Abstract
Interpenetrating polymer network (IPN) hydrogels brought distinct benefits compared to single network hydrogels like more widely controllable physical properties, and (frequently) more efficient drug loading/release. However, IPN strategy is not sufficient to design hydrogels with enhanced mechanical properties required for regenerative medicine like replacement of natural cartilage or artificial cornea. Some of the novel techniques promoted last decade for the preparation of IPN hydrogels which fulfill these requirements are discussed in the review. Among them, “double network” strategy had a strong contribution in the development of a large variety of hydrogels with spectacular mechanical properties at water content up to 90 %. Using cryogelation in tandem with IPN strategy led to composite cryogels with high mechanical properties and high performances in separation processes of ionic species. Highly stretchable and extremely tough hydrogels have been obtained by combining a covalently cross-linked synthetic network with an ionically cross-linked alginate network. IPN hydrogels with tailored mesh size have been also reported.
Introduction
Interpenetrating polymer networks (IPNs) consists of two (or more) networks, at least one of them being synthesized and/or cross-linked within the immediate presence of the other, without any covalent bonds between them, which cannot be separated unless chemical bonds are broken [1–3]. IPNs have been developed with the aim to improve at least one property of the constituent networks. The types of IPN significant for this review are: (i) simultaneous IPN, when both network precursors are mixed and the two networks are synthesized at the same time by independent, noninterfering routes such as chain and stepwise polymerization, and (ii) sequential IPN, typically performed by swelling of a single network into a solution containing the mixture of monomer, initiator and activator, with or without a cross-linker [1–3]. If a cross-linker is present, fully-IPN is produced, while in the absence of a cross-linker, a network having linear polymers embedded within the first network is formed (semi-IPN or pseudo-IPN). Various combinations of polymers and nomenclature of IPN have been presented in detail by Sperling in his reviews [1–3]. The networks which constitute the IPN can be identical, i.e., homo-IPN, or different, hetero-IPN. The homo-IPN has been described for the first time by Millar who prepared sequential IPN by polymerization of styrene (St) and divinylbenzene (DVB) as the 2nd network, in a 1st prepared network constituted from the same monomers, with the aim to improve the ion exchange performances of the St-DVB based ion exchangers [4]. Most IPNs involve immiscible components, the extent of phase separation being restricted due to their interlocking configuration [5]. Heterogeneities have been observed even in the polystyrene/polystyrene homo-IPN, being attributed by Zheng et al. to the interactions between swollen network I and the precursors of the network II due to the hydrodynamic screening and architectural asymmetry [6]. Both homo- and hetero-IPN have various applications as ion exchangers [4], ion exchange [7] and proton conductive [8, 9] membranes, pervaporation membranes [10], artificial teeth [11], scratch resistant coatings [12] and so on.
Hydrogels are three-dimensional, hydrophilic, polymeric networks capable to retain large amounts of water, or biological fluids, have a soft and rubbery consistence, being thus similar with living tissues [13–19]. The physical integrity of a swollen hydrogel is maintained by chemical cross-linking, physical entanglements, ionic complexation, hydrophobic interactions, and hydrogen bonds. “Smart” hydrogels change their volume/shape in response to small alterations of the external stimuli like: temperature, pH, ionic strength, electric field, magnetic field, light, etc. [16, 17, 20–22]. Because of their particular properties, hydrogels have numerous applications, such as: soft contact lenses, drug delivery systems, bioseparation, tissue engineering, wound dressing, biosensors, wastewaters remediation, stabilization of sandy soils, etc. However, single-network hydrogels have weak mechanical properties and slow response at swelling. By the IPN strategy, relatively dense hydrogel matrices can be produced, which feature stiffer and tougher mechanical properties, more widely controllable physical properties, and (frequently) more efficient drug loading/release compared to single-network hydrogels [16–18, 22–24].
Overview on the synthesis and applications of IPN hydrogels
The main classes of polymers, which have been employed for the formation of IPN hydrogels, are natural polymers and their derivatives (polysaccharides and proteins), and synthetic polymers containing hydrophilic functional groups such as: -COOH, -OH, -CONH2, SO3H, amines and R4N+, ether, etc. There are various possibilities to combine the polymers in order to prepare composite IPN hydrogels, the main categories being summarized as follows:
only synthetic hydrophilic polymers
proteins and synthetic polymers
polysaccharides and synthetic polymers.
Composite IPN hydrogels based on polysaccharides and synthetic polymers are maybe the most investigated category, and could be roughly divided in:
alginate based composite IPN hydrogels
chitosan based composite IPN hydrogels, where chitosan is combined with either other polysaccharides or synthetic polymers
other polysaccharides and synthetic polymers.
Table 1 presents IPN hydrogels synthesized in the last decade with demonstrated or potential applications, specified by the authors.
Overview on the synthesis strategy and applications of IPN hydrogels.
| IPN Hydrogel/responsivity | Synthesis strategy | Applications | Refs. |
|---|---|---|---|
| Homo-IPN | |||
| Poly(acrylamide) | Semi-IPN | [25] | |
| Poly(2-hydroxyethyl methacrylate) | Full-IPN, sequential | Contact lenses | [26] |
| Hetero-IPN | |||
| Only synthetic polymers | |||
| PEG/PHEMA | Semi-IPN | Blood protein adsorption | [27] |
| Free radical/cationic photopolymerization of AMPS and triethylene glycol divinyl ether (DVE-3) | Full-IPN, simultaneous | Removal of heavy metal ions | [28] |
| PEG/PAAm | Full-IPN, sequential | Enzyme immobilization | [29] |
| PNIPAAm/PHEMA | Full-IPN, sequential | Sustained drug release | [30] |
| PAAm/polyurethane | Semi-IPN | Biomedical applications | [31] |
| PDMS/P(HEMA-co-DMAA) | Full-IPN, sequential | Biomedical applications | [32] |
| Free radical/cationic photopolymerization of PEG-DA/vinyl ether terminated polydimethylsiloxane macromer VESi) | Full-IPN, simultaneous | Protein repelling hydrogels | [33] |
| PNIPAAm/PVA, temperature responsive | Semi-IPN | Drug delivery and sensors | [34] |
| PAAc/Pluronic F127, pH and temperature responsive | Semi-IPN | Tough hydrogels | [35] |
| PVA/PAAc, pH responsive | Full-IPN, sequential | Study on phase separation | [36] |
| P(VP-co-MAA)/PNIPAAm, pH and temperature responsive | Semi-IPN, sequential | Potential for drug delivery | [37] |
| PASP/PNIPAAm | Full-IPN, sequential | Biomedical applications | [38] |
| P(AAm-co-NaMAA)/PVA | Semi-IPN | Biomedical applications | [39] |
| PAAm/poly(γ-glutamic acid), pH and temperature responsive | Semi-IPN | Biomaterials with antibacterial properties | [40] |
| PAC/PANI, pH and temperature responsive, and high conductivity | Semi-IPN, sequential | Loading/release of methylrosaniline | [41] |
| Segmented polyurethane urea (SPUU)/P(NIPAAm-co-AA-co-BMA) | Semi-IPN, simultaneous and sequential | Drug delivery and wound dressing | [42] |
| PAA/PASP, salt, pH and temperature responsive | Semi-IPN | Potential for biomedical applications | [43] |
| PAA/PVA, molecular imprinting | Semi-IPN | Biomimetic recognition | [44] |
| PAA/PASP | Semi-IPN | Pharmaceutical, agricultural, and biomedical applications | [45] |
| PDEAAm/PDADMAC, pH and temperature responsive | Semi-IPN | Potential for biomedical fields | [46] |
| P(3-acrylamidephenylboronic acid-co-DMAEM)/(β-CD-EPI) | Semi-IPN | Controlled drug delivery | [47] |
| P(AAm-co-HEMA)/P(AN-co-4-VPy) | Hydrogel/nanogel semi-IPN | Drug delivery and antibacterial properties | [48] |
| PDEAAm/PDMAEM, thermo- and pH responsive | Semi-IPN | Aminophylline loading and release | [49] |
| PVA/PAH and P(VA-co-AMPS) | Semi-IPN | Mosaic membranes for desalination of salt waters | [50] |
| PAAm/PVA | Semi-IPN | Biomedical applications | [51] |
