Abstract
Rotaxanes, formed by an axis through the cavity of a macrocycle, are promising systems for the construction of molecular machines. A very limited number of experimental techniques are available for mechanistic studies since only mechanical bonds are formed, being NMR one of the most widely used. The major inconvenience derived from NMR use is the time-scale for threading/dethreading processes lasting a few minutes in the case of faster processes. In the present manuscript, we report the application of a new kinetic methodology based on a displacement assay for cyclodextrin-based pseudorotaxane formation. By coupling a very fast (microseconds time-scale) binding/dissociation of nitrophenol to α-CD with a dicationic axle threading/dethreading process, we have been able to study kinetic processes taking place in the millisecond time-scale.
Introduction
A molecular machine can be defined as an assembly of a discrete number of molecular components (this is, a supramolecular structure) designed to perform specific mechanical movements as a result of an appropriate external stimulus [1], [2]. Properly designed, molecular machines can perform various actions such as moving a macrocycle around an axis [3], shrink or expand [4], move an axis on itself [5], change the UV-VIS spectra [6] or even interconvert between rotaxane and pseudorotaxane [3]. These actions depend on the imput for which they are designed, a pH change [4], light [1], [3], the addition or removal of cations [7], the acid/base equilibrium [8], redox equilibrium [9], solvent changes [10] or even heat [11]. The increasing design and study of even more complex molecular machines is crucial, because current techniques of miniaturization of electronic devices are reaching their limit and molecular machines present a way of storing, write, read and process information at a microscopic level, inaccessible to conventional devices. One of the most important motivations for the continued development of molecular machines lies in the wide range of stimuli that can be used to obtain a wide range of responses from them. For example, molecular machines based on solvent change are especially useful for microfluidic devices, whereas molecular machines that use electrochemical changes as stimulus are much better for robotics, biocompatibility of cyclodextrins makes molecular machines based in them very important for biological applications. This is why an increase in the design of new molecular machines is accompanied by an increase in the applications developed by them.
Rotaxanes, formed by an axis through the cavity of a macrocycle, are promising systems for the construction of molecular machines. In rotaxanes (i) the mechanical link allows a variety of conformations, which give stability to the system; (ii) the interconnected architecture confines the range of motion in three space directions; (iii) the stability of a specific arrangement (co-conformation) is determined by the strength of interactions between components and (iv) these interactions can be modulated by external stimuli [1], [12], [13].
Of particular interest are two types of movements in the rotaxanes, the translational movement (i.e. movement of the macrocycle along the axis) and the rotational movement (corresponding to the rotation about the axis of the macrocycle). A pseudorotaxane is a supramolecular system composed only by an axis through the cavity of a macrocycle. Unlike the rotaxane, the pseudorotaxane does not have stoppers and therefore dissociation of the complex is possible. The pseudorotaxane remains always in equilibrium with “free” molecular components.
The threading of the axis through the ring is necessary requirement for the synthesis of a rotaxane. The rotaxane yields are generally low in the absence of any specific interaction between the axis and the macrocycle. Many organic cyclic complexes, like donor acceptor complexes [14], [15], transition metal complexes [16], [17], [18], crown ether complexes [19], and complexes by hydrogen bonding of cyclic amides [20], [21], [22] have been used for the synthesis of rotaxanes. However, the most widely used are cyclodextrins because these are available for use immediately and may be functionalized in well-defined ways. Cyclodextrins (CDs) have several advantages compared to other macrocycles: the CDs are readily available both in large quantities and in high purity; the CDs can be functionalized by a large variety of synthetic routes [23] and they are also water soluble and biocompatible.
