Abstract
In this paper we report the outcome of the reduction of NHC stabilized acetylenic dications, [NHC-Cn-NHC]2+ for n=2 and 4. The target compounds were NHC stabilized di- and tetracarbon in the form of NHC-Cn-NHC. However, upon chemical reduction, decomposition ensues with release of the free NHC. This effect is also observed in electrochemical studies. This lends credence to Bestman’s hypothesis that two donor ligands cannot stabilize Cn for n=even numbers.
Introduction
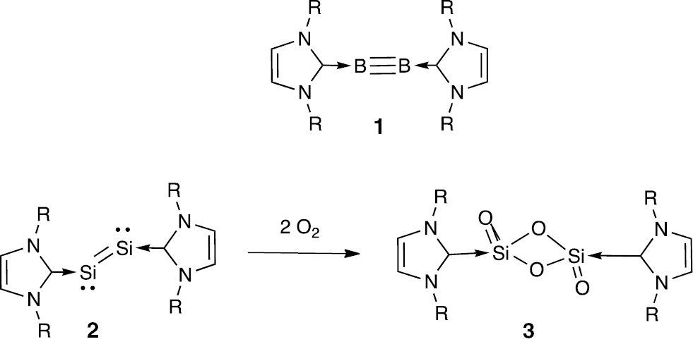
The use of ligands such as N-heterocyclic carbenes (NHCs) to stabilize small p-block fragments in the formal 0 oxidation state continues to be an area of major interest. These electron rich complexes display unique bonding, reactivity and properties. The recent literature is too extensive to properly treat in this forum (see these reviews) [1], [2], [3], but two particularly striking examples were the isolation of NHC stabilized B2 (1) [4], displaying the first reported B–B triple bond, and the O2 oxidation of NHC stabilized Si22, which gave a formal SiO2-NHC complex (3) – a form of sand soluble in organic solvents [5].

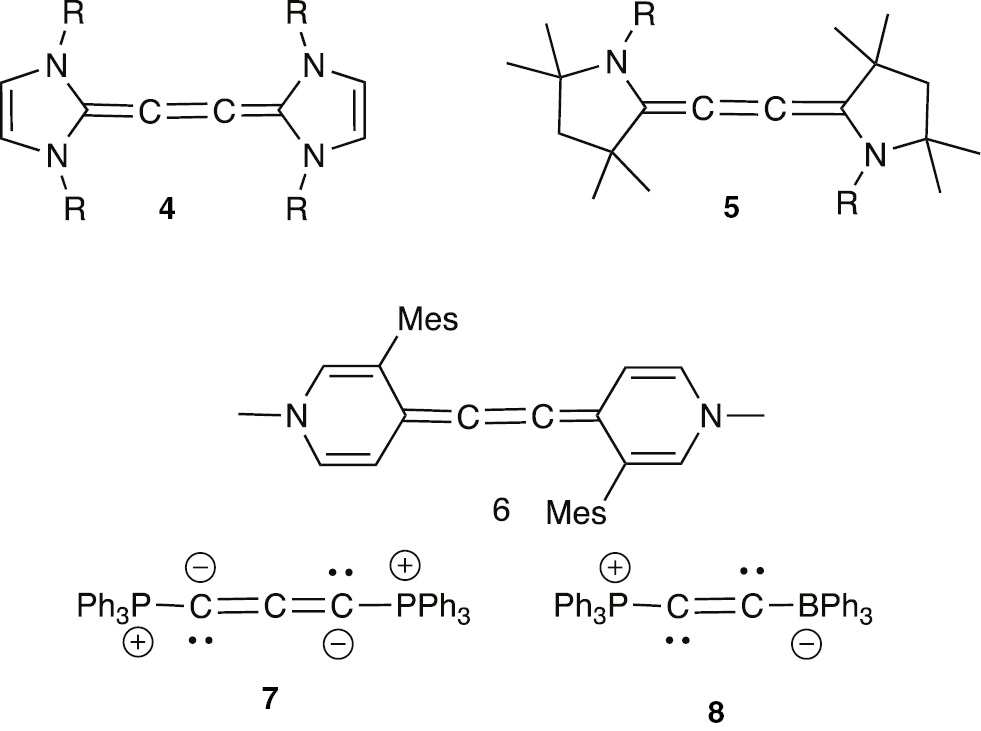
C1 stabilized by ligands in the form of L-C-L (carbones) have attracted much attention over the past decade. For L=PPh3, these are also known as carbodiphosphoranes, and have been known since 1961 [6], with some investigation in the intervening decades [7]. However, after Frenking and co-workers reevaluated the bonding in terms of a donor-acceptor model with a formal C0 centre having two lone pairs of electrons [8], use of the carbodiphosphorane as a 4-electron ligand greatly expanded [9], [10], [11]. Frenking also theoretically proposed NHC stabilized C1 (coined a “carbodicarbene”) [12], which was shortly thereafter successfully synthesized by Bertrand [13], and is also finding wider use as an effective 4-electron ligand [14].
