Abstract
The linear free energy relationship log k = sN(N + E) (eq. 1), in which E is an electrophilicity, N is a nucleophilicity, and sN is a nucleophile-dependent sensitivity parameter, is a reliable tool for predicting rate constants of bimolecular electrophile-nucleophile combinations. Nucleophilicity scales that are based on eq. (1) rely on a set of structurally similar benzhydrylium ions (Ar2CH+) as reference electrophiles. As steric effects are not explicitely considered, eq. (1) cannot unrestrictedly be employed for reactions of bulky substrates. Since, on the other hand, the reactions of tritylium ions (Ar3C+) with hydride donors, alcohols, and amines were found to follow eq. (1), tritylium ions turned out to be complementary tools for probing organic reactivity. Kinetics of the reactions of Ar3C+ with π-nucleophiles (olefins), n-nucleophiles (amines, alcohols, water), hydride donors and ambident nucleophiles, such as the anions of 5-substituted Meldrum’s acids, are discussed to analyze the applicability of tritylium ions as reference electrophiles.
Introduction
Countless formations of new C–C or C–X bonds proceed through combinations of compounds with electron-excess, so-called nucleophiles, with electron-deficient reaction partners, so-called electrophiles. In view of the structural diversity of the n-, σ-, or π-nucleophiles and the wide range of reactivity that spans from simple alkenes or benzene derivatives via silyl enol ethers and enamines to highly reactive acceptor-substituted carbanions, it is obvious that not a single reference electrophile but a whole set of reference electrophiles is required for the systematic study of nucleophilic reactivities (nucleophilicities).
Aryl-substituted methylium ions provide an optimal set of reference electrophiles because their reactivity can be varied by substituents X, Y, or Z in meta- or para-positions of the aromatic rings without changing the steric situation at the electrophilic center (Fig. 1). Kinetic studies with variably substituted mono-aryl methylium ions (benzylium ions) have preferentially been carried out with aqueous solvents as reaction partners. The short lifetimes of the benzylium ions in these solvents hamper the kinetic investigation of a large set of nucleophiles of widely differing reactivities [1–3]. Furthermore, at present little is known about the reactivity of benzylium ions towards nucleophiles in organic solvents [1–6].

Monoaryl-, diaryl-, and triaryl-substituted methylium ions.
Three phenyl substituents at the methylium provide sufficient stabilization that tritylium salts (Ph3C+ X–) were among the first organic compounds that were recognized as ionic species [7–9]. High molar absorption coefficients in the UV-vis range of the electromagnetic spectrum add another useful feature to triarylmethylium ions, because the kinetics of their reactions with nucleophiles can be studied by time-efficient conventional or stopped-flow photometric methods. Molar absorption coefficients in the range of 105 L mol–1 cm–1 have also been determined for dichloromethane or acetonitrile solutions of diarylmethylium ions (benzhydrylium ions), which are a structural compromise between the benzylium and tritylium ions.
As the synthetic accessibility of benzydrylium and tritylium salts is comparable, both types of carbocationic electrophiles might be considered as references for the determination of nucleophilic reactivities (Fig. 2).

Reactions of benzhydrylium (Ar2CH+) and tritylium ions (Ar3C+) with nucleophiles.
In the following sections it will be discussed, that the similarities but also the sometimes remarkable differences of Ar2CH+ and Ar3C+ in their reactions with π-nucleophiles (olefins), n-nucleophiles (amines, alcohols, water), or hydride donors provide valuable tools for reactivity studies. It is briefly summarized that a set of substituted benzhydrylium ions, but not tritylium ions, can be used as reference electrophiles for describing the reactivities of π-nucleophiles. On the other hand, benzhydrylium and tritylium ions complement each other in the determination of nucleophilicities for n-nucleophiles or hydride donors. Finally, we demonstrate that both sets of reference electrophiles, Ar2CH+ and Ar3C+, are required to characterize the multiple nucleophilic reactivities of anions generated from 5-substituted Meldrum’s acids.
Reactions of π-nucleophiles with benzhydrylium and tritylium ions
To be useful for a comprehensive ordering of the reactivities of electrophiles and nucleophiles, the reference electrophiles should mimic the behavior of other carbocations that are generated as typical intermediates in organic syntheses. In 1994, Dau-Schmidt and Mayr reported on the relative reactivities krel of various alkyl chlorides R-Cl towards allyltrimethylsilane at –70 °C in the presence of catalytic amounts of ZnCl2 [10]. In the range from the least reactive 1-adamantyl chloride to the highly reactive bis(p-anisyl)methyl chloride (ani)2CHCl, the determined krel values covered 12 orders of magnitude. Notably, the comparison of krel towards the π-nucleophile allyltrimethylsilane with the ethanolysis rate constants kEtOH of R-Cl demonstrated that the seven benzhydryl chlorides Ar2CH-Cl followed the same linear correlation as 15 other, structurally different secondary and tertiary alkyl chlorides (Fig. 3). It was concluded, therefore, that benzhydrylium ions are adequate model compounds that can be used to determine the nucleophilicities of π-nucleophiles.