As has been described by Wenz [24] there are several conditions that must be fulfilled for the synthesis of rotaxanes based on cyclodextrins: (a) The axis has to form a stable axial inclusion complex with CD. (b) The axis has to be large enough to overcome the CD cavity to allow the coupling of the stoppers. (c) The inclusion complex should be water soluble. (d) The solvent should not cause dissociation. Because the inclusion is mainly due to hydrophilic interactions, only water and, to some extent, other highly polar solvents such as dimethylsulfoxide or dimethylformamide can be used. (e) The rotaxanization reaction must have required yields without the solvent needed for the threading. (f) Both stoppers and the rotaxane must be soluble in the solvent to allow homogeneous reaction conditions. (g) The stoppers must be large enough to prevent dissociation. (h) The resulting rotaxane should be readily isolable from the reaction mixture. Consequently, the coupling reactions with high steric demand and those that need anhydrous conditions must be avoided. In addition, hydrophobic stoppers can cause problems of solubility and high reaction temperatures may lead to dissociation of the inclusion complex. These conditions are not favorable for the formation of the rotaxane.
The cyclodextrin-based pseudorotaxanes are formed when a threadlike molecule goes through the cavity of a cyclic molecule to form a stable complex. It has been shown [25], [26] that is necessary to place the charged centers at both ends of the aliphatic chain to achieve enough dynamic stability to be able to distinguish between pseudorotaxanes and free components. In all cases, when the length of the chain between the two charged groups is less than eight methylene groups, the charged stoppers are forced into the hydrophobic interior of the CD, destabilizing the pseudorotaxane. Using loaded bulky stoppers is possible to form “stable” pseudorotaxanes with β-CD, but not with γ-CD. Lifetimes of pseudorotaxanes can be increased electrochemically or by light irradiation, but the most popular way is to increase the size of the bulky groups of the stoppers to sizes that are similar to the diameters of the cavity of the CD.
One of the most influential parameters on the stability of a pseudorotaxane is the length of the spacer between the headgroups. Depending on the number of carbon atoms separating the two stoppers, a clear difference is observed in the equilibrium constant and the rate constants of formation and dissociation of the complex [27], [28], [29], [30]. Generally, it can be said that an increase in the length of the spacer means an increase in the equilibrium constant of the complex. It is well known that cyclodextrin has a low affinity for the cations so that a longer length of the spacer implies a higher separation of the cations from the cyclodextrin, leading to better stability. The increase in the equilibrium constant is due mainly to the decrease in the dissociation rate constant, since the formation rate is poorly modified by the spacer length.
One of the most important parameters to take into account in the stability of a pseudorotaxane is the size of the headgroup. If the size is too large, then it is quite likely that the cyclodextrin is unable to get through. However, if the head group is very small, then the cyclodextrin can thread and dethread very quickly. It is interesting to compare surfactants with headgroups of different size to better understand this effect (Scheme 1). The complexation or not and the degree of it can be determined from the 1H-NMR spectra 24 h after mixing the reactants [31]. It can be seen that the entrance of surfactant (A) is very fast, reaching equilibrium in just 10 min. With increasing the headgroup substitution, the surfactant (B) takes about a month to reach equilibrium. The surfactant (C) has a formation and dissociation rate constant lower than that of (B) dissociation, due to its greater substitution in the headgroup. Finally, the surfactant (D) has the same substitution of (C), however the shape of the head group makes the α-CD unable to thread [32].
![Scheme 1: Pyridine based bolaforms reported from reference [31].](/document/doi/10.1515/pac-2016-1101/asset/graphic/j_pac-2016-1101_scheme_001.jpg)
Pyridine based bolaforms reported from reference [31].
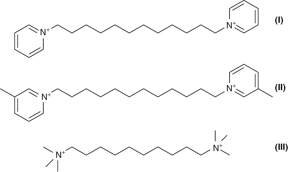
Mechanistic studies are needed in order to get an accurate explanation for both the influence of the head group and spacer on the rates and equilibrium constants for CD-based pseudorotaxanes. Experimental difficulties for these studies arrive from the nature of mechanical bonds, reflecting no changes on UV-Vis or IR spectroscopy. In the present manuscript we overcome these difficulties by using a guest displacement assay from the cavity of the α-CD. This methodology has the advantage that fast processes, taking place in the millisecond time scale, can be studied by using the appropriate guest overcoming time limitations derived from NMR experiments. Pseudorotaxane formation has been studied by using three different dicationic axles (see Scheme 2) with different headgroups and length of the spacer.

Structure of different axles used in present study.
