Abstract
Here, we present a new ball-milling and spark plasma sintering (SPS)-based technique for the facile synthesis of FeSe0.5Te0.5 superconductors without the need for pre-alloying. This method is advantageous since it is quick and flexible for incorporating other dopants such as graphene for vortex pinning. We observed that FeSe0.5Te0.5 exhibits a coexistence of ferromagnetic (FM) and superconductivity signature plausibly arising from a FM core-superconducting shell structure. More importantly, the Hc2 values observed from resistivity data are higher than 7 T, indicating that SPS process synthesized FeSe0.5Te0.5 samples could lead to next-generation superconducting wires and cables.
1 Introduction
The discovery of layer structured cuprates, with superconducting transition temperatures (Tc) above the liquid-nitrogen temperature, has heralded the search for high Tc superconductors which transcend the traditional Bardeen-Cooper-Schrieffer type superconductors. In cuprates, superconductivity evolves from doping of antiferromagnetic Mott insulating phase with excess carriers. Following this discovery, many materials have been found to exhibit superconductivity when their intrinsic long-range magnetic order is suppressed by doping beyond a threshold dopant concentration. In this regard, the recent realization of five different Fe-pnictide superconductors [1–24] in LaFeAsO1-xFx, BaFe2As2, LiFeAs, Sr2PO3FePn, and FeSexTe1-x systems has reinvigorated the search for new high-Tc non-cuprate materials. While a comprehensive understanding of superconductivity in these systems is still under development, it has been proposed (from an experimental standpoint) that some magnetic fluctuations (e.g. Fe 3d orbital fluctuations across the Fermi energy) may play a similar role as phonons for the formation of Cooper pairs [5]. These unusual electron pairing mechanisms in Fe-based materials, therefore, offer novel insights onto the long-standing fundamental question on the pair mechanism of high-Tc superconductors, cuprates and non-cuprates. Among the five different recently discovered Fe-based superconductors [1–24], FeSe is the only pnictide with a simple crystal structure [1, 3, 6], and is therefore highly suitable for elucidating the fundamental mechanism of superconductivity. Consequently, the crystal structure of FeSe may be easily distorted by external pressure or doping for an increased Tc. Although many researchers have reported on the influence of doping and external pressure in FeSe materials [6], there are still two major questions that warrant a focused study: (i) from a fundamental perspective, a coherent understanding of the interplay between magnetism and superconductivity still remains to be achieved [1, 3, 6], and (ii) the low critical current density (Jc) of FeSe materials is a persisting concern for practical applications [1]. Since Jc is intimately related to the micro-morphology of grain boundary, it is highly desired to synthesize FeSe materials with controlled grain boundary morphology [1].
In the present work, we address these challenges by employing a novel synthesis technique through ball-milling and subsequent spark plasma sintering (SPS) without any need for pre-alloying. We expect that the SPS method results in lower magnetic impurities and also facilitates the introduction of defects/pinning centers (for example, through the addition of nanomaterials such as graphene). SPS is a high energy, low voltage, pulsed plasma discharge in a low-pressure atmosphere that can generate highly localized Joule heating (up to a few thousand degrees Kelvin) in a few minutes [1, 25, 26]. Here, we employed in situ SPS to synthesize the superconducting phase of FeSe0.5Te0.5 to simultaneously enhance both the Tc and Jc. Moreover, since FeSe0.5Te0.5 is a layered material, we included few-layer graphene during the ball-milling and SPS process for creating vortex pinning centers, and exploring the interplay between magnetism and superconductivity. We observed that our samples exhibited a co-existence of ferromagnetic ordering and superconductivity below Tc=15 K. Notably, our magneto-resistance data showed no loss in superconductivity up to 7 T with a <800 mK shift in Tc. We explain our results in terms of a self-consistent superconducting shell-magnetic core scheme wherein the shell forms a percolated robust superconducting path.