![Fig. 3:
Correlation of the relative reactivities of alkyl chlorides (R-Cl) towards allyltrimethylsilane with their ethanolysis rate constants (data from [10]).](/document/doi/10.1515/pac-2014-1116/asset/graphic/j_pac-2014-1116_fig_003.jpg)
Correlation of the relative reactivities of alkyl chlorides (R-Cl) towards allyltrimethylsilane with their ethanolysis rate constants (data from [10]).
In accord with a previous report by Schade and Mayr that tritylium ions are much less reactive towards alkenes than benzhydrylium ions with similar pKR+ values [11], Ph3CCl reacted 105-fold slower with allyltrimethylsilane than expected on the basis of its ethanolysis rate constant (Fig. 3). This tremendous deviation from the linear correlation of the other types of C-centered electrophiles was explained by steric strain that is generated during the attack of the π-nucleophile at the central carbon atom of Ph3C+ [10].
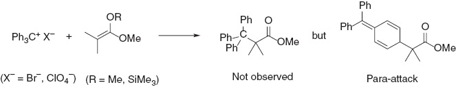
Furthermore, tritylium ions are ambident electrophiles [12] that may be attacked by nucleophiles at the central carbon atom but also at different positions of the phenyl rings. Winstein and co-workers have investigated the reactions of dialkyl ketene acetals with tritylium ions [13]. Later Fukuzumi and co-workers studied analogous reactions of silyl ketene acetals with Ar3C+ [14]. Both groups observed consistently that highly reactive β,β-dimethyl-substituted ketene acetals did not form a carbon-carbon bond to the central carbon of the tritylium ion Ph3C+ but to the carbon in para-position of the phenyl rings, which gave rise to the formation of quinoid products (Fig. 4) [13, 14].
![Fig. 4:
Para-attack of sterically demanding nucleophiles at tritylium ions [13, 14].](/document/doi/10.1515/pac-2014-1116/asset/graphic/j_pac-2014-1116_fig_004.jpg)
Para-attack of sterically demanding nucleophiles at tritylium ions [13, 14].
The ability of tritylium ions to oxidize organic compounds by hydride abstraction opens a reaction channel that may compete with carbon–carbon bond formation. Reetz and co-workers have shown that arenocyclohexanone-derived silyl enol ethers efficiently undergo hydride transfer with subsequent desilylation and aromatization when treated with tritylium salts [15] (Fig. 5a). Analogously, the reaction of 1-morpholino-cyclohexene with Ph3C+ BF4– resulted in the formation of an α,β-unsaturated iminium ion instead of an addition of the trityl group to the 2-position of the enamine [16] (Fig 5b).
![Fig. 5:
Oxidations of silyl enol ethers and enamines through hydride abstraction by tritylium ions [15, 16].](/document/doi/10.1515/pac-2014-1116/asset/graphic/j_pac-2014-1116_fig_005.jpg)
Oxidations of silyl enol ethers and enamines through hydride abstraction by tritylium ions [15, 16].
The successful application of benzhydrylium ions and structurally related quinone methides for the construction of comprehensive reactivity scales on the basis of the linear free energy relationship (1) [17–19] has been reviewed elsewhere [20–25].
In eq. (1), the second-order rate constants k(20 °C) of electrophile-nucleophile combinations are described by three parameters: the electrophile-dependent reactivity parameter E (electrophilicity) and the nucleophile- and solvent-dependent parameters N (nucleophilicity) and sN (sensitivity of the nucleophile towards changes in the electrophilicity of the reaction partner).
Steric effects are not explicitely considered in eq. (1) that is based on a series of benzhydrylium ions Ar2CH+ as reference electrophiles [19]. Consequently, the linear energy relationship (1) cannot unrestrictedly be employed for reactions of bulky substrates, such as Ar3C+. In addition, ambident properties as well as hydride transfer reactions complicate the kinetics of the reactions of tritylium ions with π-nucleophiles. It has, therefore, repeatedly been recommended that tritylium ions should not be used as reference electrophiles for the determination of nucleophilic reactivities [20, 26].
