/S0021-9258(19)76960-9Search in Google Scholar
[20] A. W. Rettenmeier, K. S. Prickett, W. P. Gordon, S. M. Bjorge, S. L. Chang, R. H. Levy, T. A. Baillie. Drug Metab. Dispos.13, 81 (1985).Search in Google Scholar
[21] A. E. Rettie, A. W. Rettenmeier, W. N. Howald, T. A. Baillie. Science235, 890 (1987).10.1126/science.3101178Search in Google Scholar PubMed
[22] J. R. Collins, D. L. Camper, G. H. Loew. J. Am. Chem. Soc.113, 2736 (1991).10.1021/ja00007a057Search in Google Scholar
[23] M. Bello, J. E. Mendieta-Wejebe, J. Correa-Basurto. Biochem. Pharmacol.90, 145 (2014).10.1016/j.bcp.2014.04.016Search in Google Scholar
[24] A. E. Rettie, P. R. Sheffels, K. R. Korzekwa, F. J. Gonzalez, R. M. Philpot, T. A. Baillie. Biochemistry34, 7889 (1995).10.1021/bi00024a013Search in Google Scholar
[25] M. B. Fisher, S. J. Thompson, V. Ribeiro, M. C. Lechner, A. E. Rettie. Arch. Biochem. Biophys.356, 63 (1998).10.1006/abbi.1998.0742Search in Google Scholar
[26] J. Rittle, M. T. Green. Science330, 933 (2010).10.1126/science.1193478Search in Google Scholar
[27] A. E. Rettie, M. Boberg, A. W. Rettenmeier, T. A. Baillie. J. Biol. Chem.263, 13733 (1988).10.1016/S0021-9258(18)68302-4Search in Google Scholar
[28] D. J. Porubek, H. Barnes, G. P. Meier, L. J. Theodore, T. A. Baillie, Chem. Res. Toxicol.2, 35 (1989).10.1021/tx00007a006Search in Google Scholar
[29] K. Kassahun, T. A. Baillie, Drug Metab. Dispos.21, 242 (1993).Search in Google Scholar
[30] M. Newcomb, R. Shen, S.-Y. Choi, P. H. Toy, P. F. Hollenberg, A. D. N. Vaz, M. J. Coon. J. Am. Chem. Soc.122, 2677 (2000).10.1021/ja994106+Search in Google Scholar
[31] D. Kumar, S. P. de Visser, P. K. Sharma, S. Cohen, S. Shaik. J. Am. Chem. Soc.126, 1907 (2004).10.1021/ja039439sSearch in Google Scholar
[32] S. L. Kelly, D. C. Lamb, A. J. Corran, B. C. Baldwin, L. W. Parks, D. E. Kelly. FEBS Lett.377, 217 (1995).10.1016/0014-5793(95)01342-3Search in Google Scholar
[33] T. Morikawa, M. Mizutani, D. Ohta. Biochem. Soc. Trans.34, 1202 (2006).10.1042/BST0341202Search in Google Scholar
[34] L. Arnqvist, M. Persson, L. Jonsson, P. Dutta, F. Sitbon. Planta227, 309 (2008).10.1007/s00425-007-0618-8Search in Google Scholar
[35] T. Morikawa, M. Mizutani, N. Aoki, B. Watanabe, H. Saga, S. Saito, A. Oikawa, H. Suzuki, N. Sakurai, D. Shibata, A. Wadano, K. Sakata, D. Ohta. Plant Cell18, 1008 (2006).10.1105/tpc.105.036012Search in Google Scholar
[36] D. Ohta, M. Mizutani. “Sterol C22-Desaturase and Its Biological Roles”, in Isoprenoid synthesis in plants and microorganisms, T. J. Bach, M. Rohmer (Eds.), p. 381, Springer, New York (2013).10.1007/978-1-4614-4063-5_26Search in Google Scholar
[37] Y. Aoyama, Y. Yoshida, Y. Sonoda, Y. Sato. J. Biol. Chem.262, 1239 (1987).10.1016/S0021-9258(19)75777-9Search in Google Scholar
[38] G. I. Lepesheva, T. Y. Hargrove, Y. Kleshchenko, W. D. Nes, F. Villalta, M. R. Waterman. Lipids43, 1117 (2008).10.1007/s11745-008-3225-ySearch in Google Scholar PubMed PubMed Central
[39] L.-I. McCall, A. El Aroussi, J. Y. Choi, D. F. Vieira, G. De Muylder, J. B. Johnston, S. Chen, D. Kellar, J. L. Siqueira-Neto, W. R. Roush, L. M. Podust, J. H. McKerrow. PLoS Negl Trop Dis9, e0003588 (2015).10.1371/journal.pntd.0003588Search in Google Scholar PubMed PubMed Central
