Abstract
The spectrum and energy dynamics for a system that comprises a molecule interacting with a cavity photon is analyzed, taking into account the effect of both molecular vibrations and counter-rotating terms (CR) in the dipole Hamiltonian. The CR terms do not have a strong effect on the spectrum even for moderately large values of the exciton-photon interaction. However, it is shown that the polariton subspace is governed by an effective Quantum-Rabi Hamiltonian, where polaritons act as a two-level system and the phonons play the role of cavity photons. The effect of the CR terms is amplified in the dynamics: as the vibrations reduce the effective photon-exciton coupling, small Bloch-Siegert energy shifts can bring the system out of resonance.
1 Introduction
Cavity quantum electrodynamics (CQED), that is, the behavior of matter with a discrete quantum level structure interacting with a confined electromagnetic field, has been a blooming topic of research in the last three decades [1]. One attractive possibility is to strongly couple the constituents in order to create hybrid quasiparticles, which inherit both the intrinsic nonlinearities of a quantum system and the speed of photons. Different material platforms have been considered as the discrete-level system (which can usually be described as an effective two-level system, 2LS), such as quantum dots [2], NV centers in diamond [3], and superconducting systems [4]. Recently, organic molecules have also been added to this list. Notably, placing a macroscopic set of molecules in an extended cavity has been shown to modify their chemical reaction rates [5], exciton transport [6], [7], and even the electronic conductivity [8]. The case of few-molecules in cavities has also been reached [9], even going down to a single molecule in the case of plasmonic cavities [10], [11]. Remarkably, these last cases reported coupling rates of the order of 1/10 of the excitation bare energies, indicating that ultrastrong effects may be relevant (see [12], [13] for recent reviews on the ultrastrong coupling regime). Molecules are also being considered as effective 2LS in open 1D waveguides, both in the optical [14] and microwave [15] regimes, with potential applications in quantum information. It is clear that, despite the similarities with other 2LS, molecules also present peculiarities associated with their manifold of vibrational excitations, which need to be taken into consideration.
In this article we analyze the dynamics of the simplest system in molecular CQED: a single molecule interacting with a single cavity mode. As a difference from other works, we concentrate on analyzing ultrastrong coupling effects that may arise in these systems.
2 One molecule in one cavity
2.1 The model
We consider one molecule inside a cavity (see Figure 1A for a schematic diagram). This system can be described as the single-molecule version of the Holstein-Tavis-Cummings Hamiltonian, which has been analyzed in depth in the past for collections of molecules [16], [17], [18], [19] (throughout this article, we denote this single-molecule case as the Holstein-Jaynes-Cummings (HJC) case). However, this Hamiltonian is obtained after neglecting the counter-rotating (CR) terms that arise when quantizing the dipole Hamiltonian [1], [13]. This is correct in the usual case where the molecule-photon interaction is weak, but as the coupling increases when the photon modal volume decreases, the CR terms may be relevant when considering ultrasmall plasmonic cavities. We thus retain the CR terms and propose the Holstein-Quantum-Rabi (HQR) Hamiltonian:

Energy levels in molecular cavity QED.
(A) Schematic representation of the energy scales in the problem of a molecule in a cavity. (B) Lower eigen energies as a function of the Huang-Rhys factor. Red lines correspond to the vibrational ladder of the photon-exciton ground-state, while black lines correspond to the 1 excitation light-matter (polariton) sector. The parameters used are ωc=Δ=1, ωv=0.075, and g=0.05. (C) Zoom of panel (B) in the polariton sector. Solid lines were obtained with the HQR model, data points marked with crosses were obtained with the HJC Hamiltonian (neglecting the CR terms), and the discontinuous lines are obtained with the effective QR model described by Eq. (3).
where the operators a+, σ+, and b+ create one cavity photon (with energy ωc), one exciton in the molecule (with energy Δ), and one molecular vibrational quantum (with energy ωv), respectively, while their adjoint operators (a, σ−, and b) annihilate the corresponding excitations. The operators a and b are bosonic, while the σ’s are Pauli matrices operating in the molecular ground state-exciton two-level manifold.
