Abstract
Nanofocusing, the term coined by Mark Stockman, has been observed in many different tapered waveguide configurations, demonstrating the possibility for optical modes to be efficiently delivered to and concentrated into nanoscale regions far beyond the diffraction limit in dielectric media. Strong and broadband local field enhancement and slowdown effects associated with the nanofocusing have been exploited for enhancing linear and nonlinear optical phenomena and reaching out to a broad spectrum of diverse applications, from electron generation to water vaporization. Starting with the historical background, we carefully elaborate on the basic concepts and mechanisms involved. We then provide examples of the latest developments in this exciting quest for bringing the fundamental physical phenomenon of nanofocusing into the realm of practical applications in modern nanotechnology.
Nanofocusing of electromagnetic radiation is generally understood as a transport phenomenon, in which the cross-sections of propagating optical modes are progressively reduced, far beyond the diffraction limit in dielectric media, due to gradual (adiabatic) tapering of metal-dielectric waveguides, a phenomenon that is inherently nonresonant and thereby broadband [1]. The necessary condition for nanofocusing to occur is the existence of waveguiding configurations that support the corresponding propagating modes that can be progressively confined in tapered structures, i.e., the existence of nanoguiding. The appropriate modes constitute a subclass of surface plasmon polariton (SPP) modes [2] that represent bound electromagnetic excitations in which electromagnetic fields propagating in dielectrics are coupled to free electron oscillations in metals [3]. The existence of SPP modes that do not experience cutoff when the waveguide cross-section shrinks to zero could already be deduced from the surface polariton dispersion obtained for optical modes supported by an ionic crystal slab by Kliewer and Fuchs in 1966 [4], a configuration that is nowadays often called the insulator–metal–insulator (IMI) configuration. A few years later, detailed SPP mode analysis in various metal-dielectric multilayer systems by Economou [5] has made apparent that both IMI and metal–insulator–metal (MIM) configurations support similar SPP modes, whose wavenumbers are inversely proportional to the layer thickness. It is worth noting that this important relationship can qualitatively be deduced from the very existence of propagating bound modes in progressively shrinking (in their cross-sections) waveguides because it requires that the mode exponential decay decreases (while the magnitude of the transverse wave vector increases) in accord with a decrease in the waveguide core size. Applying the dispersion relation results in the mode wavenumber to be progressively increasing in the limit of waveguide dimensions becoming much smaller than the radiation wavelength.
This remarkable feature, constituting the very foundation of nanoguiding, was however not explicitly formulated, probably because the idea of nanoscale optical circuitry was yet to be called for. The concept of optical nanoguiding has widely been recognized 30 years later, after the guidance of optical radiation in the form of SPP modes along cylindrical metal nanowires was theoretically described in 1997 by Takahara et al. [6], revealing also the fundamental trade-off between the SPP mode confinement and propagation loss. Interesting that, practically simultaneously with the SPP mode analysis, the idea of superfocusing of surface polaritons was introduced by Nerkararyan [7], who considered polariton propagation in two-dimensional (2D) metal-dielectric wedge (both IMI and MIM) structures toward the wedges and demonstrated that the polariton field strength increases anomalously near the wedge end, even in the presence of material losses. At the same time, whereas the research in optical nanoguiding has immediately kick-started [2] after the theoretical consideration [6], the concept of superfocusing did not result in immediate developments, not even after the analysis of polariton superfocusing in conical structures by Nerkararyan et al. in 2000 [8].
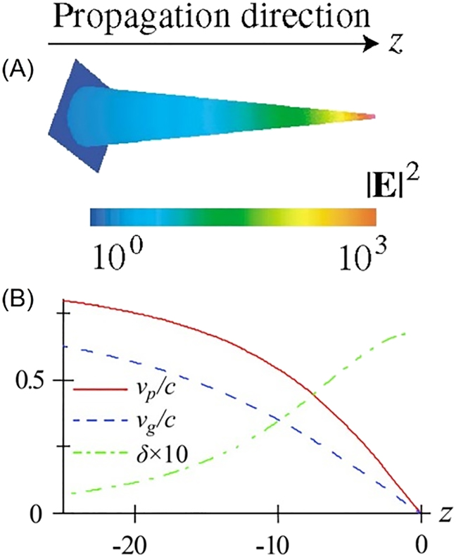
The early papers on superfocusing [7, 8] did not capture the attention of a wide audience because the nanoguiding itself was still to be experimentally explored, and also because these papers lack illustrations (featuring only one schematic figure of a cone [8]) and quantitative considerations for specific materials, optical wavelength and configuration parameters. The term “nanofocusing” was coined in 2004 by Stockman in his seminal paper on nanofocusing in tapered plasmonic waveguides [9] that has produced an enormous impact on the still young and explosively growing plasmonics community not only because of captivating visualization of optical fields being spatially squeezed and enhanced [Figure 1(A)] but also due to several profound insights opening fascinating perspectives for further explorations.
