Abstract
Flavonoid structures, found in nature or obtained by synthesis, may be very complex. These Recommendations provide a guide for flavonoid aglycone names. This will also allow the construction of the names for their polyglycosylated species with clarity and conciseness. A joint working party of IUPAC/IUBMB members has prepared these recommendations, which establish rules for the general nomenclature of flavonoids, providing examples of acceptable trivial names, and names derived from trivial names, together with semi-systematic and fully systematic names that follow the published IUPAC recommendations.
Flv-1 Introduction
Flavonoids, including the parent cyclic structures and their O- and C-glycosylated derivatives, are a group of structurally diverse natural or synthetic compounds, many of them exhibiting biological activity [1], [2], [3], [4], [5]. They are cited in the literature by researchers in diverse specialized areas, including natural product chemistry, organic synthesis, medicinal and food chemistry, biology, toxicology, and biochemistry. Different workers have used a variety of alternative names and naming systems for such compounds, and trivial names are commonly used. Semi-systematic names derived from parent structures (unsubstituted skeletal structures) are very useful for naming flavonoids, and have been widely used to simplify complex systematic names, but they often lead to misunderstandings. There is an urgent need to avoid ambiguity in the naming of flavonoids by clarifying acceptable usage and limiting the variety of options to a reasonable extent.
In IUPAC nomenclature, three levels of nomenclature are accepted in the field of natural products [6], [7], [8], [9]: (a) the trivial name, given for convenience to a new compound, carrying no (or minimal) structural information, and often derived from the biological origin of the material; (b) the systematic name, describing the full structure that comprises the skeleton, the characteristic groups, and the substituent groups; (c) the semi-systematic name, providing a simplified alternative to the systematic name, which often becomes too cumbersome to be continually inserted into the text of a publication. The semi-systematic name is normally achieved by the creation of one of the two possible ‘semi-systematic parents’: (a) the parent hydride or parent structure, which does not have terminal hetero atoms or functional groups and therefore consists only of skeletal atoms and hydrogen; (b) the functional parent, which is a structure that has certain terminal heteroatoms or groups. When applied, the Preferred IUPAC Name (PIN) [6] is also given. The PIN is a name assigned to a chemical substance and preferred among two or more names generated from two or more IUPAC recommendations, including the many synonyms that have been coined and used over the years. These recommendations establish rules for the general nomenclature of flavonoids, providing examples of acceptable trivial, semi-systematic, and fully systematic names that follow the published IUPAC recommendations, e.g. references [6], [7], [8], [9], [10], [11]. Class names for flavonoids, their parent structures, and the order of citation of primed or unprimed locants are revisited and clarified. Names of O- and C-glycosylated derivatives follow established carbohydrate nomenclature [11]. Semi-systematic names are based on the parent structures or their functional parents. These are presented and illustrative examples are provided to avoid ambiguous interpretations.
Flv-2 Flavonoids – Definition and conventions
The term “flavonoid” includes natural and synthetic products and is applied to: (1) compounds whose structural feature is based on derivatives of a phenyl-substituted propylbenzene (in the literature commonly termed 1-phenylpropane) possessing a C15 skeleton; (2) compounds having a C16 skeleton that are phenyl-substituted propylbenzene derivatives (rotenoids); (3) flavonolignans, whose structure is based on derivatives of phenyl-substituted propylbenzene condensed with C6-C3 lignan [12] precursors.
The following carbon frameworks characterize the various flavonoid classes.
Flv-2.1 Flavonoid classes with a C6-C3-C6 carbon framework
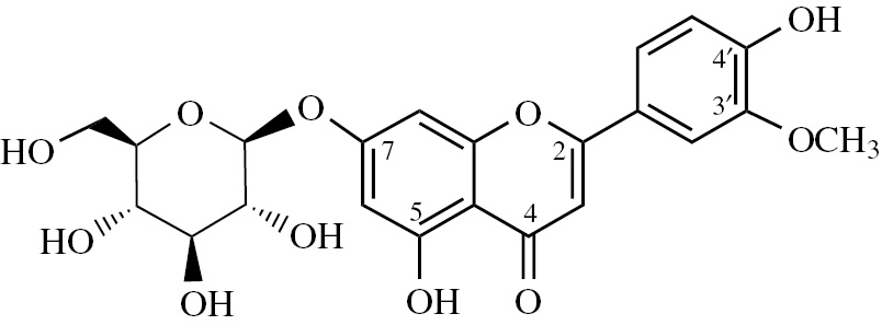
The term flavonoid is also used in a restricted sense as comprising only those compounds with a C6-C3-C6 carbon framework exhibiting the structure of a chromane or that of a 1-benzopyran (PIN) (chromene), in which the fused benzene ring is designated as ring A and the 3,4-dihydro-2H-pyran or the pyran as ring C, along with a (substituted) phenyl group (ring B) on ring C.
Depending on the position of the linkage of ring B to the chromane/1-benzopyran (chromene) moiety, three different classes can be assigned: flavonoids (Flv-2.1.1), isoflavonoids (Flv-2.1.2) and neoflavonoids (Flv-2.1.3).
The other flavonoid classes that have a structure with a C6-C3-C6 carbon framework are the chalcones (Flv-2.1.4), the aurones (Flv-2.1.5), and the pterocarpans and their 3,4-didehydro derivatives (coumestans) (Flv-2.1.6).
Flv-2.1.1 Flavonoids (in restricted sense)
Flavonoids (in restricted sense) include flavans (1) as well as compounds of type 1 with one or two additional double bonds, and carbonyl or hydroxy groups or both in ring C, used to classify flavonoids into different categories, such as flavones, flavonols, and anthocyanidins.
Flv-2.1.1.1 Flavans
Flavans are compounds with a 2-phenyl-3,4-dihydro-2H-1-benzopyran skeleton 1, that may be substituted, and include flavan-3-ols (compounds derived from 2-phenyl-3,4-dihydro-2H-1-benzopyran-3-ol skeleton 2) and flavan-4-ones (compounds derived from 2-phenyl-2,3-dihydro-4H-1-benzopyran-4-one skeleton 3), which are generically designated as flavanols and flavanones, respectively. Compounds derived from 2-phenyl-3,4-dihydro-2H-1-benzopyran-3,4-diol skeleton 4 are flavan-3,4-diols, designated leukoanthocyanidins because these colourless compounds have their structure derived from that of an anthocyanidin (see Flv-2.1.1.3), specifically they are dehydronated 3,4-dihydroxy-1,2,3,4-tetrahydroanthocyanidins.
Flv-2.1.1.2 Flavones and 3-hydroxyflavones (flavonols)
Flavones and 3-hydroxyflavones (flavonols) are compounds with a 2-phenyl-4H-1-benzopyran-4-one (2-phenyl-4H-chromen-4-one) skeleton 5. The term “flavonol” is used as a class name for compounds with a 3-hydroxy-2-phenyl-4H-1-benzopyran-4-one (3-hydroxy-2-phenyl-4H-chromen-4-one) skeleton 6.
Flv-2.1.1.3 Anthocyanidins/anthocyanins (anthocyanidin 3-glycosides)
Anthocyanidins are compounds derived from a flavylium (2-phenyl-1λ4-benzopyran-1-ylium or 2-phenylchromenylium) ion 7. Anthocyanidins display colours from red to purple and, together with the 3-glycosides of anthocyanidin, the anthocyanins, represent a large group of plant pigments.
Flv-2.1.2 Isoflavonoids
The isoflavonoids are compounds derived from the parent structure 3-phenyl-3,4-dihydro-2H-1-benzopyran (8).
Flv-2.1.2.1 Isoflavans
Isoflavans are compounds with a 3-phenyl-3,4-dihydro-2H-1-benzopyran skeleton 8. They may be substituted.
Flv-2.1.2.2 Isoflavones
Isoflavones are compounds with a 3-phenyl-4H-1-benzopyran-4-one (3-phenyl-4H-chromen-4-one) skeleton 9. They may be substituted.
Flv-2.1.3 Neoflavonoids
The neoflavonoids are compounds with a 4-phenyl-3,4-dihydro-2H-1-benzopyran parent structure 10.
Flv-2.1.3.1 Neoflavans
Neoflavans are compounds with a 4-phenyl-3,4-dihydro-2H-1-benzopyran skeleton 10. They may be substituted.
Flv-2.1.3.2 Neoflavones
Neoflavones are compounds with a 4-phenyl-2H-1-benzopyran-2-one (4-phenyl-2H-chromen-2-one) skeleton 11. They may be substituted. Neoflavones are also known as 4-phenylcoumarins.
Flv-2.1.4 Chalcones and dihydrochalcones
Chalcones are compounds derived from (2E)-1,3-diphenylprop-2-en-1-one [chalcone (PIN), structure depicted as in 12a, 12b]. Some of them are intermediates in the biosynthesis of flavonoids, in which the pyran ring C has not yet been formed, and are therefore biogenetically and structurally related to them. Dihydrochalcones are compounds derived from 1,3-diphenylpropan-1-one (PIN, compound 13).
Note – The chalcone structure is depicted in 12a as in the IUPAC recommendations [6], appearing in the literature mostly depicted as in 12b.
Flv-2.1.5 Aurones
Aurones are compounds derived from (2Z)-2-benzylidene-1-benzofuran-3(2H)-one [alternative name: (2Z)-2-(phenylmethylidene)-1-benzofuran-3(2H)-one] (aurone, compound 14).
Flv-2.1.6 Pterocarpans and their 3,4-didehydro derivatives (coumestans)
Pterocarpans are compounds derived from (6aR,11aR)-6a,11a-dihydro-6H-[1]benzofuro[3,2-c][1]benzopyran (15), and their 6a,11a-didehydro derivatives 16 are named coumestans. They are numbered systematically following the numbering rules for fused ring systems (see P-25.3.3 [6] and FR-5 [10]).
Flv-2.2 Rotenoids
Rotenoids comprise rotenanes, which are compounds with a (6aS,12aS)-6,6a,12,12a-tetrahydro[1]-benzopyrano[3,4-b][1]benzopyran skeleton 17b, and rotenones, with a (6aS,12aS)-6a,12a-dihydro[1]-benzopyrano[3,4-b][1]benzopyran-12(6H)-one skeleton 18. They may be substituted. Since the name rotenone has been used not only for the functional parent 18, but also for a more substituted specific compound (see Example 56 in Flv-3.6.6), names based on rotenone are no longer acceptable. Rotenoids are numbered as in 17a when named as rotenane derivatives, but when named systematically, the numbering rules for fused ring systems apply, as in 17b (see P-25.3.3 [6] and FR-5 [10]).
Flv-2.3 Flavonolignans
Flavonolignans have structures based on flavonoids condensed with C6-C3 lignan precursors (see Flv-3.7).
Flv-2.4 Biflavonoids and other flavonoid oligomers
Biflavonoid and other flavonoid oligomers, which occur widely in nature, are exemplified and named in Flv-3.8.
Flv-3 Guide to the construction of semi-systematic names
This section illustrates the construction of semi-systematic names. Examples are given, with trivial names, if known, and the systematic names are added.
Locant sets are arranged in ascending order, i.e. primed locants are placed immediately after the corresponding unprimed locants (P-14.3.5 in [6] and R-0.2.4.2 in [7]). Example: 2′,3,4,4′,6,7 (not 3,4,6,7,2′,4′).
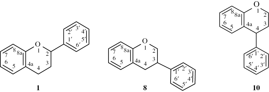
Flv-3.1 Flavans, isoflavans, neoflavans and compounds derived from them
Names of flavans, isoflavans, and neoflavans can be derived from the name of the respective parent hydride (Fig. 1). The presence of a characteristic group is denoted by a prefix or by a suffix attached to the parent name. The suffix is used for the principal characteristic group(s) according to the priority order given in R-4.1 [7], and P-33 and P-41 [6].

Parent hydrides flavan (1), isoflavan (8), and neoflavan (10).
Flv-3.1.1 Flavans
Flv-3.1.1.1 Flavan aglycones
Example 1:
Semi-systematic name
flavan
Systematic names
2-phenyl-3,4-dihydro-2H-1-benzopyran
2-phenylchromane
2-phenyl-3,4-dihydro-2H-chromene
Flv-3.1.1.2 Flavan glycosides
Example 2:
Note – Carbohydrate moieties are shown in conformational form (a), in Mills depiction (b), and in abbreviated form (c) [11].