Results and discussion
Displacement assays are based on the coupled of two competitive processes where one of them can be easily monitored. In order to get kinetic information it will be necessary that the guest displacement takes place much faster than the studied reaction. Nitrophenol complexation by α-CD is an adequate guest for this purpose, because its complexation and dissociation rate constants [33] are 1.4×108 M−1s−1 and 4.1×104 s−1. As an example the inclusion/dissociation process of nitrophenol in the presence of 1 mM α-CD has a half-life of almost 4 μs allowing to study pseudorotaxanes formation in the millisecond time scale.
Prior to kinetic studies it will be necessary to evaluate the nitrophenol complexation by α-CD at pH=11.3. Figure 1-left shows the change in the UV-Vis spectra of nitrophenoxide due to its incorporation into the cyclodextrin cavity. Influence of α-CD concentration on the nitrophenol absorption is reported in Fig. 1-right showing an increase in absorbance at λ=417 nm and a decrease at λ=360 nm. Equation 1 can be derived from a single binding model where [NP]T, [NP]b and [CD]T corresponds to the total and cyclodextrin-bounded nitrophenol concentration as well as total cyclodextrin concentration. Experimental results in Fig. 1-right can be fitted by considering the total absorbance being due to contributions from both uncomplexed and bounded nitrophenol (eq. 2). Simultaneous iterative fitting of eqs. 1–2 allow calculation of NP binding constant, KNP, as well as nitrophenol molar absorptivities at the different wavelengths (see lines in Fig. 1-right showing the best fit). It should be noted that binding constants obtained both at 417 nm and 360 nm are compatible with an average value of KNP=(2.13±0.05) M−1 in good agreement with results reported in the literature [33]. Moreover molar absorptivities calculated at λ=360 nm are εf=(9185±23) cm−1M−1 and εb=(5004±14) cm−1M−1.
![Fig. 1: (left) Influence of [α-CD] on the UV-Vis spectra of nitrophenoxide. [NP]=0.1 mM; [NaOH]=2 mM; T=25.0°C. (right) Plot of the absorbance at () 360 nm or () 417 nm as function of [α-CD]. Lines correspond to the fit of the absorbance vs. cyclodextrin concentration yielding the binding constant.](/document/doi/10.1515/pac-2016-1101/asset/graphic/j_pac-2016-1101_fig_001.jpg)
(left) Influence of [α-CD] on the UV-Vis spectra of nitrophenoxide. [NP]=0.1 mM; [NaOH]=2 mM; T=25.0°C. (right) Plot of the absorbance at (
) 360 nm or (
) 417 nm as function of [α-CD]. Lines correspond to the fit of the absorbance vs. cyclodextrin concentration yielding the binding constant.
Adding the dicationic axle, [(I)]T=1 mM, to the mixture of nitrophenol, [NP]T=1 mM, and α-CD, [CD]T=1.0 mM, results in the pseudorotaxane formation with nitrophenol being displaced from the cyclodextrin cavity to bulk water (Scheme 3). Figure 2 shows the increase in absorbance of nitrophenol at λ=360 nm with time due to pseudorotaxane formation with axle (I). It should be noted that the process is very fast being completed in just 1 s, well below the available time scale for kinetic studies by NMR. From the absorbance-time profile showed in Fig. 2a the time evolution of uncomplexed and bounded nitrophenol can be easily computed just by considering their molar absorptivites (eq. 3) as showed in Fig. 2b.

Pseudorotaxane formation with nitrophenol being displaced from the cyclodextrin cavity to bulk water.
![Fig. 2: (a) Absorbance, λ=360 nm, evolution with time by addition of dicationic guest (I), [(I)]=1.0 mM, to a mixture of nitrophenol, [NP]=0.1 mM, and α-CD, [α-CD]=1.0 mM, at T=25.0°C and pH=11.3. (b) Concentration evolution with time of bounded () and free () nitrophenol. (c) Concentration evolution with time of () uncompled a-CD; () uncomplexed guest (I) and () pseudorotaxane.](/document/doi/10.1515/pac-2016-1101/asset/graphic/j_pac-2016-1101_fig_002.jpg)
(a) Absorbance, λ=360 nm, evolution with time by addition of dicationic guest (I), [(I)]=1.0 mM, to a mixture of nitrophenol, [NP]=0.1 mM, and α-CD, [α-CD]=1.0 mM, at T=25.0°C and pH=11.3. (b) Concentration evolution with time of bounded (
) and free (
) nitrophenol. (c) Concentration evolution with time of (
) uncompled a-CD; (
) uncomplexed guest (I) and (
) pseudorotaxane.