![Figure 1:
(A) SPPs, excited at the wide end of a silver cone in vacuum (opening angle of 0.04 rad) by electromagnetic radiation at the wavelength of 630 nm, propagate toward the cone's apex. The intensity of the local SPP field relative to the excitation field is shown by color with the scale indicated by the color bar in the center. (B) Phase velocity v
p, group velocity v
g, and adiabatic parameter δ (scaled by a factor of 10) as functions of the coordinate along the silver cone. Figure reproduced with permission from (A) ref. [9], © 2004 APS; (B) ref. [10], © 2011 APS.](/document/doi/10.1515/nanoph-2021-0267/asset/graphic/j_nanoph-2021-0267_fig_001.jpg)
(A) SPPs, excited at the wide end of a silver cone in vacuum (opening angle of 0.04 rad) by electromagnetic radiation at the wavelength of 630 nm, propagate toward the cone's apex. The intensity of the local SPP field relative to the excitation field is shown by color with the scale indicated by the color bar in the center. (B) Phase velocity v p, group velocity v g, and adiabatic parameter δ (scaled by a factor of 10) as functions of the coordinate along the silver cone. Figure reproduced with permission from (A) ref. [9], © 2004 APS; (B) ref. [10], © 2011 APS.
To begin with, Mark has considered nanofocusing in the context of one of the central problems of the nano-optics, viz., the efficient transfer of the optical radiation energy delivered by propagating electromagnetic waves into nanoscale volumes, i.e., efficient interfacing propagating (far) and evanescent (near) fields. He has also clearly differentiated nanofocusing, considered as a transport phenomenon, from the concentration of radiation energy in nanoscale volumes by illumination of nanostructures (nanoantennas). The ability of efficient energy harvesting from large areas and concentrating it into nanoscale ones is inherently stronger in the case of nanofocusing, because the field concentration by nanoantennas has fundamental limitations, for example, the dipolar scattering unitary limit [11]. Analyzing the nanofocusing, Mark has revealed that not only the phase but also the group velocity of the SPP wave traveling toward the cone tip decreases to zero at the tip end [Figure 1(B)] with the traveling time logarithmically diverging, making the tip end a point of essential singularity with a/the giant concentration of energy [9]. The asymptotic stopping appears to be a general hallmark of nanofocusing because one can show that, also in 2D IMI and MIM configurations and in the limit of very small layer thicknesses t << λ, the phase and group velocities scale: v p ≅ 2v g ∼ t. This stopping seems also reasonable to expect under the condition of adiabaticity that prevents reflection and coupling out because the SPP mode traveling toward the tip end has simply no other way to go but reach for the tip end and (eventually) stop. The importance of adiabaticity in nanofocusing was emphasized by Mark and verified for the considered nanofocusing configuration, indicating thereby acceptable taper angles. Finally, a very important feature of Mark's paper [9] contributing to its impact was detailed consideration of a realistic (i.e., with absorption losses) silver cone that convincingly demonstrated the possibility of efficient radiation delivery to the near-field zone resulting in the field intensity enhancement at the cone tip by three orders of magnitude (Figure 1).
Following the publication of the nanofocusing paper [9], the idea of nanofocusing was truly accepted and taken to practice by exploiting various plasmonic configurations supporting the appropriate SPP modes, i.e., those amenable to progressive squeezing in lateral cross-sections [1]. Note that these modes can easily be identified by verifying the existence of their electrostatic analogs, since the required mode scaling for small cross-sections is electrostatic by nature, with all dependencies on the radiation wavelength being washed out. For example, short-range SPPs, which do not have the cutoff [3], correspond in the electrostatic limit to the electric field of a charged conducting sheet, whereas long-range SPPs [3] should be reduced to a conducting sheet with opposite surfaces being charged oppositely, which is impossible.