Semi-systematic name
(2S)-2′,7-bis(β-d-glucopyranosyloxy)-8-(2-hydroxyethyl)-4′-methoxyflavan-5-ol
Systematic names
2-[(2S)-7-(β-d-glucopyranosyloxy)-5-hydroxy-8-(2-hydroxyethyl)-3,4-dihydro-2H-1-benzopyran-2-yl]- 5-methoxyphenyl β-d-glucopyranoside
2-[(2S)-7-(β-d-glucopyranosyloxy)-5-hydroxy-8-(2-hydroxyethyl)-3,4-dihydro-2H-chromen-2-yl]- 5-methoxyphenyl β-d-glucopyranoside
(2S)-7-(β-d-glucopyranosyloxy)-2-[2-(β-d-glucopyranosyloxy)-4-methoxyphenyl]-8-(2-hydroxyethyl)- 3,4-dihydro-2H-1-benzopyran-5-ol
(2S)-7-(β-d-glucopyranosyloxy)-2-[2-(β-d-glucopyranosyloxy)-4-methoxyphenyl]-8-(2-hydroxyethyl)- chroman-5-ol
(2S)-7-(β-d-glucopyranosyloxy)-2-[2-(β-d-glucopyranosyloxy)-4-methoxyphenyl]-8-(2-hydroxyethyl)- 3,4-dihydro-2H-chromen-5-ol
Example 3:
Semi-systematic names
(2S)-7-(β-d-glucopyranosyloxy)-4′-methoxy-8-(3-methylbut-2-en-1-yl)flavan-2′-ol
(2S)-2′-hydroxy-4′-methoxy-8-(3-methylbut-2-en-1-yl)flavan-7-yl β-d-glucopyranoside
Systematic names
(2S)-2-(2-hydroxy-4-methoxyphenyl)-8-(3-methylbut-2-en-1-yl)-3,4-dihydro-2H-1-benzopyran-7-yl β-d-glucopyranoside
(2S)-2-(2-hydroxy-4-methoxyphenyl)-8-(3-methylbut-2-en-1-yl)chroman-7-yl β-d-glucopyranoside
(2S)-2-(2-hydroxy-4-methoxyphenyl)-8-(3-methylbut-2-en-1-yl)-3,4-dihydro-2H-chromen-7-yl β-d-glucopyranoside
2-[(2S)-7-(β-d-glucopyranosyloxy)-8-(3-methylbut-2-en-1-yl)-3,4-dihydro-2H-1-benzopyran-2-yl]- 5-methoxyphenol
2-[(2S)-7-(β-d-glucopyranosyloxy)-8-(3-methylbut-2-en-1-yl)chroman-2-yl]-5-methoxyphenol
2-[(2S)-7-(β-d-glucopyranosyloxy)-8-(3-methylbut-2-en-1-yl)-3,4-dihydro-2H-chromen-2-yl]-5-methoxyphenol
Flv-3.1.1.3 Flavanones
Example 4:
Semi-systematic name
flavan-4-one
Systematic names
2-phenyl-2,3-dihydro-4H-1-benzopyran-4-one
2-phenylchroman-4-one
2-phenyl-2,3-dihydro-4H-chromen-4-one
Example 5:
Semi-systematic name
(2S)-4′,5,7-trihydroxyflavan-4-one
Trivial name
naringenin
Systematic names
(2S)-5,7-dihydroxy-2-(4-hydroxyphenyl)-2,3-dihydro-4H-1-benzopyran-4-one
(2S)-5,7-dihydroxy-2-(4-hydroxyphenyl)chroman-4-one
(2S)-5,7-dihydroxy-2-(4-hydroxyphenyl)-2,3-dihydro-4H-chromen-4-one
Example 6:
Semi-systematic name
(2S)-4′,5,7-trihydroxy-6,8-bis(3-methylbut-2-en-1-yl)flavan-4-one
Trivial names
6,8-bis(3-methylbut-2-en-1-yl)naringenin, 6,8-diprenylnaringenin, lonchocarpol A, senegalensin
Note – The trivial name “senegalensin” is used in the Dictionary of Flavonoids [4] and is kept as such in the present recommendations. In the literature, the incorrect spelling “senegalensein” is found in some instances.
Systematic names
(2S)-5,7-dihydroxy-2-(4-hydroxyphenyl)-6,8-bis(3-methylbut-2-en-1-yl)-2,3-dihydro-4H-1-benzopyran-4-one
(2S)-5,7-dihydroxy-2-(4-hydroxyphenyl)-6,8-bis(3-methylbut-2-en-1-yl)chroman-4-one
(2S)-5,7-dihydroxy-2-(4-hydroxyphenyl)-6,8-bis(3-methylbut-2-en-1-yl)-2,3-dihydro-4H-chromen-4-one
Example 7:
Semi-systematic name
(2R,3R)-3-hydroxyflavan-4-one
Not: flavanon-3-ol (see P-41, table 4.1 in the 2013 IUPAC recommendations [6], R-4.1, table 10 in [7] and C-0.0 (2) (b) in the 1979 recommendations [8]).
Systematic names
(2R,3R)-3-hydroxy-2-phenyl-2,3-dihydro-4H-1-benzopyran-4-one
(2R,3R)-3-hydroxy-2-phenylchroman-4-one
(2R,3R)-3-hydroxy-2-phenyl-2,3-dihydro-4H-chromen-4-one
Example 8:
Semi-systematic name
(2R,3R)-4′,5-dihydroxy-7-methoxy-4-oxoflavan-3-yl acetate
Not: (2R,3R)-4′,5-dihydroxy-7-methoxyflavanone 3-acetate
Trivial names
7-O-methylaromadendrin 3-acetate
Not: 3-O acetyl-7-O-methylaromadendrin
Systematic names
(2R,3R)-5-hydroxy-2-(4-hydroxyphenyl)-7-methoxy-4-oxo-3,4-dihydro-2H-1-benzopyran-3-yl acetate
(2R,3R)-5-hydroxy-2-(4-hydroxyphenyl)-7-methoxy-4-oxochroman-3-yl acetate
(2R,3R)-5-hydroxy-2-(4-hydroxyphenyl)-7-methoxy-4-oxo-3,4-dihydro-2H-chromen-3-yl acetate
Flv-3.1.2 Isoflavans
Example 9:
Semi-systematic name
(3R)-isoflavan-7-ol
Systematic names
(3R)-3-phenyl-3,4-dihydro-2H-1-benzopyran-7-ol
(3R)-3-phenylchroman-7-ol
(3R)-3-phenyl-3,4-dihydro-2H-chromen-7-ol
Example 10:
Semi-systematic name
rac-2′,4′,5,7-tetrahydroxyisoflavan-4-one
Trivial name
dalbergioidin
Systematic names
rac-3-(2,4-dihydroxyphenyl)-5,7-dihydroxy-2,3-dihydro-4H-1-benzopyran-4-one
rac-3-(2,4-dihydroxyphenyl)-5,7-dihydroxychroman-4-one
rac-3-(2,4-dihydroxyphenyl)-5,7-dihydroxy-2,3-dihydro-4H-chromen-4-one
Flv-3.1.3 Neoflavans
Example 11:
Semi-systematic name
(4R)-neoflavan-7-ol
Systematic names
(4R)-4-phenyl-3,4-dihydro-2H-1-benzopyran-7-ol
(4R)-4-phenylchroman-7-ol
(4R)-4-phenyl-3,4-dihydro-2H-chromen-7-ol
Flv-3.2 Flavones, isoflavones, neoflavones and compounds derived from them
Names of flavones, isoflavones, and neoflavones can be derived from the names of the respective functional parents (Fig. 2), which already contain one carbonyl group as an implied suffix. When substituents are among those characteristic groups with a lower priority than ketones, they have to be cited as prefixes, according to table 10, Section R-4.1 [7].

Functional parents flavone (5), isoflavone (9), and neoflavone (11).
When the principal characteristic group has a higher priority than a ketone, according to table 10, Section R-4.1 [7] (see also table 3.3 in P-33.2 and table 4.1 in P-41 [6]), names of flavones, isoflavones, and neoflavones are derived from the respective flavan, isoflavan, or neoflavan parent hydride. Such groups are radicals, ions, acids, acid derivatives (anhydrides, esters, acyl halides, amides), nitriles, aldehydes, and chalcogen analogues of aldehydes.
Flavones, isoflavones, and neoflavones containing a substructure with more than one carbonyl group are named systematically on the basis of the respective parent hydride modified by the appropriate suffix, i.e. -dione, -trione, etc.
Flv-3.2.1 Flavones
Flv-3.2.1.1 Flavone aglycones
Example 12:
Semi-systematic name
flavone
Systematic names
2-phenyl-4H-1-benzopyran-4-one
2-phenyl-4H-chromen-4-one
Example 13:
Semi-systematic name
4′,5,7-trihydroxyflavone
Trivial name
apigenin
Systematic names
5,7-dihydroxy-2-(4-hydroxyphenyl)-4H-1-benzopyran-4-one
5,7-dihydroxy-2-(4-hydroxyphenyl)-4H-chromen-4-one
Example 14:
Semi-systematic name
3′,5,7-trihydroxy-4′-methoxyflavone
Trivial name
diosmetin
Systematic names
5,7-dihydroxy-2-(3-hydroxy-4-methoxyphenyl)-4H-1-benzopyran-4-one
5,7-dihydroxy-2-(3-hydroxy-4-methoxyphenyl)-4H-chromen-4-one
Example 15:
Semi-systematic name
2-(piperidin-1-yl)ethyl 3-methyl-4-oxoflav-2-ene-8-carboxylate
Not: 2-(piperidin-1-yl)ethyl 3-methyl-4-oxo-2,3-didehydroflavan-8-carboxylate (RF-8.1 [9]).
Trivial name
flavoxate
Note – Flavoxate is the International Nonproprietary Name (INN) for the anticholinergic drug.
Systematic names
2-(piperidin-1-yl)ethyl 3-methyl-4-oxo-2-phenyl-4H-1-benzopyran-8-carboxylate
2-(piperidin-1-yl)ethyl 3-methyl-4-oxo-2-phenyl-4H-chromene-8-carboxylate
Flv-3.2.1.2 Flavone glycosides
Example 16:
Semi-systematic name
7-(β-d-glucopyranosyloxy)-4′,5-dihydroxy-3′-methoxyflavone
Trivial name
7-O-(β-d-glucopyranosyl)chrysoeriol
Systematic names
5-hydroxy-2-(4-hydroxy-3-methoxyphenyl)-4-oxo-4H-1-benzopyran-7-yl β-d-glucopyranoside
5-hydroxy-2-(4-hydroxy-3-methoxyphenyl)-4-oxo-4H-chromen-7-yl β-d-glucopyranoside
7-(β-d-glucopyranosyloxy)-5-hydroxy-2-(4-hydroxy-3-methoxyphenyl)-4H-1-benzopyran-4-one
7-(β-d-glucopyranosyloxy)-5-hydroxy-2-(4-hydroxy-3-methoxyphenyl)-4H-chromen-4-one
Example 17:
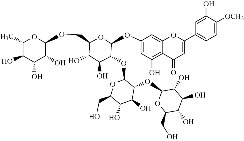
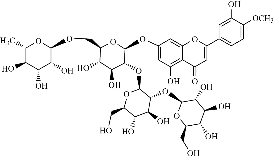
Semi-systematic name
7-{β-d-glucopyranosyl-(1→2)-β-d-glucopyranosyl-(1→2)-[α-l-rhamnopyranosyl-(1→6)]- β-d-glucopyranosyloxy}-3′,5-dihydroxy-4′-methoxyflavone
Trivial name
7-O-{β-d-glucopyranosyl-(1→2)-β-d-glucopyranosyl-(1→2)-[α-l-rhamnopyranosyl-(1→6)]- β-d-glucopyranosyl}diosmetin
Not: diosmetin 7-{β-d-glucopyranosyl-(1→2)-β-d-glucopyranosyl-(1→2)-[α-l-rhamnopyranosyl-(1→6)]- β-d-glucopyranoside} (because it specifies the oxygen atom at position 7 twice as diosmetin has a 7-OH and the term glucopyranoside includes both oxygen atoms of the anomeric acetal function.