Our group proposed NHC stabilized C24 as an interesting target in 2012 in a theoretical paper predicting that this compound would exist as a cumulene, but act as a strong bifunctional ligand via the central carbon atoms [15]. Bertrand [16] and Roesky [17] shortly thereafter independently synthesized a related compound using cyclic alkylaminocarbene (cAAC) ligands (5), confirming the predicted cumulene structure. Kinjo and co-workers synthesized a C2 cumulene in which the 4-position of two pyridinium rings act as carbenes with respect to the central C2 unit (6) [18].

Bestmann had earlier predicted that Cn compounds would be stable for n=odd with two donating ligands (e.g. 7), and stable for n=even with one donating and one accepting group (e.g. 8), in those cases considering phosphine donors and borane acceptors [19], [20]. Our initial attempts to synthesize the NHC analogue 4 involved deprotonation of dicationic 9, inspired by Bertrand’s method to synthesize the carbodicarbene (NHC stabilized C1) [13]. However, in the case of 9, this led to a reduction to 10 rather than deprotonation, regardless of the base used (Scheme 1) [21].

Reduction of 9 with strong bases giving 10.
This unexpected result led us to reevaluate the stability of 4 as compared to the cAAC analogue 5, which revealed that 4 is likely far less stable due to a small HOMO-LUMO gap of only 1.70 eV, c.f. 5 at 2.60 eV. Calculations using hydride as a model base showed that reduction to 10 is more favorable than deprotonation to relatively unstable 4 by 130 kJ/mol, indicating that the deprotonation route is simply unfeasible [21]. Therefore, to attempt to investigate 4 synthetically, a new route has been devised that we report here, via reduction of a [C2]2+ fragment, the results of which indicate that NHC=C=C=NHC is a non-viable species in the condensed phase. Similar results are also obtained for attempts at NHC stabilized C4.
Results and discussion
The synthetic pathway chosen as an alternate to deprotontation was envisioned to involve 2-electron reduction of dicationic 14, inspired by Kinjo’s method to achieve compound 6 [18]. Compound 14 was synthesized through a sequence of Sonogashira coupling reactions (Scheme 2), starting with 11 and TMS-acetylene. After coupling the TMS group was deprotected using KOH and this was then coupled with another equivalent of 11 giving neutral 13. Compound 13 was doubly methylated using trimethyloxonium tetrafluoroborate (attempted methylations with more economical MeI resulted in decomposition) furnishing compound 14. Single crystals (albeit relatively poorly diffracting) were obtained for 14 to confirm its identity via X-ray crystallography (Fig. 1).

Synthesis of dicationic acetylene complex 14.

Solid State structure of 14. BF4 counterions are omitted and thermal ellipsoids are drawn at 50% probability. Selected bond lengths (Å) bond angles (°): C(1)–C(2) 1.180(7), C(1)–C(3) 1.413(5), C(1)–C(2)–C(3)–C(4) 180.00.
To reduce 14, 2 equivalents KC8 and Cp2Co was both attempted, with the reactions carried out in C6D6. In both cases a rapid color change to black occurred. In situ1H spectroscopy showed a mixture of products, but in both cases the major project could be identified as tetrazafulvalene 15, by comparison to an independently synthesized sample (Scheme 3). While most unsaturated Arduengo-type carbenes do not dimerize 15 is an exception [22], therefore in the reaction free NHC is being released.

Attempted reduction of 14, giving 15 and other NHC containing products.