The experimental demonstrations of nanofocusing took some time to appear because of nanofabrication and nano-optical characterization challenges that had to be dealt with. Also, getting convincing demonstrations of the nanofocusing require mastering efficient coupling of far-field radiation into suitable SPP modes propagating in configurations that would ensure a significant net field enhancement exceeding the effect of all (coupling and absorption) losses. As one would have expected, the radiation nanofocusing was first experimentally realized with tapered nanowires having rectangular [12] and circular [13] cross-sections, i.e., with three-dimensional IMI configurations. In both cases, the appropriate SPP mode propagating toward the tip end was excited using a diffraction grating pattern on a planar tapered metal stripe [12] or milled onto a side of a tapered nanowire [13].
These demonstrations should not be confused with widely known (already at that time) tip-enhanced phenomena, such as tip-enhanced Raman spectroscopy or, in general, tip-enhanced linear and nonlinear optics [14]. The latter phenomena are all related to the electrostatic enhancement of electromagnetic fields near pointed conducting surfaces that have long been known to play an important role in various phenomena and effects, ranging from St. Elmo's light to the lightning rod effect. In contrast to the nanofocusing of SPP waves traveling toward the tip end [12, 13], the tip-enhanced fields generate SPP waves traveling away from the tip end [15]. It has also been experimentally verified that illumination of the in-coupling diffraction grating milled on the side of a tapered rod produced ∼20 times higher Raman signal than the direct tip illumination [16]. In practice, it is extremely difficult to fabricate tapered nanowires with sufficiently sharp terminations that would prevent back-reflection, which decreases the achievable field enhancement. Alternatively, one can employ impedance-matched termination of a tapered nanowire with a resonant nanoantenna, boosting considerably the local field enhancement [17].
Radiation nanofocusing in the complementary MIM configuration, i.e., in tapered gaps between metal surfaces, involves the propagation of the antisymmetric (with respect to the charge distribution) gap SPP (GSP) mode, which is also known for its ability to propagate in infinitely narrow gaps. The GSP nanofocusing has been demonstrated in experiments on transmission through metallic V-shaped grooves [18], including extraordinary optical transmission boosted by nanofocusing [19], radiation propagation in angle-tapered V-grooves [20], and perfect radiation absorption in visible range [21]. A plethora of experimental demonstrations and theoretical considerations led to many exciting developments, opening fascinating perspectives for practical applications in modern nanotechnology [1, 14].
The “nanofocusing” paper single-authored by Mark [9] is one of his most cited papers (∼1000 citations on Web of Science) not only because of his profound insights into the underlying physics of this phenomenon but also due to prophetic charting the potential applications, “probing, spectroscopy, detection, and modification on the nanoscale in physics, chemistry, biology, electrical engineering”, most of which came true. As the first wave of pioneering experiments demonstrating the nanofocusing in different configurations has rolled over [1], the accompanying broadband effects of strong local field enhancement and the slowdown in wave propagation have generated the exploitation of strongly enhanced linear and nonlinear optical phenomena, reaching out to a wide spectrum of diverse applications, from electron generation to water vaporization. Interestingly, the first three predictions (probing, spectroscopy, and detection) being probably the most straightforward ones were combined into nanoscopy (including near-field microscopy), where the tapered metal structure efficiently transfers the optical energy from the free propagating optical beam to a highly localized spot [Figure 2(A)]. Here, the nanofocusing serves not only for realizing the strong field enhancement and high hot-spot localization but also provides broad operation bandwidth due to the nonresonant nature of nanofocusing (as opposed to the utilization of nanoantennas). Therefore, the nanofocusing enables focusing ultrashort-laser pulses [22], near-field spectroscopy [23, 24], and generation of the highly localized white light sources [25].
![Figure 2:
(A) A gold cone with engraved grating is illuminated with the femtosecond pulse to generate a localized hot-spot, used to probe the nonlinear properties of graphene. (B) Nanofocusing of electromagnetic radiation into the plasmonic slot waveguide allows efficient on-chip four-wave mixing. (C) Spatially and temporally resolved electron pulses are generated by nanofocusing of grating-coupled ultrashort laser pulse along the gold taper. Figure reproduced with permission from (A) ref. [22], © 2019 Springer Nature; (B), ref. [28], © 2017 AAAS; (C) ref. [30], © 2015 ACS.](/document/doi/10.1515/nanoph-2021-0267/asset/graphic/j_nanoph-2021-0267_fig_002.jpg)
(A) A gold cone with engraved grating is illuminated with the femtosecond pulse to generate a localized hot-spot, used to probe the nonlinear properties of graphene. (B) Nanofocusing of electromagnetic radiation into the plasmonic slot waveguide allows efficient on-chip four-wave mixing. (C) Spatially and temporally resolved electron pulses are generated by nanofocusing of grating-coupled ultrashort laser pulse along the gold taper. Figure reproduced with permission from (A) ref. [22], © 2019 Springer Nature; (B), ref. [28], © 2017 AAAS; (C) ref. [30], © 2015 ACS.
