Abstract
Fano resonances feature an asymmetric lineshape with controllable linewidth, stemming from the interplay between bright and dark resonances. They provide efficient opportunities to shape the scattering lineshape, but they usually lack flexibility and tunability and are hindered by loss in passive systems. Here, we explore a hybrid parity-time (PT) and anti-parity-time (APT) symmetric system supporting unitary scattering features with highly tunable Fano resonances. The PT-APT-symmetric system can be envisioned in nanophotonic and microwave circuit implementations, allowing for real-time control of the scattering lineshape and its underlying singularities. Our study shows the opportunities enabled by non-Hermitian platforms to control scattering lineshapes for a plethora of photonic, electronic, and quantum systems, with potential for high-resolution imaging, switching, sensing, and multiplexing.
1 Introduction
Prof. Mark Stockman has pioneered research in enhanced light–matter interactions based on nanophotonic phenomena [1], [2], [3], [4], demonstrating superb opportunities for extreme light confinement and manipulation relying on passive and active nanostructures. A common fingerprint of extreme wave-matter interactions in nanostructures is the Fano resonance [5], [6], [7], [8], [9], characterized by an asymmetric lineshape supported by the interaction between a bright, usually broad, resonance and discrete dark resonant states. This feature, emerging in a broad range of different photonic and electromagnetic platforms, has been utilized to develop several exciting applications, ranging from ultrafast optical switching [10], observation of molecule-level chemical dynamics [11], and nonlinearity-induced nonreciprocity [12]. These responses are typically imprinted within the complex nanostructure geometry, with challenges in reconfigurability. Being able to dynamically control and tune the Fano response in real-time would open new opportunities in a variety of contexts and applications. A few approaches have been proposed to this end, such as attosecond laser control [13, 14], geometrical phase control [15], and electrical control [16]. However, these approaches rely on complicated experimental setups, suffer from material loss, and are fundamentally limited in the range of transformations of Fano resonances that may be available and in terms of real-time control and tuning range.
In a parallel effort, active nanophotonic systems have been recently gaining significant attention in the optics community, again following the pioneering work of Prof. Stockman on nanolasing and spasers [1, 17–19]. Recent efforts in this area have been exploring in particular systems with balanced loss and gain elements, which support exotic scattering features, including unidirectional invisibility [17–23], single-mode lasing [24, 25], robust information transfer [26], enhanced sensing [27, 28], among several other applications [29–33]. Balanced loss and gain distributions in space support a Hamiltonian H
PT that is invariant under a dual parity and time-reversal operation:
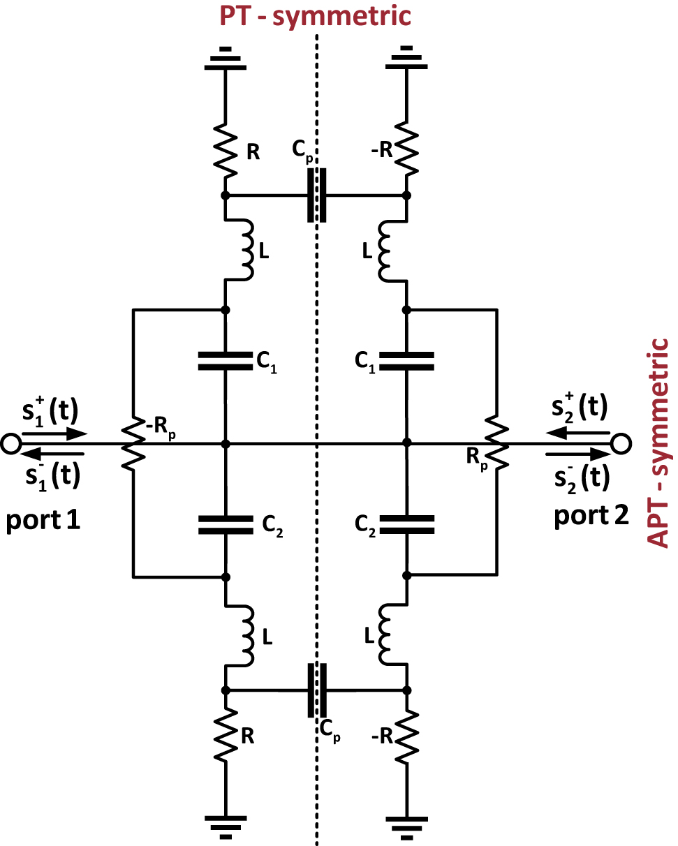
In this work, we study a hybrid PT-APT-symmetric geometry with two orthogonal axes of symmetry, showcasing unique scattering features and opportunities to realize efficient control of the spectral response. The proposed system consists of four coupled loss/gain nano-resonators, PT-symmetric along the vertical axis and APT-symmetric along the horizontal axis (see Figure 1). By coupling this system to a two-port waveguide, we demonstrate that it supports a unitary scattering process

(a) Conceptual schematic of a hybrid PT-APT-symmetric system. The system is PT-symmetric with respect to the vertical axis and APT-symmetric with respect to the horizontal axis. Coupling between the resonator and the waveguide is μ and coupling between resonators is κ on the vertical axis and ±iκ on the horizontal axis, where κ is purely real and μ is a complex parameter function of the scattering matrix of the direct process. ±ω 0 are the resonant frequencies and ±γ 0 are the gain/loss parameter. (b) A nanophotonic implementation based on four active/passive ring resonators and a bus waveguide.