2 Materials and methods
The starting materials for the synthesis of pristine FeSe and FeSe0.5Te0.5 were as-purchased powders of Fe (~100 μm, >99.9%), Se (~50 μm, >99.9%), Te (~50 μm, >99.9%) from Alfa-Aesar (Ward Hill, MA, USA). These elemental powders were mixed according to the chemical formula to yield FeSe0.5Te0.5 in an Ar purged glove box. Subsequently, the powders were ball-milled in a stainless steel container for 15 h under Ar (manufacturer: SPEX sampleprep LLC., Metuchen, NJ, USA) with 1:3 power-to-ball ratio. The ball-milled powders were sintered using the SPS technique at 700°C for 5 min at a pressure of 50 mPa with ON-OFF ratios of 12:2 and 1:1 (Fuji electronics Co. Ltd., Dr. Sinter, Kanagawa, Japan). Few-layer graphene sheets were prepared using a chemical exfoliation technique described in Ref. [27].
3 Results
As shown in Figure 1, the examination of fractured surface for sintered specimens revealed a poly-crystalline and layered structure for pristine FeSe0.5Te0.5 samples with layers extending to tens of microns. Furthermore, the presence of graphene (0.5–2% wt.) appeared to increase the density (from ~85% to 90% of theoretical density) of sintered samples, indicating a possible lattice distortion. Unlike many previous studies, we used the SPS process to directly synthesize the superconducting phase rather than using it as a mere densification tool. The advantage of this process lies in its high throughput and short timescales (~5–10 min) required for sample preparation without the need for any pre-alloying. The X-ray diffractograms (Supplemental Figure 1) showed that the observed interplanar distance matches with FeSe0.5Te0.5 in accordance with Vegard’s law.

Representative scanning electron micrographs for FeSe0.5Te0.5 samples with: (A) 0% wt., (B) 0.5% wt., (C) 0.8% wt., and (D) 2% wt. graphene.
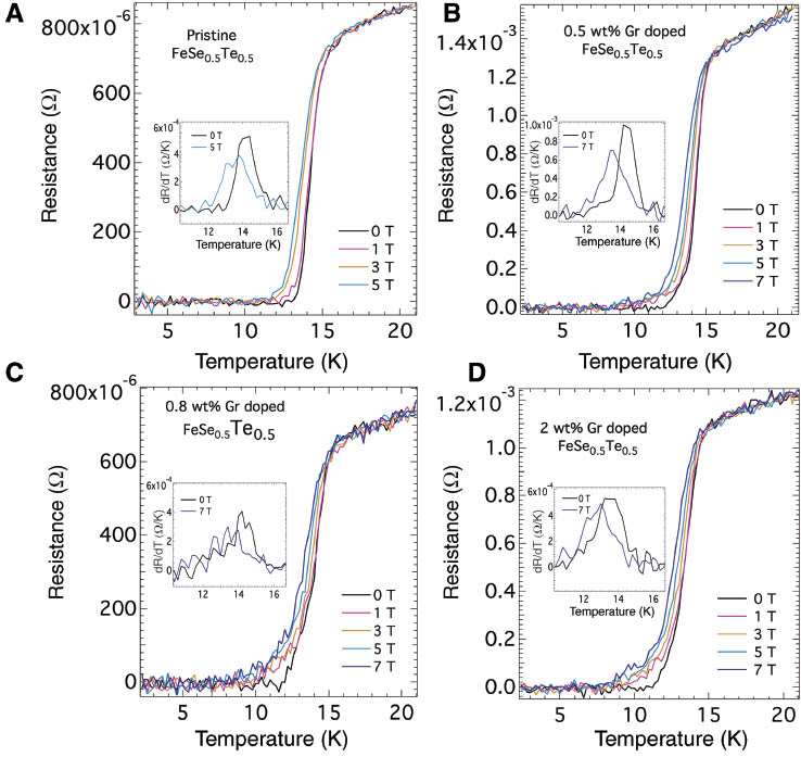
All SPS synthesized samples exhibited a Tc with a clear signature for ferromagnetism (see Figure 2) both below and above Tc (~15 K), indicating the co-existence of FM and superconducting domains. The evident drop in resistivity ~15 K (Figure 3) and a simultaneous display of diamagnetic behavior (as shown in Figure 2) confirms the presence of a percolating superconducting path among the FM domains. Interestingly, the magnetic hysteresis did not exhibit much temperature dependence below 15 K. Such an observation may plausibly be attributed to field trapping in FM domains during M-H sweeps above Tc. The magnetic properties of the FeSe family of compounds are extremely sensitive to the crystal structure, stoichiometry and the presence of excess Fe. For instance, superconductivity in Fe1.01Se with Tc~8 K is destroyed due to FM ordering introduced by only 0.2 at% increase in Fe, and no superconductivity is observed in Fe1.03Se [28]. In this regard, it is possible that any unreacted Fe or formation of Fe1-ySe0.5Te0.5 phase during the SPS process may