| PAA/PDADMAC, pH responsive | Semi-IPN | Materials with high salt resistance | [52] |
| PEG-DA/PMAA | Full-IPN, sequential | Removal of heavy metals | [53] |
| Protein based IPN hydrogels | |||
| P(VP-co-AA)/GE | Full-IPN | Potential for wound dressing | [54] |
| Poly(lactide-co-ethylene oxide fumarate) (PLEOF)/GE | Semi-IPN | Bone tissue engineering | [55] |
| PEG-DA/GE nanofibers | Semi-IPN | Oral mucosal drug delivery | [56] |
| GE-MA/SF | Full-IPN, sequential | Tissue engineering | [57] |
| Collagen/HA | Semi-IPN and full-IPN | Regenerative medicine | [58] |
| PNIPAAm/soy protein | Semi-IPN | Protein release | [59] |
| GE-MA/polyurethane elastomer (HydroThaneTM) | Full-IPN, simultaneous | Wound dressing applications | [60] |
| PNIPAAm/SF | Full-IPN, sequential | Improving deswelling kinetics of PNIPAAm | [61] |
| PAAm/SF | Semi-IPN | Controlled drug release | [62] |
| PVAMA/SF | Semi-IPN | Drug delivery | [63] |
| PMAA/silk sericin, pH responsive | Full-IPN, simultaneous | Protein release | [64] |
| PEODM/fibrin | Semi-IPN | Biomaterials for cell growth | [65] |
| HA/fibrin | Full-IPN | Scaffolds for tissue engineering | [66] |
| Polysaccharide based IPN hydrogels | |||
| P(AM-co-AA)/Alg | Full-IPN, sequential | Drug delivery systems | [67] |
| PVP/NaAlg-g-NaPAA | Semi-IPN | Drug delivery systems | [68] |
| DEX-HEMA/NaAlg | Semi-IPN | Protein delivery | [69] |
| PAAm/NaAlg | Semi-IPN | Drug release | [70] |
| PNIPAAm/NaAlg, multi-responsive | Semi-IPN | Pulsatile on-off swelling drug delivery systems | [71] |
| PNIPAAm/NaAlg | Semi-IPN | Biomedical applications | [72] |
| PNIPAAm/NaAlg, pH and temperature responsive | Semi-IPN | Stimuli responsive drug delivery systems | [73] |
| CaAlg/PNIPAAm, pH and temperature responsive | Semi-IPN | Potential for drug delivery systems | [74] |
| PNIPAAm/NaAlg, pH and temperature responsive | Semi-IPN and full-IPN | Potential for drug delivery systems | [75] |
| PNIPAAm/NaAlg microspheres | Semi-IPN | Controlled release of 5-fluorouracil | [76] |
| PAAm/NaAlg | Semi-IPN | Enzyme immobilization | [77] |
| AAm-g-HEC/CS | Semi-IPN | Controlled release of DS | [78] |
| m-PEG-g-CMCS/NaAlg | Semi-IPN | Oral drug delivery | [79] |
| CS/PANi | Semi-IPN | Microelectronics | [80] |
| CS/PEG | Semi-IPN | Biomedical applications | [81] |
| PAA/(CS + PVP) | Full-IPN, simultaneous | Gastrointestinal drug release | [82] |
| CS/PMAA, pH responsive | Semi-IPN | Drug delivery systems | [83] |
| P(IA-co-MAA)/CS, pH sensitive | Semi-IPN | Oral drug delivery systems | [84] |
| PMAA/CS, pH sensitive | Semi-IPN | Oral insulin delivery | [85] |
| P(AA-co-AAm)/O-CMCS | Semi-IPN, full-IPN, sequential | Peroral delivery of peptides and proteins drugs | [86] |
| P(AA-co-AAm)/O-CMCS | Semi-IPN | Insulin loading and release | [87] |
| P(AA-co-CA)/CS | Semi-IPN | Drug delivery systems | [88] |
| P(AA-co-AAm)/CS | Semi-IPN | Sustained protein release | [89] |
| PDMAEM/CMCS | Semi-IPN | pH/temperature-responsive drug delivery system | [90] |
| P(AAm-co-IA)/CS | Semi-IPN | Drug delivery systems | [91] |
| PAAm/CS | Semi-IPN | Hemoglobin recognition by molecular imprinting | [92] |
| PAAm/CS, and CS nanofibers | Semi-IPN | Biomedical applications | [93] |
| PNIPAAM/CS | Semi-IPN, full-IPN, sequential | Enhanced loading and controlled release of DS | [94] |
| PHEMA/(CS + NaAlg) | Semi-IPN | Antibacterial activity | [95] |
| CS/PEG beads | Semi-IPN | Gastrointestinal drug delivery | [96] |
| Poloxamer/CS | Semi-IPN | Wound dressing applications | [97] |
| PVA/HACC | Semi-IPN | Artificial muscle, actuators | [98] |
| CS/PVA | Semi-IPN, full-IPN, sequential | Potential for biopolymer films | [99] |
| Az-CS/PEG | Semi-IPN | In-situ forming nerve adhesive | [100] |
| CS/PVA | Full-IPN | Potential for gastric retention | [101] |
| PHEMA/CS | Semi-IPN | Electroresponsive hydrogels | [102] |
| PAAm/CS | Semi-IPN, and full-IPN, sequential | Sorption of anionic and cationic dyes | [103] |
| PDMAEM/CMCS, amphoteric hydrogel | Semi-IPN | Potential for pH/temperature responsive drug delivery systems | [90] |
| PAAm/PS | Semi-IPN | Biomaterials or as moisture maintenance materials in agriculture | [104] |
| PAAm/PS | Semi-IPN | Sorption of cationic dyes | [105] |
| Dx-HEMA/HA | Semi-IPN | Biomaterials for bioprinting | [106] |
| PAMPS/HA | Semi-IPN | Electric field-driven actuators | [107] |
| HA/PASP | Semi-IPN | Bioapplications | [108] |
| PNIPAAm/Cel | Semi-IPN | Controlled release systems | [109] |
| GE/CMC | Semi-IPN | Controlled release of ketorolac tromethamine | [110] |
| PAA/CMC | Semi-IPN | Controlled release of tetracyclin | [111] |
| CMC-g-PAA/PVP | Semi-IPN | Water-manageable materials or drug delivery system | [112] |
| PDEAAm/k-carrageenan, fast response at temperature | Semi-IPN | Potential for biomedical applications | [113] |
| PDEAAm/k-carrageenan-g-PMAA, pH and temperature responsive | Semi-IPN | Potential for drug delivery systems | [114] |
| GG/PNIPAAm, temperature and pH responsive | Full-IPN, sequential | Drug delivery systems | [115] |
| PVA-GMA/chondroitin sulfate | Semi-IPN | Drug delivery system or scaffolds in tissue engineering | [116] |
| PAAm/BC | Full-IPN, simultaneous | Controlled drug release | [117] |
| P(DMAAm-co-HEMA)/salecan | Semi-IPN | Degradable and non-toxic | [118] |
| PAAc/(xylan+Fe3O4), pH and magnetic sensitive | Semi-IPN | Protein separation and drug delivery systems | [119] |
Abbreviations: AAm, acrylamide; AAm-g-HEC, acrylamide grafted on hydroxyethylcellulose; AAPBA, 3-acrylamidophenylboronic acid; Alg, alginate; AMPS-2, acrylamido-2-methyl-1-propansulfonic acid; Az-CS, CS modified with 4-azidobenzoic acid; BC, bacterial cellulose; CMCS, carboxymethyl chitosan; CS, chitosan; DMAEM, 2-dimethylaminoethyl methacrylate; DS, diclofenac sodium; Dx, dextran; DxS, dextran sulphate; EPI, epichlorohydrin; GE, gelatin; HA, hyaluronic acid; HACC, 2-hydroxypropyltrimethylammonium chloride chitosan; HEMA, 2-hydroxyethyl methacrylate; IA, itaconic acid; NIPAAm, N-isopropylacrylamide; PAA, poly(acrylic acid); PAAm, poly(acrylamide); PAH, poly(allylamine hydrochloride); PAN, poly(acrylonitrile); PASP, poly(aspartic acid); PDADMAC, poly(diallyldimethylammonium chloride); PDEAAm, poly(N,N-diethylacrylamide); PDMAEM, poly(N,N-dimethylaminoethyl methacrylate); PEG, poly(ethylene glycol); PEG-DA, poly(ethylene glycol) diacrylate; PMAA, poly(methacrylic acid); PMAAm, poly(methacrylamide); PS, potato starch; PVA, poly(vinyl alcohol); PVP, poly(vinylpyrrolidone); SF, silk fibroin.
There are multiple benefits of IPN hydrogels compared with single network hydrogels. A proper selection of the second network or of the entrapped polymer could reduce the deficiencies of the single network. Thus, it was found that the deswelling/reswelling kinetics of the semi-IPN hydrogels based on synthetic polymers was much faster than that of the single-network hydrogels, both for homo-semi-IPN [25] and for hetero-semi-IPN [34, 38, 46]. Generation of temperature responsive swelling properties in semi-IPN hydrogels by entrapping poly(vinylpyrrolidone) (PVP) in a poly[(2-hydroxyethylmethacrylate)-co-itaconic acid] [P(HEMA/IA)] matrix has been recently reported, the single network hydrogel having no thermosensitivity [40]. There are numerous studies focused on the reducing the limitations of hydrogels composed of poly(N-isopropylacrylamide) (PNIPAAm), such as the lack of biocompatibility, deswelling rate, and mechanical properties. Synthesis of multi-responsive IPN composite hydrogels, based on sodium alginate (SA) and PNIPAAm, constitutes one of the strategies adopted by numerous groups to increase the porosity of the gels and thus to achieve gels with a faster response rate as required for applications in the design of drug release systems [61, 71–75]. The loading capacity of the chitosan (CS)/PNIPAAm IPN with diclofenac sodium (DS) increased compared to single network PNIPAAm hydrogel [72]. Semi-IPNs can more effectively maintain rapid kinetic response rates to pH or temperature, the benefits of IPNs in controlled drug delivery like slowing drug release being preserved [18]. Compared to poly(N,N-diethylacrylamide) (PDEAAm) single-network hydrogel, semi-IPN hydrogels having poly(N,N-dimethylaminoethylmethacrylate) (PDMAEM) chains entrapped in PDEAAm network showed a slower drug release rate, which decreased with increasing temperature, thus making them promising candidates for applications in smart drug carriers [49].