2 Hybrid PT-APT-symmetric system
The PT-APT-symmetric system is schematically shown in Figure 1a, and possible nanophotonic implementation in the form of four nanoring resonators coupled to a bus waveguide is shown in Figure 1b. Looking at the system around the vertical axis, it is formed by two pairs of PT-symmetric resonators with resonances ±ω 0, gain/loss rates ±γ 0, and coupling coefficient κ. Across the horizontal axis, the same system can be described as two pairs of APT-symmetric resonators: one is a pair of gain resonators with lossy coupling coefficient iκ, the other is a pair of lossy resonators with gain coupling coefficient −iκ. Therefore, the Hamiltonian of this system reads as
Although our system obeys both PT-symmetry and APT-symmetry, the PT operator does not commute with H or ±iH, which means
To facilitate the exploration of the scattering features, we study its eigenfrequency spectrum. By simplifying the associated characteristic equation
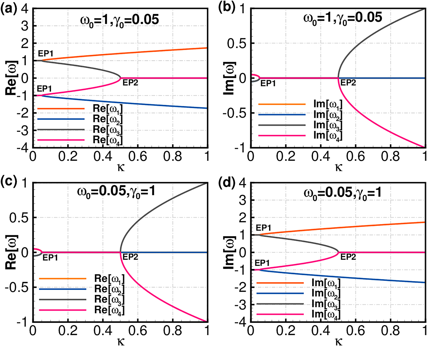
where I is a unity matrix with the same dimension as the Hamiltonian. Figure 2 shows the real and imaginary parts of the eigenfrequencies, as a function of the coupling coefficient κ, assuming a constant gain or loss rate γ 0 and resonance ω 0. The system supports a number of EPs along the real and imaginary frequency axes, which stem from the degeneracy of the Hamiltonian with a dimension larger than 2. The location of these EPs and corresponding degenerate eigenfrequencies are

Eigenfrequencies and exceptional points. (a) The real part of the eigenfrequencies for
It is easy to show that κ
EP1 is always smaller or equal to κ
EP2, where κ
EP1 = κ
EP2 if ω
0 = γ
0. The latter case corresponds to a system with a fourth-order EP at
The case
3 Highly tunable Fano resonant response
Exotic scattering features emerge when our system is interrogated by a probing network, which may be represented by a coupled waveguide or incident radiation in the case of a scattering system. As shown in Figure 1b, we feed the four-ring resonators with a bus waveguide aligned with the horizontal axis to excite the system and retrieve its scattering features. The coupling coefficient between each resonator and the waveguide is defined by the complex quantity μ. Assuming that this system is excited with signals
where
By performing a Fourier transform of Eq. (4) and using the relation
which is defined by the relation
where γ e is the decay rate from the resonator to the waveguide.