Guest release by pseudorotaxane formation allow us to calculate the time evolution concentration of pseudorotaxane, [R], axle, [(I)], and uncomplexed cyclodextrin, [CD], by considering the following mass balances and the equilibrium binding constant of NP to α-CD. Calculated values are shown in Fig. 2c.
Kinetic analysis is based on the assumption that dynamic behavior of nitrophenol is much faster than pseudorotaxane formation. This assumption is well supported by reported values in the literature showing that formation/dissociation of nitrophenol:α-CD takes place in the microseconds time-scale [33]. Consequently nitrophenol complexation can be considered as a fast competitive process in equilibrium with pseudorotaxane formation. Following rate equation can be proposed for threading/dethreading of (I) allowing pseudorotaxane formation.
We use the Runga–Kunta fourth order (RK4) method in combination with an interactive procedure to numerically solve eq. (7). Different sets of k1 and k−1 values in combination with the RK4 method are used to calculate the time-dependent pseudorotaxane; cyclodextrin; bolaform; bounded NP and uncomplexed NP concentrations. The procedure was repeated until the difference between calculated and experimental values was minimal. Fig. 2b and c show the perfect match between experimental and calculated (parameters reported in Table 1) values from the RK4 method.
Rate and equilibrium constants obtained for pseudorotaxane formation by axles (I–III) with α-CD at 25°C.
| Axle | Log (k1, M−1s−1) | Log (k−1, s−1) | Log (K1, M−1) |
|---|---|---|---|
| (I) | 3.91±0.05 | −0.082±0.018 | 3.95±0.1 |
| (II) | 2.37±0.05 | −1.72±0.09 | 4.09±0.09 |
| (III) | −0.08±0.04 | −3.03±0.14 | 2.98±0.12 |
Numerically solving differential equation (7) increase the applicability of the displacement assay methodology. By the other way experimental conditions should be carefully designed in such a way that one of the reagents, cyclodextrin or axle, is in large excess over the others [34]. In order to test the accuracy of the assay displacement methodology experiments were repeated at different axle concentrations. Results (not showed) indicate that both rate and equilibrium constants are independent on the experimental conditions used for the kinetic study.
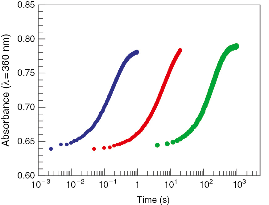
Displacement assay methodology was applied to study the pseudorotaxane formation with by axles (II) and (III). Figure 3 shows the overall change in absorbance due to nitrophenol release from the cycloxextrin cavity to the aqueous media due to the threading of different axles. It should be observed the different time scale expanding by almost six orders of magnitude from milliseconds to hours as a consequence of structural modifications in the cationic moieties of the axles.
![Fig. 3: Absorbance-time profiles for nitrophenol release from the α-cyclodextrin cavity as a consequence of axle threading forming a pseudorotaxane. () axle (I); () axle (II) and () axle (III). Experimental conditions: [NP]=0.1 mM; [α-CD]=1 mM; [axle]=1 mM; pH=11.3 and T=25°C.](/document/doi/10.1515/pac-2016-1101/asset/graphic/j_pac-2016-1101_fig_003.jpg)
Absorbance-time profiles for nitrophenol release from the α-cyclodextrin cavity as a consequence of axle threading forming a pseudorotaxane. (
) axle (I); (
) axle (II) and (
) axle (III). Experimental conditions: [NP]=0.1 mM; [α-CD]=1 mM; [axle]=1 mM; pH=11.3 and T=25°C.