In order to gain further insight into the reduction of the dication, electrochemical studies were carried out on 14 and 15. Figure 2a shows the cyclic voltammetric responses for compounds 14 in deoxygenated solutions of acetonitrile. During the first reductive voltammetric scan, an irreversible reduction peak appears at −0.74 V versus Fc+/Fc. On the returning voltammetric scan and on subsequent cycles, two new reversible redox couples appear at −0.48 V and −0.28 V versus Fc+/Fc, see Table 1). This is a well-known voltammetric pattern which is observed when electrolysis results in the formation of new products which are themselves electroactive, known as an ECE mechanism [23], or more accurately in this case an ECEE mechanism. The new compounds formed following the electrochemical decomposition of 14 were initially suspected to be to free NHC (and a closely related compound) released on cleavage. However, previous studies have shown that NHC displays an electrochemical response at far more negative potentials [24]; and indeed when the potential scan was continued to more cathodic extremes in the above experiment, a reversible couple was observed at about −1.45 V vs. Fc+/Fc. A more likely explanation therefore, is that the new redox couples are products of subsequent dimerization of the free NHC formed on reductive cleavage of 14. As shown by Fig. 2b, the voltammetry of 15 seems to confirm this, exhibiting a single reversible redox couple at similar potential to more positive of the two product peaks in Fig. 2a. The identity of the second product is unknown at this stage, however it is clear that the electrochemical response closely mirrors the behavior in the reaction flask summarized in Scheme 3 in that reduction induces decomposition.

Cyclic voltammograms of 1 mM solutions of (a) compound 14 and (b) compound 15 dissolved in acetonitrile containing of 0.1 M TBAPF6. A 3 mm glassy carbon disc electrode was used with a scan rate of 0.1 V/s. (The dashed lines show the second cycle of the voltammogram in each case).
Reduction and oxidation potentials for 14, 15 and 17.
| Compound | ERed | EOx(1) | EOx(2) |
|---|---|---|---|
| 14 | −0.74 | −0.48 | −0.28 |
| 15 | – | – | −0.21 |
| 17 | −0.69 | −0.05 | −0.22 |
In a complementary study we attempted the formation of NHC stabilized C4 to test Bestman’s hypothesis that a push-push system cannot stabilize Cn for n=even. To synthesize this compound, a Hay homocoupling reaction was performed from previously synthesized starting complex 12 using CuI and atmospheric O2 to give 16. The next step was dimethylation using two equivalents of trimethyloxonium tetrafluoroborate, generating 17 (Scheme 4). While X-ray quality crystals could not be obtained for this compound, NMR and mass spectrometry studies indicate that 17 has been successfully synthesized. In particular, two unique acetylenic signals are apparent in the 13C NMR spectrum at 86.9 and 68.2 ppm, and the mass spectrum clearly shows the presence of a dication with a mass of 340, given by a signal at 170 mass units with an isotopic spacing of 0.5 mass units.

Synthesis of dicationic 17.
The voltammetry behavior of 17 (See Table 1 and Figure S6 in supporting information) followed a quite similar pattern to that observed for 14, with an irreversible reduction at −0.69 V versus Fc+/Fc and two reaction products appearing at more positive potentials (−0.05 V and −0.22 V versus Fc+/Fc). The more negative of these two is almost certainly 15, while once again the identity of the second product is unknown.
A chemical reduction of 17 was attempted using Cp2Co as the reductant (Scheme 5). The reduction was performed in CD3CN, which resulted in an immediate color change to dark purple. Regardless if one or two equivalents of Cp2Co were used in-situ NMR showed a highly broadened NMR spectrum. An EPR spectrum of the reaction mixture was taken for the reaction using one equivalent of Cp2Co, which returned a single signal at 3520 G (Fig. 3). No hyperfine coupling was observed in the spectrum. The G-value is close to the one obtained for the radical cation arising from a one electron oxidation of cAAC ligand based 5, however in that case hyperfine coupling to the endocyclic nitrogen atoms was observed [17]. Calculations of radical spin density on the two systems (Fig. 4), indicate that a portion of the spin density resides on the nitrogen atoms in the cAAC system. However in our NHC-C4 system for radical cation 18 the radical density is more delocalized on the central carbons and into the benzimidazole carbon backbone, with very little apparent spin density on the nitrogen atoms, possibly explaining the lack of hyperfine coupling to 14N.

Reduction of 17 using Cp2Co.

EPR spectrum of the solution (CH3CN) obtained from the reaction of 17 with one equivalent of Cp2Co.