The Holstein exciton-phonon interaction takes into account that the molecule vibrates differently in the ground and excited states, and it is characterized by the Huang-Rhys factor λ2. The coefficient g sets the exciton-photon interaction strength and depends on both the molecular transition dipole moment and the photon modal volume. When g is small enough compared to both ωc and Δ, the CR term HCR=g(σ+a++σ−a−) can be safely neglected, arriving at the HJC model. On the contrary, for large enough g, the CR term is relevant to the dynamics of the system (situation termed as “ultrastrong coupling regime” or USC). In CQED, the rule of thumb is that reaching the USC requires g≳0.1 Δ [12], [13], [20]; here we will show that this condition is modified in molecular CQED.
Notice that the diamagnetic term (A2~(a+a+)2)) has not been included in the Hamiltonian (1), as we assume that its effect has already been taken into account in the values of ωc and g [17].
Hamiltonian (1) is expressed in the base of vibrational levels of the electronic ground state {n}. It is possible to go into a representation where vibrations in the electronic ground state are expressed in the base {n} while the vibrations in the exciton sector are expressed in their own eigenfunctions: the displaced oscillators
In this representation, the vibrations “dress” the exciton-photon coupling through the Frank-Condon factors
Although the motivation behind the presentation of the HQR Hamiltonian is the application to molecular CQED, note that it could more generally apply to cases where a 2LS is coupled both to a cavity photon and to another bosonic degree of freedom, a situation that may occur in circuit QED [22]. With this in mind, in what follows we present results over a wide range of Huang-Rhys factors (which in molecules typically range from 0 to ~2 [23], [24]).
2.2 The spectrum
In this article we focus on the modification of the dynamics of a 2LS in a cavity due to the presence of vibrational modes. We thus consider the cavity to be in resonance with the zero-phonon excitonic transition (ωc=Δ, which is taken as the energy unit). Figure 1B renders the numerically computed spectrum for the case g=0.05 (the chosen values for ωc and g representative for vibrations in organic molecules [25] and ultrasmall plasmonic cavities [10], [11], respectively). Results for both HQR and HJC models are shown, demonstrating that the CR terms have only a minimal impact in the eigen energies for that value of g. The spectrum shows a series of vibrational modes associated with the exciton-photon ground state (with energies virtually independent of λ) and another set associated with the vibrational dressed polaritonic states. At λ=0, when
where the σP operators work in the two-level subspace spanned by the exciton-photon polaritons,
Thus, away from these degeneracy points, the dynamics in the polariton subspace is governed by an effective QR Hamiltonian, which can even reach the deep-ultrastrong coupling regime
2.3 Dynamics: ultrastrong effects
We consider the situation where one photon enters the system, in resonance with the zero-phonon exciton, and study the subsequent dynamics. In this work we assume that the decay rates are small enough to be safely neglected in the timescales we examine; the effect of losses will be analyzed in a subsequent publication. It can be anticipated, nevertheless, that the high losses present in today’s room-temperature plasmonic cavities would have to be drastically reduced in order to observe any ultrastrong coupling effects. This can perhaps be achieved by lowering the temperature, considering metallodielectric cavities with high dielectric index, or using quantum circuits [22].