contribute to the observed FM signature (Figure 2). Indeed, the nominal composition of our samples lies in the FM ordering and superconductivity overlapping region of the phase diagram of Fe1.03Se0.5Te0.5 described in Ref. [9]. The normalized magnetic moment (MN=M[5 K]-M[20 K]) clearly exhibits a shape typical of superconductors showing evident changes at Hc1 and Hc2 for all samples (Figure 2). While the magnetic data suggests an HMc2 (i.e. Hc2 from magnetic measurements) ~8–10 kOe, the resistivity (ρ) data exhibited a clear superconductivity transition ~14.5 K in external magnetic fields as high as 7 T (Figure 3). Interestingly, HMc2 was found to be highest at 0.5% wt. of graphene doping (performed during ball-milling) suggesting that the magnetic vortices can be pinned effectively by graphene at low concentrations <1% wt. (Figure 4). As shown in Figure 3, the superconducting transition persisted even at external fields as high as 7 T in ρ(T) data suggesting that the HRc2 [i.e. Hc2 from ρ(T) data measurements] is much higher than HMc2, as observed in other Fe-based superconductive systems. Such an observation may plausibly be attributed to the presence of magnetic domains that result in a pseudo Hc2 value in M-H measurements shown in Figure 2. As shown in the insets of Figure 3A–D, we determined Tc values by identifying the peak position of dρ(T)/dT. We observed that graphene dopants increased Tc of FeSe0.5Te0.5 samples at low concentrations (<1% wt.) by 200 mK (Figure 4). The net shift in Tc (ΔTc=Tc[0 T]-Tc[7 T]) upon the application of external field was found to be within 400–800 mK suggesting a robust superconducting percolated transport path in our samples.
![Figure 2: Hysteresis loops showing magnetization vs. the applied field for all the FeSe0.5Te0.5 samples with (A) 0% wt., (B) 0.5% wt., (C) 0.8% wt., and (D) 2% wt. graphene. The normalized magnetic moment (MN=M[5 K]-M[20 K]) clearly exhibits a shape typical of superconductors showing evident changes at Hc1 and Hc2 for all samples.](/document/doi/10.1515/ntrev-2015-0018/asset/graphic/j_ntrev-2015-0018_fig_002.jpg)
Hysteresis loops showing magnetization vs. the applied field for all the FeSe0.5Te0.5 samples with (A) 0% wt., (B) 0.5% wt., (C) 0.8% wt., and (D) 2% wt. graphene. The normalized magnetic moment (MN=M[5 K]-M[20 K]) clearly exhibits a shape typical of superconductors showing evident changes at Hc1 and Hc2 for all samples.

Temperature dependent electrical resistivity for all the FeSe0.5Te0.5 samples with (A) 0% wt., (B) 0.5% wt., (C) 0.8% wt. and (D) 2% wt. graphene. A transition is observed ~14.5 K suggesting that there is a superconducting percolation path in the sample. The insets show the derivative of resistance with respect to temperature and help in clearly identifying Tc. For all pristine and doped FeSe0.5Te0.5 samples, superconductivity (SC) transition was observed up to 7 T suggesting robust superconductivity.