From this result, we find that S
†
S = I, implying that our scattering system operates as a purely lossless system at any frequency, even in the broken phase regime in which the Hamiltonian of the isolated system supports complex eigenvalues. This result can be understood from two different perspectives: the system can be modeled as two PT-symmetric resonators side coupled to a waveguide. We show in Appendix A that a scattering system where a PT-symmetric resonator is side-coupled to a lossless waveguide acts as a lossless/gainless system. Hence, two side-coupled PT-symmetric systems are also expected to introduce no net gain or loss into the waveguide under this excitation scheme. On the other hand, the system can also be modeled as two complementary APT-symmetric systems. One of the APT-symmetric resonator pairs absorbs energy from the waveguide, as
The real part of the denominator in Eq. (6) corresponds to the characteristic Eq. (2), supporting interesting scattering features. When the excitation frequency is identical to an eigenfrequency, the scattering matrix becomes

Drastic tailoring of the scattering spectrum with EP engineering in the PT-APT-symmetric system. R indicates reflectance and T transmittance. (a) Fano power transmission and reflection lineshape as the system operates at the first EP: κ = κ
EP1. (b) Combined Fano and Lorentzian resonances when the system works between the first and second EP:
4 PT-APT-symmetric implementation in a microwave circuit
In this section, we explore the design of a PT-APT-symmetric system in a microwave circuit platform [58, 59], paving the way for real-time reconfigurability with variable capacitors. Similar designs may be pursued in nanophotonic implementations. Figure 4 shows a realistic implementation using lumped circuit elements. The loss and gain elements are represented by positive and negative resistance elements R and −R, in which for simplicity here we neglect the frequency dispersion of the active elements. The positive and negative resonance are realized by two series LC resonators with different resonant frequencies,

Realistic layout of a PT-APT-symmetric circuit. A pair of PT-symmetric LC resonators with inductance L, capacitance C
1, and positive (negative) resistance R (−R) are coupled by a capacitance C
p. Another pair of PT-symmetric LC resonators with inductance L, capacitance C
2, and positive (negative) resistance R (−R) are coupled by a capacitance C
p. The lossy resonator LC1 and the lossy resonator LC2 are coupled through a gain channel −R
p. The gain resonator LC1 and the gain resonator LC2 are coupled through a lossy channel R
p. The whole system is PT-symmetric along the vertical axis and APT-symmetric along the horizontal axis. The circuit parameters are:

(a) Fano resonance in the weak coupling regime. (b) Fano and Lorentzian resonance in the intermediate coupling regime. (c) Lorentzian resonance in the strong coupling regime. Dashed lines in the subplot (a) comes from the abrupt change of the spectrum.
5 Conclusions
In this work, we have explored a hybrid PT/APT-symmetric system unveiling the possibility of drastically controlling the scattering signature by manipulating the supported EPs varying the coupling parameter. This manipulation enables a dynamic and real-time tunability of reflection and transmission spectra between Fano and Lorentzian lineshape. We envision that these interesting scattering features can be practically realized in various open and guided nanophotonic settings opening prospects for imaging, filtering, sensing, and multiplexing applications, and showcasing the opportunities enabled by non-Hermitian systems and dispersion engineering in nanophotonics and electromagnetics, as pioneered throughout his scientific career by Prof. Mark Stockman. In particular, for nanophotonic settings these features may be enabled in coupled nanowaveguides loaded by gain and loss elements, or in coupled nanoparticles excited in the far-field, enabling highly unusual scattering phenomena.
Funding source: Office of Naval Research
Award Identifier / Grant number: Unassigned
-
Author contribution: All the authors have accepted responsibility for the entire content of this submitted manuscript and approved submission.
-
Research funding: This work is supported by the Office of Naval Research with grant No. N00014-19-1-2011 and the Simons Foundation.
-
Conflict of interest statement: The authors declare no conflicts of interest regarding this article.
Appendix A: PT-symmetric system side-coupled to a waveguide
Figure 6 demonstrates a PT-symmetric resonator pair side-coupled to a waveguide, in which the Hamiltonian is defined as
where ω 0 is the resonant frequency, γ 0 is the intrinsic loss and gain rate in the first and second resonator, and κ is the coupling coefficient between the two resonators. The system is side-coupled to a waveguide with a coupling coefficient μ. For the above scattering system, the coupled mode equation is
where

PT-symmetric system side-coupled to a waveguide.
Therefore, we have the following scattering parameters:
We can easily confirm that the scattering matrix satisfies the passivity condition

Power reflection and transmission spectra for
Appendix B: APT-symmetric system with lossy resonators side-coupled to a waveguide
Figure 8 shows an APT-symmetric system side-coupled to a waveguide, in which the Hamiltonian is defined as
where ω 0 is the resonant frequency, γ 0 is the intrinsic loss rate in the first and second resonator, and −iκ is the coupling coefficient between the two resonators. The system is side-coupled to a waveguide with a coupling coefficient μ. For the above scattering system, the coupled mode equation is
where

APT-symmetric system side-coupled to a waveguide.