Systematic names
5-hydroxy-2-(3-hydroxy-4-methoxyphenyl)-4-oxo-4H-1-benzopyran-7-yl 6-deoxy-α-l-mannopyranosyl-(1→6)-[β-d-glucopyranosyl-(1→2)-β-d-glucopyranosyl-(1→2)]-β-d-glucopyranoside
5-hydroxy-2-(3-hydroxy-4-methoxyphenyl)-4-oxo-4H-chromen-7-yl 6-deoxy-α-l-mannopyranosyl-(1→6)- [β-d-glucopyranosyl-(1→2)-β-d-glucopyranosyl-(1→2)]-β-d-glucopyranoside
7-{6-deoxy-α-l-mannopyranosyl-(1→6)-[β-d-glucopyranosyl-(1→2)-β-d-glucopyranosyl-(1→2)]- β-d-glucopyranosyloxy}-5-hydroxy-2-(3-hydroxy-4-methoxyphenyl)-4H-1-benzopyran-4-one
7-{6-deoxy-α-l-mannopyranosyl-(1→6)-[β-d-glucopyranosyl-(1→2)-β-d-glucopyranosyl-(1→2)]- β-d-glucopyranosyloxy}-5-hydroxy-2-(3-hydroxy-4-methoxyphenyl)-4H-chromen-4-one
Example 18:
Semi-systematic name
methyl (4′,5-dihydroxy-4-oxoflav-2-en-7-yl 2-O-acetyl-β-d-glucopyranosid)uronate
Not: methyl (4′,5-dihydroxy-4-oxo-2,3-didehydroflavan-7-yl 2-O-acetyl-β-d-glucopyranosid)uronate (RF-8.1 in [9])
Not: methyl (4′,5-dihydroxyflavon-7-yl 2-O-acetyl-β-d-glucopyranosid)uronate (rule C-0.0 (2) (b) in the 1979 recommendations [8]).
Trivial name
7-O-(methyl 2-O-acetyl-β-d-glucopyranosyluronate)apigenin
Not: methyl [apigenin 7-(2-O-acetyl-β-d-glucopyranosiduronate)] (because it specifies the oxygen atom at position 7 twice)
Note – The general rule that a name cannot contain two suffixes can be sometimes infringed in carbohydrate nomenclature, such as with “yluronate” in the trivial name (see 2-Carb-22 in [11]).
Systematic names
methyl [5-hydroxy-2-(4-hydroxyphenyl)-4-oxo-4H-1-benzopyran-7-yl 2-O-acetyl-β-d-glucopyranosid]uronate
methyl [5-hydroxy-2-(4-hydroxyphenyl)-4-oxo-4H-chromen-7-yl 2-O-acetyl-β-d-glucopyranosid]uronate
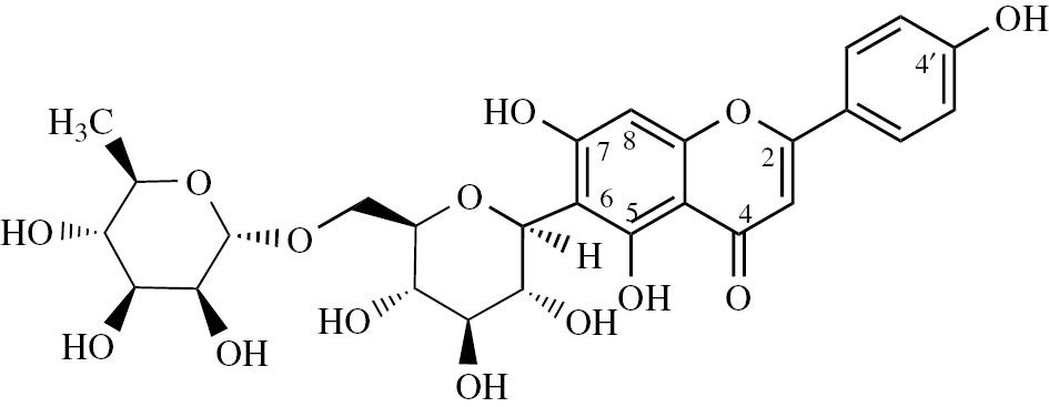
Flv-3.2.1.3 C-Glycosyl substituted flavones
Compounds arising formally from the elimination of water from the anomeric hydroxy group and a hydrogen atom bound to a carbon atom (thus creating a C–C bond) are named using the appropriate glycosyl group [11]. In the past they have been frequently named as flavonoid C-glycosides, but this terminology is not recommended (2-Carb-33.7 [11]).
Example 19:
Semi-systematic name
8-(β-d-glucopyranosyl)-4′,5,7-trihydroxyflavone
Trivial names
vitexin
8-(β-d-glucopyranosyl)apigenin
Not: 8-C-(β-d-glucopyranosyl)apigenin, because the substituent ‘β-d-glucopyranosyl’ is linked directly from its anomeric carbon to C-8 of the aglycone, and the use of C to reinforce this C–C bond is not necessary.
Systematic names
8-(β-d-glucopyranosyl)-5,7-dihydroxy-2-(4-hydroxyphenyl)-4H-1-benzopyran-4-one
8-(β-d-glucopyranosyl)-5,7-dihydroxy-2-(4-hydroxyphenyl)-4H-chromen-4-one
(1S)-1,5-anhydro-1-[5,7-dihydroxy-2-(4-hydroxyphenyl)-4-oxo-4H-1-benzopyran-8-yl]-d-glucitol
(1S)-1,5-anhydro-1-[5,7-dihydroxy-2-(4-hydroxyphenyl)-4-oxo-4H-chromen-8-yl]-d-glucitol
Note – In general organic-chemical nomenclature, the prefix anhydro is treated as nondetachable, but in carbohydrate nomenclature it has traditionally been detachable, i.e. alphabetized amongst the substituent prefixes (see 2-Carb-26 [11] and P-102.4 [6]).
Example 20:
Semi-systematic name
6-(β-d-glucopyranosyl)-4′,5-dihydroxy-7-methoxyflavone
Trivial name
6-(β-d-glucopyranosyl)-7-O-methylapigenin
Systematic names
6-(β-d-glucopyranosyl)-5-hydroxy-2-(4-hydroxyphenyl)-7-methoxy-4H-1-benzopyran-4-one
6-(β-d-glucopyranosyl)-5-hydroxy-2-(4-hydroxyphenyl)-7-methoxy-4H-chromen-4-one
(1S)-1,5-anhydro-1-[5-hydroxy-2-(4-hydroxyphenyl)-7-methoxy-4-oxo-4H-1-benzopyran-6-yl]-d-glucitol
(1S)-1,5-anhydro-1-[5-hydroxy-2-(4-hydroxyphenyl)-7-methoxy-4-oxo-4H-chromen-6-yl]-d-glucitol
Note – See note to Example 19.
Example 21:
Semi-systematic name
6,8-di-(α-l-arabinopyranosyl)-4′,5,7-trihydroxyflavone
Trivial name
6,8-di-(α-l-arabinopyranosyl)apigenin
Not: apigenin 6,8-di-C-α-l-arabinopyranoside, because an α-l-arabinopyranosyl substituent is linked by the anomeric carbon atom to C-6 and to C-8 an of apigenin. The anomeric carbon is not linked to an oxygen atom, but to a carbon atom, and it is incorrect to name this compound as a pyranoside that includes both oxygen atoms of the anomeric acetal function [11].
Systematic names
6,8-di-(α-l-arabinopyranosyl)-5,7-dihydroxy-2-(4-hydroxyphenyl)-4H-1-benzopyran-4-one
6,8-di-(α-l-arabinopyranosyl)-5,7-dihydroxy-2-(4-hydroxyphenyl)-4H-chromen-4-one
Example 22:
Semi-systematic name
6-(α-l-arabinopyranosyl)-8-(β-d-glucopyranosyl)-3′,4′,5,7-tetrahydroxyflavone
Trivial names
isocarlinoside
6-(α-l-arabinopyranosyl)-8-(β-d-glucopyranosyl)luteolin
Not: 6-C-(α-l-arabinopyranosyl)luteolin 8-β-d-glucopyranoside (since it specifies an oxygen atom linked to position 8, because the term glucopyranoside includes both oxygen atoms of the anomeric acetal function).
Systematic names
6-(α-l-arabinopyranosyl)-2-(3,4-dihydroxyphenyl)-8-(β-d-glucopyranosyl)-5,7-dihydroxy-4H-1-benzopyran-4-one
6-(α-l-arabinopyranosyl)-2-(3,4-dihydroxyphenyl)-8-(β-d-glucopyranosyl)-5,7-dihydroxy-4H-chromen-4-one
Example 23:
Semi-systematic name
4′,5,7-trihydroxy-6-[α-d-rhamnopyranosyl-(1→6)-β-d-glucopyranosyl]flavone
Trivial names
dulcinoside
6-[α-d-rhamnopyranosyl-(1→6)-β-d-glucopyranosyl]apigenin
Not: 6-C-[6″-O-(α-d-rhamnopyranosyl)-β-d-glucopyranosyl]apigenin, see the IUPAC Recommendations for Carbohydrate Nomenclature [11]. Apigenin does not have any hydroxy group at position 6, thus the anomeric carbon atom is linked to position 6 by a C–C bond and this should not be specified twice.
Systematic names
6-[6-deoxy-α-d-mannopyranosyl-(1→6)-β-d-glucopyranosyl]-5,7-dihydroxy-2-(4-hydroxyphenyl)- 4H-1-benzopyran-4-one
6-[6-deoxy-α-d-mannopyranosyl-(1→6)-β-d-glucopyranosyl]-5,7-dihydroxy-2-(4-hydroxyphenyl)- 4H-chromen-4-one
(1S)-1,5-anhydro-6-O-(6-deoxy-α-d-mannopyranosyl)-1-[5,7-dihydroxy-2-(4-hydroxyphenyl)-4-oxo- 4H-1-benzopyran-6-yl]-d-glucitol
Flv-3.2.1.4 Flavonols and flavonol glycosides
Example 24:
Semi-systematic name
3-hydroxyflavone
Systematic name
3-hydroxy-2-phenyl-4H-1-benzopyran-4-one
3-hydroxy-2-phenyl-4H-chromen-4-one
Example 25:
Semi-systematic name
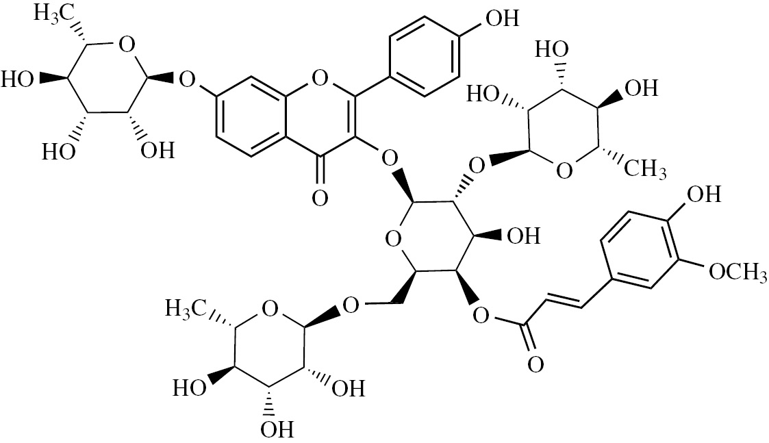
4′-hydroxy-3-{4-O-[(2E)-3-(4-hydroxy-3-methoxyphenyl)prop-2-enoyl]-[α-l-rhamnopyranosyl-(1→2)]- [α-l-rhamnopyranosyl-(1→6)]-β-d-galactopyranosyloxy}-7-(α-l-rhamnopyranosyloxy)flavone
Systematic names
7-(6-deoxy-α-l-mannopyranosyloxy)-2-(4-hydroxyphenyl)-4-oxo-4H-1-benzopyran-3-yl [6-deoxy- α-l-mannopyranosyl-(1→2)]-[6-deoxy-α-l-mannopyranosyl-(1→6)]-4-O-[(2E)-3-(4-hydroxy-3-methoxyphenyl)-prop-2-enoyl]-β-d-galactopyranoside
7-(6-deoxy-α-l-mannopyranosyloxy)-2-(4-hydroxyphenyl)-4-oxo-4H-chromen-3-yl [6-deoxy- α-l-mannopyranosyl-(1→2)]-[6-deoxy-α-l-mannopyranosyl-(1→6)]-4-O-[(2E)-3-(4-hydroxy-3-methoxyphenyl)-prop-2-enoyl]-β-d-galactopyranoside
{7-(6-deoxy-α-l-mannopyranosyloxy)-2-(4-hydroxyphenyl)-4-oxo-4H-1-benzopyran-3-yl 4-deoxy-[6-deoxy- α-l-mannopyranosyl-(1→2)]-[6-deoxy-α-l-mannopyranosyl-(1→6)]-β-d-galactopyranosid-4-yl} (2E)-3-(4-hydroxy-3-methoxyphenyl)prop-2-enoate
{7-(6-deoxy-α-l-mannopyranosyloxy)-2-(4-hydroxyphenyl)-4-oxo-4H-chromen-3-yl 4-deoxy-[6-deoxy- α-l-mannopyranosyl-(1→2)]-[6-deoxy-α-l-mannopyranosyl-(1→6)]-β-d-galactopyranosid-4-yl} (2E)-3-(4-hydroxy-3-methoxyphenyl)prop-2-enoate
3-{[6-deoxy-α-l-mannopyranosyl-(1→2)]-[6-deoxy-α-l-mannopyranosyl-(1→6)]-4-O-[(2E)-3-(4-hydroxy- 3-methoxyphenyl)prop-2-enoyl]-β-d-galactopyranosyloxy}-7-(6-deoxy-α-l-mannopyranosyloxy)- 2-(4-hydroxyphenyl)-4H-1-benzopyran-4-one
3-{[6-deoxy-α-l-mannopyranosyl-(1→2)]-[6-deoxy-α-l-mannopyranosyl-(1→6)]-4-O-[(2E)-3-(4-hydroxy- 3-methoxyphenyl)prop-2-enoyl]-β-d-galactopyranosyloxy}-7-(6-deoxy-α-l-mannopyranosyloxy)- 2-(4-hydroxyphenyl)-4H-chromen-4-one