The method used for the synthesis of IPN could have also an influence on the swelling kinetics and drug release, a higher thermosensitivity being observed for sequential than for simultaneous semi-IPN, because the sequential strategy allows a better control of the morphology and mechanical properties of the IPN composite hydrogels [42]. The sorption capacity for cationic dyes onto semi-IPN and IPN hydrogels based on poly(vinyl alcohol) (PVA) and poly(AA-co-HEMA) prepared by Mandal et al. was lower on IPN than on semi-IPN, situation attributed to the tighter network structure of the IPN [120]. Semi-IPN hydrogels composed of gelatine (GE) entrapped in CS-g-PAA matrix showed very high sorption capacities for metal ions, and very fast sorption kinetics, the presence of GE having also a positive role in increasing the mechanical strength of the composite hydrogel [121, 122]. Wang et al. reported IPN hydrogels with enhanced adsorption properties for heavy metal ions prepared either simultaneous, by free radical/cationic photopolymerization of 2-acrylamido-2-methyl-1-propansulfonic acid (AMPS) and DVE-3 [28], or sequential, with poly(PEGDA), and PMAA as the two independent networks [53]. Adsorption capacity of the IPN hydrogels for the removal of Cu(II), Cd(II), and Pb(II) has been compared with that of single networks. The sorption equilibrium was very fast compared with the single network hydrogels [28, 53]. The adsorption capacity of simultaneous IPN hydrogels increased with the increase of AMPS content in the IPN hydrogel, for all metal ions [28]. The adsorption capacity of the sequential IPN hydrogels increased with the increase of PMAA content in the IPN hydrogel, a synergistic complexation of metal ions with the two polymer chains being assumed [53].
The imprinting process renders the resulting polymer able to recognize and selectively bind the template in the environment. Both molecular and ion imprinting process have been applied for the preparation of IPN hydrogels with selectivity for certain species. Thus, a novel IPN hydrogel based on poly(acrylic acid (PAA) and PVA, able to recognize 1-(4-methoxyphenyl)5-methyl-1,2,3-triazol-4-carboxylic acid (MMTCA), has been recently reported [44]. The molecular imprinted IPN had good adsorption selectivity of MMTCA and excellent reproducibility. Ion imprinted IPN hydrogels were recently synthesized and evaluated for their capacity to selectively adsorb heavy metal ions. Thus, Liu et al. synthesized an ion-imprinting hydrogel (IIH) via cross-linking of blended CS/PVA with ethyleneglycol diglycidyl ether using uranyl ion as template [123]. The most significant results, which support the advantage of the IIH compared to the non-imprinted hydrogel, consist of the selective adsorption of uranyl ion in a mixture with other heavy metals. A novel thermoresponsive Cu(II) ion-imprinted IPN [Cu(II)-IIH] has been recently reported [124]. The Cu(II)-IIH has been prepared by free radical/cationic polymerization (simultaneous strategy) of NIPAAm and triethyleneglycol divinyl ether using Cu(II) ion as template. The memory was fixed by shrinking the gel above the volume phase transition temperature (VPTT), and was deleted by swelling below the VPTT. The Cu(II)-IIH showed a stronger affinity for Cu(II) ions than for other competing metal ions compared with the non-imprinted IPN hydrogel.
Characterization of IPN hydrogels
Structural parameters
Structural parameters like number average molecular weight between two cross-links, Mc, cross-link density, ρ, and mesh size, ξ, defined as the maximum size of a solute that can diffuse through the network, of single network hydrogels are estimated either from the equilibrium degrees of swelling based on the Flory-Rehner equilibrium swelling theory, or by the mechanical measurements of the elastic modulus, G [15, 125–127]. As with other multicomponent polymeric systems [8], phase separation often accompanies the formation of IPN hydrogels. The phase structure and morphology of IPN hydrogels determine their physical properties and applications, and therefore it is important to control the phase-separated structures in a scale ranging from nano- to micrometer [60]. The extent of phase separation in IPN depends on several factors, some of them being very important: concentration of each polymer component, cross-linking density, and the ratio between components [5, 36, 42]. Cross-linking density strongly influences the phase morphology of IPN owing to the competition between the tendency of phase separation and its limitation by the chemical cross-links [5]. In the case of IPN hydrogels, differential scanning calorimetry (DSC) measurements could evidence two Tgs, with the Tg of individual components often shifted toward each other, this indicating a partial mixing of the networks [128]. Only one Tg has been observed in the case of PNIPAAm/Biomer [copoly(etherurethane-urea)] semi-IPN hydrogels supporting the mixing at molecular level of the components [128]. Thimma Reddy and Takahara have modulated the compatibility between components in a simultaneous IPN by the ratio between components [42]. Hernandez et al. have found experimental Tg values for PAA/PVA IPN hydrogels higher than those calculated based on the weight fractions and the Tg values of the component polymers [36]. At low PVA concentrations, the PVA and PAA in semi-IPN hydrogels have been compatible, but at high concentrations of PVA phase separation occurred [36]. The high Tg values have been ascribed to interactions between the constituent polymers of IPN which act as physical cross-linkers, in consequence reducing the segment mobility. The presence of two peaks in the DSC traces has indicated phase separation in the case of porous P(VP-co-MAA)/PNIPAAm semi-IPN hydrogels [37]. The presence of only one and narrow transition indicates molecular compatibility between chitosan and PVP in the IPN composite beads [129].
However, the evaluation of the structural parameters in a complex system like IPN hydrogels, containing three components (two polymers and water) with their interactions, has been also performed both for semi-IPN [106, 128, 130–133], and full-IPN [29, 134], mainly in the systems with a high level of compatibility, demonstrated by the presence of only one Tg.
Estimation of structural parameters from equilibrium swelling
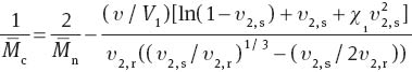
The number average molecular weight between two cross-links, Mc, was calculated with Eq. (1) [15], taking the PEG/PAAm IPN hydrogel as an example [29]:

where:
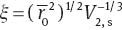
The mesh sizes of the networks, ξ, has been estimated with the Eq. (2) [15]:

using the values of end-to-end distance of the polymer chain in the unperturbed (solvent-free) state calculated with Eq. (3)

where l is the C–C bond length, typically 1.50 Å, Mr is the molecular weight of the repeat unit, and Cn is the Flory characteristic ratio (Cn,PEG = 4.0, Cn,PAAm = 8.5) [29, 126].
Estimation of structural parameters from equilibrium shear modulus
The theory of polymer networks predicts that the equilibrium shear modulus G, for polymer gels obtained by cross-linking copolymerization can be expressed as [127, 133]:

where:


where ρ2—the density of water at room temperature, ρp—the polymer network density (ρp was equal to 1.35 g/cm3 for PAAm gels and 1.25 g/cm3 for semi-IPN PAAm/DxS composite gels), wp—the weight of dry hydrogel, wT,r and wT,s—the total weight of polymer after synthesis and at equilibrium swollen states, respectively.
For homogeneous network of Gaussian chains, the cross-ink density, ve, which is the effective number of flexible network junctions per unit volume (mol/cm3), can be estimated by Eq. (7) [132, 133]:

The values of the structural parameters estimated by the above equations are helpful in understanding which factors most contribute to the hydrogel properties [134]. Cross-link density, ve, reflects the effect of swelling on the modulus and provides a better basis for comparison the network structures than the modulus alone [134]. Also, as stated in the literature, the thermodynamic swelling experiments provide more reliable results for the Mc than the viscoelastic modulus [127].
Porosity
Swollen state porosity, Ps, and total porosity, P, (%) of macroporous hydrogels have been evaluated with Eq. (8), and Eq. (9), respectively [135–138].


where: qv=(Dw/Ddry)3 is the equilibrium volume swelling ratio, qw=(mw/mdry) is the equilibrium weight swelling ratio, Dw and Ddry are the diameters of the equilibrium swollen and dry gels, respectively, mw and mdry are the weight of gels after equilibrium swelling in water and after drying, d1 is the density of solvent (water), d2 is the density of polymer [135, 137],
Advances in the synthesis of IPN hydrogels
The high water content is responsible for the low mechanical properties of single network hydrogels. Taking the advantages of the IPN technique, novel architectures have been lately developed to increase the mechanical performances, the response rate at external stimuli, and to control the structural parameters of hydrogels.
Controlling structural parameters
Mesh size and mechanical properties are essential characteristics considered in evaluation of hydrogels used as scaffolds in cell culture or tissue engineering. The mesh size values estimated by the methods presented above are an average of the statistical distributed pores in conventional hydrogels prepared by chain-growth polymerization. Generation of hydrogels with tailored mesh size by thiol-ene photopolymerization has been lately developed [126, 139–142]. Radical mediated step-growth reaction between thiol and norbornene moieties has been first utilized by Anseth and coworkers to create uniform and degradable PEG-peptide networks [139]. The thiol-ene coupling chemistry is cytocompatible, controllable both spatially and temporally, with the advantage of a high conversion of functional groups, being also a facile means to control the structural and mechanical properties of hydrogels [139, 140]. To better understand the chemistry-structure relationship, Yang et al. have recently prepared a library of PEG hydrogels using the benign UV initiated thiol-ene coupling strategy [126]. PEGs of different length functionalized with diallyl, dithiol, and dimethacrylate have been cross-linked with complementary trifunctional compounds. The Mc increased proportional with the PEG chain length (Mc was 3104 g/mol for PEG of 8 kDa, being about four times lower for PEG of 2 kDa). The mesh size increased with the increase of PEG molar mass, ranging from 3.7 nm for PEG of 2 kDa to 9.5 nm PEG of 8 kDa. The hydrogels prepared from PEG-diallyl, with molar mass ranging from 2kDa to 8 kDa, cross-linked with trimethylolpropane tris(3-mercaptopropionate) (TMP-tris-thiol) have been used as scaffolds for the preparation of a library of sequential IPNs [141, 142]. For generation of the second network, the precursors have been allowed to diffuse into the first network for a certain time, followed by the exposure at UV light for cross-linking [141]. It has been observed that IPN hydrogels had a lower swelling degree than the primary networks, the decreasing being higher for lower PEG chain length. This behavior showed that shorter PEG yielded higher cross-linking density of the secondary network and can be used as means to manipulate the water content in IPN hydrogels. The structural parameters and mechanical properties of the IPN hydrogels have been further manipulated by the time diffusion of the secondary network PEG precursors [142].