Reactions of n-nucleophiles with benzhydrylium and tritylium ions
Ritchie had shown that tritylium ions can be used side-by-side with other types of reference electrophiles (tropylium and diazonium ions) to characterize the reactivities of water, alcohols, alkoxide anions, thiolates, and amines [27, 28]. Due to the negligible steric effects in reactions of electrophiles with these types of n-nucleophiles, the Ritchie eq. (2) allowed calculating rate constants from only two parameters: N+ describes the reactivity of a certain nucleophile while log k0 is the rate constant of the reaction of a certain electrophile with water.
Later, Minegishi and Mayr linked those nucleophiles, which were initially studied by Ritchie, to the linear free energy relationship (1) that is based on the benzhydrylium method [29]. Because of the linear correlations that were obtained when plotting the rate constants for reactions of Ritchie’s nucleophiles with benzhydrylium ions against the electrophiliticites E of Ar2CH+, it was possible to determine sN and N parameters of 15 n-nucleophiles (Fig. 6). In turn, substitution of these N, sN values and the rate constants tabulated by Ritchie for the reactions of these 15 nucleophiles with tritylium ions into eq. (1) provided electrophilicity parameters E for several tritylium ions Ar3C+ [29]. As previously discussed in [29] and in the section above, the E(Ar3C+) parameters that were derived from reactions towards n-nucleophiles must not be used for reactions of tritylium ions with π-nucleophiles. It should also be mentioned that aromatic nucleophilic substitution of alkoxy groups in ortho- or para-positions of tritylium ions by amines, alcohols, hydroxide ions or malononitrile anions cannot be treated by eq. (1) [30–33]. However, the E values of the tritylium ions were found to be useful for determining the N and sN values of further 20 n-nucleophiles (primary amines, hydrazines, methanol, alkoxide and thiolate anions, CN–), for which kinetic data had previously been reported by Ritchie [27–29].
![Fig. 6:
Nucleophilic reactivities of n-nucleophiles towards benzhydrylium ions were used to calculate E parameters for tritylium ions (data from [29]; correlation for H2O not shown).](/document/doi/10.1515/pac-2014-1116/asset/graphic/j_pac-2014-1116_fig_006.jpg)
Nucleophilic reactivities of n-nucleophiles towards benzhydrylium ions were used to calculate E parameters for tritylium ions (data from [29]; correlation for H2O not shown).
Reactions of hydride donors with benzhydrylium and tritylium ions [34]
Many examples for hydride transfer reactions from organic molecules to carbocations are known [15, 16, 35–40]. These carbocation-induced oxidations have been used, for example, for the preparation of metal-complexed cationic π-systems [41–47], silylium ions [48, 49], polycyclic aromatic compounds [50], and the oxidative α-functionalizations of amines, amides and ethers [51–53]. The oxidative coupling of indoles and anilines with the triarylcarbenium dye tris(2,6-dimethoxyphenyl)carbenium tetrafluoroborate comprises a nucleophilic aromatic para-attack that is followed by an oxidation through hydride transfer. With the triarylcarbenium dye acting in a dual role both as an electrophile and an oxidant, these formal substitutions of a para hydrogen atom of the tritylium ion by indoles or anilines yielded cationic dyes with extended π-systems [54].
Systematic kinetic studies of hydride transfer abstractions by benzhydrylium ions Ar2CH+ had shown that the linear free energy relationship (1) was also applicable for characterizing hydride donor abilities. By using the benzhydrylium method, it was possible to determine the nucleophilicity parameter N (and sN) of various classes of hydride donors, including hydrocarbons, silanes, stannanes, borohydrides and dihydropyridines [19, 55–59].
The majority of the kinetic data for hydride transfer reactions, which are available in the literature, have been based on reactions with trityl cations as oxidants. While hydride is generally transferred to the central carbon of tritylium ions, in few cases hydrogen transfer to ring sites has also been observed [60]. With the goal to include these rate constants in Mayr’s comprehensive nucleophilicity scale, we have compared 108 measured rate constants of hydride abstractions by tritylium ions with rate constants calculated by using eq. (1) and the E parameters of Ar3C+ derived from their reactions with n-nucleophiles (see previous Section) [26, 29]. The diagonal in Fig. 7 represents the perfect match of calculated and measured rate constants [34]. The fact, that most of the measured rate constants are located below this diagonal can be rationalized by the fact that hydride transfers are more strongly affected by the steric demand of tritylium ions than the reactions of alcohols and primary amines, which were used to calibrate the electrophilicity parameters E of tritylium ions. The agreement of experimental and calculated rate constants is nevertheless satisfactory. While 72 % of the data points agree within one order of magnitude (thin lines in Fig. 7), only four of the measured rate constants deviate by more than a factor of 50. Cycloheptatriene and the [BH4]– ion, both of which have been reported to transfer ca. 10 % of their hydrides to the aromatic ring sites of (C6D5)3C+ [60], do not deviate significantly from the diagonal (maximum deviation for reactions in CH2Cl2: a factor of 5.6 [34]), which shows that the ambident behavior of tritylium ions can be neglected when constructing a reactivity scale for hydride donors that covers several orders of magnitude.