Flv-3.2.2 Isoflavones and isoflavone glycosides
Flv-3.2.2.1 Isoflavone aglycones
Example 26:
Semi-systematic name
isoflavone
Systematic name
3-phenyl-4H-1-benzopyran-4-one
3-phenyl-4H-chromen-4-one
Example 27:
Semi-systematic name
4′,5,7-trihydroxyisoflavone
Trivial name
genistein
Systematic names
5,7-dihydroxy-3-(4-hydroxyphenyl)-4H-1-benzopyran-4-one
5,7-dihydroxy-3-(4-hydroxyphenyl)-4H-chromen-4-one
Flv-3.2.2.2 Isoflavone glycosides
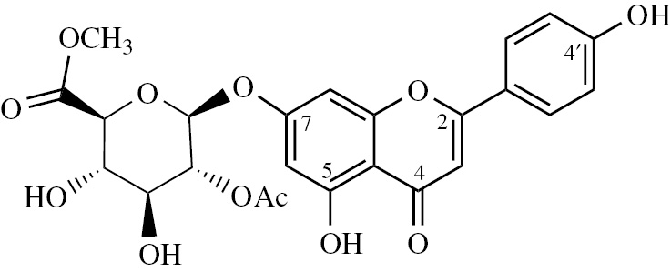
Example 28:
Semi-systematic name
7-(β-d-glucopyranosyloxy)-4′,5-dihydroxyisoflavone
Trivial names
genistin
7-O-(β-d-glucopyranosyl)genistein
Systematic names
5-hydroxy-3-(4-hydroxyphenyl)-4-oxo-4H-1-benzopyran-7-yl β-d-glucopyranoside
5-hydroxy-3-(4-hydroxyphenyl)-4-oxo-4H-chromen-7-yl β-d-glucopyranoside
7-(β-d-glucopyranosyloxy)-5-hydroxy-3-(4-hydroxyphenyl)-4H-1-benzopyran-4-one
7-(β-d-glucopyranosyloxy)-5-hydroxy-3-(4-hydroxyphenyl)-4H-chromen-4-one
Flv-3.2.3 Neoflavones and neoflavone glycosides
Flv-3.2.3.1 Neoflavone aglycones
Example 29:
Semi-systematic name
neoflavone
Trivial name
4-phenylcoumarin
Systematic names
4-phenyl-2H-1-benzopyran-2-one
4-phenyl-2H-chromen-2-one
Example 30:
Semi-systematic name
3′,6-dihydroxy-4′,7-dimethoxyneoflavone
Trivial name
melannein
Systematic names
6-hydroxy-4-(3-hydroxy-4-methoxyphenyl)-7-methoxy-2H-1-benzopyran-2-one
6-hydroxy-4-(3-hydroxy-4-methoxyphenyl)-7-methoxy-2H-chromen-2-one
Flv-3.2.3.2 Neoflavone glycosides
Example 31:
Semi-systematic name
7-(β-d-glucopyranosyloxy)-8-methylneoflavone
Trivial name
7-(β-d-glucopyranosyloxy)-8-methyl-4-phenylcoumarin
Systematic names
8-methyl-2-oxo-4-phenyl-2H-1-benzopyran-7-yl β-d-glucopyranoside
8-methyl-2-oxo-4-phenyl-2H-chromen-7-yl β-d-glucopyranoside
7-(β-d-glucopyranosyloxy)-8-methyl-4-phenyl-2H-1-benzopyran-2-one
7-(β-d-glucopyranosyloxy)-8-methyl-4-phenyl-2H-chromen-2-one
Flv-3.3 Chalcones and dihydrochalcones
There is ambiguity in the literature concerning the numbering of the carbon atoms in chalcone. Most authors, following IUPAC rule C-313.2 [8] as applied with alkyl aryl ketones such as acetophenone, have assigned primed numbers to atoms in the phenyl ring attached to the carbonyl group, and unprimed numbers to atoms in the other phenyl group. Atoms of the ethene-1,2-diyl linker have been designated α and β. Some authors have used a reverse system, assigning unprimed numbers to the ring attached to the carbonyl group and primed numbers to the other phenyl ring. [The latter usage correlates with the numbering in the flavan parent structure (Flv-2.1.1.1) that arises biosynthetically from a chalcone].
Because of this ambiguity, the term chalcone has been restricted since 1993 to its use as a retained name of “Type 3, no substitution” (R-9.1, table 27a [7]), and individual substituted chalcones are named systematically, based usually on (2E)-prop-2-en-1-one.
The Dictionary of Flavonoids [4] and other standard sources [1], for example, adhere consistently to the numbering of chalcones according to IUPAC rule C-313.2 [8], and the alternative usage has been largely abandoned. Since the use of Greek letters as locants has been restricted, it is now proposed that the term chalcone as a functional parent be retained as a “Type 2, limited substitution” name (P-64.2.1.1 [6]). This allows substitution in the phenyl rings, except where a substituent has priority over the carbonyl group, in which situation a fully systematic name is required (Examples 34, and 35). For the same reason, dihydrochalcones are named systematically (Example 36).
Example 32:
Semi-systematic name
chalcone (PIN)
Systematic name
(2E)-1,3-diphenylprop-2-en-1-one
Example 33:
Semi-systematic name
4-(dimethylamino)-2′,5′-dihydroxychalcone (PIN)
Systematic name
(2E)-1-(2,5-dihydroxyphenyl)-3-[4-(dimethylamino)phenyl]prop-2-en-1-one
Example 34:
Systematic name
4-[(1E)-3-oxo-3-phenylprop-1-en-1-yl]benzonitrile (PIN)
Example 35:
Systematic name
2-[(2E)-3-phenylprop-2-enoyl]benzoic acid (PIN)
Example 36:
Systematic name
1-(4-hydroxy-2-methoxyphenyl)-3-phenylpropan-1-one (PIN)
Flv-3.4 Aurones
Flv-3.4.1 Aurone aglycones
Example 37:
Semi-systematic name
aurone
Systematic name
(2Z)-2-benzylidene-1-benzofuran-3(2H)-one
(2Z)-2-(phenylmethylidene)-1-benzofuran-3(2H)-one
Example 38:
Semi-systematic name
3′,4,4′,6-tetrahydroxyaurone
Trivial name
aureusidin
Systematic name
(2Z)-2-[(3,4-dihydroxyphenyl)methylidene]-4,6-dihydroxy-1-benzofuran-3(2H)-one
(2Z)-2-(3,4-dihydroxybenzylidene)-4,6-dihydroxy-1-benzofuran-3(2H)-one
Flv-3.4.2 Aurone glycosides
Example 39:
Semi-systematic name
6-(β-d-glucopyranosyloxy)-4,4′-dihydroxyaurone
Systematic name
(2Z)-6-(β-d-glucopyranosyloxy)-4-hydroxy-2-(4-hydroxybenzylidene)-1-benzofuran-3(2H)-one
(2Z)-6-(β-d-glucopyranosyloxy)-4-hydroxy-2-[(4-hydroxyphenyl)methylidene]-1-benzofuran-3(2H)-one
Flv-3.5 Anthocyanidins and anthocyanidin 3-glycosides (anthocyanins)
Flv-3.5.1 Anthocyanidins
Anthocyanidins contain a flavylium (2-phenyl-1λ4-benzopyran-1-ylium, 2-phenylchromenylium) ion as a parent structure.
Example 40:
Semi-systematic name
3,3′,4′,5,7-pentahydroxyflavylium (also accepted as a retained name – see P-73.3.2, table 7.5 in [6])
Trivial name
cyanidin
Systematic names
2-(3,4-dihydroxyphenyl)-3,5,7-trihydroxy-1λ4-benzopyran-1-ylium
2-(3,4-dihydroxyphenyl)-3,5,7-trihydroxychromenylium
Flv-3.5.2 Anthocyanins
Example 41:
Semi-systematic name
3-(β-d-glucopyranosyloxy)-3′,4′,5,7-tetrahydroxyflavylium (also accepted as a retained name – see P-73.3.2, table 7.5 in [6])
Trivial name
3-O-(β-d-glucopyranosyl)cyanidin
Systematic names
2-(3,4-dihydroxyphenyl)-3-(β-d-glucopyranosyloxy)-5,7-dihydroxy-1λ4-benzopyran-1-ylium
2-(3,4-dihydroxyphenyl)-3-(β-d-glucopyranosyloxy)-5,7-dihydroxychromenylium
Example 42:
Semi-systematic name
3′,4′,5,7-tetrahydroxy-3-{6-O-[(E)-3-(4-hydroxyphenyl)prop-2-enoyl]-β-d-glucopyranosyloxy}flavylium (also accepted as a retained name – see P-73.3.2, table 7.5 in [6])
Trivial name
3-O-{6-O-[(E)-3-(4-hydroxyphenyl)prop-2-enoyl]-β-d-glucopyranosyl}cyanidin
Systematic names
2-(3,4-dihydroxyphenyl)-5,7-dihydroxy-3-{6-O-[(2E)-3-(4-hydroxyphenyl)prop-2-enoyl]-β-d-glucopyranosyloxy}-1λ4-benzopyran-1-ylium
2-(3,4-dihydroxyphenyl)-5,7-dihydroxy-3-{6-O-[(2E)-3-(4-hydroxyphenyl)prop-2-enoyl]-β-d-glucopyranosyloxy}chromenylium
Example 43:
Semi-systematic name
3′,4′,5,7-tetrahydroxy-3-[α-l-rhamnopyranosyl-(1→6)-β-d-glucopyranosyloxy]flavylium
Trivial name
3-O-β-rutinosylcyanidin
Systematic names
3-[6-deoxy-α-l-mannopyranosyl-(1→6)-β-d-glucopyranosyloxy]-2-(3,4-dihydroxyphenyl)-5,7-dihydroxy- 1λ4-benzopyran-1-ylium
3-[6-deoxy-α-l-mannopyranosyl-(1→6)-β-d-glucopyranosyloxy]-2-(3,4-dihydroxyphenyl)-5,7-dihydroxychromenylium
Example 44:
Semi-systematic name
3,7-bis(β-d-glucopyranosyloxy)-3′,4′,5-trihydroxyflavylium
Trivial name
3,7-di-O-(β-d-glucopyranosyl)cyanidin
Note – The multiplicative prefix “di” is used with non-substituted substituents, but with substituted substituents “bis” must be used (P-14.2 in [6], R-0.1.4 in [7]).
Systematic names
2-(3,4-dihydroxyphenyl)-3,7-bis(β-d-glucopyranosyloxy)-5-hydroxy-1λ4-benzopyran-1-ylium
2-(3,4-dihydroxyphenyl)-3,7-bis(β-d-glucopyranosyloxy)-5-hydroxychromenylium
Flv-3.6 Flavonoids containing additional fused/spiro rings in their structures
Locants for additional rings must be double primed to prevent confusion with those for the phenyl ring, which are already single primed.