IPN cryogels
In addition to the IPN strategy, several techniques have been proposed to increase the mechanical strength and the response rate of hydrogels, among them the generation of interconnected pore structures within the hydrogel matrices being of interest. Macroporous hydrogels are usually prepared by: cross-linking polymerization in the presence of pore-forming agents, when a microphase separation occurs [143], porogen leaching [144], cross-linking in the presence of substances releasing porogen gases [145], and lyophilization of the hydrogel swollen in water [21, 103]. Another technique is cryogelation, in which the cross-linking polymerization reactions are conducted below the freezing point of the reaction solutions, when the most part of the solvent (water) forms crystals, the bound water and the soluble substances (monomers, initiator, polymers) being concentrated in a non-frozen liquid microphase, where the gel is formed [146–150]. Advantages of cryogelation consist of the absence of any organic porogen, the ice crystals playing the role of inert template, the microstructure of the gel being the negative replica of the ice crystals. Moreover, compared with the other macroporous hydrogels, cryogels are endowed with a high mechanical stability. The unique feature of cryogels consists of their interconnected macropores (with sizes between 1 and 100 μm), which allow rapid and non-restricted mass-transport of any solute. Cryogels are endowed with a capillary network through which the solvent can flow by convective mass transport, and a high osmotic stability, which make them adequate materials for various biomedical applications and bioseparations [148, 149]. IPN cryogels based on two synthetic polymers [151], or composite IPN cryogels based on synthetic polymers and either polysaccharides such as: dextran (Dx) [137, 152], dextran sulfate (DxS) [133, 138], CS [153–155], potato starch [156, 157], and salecan [158], or protein [159] have been recently reported. IPN composite cryogels have remarkable mechanical stability under compression [138, 153, 158], being suitable materials for biomedical applications [153, 158, 159], and separation of various ionic species [154, 155, 157].
The porosities of semi-IPN PAAm/Dx [137] and semi-IPN PAAm/DxS [138] cryogels, synthesized at –18 °C, have been evaluated and compared with the values found for conventional semi-IPN hydrogels (preparation temperature +20 °C). It was found that the swollen state porosity, Ps, estimated with Eq. 8, was about 44 % for the hydrogels with a cross-linker ratio of 1/80 formed at +20 °C, while it rapidly increased with decreasing the preparation temperature being 94 %, for cryogels with the same cross-linking degree. The dry-state porosity, P, calculated with Eq. (9), gave results similar with those found for Ps only in the case of the composite cryogels, while for conventional hydrogels the values were much lower (∼33 %). These results support the stable porous structure of cryogels, which did not collapse during deswelling or drying [138].
PAAm/CS IPN cryogels, prepared by selective cross-linking of CS entrapped in PAAm as the 1st network, demonstrated a high efficiency in separation of dyes oppositely charged (methylene blue, MB, and methyl orange), a high capacity to adsorb MB (up to 750 mg/g cryogel, at 25 °C), and a high level of reusability in consecutive sorption/desorption cycles [154]. Multiresponsive semi-IPN composite cryogels were prepared by the radical copolymerization of AAm with N,N′-methylenebisacrylamide (BAAm) in the presence of native PS or anionically modified PS (PA), under the freezing point of the solvent (–18 °C) [156]. All composite cryogels presented a super-fast swelling, the main difference consisting of the time necessary to attain the equilibrium swelling, this being around 30 s in the case of PAAm/PS gels and 15 s in the case of PAAm/PA gels, at the same cross-linker ratio [156]. Semi-IPN PAAm/PA composite cryogels adsorbed MB from aqueous solutions up to 444 mg/g gel. The sorption capacity has been further increased up to 667 mg MB/g gel, at 25 °C, by controlled hydrolysis of PAAm matrix [157]. No loose of the sorption capacity was observed after six consecutive sorption/desorption cycles, behavior which differentiate them on the conventional semi-IPN hydrogels having the same components.
IPN hydrogels with mechanically enhanced properties
Mechanically enhanced IPN hydrogels as “double networks” (DN), promoted by Gong et al. have attracted great attention last decade due to their potential for biomaterials, mainly as replacement of natural cartilage [160–166]. The particular feature of this new type of IPN hydrogels, characterized by high resistance to wear and high fracture strength, consists of the preparation first of a densely cross-linked polyelectrolyte network (rigid skeleton, minor component) (PAMPS), the second network being a neutral and loosely cross-linked network (major component) [160, 162]. The molar ratio between the first and the second network, and their cross-linking degrees are the crucial structural parameters which determine the mechanical properties of these gels. The molecular weight of the second network (PAAm) has a determinant role in the enhancement of the mechanical properties of DN hydrogels, a molecular weight of 1 × 106 g/mol being found as optimum for self-entanglement of the PAAm chains [160]. The toughness of the DN hydrogels has been further increased by creating spherical voids in the 1st network (silica nanoparticles which have been removed), the 2nd network (PAAm) being generated in the presence of void PAMPS gels to obtain void-DN gels, which have a hard body (PAMPS/PAAm), and the soft spherical PAAm [163]. The excellent mechanical performances of DN hydrogels originate from the synergistic effect of the networks: the first network serves as source of sacrificial bonds. It breaks into small clusters, which disperse the stress around the crack tip into the surrounding damage zone, while the PAAm ductile chains act as hidden length, which extend to sustain large deformation [162]. The cross-linker concentration in the first network is a critical parameter, a small amount of residual double bonds would remain in the PAMPS network when the concentration of BAAm has been ∼0.01 mol%, and interact with AAm to form chemical cross-links between the two networks [165]. Among various DN hydrogels developed by Gong et al., which have been tested for biomedical applications, the DN gel consisting of PAMPS and poly(N,N-dimethylacrylamide) is the most promising material for artificial cartilage, because it has exhibited an exceptional wear property [162].
Unlike the DN promoted by Gong et al., in the case of the PEG/PAA DN hydrogels developed by Myung et al. the 1st network is a tightly cross-linked neutral network (PEG-DA), interpenetrated with a loosely cross-linked ionic network (PAA) as the 2nd network [17, 167, 168]. The interaction between the independently cross-linked networks within the IPN has been varied by changing the molecular weight of PEG macromonomer, the ionization degree of PAA by changing the pH, and increasing the polymer content in the PAA network [167]. The hydrogel physical properties have been tuned by the network parameters and the swelling conditions, materials with water content between 58 and 90 %, tensile strength between 2.0 MPa and 12 MPa, and initial Young’s modulus between 1.0 MPa and 19 MPa being thus prepared. Under physiological pH and salt concentration, these DN hydrogels presented “biomimetic values for Young’s modulus, being very promising candidates for artificial cornea and cartilage [167, 168].
Other strategies focused toward improving the mechanical strength and the stimuli responsiveness of hydrogels have been lately reported [169–172]. Thus, multi-responsive polyampholyte composite hydrogel with excellent mechanical strength and rapid shrinking rate have been recently synthesized by Xu and coworkers, in two steps [169]. Firstly, microgels of PNIPAAm as core and poly(vinylamine) (PVAm) as shell have been synthesized via surfactant-free emulsion polymerization with N,N-methylenebisacrylamide (MBAAm) as cross-linker. Acrylic acid (AA), acryloyloxyethyl trimethylammonium chloride and AAm have been grafted on the surface of microgels in the presence of MBAAm as cross-linker. The first network, with low mechanical strength, has been constituted from cross-linked ungrafted polyampholyte chains, while the second network consisting of core-shell microgels with grafted polyampholyte chains had excellent mechanical strength (the compress strength of the composite hydrogel being up to 17–30 MPa). Such hydrogels have potential for application as substitutes for cartilage due to their remarkable mechanical strength and in drug-controlled release owing to the rapid response rate [169].
Dai and coworkers have recently reported fabrication by sequential strategy of mechanically strong conducting hydrogels composed of PAAm with a concentration of 5 mol %, as the first network, and the semi-IPN hydrogel, constituted of poly(3,4-ethylenedioxythiophene)-poly(sodium styrenesulfonate) (ionically cross-linked with Fe3+) (PEDOT-PSS), as the second network [170, 171]. It was found that to attain optimal mechanical properties a high EDOT concentration, which determined the value of the fracture stress, and an EDOT/PSS molar ratio <1.0, which induced a homogeneous microstructure and a high fracture strain, have been required. The potential application of these DN hydrogels as electrochemical actuators has been discussed. pH and temperature responsive DN composite hydrogels having PNIPAAm as a tightly cross-linked 1st network, PAA as loosely cross-linked 2nd network, and graphene oxide (GO) as an additive have been prepared by Li and coworkers [172]. The as prepared composite hydrogels exhibited fast response at swelling/deswelling and much better mechanical properties than conventional PNIPAAm single-network hydrogel. The average pore size in PNIPAAm/PAA/GO hydrogel was about 3 μm, which further decreased with the increase of the PAA content. The composite DN hydrogels did not break even at a stress of 56.3 MPa and a strain of 94.9%, and furthermore, recovered their original shape in a few seconds after the load release [172].