![Fig. 7:
Comparison of measured and calculated [by eq. (1)] rate constants for hydride transfer reactions to tritylium ions (with data from Table 6 of [34]).](/document/doi/10.1515/pac-2014-1116/asset/graphic/j_pac-2014-1116_fig_007.jpg)
Comparison of measured and calculated [by eq. (1)] rate constants for hydride transfer reactions to tritylium ions (with data from Table 6 of [34]).
Hence, the analysis of the data in Fig. 7 suggested that the same set of N and sN parameters of hydride donors can be used for the oxidations by benzhydrylium and tritylium ions. Because the data in Fig. 7 provided evidence that eq. (1) could be applied for hydride abstractions by tritylium ions, rate constants from the literature were used to estimate further nucleophilicities N of hydride donors. As a result of the combined use of benzhydrylium and tritylium ions, a comprehensive hydride donor ability scale could be constructed that comprises 173 hydride donors and spans over more than 20 orders of reactivity (Fig. 8) [34].
![Fig. 8:
The comprehensive reactivity scale for hydride donors is based on hydride abstractions by both benzhydrylium and tritylium ions [34].](/document/doi/10.1515/pac-2014-1116/asset/graphic/j_pac-2014-1116_fig_008.jpg)
The comprehensive reactivity scale for hydride donors is based on hydride abstractions by both benzhydrylium and tritylium ions [34].
Ambident reactivities of anions generated from 5-benzylated Meldrum’s acids
The carbanions 1, that are generated by deprotonation of 5-benzylated Meldrum’s acids, are ambident nucleophiles that can react with carbocations through three reaction paths: (1) C–C bond formation by attack of the electrophile at C-5, (2) C–O bond formation by attack at the enolate oxygen atom, or (3) by oxidation through hydride transfer from the β-position of the carbanion to the carbocation (Fig. 9). Studying the reactivity of these carbanions might therefore be challenging and require more than one set of reference electrophiles.

Possible reactivities of carbanions derived from 5-benzylated Meldrum’s acids.
As the sterically more demanding tritylium ions Ar3C+ cannot attack at C-5 of the carbanions 1, benzhydrylium ions were used for the determination of the C-reactivity of 1. Product studies showed selective C–C bond formation between the carbanions 1 and benzhydrylium ions of widely different electrophilicity (from E = –7.02 to 0.00) [61]. The decay of the Ar2CH+ absorbances in the presence of an excess of the carbanions 1 followed a mono-exponential function. The first-order rate constants thus obtained depended linearly on the nucleophile concentration [1] and yielded the second-order rate constants kC for the C-5 attack. In accord with eq. (1), the kC values for a certain carbanion 1 correlated linearly with the electrophilicities E of the employed benzhydrylium ions (Fig. 10), which allowed the determination of N and sN for the carbanions’ C-nucleophilicities [61]. Interestingly, the benzylation at C-5 has little effect on the C-reactivity of these carbanions, as they have N values similar to that of the carbanion derived from the parent Meldrum’s acid (in DMSO: N = 13.91, sN = 0.86 [18]).
![Fig. 10:
Determination of the C-reactivity of the carbanions 1 by the benzhydrylium method [61].](/document/doi/10.1515/pac-2014-1116/asset/graphic/j_pac-2014-1116_fig_010.jpg)
Determination of the C-reactivity of the carbanions 1 by the benzhydrylium method [61].
UV-vis spectroscopic monitoring of the reactions of moderately reactive tritylium ions (E< –2) with the carbanions 1 showed that the decrease of the tritylium absorbance was accompanied by a simultaneous increase of an absorption that was assigned to the formation of 5-benzylidene Meldrum’s acids. 1H NMR spectroscopic investigations confirmed that the reaction of carbanions 1 with tritylium ions formed selectively the products of hydride transfer. As the kinetics of the hydride transfer reactions followed a second-order rate law and the second-order rate constants log kH for the β-hydride transfer correlated linearly with the electrophilicity E of the employed tritylium ions, the hydride donating ability of the carbanions 1 could be analyzed by eq. (1) and expressed by N and sN parameters (Fig. 11) [61].
![Fig. 11:
Determination of the hydride donor abilities of the carbanions 1 by using tritylium ions as reference electrophiles [61].](/document/doi/10.1515/pac-2014-1116/asset/graphic/j_pac-2014-1116_fig_011.jpg)
Determination of the hydride donor abilities of the carbanions 1 by using tritylium ions as reference electrophiles [61].