![Fig. 4: Calculated radical spin density on the radical cations of [cAAC-C-C-cAAC]+ (left) and 18 (right).](/document/doi/10.1515/pac-2016-1126/asset/graphic/j_pac-2016-1126_fig_004.jpg)
Calculated radical spin density on the radical cations of [cAAC-C-C-cAAC]+ (left) and 18 (right).
Comparisons in the solution phase IR spectra before and after reduction were then made. Prior to reduction, two small bands at 2223 and 2172 cm−1 were present in the acetylenic region of the spectrum. After reduction, a single large band at 2089 cm−1 was observed. This is consistent with calculations for dication 17 and cation 18, where a weakening and lengthing (see Fig. 5) of the triple bonds occurs upon reduction due to population of antibonding orbitals associated with the triple bonds.

Optimized geometries of the dicationic unit in 17 (left) and cationic unit in 18 (right), with C–C bond distances for the central C4 unit shown.
The change in intensity of for the observed IR bands is also consistent with the intensities calculated in the single-point frequency calculations for the two compounds. In gas phase calculations for 17, two weak bands are predicted at 2290 and 2243 cm−1 and for radical cation 18 a very intense vibration is calculated at 2146 cm−1. While the gas phase absolute calculated wavenumbers are not in agreement with the observations (see supporting information for experimental IR spectra), the relative difference in wave number position and predicted intensities are in good agreement with experiment. It must be stressed that we have not isolated 18 as a clean product, nor confirmed its identity crystallographically, but the obtained data is consistent with the proposed compound.
Thermodynamic calculations on reduction of 17 using Cp2Co gives a calculated ΔG value of −242 kJ/mol, however for a second reduction using 18 with Cp2Co the ΔG is positive at +82 kJ/mol, indicating a resistance for a 2nd chemical reduction.
Conclusions
Given the result of NHC dissociation upon attempted reduction of 14, and the apparent resistance to a second reduction for 17, we conclude that NHCs are unable to stabilize C2 and C4. This lends strong credence to Bestman’s notion that two donor ligands are unable to stabilize Cn for n=even number. The apparent stability of Roesky and Bertrand’s C2 cAAC and Kinjo’s abnormal carbene pyridinium species may be due to the strong π accepting character of these ligands – i.e. they are acting both as a donor ligand and an acceptor ligand simultaneously.
Experimental details
Single crystals were selected under n-paratone oil, mounted on nylon loops and placed into a cold stream (172 K) of N2 on an Oxford SuperNova CCD diffractometer using Cu Kα radiation. Structure solution and refinement were performed using the SHELXTL suite of software.
Geometry optimizations and single point frequency calculations were carried out in the gas phase with the B3LYP density functional and 6–31+G(d) basis set within Gaussian 09 [25].
Compounds 11 [26], 12 [27] and 15 [22] were synthesized via literature procedure.
Compound 13
Compounds 11 (0.128 g, 0.82 mmol) and 12 (0.211 g, 0.82 mmol) were dissolved in 2 mL of THF. Pd(PPh3)2Cl2 (0.057 g, 0.082 mmol) and CuI (0.015 g, 0.082 mmol) was added under an N2 atmosphere and Et3N (20 mL) was added to the mixture. The reaction mixture was degassed via the freeze-pump-thaw method. The reaction mixture was then heated to 70°C for 12 h. The reaction was then filtered and evaporated under reduced pressure. The residue was extracted with EtOAc and washed with water and then the organic layer was dried with MgSO4, filtered and reduced under vacuum to give a crude solid. The solid was then purified by column chromatography [silica, eluent DCM/MeOH (97.5%:2.5%)] giving 13 as a pale yellow solid after removal of the eluent under reduced pressure. Yield: 0.060 g, 26%.
1H NMR (CDCl3, 500 MHz) δ (ppm): 7.84–7.82 (m, 2H), 7.42–7.41 (m, 4H), 7.38–7.35 (m, 2H), 4.04 (s, 6H)
13C NMR (CDCl3, 100 MHz) δ (ppm): 143.2, 136.0, 135.2, 124.9, 123.6, 120.7, 109.9, 84.2, 31.2
ESI MS (m/z): 287.2[13]+, 573.1[13]2+
Mp. 254–257°C
Compound 14
In an N2 filled glove box 13 (0.064 g, 0.0224 mmol) was dissolved in CH3CN (4 mL), as was Trimethyloxonium tetrafluoroborate (0.069 g, 0.0469 mmol, CH3CN). The Trimethyloxonium tetrafluoroborate was added in one portion and the reaction was left to stir for 7 days. After the elapsed time one more equivalent of Trimethyloxonium tetrafluoroborate (0.032 g, 0.0224 mmol) was added to the solution and left to stir for addition 1 day. Diethyl ether was added to solution and a yellow solid precipitated. This was collected by vacuum filtration and was washed with diethyl ether giving 14. Yield: 0.041 g, 36%. Single crystals for X-ray diffraction study were obtained by evaporation of an MeCN solution.