[40] D. C. Lamb, S. Maspahy, D. E. Kelly, N. J. Manning, A. Geber, J. E. Bennett, S. L. Kelly, Antimicrob. Agents Chemother43, 1725 (1999).10.1128/AAC.43.7.1725Search in Google Scholar PubMed PubMed Central
[41] S. L. Kelly, D. C. Lamb, B. C. Baldwin, A. J. Corran, D. E. Kelly. J. Biol. Chem272, 9986 (1997).10.1074/jbc.272.15.9986Search in Google Scholar PubMed
[42] S.-O. Ohk, H.-G. Park, H. Lee, Y.-J. Kwon, B. J. Kim, D. Kim, Y.-J. Chun. Protein Expression Purif.114, 89 (2015).10.1016/j.pep.2015.07.002Search in Google Scholar PubMed
[43] S. Hata, T. Nishino, M. Komori, H. Katsuki. Biochem. Biophys. Res. Comm103, 272 (1981).10.1016/0006-291X(81)91689-2Search in Google Scholar
[44] B. A. Skaggs, J. F. Alexander, C.A. Pierson, K. S. Schweitzer, K. T. Chun, C. Koegel, R. Barbuch, M. Bard. Gene169, 105 (1996).10.1016/0378-1119(95)00770-9Search in Google Scholar
[45] L. W. Parks, W. M. Casey. Annu. Rev. Microbiol.49, 95 (1995).10.1146/annurev.mi.49.100195.000523Search in Google Scholar
[46] N. D. Lees, M. Bard, D. R. Kirsch. “Biochemistry and Molecular Biology of Sterol Synthesis in Saccharomyces Cerevisiae”, in Biochemistry and Function of Sterols, E. J. Parish, W. D. Nes (Eds.), p. 85, CRC Press, Inc., USA (1997).10.1201/9781003068754-6Search in Google Scholar
[47] G. Daum, N. D. Lees, M. Bard, R. Dickson. Yeast14, 1471 (1998).10.1002/(SICI)1097-0061(199812)14:16<1471::AID-YEA353>3.0.CO;2-YSearch in Google Scholar
[48] M. Akhtar, M. A. Parvez, P. F. Hunt. Biochem. J.113, 727 (1969).10.1042/bj1130727Search in Google Scholar
[49] M. Fryberg, A. C. Oehlschlager, A. M. Unrau. J. Am. Chem. Soc.95, 5747 (1973).10.1021/ja00798a051Search in Google Scholar
[50] C. A. Reilly. “Cytochrome P450-Dependent Modification of Capsaicinoids: Pharmacological Inactivation and Bioactivation Mechanisms”, in Role of Capsaicin in Oxidative Stress and Cancer, S. K. Srivastava (Ed.), p. 107, Springer Netherlands, Dordrecht (2013).10.1007/978-94-007-6317-3_6Search in Google Scholar
[51] C. A. Reilly, W. J. Ehlhardt, D. A. Jackson, P. Kulanthaivel, A. E. Mutlib, R. J. Espina, D. E. Moody, D. J. Crouch, G. S. Yost. Chem. Res. Toxicol.16, 336 (2003).10.1021/tx025599qSearch in Google Scholar
[52] C. A. Reilly, G. S. Yost. Drug Metab. Rev.38, 685 (2006).10.1080/03602530600959557Search in Google Scholar
[53] Z. -F. Hong, W.-X. Zhao, Z.-Y. Yin, C.-R. Xie, Y.-P. Xu, X.-Q. Chi, S. Zhang, X.-M. Wang. PLoS One10, e0121538 (2015).10.1371/journal.pone.0121538Search in Google Scholar
[54] Á. Ramos-Torres, A. Bort, C. Morell, N. Rodríguez-Henche, I. Díaz-Laviada. Oncotarget7, 1569 (2016).10.18632/oncotarget.6415Search in Google Scholar
[55] C. Reilly, D. Crouch, G. Yost. J. Forensic Sci.46, 502 (2001).10.1520/JFS14999JSearch in Google Scholar
[56] C. A. Reilly, G. S. Yost. Drug Metab. Dispos.33, 530 (2005).10.1124/dmd.104.001214Search in Google Scholar
[57] M. T. Yokoyama, J. R. Carlson. Am. J. Clin. Nutr.32, 173 (1979).10.1093/ajcn/32.1.173Search in Google Scholar
[58] D. Hoffmann, G. Rathkamp. Anal. Chem.42, 366 (1970).10.1021/ac60285a023Search in Google Scholar