Highly stretchable and extremely tough hydrogels have been recently fabricated by Suo et al. [173–176]. These IPN composite hydrogels, consist of a covalently cross-linked network (PAAm) and an ionically cross-linked Alg network, and have been prepared by a simultaneous strategy. The as prepared hydrogels could be stretched beyond 20 times and achieved fracture energy as high as ∼9 kJ/m2 [173]. The hydrogels cross-linked with trivalent cations have been much stronger than those cross-linked with divalent cations [174]. The mechanisms which explain the exceptional properties of this composite gel consist of: (i) the ionically cross-linked alginate component provide the energy dissipation upon straining, (ii) the long PAAm chains ensure the crack bridging and maintenance of mechanical integrity once the ionic cross-links are broken, and (iii) the secondary cross-links formed between Alg and PAAm network force transfer between them [174, 175]. Implantation of these IPN hydrogels into subcutaneous tissue of rats led to mild fibrotic encapsulation and minimal inflammatory response [175]. To simultaneously achieve high stiffness and toughness, Alg with short and long chains have been combined, IPN composite hydrogels with elastic moduli of ∼1 MPa and fracture energies up to ∼16 kJ/m2 being obtained at a high ionic cross-link density [176].
Conclusions
As can be seen in Table 1, the conventional IPN hydrogels have a wide impact in the biomedical field, mainly in drug delivery systems. For this purpose, very important is the hydrogel responsiveness at various external stimuli, mainly at pH, temperature, ionic strength, electric field, light. Mesh size and mechanical properties are essential characteristics of hydrogels considered in their evaluation as scaffolds in cell culture or tissue engineering. Therefore, a great deal of attention has been devoted last decade on controlling these properties. Starting with “double network” strategy, various techniques have been developed to generate hydrogels with enhanced mechanical properties which make them similar with natural cartilage. Highly stretchable hydrogels, up to 20 times their initial length, with fracture energies up to ∼16 kJ/m2 have been recently fabricated and found as very promising as load-bearing materials.
Article note
A collection of invited papers based on presentations at the 15th International Conference on Polymers and Organic Chemistry (POC-2014), Timisoara, Romania, 10–13 June 2014.
Acknowledgments
This work was supported by CNCSIS-UEFISCSU by the project PN-II-ID-PCE-2011-3-0300.
References
[1] L. H. Sperling. In: Interpenetrating Polymer Networks, D. Klempner, L. H. Sperling, L. A. Utracki, (Eds.), pp 3–38. Am. Chem. Soc., Washington (1994).Search in Google Scholar
[2] L. H. Sperling, V. Mishra. Polym. Adv. Technol. 7, 197 (1995).Search in Google Scholar
[3] L. H. Sperling. In: Encyclopedia of Polymer Science and Technology, H. F. Mark, (Ed.), Vol. 10, pp. 272–311. John Wiley & Sons, New York (2005).Search in Google Scholar
[4] J. R. Millar. J. Chem. Soc., 1311 (1960).10.1039/JR9600001311Search in Google Scholar
[5] J. John, R. Suriyakala, S. Thomas, J. M. Mendez, A. Pius, S. Thomas. J. Mater. Sci.45, 2892 (2010).Search in Google Scholar
[6] B. Zheng, H. Li, G. Wang, K. Liu, L. Wang, G. Pan. Polym. Int.58, 343 (2009).Search in Google Scholar
[7] M. Y. Kariduraganavar, R. K. Nagarale, A. A. Kittur, S. S. Kulkarni. Desalination197, 225 (2006).10.1016/j.desal.2006.01.019Search in Google Scholar
[8] Y. H. Kwon, S. C. Kim, S. Y. Lee. Macromolecules42, 5244 (2009).10.1021/ma900781cSearch in Google Scholar
[9] F. A. M. Laureiro, E. S. De Marins, G. D. C. Dos Anjos, A. M. Rocco, R. P. Pereira. Polimeros, 24, 49 (2014).10.4322/polimeros.2014.070Search in Google Scholar
[10] J. Lu, Q. Nguyen, J. Zhou, Z.-H. Ping. J. Appl. Polym. Sci. 89, 2808 (2003).Search in Google Scholar
[11] G. Khanna, IN Aparna. J. Orofacial Res. 3, 181 (2013).Search in Google Scholar
[12] S. Marinovic, I. Popovic, B. Dunjic, S. Tasic, B. Bozic, D. Jovanovic. Prog. Org. Chem. 68, 293 (2010).Search in Google Scholar
[13] A. S. Hoffman. Adv. Drug Deliv. Rev. 43, 3 (2002).10.1016/S0169-409X(01)00239-3Search in Google Scholar
[14] J. Berger, M. Reist, J. M. Mayer, O. Felt, N. A. Peppas, R. Gurny. Eur. J. Pharm. Biopharm. 57, 19 (2004).Search in Google Scholar
[15] N. A. Peppas, J. Z. Hilt, A. Khademhosseini, R. Langer. Adv. Mater. 18, 1345 (2006).Search in Google Scholar
[16] A. K. Bajpai, S. K. Shukla, S. Bhanu, S. Kankane. Prog. Polym. Sci.33, 1088 (2008).Search in Google Scholar
[17] D. Myung, D. Waters, M. Wiseman, P. E. Duhamel, J. Noolandi, C. N. Ta, C. W. Frank. Polym. Adv. Technol. 19, 647 (2008).Search in Google Scholar
[18] T. R. Hoare, D. S. Kohane. Polymer49, 1993 (2008).10.1016/j.polymer.2008.01.027Search in Google Scholar
[19] N. Bhattarai, J. Gunn, M. Zhand. Adv. Drug. Deliv. Rev. 62, 83 (2010).Search in Google Scholar
[20] A. Richter, G. Paschew, S. Klatt, J. Lienig, K.-F. Arndt, H.-J. P. Adler. Sensors8, 561 (2008).10.3390/s8010561Search in Google Scholar PubMed PubMed Central
[21] E. S. Dragan, M. Cazacu, A. Nistor. J. Polym. Sci. Part A: Polym. Chem. 47, 6801 (2009).Search in Google Scholar
[22] C. W. Peak, J. J. Wilker, G. Schmidt. Colloid Polym. Sci. 291, 2031 (2013).Search in Google Scholar
[23] X. Tong, F. Yang. Biomaterials35, 1807 (2014).10.1016/j.biomaterials.2013.11.064Search in Google Scholar PubMed
[24] E. S. Dragan. Chem. Eng. J.243, 572 (2014).10.1016/j.cej.2014.01.065Search in Google Scholar
[25] T. Miyata, N. Asami, K. Okawa, T. Uragami. Polym. Adv. Technol. 17, 794 (2006).Search in Google Scholar
[26] T. V. Chirila, K. A. George, W. A. A. Ghafor, S. J. Pas, A. J. Hill. J. Appl. Polym. Sci.126, E455 (2012).10.1002/app.36824Search in Google Scholar
[27] A. N. Bajpai. Polym. Int. 56, 231 (2007).10.1002/pi.2137Search in Google Scholar
[28] J. J. Wang, F. Liu. Polym. Bull. 70, 1415 (2013).Search in Google Scholar
[29] Y. Lee, D. N. Kim, D. Choi, W. Lee, J. Park, W.-G. Koh. Polym. Adv. Technol. 18, 852 (2008).Search in Google Scholar
[30] Y. Y. Liu, J. Lu, Y. H. Shao. Macromol. Biosci. 6, 452 (2006).Search in Google Scholar
[31] D. L. Merlin, B. Sivasakar. Eur. Polym. J. 45, 165 (2009).Search in Google Scholar
[32] Q. Tang, J. R. Yu, L. Chen, J. Zhu, Z. M. Hu. Polym. Int. 60, 1136 (2011).Search in Google Scholar
[33] J. J. Wang, F. Liu. Polym. Bull. 69, 685 (2012).Search in Google Scholar
[34] J. T. Zhang, R. Bhat, K. D. Jandt. Acta Biomater. 5, 488 (2009).Search in Google Scholar
[35] T. Baskan, D. C. Tuncaboylu, O. Okay. Polymer54, 2979 (2013).10.1016/j.polymer.2013.03.066Search in Google Scholar
[36] R. Hernandez, E. Perez, C. Mijangos, D. Lopez. Polymer46, 7066 (2005).10.1016/j.polymer.2005.05.108Search in Google Scholar
[37] S. Jin, F. Bian, M. Liu, S. Chen, H. Liu. Polym. Int. 58, 142 (2009).Search in Google Scholar
[38] M. Liu, H. Su, T. Tan. Carbohydr. Polym. 87, 2425 (2012).Search in Google Scholar
[39] Y. Murali Mohan, P. S. Keshava Murthy, J. Sreeramulu, K. Mohana Raju. J. Appl. Polym. Sci.98, 302 (2005).Search in Google Scholar