Therefore, we have the following scattering parameters:
In the weak coupling regime
which implies that the APT-symmetric system absorbs energy from the waveguide. The reflection and transmission spectra are shown in Figure 9, which indicates that the APT-symmetric system only supports Lorentzian resonances.

Power reflection and transmission spectrum for
Appendix C: APT-symmetric system with gain resonator side-coupled to a waveguide
Figure 10 shows an APT-symmetric system side-coupled to a waveguide, in which the Hamiltonian is defined as
where ω 0 is the resonant frequency, γ 0 is the intrinsic gain rate in the first and second resonator, and iκ is the coupling coefficient between the two resonators. The system is side-coupled to a waveguide with a coupling coefficient μ. For the above scattering system, the coupled mode equation is
where

APT-symmetric system side-coupled to a waveguide.
Therefore, we have the following scattering parameters
In the weak coupling regime
which implies that the APT-symmetric system pumps energy into the waveguide. The reflection and transmission spectra are shown in Figure 11, which indicates that the APT-symmetric system with gain only supports Lorentzian resonances, and do not behave as a passive system.

Power reflection and transmission spectra for
References
[1] D. J. Bergman and M. I. Stockman, “Surface plasmon amplification by stimulated emission of radiation: quantum generation of coherent surface plasmons in nanosystems,” Phys. Rev. Lett., vol. 90, 2003, Art no. 027402. https://doi.org/10.1103/PhysRevLett.90.027402.Search in Google Scholar PubMed
[2] M. I. Stockman, “Nanofocusing of optical energy in tapered plasmonic waveguides,” Phys. Rev. Lett., vol. 93, 2004, Art no. 137404. https://doi.org/10.1103/physrevlett.93.137404.Search in Google Scholar PubMed
[3] M. I. Stockman, “The spaser as a nanoscale quantum generator and ultrafast amplifier,” J. Opt., vol. 12, 2010, Art no. 024004. https://doi.org/10.1088/2040-8978/12/2/024004.Search in Google Scholar
[4] M. I. Stockman, “Nanoplasmonics: past, present, and glimpse into future,” Opt. Express, vol. 19, p. 22029, 2011. https://doi.org/10.1364/oe.19.022029.Search in Google Scholar PubMed
[5] A. E. Miroshnichenko, S. Flach, and Y. S. Kivshar, “Fano resonances in nanoscale structures,” Rev. Mod. Phys., vol. 82, p. 2257, 2010. https://doi.org/10.1103/revmodphys.82.2257.Search in Google Scholar
[6] B. Luk'yanchuk, N. I. Zheludev, S. A. Maier, et al.., “The Fano resonance in plasmonic nanostructures and metamaterials,” Nat. Mater., vol. 9, p. 707, 2010. https://doi.org/10.1038/nmat2810.Search in Google Scholar PubMed
[7] M. F. Limonov, M. V. Rybin, A. N. Poddubny, and Y. S. Kivshar, “Fano resonances in photonics,” Nat. Photonics, vol. 11, p. 543, 2017. https://doi.org/10.1038/nphoton.2017.142.Search in Google Scholar
[8] E. H. Hasdeo, A. R. T. Nugraha, K. Sato, M. S. Dresselhaus, and R. Saito, “Electronic Raman scattering and the Fano resonance in metallic carbon nanotubes,” Phys. Rev. B, vol. 88, 2013, Art no. 115107. https://doi.org/10.1103/physrevb.88.115107.Search in Google Scholar
[9] Y. Zhang, Y.-R. Zhen, O. Neumann, J. K. Day, P. Nordlander, and N. J. Halas, “Coherent anti-Stokes Raman scattering with single-molecule sensitivity using a plasmonic Fano resonance,” Nat. Commun., vol. 5, p. 4424, 2014. https://doi.org/10.1038/ncomms5424.Search in Google Scholar PubMed
[10] L. Stern, M. Grajower, and U. Levy, “Fano resonances and all-optical switching in a resonantly coupled plasmonic-atomic system,” Nat. Commun., vol. 5, p. 4865, 2014. https://doi.org/10.1038/ncomms5865.Search in Google Scholar PubMed
[11] R. Y. Bello, S. E. Canton, D. Jelovina, et al.., “Reconstruction of the time-dependent electronic wave packet arising from molecular autoionization,” Sci. Adv., vol. 4, p. 3962, 2018. https://doi.org/10.1126/sciadv.aat3962.Search in Google Scholar PubMed PubMed Central