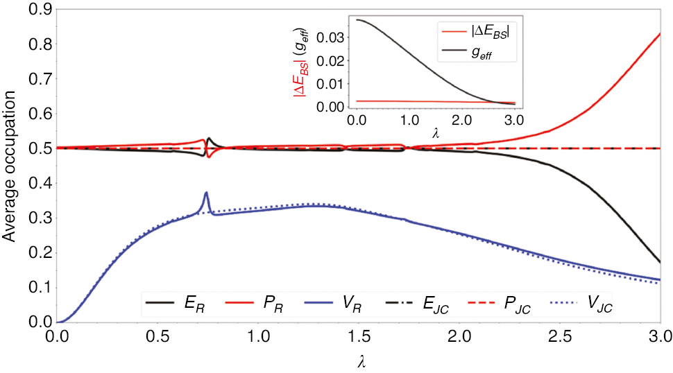
Figure 2 renders, for different values of λ and g, the time evolution of the photon number P(t)≡〈a+a〉(t) (the exciton number E(t)=〈σ+σ−〉(t) is complementary to P(t), as their sum is 1). Each panel shows the comparison between the calculations using the full HQR and the HJC models. In the λ=0 case, the vibrational degrees of freedom decouple and, for the considered initial condition, the system is always in the zero-vibration state. Thus, the molecule behaves as a 2LS and the system maps into traditional CQED, where ultrastrong coupling effects are negligible for g=0.05 (Figure 2B) and very small even for g=0.2 (Figure 2C). As shown in the figure, the frequency of the Rabi oscillations ΩR strongly decreases with λ. This occurs because the oscillations mainly involve the two lowest polaritonic states, whose energy decreases with λ (as shown in Figure 1C). But, notably, the influence of the CR terms on the dynamics is strongly enhanced for larger values of λ, as shown by the incompleteness of Rabi oscillations in the lower panels of Figure 2. This is highlighted in Figure 3, which renders the comparison between the time-averaged values for P(t), E(t), and V(t)≡〈b+b〉(t) when the CR terms have been either considered or neglected, as a function of λ. In the last (“Jaynes-Cummings”) case, PJC=EJC=1/2 for all λ. The presence of CR terms change the occupations in two ways. First, they “dress” the bare energies of the states (“Bloch-Siegert” effect). This can be taken into account considering HCR as a perturbation to the HJC Hamiltonian. Within second order, the Bloch-Siegert corrections to the bare eigen energies are

Time evolution of the average number of photons, P(t), for different values of λ and g.
The photon and the zero-phonon exciton are considered to be in resonance, ωc=Δ, and ωv=0.075. Each panel shows the comparison between the full HQR model (red curves) and the one without the CR terms (Holstein-Jaynes-Cummings model, black curves). Top panels (A–C) are for λ=0, and bottom ones (D–F) are for λ=2.5. The case g=0.05 is rendered for both values of λ, while the other panels are representative of the values g needed for ultrastrong coupling effects to appear for each λ.

Time-averaged number of excitons (E), photons (P), and molecular vibrations (V) as a function of λ.
Continuous lines are computed using the Holstein-Quantum-Rabi model, while dashed lines were computed by neglecting the counter-rotating terms (HJC model). The inset shows the Bloch-Siegert correction to the photon energy, ΔEBS(|↓, 1, 0〉), and the effective value of g (i.e. half their energy difference between the two lowest polaritons). The parameters used are ωc=Δ=1, ωv=0.075, and g=0.05.
where, in the approximation to ΔEBS(|↓, 1, 0〉), we have used the following properties of the Frank-Condon factors: (i)
The second way in which the CR terms modify the occupations occurs at smaller values of λ. It works via mixing states which would be orthogonal within the HJC Hamiltonian but anti-cross when the CR terms are considered (which, as mentioned before and shown in Figure 1, occurs for the states P0+ and P2− at λ≈0.74). This mixing allows P0+ to couple to P2−, thus enhancing the average number of phonons P (see the peak in P in Figure 3, at λ≈0.74).
3 Conclusions and outlook
We have analyzed the CQED setup where a molecule plays the role of a 2LS, in the case where the bare photon and exciton are in resonance. We have shown that, due to the presence of molecular vibrations, the CR terms in the photon-exciton coupling may influence the Rabi oscillations at much smaller coupling strengths that usually are required in other CQED setups. We have also shown that even when the CR terms are negligible, the polariton energy sector is described by an effective QR Hamiltonian where the two polariton states play the role of the 2LS and molecular vibrations play the role of photons. Future work should analyze how these effects are affected by the presence of different decay channels, how these ultrastrong coupling effects scale with the number of molecules, and what their possible influence would be on the properties of dark modes.