[40] B. D. Krezovic, S. I. Dimitrijevic, J. M. Filipovic, R. R. Nikolic, S. L. Tomic. Polym. Bull. 70, 809 (2013).Search in Google Scholar
[41] Q. Tang, J. Wu, J. Lin. Carbohydr. Polym. 73, 315 (2008).Search in Google Scholar
[42] T. Thimma Reddy, A. Takahara. Polymer50, 3537 (2009).10.1016/j.polymer.2009.05.062Search in Google Scholar
[43] Y. Zhao, J. Kang, T. Tan. Polymer47, 7702 (2006).10.1016/j.polymer.2006.08.056Search in Google Scholar
[44] B. Wang, M. Z. Liu, R. Liang, S. L. Ding, Z. B. Chen, S. L. Chen, S. P. Jin. Macromol. Biosci. 8, 417 (2008).Search in Google Scholar
[45] Y. Zhao, T. Tan, T. Kinoshita. J. Polym. Sci. Part B: Polym. Phys. 48, 666 (2010).Search in Google Scholar
[46] J. Chen, M. Liu, H. Liu, L. Ma, C. Gao, S. Zhu, S. Zhang. Chem. Eng. J.159, 247 (2010).Search in Google Scholar
[47] Y. Huang, M. Liu, L. Wang, C. Gao, S. Xi. React. Funct. Polym. 71, 666 (2011).Search in Google Scholar
[48] C. Silan, A. Akcali, M. T. Otkun, N. Ozbey, S. Butun, O. Ozay, N. Sahiner. Colloids Surf. B: Biointerfaces89, 245 (2012).10.1016/j.colsurfb.2011.09.024Search in Google Scholar PubMed
[49] N. Zhang, M. Liu, Y. Shen, J. Chen, L. Dai, C. Gao. J. Mater. Sci.46, 1523 (2011).Search in Google Scholar
[50] M. Higa, M. Kobayashi, Y. Kakihana, A. Jikihara, N. Fujiwara. J. Membr. Sci. 428, 267 (2013).Search in Google Scholar
[51] M. Jaiswal, S. Lale, N. G. Ramesh, V. Koul. React. Funct. Polym. 73, 1493 (2013).Search in Google Scholar
[52] J. Wei, S. Xu, R. Wu, J. Wang, Y. Gao. J. Appl. Polym. Sci. 103, 345 (2007).Search in Google Scholar
[53] J. Wang, F. Liu, J. Wei. Polym. Bull.67, 1709 (2011).Search in Google Scholar
[54] D. Singh, V. Choudhary, V. Koul. J. Appl. Polym. Sci.104, 1456 (2007).Search in Google Scholar
[55] A. Fathi, S. Lee, X. Zhong, X. Zhong, N. Hon, P. Valtchev, F. Dehghani. Polymer54, 5534 (2013).10.1016/j.polymer.2013.08.052Search in Google Scholar
[56] D. C. Aduba Jr., J. A. Hammer, Q. Yuan, W. A. Yeudall, G. L. Bowlin, H. Yang. Acta Biomater.9, 6576 (2013).Search in Google Scholar
[57] W. Xiao, J. He, J. W. Nichol, L. Wang, C. B. Hutson, B. Wang, Y. Du, H. Fan, A. Khademhosseini. Acta Biomater. 7, 2384 (2011).Search in Google Scholar
[58] S. Suri, C.E. Schmidt. Acta Biomater. 5, 2385 (2009).Search in Google Scholar
[59] Y. Liu, Y. Cui. J. Appl. Polym. Sci. 120, 3613 (2011).Search in Google Scholar
[60] H. T. Peng, L. Martineau, P. N. Shek. J. Mater. Sci.: Mater. Med. 19, 997 (2008).Search in Google Scholar
[61] E. S. Gil, S. M. Hudson. Biomacromolecules8, 258 (2007).10.1021/bm060543mSearch in Google Scholar PubMed
[62] B. B. Mandal, S. Kapoor, S. C. Kundu. Biomaterials30, 2826 (2009).10.1016/j.biomaterials.2009.01.040Search in Google Scholar PubMed
[63] J. Kundu, L. A. Poole-Warren, P. Martens, S. C. Kundu. Acta Biomater. 8, 1720 (2012).Search in Google Scholar
[64] W. Wu, D. S. Wang. React. Funct. Polym. 70, 684 (2010).Search in Google Scholar
[65] E. Akpalo, L. Bidault, M. Boissiere, C. Vancaeyzeele, O. Fichet, V. Larreta-Garde. Acta Biomater. 7, 2418 (2011).Search in Google Scholar
[66] F. Lee, M. Kurisawa. Acta Biomater.9, 5143 (2013).Search in Google Scholar
[67] L. Yin, L. Fei, F. Cui, C. Tang, C. Yin. Polym. Int. 56, 1563 (2007).Search in Google Scholar
[68] W. Wang, A. Wang. Carbohydr. Polym. 80, 1028 (2010).Search in Google Scholar
[69] L. Pescosolido, T. Vermonden, J. Malda, R. Censi, W. J. A. Dhert, F. Alhaique, W. E. Hennink, P. Matricardi. Acta Biomater. 7, 1627 (2011).Search in Google Scholar
[70] H. S. Samanta, S. K. Ray. Carbohydr. Polym. 67, 666 (2014).Search in Google Scholar
[71] R. P. Dumitriu, G. R. Mitchell, C. Vasile. Polym. Int.60, 222 (2011).Search in Google Scholar
[72] D. Leal, W. De Borggraeve, M. V. Encinas, B. Matsuhiro, R. Müller. Carbohydr. Polym. 92, 157 (2013).Search in Google Scholar
[73] G. Q. Zhang, L. S. Zha, M. H. Zhou, J. H. Ma, B. R. Liang. J. Appl. Polym. Sci.97, 1931 (2005).Search in Google Scholar
[74] J. Shi, N. M. Alves, J. F. Mano. Macromol. Biosci.6, 358 (2006).Search in Google Scholar
[75] S. B. Lee, E. K. Park, Y. M. Lim, S. K. Cho, S. Y. Kim, Y. M. Lee, Y. C. Nho. J. Appl. Polym. Sci.100, 4439 (2006).Search in Google Scholar
[76] K. Mallikarjuna Reddy, V. Ramesh Babu, K. S. V. Krishna Rao, M. C. S. Subha, K. Chowdoji Rao, M. Sairam, T. M. Aminabhavi. J. Appl. Polym. Sci.107, 2820 (2008).Search in Google Scholar
[77] G. Demirel, G. Özcetin, F. Şahin, H. Tümtürk, S. Aksoy, N. Hasirci. React. Funct. Polym. 66, 389 (2006).Search in Google Scholar
[78] A. Al-Kahtani Ahmed, H. S. Bhojya Naik, B. S. Sherigara. Carbohydr. Res. 344, 699 (2009).Search in Google Scholar
[79] J. Yang, J. Chen, D. Pan, Y. Wan, Z. Wang. Carbohydr. Polym. 92, 719 (2013).Search in Google Scholar
[80] S. J. Kim, S. R. Shin, G. M. Spinks, I. Y. Kim, S. I. Kim. J. Appl. Polym. Sci. 96, 867 (2005).Search in Google Scholar
[81] J. R. Khurma, A. V. Nand. Polym. Bull. 59, 805 (2008).Search in Google Scholar
[82] S. Ekici, D. Saraydin. Polym. Int.56, 1371 (2007).Search in Google Scholar
[83] Chen, M. Liu, S. Jin, Y. Chen. J. Appl. Polym. Sci.98, 1720 (2005).Search in Google Scholar
[84] N. B. Milosavljevic, N. Z. Milasinovic, I. G. Popovic, J. M. Filipovic, M. T. K. Krusic. Polym. Int. 60, 443 (2011).Search in Google Scholar
[85] S. Sajeesh, C. P. Sharma. J. Appl. Polym. Sci. 99, 506 (2006).Search in Google Scholar
[86] L. Yin, L. Fei, F. Cui, C. Tang, C. Yin. Biomaterials28, 1258 (2007).10.1016/j.biomaterials.2006.11.008Search in Google Scholar PubMed
[87] L. Yin, Z. Zhao, Y. Hu, J. Ding, F. Cui, C. Tang, C. Yin. J. Appl. Polym. Sci.108, 1238 (2008).Search in Google Scholar
[88] M. Pulat, D. Asil. J. Appl. Polym. Sci. 113, 2613 (2009).Search in Google Scholar
[89] M. Bocourt, W. Arguelles-Monal, J. V. Cauich-Rodríguez, A. May, N. Bada, C. Peniche. Mater. Sci. Appl.2, 509 (2011).Search in Google Scholar
[90] B. Guo, J. Yuan, L. Yao, Q. Gao. Colloid Polym. Sci. 285, 665 (2007).Search in Google Scholar
[91] A. Martínez-Ruvalcaba, J. C. Sánchez-Díaz, F. Becerra, L. E. Cruz-Barba, A. González-Álvarez. eXPRESS Polym. Lett. 3, 25 (2009).Search in Google Scholar
[92] Y. Q. Xia, T. Y. Guo, M. D. Song, B. H. Zhang, B. L. Zhang. Biomacromolecules6, 2601 (2005).10.1021/bm050324lSearch in Google Scholar PubMed
[93] C. Zhou, Q. Wu. Colloids Surf. B: Biointerfaces84, 155 (2011).10.1016/j.colsurfb.2010.12.030Search in Google Scholar PubMed
[94] C. Alvarez-Lorenzo, A. Concheiro, A. S. Dubovik, N. V. Grinberg, T. V. Burova, V. Y. Grinberg. J. Control. Release102, 629 (2005).10.1016/j.jconrel.2004.10.021Search in Google Scholar PubMed
[95] V. Ramesh Babu, C. Kim, S. Kim, C. Ahn, Y. I. Lee. Carbohydr. Polym. 81, 196 (2010).Search in Google Scholar
[96] T. Buranachai, N. Praphairaksit, N. Muangsin. AAPS Pharm. Sci. Tech. 11, 1128 (2010).Search in Google Scholar
[97] I. Y. Kim, M. K. Yoo, B. C. Kim, S. K. Kim, S. K. Kim, H. C. Lee, C. S. Cho. Int. J. Biol. Macromol. 38, 51 (2006).Search in Google Scholar
[98] G. Liu, J. Song. Polym. Int.61, 596 (2012).Search in Google Scholar
[99] S. Liang, L. Liu, Q. Huang, K. L. Yam. Carbohydr. Polym. 77, 718 (2009).Search in Google Scholar
[100] Z. Amoozgar, T. Rickett, J. Park, C. Tuchek, R. Shi, Y. Yeo. Acta Biomater. 8, 1849 (2012).Search in Google Scholar