[12] D. L. Sounas, J. Soric, and A. Alù, “Broadband passive isolators based on coupled nonlinear resonances,” Nat. Electron., vol. 1, p. 113, 2018. https://doi.org/10.1038/s41928-018-0025-0.Search in Google Scholar
[13] C. Ott, A. Kaldun, P. Raith, et al.., “Lorentz meets Fano in spectral line shapes: a universal phase and its laser control,” Science, vol. 340, p. 716, 2013. https://doi.org/10.1126/science.1234407.Search in Google Scholar PubMed
[14] A. Kaldun, A. Blättermann, V. Stooß, et al.., “Observing the ultrafast buildup of a Fano resonance in the time domain,” Science, vol. 354, p. 738, 2016. https://doi.org/10.1126/science.aah6972.Search in Google Scholar PubMed
[15] S. K. Ray, A. K. Singh, Ajmal, S. Chandel, P. Mitra, and N. Ghosh, Controlling Fano Resonance Using the Geometrical Phase of Light in Spatially Tailored Waveguided Plasmonic Crystals. arxiv.org/abs/1905.01636.10.1103/PhysRevA.100.033805Search in Google Scholar
[16] Y. Vardi, E. Cohen-Hoshen, G. Shalem, and I. Bar-Joseph, “Fano Resonance in an electrically driven plasmonic device,” Nano Lett., vol. 16, p. 748, 2016. https://doi.org/10.1021/acs.nanolett.5b04622.Search in Google Scholar PubMed
[17] M. I. Stockman, “Spaser action, loss compensation, and stability in plasmonic systems with gain,” Phys. Rev. Lett., vol. 106, 2011, Art no. 156802. https://doi.org/10.1103/physrevlett.106.156802.Search in Google Scholar
[18] S. I. Azzam, A. V. Kildishev, R.-M. Ma, et al.., “Ten years of spasers and plasmonic nanolasers,” Light Sci. Appl., vol. 9, p. 90, 2020. https://doi.org/10.1038/s41377-020-0319-7.Search in Google Scholar PubMed PubMed Central
[19] J.-S. Wu, V. Apalkov, and M. I. Stockman, “Topological spaser,” Phys. Rev. Lett., vol. 124, 2020, Art no. 017701. https://doi.org/10.1103/PhysRevLett.124.017701.Search in Google Scholar PubMed
[20] Z. Lin, H. Ramezani, T. Eichelkraut, T. Kottos, H. Cao, and D. N. Christodoulides, “Unidirectional invisibility induced by PT-symmetric periodic structures,” Phys. Rev. Lett., vol. 106, 2011, Art no. 213901. https://doi.org/10.1103/physrevlett.106.213901.Search in Google Scholar PubMed
[21] R. Fleury, D. Sounas, and A. Alù, “An invisible acoustic sensor based on parity-time symmetry,” Nat. Commun., vol. 6, p. 5905, 2015. https://doi.org/10.1038/ncomms6905.Search in Google Scholar PubMed
[22] D. L. Sounas, R. Fleury, and A. Alù, “Unidirectional cloaking based on metasurfaces with balanced loss and gain,” Phys. Rev. Appl., vol. 4, 2015, Art no. 014005. https://doi.org/10.1103/physrevapplied.4.014005.Search in Google Scholar
[23] N. X. A. Rivolta and B. Maes, “Side-coupled resonators with parity-time symmetry for broadband unidirectional invisibility,” Phys. Rev. A, vol. 94, 2016, Art no. 053854. https://doi.org/10.1103/physreva.94.053854.Search in Google Scholar
[24] H. Hodaei, M.-A. Miri, M. Heinrich, D. N. Christodoulides, and M. Khajavikhan, “Parity-time-symmetric microring lasers,” Science, vol. 346, p. 975, 2014. https://doi.org/10.1126/science.1258480.Search in Google Scholar PubMed
[25] L. Feng, Z. J. Wong, R.-M. Ma, Y. Wang, and X. Zhang, “Single-mode laser by parity-time symmetry breaking,” Science, vol. 346, p. 972, 2014. https://doi.org/10.1126/science.1258479.Search in Google Scholar PubMed
[26] Z. Xiao, Y. Radi, S. Tretyakov, and A. Alù, “Microwave tunneling and robust information transfer based on parity-time-symmetric absorber-emitter pairs,” Research, vol. 2019, p. 10, 2019. https://doi.org/10.34133/2019/7108494.Search in Google Scholar PubMed PubMed Central
[27] P.-Y. Chen, M. Sakhdari, M. Hajizadegan, et al.., “Generalized parity–time symmetry condition for enhanced sensor telemetry,” Nat. Electron., vol. 1, p. 297, 2018. https://doi.org/10.1038/s41928-018-0072-6.Search in Google Scholar