Displacement assay experiments were carried out under different experimental conditions by changing the axle concentrations from 1 mM to 15 mM (data not shown) obtaining rate and equilibrium constants that are independent on the reaction conditions. Table 1 shows the values of rate and equilibrium constants for pseudorotaxane formation with the three axles. Firstly it should be mentioned that rate and equilibrium constants obtained for axle (III) agrees very well with those obtained by NMR [35], [36]. Major discrepancies come from experiments carried out in D2O for NMR and H2O for displacement assays.
Comparative analysis for axles (I) and (II) is not possible because their pseudorotaxane formation is too fast for the NMR time-scale and just equilibration time smaller than 10 min has been reported [32]. Results in Table 1 indicate that equilibrium constants for pseudorotaxane formation with axles (I) and (II) both with 12 methylene groups as spacer are almost equal and 10 times higher than for the axle (III) with just 10 methylene groups. This result agrees very well with those reported in the literature indicating that pseudorotaxane formation equilibrium constant is mainly affected by the spacer length between both cationic moieties independently of the nature of the head group [30]. Additionally it can be observed that threading/dethreading rate constants are strongly affected by the size of the cationic moiety showing a 104 increase in the threading rate constant on going from trimethylammonium to pyridinium groups.
Conclusions
Pseudorotaxane formation has been studied by coupling a very fast nitrophenol inclusion/dissociation to α-CD with a dicationic axle threading/dethreading process. Use of numerical resolution of kinetic equations allows broad experimental conditions avoiding the use of one of the reagents in large excess to attain pseudofirst order conditions. The developed methodology based on a displacement assay expands the NMR time-scale for pseudorotaxane kinetics allowing the study of processes as fast as milliseconds time scale.
Article note:
A collection of invited papers based on presentations at the 23rd IUPAC Conference on Physical Organic Chemistry (ICPOC-23), Sydney, Australia, 3–8 July 2016.
Acknowledgements
Authors acknowledge financial support from Ministerio de Economia y Competitividad of Spain (project CTQ2014-55208-P), Consellería de Cultura, Educación e Ordenación Universitaria (GR 2007/085; IN607C 2016/03 and Centro singular de investigación de Galicia accreditation 2016-2019, ED431G/09) and the European Regional Development Fund (ERDF).
References
[1] V. Balzani, A. Credi, M. Venturi. Chem. Soc. Rev.38, 1542 (2009).10.1039/b806328cSearch in Google Scholar PubMed
[2] V. Balzani, M. Gomez-Lopez, J. F. Stoddart. Acc. Chem. Res.31, 405 (1998).10.1021/ar970340ySearch in Google Scholar
[3] M. Baroncini, S. Silvi, M. Venturi, A. Credi. Chem. Eur J.16, 11580 (2010).10.1002/chem.201001409Search in Google Scholar PubMed
[4] F. Coutrot, C. Romuald, E. Busseron. Org. Lett.10, 3741 (2008).10.1021/ol801390hSearch in Google Scholar PubMed
[5] J. M. Kern, L. Raehm, J. P. Sauvage, B. Divisia-Blohorn, P. L. Vidal. Inorg. Chem.39, 1555 (2000).10.1021/ic991163vSearch in Google Scholar PubMed
[6] Q. -C. C. Wang, D.-H. Qu, J. Ren, K. Chen, H. Tian. Angew. Chem. Int. Ed.43, 2661 (2004).10.1002/anie.200453708Search in Google Scholar PubMed
[7] T. Iijima, S. A. Vignon, H.-R Tseng, T. Jarrosson, J. K. M. Sanders, F. Marchioni, M. Venturi, E. Apostoli, V. Balzani, J. F. Stoddart. Chem. Eur J.10, 6375 (2004).10.1002/chem.200400651Search in Google Scholar PubMed