Flv-3.6.1 Flavones
Example 45:
Semi-systematic name
5-hydroxy-6,7-[methylenebis(oxy)]flavone
Systematic names
9-hydroxy-6-phenyl-8H-[1,3]dioxolo[4,5-g][1]benzopyran-8-one
9-hydroxy-6-phenyl-8H-[1,3]dioxolo[4,5-g]chromen-8-one
Note – Systematic numbering is given below:
Flv-3.6.2 Chalcones
Example 46:
Semi-systematic name
3,4-[methylenebis(oxy)]chalcone
Systematic names
(2E)-3-(1,3-benzodioxol-5-yl)-1-phenylprop-2-en-1-one
Flv-3.6.3 Aurones
Example 47:
Semi-systematic name
(+)-2-methoxy-2,21-dihydrofuro[2″,3″:6,7]aurone
Trivial name
castillene A
Systematic name
(+)-2-benzyl-2-methoxybenzo[1,2-b:3,4-b′]difuran-3(2H)-one
Example 48:
Semi-systematic name
21,4,4′,5′,6-pentahydroxy-21,6″-dihydropyrano[2″,3″,4″,5″:2,21,1′,2′]aurone
Trivial name
crombenin
Systematic names
4,4′,6,6′,7′-pentahydroxy-1′,4′-dihydro-3H-spiro[[1]benzofuran-2,3′-[2]benzopyran]-3-one
4,4′,6,6′,7′-pentahydroxy-3H-spiro[[1]benzofuran-2,3′-isochroman]-3-one
Note – Systematic numbering is given below:
Flv-3.6.4 Anthocyanidins/Anthocyanins
Example 49:
Semi-systematic name
6″-(3,4-dihydroxyphenyl)-3-(β-d-glucopyranosyloxy)-4′,7-dihydroxy-3′,5′-dimethoxypyrano[4″,3″,2″:4,5]-flavylium
Systematic names
5-(3,4-dihydroxyphenyl)-3-(β-d-glucopyranosyloxy)-8-hydroxy-2-(4-hydroxy-3,5-dimethoxyphenyl)- 1λ4-pyrano[4,3,2-de][1]benzopyran-1-ylium
5-(3,4-dihydroxyphenyl)-3-(β-d-glucopyranosyloxy)-8-hydroxy-2-(4-hydroxy-3,5-dimethoxyphenyl)-pyrano[4,3,2-de]chromenylium
Note – Systematic numbering [6,10] is given below:
Example 50:
Semi-systematic name
3′,4′,7,8″,9″-pentahydroxy-6″-oxo-6″H-1″,5″-dioxaphenaleno[4″,3″,2″:3,4,5]flavylium
Trivial name
rosacyanin B
Systematic name
11-(3,4-dihydroxyphenyl)-4,5,8-trihydroxy-2H-1,6-dioxa-10-oxoniabenzo[cd]pyren-2-one
Note – Systematic numbering [6,10] is given below:
Flv-3.6.5 Pterocarpans
Although simple pterocarpans are ring-closure products of isoflavonoids, systematic numbering is used [6,10].
Example 51:
Semi-systematic name
pterocarpan
Systematic names
(6aR,11aR)-6a,11a-dihydro-6H-[1]benzofuro[3,2-c][1]benzopyran
(6aR,11aR)-6a,11a-dihydro-6H-[1]benzofuro[3,2-c]chromene
Example 52:
Semi-systematic name
9-methoxypterocarpan-3-ol
Trivial name
(−)-medicarpin
Systematic names
(6aR,11aR)-9-methoxy-6a,11a-dihydro-6H-[1]benzofuro[3,2-c][1]benzopyran-3-ol
(6aR,11aR)-9-methoxy-6a,11a-dihydro-6H-[1]benzofuro[3,2-c]chromen-3-ol
Example 53:
Semi-systematic names
3,9-dihydroxypterocarp-6a(11a)-en-6-one
3,9-dihydroxycoumestan-6-one
Not: 3,9-dihydroxy-6a,11a-didehydropterocarpan-6-one, because of rule RF-8.1 on introduction of unsaturation in parent names ending with ‘an’ [9].
Trivial name
coumestrol
Systematic names
3,9-dihydroxy-6H-[1]benzofuro[3,2-c][1]benzopyran-6-one
3,9-dihydroxy-6H-[1]benzofuro[3,2-c]chromen-6-one
Flv-3.6.6 Rotenoids
Example 54:
Semi-systematic name
Rotenane
Systematic names
(6aS,12aS)-6,6a,12,12a-tetrahydro[1]benzopyrano[3,4-b][1]benzopyran
(6aS,12aS)-6,6a,12,12a-tetrahydrochromeno[3,4-b]chromene
Note – Systematic numbering [6,10] is given below:
Example 55:
Semi-systematic name
5-hydroxy-4′,5′,7-trimethoxyrotenan-4-one
Trivial name
sermundone
Systematic names
(6aS,12aS)-11-hydroxy-2,3,9-trimethoxy-6a,12a-dihydro[1]benzopyrano[3,4-b][1]benzopyran-12(6H)-one
(6aS,12aS)-11-hydroxy-2,3,9-trimethoxy-6a,12a-dihydrochromeno[3,4-b]chromen-12(6H)-one
Example 56:
Semi-systematic name
(5″R)-4′,5′-dimethoxy-5″-(prop-1-en-2-yl)-4″,5″-dihydrofuro[2″,3″:7,8]rotenan-4-one
Trivial name
Not: rotenone
Note – Since the name rotenone is identical to that of the functional parent 18 (see Flv-2.2) its use is no longer recommended.
Systematic names
(2R,6aS,12aS)-8,9-dimethoxy-2-(prop-1-en-2-yl)-1,2,12,12a-tetrahydro[1]benzopyrano[3,4-b]furo[2,3-h]- [1]benzopyran-6(6aH)-one
(2R,6aS,12aS)-8,9-dimethoxy-2-(prop-1-en-2-yl)-1,2,12,12a-tetrahydrochromeno[3,4-b]furo[2,3-h]- chromen-6(6aH)-one
Note – Systematic numbering [6,10] is given below:
Example 57:
Semi-systematic name
(5″R)-4′,5′-dimethoxy-5″-(prop-1-en-2-yl)-4″,5″-dihydrofuro[2″,3″:7,8]roten-2-ene-21,4-dione
Not: (5″R)-4′,5′-dimethoxy-5″-(prop-1-en-2-yl)-2,3-didehydro-4″,5″-dihydrofuro[2″,3″:7,8]rotenane-21,4-dione, because of rule RF-8.1 on introduction of unsaturation in parent names ending with ‘an’ [9].
Systematic names
(2R)-8,9-dimethoxy-2-(prop-1-en-2-yl)-1,2-dihydro[1]benzopyrano[3,4-b]furo[2,3-h][1]benzopyran-6,12-dione
(2R)-8,9-dimethoxy-2-(prop-1-en-2-yl)-1,2-dihydrochromeno[3,4-b]furo[2,3-h]chromene-6,12-dione
Note – Systematic numbering [6,10] is given below:
Example 58:
Semi-systematic name
6″′,6″′-dimethyl-5″′,6″′-dihydro-4″′H-[1,3]dioxolo[4″,5″:4′,5′]pyrano[2″′,3″′:7,8]rotenan-4-one
Systematic names
(5aS,12bS)-2,2-dimethyl-3,4,5a,12b-tetrahydro-2H-[1,3]dioxolo[4,5-g]pyrano[2,3-c:6,5-f′]bis- ([1]benzopyran)-13(6H)-one
(5aS,12bS)-2,2-dimethyl-3,4,5a,12b-tetrahydro-2H-[1,3]dioxolo[4,5-g]pyrano[2,3-c:6,5-f′]dichromen-13(6H)-one]
Note – Systematic numbering [6,10] is given below:
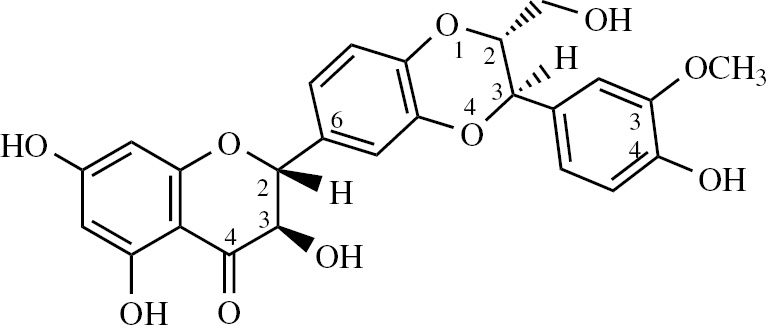
Flv-3.7 Flavonolignans
Example 59:
Semi-systematic name
(2R,3R,5″R,6″R)-3,5,7-trihydroxy-6″-(4-hydroxy-3-methoxyphenyl)-5″-(hydroxymethyl)-5″,6″-dihydro- [1,4]dioxino[2″,3″:3′,4′]flavan-4-one
Trivial names
silibinin, also called silybin
Systematic names
(2R,3R)-3,5,7-trihydroxy-2-[(2R,3R)-3-(4-hydroxy-3-methoxyphenyl)-2-(hydroxymethyl)-2,3-dihydro-1,4-benzodioxin-6-yl]-2,3-dihydro-4H-1-benzopyran-4-one
(2R,3R)-3,5,7-trihydroxy-2-[(2R,3R)-3-(4-hydroxy-3-methoxyphenyl)-2-(hydroxymethyl)-2,3-dihydro-1,4-benzodioxin-6-yl]chroman-4-one
(2R,3R)-3,5,7-trihydroxy-2-[(2R,3R)-3-(4-hydroxy-3-methoxyphenyl)-2-(hydroxymethyl)-2,3-dihydro-1,4-benzodioxin-6-yl]-2,3-dihydro-4H-chromen-4-one
Note – Systematic numbering [6,10] is given below:
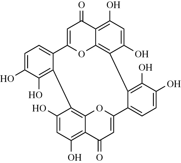
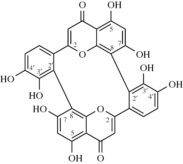
Flv-3.8 Biflavonoids and other flavonoid oligomers
Biflavonoids and other flavonoid oligomers have been widely reported in the flavonoid literature [13], [14], [15], [16], [17], [18], [19] and are also included in the present recommendations. The recommended semi-systematic names consider the terminal flavonoid first in alphabetical order as the preferred one, that is substituted by the other components. If the terminal flavonoid components are identical, the one with the lower attachment locant is cited first in the name.