The pulsed direct current (DC) method of energizing in the SPS method activates particulate surfaces by removing either impurities or oxidation layers through electric discharges between neighboring particulates in addition to Joule heating at the grain boundaries. In the SPS process, the applied DC pulses are square/rectangular waveforms with different ON-OFF durations. The ON time activates the particulates while the OFF time allows relaxation of the sintered material during the sintering process. Hence, the ON-OFF time ratio of x:y suggests that there are x ON current pulses with y OFF pulses used during the sintering process. The time duration of each ON or OFF pulse is 2.7 ms (for further details, see SPS standard Procedure, Dr. Sinter SPS, Service Manual No. 16). It is well-known that a change in SPS ON-OFF conditions can significantly influence material properties such as electrical resistivity, mechanical robustness and thermopower. In this regard, to study the effect of SPS pulse conditions, we prepared FeSe0.5Te0.5 samples at 12:2 and 1:1 ON-OFF ratios. Interestingly, we did not observe any differences in the magnetic and electrical transport between these samples, suggesting that the superconductivity in our samples is robust.
Juxtaposing the data from magnetic, transport and SPS ON-OFF ratios, we propose a superconducting shell-FM core structure (see Figure 5) with a percolated conductive path among the superconducting shells. Since Fe is more conducting than Se and Te, it is expected that the DC passes mainly through Fe powders. As shown in Figure 5, such a condition results in the formation of a FeSe0.5Te0.5 shell with some unreacted or partly reacted Fe, Se, and Te forming a FM core. While the cores exhibit traditional FM ordering above Tc, any trapped field can result in a remnant magnetization below Tc despite the shielding of FM cores by superconducting shells. In the case of low graphene dopant concentrations, graphene is possibly present at the interfaces between the FM core and superconducting shells acting as a pinning center that prevents the vortices from spreading into the superconducting path.

A schematic of the FeSe0.5Te0.5 sample formed through ball-milling and spark plasma sintering (SPS).
4 Conclusion
In summary, we present a new ball-milling and SPS-based technique for the facile synthesis of FeSe0.5Te0.5 samples without any pre-alloying. We observed that FeSe0.5Te0.5 exhibits a coexistence of FM ordering and superconductivity signature plausibly arising from a FM core-superconductivity shell structure. We doped the samples with graphene during the synthesis process for vortex pinning. We found that graphene could be doped up to 2% wt. using ball-milling and the SPS method, but did not show any significant effects on the Tc. Interestingly, 0.5% wt. of graphene resulted in a slight increase (~400 mK) in Tc while doping above 0.5% wt. deteriorated the superconductive properties. For all the doping ratios, we observed that the superconducting transition in electrical transport measurements is robust up to 7 T.
Acknowledgments
AMR and AZ are thankful to the Air Force Office of Scientific Research (AFOSR) grant on superconductivity. AMR, JH, and RP thank Clemson University TIGER grant for supporting this work.