[8] D. A. Leigh, P. J. Lusby, A. M. Z. Slawin, D. B. Walker. Angew. Chem. Int. Ed.44, 4557 (2005).10.1002/anie.200500004Search in Google Scholar PubMed
[9] A. Altieri, F. G. Gatti, E. R. Kay, D. A. Leigh, D. Martel, F. Paolucci, A. M. Z. Slawin, J. K. Y. Wong. J. Am. Chem. Soc.125, 8644 (2003).10.1021/ja0352552Search in Google Scholar PubMed
[10] T. Da Ros, D. M. Guldi, A. F. Morales, D. A. Leigh, M. Prato, R. Turco. Org. Lett.5, 689 (2003).10.1021/ol0274110Search in Google Scholar PubMed
[11] G. Bottari, F. Dehez, D. A. Leigh, P. J. Nash, E. M. Pérez, J. K. Y. Wong, F. Zerbetto. Angew. Chem. Int. Ed.42, 5886 (2003).10.1002/anie.200352176Search in Google Scholar
[12] V. Balzani, A. Credi, S. Silvi, M. Venturi. Chem. Soc. Rev.35, 1135 (2006).10.1039/b517102bSearch in Google Scholar
[13] H. Tian, Q.-C. Wang. Chem. Soc. Rev.35, 361 (2006).10.1039/b512178gSearch in Google Scholar
[14] P. L. Anelli, P. R. Ashton, N. Spencer, A. M. Z. Slawin, J. F. Stoddart, D. J. Williams. Angew. Chem. Int. Ed. Engl.30, 1036 (1991).10.1002/anie.199110361Search in Google Scholar
[15] A. H. Flood, R. J. A. Ramirez, W.-Q. Deng, R. P. Muller, W. A. Goddard III, J. F. Stoddart. Aust. J. Chem.57, 301 (2004).10.1071/CH03307Search in Google Scholar
[16] C. Dietrich-Buchecker, M. C. Jimenez-Molero, V. Sartor, J. P. Sauvage. Pure Appl. Chem.75, 1383 (2003).10.1351/pac200375101383Search in Google Scholar
[17] J. M. Kern, J. P. Sauvage, G. Bidan, B. Divisia-Blohorn. J. Polym. Sci. Part A Polym. Chem.41, 3470 (2003).10.1002/pola.10842Search in Google Scholar
[18] J. C. Chambron, V. Heitz, J. P. Sauvage. J. Am. Chem. Soc.115, 12378 (1993).10.1021/ja00079a019Search in Google Scholar
[19] H. W. Gibson, M. C. Bheda, P. T. Engen. Prog. Polym. Sci.19, 843 (1994).10.1016/0079-6700(94)90034-5Search in Google Scholar
[20] K. Kim. Chem. Soc. Rev.31, 96 (2002).10.1039/a900939fSearch in Google Scholar PubMed
[21] A. G. Johnston, D. A. Leigh, A. Murphy, J. P. Smart, M. D. Deegan. J. Am. Chem. Soc.118, 10662 (1996).10.1021/ja962046rSearch in Google Scholar
[22] F. Vögtle, R. Jäger, M. Händel, S. Ottens-Hildebrandt. Pure Appl. Chem.68, 225 (1996).10.1351/pac199668020225Search in Google Scholar
[23] G. Wenz. Angew. Chem. Int. Ed. Engl.33, 803 (1994).10.1002/anie.199408031Search in Google Scholar
[24] G. Wenz, B.-H. Han, A. Müller. Chem. Rev.106, 782 (2006).10.1021/cr970027+Search in Google Scholar PubMed
[25] H. Saito, H. Yonemura, H. Nakamura, T. Matsuo. Chem. Lett.19, 535 (1990).10.1246/cl.1990.535Search in Google Scholar
[26] M. Watanabe, H. Nakamura, T. Matsuo. Bull. Chem. Soc. Jpn.65, 164 (1992).10.1246/bcsj.65.164Search in Google Scholar
[27] D. H. Macartney, C. A. Waddling. Inorg. Chem.33, 5912 (1994).10.1021/ic00103a045Search in Google Scholar
[28] A. P. Lyon, N. J. Banton, D. H. Macartney. Can . J . Chem. 76, 843 (1998).10.1139/v98-092Search in Google Scholar
[29] L. Avram, Y. Cohen. J. Org. Chem.67, 2639 (2002).10.1021/jo016321qSearch in Google Scholar PubMed
[30] V. X. Jin, D. H. Macartney, E. Buncel. J. Incl. Phenom. Macrocycl. Chem.53, 197 (2005).10.1007/s10847-005-2065-0Search in Google Scholar
[31] H. Yamaguchi, T. Oshikiri, A. Harada. J. Phys. Condens. Matter18, S1809 (2006).10.1088/0953-8984/18/33/S03Search in Google Scholar
[32] T. Oshikiri, Y. Takashima, H. Yamaguchi, A. Harada. Chem. Eur J.13, 7091 (2007).10.1002/chem.200601657Search in Google Scholar PubMed