Acknowledgment
We acknowledge support by the Spanish Ministerio de Ciencia, Innovación y Universidades, within project MAT2017-88358-C3-1-R, Funder Id: http://dx.doi.org/10.13039/100014440, and the Aragón Government through project Q-MAD.
References
[1] Haroche S, Raimond JM. Exploring the quantum: atoms, cavities, and photons. Oxford, Oxford University Press, 2006.10.1093/acprof:oso/9780198509141.001.0001Search in Google Scholar
[2] Zrenner A, Beham E, Stufler S, Findeis F, Bichler M, Abstreiter G. Coherent properties of a two-level system based on a quantum-dot photodiode. Nature 2002;418:612–4.10.1038/nature00912Search in Google Scholar PubMed
[3] Jelezko F, Gaebel T, Popa I, Gruber A, Wrachtrup J. Observation of coherent oscillations in a single electron spin. Phys Rev Lett 2004;92:076401.10.1103/PhysRevLett.92.076401Search in Google Scholar PubMed
[4] Schoelkopf RJ, Girvin SM. Wiring up quantum systems. Nature 2008;451:664–9.10.1038/451664aSearch in Google Scholar PubMed
[5] Hutchison JA, Schwartz T, Genet C, Devaux E, Ebbesen TW. Modifying chemical landscapes by coupling to vacuum fields. Angew Chem Int Ed 2012;51:1592–6.10.1002/anie.201107033Search in Google Scholar PubMed
[6] Feist J, Garcia-Vidal FJ. Extraordinary exciton conductance induced by strong coupling. Phys Rev Lett 2015;114:196402.10.1103/PhysRevLett.114.196402Search in Google Scholar PubMed
[7] Schachenmayer J, Genes C, Tignone E, Pupillo G. Cavity-enhanced transport of excitons. Phys Rev Lett 2015;114:196403.10.1103/PhysRevLett.114.196403Search in Google Scholar PubMed
[8] Orgiu E, George J, Hutchison JA, et al. Conductivity in organic semiconductors hybridized with the vacuum field. Nat Mater 2015;14:1123EP.10.1038/nmat4392Search in Google Scholar PubMed
[9] Zengin G, Wersäll M, Nilsson S, Antosiewicz TJ, Käll M, Shegai T. Realizing strong light-matter interactions between single-nanoparticle plasmons and molecular excitons at ambient conditions. Phys Rev Lett 2015;114:157401.10.1103/PhysRevLett.114.157401Search in Google Scholar PubMed
[10] Chikkaraddy R, de Nijs B, Benz F, et al. Single-molecule strong coupling at room temperature in plasmonic nanocavities. Nature 2016;535:127–30.10.1038/nature17974Search in Google Scholar PubMed PubMed Central
[11] Haran G, Chuntonov L. Artificial plasmonic molecules and their interaction with real molecules. Chem Rev 2018;118:5539–80. PMID: 29781601.10.1021/acs.chemrev.7b00647Search in Google Scholar PubMed
[12] Forn-Daz P, Lamata L, Rico E, Kono J, Solano E. Ultrastrong coupling regimes of light-matter interaction. Rev Mod Phys 2019;91:025005.10.1103/RevModPhys.91.025005Search in Google Scholar
[13] Kockum AF, Miranowicz A, De Liberato S, Savasta S, Nori F. Ultrastrong coupling between light and matter. Nat Rev Phys 2019;1:19–40.10.1038/s42254-018-0006-2Search in Google Scholar
[14] Faez S, Türschmann P, Haakh HR, Götzinger S, Sandoghdar V. Coherent interaction of light and single molecules in a dielectric nanoguide. Phys Rev Lett 2014;113:213601.10.1103/PhysRevLett.113.213601Search in Google Scholar PubMed
[15] Jenkins M, Hümmer T, Martnez-Pérez MJ, Garca-Ripoll J, Zueco D, Luis F. Coupling single-molecule magnets to quantum circuits. New J Phys 2013;15:095007.10.1088/1367-2630/15/9/095007Search in Google Scholar