High field enhancement and broadband functionality are also key ingredients for nonlinear optics, where the idea of nanofocusing was extensively employed for a high-harmonic generation [26, 27] and four-wave mixing [28]. One can directly employ the nanofocusing taper to drive nonlinear phenomena at the tip, where the field enhancement is the highest, while the group velocity is slowed down [9] to allow longer light–matter interaction [26, 27]. However, a more efficient approach is to deliver the pump energy via the nanofocusing into a deep subwavelength plasmonic nanoguide [Figure 2(B)], where the pump can interact with material over a substantial length [28]. Notably, phase-matching is no longer required due to the tremendous field enhancement and corresponding short interaction length.
Another practical application of nanofocusing in modern nanotechnology is the generation of ultrashort and spatially localized electron pulses, where electrons are liberated from solids due to giant optical fields. Here, the nanofocusing provides an elegant solution by creating high field enhancement at the tip of conductive taper [29, 30]. Additionally, nonresonant feature of nanofocusing allows transmission of ultrashort optical pulses to the tip apex, resulting in the same ultrashort high-yield electron photoemission [Figure 2(C)].
The idea of nanofocusing has led not only to applications within modern nanoscience and nanotechnology but also within real-world problems, including the wide range of sustainable development goals, namely solar energy harvesting. Here, the inevitable losses in plasmonic waveguides can be turned into benefits to convert optical energy into heat, for example, for steam generation from solar energy. Interestingly, the concept of nanofocusing allows not only broadband absorption [21] but also the localization and, thus, enhanced generation of heat, harvested from the light being focused along a plasmonic taper [31]. To meet the potential large-scale mass-production, the nanostructures were formed by self-aggregation of metallic nanowire bundle arrays [Figure 3(A)].
![Figure 3:
(A) A broadband absorber, designed to trap solar energy, utilizes nanofocusing to generate steam at the apex of self-aggregated metal pillars. (B) Nanofocusing of optical energy along the metal taper into a deep sub-diffraction spot enables high-density heat-assisted magnetic recording. (A) ref [31], © 2015 Springer Nature; (B) ref [32], © 2018 OSA.](/document/doi/10.1515/nanoph-2021-0267/asset/graphic/j_nanoph-2021-0267_fig_003.jpg)
(A) A broadband absorber, designed to trap solar energy, utilizes nanofocusing to generate steam at the apex of self-aggregated metal pillars. (B) Nanofocusing of optical energy along the metal taper into a deep sub-diffraction spot enables high-density heat-assisted magnetic recording. (A) ref [31], © 2015 Springer Nature; (B) ref [32], © 2018 OSA.
Nanofocusing of optical energy has also a large potential within heat-assisted magnetic recording – a novel technology allowing to greatly increase the hard drive capacity [32, 33]. By properly designing a metal taper, the laser power can be guided along it and continuously squeezed, reaching a nanometer-size spot at the apex [Figure 3(B)]. When the recording medium is brought into proximity of the taper, the optical energy is absorbed within a volume of similar size, locally heating up this medium, which is required to flip the magnetic polarity of the selected volume (‘writing a bit’). However, there are still a few challenges to overcome before mass production: large-scale and precise nanofabrication; heat management to avoid thermal damage to the metal taper; integration with the magnetic recording head.