The reactions of carbanions 1 with tritylium ions of higher electrophilicity (E > –2) showed a different behavior, however: A fast initial decay of the absorbance of the tritylium ions was followed by a slower reaction, which slowly generated the unsaturated benzylidene Meldrum’s acids. This slow process was independent of the concentration of the carbanions 1. These observations led us to propose that highly reactive tritylium ions attack the oxygen atom of the carbanions 1 under conditions of kinetic control (Fig. 12) [61]. The O-attack of a trityl cation at the enolate is fast but reversible, and the backward reaction generates small concentrations of the tritylium ions that slowly oxidize 1 to the finally observed, thermodynamically preferred products of hydride transfer. Equilibrium constants for the O-attack, KO, have been calculated to be in the range from 0.7 to 12 × 105 L mol–1 (acetonitrile, 20 °C) [61]. As the subsequent hydride transfer occurs on the minute time scale at 20 °C, low temperature NMR techniques were required to characterize the O-adducts spectroscopically. At –20 °C, the life-time of the O-adduct 2 was sufficiently long to record 1H and 13C NMR spectra that provided evidence for the structure of the colorless transient species that forms under kinetic control [61].
![Fig. 12:
Mechanistic scenario for the reactions of highly reactive tritylium ions (E > –2) with the carbanions 1 [61].](/document/doi/10.1515/pac-2014-1116/asset/graphic/j_pac-2014-1116_fig_012.jpg)
Mechanistic scenario for the reactions of highly reactive tritylium ions (E > –2) with the carbanions 1 [61].
Conclusion and outlook
Nucleophilicity scales for π-nucleophiles, aqueous or alcoholic solvent mixtures, amines, alkoxides and hydride donors that are based on eq. (1) rely on a set of structurally similar benzhydrylium ions (Ar2CH+) as reference electrophiles [19–25, 34, 62–68]. Because of the modest steric demand of the central carbon of Ar2CH+, these electrophiles are reliable model compounds for most other classes of synthetically relevant C-electrophiles [20, 21].
The rates of the reactions of nucleophiles with tritylium ions (Ar3C+), on the other hand, are strongly affected by steric strain that is generated during the approach to the central carbon of Ar3C+. Increasing substitution of π-systems, therefore, triggers significant reductions in the reaction rate towards the central carbon atom and eventually gives rise to alternative reaction pathways, such as the para-attack at the aromatic rings of the tritylium ions.
By tolerating an error limit of 1–2 orders of magnitude, steric factors can usually be neglected when applying eq. (1). In reactions of tritylium ions with π-nucleophiles differences in steric strain become so large that they are not any longer negligible, and instead of extending eq. (1) by a steric parameter, it was recommended not to use eq. (1) for reactions of bulky reagents, for example, reactions of tritylium ions with π-nucleophiles [20, 26, 29].
It has been shown, however, that the same E parameters of tritylium ions that were derived from their reactions with n-nucleophiles could also be used for hydride transfer reactions [26, 29, 58]. Kinetic data that were obtained by the benzhydrylium method could, therefore, be supplemented by literature data for hydride transfer reactions towards tritylium ions. This approach generated a remarkable body of rate constants that served for the construction of a comprehensive hydride donor ability scale [34].
Though it was not possible to determine the O-reactivity of carbanions derived from 5-substituted Meldrum’s acids (1) with our methods, the different sensitivity of the two sets of reference electrophiles for steric effects was beneficially employed for the characterization of two different types of reactivities of these ambident nucleophiles: Benzhydrylium ions detected the C-nucleophilicity while tritylium ions acted as oxidants and provided information about the hydride donating abilities of the carbanions 1 [61]. Both reactivity studies would become infeasible when the sets of reference electrophiles were mutually interchanged. It is expected that multiple reactivities of further classes of nucleophiles can be assessed by using Ar2CH+ and Ar3C+ as complementary reference electrophiles in kinetic studies.
Article note
A collection of invited papers based on presentations at the 22nd IUPAC International Conference on Physical Organic Chemistry (ICPOC-22), Ottawa, Canada, August 10–15, 2014.
Acknowledgments
Generous support by Prof. Dr. H. Mayr and the Deutsche Forschungsgemeinschaft (SFB 749, project B1) is gratefully acknowledged.