1H NMR (CD3CN, 400 MHz) δ (ppm): 8.00–7.98 (m, 4H), 7.91–7.88(m, 4H), 4.26 (s, 12H)
13C NMR (CD3CN, 100 MHz) δ (ppm): 133.3, 132.2, 130.3, 114.7, 87.0, 34.9
19F{1H}(CD3CN, 376 MHz) δ (ppm): −151.8
ESI MS (m/z): 333.2[14-Me]+
Mp: above 300°C
Reduction of 14 with Cp2Co
A suspension of 14 (10 mg 0.019 mmol) in C6D6 (2 mL) and 2 equivalents of Cp2Co (8 mg 0.041 mmol) was added under an N2 atmosphere. The mixture was left to stir for 1 h, after which time an aliquot was removed for 1H NMR spectroscopy, for which 15 was the major product that could be identified via comparison to a separately synthesized sample.
Compound 16
A solution of Tetramethylethylenediamine (TMEDA, 5.0 mL, 33 mmol) and CuCl (0.50 g, 5.1 mmol) in 60 mL dry acetone was stirred for 30 min. Then the mixture was stirred until no solid persisted in the filtrate. A solution of compound 12 (0.50 g, 3.2 mmol; dry acetone 40 mL) was added dropwise to the resulting catalyst by using dropping funnel. After 2 h, the reaction was quenched with water and filtered to give 16 as a yellow solid.
Yield: 0.70 g, 70%;
1H NMR (CDCl3, 400 MHz) δ (ppm): 7.81–7.78 (m, 2H), 7.40–7.33 (m, 6 H), 3.96 (s, 6H);
ESI MS (m/z): 311.1[16]+;
D.p: 250 °C.
Compound 17
Under an N2 atmosphere within a glove box a solution of compound 16 (0.100 g, 0.32 mmol; CH3CN 2 mL) was added to a solution of trimethyloxonium tetrafluoroborate (0.3 g, 1 mmol; CH3CN 2 mL), resulting in a dark green solution. The reaction mixture was stirred overnight and then filtered, washed with 10 mL of CH3CN and then air dried to give 17 as a light green solid.
Yield: 0.100 g, 77%;
1H NMR (CD3CN, 400 MHz) δ (ppm): 7.93–7.92 (m, 4H), 7.88–7.85 (m, 4H), 4.2 (s, 12H);
13C NMR (C2D6OS, 100 MHz) δ (ppm): 131.8, 128.6, 113.8, 86.9, 68.6, 33.6;
ESI MS (m/z): 170[17]2+
D.p: 280 °C.
Electrochemistry
Cyclic voltammetry experiments were carried using a μAUTOLAB (type II) electrochemical potentiostat (MEP Instruments, North Ryde, NSW, Australia) with Nova 1.8 software. In an oxygen-free glovebox, 1 mM compound was dissolved in oxygen-free acetonitrile, and TBAPF6 was added to give a concentration of 0.1 M as the supporting electrolyte. A conventional three-electrode cell configuration was used, consisting of a silver wire as a quasi-reference electrode, a platinum wire as the counter electrode, and a 3 mm diameter glassy carbon working electrode. The working electrode was polished in a 0.3 μm alumina slurry on a felt pad, rinsed with Milli-Q water followed by acetone, sonicated in acetonitrile for 10 s followed by a final rinse in acetonitrile, and dried with a stream of N2. Potentials were referenced to the ferrocene/ferrocenium couple measured in situ at a concentration of 1 mM.
Associated content
Supporting information. Proton, 13C NMR spectra of isolated NHC-Cn-NHC dications. Coordinates and electronic energies for calculated optimized geometries. Electrochemical CVs for compound 17. Crystallograhpic data in.cif format.
Article note:
A collection of invited papers based on presentations at the 23rd IUPAC Conference on Physical Organic Chemistry (ICPOC-23), Sydney, Australia, 3–8 July 2016.