The above examples of recent applications of the nanofocusing concept illustrate the broad spectrum of phenomena that could greatly benefit from field enhancement and wave slowdown effects. In fact, practically any type of light–matter interactions can potentially be configured in a manner benefiting from nanofocusing, since light–matter interactions become stronger and more efficient with intense electromagnetic fields and slow waves. One example of insofar poorly exploited interactions concerns the Purcell enhancement of spontaneous emission rates of quantum emitters coupled to waveguide modes, which is proportional to the mode group index and inversely proportional to the mode cross-sectional area [34]. Whereas extremely confined plasmonic modes were used for the realization of large (∼50) Purcell enhancements [35], their practical use is impeded by the correspondingly large propagation losses (due to the fundamental mode confinement-loss trade-off). Here, one should bear in mind that the concept of nanofocusing can also be used for nanofocusing out (in the reciprocal configuration), i.e., for efficiently coupling light out of quantum emitters into conventional optical waveguides or fibers. In this respect, proper implementation of adiabatic tapering in and out of the emitter-waveguide coupling region [36], i.e., nanofocusing in and out, seems rather promising from the viewpoint of both greatly enhancing the emission rates and mitigating the insertion loss. To this end, we note that a similar construction would be highly beneficial for the realization of efficient single-photon nonlinear interactions [37]. In both cases, one would like to maximize the field enhancement achieved in the process of nanofocusing (with both direct and reciprocal configurations). Here, it should be borne in mind that the ultimate field confinement and thereby enhancement by nanofocusing is fundamentally limited by Landau damping (and associated with its surface collision damping) resulting in progressively increasing absorption for strongly confined SPP modes [38]. Overall, although the hype caused by Mark's paper [9] is in the past, the nanofocusing phenomenon with its unique set of underlying physical mechanisms continues and will certainly continue to attract the attention of scientists, inspiring both fundamental and applied research. In this context, nanofocusing as such is not only reaching out to the wealth of applications but also penetrating deep into fundamental physics.
Note added in proof. While our paper concentrating on the latest applied aspects of the nanofocusing related research was being prepared for submission, we became aware of another paper from this special issue written by Khurgin [39] that can serve as a very good example of work revealing exciting fundamental physics involved in nanofocusing. At the same time, we would like to comment that, in our opinion, the paper by Khurgin [39] concerns a physical phenomenon that being similar to the nanofocusing is fundamentally different. Indeed, a chain of self-similar nanoparticles, a.k.a. the “snowman” configuration, introduced by Mark [40] and propitiously generalized by Khurgin [39] functions best in the electrostatic regime, i.e., no propagation and spatial phase variation in this configuration is required. In contrast to that, starting from the original nanofocusing paper [9], the nanofocusing was generally understood as a transport phenomenon [1] with both phase and group velocities drastically decreasing toward the tapered end [Figure 1(B)], a phenomenon that is inherently nonresonant and thereby broadband. Still, since in the snowman configuration the resonant field enhancement increases in space when proceeding to progressively smaller nanoparticles, one can view this (resonant) phenomenon as hybrid nanofocusing, combining the properties of resonant nano-optical antennas and nanofocusing [1].
-
Author contributions: All the authors have accepted responsibility for the entire content of this submitted manuscript and approved submission.
-
Research funding: None declared.
-
Conflict of interest statement: The authors declare no conflicts of interest regarding this article.
References
[1] D. K. Gramotnev and S. I. Bozhevolnyi, “Nanofocusing of electromagnetic radiation,” Nat. Photonics, vol. 8, pp. 13–22, 2014; https://doi.org/10.1038/nphoton.2013.232.Search in Google Scholar
[2] Z. Han and S. I. Bozhevolnyi, “Radiation guiding with surface plasmon polaritons,” Rep. Prog. Phys., vol. 76, p. 016402, 2013; https://doi.org/10.1088/0034-4885/76/1/016402.Search in Google Scholar PubMed