References
[1] J. P. Richard, T. L. Amyes, S. S. Lin, A. C. O’Donoghue, M. M. Toteva, Y. Tsuji, K. B. Williams. Adv. Phys. Org. Chem. 35, 67 (2000).10.1016/S0065-3160(00)35012-2Suche in Google Scholar
[2] R. A. McClelland. Carbocations. In Reactive Intermediate Chemistry, R. A. Moss, M. S. Platz, M. Jones, Jr. (Eds.), pp. 3–40, Wiley, Hoboken (N.J.) (2004).10.1002/0471721492.ch1Suche in Google Scholar
[3] R. More O’Ferrall. Adv. Phys. Org. Chem. 44, 19 (2010).Suche in Google Scholar
[4] H. Mayr, A. R. Ofial, H. Schimmel. Macromolecules38, 33 (2005).10.1021/ma048389oSuche in Google Scholar
[5] J. Ammer, H. Mayr. Macromolecules43, 1719 (2010).10.1021/ma9024569Suche in Google Scholar
[6] A. Oehlke, A. A. Auer, K. Schreiter, K. Hofmann, F. Riedel, S. Spange. J. Org. Chem. 74, 3316 (2009).10.1021/jo9000383Suche in Google Scholar
[7] G. A. Olah. J. Org. Chem. 66, 5943 (2001).10.1021/jo010438xSuche in Google Scholar PubMed
[8] P. J. Stang. Historical Perspective. In Carbocation Chemistry, G. A. Olah, G. K. S. Prakash (Eds.), pp. 1–6. Wiley, Hoboken (2004).10.1002/9780471678656.ch1Suche in Google Scholar
[9] R. R. Naredla, D. A. Klumpp. Chem. Rev. 113, 6905 (2013).10.1021/cr4001385Suche in Google Scholar
[10] J. P. Dau-Schmidt, H. Mayr. Chem. Ber. 127, 205 (1994).10.1002/cber.19941270129Suche in Google Scholar
[11] C. Schade, H. Mayr. Makromol. Chem. Rapid Commun. 9, 477 (1988).10.1002/marc.1988.030090705Suche in Google Scholar
[12] H. Mayr, M. Breugst, A. R. Ofial. Angew. Chem. Int. Ed. 50, 6470 (2011).10.1002/anie.201007100Suche in Google Scholar
[13] R. Heck, P. S. Magee, S. Winstein. Tetrahedron Lett. 5, 2033 (1964).10.1016/S0040-4039(00)75137-9Suche in Google Scholar
[14] S. Fukuzumi, K. Ohkubo, J. Otera. J. Org. Chem. 66, 1450 (2001).10.1021/jo005733gSuche in Google Scholar
[15] M. T. Reetz, W. Stephan. Liebigs Ann. Chem. 533 (1980).10.1002/jlac.198019800407Suche in Google Scholar
[16] M. T. Reetz, W. Stephan, W. F. Maier, Synth. Commun. 10, 867 (1980).10.1080/00397918008062771Suche in Google Scholar
[17] H. Mayr, M. Patz. Angew. Chem. Int. Ed. Engl. 33, 938 (1994).10.1002/anie.199409381Suche in Google Scholar
[18] R. Lucius, R. Loos, H. Mayr, Angew. Chem. Int. Ed. 41, 91 (2002).10.1002/1521-3773(20020104)41:1<91::AID-ANIE91>3.0.CO;2-PSuche in Google Scholar
[19] H. Mayr, T. Bug, M. F. Gotta, N. Hering, B. Irrgang, B. Janker, B. Kempf, R. Loos, A. R. Ofial, G. Remennikov, H. Schimmel. J. Am. Chem. Soc. 123, 9500 (2001).10.1021/ja010890ySuche in Google Scholar
[20] H. Mayr, B. Kempf, A. R. Ofial. Acc. Chem. Res. 36, 66 (2003).10.1021/ar020094cSuche in Google Scholar
[21] H. Mayr, A. R. Ofial. Electrophilicity Scales for Carbocations. In Carbocation Chemistry, G. A. Olah, G. K. S. Prakash (Eds.), pp. 331–358, Wiley, Hoboken (N.J.) (2004).10.1002/9780471678656.ch13Suche in Google Scholar
[22] H. Mayr, A. R. Ofial. Pure Appl. Chem. 77, 180 (2005).10.1351/pac200577111807Suche in Google Scholar
[23] H. Mayr, A. R. Ofial. J. Phys. Org. Chem. 21, 584 (2008).10.1002/poc.1325Suche in Google Scholar
[24] H. Mayr, S. Lakhdar, B. Maji, A. R. Ofial. Beilstein J. Org. Chem. 8, 1458 (2012).10.3762/bjoc.8.166Suche in Google Scholar
[25] A database of reactivity parameters E, N, and sN is accessible at <http://www.cup.lmu.de/oc/mayr/DBintro.html>.Suche in Google Scholar
[26] M. Horn, H. Mayr. J. Phys. Org. Chem. 25, 979 (2012).10.1002/poc.2979Suche in Google Scholar