[28] Z. Xiao, H. Li, T. Kottos, and A. Alù, “Enhanced sensing and nondegraded thermal noise performance based on PT-symmetric electronic circuits with a sixth-order exceptional point,” Phys. Rev. Lett., vol. 123, 2019, Art no. 213901. https://doi.org/10.1103/physrevlett.123.213901.Search in Google Scholar
[29] H. Alaeian and J. A. Dionne, “Parity-time-symmetric plasmonic metamaterials,” Phys. Rev. A, vol. 89, 2014, Art no. 03382. https://doi.org/10.1103/physreva.89.033829.Search in Google Scholar
[30] W. Wang, L. Q. Wang, R. D. Xue, et al.., “Unidirectional excitation of radiative-loss-free surface plasmon polaritons in PT-symmetric systems,” Phys. Rev. Lett., vol. 119, 2017, Art no. 077401. https://doi.org/10.1103/physrevlett.119.077401.Search in Google Scholar
[31] M. Sakhdari, M. Hajizadegan, Q. Zhong, D. N. Christodoulides, R. El-Ganainy, and P. Y. Chen, “Experimental observation of PT-symmetry breaking near divergent exceptional points,” Phys. Rev. Lett., vol. 123, 2019, Art no. 193901. https://doi.org/10.1103/physrevlett.123.193901.Search in Google Scholar
[32] M. Farhat, M. Yang, Z. Ye, and P. Y. Chen, “PT-symmetric absorber-laser enables electromagnetic sensors with unprecedented sensitivity,” ACS Photonics, vol. 7, p. 2080, 2020. https://doi.org/10.1021/acsphotonics.0c00514.Search in Google Scholar
[33] M. Sakhdari, N. Mohammadi Estakhri, H. Bagci, and P. Y. Chen, “Low-threshold lasing and coherent perfect absorption in generalized PT-symmetric optical structures,” Phys. Rev. Appl., vol. 10, 2018, Art no. 024030. https://doi.org/10.1103/physrevapplied.10.024030.Search in Google Scholar
[34] C. M. Bender and S. Boettcher, “Real spectra in non-Hermitian Hamiltonians having PT symmetry,” Phys. Rev. Lett., vol. 80, p. 5243, 1998. https://doi.org/10.1103/physrevlett.80.5243.Search in Google Scholar
[35] C. M. Bender, “Making sense of non-Hermitian Hamiltonians,” Rep. Prog. Phys., vol. 70, p. 947, 2007. https://doi.org/10.1088/0034-4885/70/6/r03.Search in Google Scholar
[36] R. El-Ganainy, K. G. Makris, D. N. Christodoulides, and Z. H. Musslimani, “Theory of coupled optical PT-symmetric structures,” Opt. Lett., vol. 32, p. 2632, 2007. https://doi.org/10.1364/ol.32.002632.Search in Google Scholar PubMed
[37] C. E. Rüter, K. G. Makris, R. El-Ganainy, D. N. Christodoulides, M. Segev, and D. Kip, “Observation of parity-time symmetry in optics,” Nat. Phys., vol. 6, p. 192, 2010. https://doi.org/10.1038/nphys1515.Search in Google Scholar
[38] J. Schindler, A. Li, M. C. Zheng, F. M. Ellis, and T. Kottos, “Experimental study of active LRC circuits with PT symmetries,” Phys. Rev. A, vol. 84, 2011, Art no. 040101. https://doi.org/10.1103/physreva.84.040101.Search in Google Scholar
[39] Z. Lin, J. Schindler, F. M. Ellis, and T. Kottos, “Experimental observation of the dual behavior of PT-symmetric scattering,” Phys. Rev. A, vol. 85, 2012, Art no. 050101. https://doi.org/10.1103/physreva.85.050101.Search in Google Scholar
[40] J. Schindler, Z. Lin, J. M. Lee, H. Ramezani, F. M. Ellis, and T. Kottos, “PT-symmetric electronics,” J. Phys. A: Math. Theor., vol. 45, 2012, Art no. 444029. https://doi.org/10.1088/1751-8113/45/44/444029.Search in Google Scholar
[41] L. Ge, Y. D. Chong, and A. D. Stone, “Conservation relations and anisotropic transmission resonances in one-dimensional PT-symmetric photonic heterostructures,” Phys. Rev. A, vol. 85, 2012, Art no. 023802. https://doi.org/10.1103/physreva.85.023802.Search in Google Scholar
[42] J. Li, R. Yu, C. Ding, and Y. Wu, “PT-symmetry-induced evolution of sharp asymmetric line shapes and high-sensitivity refractive index sensors in a three-cavity array,” Phys. Rev. A, vol. 93, 2016, Art no. 023814. https://doi.org/10.1103/physreva.93.023814.Search in Google Scholar