Example 60:
Semi-systematic name
[(3S,4R)-4′-methoxyisoflavan-2′,7-diol]-(4→5′)-[(3R)-4′-methoxyisoflavan-2′,7-diol]
Systematic names
(3S,4R)-4-{4-hydroxy-5-[(3R)-7-hydroxy-3,4-dihydro-2H-1-benzopyran-3-yl]-2-methoxyphenyl}-3-(2-hydroxy- 4-methoxyphenyl)-3,4-dihydro-2H-1-benzopyran-7-ol
(3S,4R)-4-{4-hydroxy-5-[(3R)-7-hydroxychroman-3-yl]-2-methoxyphenyl}-3-(2-hydroxy-4-methoxyphenyl)-chroman-7-ol
(3S,4R)-4-{4-hydroxy-5-[(3R)-7-hydroxy-3,4-dihydro-2H-chromen-3-yl]-2-methoxyphenyl}-3-(2-hydroxy- 4-methoxyphenyl)-3,4-dihydro-2H-chromen-7-ol
Example 61:
Semi-systematic name
[(2S)-5-hydroxy-4′,7-dimethoxyflavan-4-one]-(2′→6)-[(2S)-3′,4′,5,7-tetrahydroxyflavan-4-one]
Trivial name
[(2S)-4′,7-di-O-methylnaringenin]-(2′→6)-[(2S)-3′-hydroxynaringenin]
Systematic names
(2S)-2-(3,4-dihydroxyphenyl)-5,7-dihydroxy-6-{2-[(2S)-5-hydroxy-7-methoxy-4-oxo-3,4-dihydro-2H-1-benzopyran-2-yl]-5-methoxyphenyl}-2,3-dihydro-4H-1-benzopyran-4-one
(2S)-2-(3,4-dihydroxyphenyl)-5,7-dihydroxy-6-{2-[(2S)-5-hydroxy-7-methoxy-4-oxochroman-2-yl]-5-methoxyphenyl}chroman-4-one
(2S)-2-(3,4-dihydroxyphenyl)-5,7-dihydroxy-6-{2-[(2S)-5-hydroxy-7-methoxy-4-oxo-3,4-dihydro-2H-chromen- 2-yl]-5-methoxyphenyl}-2,3-dihydro-4H-chromen-4-one
Example 62:
Semi-systematic name
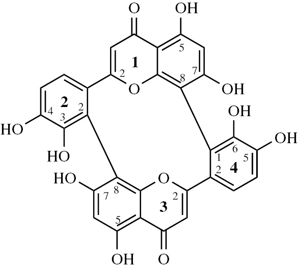
(3′,4′,5,7-tetrahydroxyflavone)-(2′→6)-(3′,4′,5,7-tetrahydroxyflavone)-(2′→6)-(3′,4′,5,7-tetrahydroxyflavone)
Systematic names
6-(6-{6-[6-(5,7-dihydroxy-4-oxo-4H-1-benzopyran-2-yl)-2,3-dihydroxyphenyl]-5,7-dihydroxy-4-oxo-4H-1-benzopyran-2-yl}-2,3-dihydroxyphenyl)-2-(3,4-dihydroxyphenyl)-5,7-dihydroxy-4H-1-benzopyran-4-one
6-(6-{6-[6-(5,7-dihydroxy-4-oxo-4H-chromen-2-yl)-2,3-dihydroxyphenyl]-5,7-dihydroxy-4-oxo-4H-chromen- 2-yl}-2,3-dihydroxyphenyl)-2-(3,4-dihydroxyphenyl)-5,7-dihydroxy-4H-chromen-4-one
Note – Systematic numbering [6,10] is given below:
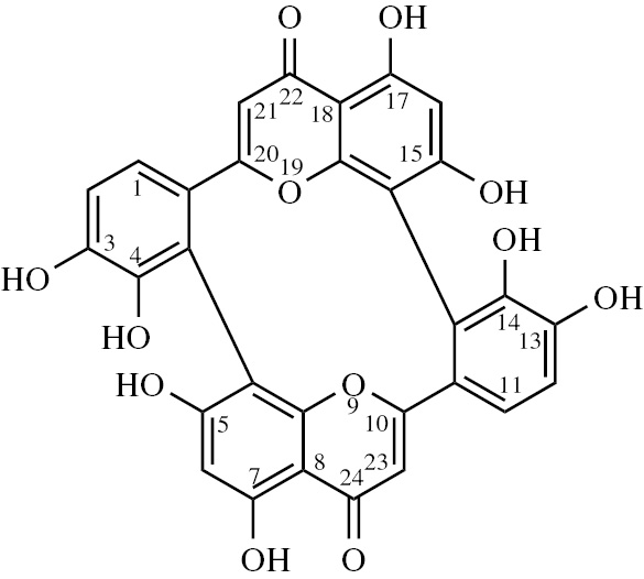
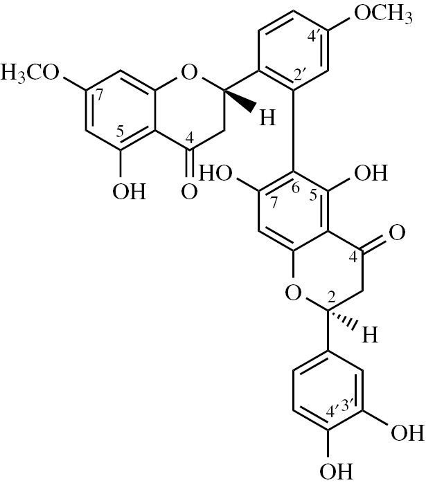
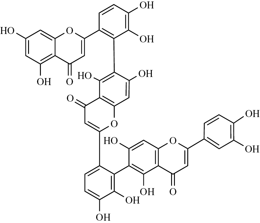
Example 63:
Semi-systematic name
(5,7-dihydroxyflavone)-(4′-oxy-6)-(4′,5,7-trihydroxyflavone)
Trivial name
hinokiflavone
Systematic names
6-[4-(5,7-dihydroxy-4-oxo-4H-1-benzopyran-2-yl)phenoxy]-5,7-dihydroxy-2-(4-hydroxyphenyl)-4H-1-benzopyran-4-one
6-[4-(5,7-dihydroxy-4-oxo-4H-chromen-2-yl)phenoxy]-5,7-dihydroxy-2-(4-hydroxyphenyl)-4H-chromen-4-one
Example 64:
Semi-systematic name
[(3R)-2′-methoxyisoflavan-3′,7-diol]-(4′-oxy-4′)-[(3R)-2′-methoxyisoflavan-3′,7-diol]
Trivial name
biscyclolobin
Systematic names
3,3′-[oxybis(3-hydroxy-2-methoxy-4,1-phenylene)]bis[(3R)-3,4-dihydro-2H-1-benzopyran-7-ol]
3,3′-[oxybis(3-hydroxy-2-methoxy-4,1-phenylene)]bis[(3R)-chroman-7-ol]
3,3′-[oxybis(3-hydroxy-2-methoxy-4,1-phenylene)]bis[(3R)-3,4-dihydro-2H-chromen-7-ol]
Example 65:
Semi-systematic name
(3′,4′,5,7-tetrahydroxyflavone)-(2′→8,8→2′)-(3′,4′,5,7-tetrahydroxyflavone)
Trivial name
anhydrobartramiaflavone
Systematic names
15,17,23,24,35,37,45,46-octahydroxy-14H,34H-1(2,8),3(8,2)-bis([1]benzopyrana)-2,4(1,2)-dibenzenacyclotetraphane-14,34-dione
Note – Structure numbering [6] is given below:
3,4,5,7,13,14,15,17-octahydroxy-8,10:18,20-di(ethanylylidene)tetrabenzo[b,d,h,j][1,7]dioxacyclododecine- 22,24-dione
Note – Structure numbering [6,10] is given below:
Membership of sponsoring bodies
Membership of the IUPAC-IUBMB Joint Commission on Biochemical Nomenclature (2016-2017): Chairman: G. P. Moss (UK); Secretary: R. Caspi (USA); Titular Members: K. Axelsen (Switzerland); M. Ennis (UK); K. F. Tipton (Ireland); Associate Members: A. Cornish-Bowden (France); T. Damhus (Denmark); A. P. Rauter (Portugal); Database Representatives: BRENDA, D. Schomburg (Germany); PDB, H. Berman (USA); UNIPROT, R. Apweiler (UK); Ex officio: K.-H. Hellwich (Germany).
Membership of the IUPAC Division (VIII) of Chemical Nomenclature and Structure Representation (2016-2017): President: K.-H. Hellwich (Germany); Vice President: A. T. Hutton (South Africa); Secretary: R. S. Laitinen (Finland); Titular Members: O. Achmatowicz (Poland); T. Damhus (Denmark); P. Hodge (UK); R. T. Macaluso (USA); J. Nagy (Hungary); M. M. Rogers (USA); J. Vohlídal (Czech Republic); Associate Members: M. A. Beckett (UK); I. L. Dukov (Bulgaria); G. A. Eller (Austria); E. Mansfield (USA); M. A. Strausbaugh (USA); K. T. Taylor (USA); National Representatives: F. Aricò (Italy); A. M. da Costa Ferreira (Brazil); A. Fradet (France); H. W. Lee (Korea); T. L. Lowary (Canada); E. Nordlander (Sweden); M. Putala (Slovakia); A. P. Rauter (Portugal); J. P. van Lune (Netherlands); A. Yerin (Russia); Ex Officio: R. M. Hartshorn (New Zealand); G. P. Moss (UK).
Article note
Sponsoring bodies: IUPAC Division of Chemical Nomenclature and Structure Representation (IUPAC project # 2009-018-2-800) and IUPAC-IUBMB Joint Commission on Biochemical Nomenclature.
References
[1] Flavonoids – Chemistry, Biochemistry and Applications, Ø. M. Andersen, K. R. Markham (Eds.), CRC Press, Taylor and Francis Group, Boca Raton (2006).Suche in Google Scholar
[2] The Science of Flavonoids, E. Grotewold (Ed.), Springer, New York (2006).Suche in Google Scholar
[3] Flavonoids and Related Compounds: Bioavailability and Function, J. P. E. Spencer, A. Crozier (Eds.), Oxidative Stress and Disease Series, Taylor and Francis, Boca Raton (2012).Suche in Google Scholar
[4] Dictionary of Flavonoids, J. Buckingham, V. R. N. Munasinghe (Eds.), CRC Press, Taylor and Francis Group, Boca Raton (2015).Suche in Google Scholar
[5] The Handbook of Natural Flavonoids, J. B. Harborne, H. Baxter (Eds.), Vols. 1 and 2, John Wiley, New York (1999).Suche in Google Scholar
[6] H. A. Favre, W. H. Powell. Nomenclature of Organic Chemistry. IUPAC Recommendations and Preferred Names 2013 (The ‘Blue Book’), The Royal Society of Chemistry, Cambridge (2014).Suche in Google Scholar
[7] A Guide to IUPAC Nomenclature of Organic Compounds, R. Panico, W. H. Powell, J.-C. Richer (Eds.), Blackwell Scientific Publications, Oxford (1993). Corrections: H. A. Favre, K.-H. Hellwich, G. P. Moss, W. H. Powell, J. G. Traynham, Corrections to A Guide to IUPAC Nomenclature of Organic Compounds. Pure Appl. Chem.71, 1327 (1999).10.1046/j.1365-3075.1999.00264.xSuche in Google Scholar
[8] Nomenclature of Organic Chemistry. Sections A, B, C, D, E, F and H. 1979 Edition (the ‘Blue Book’), J. Rigaudy, S. P. Klesney (Eds.), Pergamon Press, Oxford (1979).Suche in Google Scholar
[9] P. M. Giles, Jr. Pure Appl. Chem.71, 587 (1999); Corrections and modifications: H. A. Favre, P. M. Giles Jr., K.-H. Hellwich, A. D. McNaught, G. P. Moss, W. H. Powell. Pure Appl. Chem.76, 1283 (2004).Suche in Google Scholar
[10] G. P. Moss. Pure Appl. Chem. 70, 143 (1998).10.1351/pac199870010143Suche in Google Scholar
[11] A. D. McNaught. Pure Appl. Chem.68, 1919 (1996).10.1351/pac199668101919Suche in Google Scholar
[12] G. P. Moss. Pure Appl. Chem.72, 1493 (2000).10.1351/pac200072081493Suche in Google Scholar
[13] H. Geiger. Biflavonoids and triflavonoids, in The Flavonoids: Advances in Research since 1986, J. B. Harborne (Ed.), pp. 95–115, Chapman & Hall, London (1994).10.1007/978-1-4899-2911-2_4Suche in Google Scholar
[14] H. Geiger, C. Quinn. Biflavonoids, in The Flavonoids: Advances in Research since 1980, J. B. Harborne, T. J. Mabry (Eds.), pp. 99–124, Chapman & Hall, London (1988).10.1007/978-1-4899-2913-6_4Suche in Google Scholar
[15] H. Geiger, C. Quinn. Biflavonoids, in The Flavonoids, J. B. Harborne, T. J. Mabry (Eds.), pp. 505–534. Chapman & Hall, London (1982).10.1007/978-1-4899-2915-0_9Suche in Google Scholar
[16] H. Geiger, C. Quinn. Biflavonoids, in The Flavonoids, J. B. Harborne, T. J. Mabry, H. Mabry, (Eds.), pp. 692–742, Chapman & Hall, London (1975).10.1007/978-1-4899-2909-9_13Suche in Google Scholar