[101] N. V. Gupta, H. G. Shivakumar. Turk J. Pharm. Sci. 9, 127 (2012).Search in Google Scholar
[102] S. J. Kim, S. R. Shin, D. I. Shin, I. Y. Kim, S. I. Kim. J. Appl. Polym. Sci.96, 86 (2005).Search in Google Scholar
[103] S. Dragan, M. M. Lazar, M. V. Dinu. Carbohydr. Polym. 88, 270 (2012).Search in Google Scholar
[104] P. S. Keshavara Murthy, Y. Murali Mohan, J. Sreeramulu, K. Mohana Raju. React. Funct. Polym. 66, 1482 (2006).Search in Google Scholar
[105] E. S. Dragan, D. F. Apopei. Chem. Eng. J.178, 252 (2011).Search in Google Scholar
[106] L. Pescosolido, W. Schuurman, J. Malda, P. Matricardi. F. Alhaique, T. Coviello, P. R. van Weeren, W. J. A. Dhert, W. E. Hennink, T. Vermonden. Biomacromolecules12, 1831 (2011).10.1021/bm200178wSearch in Google Scholar PubMed
[107] S. J. Kim, C. K. Lee, S. I. Kim. J. Appl. Polym. Sci.92, 1731 (2004).Search in Google Scholar
[108] M.T. Nistor, A.P. Chiriac, L.E. Nita, C. Vasile, M. Bercea. J. Polym. Res. 20, Art. 86 (2013).10.1007/s10965-013-0086-8Search in Google Scholar
[109] J. Wang, X. Zhou, H. Xiao. Carbohydr. Polym. 94, 749 (2013).Search in Google Scholar
[110] A. P. Rokhade, S. A. Agnihotri, S. A. Patil, N. N. Mallikarjuna, P. V. Kulkarni, T. M. Aminabhavi. Carbohydr. Polym. 65, 243 (2006).Search in Google Scholar
[111] A. K. Bajpai, A. Mishra. Polym. Int. 54, 1347 (2005).Search in Google Scholar
[112] W. Wang, Q. Wang, A. Wang. Macromol. Res. 19, 57 (2011).Search in Google Scholar
[113] S. Chen, M. Liu, S. Jin, H. Liu. Polym. Adv. Technol. 19, 1656 (2008).Search in Google Scholar
[114] J. Chen, M. Liu, S. Chen. Mater. Chem. Phys. 115, 339 (2009).Search in Google Scholar
[115] X. Li, W. Wu, W. Liu. Carbohydr. Polym. 71, 394 (2008).Search in Google Scholar
[116] E. G. Crispim, J. F. Piai, A. R. Fajardo, E. R. F. Ramos, T. U. Nakamura, C. V. Nakamura, A. F. Rubira, E. C. Muniz. eXPRESS Polym. Lett. 6, 383 (2012).Search in Google Scholar
[117] M. Pandey, M. Amin, N. Mohamad, N. Ahmad, S. Muda. Polym.-Plast. Technol. Eng. 52, 1510 (2013).Search in Google Scholar
[118] X. Hu, L. Feng, W. Wei, A. Xie, S. Wang, J. Zhang, W. Dong. Carbohydr. Polym. 105, 135 (2014).Search in Google Scholar
[119] X. F. Sun, Z. Jing, H. Wang, Y. Liu. Polym. Compos. DOI 10.1002/pc.23145.Search in Google Scholar
[120] B. Mandal, S. K. Ray, R. Bhattacharyya. J. Appl. Polym. Sci. 124, 2250 (2012).Search in Google Scholar
[121] D. Huang, W. Wang, Y. Kang, A. Wang. J. Macromol. Sci. Part A: Pure Appl. Chem. 49, 971 (2012).Search in Google Scholar
[122] W. Wang, D. Huang, Y. Kang, A. Wang. Colloid Surf. B: Biointerfaces106, 51 (2013).Search in Google Scholar
[123] Y. Liu, X. Cao, R. Hua, Y. Wang, Y. Liu, C. Pang, Y. Wang. Hydrometallurgy104, 150 (2010).10.1016/j.hydromet.2010.05.009Search in Google Scholar
[124] J. Wang, F. Liu, Adv. Mater. Res. 643, 83 (2013).Search in Google Scholar
[125] D. Melekaslan, F. Kasapoglu, K. Ito, Y. Yagci, O. Okay. Polym. Int. 53, 237 (2004).Search in Google Scholar
[126] T. Yang, H. Long, M. Malkoch, E. K. Gamstedt, L. Berglund, A. Hult. J. Polym. Sci. Part A: Polym. Chem. 49, 4044 (2011).Search in Google Scholar
[127] E. Fernandez, D. Lopez, E. Lopez-Cabarcos, C. Mijangos. Polymer46, 2211 (2005).10.1016/j.polymer.2004.12.039Search in Google Scholar
[128] A. Gutowska, Y. H. Bae, H. Jacobs, J. Feijen, S. W. Kim. Macromolecules27, 4167 (1994).10.1021/ma00093a018Search in Google Scholar
[129] E. Marsano, E. Bianchi, S. Vicini, L. Compagnino, A. Sionkowska, j. Skopinska, M. Wisniewski. Polymer46, 1595 (2005).10.1016/j.polymer.2004.12.017Search in Google Scholar
[130] A. K. Bajpai. Polym. Int. 56, 231 (2007).10.1002/pi.2137Search in Google Scholar
[131] K. Sohail, I. U. Khan, Y. Shahzad, T. Hussain, N. M. Ranjha. Braz. J. Pharm. Sci.50, 173 (2014).Search in Google Scholar
[132] M. Sen, H. Hayrabolulu. Rad. Phys. Chem. 81, 1378 (2012).Search in Google Scholar
[133] M. V. Dinu, S. Schwarz, I. A. Dinu, E. S. Dragan. Colloid Polym. Sci. 290, 1647 (2012).Search in Google Scholar
[134] D. A. Rennerfeldt, A. N. Renth, Z. Talata, S. H. Gehrke. Biomaterials34, 8241 (2013).10.1016/j.biomaterials.2013.07.052Search in Google Scholar
[135] M. V. Dinu, M. M. Ozmen, E. S. Dragan, O. Okay. Polymer48, 195 (2007).10.1016/j.polymer.2006.11.022Search in Google Scholar
[136] M. M. Ozmen, M. V. Dinu, E. S. Dragan, O. Okay. J. Macromol. Sci. Part A: Pure Appl. Chem. 44, 1195 (2007).Search in Google Scholar
[137] M. V. Dinu, M. M. Perju, E. S. Dragan. Macromol. Chem. Phys. 212, 240 (2011).Search in Google Scholar
[138] M. V. Dinu, M. M. Perju, E. S. Dragan. React. Funct. Polym. 71, 881 (2011).Search in Google Scholar
[139] B. D. Fairbanks, M. P. Schwarz, A. E. Halevi, C. R. Nuttelman, C. N. Bowman, K. S. Anseth. Adv. Mater. 21, 5005 (2009).Search in Google Scholar
[140] H. Shih, C. C. Lin. Biomacromolecules13, 2003 (2012).10.1021/bm300752jSearch in Google Scholar
[141] T. Yang, M. Malkoch, A. Hult. J. Polym. Sci. Part A: Polym. Chem. 51, 363 (2013).Search in Google Scholar
[142] T. Yang, M. Malkoch, A. Hult. J. Polym. Sci. Part A: Polym. Chem. 51, 1378 (2013).Search in Google Scholar
[143] O. Okay. Prog. Polym. Sci. 25, 711 (2000).10.1016/S0079-6700(00)00015-0Search in Google Scholar
[144] T. Serizawa, K. Wakita, T. Kaneko, M. Akashi, J. Polym. Sci. Polym. Chem. 40, 4228 (2002).Search in Google Scholar
[145] K. Varaprasad, S. Ravindra, N. N. Reddy, K. Vimala, K. Mohana Raju. J. Appl. Polym. Sci. 116, 3593 (2010).Search in Google Scholar
[146] V. I. Lozinsky. Russ. Chem. Bull. Int. Ed. 57, 1015 (2008).10.1007/s11172-008-0131-7Search in Google Scholar
[147] V. I. Lozinsky. Adv. Polym. Sci. 263, 1-48 (2014).Search in Google Scholar
[148] G. Baydemir, N. Bereli, M. Andac, R. Say, I. Y. Galaev, A. Denizli. Colloids Surf. B: Biointerfaces68, 33 (2009).10.1016/j.colsurfb.2008.09.008Search in Google Scholar PubMed
[149] T. V. Burova, N. V. Gringerg, E. V. Kalinina, R. V. Ivanov, V. I. Lozinsky, C. Alvarez Lorenzo, V. Y. Grinberg. Macromol. Chem. Phys.212, 72 (2011).Search in Google Scholar
[150] S. L. Loo, W. B. Krantz, T. T. Lim, A. G. Fane, X. Hu. Soft Matter9, 224 (2013).10.1039/C2SM26859KSearch in Google Scholar
[151] Q. Zhao, J. Sun, X. Wu, Y. Lin. Soft Matter7, 4284 (2011).10.1039/c0sm01407aSearch in Google Scholar
[152] M. V. Dinu, M. M. Perju, M. Cazacu, E. S. Dragan. Cell. Chem. Technol. 45, 197 (2011).Search in Google Scholar
[153] E. Jain, A. Kumar. J. Biomater. Sci. 20, 877 (2009).Search in Google Scholar
[154] E. S. Dragan, M. M. Lazar, M. V. Dinu, F. Doroftei. Chem. Eng. J.204-206, 198 (2012).Search in Google Scholar
[155] E. S. Dragan, M. V. Dinu. Res. J. Chem. Env. 17, 4 (2013).Search in Google Scholar
[156] E. S. Dragan, D. F. Apopei. Carbohydr. Polym. 92, 23 (2013).Search in Google Scholar
[157] E. S. Dragan, D. F. Apopei. Chem. Eng. J.234, 211 (2013).Search in Google Scholar
[158] X. Hu, L. Feng, A. Xie, W. Wei, S. Wang, J. Zhang, W. Dong. J. Mater. Chem. B2, 3646 (2014).10.1039/c3tb21711fSearch in Google Scholar PubMed
[159] E. Jain, A. Srivastava, A. Kumar. J. Mater. Sci. Mater. Med. 20, S173 (2009).10.1007/s10856-008-3504-4Search in Google Scholar PubMed