References
[1] Ahn JH, Oh S. Effect of hot-consolidation method on the superconducting properties of B- and C-doped FeSe0.5Te0.5. Curr. Appl. Phys. 2013, 13, 1096–1100.10.1016/j.cap.2013.02.019Suche in Google Scholar
[2] Bao W, Qiu Y, Huang Q, Green MA, Zajdel P, Fitzsimmons MR, Zhernenkov M, Chang S, Fang MH, Qian B, Vehstedt EK, Yang JH, Pham HM, Spinu L, Mao ZQ. Tunable (delta pi, delta pi)-type antiferromagnetic order in alpha-Fe(Te,Se) superconductors. Phys. Rev. Lett. 2009, 102, 247001.10.1103/PhysRevLett.102.247001Suche in Google Scholar
[3] Bellingeri E, Buzio R, Gerbi A, Marre D, Congiu S, Cimberle MR, Tropeano M, Siri AS, Palenzona A, Ferdeghini C. High quality epitaxial FeSe0.5Te0.5 thin films grown on SrTiO3 substrates by pulsed laser deposition. Supercond. Sci. Technol. 2009, 22, 105007.10.1088/0953-2048/22/10/105007Suche in Google Scholar
[4] Chen GF, Li Z, Wu D, Li G, Hu WZ, Dong J, Zheng P, Luo JL, Wang NL. Superconductivity at 41 K and its competition with spin-density-wave instability in layered CeO(1-x)F(x)FeAs. Phys. Rev. Lett. 2008, 100, 247002.10.1103/PhysRevLett.100.247002Suche in Google Scholar
[5] Chubukov AV, Efremov DV, Eremin I. Magnetism, superconductivity, and pairing symmetry in iron-based superconductors. Phys. Rev. B. 2008, 78, 134512.10.1103/PhysRevB.78.134512Suche in Google Scholar
[6] Hsu FC, Luo JY, Yeh KW, Chen TK, Huang TW, Wu PM, Lee YC, Huang YL, Chu YY, Yan DC, Wu MK. Superconductivity in the PbO-type structure alpha-FeSe. Proc. Natl. Acad. Sci. USA 2008, 105, 14262–14264.10.1073/pnas.0807325105Suche in Google Scholar PubMed PubMed Central
[7] Jaroszynski J, Hunte F, Balicas L, Jo YJ, Raicevic I, Gurevich A, Larbalestier DC, Balakirev FF, Fang L, Cheng P, Jia Y, Wen HH. Upper critical fields and thermally-activated transport of NdFeAsO0.7F0.3 single crystal. Phys. Rev. B. 2008, 78, 174523.10.1103/PhysRevB.78.174523Suche in Google Scholar
[8] Kamihara Y, Watanabe T, Hirano M, Hosono H. Iron-based layered superconductor La O1-xFx FeAs (x=0.05-0.12) with T-c=26 K. J. Am. Chem. Soc. 2008, 130, 3296–3297.10.1021/ja800073mSuche in Google Scholar
[9] Khasanov R, Bendele M, Amato A, Babkevich P, Boothroyd AT, Cervellino A, Conder K, Gvasaliya SN, Keller H, Klauss HH, Luetkens H, Pomjakushin V, Pomjakushina E, Roessli B. Coexistence of incommensurate magnetism and superconductivity in Fe(1+y)SexTe(1-x). Phys. Rev. B. 2009, 80, 140511.10.1103/PhysRevB.80.140511Suche in Google Scholar
[10] Li SL, de la Cruz C, Huang Q, Chen Y, Lynn JW, Hu JP, Huang YL, Hsu FC, Yeh KW, Wu MK, Dai PC. First-order magnetic and structural phase transitions in Fe1+ySexTe1-x. Phys. Rev. B. 2009, 79, 54503.10.1103/PhysRevB.79.054503Suche in Google Scholar
[11] Lv B, Gooch M, Lorenz B, Chen F, Guloy AM, Chu CW. The superconductor KxSr1-xFe(2)As(2): normal state and superconducting properties. New J. Phys. 2009, 11, 2501.10.1088/1367-2630/11/2/025013Suche in Google Scholar
[12] Martinelli A, Ferretti M, Manfrinetti P, Palenzona A, Tropeano M, Cimberle MR, Ferdeghini C, Valle R, Bernini C, Putti M, Siri AS. Synthesis, crystal structure, microstructure, transport and magnetic properties of SmFeAsO and SmFeAs(O(0.93)F(0.07)). Supercond. Sci. Technol. 2008, 21, 95017.10.1088/0953-2048/21/9/095017Suche in Google Scholar
[13] Matusiak M, Plackowski T, Bukowski Z, Zhigadlo ND, Karpinski J. Evidence of spin-density-wave order in RFeAsO1-xFx from measurements of thermoelectric power. Phys. Rev. B. 2009, 79, 212502.10.1103/PhysRevB.79.212502Suche in Google Scholar
[14] Mazin II, Singh DJ, Johannes MD, Du MH. Unconventional superconductivity with a sign reversal in the order parameter of LaFeAsO(1-x)F(x). Phys. Rev. Lett. 2008, 101, 57003.10.1103/PhysRevLett.101.057003Suche in Google Scholar