[17] H. P. Kim, H. Park, K. H. Son, H. W. Chang, S. S. Kang. Arch. Pharmacol. Res. 31, 265 (2008).10.1007/s12272-001-1151-3Suche in Google Scholar PubMed
[18] Biflavonoids: Occurrence, Structural Features and Bioactivity (Chemistry Research and Applications). A. G. Mercader, A. B. Pomilio (Eds.), Nova Science Publishers, New York (2011).Suche in Google Scholar
[19] A. Thapa, E. Y. Chi. Adv. Exp. Med. Biol.863, 55 (2015).10.1007/978-3-319-18365-7_3Suche in Google Scholar PubMed
Annex 1. Flavonoid class names and characteristic structures
Annex 2. InChIs and InChIKeys for the flavonoids given as examples
Example 1:
InChIKey QOLIPNRNLBQTAU-UHFFFAOYSA-N
InChI=1S/C15H14O/c1-2-6-12(7-3-1)15-11-10-13-8-4-5-9-14(13)16-15/h1-9,15H,10-11H2
Example 2:
InChIKey FFFONXPGQZXCAN-MQKIZQNHSA-N
InChI=1S/C30H40O16/c1-41-12-2-3-14(18(8-12)43-29-26(39)24(37)22(35)20(10-32)45-29)17-5-4-13-16(34)9-19(15(6-7-31)28(13)42-17)44-30-27(40)25(38)23(36)21(11-33)46-30/h2-3,8-9,17,20-27,29-40H,4-7,10-11H2,1H3/t17-,20+, 21+,22+,23+,24-,25-,26+,27+,29+,30+/m0/s1
Example 3:
InChIKey GSRJVBMXUGFHSJ-RIDQRPLBSA-N
InChI=1S/C27H34O9/c1-14(2)4-8-18-21(35-27-25(32)24(31)23(30)22(13-28)36-27)11-6-15-5-10-20(34-26(15)18)17-9-7- 16(33-3)12-19(17)29/h4,6-7,9,11-12,20,22-25,27-32H,5,8,10,13H2,1-3H3/t20-,22+,23+,24-,25+,27+/m0/s1
Example 4:
InChIKey ZONYXWQDUYMKFB-UHFFFAOYSA-N
InChI=1S/C15H12O2/c16-13-10-15(11-6-2-1-3-7-11)17-14-9-5-4-8-12(13)14/h1-9,15H,10H2
Example 5:
InChIKey FTVWIRXFELQLPI-ZDUSSCGKSA-N
InChI=1S/C15H12O5/c16-9-3-1-8(2-4-9)13-7-12(19)15-11(18)5-10(17)6-14(15)20-13/h1-6,13,16-18H,7H2/t13-/m0/s1
Example 6:
InChIKey HCNLDGTUMBOHKT-NRFANRHFSA-N
InChI=1S/C25H28O5/c1-14(2)5-11-18-23(28)19(12-6-15(3)4)25-22(24(18)29)20(27)13-21(30-25)16-7-9-17(26)10-8-16/h5-10,21,26,28-29H,11-13H2,1-4H3/t21-/m0/s1
Example 7:
InChIKey YEDFEBOUHSBQBT-LSDHHAIUSA-N
InChI=1S/C15H12O3/c16-13-11-8-4-5-9-12(11)18-15(14(13)17)10-6-2-1-3-7-10/h1-9,14-15,17H/t14-,15+/m0/s1
Example 8:
InChIKey MXFVIYRBYOWKKJ-MSOLQXFVSA-N
InChI=1S/C18H16O7/c1-9(19)24-18-16(22)15-13(21)7-12(23-2)8-14(15)25-17(18)10-3-5-11(20)6-4-10/h3-8,17-18,20- 21H,1-2H3/t17-,18+/m1/s1
Example 9:
InChIKey LKMWTIGVJAWQHQ-ZDUSSCGKSA-N
InChI=1S/C15H14O2/c16-14-7-6-12-8-13(10-17-15(12)9-14)11-4-2-1-3-5-11/h1-7,9,13,16H,8,10H2/t13-/m0/s1
Example 10:
InChIKey WNHXBLZBOWXNQO-UHFFFAOYSA-N
InChI=1S/C15H12O6/c16-7-1-2-9(11(18)3-7)10-6-21-13-5-8(17)4-12(19)14(13)15(10)20/h1-5,10,16-19H,6H2
Example 11:
InChIKey KMPRUOWATDQCQK-CYBMUJFWSA-N
InChI=1S/C15H14O2/c16-12-6-7-14-13(8-9-17-15(14)10-12)11-4-2-1-3-5-11/h1-7,10,13,16H,8-9H2/t13-/m1/s1
Example 12:
InChIKey VHBFFQKBGNRLFZ-UHFFFAOYSA-N
InChI=1S/C15H10O2/c16-13-10-15(11-6-2-1-3-7-11)17-14-9-5-4-8-12(13)14/h1-10H
Example 13:
InChIKey KZNIFHPLKGYRTM-UHFFFAOYSA-N
InChI=1S/C15H10O5/c16-9-3-1-8(2-4-9)13-7-12(19)15-11(18)5-10(17)6-14(15)20-13/h1-7,16-18H
Example 14:
InChIKey MBNGWHIJMBWFHU-UHFFFAOYSA-N
InChI=1S/C16H12O6/c1-21-13-3-2-8(4-10(13)18)14-7-12(20)16-11(19)5-9(17)6-15(16)22-14/h2-7,17-19H,1H3
Example 15:
InChIKey SPIUTQOUKAMGCX-UHFFFAOYSA-N
InChI=1S/C24H25NO4/c1-17-21(26)19-11-8-12-20(23(19)29-22(17)18-9-4-2-5-10-18)24(27)28-16-15-25-13-6-3-7-14-25/h2,4-5,8-12H,3,6-7,13-16H2,1H3
Example 16
InChIKey GAMYVSCDDLXAQW-MIUGBVLSSA-N
InChI=1S/C22H22O11/c1-30-15-4-9(2-3-11(15)24)14-7-13(26)18-12(25)5-10(6-16(18)32-14)31-22-21(29)20(28)19(27)17(8-23)33-22/h2-7,17,19-25,27-29H,8H2,1H3/t17-,19-,20+,21-,22-/m1/s1
Example 17:
InChIKey WOECZRXKNFBVRD-MLKODYMUSA-N
InChI=1S/C40H52O25/c1-12-25(46)29(50)33(54)37(58-12)57-11-23-28(49)32(53)35(65-40-36(31(52)27(48)22(10- 42)62-40)64-38-34(55)30(51)26(47)21(9-41)61-38)39(63-23)59-14-6-16(44)24-17(45)8-19(60-20(24)7-14)13-3-4-18(56-2)15(43)5-13/h3-8,12,21-23,25-44,46-55H,9-11H2,1-2H3/t12-,21+,22+,23+,25-,26+,27+,28+,29+,30-,31-, 32-,33+,34+,35+,36+,37+,38-,39+,40-/m0/s1
Example 18:
InChIKey UIAVWDXUPQFAJB-VZGLXOSZSA-N
InChI=C24H22O12/c1-10(25)33-22-20(30)19(29)21(23(31)32-2)36-24(22)34-13-7-14(27)18-15(28)9-16(35- 17(18)8-13)11-3-5-12(26)6-4-11/h3-9,19-22,24,26-27,29-30H,1-2H3/t19-,20-,21-,22+,24+/m0/s1
Example 19:
InChIKey SGEWCQFRYRRZDC-VPRICQMDSA-N
InChI=1S/C21H20O10/c22-7-14-17(27)18(28)19(29)21(31-14)16-11(25)5-10(24)15-12(26)6-13(30-20(15)16)8-1-3-9(23)4-2-8/h1-6,14,17-19,21-25,27-29H,7H2/t14-,17-,18+,19-,21+/m1/s1
Example 20:
InChIKey ABRULANJVVJLFI-DGHBBABESA-N
InChI=1S/C22H22O10/c1-30-13-7-14-16(11(25)6-12(31-14)9-2-4-10(24)5-3-9)19(27)17(13)22-21(29)20(28)18(26)15(8-23)32-22/h2-7,15,18,20-24,26-29H,8H2,1H3/t15-,18-,20+,21-,22+/m1/s1
Example 21:
InChIKey LDVNKZYMYPZDAI-LTZKYNCBSA-N
InChI=1S/C25H26O13/c26-9-3-1-8(2-4-9)13-5-10(27)14-19(32)15(24-21(34)17(30)11(28)6-36-24)20(33)16(23(14)38-13)25-22(35)18(31)12(29)7-37-25/h1-5,11-12,17-18,21-22,24-26,28-35H,6-7H2/t11-,12-,17-,18-,21+,22+,24-,25-/m0/s1
Example 22:
InChIKey WYYFCTVKFALPQV-VYUBKLCTSA-N
InChI=1S/C26H28O15/c27-5-13-18(33)21(36)23(38)26(41-13)16-20(35)15(25-22(37)17(32)11(31)6-39-25)19(34)14-10(30)4-12(40-24(14)16)7-1-2-8(28)9(29)3-7/h1-4,11,13,17-18,21-23,25-29,31-38H,5-6H2/t11-,13+,17-,18+, 21-,22+,23+,25-,26-/m0/s1
Example 23:
InChIKey FESGFDALJOTSAP-ALOWIAECSA-N
InChI=1S/C27H30O14/c1-9-19(31)22(34)25(37)27(39-9)38-8-16-20(32)23(35)24(36)26(41-16)18-13(30)7-15-17(21(18)33)12(29)6-14(40-15)10-2-4-11(28)5-3-10/h2-7,9,16,19-20,22-28,30-37H,8H2,1H3/t9-,16-, 19-,20-,22+,23+,24-,25+,26+,27+/m1/s1
Example 24:
InChIKey HVQAJTFOCKOKIN-UHFFFAOYSA-N
InChI=1S/C15H10O3/c16-13-11-8-4-5-9-12(11)18-15(14(13)17)10-6-2-1-3-7-10/h1-9,17H
Example 25:
InChIKey KLHFSBCOSGENOE-TZZWOYRASA-N
InChI=1S/C49H58O25/c1-18-31(53)35(57)38(60)46(66-18)65-17-29-43(72-30(52)14-6-21-5-13-26(51)28(15-21)64-4)41(63)45(74-48-40(62)37(59)33(55)20(3)68-48)49(71-29)73-44-34(56)25-12-11-24(69-47- 39(61)36(58)32(54)19(2)67-47)16-27(25)70-42(44)22-7-9-23(50)10-8-22/h5-16,18-20,29,31-33,35-41,43,45-51,53-55,57-63H,17H2,1-4H3/b14-6+/t18-,19-,20-,29+,31-,32-,33-,35+,36+,37+,38+,39+,40+,41-,43-,45+,46+,47-,48-, 49-/m0/s1
Example 26:
InChIKey GOMNOOKGLZYEJT-UHFFFAOYSA-N
InChI=1S/C15H10O2/c16-15-12-8-4-5-9-14(12)17-10-13(15)11-6-2-1-3-7-11/h1-10H
Example 27:
InChIKey TZBJGXHYKVUXJN-UHFFFAOYSA-N
InChI=1S/C15H10O5/c16-9-3-1-8(2-4-9)11-7-20-13-6-10(17)5-12(18)14(13)15(11)19/h1-7,16-18H
Example 28:
InChIKey ZCOLJUOHXJRHDI-CMWLGVBASA-N
InChI=1S/C21H20O10/c22-7-15-18(26)19(27)20(28)21(31-15)30-11-5-13(24)16-14(6-11)29-8-12(17(16)25)9-1-3-10(23)4-2-9/h1-6,8,15,18-24,26-28H,7H2/t15-,18-,19+,20-,21-/m1/s1
Example 29:
InChIKey SAZHWFFOFMSQPA-UHFFFAOYSA-N
InChI=1S/C15H10O2/c16-15-10-13(11-6-2-1-3-7-11)12-8-4-5-9-14(12)17-15/h1-10H
Example 30:
InChIKey XZOXEPMJIGHPMG-UHFFFAOYSA-N
InChI=1S/C17H14O6/c1-21-14-4-3-9(5-12(14)18)10-7-17(20)23-15-8-16(22-2)13(19)6-11(10)15/h3-8,18-19H,1-2H3
Example 31:
InChIKey RHTBSKLRGSELHW-QKYBYQKWSA-N
InChI=1S/C22H22O8/c1-11-15(28-22-20(27)19(26)18(25)16(10-23)29-22)8-7-13-14(9-17(24)30-21(11)13)12-5-3-2-4-6-12/h2-9,16,18-20,22-23,25-27H,10H2,1H3/t16-,18-,19+,20-,22-/m1/s1
Example 32:
InChIKey DQFBYFPFKXHELB-VAWYXSNFSA-N
InChI=1S/C15H12O/c16-15(14-9-5-2-6-10-14)12-11-13-7-3-1-4-8-13/h1-12H/b12-11+
Example 33:
InChIKey MHVFCVMAJIDJMY-WEVVVXLNSA-N
InChI=1S/C17H17NO3/c1-18(2)13-6-3-12(4-7-13)5-9-16(20)15-11-14(19)8-10-17(15)21/h3-11,19,21H,1-2H3/b9-5+
Example 34:
InChIKey CAHMJFODGBXCBM-ZHACJKMWSA-N
InChI=1S/C16H11NO/c17-12-14-8-6-13(7-9-14)10-11-16(18)15-4-2-1-3-5-15/h1-11H/b11-10+
Example 35:
InChIKey XHISZGCLMMMERP-ZHACJKMWSA-N
InChI=1S/C16H12O3/c17-15(11-10-12-6-2-1-3-7-12)13-8-4-5-9-14(13)16(18)19/h1-11H,(H,18,19)/b11-10+
Example 36:
InChIKey CSEOFFVAVSWEAR-UHFFFAOYSA-N
InChI=1S/C16H16O3/c1-19-16-11-13(17)8-9-14(16)15(18)10-7-12-5-3-2-4-6-12/h2-6,8-9,11,17H,7,10H2,1H3
Example 37:
InChIKey OMUOMODZGKSORV-UVTDQMKNSA-N
InChI=1S/C15H10O2/c16-15-12-8-4-5-9-13(12)17-14(15)10-11-6-2-1-3-7-11/h1-10H/b14-10-