[27] C. D. Ritchie. Acc. Chem. Res.5, 348 (1972).10.1021/ar50058a005Suche in Google Scholar
[28] C. D. Ritchie. Can. J. Chem. 64, 2239 (1986).10.1139/v86-370Suche in Google Scholar
[29] S. Minegishi, H. Mayr, J. Am. Chem. Soc. 125, 286 (2003).10.1021/ja021010ySuche in Google Scholar
[30] M. Wada, T. Watanabe, S. Natsume, H. Mishima, K. Kirishima, T. Erabi. Bull. Chem. Soc. Jpn. 68, 3233 (1995).10.1246/bcsj.68.243Suche in Google Scholar
[31] B. W. Laursen, F. C. Krebs, M. F. Nielsen, K. Bechgaard, J. B. Christensen, N. Harrit. J. Am. Chem. Soc. 120, 12255 (1998).10.1021/ja982550rSuche in Google Scholar
[32] B. W. Laursen, F. C. Krebs. Angew. Chem. Int. Ed.39, 3452 (2000).10.1002/1521-3773(20001002)39:19<3432::AID-ANIE3432>3.0.CO;2-SSuche in Google Scholar
[33] G. Dyker, M. Hagel, O. Muth, C. Schirrmacher. Eur. J. Org. Chem. 2134 (2006).10.1002/ejoc.200600002Suche in Google Scholar
[34] M. Horn, L. H. Schappele, G. Lang-Wittkowski, H. Mayr, A. R. Ofial. Chem. Eur. J. 19, 249 (2013).10.1002/chem.201202839Suche in Google Scholar
[35] N. G. Connelly, W. E. Geiger. Chem. Rev.96, 877 (1996).10.1021/cr940053xSuche in Google Scholar
[36] For oxidations of tertiary amines by carbocations see [37–40].Suche in Google Scholar
[37] R. Damico, C. D. Broaddus. J. Org. Chem.31, 1607 (1966).10.1021/jo01343a068Suche in Google Scholar
[38] H. Volz, H. H. Kiltz. Tetrahedron Lett. 11, 1917 (1970).10.1016/S0040-4039(01)98117-1Suche in Google Scholar
[39] H. Volz, H. H. Kiltz. Liebigs Ann. Chem. 752, 86 (1971).10.1002/jlac.19717520112Suche in Google Scholar
[40] N. N. Bychkov, V. V. Milakov, D. V. Lavrov, B. I. Stepanov. J. Org. Chem. USSR.23, 1362 (1987).Suche in Google Scholar
[41] For selected examples, see [42–47].Suche in Google Scholar
[42] E. O. Fischer, R. D. Fischer. Angew. Chem.72, 919 (1960).10.1002/ange.19600722313Suche in Google Scholar
[43] H. J. Dauben Jr., D. J. Bertelli. J. Am. Chem. Soc. 83, 497 (1961).10.1021/ja01463a065Suche in Google Scholar
[44] T. H. Whitesides, R. A. Budnik. Inorg. Chem.14, 664 (1975).10.1021/ic50145a046Suche in Google Scholar
[45] D. Magdziak, L. H. Pettus, T. R. R. Pettus. Org. Lett. 3, 557 (2001).10.1021/ol006963kSuche in Google Scholar
[46] E. Bjurling, U. Berg, C. M. Andersson. Organometallics21, 1583 (2002).10.1021/om011016gSuche in Google Scholar
[47] C. Shu, L. S. Liebeskind. J. Am. Chem. Soc.125, 2878 (2003).10.1021/ja029537ySuche in Google Scholar
[48] A. Schäfer, M. Reißmann, A. Schäfer, W. Saak, D. Haase, T. Müller. Angew. Chem. Int. Ed.50, 12636 (2011).10.1002/anie.201106582Suche in Google Scholar
[49] A. Schulz, A. Villinger. Angew. Chem. Int. Ed. 51, 4526 (2012).10.1002/anie.201108320Suche in Google Scholar
[50] P. P. Fu, R. G. Harvey. Chem. Rev. 78, 317 (1978).10.1021/cr60314a001Suche in Google Scholar
[51] J. M. Allen, T. H. Lambert. J. Am. Chem. Soc. 133, 1260 (2011).10.1021/ja109617ySuche in Google Scholar
[52] Z. Xie, L. Liu, W. Chen, H. Zheng, Q. Xu, H. Yuan, H. Lou. Angew. Chem. Int. Ed. 53, 3904 (2014).10.1002/anie.201310193Suche in Google Scholar
[53] M. Wan, Z. Meng, H. Lou, L. Liu. Angew. Chem. Int. Ed. 53, 13845 (2014).10.1002/anie.201407083Suche in Google Scholar
[54] R. Vanel, F. A. Miannay, E. Vauthey, J. Lacour. Chem. Commun. 50, 12169 (2014).10.1039/C4CC05193ASuche in Google Scholar
[55] H. Mayr, N. Basso, G. Hagen. J. Am. Chem. Soc. 114, 3060 (1992).10.1021/ja00034a044Suche in Google Scholar