Acknowledgments
We thank The La Trobe Institute for Molecular Science and the Australian Research Council (JLD, DE130100186, FT160100007) for their generous funding of this project. We thank Dr. Stephen Best of The University of Melbourne for running the EPR experiment.
References
[1] Y. Wang, G. H. Robinson. Dalton Trans.41, 337 (2012).10.1039/C1DT11165ESearch in Google Scholar PubMed
[2] Y. Wang, G. H. Robinson. Inorg. Chem.50, 12326 (2011).10.1021/ic200675uSearch in Google Scholar PubMed
[3] D. J. D. Wilson, J. L. Dutton. Chem. Eur. J.19, 13626 (2013).10.1002/chem.201302715Search in Google Scholar PubMed
[4] H. Braunschweig, R. D. Dewhurst, K. Hammond, J. Mies, K. Radacki, A. Vargas. Science336, 1420 (2012).10.1126/science.1221138Search in Google Scholar PubMed
[5] Y. Wang, M. Chen, Y. Xie, P. Wei, H. F. I. Schaefer, P. R. Schleyer, G. H. Robinson. Nat. Chem.7, 509 (2015).10.1038/nchem.2234Search in Google Scholar PubMed
[6] F. Ramirez, N. B. Desai, B. Hansen, N. McKelvie. J. Am. Chem. Soc.83, 3539 (1961).10.1021/ja01477a052Search in Google Scholar
[7] H. Schmidbaur. Angew. Chem. Int. Ed.22, 907 (1983).10.1002/anie.198309071Search in Google Scholar
[8] R. Tonner, F. Öxler, B. Neumüller, W. Petz, G. Frenking. Angew. Chem. Int. Ed.45, 8038 (2006).10.1002/anie.200602552Search in Google Scholar PubMed
[9] H. Schmidbaur, A. Schier. Angew. Chem. Int. Ed.52, 176 (2013).10.1002/anie.201205294Search in Google Scholar PubMed
[10] M. Q. Y. Tay, Y. Lu, R. Ganguly, D. Vidovic. Angew. Chem. Int. Ed.52, 3132 (2013).10.1002/anie.201209223Search in Google Scholar PubMed
[11] M. A. Celik, G. Frenking, B. Neumüller, W. Petz. ChemPlusChem78, 1024 (2013).10.1002/cplu.201300169Search in Google Scholar PubMed
[12] R. Tonner, G. Frenking. Angew. Chem. Int. Ed.46, 8695 (2007).10.1002/anie.200701632Search in Google Scholar PubMed
[13] C. A. Dyker, V. Lavallo, B. Donnadieu, G. Bertrand. Angew. Chem. Int. Ed.47, 3206 (2008).10.1002/anie.200705620Search in Google Scholar PubMed
[14] W. Chen, Y. Hsu, C. Lee, G. P. A. Yap, T. Ong. Organometallics32, 2435 (2013).10.1021/om400139sSearch in Google Scholar
[15] J. L. Dutton, D. J. D. Wilson. Angew. Chem. Int. Ed.51, 1477 (2012).10.1002/anie.201107815Search in Google Scholar PubMed
[16] L. Jin, M. Melaimi, L. Liu, G. Bertrand. Org. Chem. Front.1, 351 (2014).10.1039/C4QO00072BSearch in Google Scholar
[17] Y. Li, K. C. Mondal, P. P. Samuel, H. Zhu, C. M. Orben, S. Panneerselvam, B. Dittrich, B. Schwederski, W. Kaim, T. Mondal, D. Koley, H. W. Roesky. Angew. Chem. Int. Ed.53, 4168 (2014).10.1002/anie.201310975Search in Google Scholar PubMed
[18] D. Wu, Y. Li, R. Ganguly, R. Kinjo. Chem. Commun.50, 12378 (2014).10.1039/C4CC05886KSearch in Google Scholar
[19] H. J. Bestman, H. Behl, M. Bremer. Angew. Chem. Int. Ed.28, 1219 (1989).10.1002/anie.198912191Search in Google Scholar
[20] H. J. Bestman, D. Hadawi, H. Behl, M. Bremer, F. Hampel. Angew. Chem. Int. Ed.32, 1205 (1993).10.1002/anie.199312051Search in Google Scholar
[21] D. C. Georgiou, B. D. Stringer, N. Holzmann, C. F. Hogan, P. J. Barnard, D. J. D. Wilson, G. Frenking, J. L. Dutton. Chem. Eur. J.20, 14132 (2015).Search in Google Scholar
[22] F. E. Hahn, L. Wittenbecher, R. Boese, D. Blaser. Chem. Eur. J.5, 1931 (1999).10.1002/(SICI)1521-3765(19990604)5:6<1931::AID-CHEM1931>3.0.CO;2-MSearch in Google Scholar
[23] A. J. Bard. Electrochemical Methods: Fundamentals and Applications, Wiley, New York (1980), Vol. 2.Search in Google Scholar
[24] J. W. Kamplain, V. M. Lynch, C. W. Bielawski. Org. Lett.9, 5401 (2007).10.1021/ol702230rSearch in Google Scholar