Example 38:
InChIKey FJNPIZYWMKBHNJ-REVZYDSWSA-N
InChI=1S/C15H10O6/c16-8-5-11(19)14-12(6-8)21-13(15(14)20)4-7-1-2-9(17)10(18)3-7/h1-6,16-19H/b13-4-
Example 39:
InChIKey RPVWXHFOBGSJNJ-AMBNHXPHSA-N
InChI=1S/C21H20O10/c22-8-15-18(26)19(27)20(28)21(31-15)29-11-6-12(24)16-13(7-11)30-14(17(16)25)5- 9-1-3-10(23)4-2-9/h1-7,15,18-24,26-28H,8H2/b14-5-/t15-,18-,19+,20-,21-/m1/s1
Example 40:
InChIKey VEVZSMAEJFVWIL-UHFFFAOYSA-O
InChI=1S/C15H10O6/c16-8-4-11(18)9-6-13(20)15(21-14(9)5-8)7-1-2-10(17)12(19)3-7/h1-6H,(H4-,16,17,18,19,20)/p+1
Example 41:
InChIKey FSJHYQBGKVHBDZ-UBNZBFALSA-O
InChI=1S/C21H20O11/c22-7-16-17(27)18(28)19(29)21(32-16)31-15-6-10-12(25)4-9(23)5-14(10)30- 20(15)8-1-2-11(24)13(26)3-8/h1-6,16-19,21-22,27-29H,7H2,(H3-,23,24,25,26)/p+1/t16-,17-,18+,19-,21-/m1/s1
Example 42:
InChIKey QAOBEOXFSUJDJL-SHPGVJHPSA-O
InChI=1S/C30H26O13/c31-16-5-1-14(2-6-16)3-8-25(36)40-13-24-26(37)27(38)28(39)30(43-24)42-23-12-18-20(34)10-17(32)11-22(18)41-29(23)15-4-7-19(33)21(35)9-15/h1-12,24,26-28,30,37-39H,13H2,(H4-,31,32,33,34,35,36)/p+1/t24-,26-,27+,28-,30-/m1/s1
Example 43:
InChIKey USNPULRDBDVJAO-FXCAAIILSA-O
InChI=1S/C27H30O15/c1-9-19(32)21(34)23(36)26(39-9)38-8-18-20(33)22(35)24(37)27(42-18)41-17-7-12-14(30)5-11(28)6-16(12)40-25(17)10-2-3-13(29)15(31)4-10/h2-7,9,18-24,26-27,32-37H,8H2,1H3,(H3-,28,29,30,31)/p+1/t9-,18+, 19-,20+,21+,22-,23+,24+,26+,27+/m0/s1
Example 44:
InChIKey ULXBEUBSYSSVTP-ZOTFFYTFSA-O
InChI=1S/C27H30O16/c28-7-17-19(33)21(35)23(37)26(42-17)39-10-4-13(31)11-6-16(41-27-24(38)22(36)20(34)18(8-29)43-27)25(40-15(11)5-10)9-1-2-12(30)14(32)3-9/h1-6,17-24,26-29,33-38H,7-8H2,(H2-,30,31,32)/p+1/t17-,18-,19-, 20-,21+,22+,23-,24-,26-,27-/m1/s1
Example 45:
InChIKey NJIUXIXNVAHRDW-UHFFFAOYSA-N
InChI=1S/C16H10O5/c17-10-6-11(9-4-2-1-3-5-9)21-12-7-13-16(20-8-19-13)15(18)14(10)12/h1-7,18H,8H2
Example 46:
InChIKey ATKADZVINWFQOE-SOFGYWHQSA-N
InChI=1S/C16H12O3/c17-14(13-4-2-1-3-5-13)8-6-12-7-9-15-16(10-12)19-11-18-15/h1-10H,11H2/b8-6+
Example 47:
InChIKey ZDPDYRQJYGVUMW-UHFFFAOYSA-N
InChI=1S/C18H14O4/c1-20-18(11-12-5-3-2-4-6-12)17(19)14-7-8-15-13(9-10-21-15)16(14)22-18/h2-10H,11H2,1H3
Example 48:
InChIKey AZXDUXHNBXWISJ-UHFFFAOYSA-N
InChI=1S/C16H12O8/c17-7-2-11(20)13-12(3-7)24-16(15(13)22)14(21)8-4-10(19)9(18)1-6(8)5-23-16/h1-4,14,17-21H,5H2
Example 49:
InChIKey RFTHDRVOYDHSOC-BGXVWEPQSA-O
InChI=1S/C31H28O14/c1-40-21-6-13(7-22(41-2)25(21)36)29-30(45-31-28(39)27(38)26(37)23(11-32)44-31)15-10-18(12-3-4-16(34)17(35)5-12)42-19-8-14(33)9-20(43-29)24(15)19/h3-10,23,26-28,31-32,37-39H,11H2,1-2H3,(H3-, 33,34,35,36)/p+1/t23-,26-,27+,28-,31+/m1/s1
Example 50:
InChIKey DKOQTUOFLKDZKY-UHFFFAOYSA-O
InChI=1S/C22H10O9/c23-8-4-13-16-14(5-8)30-20-15-9(6-12(26)18(20)27)22(28)31-21(17(15)16)19(29-13)7-1-2-10(24)11(25)3-7/h1-6H,(H4-,23,24,25,26,27,28)/p+1
Example 51:
InChIKey LZEPVVDVBJUKSG-WFASDCNBSA-N
InChI=1S/C15H12O2/c1-4-8-14-10(5-1)12-9-16-13-7-3-2-6-11(13)15(12)17-14/h1-8,12,15H,9H2/t12-,15-/m0/s1
Example 52:
InChIKey NSRJSISNDPOJOP-BBRMVZONSA-N
InChI=1S/C16H14O4/c1-18-10-3-5-11-13-8-19-14-6-9(17)2-4-12(14)16(13)20-15(11)7-10/h2-7,13,16-17H,8H2,1H3/t13-,16-/m0/s1
Example 53:
InChIKey ZZIALNLLNHEQPJ-UHFFFAOYSA-N
InChI=1S/C15H8O5/c16-7-1-3-9-11(5-7)19-14-10-4-2-8(17)6-12(10)20-15(18)13(9)14/h1-6,16-17H
Example 54:
InChIKey VRMJETRWSYBVKR-XJKSGUPXSA-N
InChI=1S/C16H14O2/c1-3-7-14-11(5-1)9-13-12-6-2-4-8-15(12)17-10-16(13)18-14/h1-8,13,16H,9-10H2/t13-,16+/m0/s1
Example 55:
InChIKey BCRQIJDETOPQBA-SJORKVTESA-N
InChI=1S/C19H18O7/c1-22-9-4-11(20)18-15(5-9)26-16-8-25-12-7-14(24-3)13(23-2)6-10(12)17(16)19(18)21/h4-7,16- 17,20H,8H2,1-3H3/t16-,17+/m1/s1
Example 56:
InChIKey JUVIOZPCNVVQFO-HBGVWJBISA-N
InChI=1S/C23H22O6/c1-11(2)16-8-14-15(28-16)6-5-12-22(24)21-13-7-18(25-3)19(26-4)9-17(13)27-10-20(21)29-23(12)14/h5-7,9,16,20-21H,1,8,10H2,2-4H3/t16-,20-,21+/m1/s1
Example 57:
InChIKey CWZIPBGXMLRVIC-OAHLLOKOSA-N
InChI=1S/C23H18O7/c1-10(2)15-8-13-14(28-15)6-5-11-20(24)19-12-7-17(26-3)18(27-4)9-16(12)29-23(25)22(19)30-21(11)13/h5-7,9,15H,1,8H2,2-4H3/t15-/m1/s1
Example 58:
InChIKey IAFATVLPBBJEBM-MOPGFXCFSA-N
InChI=1S/C22H20O6/c1-22(2)6-5-11-14(28-22)4-3-12-20(23)19-13-7-16-17(26-10-25-16)8-15(13)24-9-18(19)27-21(11)12/h3-4,7-8,18-19H,5-6,9-10H2,1-2H3/t18-,19+/m1/s1
Example 59:
InChIKey SEBFKMXJBCUCAI-HKTJVKLFSA-N
InChI=1S/C25H22O10/c1-32-17-6-11(2-4-14(17)28)24-20(10-26)33-16-5-3-12(7-18(16)34-24)25-23(31)22(30)21- 15(29)8-13(27)9-19(21)35-25/h2-9,20,23-29,31H,10H2,1H3/t20-,23+,24-,25-/m1/s1
Example 60:
InChIKey GMRYHQZTHKNHAY-ZHWNBNGFSA-N
InChI=1S/C32H30O8/c1-37-21-6-8-22(27(35)12-21)26-16-40-31-11-20(34)5-7-23(31)32(26)25-13-24(28(36)14- 30(25)38-2)18-9-17-3-4-19(33)10-29(17)39-15-18/h3-8,10-14,18,26,32-36H,9,15-16H2,1-2H3/t18-,26+,32+/m0/s1
Example 61:
InChIKey FCYBLXOWPSBBJH-UIOOFZCWSA-N
InChI=1S/C32H26O11/c1-40-15-4-5-17(26-12-23(37)30-21(35)9-16(41-2)10-27(30)43-26)18(8-15)29-22(36)13-28- 31(32(29)39)24(38)11-25(42-28)14-3-6-19(33)20(34)7-14/h3-10,13,25-26,33-36,39H,11-12H2,1-2H3/t25-,26-/ m0/s1
Example 62:
InChIKey AOKUQXYGIOWNDM-UHFFFAOYSA-N
InChI=1S/C46H28O18/c47-18-9-25(52)38-27(54)13-32(64-33(38)10-18)20-3-6-23(50)44(59)37(20)42-30(57)14-34-39(46(42)61)26(53)11-19(62-34)7-17-2-5-22(49)43(58)36(17)41-29(56)15-35-40(45(41)60)28(55)12-31(63-35)16-1-4-21(48)24(51)8-16/h1-6,8-15,47-52,56-61H,7H2
Example 63:
InChIKey WTDHMFBJQJSTMH-UHFFFAOYSA-N
InChI=1S/C30H18O10/c31-16-5-1-14(2-6-16)24-12-21(35)28-26(40-24)13-22(36)30(29(28)37)38-18-7-3-15(4-8-18)23-11-20(34)27-19(33)9-17(32)10-25(27)39-23/h1-13,31-33,36-37H
Example 64:
InChIKey YNSOGFXHKXTWBP-PMACEKPBSA-N
InChI=1S/C32H30O9/c1-37-31-23(19-11-17-3-5-21(33)13-27(17)39-15-19)7-9-25(29(31)35)41-26-10-8-24(32(38- 2)30(26)36)20-12-18-4-6-22(34)14-28(18)40-16-20/h3-10,13-14,19-20,33-36H,11-12,15-16H2,1-2H3/t19-,20-/m0/s1
Example 65:
InChIKey TUTVHJWUONTOOJ-UHFFFAOYSA-N
InChI=1S/C30H16O12/c31-11-3-1-9-19-7-17(37)23-14(34)6-16(36)26(30(23)41-19)22-10(2-4-12(32)28(22)40)20-8-18(38)24-13(33)5-15(35)25(29(24)42-20)21(9)27(11)39/h1-8,31-36,39-40H
© 2018 IUPAC & De Gruyter. This work is licensed under a Creative Commons Attribution-NonCommercial-NoDerivatives 4.0 International License.
This work is licensed under the Creative Commons Attribution-NonCommercial-NoDerivatives 4.0 International License.
Artikel in diesem Heft
- Frontmatter
- In this issue
- Preface
- Winners of the 2017 IUPAC-SOLVAY International Award for Young Chemists
- Invited papers
- Optical oxygen sensing with quantum dot conjugates
- Advances in materials engineering of CdS coupled with dual cocatalysts of graphene and MoS2 for photocatalytic hydrogen evolution
- Recent advances in the rational synthesis and self-assembly of anisotropic plasmonic nanoparticles
- Precision at the nanoscale: on the structure and property evolution of gold nanoclusters
- IUPAC Recommendations
- Nomenclature of flavonoids (IUPAC Recommendations 2017)
- IUPAC Technical Report
- Standard reporting of Electrical Energy per Order (EEO) for UV/H2O2 reactors (IUPAC Technical Report)
Artikel in diesem Heft
- Frontmatter
- In this issue
- Preface
- Winners of the 2017 IUPAC-SOLVAY International Award for Young Chemists
- Invited papers
- Optical oxygen sensing with quantum dot conjugates
- Advances in materials engineering of CdS coupled with dual cocatalysts of graphene and MoS2 for photocatalytic hydrogen evolution
- Recent advances in the rational synthesis and self-assembly of anisotropic plasmonic nanoparticles
- Precision at the nanoscale: on the structure and property evolution of gold nanoclusters
- IUPAC Recommendations
- Nomenclature of flavonoids (IUPAC Recommendations 2017)
- IUPAC Technical Report
- Standard reporting of Electrical Energy per Order (EEO) for UV/H2O2 reactors (IUPAC Technical Report)