[56] H. Mayr, G. Lang, A. R. Ofial. J. Am. Chem. Soc. 124, 4076 (2002).10.1021/ja0121538Suche in Google Scholar
[57] D. Richter, Y. Tan, A. Antipova, X. Q. Zhu, H. Mayr. Chem. Asian J. 4, 1824 (2009).10.1002/asia.200900322Suche in Google Scholar
[58] D. Richter, H. Mayr, Angew. Chem. Int. Ed. 48, 1958 (2009).10.1002/anie.200804263Suche in Google Scholar
[59] J. Ammer, C. Nolte, H. Mayr. J. Am. Chem. Soc. 134, 13902 (2012).10.1021/ja306522bSuche in Google Scholar
[60] G. A. Olah, J. J. Svoboda. J. Am. Chem. Soc. 95, 3794 (1973).10.1021/ja00792a054Suche in Google Scholar
[61] X. Chen, Y. Tan, G. Berionni, A. R. Ofial, H. Mayr. Chem. Eur. J. 20, 11069 (2014).10.1002/chem.201403161Suche in Google Scholar
[62] S. Minegishi, S. Kobayashi, H. Mayr. J. Am. Chem. Soc. 126, 5174 (2004).10.1021/ja031828zSuche in Google Scholar
[63] F. Brotzel, Y. C. Chu, H. Mayr. J. Org. Chem. 72, 367 (2007).10.1021/jo062586zSuche in Google Scholar
[64] T. Kanzian, T. A. Nigst, A. Maier, S. Pichl, H. Mayr. Eur. J. Org. Chem. 637 (2009).10.1002/ejoc.200900925Suche in Google Scholar
[65] J. Ammer, M. Baidya, S. Kobayashi, H. Mayr. J. Phys. Org. Chem. 23, 102 (2010).10.1002/poc.1707Suche in Google Scholar
[66] T. A. Nigst, A. Antipova, H. Mayr. J. Org. Chem. 77, 8142 (2012).10.1021/jo301497gSuche in Google Scholar
[67] T. B. Phan, H. Mayr. Can. J. Chem. 83, 1554 (2005).10.1139/v05-170Suche in Google Scholar
[68] For a Lewis basicity scale that is based on benzhydrylium ions as Lewis acids, see: H. Mayr, J. Ammer, M. Baidya, B. Maji, T. A. Nigst, A. R. Ofial, T. Singer. J. Am. Chem. Soc. doi: 10.1021/ja511639b (2015).10.1021/ja511639bSuche in Google Scholar PubMed
©2015 IUPAC & De Gruyter
Artikel in diesem Heft
- Frontmatter
- Preface
- 22nd IUPAC International Conference on Physical Organic Chemistry (ICPOC-22)
- Conference papers
- Benzhydrylium and tritylium ions: complementary probes for examining ambident nucleophiles
- Catalyzing decarboxylation by taming carbon dioxide
- Mechanistic insights from mass spectrometry: examination of the elementary steps of catalytic reactions in the gas phase
- Nitrosyl–heme and anion–arene complexes: structure, reactivity and spectroscopy
- Gas-phase studies of metal catalyzed decarboxylative cross-coupling reactions of esters
- Wettability of organically coated tridymite surface – molecular dynamics study
- Asymmetric calixarene derivatives as potential hosts in chiral recognition processes
- Erratum
- Erratum to: Nomenclature and graphic representations for chemically modified polymers (IUPAC Recommendations 2014)
Artikel in diesem Heft
- Frontmatter
- Preface
- 22nd IUPAC International Conference on Physical Organic Chemistry (ICPOC-22)
- Conference papers
- Benzhydrylium and tritylium ions: complementary probes for examining ambident nucleophiles
- Catalyzing decarboxylation by taming carbon dioxide
- Mechanistic insights from mass spectrometry: examination of the elementary steps of catalytic reactions in the gas phase
- Nitrosyl–heme and anion–arene complexes: structure, reactivity and spectroscopy
- Gas-phase studies of metal catalyzed decarboxylative cross-coupling reactions of esters
- Wettability of organically coated tridymite surface – molecular dynamics study
- Asymmetric calixarene derivatives as potential hosts in chiral recognition processes
- Erratum
- Erratum to: Nomenclature and graphic representations for chemically modified polymers (IUPAC Recommendations 2014)