[15] Mishra V, Boyd G, Graser S, Maier T, Hirschfeld PJ, Scalapino DJ. Lifting of nodes by disorder in extended-s-state superconductors: Application to ferropnictides. Phys. Rev. B. 2009, 79, 94512.10.1103/PhysRevB.79.094512Suche in Google Scholar
[16] Mizuguchi Y, Tomioka F, Tsuda S, Yamaguchi T, Takano Y. Superconductivity at 27 K in tetragonal FeSe under high pressure. Appl. Phys. Lett. 2008, 93, 152505.10.1063/1.3000616Suche in Google Scholar
[17] Pallecchi I, Fanciulli C, Tropeano M, Palenzona A, Ferretti M, Malagoli A, Martinelli A, Sheikin I, Putti M, Ferdeghini C. Upper critical field and fluctuation conductivity in the critical regime of doped SmFeAsO. Phys. Rev. B. 2009, 79, 104515.10.1103/PhysRevB.79.104515Suche in Google Scholar
[18] Pallecchi I, Lamura G, Tropeano M, Putti M, Viennois R, Giannini E, Van der Marel D. Seebeck effect in Fe1+xTe1-ySey single crystals. Phys. Rev. B. 2009, 80, 214511.10.1103/PhysRevB.80.214511Suche in Google Scholar
[19] Pinsard-Gaudart L, Berardan D, Bobroff J, Dragoe N. Large Seebeck coefficients in iron-oxypnictides: a new route towards n-type thermoelectric materials. Phys. Status Solidi RRL. 2008, 2, 185–187.10.1002/pssr.200802125Suche in Google Scholar
[20] Ren ZA, Yang J, Lu W, Yi W, Shen XL, Li ZC, Che GC, Dong XL, Sun LL, Zhou F, Zhao ZX. Superconductivity in the iron-based F-doped layered quaternary compound Nd O(1-x)F(x) FeAs. Europhys. Lett. 2008, 82, 57002.10.1209/0295-5075/82/57002Suche in Google Scholar
[21] Sanna S, De Renzi R, Lamura G, Ferdeghini C, Palenzona A, Putti M, Tropeano M, Shiroka T. Magnetic-superconducting phase boundary of SmFeAsO1-xFx studied via muon spin rotation: Unified behavior in a pnictide family. Phys. Rev. B. 2009, 80, 052503.10.1103/PhysRevB.80.052503Suche in Google Scholar
[22] Singh DJ, Du MH. Density functional study of LaFeAsO(1-x)F(x): a low carrier density superconductor near itinerant magnetism. Phys. Rev. Lett. 2008;100, 237003.10.1103/PhysRevLett.100.237003Suche in Google Scholar
[23] Takahashi H, Igawa K, Arii K, Kamihara Y, Hirano M, Hosono H. Superconductivity at 43 K in an iron-based layered compound LaO1-xFxFeAs. Nature 2008, 453, 376–378.10.1038/nature06972Suche in Google Scholar PubMed
[24] Wen HH, Mu G, Fang L, Yang H, Zhu XY. Superconductivity at 25 K in hole-doped (La(1-x)Sr4(x)) OFeAs. Europhys. Lett. 2008, 82, 17009.10.1209/0295-5075/82/17009Suche in Google Scholar
[25] Puneet P, Podila R, Zhu S, Skove MJ, Tritt TM, He J, Rao AM. Enhancement of thermoelectric performance of ball-milled bismuth due to spark-plasma-sintering-induced interface modifications. Adv. Mater. 2013, 25, 1033–1037.10.1002/adma.201204010Suche in Google Scholar
[26] Puneet P, Podila R, Karakaya M, Zhu S, He J, Tritt TM, Dresselhaus MS, Rao AM. Preferential scattering by interfacial charged defects for enhanced thermoelectric performance in few-layered n-type Bi2Te3. Sci. Rep. 2013, 3, 3212.10.1038/srep03212Suche in Google Scholar
[27] Podila R, Vedantam P, Ke PC, Brown JM, Rao AM. Evidence for charge-transfer-induced conformational changes in carbon nanostructure–protein corona. J. Phys. Chem. C 2012, 116, 22098–22103.10.1021/jp3085028Suche in Google Scholar PubMed PubMed Central
[28] McQueen TM, Huang Q, Ksenofontov V, Felser C, Xu Q, Zandbergen H, Hor YS, Allred J, Williams AJ, Qu D, Checkelsky J, Ong NP, Cava RJ. Extreme sensitivity of superconductivity to stoichiometry in Fe 1+δ Se. Phys. Rev. B 2009, 79, 014522.10.1103/PhysRevB.79.014522Suche in Google Scholar
Supplemental Material:
The online version of this article (DOI: 10.1515/ntrev-2015-0018) offers supplementary material, available to authorized users.