[3] S. A. Maier, Plasmonics: Fundamentals and Applications, New York, Springer, 2007.10.1007/0-387-37825-1Search in Google Scholar
[4] K. L. Kliewer and R. Fuchs, “Optical modes of vibration in an ionic crystal slab including retardation. I. Nonradiative region,” Phys. Rev., vol. 144, pp. 495–503, 1966; https://doi.org/10.1103/physrev.144.495.Search in Google Scholar
[5] E. N. Economou, “Surface plasmons in thin films,” Phys. Rev., vol. 182, pp. 539–554, 1969; https://doi.org/10.1103/physrev.182.539.Search in Google Scholar
[6] J. Takahara, S. Yamagishi, H. Taki, A. Morimoto, and T. Kobayashi, “Guiding of a one-dimensional optical beam with nanometer diameter,” Opt. Lett., vol. 22, pp. 475–477, 1997; https://doi.org/10.1364/ol.22.000475.Search in Google Scholar PubMed
[7] K. V. Nerkararyan, “Superfocusing of a surface polariton in a wedge-like structure,” Phys. Lett. A, vol. 237, pp. 103–105, 1997; https://doi.org/10.1016/s0375-9601(97)00722-6.Search in Google Scholar
[8] A. J. Babadjanyan, N. L. Margaryan, and K. V. Nerkararyan, “Superfocusing of surface polaritons in the conical structure,” J. Appl. Phys., vol. 87, pp. 3785–3788, 2000; https://doi.org/10.1063/1.372414.Search in Google Scholar
[9] M. I. Stockman, “Nanofocusing of optical energy in tapered plasmonic waveguides,” Phys. Rev. Lett., vol. 93, p. 137404, 2004; https://doi.org/10.1103/physrevlett.93.137404.Search in Google Scholar PubMed
[10] M. I. Stockman, “Erratum: Nanofocusing of optical energy in tapered plasmonic waveguides,” Phys. Rev. Lett., vol. 106, p. 019901, 2011; https://doi.org/10.1103/physrevlett.106.019901.Search in Google Scholar
[11] R. G. Newton, Scattering Theory of Waves and Particles, New York, Springer, 1982.10.1007/978-3-642-88128-2Search in Google Scholar
[12] E. Verhagen, A. Polman, and L. K. Kuipers, “Nanofocusing in laterally tapered plasmonic waveguides,” Opt. Express, vol. 16, pp. 45–57, 2008; https://doi.org/10.1364/oe.16.000045.Search in Google Scholar PubMed
[13] C. Ropers, C. C. Neacsu, T. Elsaesser, M. Albrecht, M. B. Raschke, and C. Lienau, “Grating-coupling of surface plasmons onto metallic tips: a nanoconfined light source,” Nano Lett., vol. 7, pp. 2784–2788, 2007; https://doi.org/10.1021/nl071340m.Search in Google Scholar PubMed
[14] F. Lu, W. Zhang, M. Liu, L. Zhang, and T. Mei, “Tip-based plasmonic nanofocusing: vector field engineering and background elimination,” IEEE J. Sel. Top. Quant. Electron., vol. 27, p. 4600512, 2021; https://doi.org/10.1109/jstqe.2020.3017348.Search in Google Scholar
[15] A. Pors, K. V. Nerkararyan, and S. I. Bozhevolnyi, “Scaling in light scattering by sharp conical metal tips,” Opt. Lett., vol. 39, pp. 3308–3311, 2014; https://doi.org/10.1364/ol.39.003308.Search in Google Scholar PubMed
[16] S. Berweger, J. M. Atkin, R. L. Olmon, and M. B. Raschke, “Adiabatic tip-plasmon focusing for nano-Raman spectroscopy,” J. Phys. Chem. Lett., vol. 1, pp. 3427–3432, 2010; https://doi.org/10.1021/jz101289z.Search in Google Scholar
[17] V. A. Zenin, A. Andryieuski, R. Malureanu, et al.., “Boosting local field enhancement by on-chip nanofocusing and impedance-matched plasmonic antennas,” Nano Lett., vol. 15, pp. 8148–8154, 2015; https://doi.org/10.1021/acs.nanolett.5b03593.Search in Google Scholar PubMed
[18] H. Choi, D. F. P. Pile, S. Nam, G. Bartal, and X. Zhang, “Compressing surface plasmons for nano-scale optical focusing,” Opt. Express, vol. 17, pp. 7519–7524, 2009; https://doi.org/10.1364/oe.17.007519.Search in Google Scholar PubMed
[19] T. Søndergaard, S. I. Bozhevolnyi, S. M. Novikov, J. Beermann, E. Devaux, and T. W. Ebbesen, “Extraordinary optical transmission enhanced by nanofocusing,” Nano Lett., vol. 10, pp. 3123–3128, 2010.10.1021/nl101873gSearch in Google Scholar PubMed
[20] V. S. Volkov, S. I. Bozhevolnyi, S. G. Rodrigo, et al.., “Nanofocusing with channel plasmon polaritons,” Nano Lett., vol. 9, pp. 1278–1282, 2009; https://doi.org/10.1021/nl900268v.Search in Google Scholar PubMed
[21] T. Søndergaard, S. M. Novikov, T. Holmgaard, et al.., “Plasmonic black gold by adiabatic nanofocusing and absorption of light in ultra-sharp convex grooves,” Nat. Commun., vol. 3, p. 969, 2012.10.1038/ncomms1976Search in Google Scholar PubMed
[22] T. Jiang, V. Kravtsov, M. Tokman, A. Belyanin, and M. B. Raschke, “Ultrafast coherent nonlinear nanooptics and nanoimaging of graphene,” Nat. Nanotecnol., vol. 14, pp. 838–843, 2019; https://doi.org/10.1038/s41565-019-0515-x.Search in Google Scholar PubMed