[25] A. D. Becke. Phys. Rev. A38, 3098 (1988).10.1103/PhysRevA.38.3098Search in Google Scholar
[26] C. P. Zhang, Z. L. Wang, Q. Y. Chen, C. T. Zhang, Y. C. Gu, J. C. Xiao. Angew. Chem. Int. Ed.50, 1896 (2011).10.1002/anie.201006823Search in Google Scholar
[27] X. Xiao, Z. Chao, Y. Xiangguo, C. Lu, C. Chi-Ming. Chem. Commun.52, 4983 (2016).10.1039/C5CC09571ASearch in Google Scholar
Supplementary Material:
The online version of this article offers supplementary material (DOI: https://doi.org/10.1515/pac-2016-1126).
©2017 IUPAC & De Gruyter. This work is licensed under a Creative Commons Attribution-NonCommercial-NoDerivatives 4.0 International License. For more information, please visit: http://creativecommons.org/licenses/by-nc-nd/4.0/
Articles in the same Issue
- Frontmatter
- In this issue
- Preface
- 23rd IUPAC Conference on Physical Organic Chemistry (ICPOC-23)
- Conference papers
- Post-transition state bifurcations gain momentum – current state of the field
- How to computationally calculate thermochemical properties objectively, accurately, and as economically as possible
- The effect of magnesium ions on triphosphate hydrolysis
- Philicity, fugality, and equilibrium constants: when do rate-equilibrium relationships break down?
- Ionic liquid solvents: the importance of microscopic interactions in predicting organic reaction outcomes
- Mechanistic study of stereoselectivity in azoalkane denitrogenations
- On the ordeal of quinolone preparation via cyclisation of aryl-enamines; synthesis and structure of ethyl 6-methyl-7-iodo-4-(3-iodo-4-methylphenoxy)-quinoline-3-carboxylate
- Iodine(III)-mediated synthesis of chiral α-substituted ketones: recent advances and mechanistic insights
- The final fate of NHC stabilized dicarbon
- Oligocarboxylates as useful templates in dynamic combinatorial chemistry
- Methods for the chemical synthesis of carbon nanotubes: an approach based on hemispherical polyarene templates
- Displacement assay methodology for pseudorotaxane formation in the millisecond time-scale
- Light guided chemoselective olefin metathesis reactions
- P450 catalysed dehydrogenation
Articles in the same Issue
- Frontmatter
- In this issue
- Preface
- 23rd IUPAC Conference on Physical Organic Chemistry (ICPOC-23)
- Conference papers
- Post-transition state bifurcations gain momentum – current state of the field
- How to computationally calculate thermochemical properties objectively, accurately, and as economically as possible
- The effect of magnesium ions on triphosphate hydrolysis
- Philicity, fugality, and equilibrium constants: when do rate-equilibrium relationships break down?
- Ionic liquid solvents: the importance of microscopic interactions in predicting organic reaction outcomes
- Mechanistic study of stereoselectivity in azoalkane denitrogenations
- On the ordeal of quinolone preparation via cyclisation of aryl-enamines; synthesis and structure of ethyl 6-methyl-7-iodo-4-(3-iodo-4-methylphenoxy)-quinoline-3-carboxylate
- Iodine(III)-mediated synthesis of chiral α-substituted ketones: recent advances and mechanistic insights
- The final fate of NHC stabilized dicarbon
- Oligocarboxylates as useful templates in dynamic combinatorial chemistry
- Methods for the chemical synthesis of carbon nanotubes: an approach based on hemispherical polyarene templates
- Displacement assay methodology for pseudorotaxane formation in the millisecond time-scale
- Light guided chemoselective olefin metathesis reactions
- P450 catalysed dehydrogenation