©2015 Walter de Gruyter GmbH, Berlin/Boston
This article is distributed under the terms of the Creative Commons Attribution Non-Commercial License, which permits unrestricted non-commercial use, distribution, and reproduction in any medium, provided the original work is properly cited.
Artikel in diesem Heft
- Frontmatter
- In this issue
- Editorial
- Frontiers in nanoscience, technology and applications
- Review
- Design of reversible logic circuits using quantum dot cellular automata-based system
- Research highlights
- Surface plasmon coupled emission as a novel analytical platform for the sensitive detection of cysteine
- Copper oxide nanoparticles: an antidermatophytic agent for Trichophyton spp.
- Synthesis and superconductivity in spark plasma sintered pristine and graphene-doped FeSe0.5Te0.5
- Efficient bulk heterojunction photovoltaic devices based on modified PCBM
- Electrical transport in titania nanoparticles embedded in conducting polymer matrix
- Prediction and validation of gold nanoparticles (GNPs) on plant growth promoting rhizobacteria (PGPR): a step toward development of nano-biofertilizers
- Evaluation of acoustical parameters and thermal conductivity of TiO2-ethylene glycol nanofluid using ultrasonic velocity measurements
- Studies on structural, optical and mechanical properties of MWCNTs and ZnO nanoparticles doped PVA nanocomposites
- Polycrystalline and single phase FeS2 films grown by chemical bath deposition
- Cu2ZnSnS4 synthesized through a low-cost reflux method
- Nanotechnology institutions
- Energy and our future: a perspective from the Clemson Nanomaterials Center
Artikel in diesem Heft
- Frontmatter
- In this issue
- Editorial
- Frontiers in nanoscience, technology and applications
- Review
- Design of reversible logic circuits using quantum dot cellular automata-based system
- Research highlights
- Surface plasmon coupled emission as a novel analytical platform for the sensitive detection of cysteine
- Copper oxide nanoparticles: an antidermatophytic agent for Trichophyton spp.
- Synthesis and superconductivity in spark plasma sintered pristine and graphene-doped FeSe0.5Te0.5
- Efficient bulk heterojunction photovoltaic devices based on modified PCBM
- Electrical transport in titania nanoparticles embedded in conducting polymer matrix
- Prediction and validation of gold nanoparticles (GNPs) on plant growth promoting rhizobacteria (PGPR): a step toward development of nano-biofertilizers
- Evaluation of acoustical parameters and thermal conductivity of TiO2-ethylene glycol nanofluid using ultrasonic velocity measurements
- Studies on structural, optical and mechanical properties of MWCNTs and ZnO nanoparticles doped PVA nanocomposites
- Polycrystalline and single phase FeS2 films grown by chemical bath deposition
- Cu2ZnSnS4 synthesized through a low-cost reflux method
- Nanotechnology institutions
- Energy and our future: a perspective from the Clemson Nanomaterials Center