[59] T. M. Bray, K. S. Emmerson. Annu. Rev. Pharmacol. Toxicol.34, 91 (1994).10.1146/annurev.pa.34.040194.000515Search in Google Scholar
[60] T. M. Bray, J. B. Kirkland. Pharmacol. Ther.46, 105 (1990).10.1016/0163-7258(90)90038-4Search in Google Scholar
[61] K. A. Regal, G. M. Laws, C. Yuan, G. S. Yost, G. L. Skiles. Chem. Res. Toxicol.14, 1014 (2001).10.1021/tx0100237Search in Google Scholar
[62] J. R. Thornton-Manning, W. Ruangyuttikarn, F. J. Gonzalez, G. S. Yost. Biochem. Biophys. Res. Commun.181, 100 (1991).10.1016/S0006-291X(05)81387-7Search in Google Scholar
[63] G. H. Loneragan, D. H. Gould, G. L. Mason, F. B. Garry, G. S. Yost, D. L. Lanza, D. G. Miles, B. W. Hoffman, L. J. Mills. Am. J. Vet. Res.62, 1525 (2001).10.2460/ajvr.2001.62.1525Search in Google Scholar PubMed
[64] K. W. Skordos, G. L. Skiles, J. D. Laycock, D. L. Lanza, G. S. Yost. Chem. Res. Toxicol.11, 741 (1998).10.1021/tx9702087Search in Google Scholar
[65] D. L. Lanza, E. Code, C. L. Crespi, F. J. Gonzalez, G. S. Yost. Drug Metab. Dispos.27, 798 (1999).Search in Google Scholar
[66] Z. Yan, L. M. Easterwood, N. Maher, R. Torres, N. Huebert, G. S. Yost. Chem. Res. Toxicol.20, 140 (2007).10.1021/tx060239eSearch in Google Scholar
[67] G. L. Skiles, G. S. Yost. Chem. Res. Toxicol.9, 291 (1996).10.1021/tx9501187Search in Google Scholar
[68] J. S. Kartha, K. W. Skordos, H. Sun, C. Hall, L. M. Easterwood, C. A. Reilly, E. F. Johnson, G. S. Yost. Biochemistry47, 9756 (2008).10.1021/bi8005658Search in Google Scholar
[69] D. L. Lanza, G. S. Yost. Drug Metab. Dispos.29, 950 (2001).Search in Google Scholar
[70] X. Guan, M. B. Fisher, D. H. Lang, Y.-M. Zheng, D. R. Koop, A. E. Rettie. Chem.-Biol. Interact.110, 103 (1998).10.1016/S0009-2797(97)00145-2Search in Google Scholar
[71] K. R. Korzekwa, W. F. Trager, K. Nagata, A. Parkinson, J. R. Gillette. Drug Metab. Dispos.18, 974 (1990).Search in Google Scholar
[72] K. Nagata, D. J. Liberato, J. R. Gillette, H. A. Sasame. Drug Metab. Dispos.14, 559 (1986).Search in Google Scholar
[73] C. J. C. Whitehouse, S. G. Bell, L. L. Wong. Chem. Eur. J.14, 10905 (2008).10.1002/chem.200801927Search in Google Scholar PubMed
[74] M. J. Cryle, P. Y. Hayes, De J. J. Voss. Chem. Eur. J.18, 15994 (2012).10.1002/chem.201203035Search in Google Scholar PubMed
[75] M. J. Cryle, Ortiz de P. R. Montellano, De J. J. Voss. J. Org. Chem.70, 2455 (2005).10.1021/jo047985dSearch in Google Scholar PubMed
[76] S. G. Bell, A. B. H. Tan, E. O. D. Johnson, L.-L. Wong. Mol. BioSyst.6, 206 (2009).10.1039/B913487ESearch in Google Scholar
[77] S. G. Bell, F. Xu, I. Forward, M. Bartlam, Z. Rao, L.-L. Wong. J. Mol. Biol.383, 561 (2008).10.1016/j.jmb.2008.08.033Search in Google Scholar PubMed
[78] T. Coleman, R. R. Chao, De J. J. Voss, S. G. Bell. Biochim. Biophys. Acta, Proteins Proteomics1864, 667 (2016).10.1016/j.bbapap.2016.03.006Search in Google Scholar PubMed
[79] S. G. Bell, W. Yang, A. B. H. Tan, R. Zhou, E. O. D. Johnson, A. Zhang, W. Zhou, Z. Rao, L.-L. Wong. Dalton Trans.41, 8703 (2012).10.1039/c2dt30783aSearch in Google Scholar PubMed
[80] S. G. Bell, R. Zhou, W. Yang, A. B. H. Tan, A. S. Gentleman, L.-L. Wong, W. Zhou. Chem. Eur. J.18, 16677 (2012).10.1002/chem.201202776Search in Google Scholar PubMed