[33] F. Cramer, W. Saenger, H. Ch. Spatz. J. Am. Chem. Soc.89, 14 (1967).10.1021/ja00977a003Search in Google Scholar
[34] M. Quiroga, M. Pessêgo, M. Parajo, P. Rodriguez-Dafonte, L. Garcia-Rio. J. Phys. Org. Chem.29, 574 (2016).10.1002/poc.3518Search in Google Scholar
[35] M. Nilsson, A. J. M. Valente, G. Olofsson, O. Söderman, M. Bonini. J. Phys. Chem. B112, 11310 (2008).10.1021/jp802963xSearch in Google Scholar PubMed
[36] M. Quiroga, M. Parajó, P. Rodríguez-Dafonte, L. García-Río. Langmuir32, 6367 (2016).10.1021/acs.langmuir.6b01348Search in Google Scholar PubMed
©2017 IUPAC & De Gruyter. This work is licensed under a Creative Commons Attribution-NonCommercial-NoDerivatives 4.0 International License. For more information, please visit: http://creativecommons.org/licenses/by-nc-nd/4.0/
Articles in the same Issue
- Frontmatter
- In this issue
- Preface
- 23rd IUPAC Conference on Physical Organic Chemistry (ICPOC-23)
- Conference papers
- Post-transition state bifurcations gain momentum – current state of the field
- How to computationally calculate thermochemical properties objectively, accurately, and as economically as possible
- The effect of magnesium ions on triphosphate hydrolysis
- Philicity, fugality, and equilibrium constants: when do rate-equilibrium relationships break down?
- Ionic liquid solvents: the importance of microscopic interactions in predicting organic reaction outcomes
- Mechanistic study of stereoselectivity in azoalkane denitrogenations
- On the ordeal of quinolone preparation via cyclisation of aryl-enamines; synthesis and structure of ethyl 6-methyl-7-iodo-4-(3-iodo-4-methylphenoxy)-quinoline-3-carboxylate
- Iodine(III)-mediated synthesis of chiral α-substituted ketones: recent advances and mechanistic insights
- The final fate of NHC stabilized dicarbon
- Oligocarboxylates as useful templates in dynamic combinatorial chemistry
- Methods for the chemical synthesis of carbon nanotubes: an approach based on hemispherical polyarene templates
- Displacement assay methodology for pseudorotaxane formation in the millisecond time-scale
- Light guided chemoselective olefin metathesis reactions
- P450 catalysed dehydrogenation
Articles in the same Issue
- Frontmatter
- In this issue
- Preface
- 23rd IUPAC Conference on Physical Organic Chemistry (ICPOC-23)
- Conference papers
- Post-transition state bifurcations gain momentum – current state of the field
- How to computationally calculate thermochemical properties objectively, accurately, and as economically as possible
- The effect of magnesium ions on triphosphate hydrolysis
- Philicity, fugality, and equilibrium constants: when do rate-equilibrium relationships break down?
- Ionic liquid solvents: the importance of microscopic interactions in predicting organic reaction outcomes
- Mechanistic study of stereoselectivity in azoalkane denitrogenations
- On the ordeal of quinolone preparation via cyclisation of aryl-enamines; synthesis and structure of ethyl 6-methyl-7-iodo-4-(3-iodo-4-methylphenoxy)-quinoline-3-carboxylate
- Iodine(III)-mediated synthesis of chiral α-substituted ketones: recent advances and mechanistic insights
- The final fate of NHC stabilized dicarbon
- Oligocarboxylates as useful templates in dynamic combinatorial chemistry
- Methods for the chemical synthesis of carbon nanotubes: an approach based on hemispherical polyarene templates
- Displacement assay methodology for pseudorotaxane formation in the millisecond time-scale
- Light guided chemoselective olefin metathesis reactions
- P450 catalysed dehydrogenation