[160] J. P. Gong, Y. Katsuyama, T. Kurokawa, Y. Osada. Adv. Mater. 15, 1155 (2003).Search in Google Scholar
[161] H. Tsukeshiba, M. Huang, Y. H. Na, T. Kurokawa, R. Kuwabara, Y. Tanaka, H. Furukawa, Y. Osada, J. P. Gong. J. Phys. Chem. B109, 16304 (2005).10.1021/jp052419nSearch in Google Scholar PubMed
[162] Z. L. Wu, T. T. Kurokawa, J. P. Gong. Bull. Chem. Soc. Jpn.84, 1295 (2011).Search in Google Scholar
[163] Md. A Haque, T. Kurokawa, J. P. Gong. Polymer53, 1805 (2012).10.1016/j.polymer.2012.03.013Search in Google Scholar
[164] T. Nakajima, H. Furukawa, Y. Tanaka, T. Kurokawa, J. P. Gong. J. Polym. Sci. Part B: Polym. Phys. 49, 1246 (2011).Search in Google Scholar
[165] T. Nakajima, H. Furukawa, Y, Tanaka, T. Kurokawa, Y. Osada, J. P. Gong. Macromolecules42, 2184 (2009).10.1021/ma802148pSearch in Google Scholar
[166] H. J. Kwon, K. Yasuda, J. P. Gong, Y. Ohmiya. Macromol. Res. 22, 227 (2014).Search in Google Scholar
[167] D. Myung, W. Koh, J. Ko, Y. Hu, M. Carrasco, J. Noolandi, C. N. Ta, C. W. Frank. Polymer48, 5376 (2007).10.1016/j.polymer.2007.06.070Search in Google Scholar
[168] D. Myung, N. Farooqui, L. L. Zheng, W. Koh, S. Gupta, A. Bakri, J. Noolandi, J. R. Cochran, C. W. Frank, C. N. Ta. J. Biomed. Mater. Res. 90A, 70 (2009).10.1002/jbm.a.32056Search in Google Scholar PubMed PubMed Central
[169] K. Xu, Y. Tan, Q. Chen, H. An, W. Li, L. Dong, P. Wang. J. Colloid Interface Sci. 345, 360 (2010).Search in Google Scholar
[170] T. Dai, X. Qing, Y. Lu, Y. Xia. Polymer50, 5236 (2009).10.1016/j.polymer.2009.09.025Search in Google Scholar
[171] T. Dai, X. Qing, H. Zhou, C. Shen, J. Wang, Y. Lu. Synth. Met.160, 791 (2010).Search in Google Scholar
[172] Z. Li, J. Shen, H. Ma, X. Lu, M. Shi, N. Li, M. Ye. Mater. Sci. Eng. C33, 1951 (2013).10.1016/j.msec.2013.01.004Search in Google Scholar PubMed
[173] J. Y. Sun, X. Zhao, W. R. K. Illeperuma, O. Chaudhuri, K. H. Oh, D. J. Mooney, J. J. Vlassak, Z. Suo. Nature489, 133 (2012).10.1038/nature11409Search in Google Scholar PubMed PubMed Central
[174] C. H. Yang, M. X. Wang, H. Haider, J. H. Yang, J. Y. Sun, Y. M. Chen, J. Zhou, Z. Suo. ACS Appl. Mater. Interfaces5, 10418 (2013).10.1021/am403966xSearch in Google Scholar PubMed
[175] M. C. Darnell, J. Y. Sun, M. Mehta, C. Johnson, P. R. Arany, Z. Suo, D. J. Mooney. Biomaterials34, 8042 (2013).10.1016/j.biomaterials.2013.06.061Search in Google Scholar PubMed PubMed Central
[176] J. Li, W. R. K. Illeperuma, Z. Suo, J. J. Vlasak. ACS Macro Lett.3, 520 (2014).Search in Google Scholar
©2014 IUPAC & De Gruyter
Articles in the same Issue
- Frontmatter
- Preface
- 15th International Conference on Polymers and Organic Chemistry (POC-2014)
- Conference papers
- Polymer engineering for drug/gene delivery: from simple towards complex architectures and hybrid materials
- Synthesis of biobased phosphate flame retardants
- Reengineering classic organic reactions using polymeric tools
- Naturally derived and synthetic polymers as biomimetic enhancers of silicic acid solubility in (bio)silicification processes
- Interfacial polycondensation method used in the synthesis of polymers containing phosphorus in the main chain
- Synthesis of cyclopolyolefins via ruthenium catalyzed ring-expansion metathesis polymerization
- Microwave-assisted modifications of polysaccharides
- Advances in interpenetrating polymer network hydrogels and their applications
- Microwave-assisted alcoholysis of dialkyl phosphites by ethylene glycol and ethanolamine
- Phosphonium grafted styrene–divinylbenzene resins impregnated with iron(III) and crown ethers for arsenic removal
- Use of styrene–divinylbenzene grafted with aminoethylaminomethyl groups and various ionic liquids in the removal process of thallium and strontium
- Triazines removal by selective polymeric adsorbent
- Decontamination of colored wastewater using synthetic sorbents
- Optimization of enzymatic ring-opening copolymerizations involving δ-gluconolactone as monomer by experimental design
- Effect of polymer support functionalization on enzyme immobilization and catalytic activity
- Advantages of polymer-supported multivalent organocatalysts for the Baylis-Hillman reaction over their soluble analogues
- Inherently chiral calix[4]arenes with planar chirality: two new entries to the family
- A facile method for generating Michael acceptor thin films via amine substituted poly(vinyl methyl ketone)
- Reactions of 2-cyano-3-ferrocenylacrylonitrile with malononitrile: formation of 4-ferrocenylpyridine-3,5-dicarbonitrile derivatives and sodium polymeric complexes containing carbanionic ligands
- Polyaniline composite designed for solid polymer electrolyte
- Gaseous mercury behaviour in the presence of functionalized styrene–divinylbenzene copolymers
- Ionic polymers based on quaternized polysulfones: hydrodynamic properties of polymer mixtures in solution
Articles in the same Issue
- Frontmatter
- Preface
- 15th International Conference on Polymers and Organic Chemistry (POC-2014)
- Conference papers
- Polymer engineering for drug/gene delivery: from simple towards complex architectures and hybrid materials
- Synthesis of biobased phosphate flame retardants
- Reengineering classic organic reactions using polymeric tools
- Naturally derived and synthetic polymers as biomimetic enhancers of silicic acid solubility in (bio)silicification processes
- Interfacial polycondensation method used in the synthesis of polymers containing phosphorus in the main chain
- Synthesis of cyclopolyolefins via ruthenium catalyzed ring-expansion metathesis polymerization
- Microwave-assisted modifications of polysaccharides
- Advances in interpenetrating polymer network hydrogels and their applications
- Microwave-assisted alcoholysis of dialkyl phosphites by ethylene glycol and ethanolamine
- Phosphonium grafted styrene–divinylbenzene resins impregnated with iron(III) and crown ethers for arsenic removal
- Use of styrene–divinylbenzene grafted with aminoethylaminomethyl groups and various ionic liquids in the removal process of thallium and strontium
- Triazines removal by selective polymeric adsorbent
- Decontamination of colored wastewater using synthetic sorbents
- Optimization of enzymatic ring-opening copolymerizations involving δ-gluconolactone as monomer by experimental design
- Effect of polymer support functionalization on enzyme immobilization and catalytic activity
- Advantages of polymer-supported multivalent organocatalysts for the Baylis-Hillman reaction over their soluble analogues
- Inherently chiral calix[4]arenes with planar chirality: two new entries to the family
- A facile method for generating Michael acceptor thin films via amine substituted poly(vinyl methyl ketone)
- Reactions of 2-cyano-3-ferrocenylacrylonitrile with malononitrile: formation of 4-ferrocenylpyridine-3,5-dicarbonitrile derivatives and sodium polymeric complexes containing carbanionic ligands
- Polyaniline composite designed for solid polymer electrolyte
- Gaseous mercury behaviour in the presence of functionalized styrene–divinylbenzene copolymers
- Ionic polymers based on quaternized polysulfones: hydrodynamic properties of polymer mixtures in solution