[23] S. Kim, N. Yu, X. Ma, et al.., “High external-efficiency nanofocusing for lens-free near-field optical nanoscopy,” Nat. Photonics, vol. 13, pp. 636–643, 2019; https://doi.org/10.1038/s41566-019-0456-9.Search in Google Scholar
[24] M. Esmann, A. Chimeh, A. Korte, et al.., “Plasmonic nanofocusing spectral interferometry,” Nanophotonics, vol. 9, pp. 491–508, 2020; https://doi.org/10.1515/nanoph-2019-0397.Search in Google Scholar
[25] T. Umakoshi, M. Tanaka, Y. Saito, and P. Verma, “White nanolight source for optical nanoimaging,” Sci. Adv., vol. 6, p. eaba4179, 2020; https://doi.org/10.1126/sciadv.aba4179.Search in Google Scholar PubMed PubMed Central
[26] I. Y. Park, S. Kim, J. Choi, et al.., “Plasmonic generation of ultrashort extreme-ultraviolet light pulses,” Nat. Photonics, vol. 5, pp. 677–681, 2011; https://doi.org/10.1038/nphoton.2011.258.Search in Google Scholar
[27] A. Tuniz, O. Bickerton, F. J. Diaz, et al.., “Modular nonlinear hybrid plasmonic circuit,” Nat. Commun., vol. 11, p. 2413, 2020; https://doi.org/10.1038/s41467-020-16190-z.Search in Google Scholar PubMed PubMed Central
[28] M. P. Nielsen, X. Shi, P. Dichtl, S. A. Maier, and R. F. Oulton, “Giant nonlinear response at a plasmonic nanofocus drives efficient four-wave mixing,” Science, vol. 358, p. 1179, 2017; https://doi.org/10.1126/science.aao1467.Search in Google Scholar PubMed
[29] M. Krüger, M. Schenk, and P. Hommelhoff, “Attosecond control of electrons emitted from a nanoscale metal tip,” Nature, vol. 475, pp. 78–81, 2011; https://doi.org/10.1038/nature10196.Search in Google Scholar PubMed
[30] J. Vogelsang, J. Robin, B. J. Nagy, et al.., “Ultrafast electron emission from a sharp metal nanotaper driven by adiabatic nanofocusing of surface plasmons,” Nano Lett., vol. 15, pp. 4685–4691, 2015; https://doi.org/10.1021/acs.nanolett.5b01513.Search in Google Scholar PubMed
[31] K. Bae, G. Kang, S. K. Cho, W. Park, K. Kim, and W. J. Padilla, “Flexible thin-film black gold membranes with ultrabroadband plasmonic nanofocusing for efficient solar vapour generation,” Nat. Commun., vol. 6, p. 10103, 2015; https://doi.org/10.1038/ncomms10103.Search in Google Scholar PubMed PubMed Central
[32] C. Zhong, P. Flanigan, N. Abadía, et al.., “Effective heat dissipation in an adiabatic near-field transducer for HAMR,” Opt. Express, vol. 26, pp. 18842–18854, 2018; https://doi.org/10.1364/oe.26.018842.Search in Google Scholar PubMed
[33] J. Gosciniak and M. Rasras, “High field enhancement between transducer and resonant antenna for application in bit patterned heat-assisted magnetic recording,” Opt. Express, vol. 27, pp. 8605–8611, 2019; https://doi.org/10.1364/oe.27.008605.Search in Google Scholar
[34] R. F. Oulton, G. Bartal, D. F. P. Pile, and X. Zhang, “Confinement and propagation characteristics of subwavelength plasmonic modes,” New J. Phys., vol. 10, p. 105018, 2008; https://doi.org/10.1088/1367-2630/10/10/105018.Search in Google Scholar
[35] S. Kumar, S. K. H. Andersen, and S. I. Bozhevolnyi, “Extremely confined gap-plasmon waveguide modes excited by nitrogen-vacancy centers in diamonds,” ACS Photonics, vol. 6, pp. 23–29, 2019; https://doi.org/10.1021/acsphotonics.8b01225.Search in Google Scholar
[36] S. I. Bozhevolnyi and J. B. Khurgin, “Fundamental limitations in spontaneous emission rate of single-photon sources,” Optica, vol. 3, pp. 1418–1421, 2016; https://doi.org/10.1364/optica.3.001418.Search in Google Scholar
[37] M. K. Bhaskar, D. D. Sukachev, A. Sipahigil, et al.., “Quantum nonlinear optics with a Germanium-vacancy color center in a nanoscale diamond waveguide,” Phys. Rev. Lett., vol. 118, p. 223603, 2017; https://doi.org/10.1103/physrevlett.118.223603.Search in Google Scholar PubMed
[38] J. B. Khurgin, “Ultimate limit of field confinement by surface plasmon polaritons,” Faraday Discuss, vol. 178, pp. 109–122, 2015; https://doi.org/10.1039/c4fd00193a.Search in Google Scholar PubMed
[39] J. B. Khurgin, “Plasmons compressing the light – a jewel in the treasure chest of Mark Stockman's legacy,” Nanophotonics, p. 20210251, 2021, https://doi.org/10.1515/nanoph-2021-0251.10.1515/nanoph-2021-0251Search in Google Scholar
[40] K. Li, M. I. Stockman, and D. J. Bergman, “Self-similar chain of metal nanospheres as an efficient nanolens,” Phys. Rev. Lett., vol. 91, p. 227402, 2003; https://doi.org/10.1103/physrevlett.91.227402.Search in Google Scholar PubMed
© 2021 Vladimir A. Zenin and Sergey I. Bozhevolnyi, published by De Gruyter, Berlin/Boston
This work is licensed under the Creative Commons Attribution 4.0 International License.