[43] S. Tanaka, S. Garmon, K. Kanki, and T. Petrosky, “Higher-order time-symmetry-breaking phase transition due to meeting of an exceptional point and a Fano resonance,” Phys. Rev. A, vol. 94, 2016, Art no. 022105. https://doi.org/10.1103/physreva.94.022105.Search in Google Scholar
[44] M.-A. Miri and A. Alù, “Exceptional points in optics and photonics,” Science, vol. 63, p. 7709, 2019. https://doi.org/10.1126/science.aar7709.Search in Google Scholar PubMed
[45] P. Peng, W. Cao, C. Shen, et al.., “Anti-parity-time symmetry with flying atoms,” Nat. Phys., vol. 12, p. 1139, 2016. https://doi.org/10.1038/nphys3842.Search in Google Scholar
[46] F. Yang, Y.-C. Liu, and L. You, “Anti-PT symmetry in dissipatively coupled optical systems,” Phys. Rev. A, vol. 96, 2017, Art no. 053845. https://doi.org/10.1103/physreva.96.053845.Search in Google Scholar
[47] L. Jin, “Scattering properties of a parity-time-antisymmetric non-Hermitian system,” Phys. Rev. A, vol. 98, 2018, Art no. 022117. https://doi.org/10.1103/physreva.98.022117.Search in Google Scholar
[48] Y. Choi, C. Hahn, J. W. Yoon, and S. H. Song, “Observation of an anti-PT-symmetric exceptional point and energy-difference conserving dynamics in electrical circuit resonators,” Nat. Commun., vol. 9, p. 2182, 2018. https://doi.org/10.1038/s41467-018-04690-y.Search in Google Scholar PubMed PubMed Central
[49] V. V. Konotop and D. A. Zezyulin, “Odd-time reversal PT symmetry induced by an Anti PT-symmetric medium,” Phys. Rev. Lett., vol. 120, 2018, Art no. 123902. https://doi.org/10.1103/physrevlett.120.123902.Search in Google Scholar
[50] Y. Li, Y.-G. Peng, L. Han, et al.., “Anti-parity-time symmetry in diffusive systems,” Science, vol. 364, p. 170, 2019. https://doi.org/10.1126/science.aaw6259.Search in Google Scholar PubMed
[51] Q. Li, C.-J. Zhang, Z.-D. Cheng, et al.., “Experimental simulation of anti-parity-time symmetric Lorentz dynamics,” Optica, vol. 6, p. 67, 2019. https://doi.org/10.1364/optica.6.000067.Search in Google Scholar
[52] T. Shui, W.-X. Yang, L. Li, and X. Wang, “Lop-sided Raman-Nath diffraction in PT-antisymmetric atomic lattices,” Opt. Lett., vol. 44, p. 2089, 2019. https://doi.org/10.1364/ol.44.002089.Search in Google Scholar PubMed
[53] Z. Ye, M. Farhat, and P.-Y. Chen, “Tunability and switching of Fano and Lorentz resonances in PTX-symmetric electronic systems,” App. Phys. Lett., vol. 117, 2020, Art no. 031101. https://doi.org/10.1063/5.0014919.Search in Google Scholar
[54] A. Bergman, R. Duggan, K. Sharma, M. Tur, A. Zadok, and A. Alù, “Observation of anti-parity-time-symmetry, phase transitions and exceptional points in an optical fiber,” Nat. Commun., vol. 12, p. 486, 2021. https://doi.org/10.1038/s41467-020-20797-7.Search in Google Scholar PubMed PubMed Central
[55] S. Fan, “Sharp asymmetric line shapes in side-coupled waveguide-cavity systems,” Appl. Phys. Lett., vol. 80, p. 908, 2002. https://doi.org/10.1063/1.1448174.Search in Google Scholar
[56] S. Fan, W. Suh, and J. D. Joannopoulos, “Temporal coupled-mode theory for the Fano resonance in optical resonators,” J. Opt. Soc. Am. A, vol. 20, p. 569, 2003. https://doi.org/10.1364/josaa.20.000569.Search in Google Scholar PubMed
[57] S. Wonjoo, W. Zheng, and F. Shanhui, “Temporal coupled-mode theory and the presence of non-orthogonal modes in lossless multimode cavities,” IEEE J. Quant. Electron., vol. 40, p. 1511, 2004. https://doi.org/10.1109/jqe.2004.834773.Search in Google Scholar
[58] B. Lv, R. Li, J. Fu, et al.., “Analysis and modeling of Fano resonances using equivalent circuit elements,” Sci. Rep., vol. 6, p. 31884, 2016. https://doi.org/10.1038/srep31884.Search in Google Scholar PubMed PubMed Central
[59] D. M. Pozar, Microwave Engineering, 4th ed., New York, Wiley, 2011.Search in Google Scholar
© 2021 Zhicheng Xiao and Andrea Alù, published by De Gruyter, Berlin/Boston
This work is licensed under the Creative Commons Attribution 4.0 International License.