[81] D. Kumar, S. P. de Visser, S. Shaik. J. Am. Chem. Soc.126, 5072 (2004).10.1021/ja0318737Search in Google Scholar PubMed
©2017 IUPAC & De Gruyter. This work is licensed under a Creative Commons Attribution-NonCommercial-NoDerivatives 4.0 International License. For more information, please visit: http://creativecommons.org/licenses/by-nc-nd/4.0/
Articles in the same Issue
- Frontmatter
- In this issue
- Preface
- 23rd IUPAC Conference on Physical Organic Chemistry (ICPOC-23)
- Conference papers
- Post-transition state bifurcations gain momentum – current state of the field
- How to computationally calculate thermochemical properties objectively, accurately, and as economically as possible
- The effect of magnesium ions on triphosphate hydrolysis
- Philicity, fugality, and equilibrium constants: when do rate-equilibrium relationships break down?
- Ionic liquid solvents: the importance of microscopic interactions in predicting organic reaction outcomes
- Mechanistic study of stereoselectivity in azoalkane denitrogenations
- On the ordeal of quinolone preparation via cyclisation of aryl-enamines; synthesis and structure of ethyl 6-methyl-7-iodo-4-(3-iodo-4-methylphenoxy)-quinoline-3-carboxylate
- Iodine(III)-mediated synthesis of chiral α-substituted ketones: recent advances and mechanistic insights
- The final fate of NHC stabilized dicarbon
- Oligocarboxylates as useful templates in dynamic combinatorial chemistry
- Methods for the chemical synthesis of carbon nanotubes: an approach based on hemispherical polyarene templates
- Displacement assay methodology for pseudorotaxane formation in the millisecond time-scale
- Light guided chemoselective olefin metathesis reactions
- P450 catalysed dehydrogenation
Articles in the same Issue
- Frontmatter
- In this issue
- Preface
- 23rd IUPAC Conference on Physical Organic Chemistry (ICPOC-23)
- Conference papers
- Post-transition state bifurcations gain momentum – current state of the field
- How to computationally calculate thermochemical properties objectively, accurately, and as economically as possible
- The effect of magnesium ions on triphosphate hydrolysis
- Philicity, fugality, and equilibrium constants: when do rate-equilibrium relationships break down?
- Ionic liquid solvents: the importance of microscopic interactions in predicting organic reaction outcomes
- Mechanistic study of stereoselectivity in azoalkane denitrogenations
- On the ordeal of quinolone preparation via cyclisation of aryl-enamines; synthesis and structure of ethyl 6-methyl-7-iodo-4-(3-iodo-4-methylphenoxy)-quinoline-3-carboxylate
- Iodine(III)-mediated synthesis of chiral α-substituted ketones: recent advances and mechanistic insights
- The final fate of NHC stabilized dicarbon
- Oligocarboxylates as useful templates in dynamic combinatorial chemistry
- Methods for the chemical synthesis of carbon nanotubes: an approach based on hemispherical polyarene templates
- Displacement assay methodology for pseudorotaxane formation in the millisecond time-scale
- Light guided chemoselective olefin metathesis reactions
- P450 catalysed dehydrogenation