Articles in the same Issue
- Frontmatter
- Editorial
- A tribute to Mark Stockman
- Perspectives
- Plasmons compressing the light – a jewel in the treasure chest of Mark Stockman’s legacy
- Novel non-plasmonic nanolasers empowered by topology and interference effects
- Nanofocusing: reaching out
- Spaser or plasmonic nanolaser? – Reminiscences of discussions and arguments with Mark Stockman
- Plasmonic nanolasers: fundamental properties and applications
- Research Articles
- Space- and time-resolved second harmonic spectroscopy of coupled plasmonic nanocavities
- Surface-response functions obtained from equilibrium electron-density profiles
- Effect of nanoscale dielectric environments on concentration quenching
- Optical spin–orbit coupling in the presence of magnetization: photonic skyrmion interaction with magnetic domains
- Anomalous ultrafast all-optical Hall effect in gapped graphene
- Exploiting space-time duality in the synthesis of impedance transformers via temporal metamaterials
- Optical current generation in graphene: CEP control vs. ω + 2ω control
- Edge detection with meta-lens: from one dimension to three dimensions
- Coherent control at gold needle tips approaching the strong-field regime
- Tailoring exceptional points in a hybrid PT-symmetric and anti-PT-symmetric scattering system
- Transition to strong coupling regime in hybrid plasmonic systems: exciton-induced transparency and Fano interference
- Single-nanoantenna driven nanoscale control of the VO2 insulator to metal transition
- High laser induced damage threshold photoresists for nano-imprint and 3D multi-photon lithography
- Onset of charge interaction in strong-field photoemission from nanometric needle tips
- Massive surface-plasmon polaritons
- VCSEL with multi-transverse cavities with bandwidth beyond 100 GHz
Articles in the same Issue
- Frontmatter
- Editorial
- A tribute to Mark Stockman
- Perspectives
- Plasmons compressing the light – a jewel in the treasure chest of Mark Stockman’s legacy
- Novel non-plasmonic nanolasers empowered by topology and interference effects
- Nanofocusing: reaching out
- Spaser or plasmonic nanolaser? – Reminiscences of discussions and arguments with Mark Stockman
- Plasmonic nanolasers: fundamental properties and applications
- Research Articles
- Space- and time-resolved second harmonic spectroscopy of coupled plasmonic nanocavities
- Surface-response functions obtained from equilibrium electron-density profiles
- Effect of nanoscale dielectric environments on concentration quenching
- Optical spin–orbit coupling in the presence of magnetization: photonic skyrmion interaction with magnetic domains
- Anomalous ultrafast all-optical Hall effect in gapped graphene
- Exploiting space-time duality in the synthesis of impedance transformers via temporal metamaterials
- Optical current generation in graphene: CEP control vs. ω + 2ω control
- Edge detection with meta-lens: from one dimension to three dimensions
- Coherent control at gold needle tips approaching the strong-field regime
- Tailoring exceptional points in a hybrid PT-symmetric and anti-PT-symmetric scattering system
- Transition to strong coupling regime in hybrid plasmonic systems: exciton-induced transparency and Fano interference
- Single-nanoantenna driven nanoscale control of the VO2 insulator to metal transition
- High laser induced damage threshold photoresists for nano-imprint and 3D multi-photon lithography
- Onset of charge interaction in strong-field photoemission from nanometric needle tips
- Massive surface-plasmon polaritons
- VCSEL with multi-transverse cavities with bandwidth beyond 100 GHz