Articles in the same Issue
- Frontmatter
- Editorial
- A tribute to Mark Stockman
- Perspectives
- Plasmons compressing the light – a jewel in the treasure chest of Mark Stockman’s legacy
- Novel non-plasmonic nanolasers empowered by topology and interference effects
- Nanofocusing: reaching out
- Spaser or plasmonic nanolaser? – Reminiscences of discussions and arguments with Mark Stockman
- Plasmonic nanolasers: fundamental properties and applications
- Research Articles
- Space- and time-resolved second harmonic spectroscopy of coupled plasmonic nanocavities
- Surface-response functions obtained from equilibrium electron-density profiles
- Effect of nanoscale dielectric environments on concentration quenching
- Optical spin–orbit coupling in the presence of magnetization: photonic skyrmion interaction with magnetic domains
- Anomalous ultrafast all-optical Hall effect in gapped graphene
- Exploiting space-time duality in the synthesis of impedance transformers via temporal metamaterials
- Optical current generation in graphene: CEP control vs. ω + 2ω control
- Edge detection with meta-lens: from one dimension to three dimensions
- Coherent control at gold needle tips approaching the strong-field regime
- Tailoring exceptional points in a hybrid PT-symmetric and anti-PT-symmetric scattering system
- Transition to strong coupling regime in hybrid plasmonic systems: exciton-induced transparency and Fano interference
- Single-nanoantenna driven nanoscale control of the VO2 insulator to metal transition
- High laser induced damage threshold photoresists for nano-imprint and 3D multi-photon lithography
- Onset of charge interaction in strong-field photoemission from nanometric needle tips
- Massive surface-plasmon polaritons
- VCSEL with multi-transverse cavities with bandwidth beyond 100 GHz
Articles in the same Issue
- Frontmatter
- Editorial
- A tribute to Mark Stockman
- Perspectives
- Plasmons compressing the light – a jewel in the treasure chest of Mark Stockman’s legacy
- Novel non-plasmonic nanolasers empowered by topology and interference effects
- Nanofocusing: reaching out
- Spaser or plasmonic nanolaser? – Reminiscences of discussions and arguments with Mark Stockman
- Plasmonic nanolasers: fundamental properties and applications
- Research Articles
- Space- and time-resolved second harmonic spectroscopy of coupled plasmonic nanocavities
- Surface-response functions obtained from equilibrium electron-density profiles
- Effect of nanoscale dielectric environments on concentration quenching
- Optical spin–orbit coupling in the presence of magnetization: photonic skyrmion interaction with magnetic domains
- Anomalous ultrafast all-optical Hall effect in gapped graphene
- Exploiting space-time duality in the synthesis of impedance transformers via temporal metamaterials
- Optical current generation in graphene: CEP control vs. ω + 2ω control
- Edge detection with meta-lens: from one dimension to three dimensions
- Coherent control at gold needle tips approaching the strong-field regime
- Tailoring exceptional points in a hybrid PT-symmetric and anti-PT-symmetric scattering system
- Transition to strong coupling regime in hybrid plasmonic systems: exciton-induced transparency and Fano interference
- Single-nanoantenna driven nanoscale control of the VO2 insulator to metal transition
- High laser induced damage threshold photoresists for nano-imprint and 3D multi-photon lithography
- Onset of charge interaction in strong-field photoemission from nanometric needle tips
- Massive surface-plasmon polaritons
- VCSEL with multi-transverse cavities with bandwidth beyond 100 GHz