[16] del Pino J, Feist J, Garcia-Vidal FJ. Signatures of vibrational strong coupling in raman scattering. J Phys Chem C 2015;119:29132–7.10.1021/acs.jpcc.5b11654Search in Google Scholar
[17] Ćwik JA, Kirton P, De Liberato S, Keeling J. Excitonic spectral features in strongly coupled organic polaritons. Phys Rev A 2016;93:033840.10.1103/PhysRevA.93.033840Search in Google Scholar
[18] Herrera F, Spano FC. Cavity-controlled chemistry in molecular ensembles. Phys Rev Lett 2016;116:238301.10.1103/PhysRevLett.116.238301Search in Google Scholar PubMed
[19] Neuman T, Esteban R, Giedke G, Schmidt MJ, Aizpurua J. Quantum description of surface-enhanced resonant Raman scattering within a hybrid-optomechanical model. Phys Rev A 2019;100:043422.10.1103/PhysRevA.100.043422Search in Google Scholar
[20] Niemczyk T, Deppe F, Huebl H, et al. Circuit quantum electrodynamics in the ultrastrong-coupling regime. Nat Phys 2010;6:772–6.10.1038/nphys1730Search in Google Scholar
[21] Brandes T. Phonons in electronic transport in nanoscale systems. Lecture Notes Caltech NEMS Summer School, 2007.Search in Google Scholar
[22] Hu L, Ma Y-C, Xu Y, et al. Simulation of molecular spectroscopy with circuit quantum electrodynamics. Sci Bull 2018;63:293–9.10.1016/j.scib.2018.02.001Search in Google Scholar
[23] Sanchez-Carrera R, Delgado MCR, Ferran CC, et al. Optical absorption and emission properties of end-capped oligothienoacenes: A joint theoretical and experimental study. Org Electron 2010;11:1701–12.10.1016/j.orgel.2010.07.001Search in Google Scholar
[24] Herrera F, Spano FC. Absorption and photoluminescence in organic cavity qed. Phys Rev A 2017;95:053867.10.1103/PhysRevA.95.053867Search in Google Scholar
[25] Wu N, Feist J, Garcia-Vidal FJ. When polarons meet polaritons: exciton-vibration interactions in organic molecules strongly coupled to confined light fields. Phys Rev B 2016;94:195409.10.1103/PhysRevB.94.195409Search in Google Scholar
©2020 Luis Martin-Moreno et al., published by De Gruyter, Berlin/Boston
This work is licensed under the Creative Commons Attribution 4.0 Public License.
Articles in the same Issue
- Editorial
- Proceedings of the 9th International Conference on Surface Plasmon Photonics (SPP9)
- Research Articles
- Ground state chemistry under vibrational strong coupling: dependence of thermodynamic parameters on the Rabi splitting energy
- Ultrastrong coupling in single plexcitonic nanocubes
- Strong coupling between organic dye molecules and lattice modes of a dielectric nanoparticle array
- Ultrastrong coupling effects in molecular cavity QED
- Circular dichroism mode splitting and bounds to its enhancement with cavity-plasmon-polaritons
- Quantum theory of surface-enhanced resonant Raman scattering (SERRS) of molecules in strongly coupled plasmon–exciton systems
- Probing graphene’s nonlocality with singular metasurfaces
- Ultra-compact integrated graphene plasmonic photodetector with bandwidth above 110 GHz
- GeSe nanosheets modified surface plasmon resonance sensors for enhancing sensitivity
- Exciton-plasmon polariton coupling and hot carrier generation in two-dimensional SiB semiconductors: a first-principles study
- Second harmonic imaging of plasmonic Pancharatnam-Berry phase metasurfaces coupled to monolayers of WS2
- Near-IR wide-field-of-view Huygens metalens for outdoor imaging applications
- Focused vortex-beam generation using gap-surface plasmon metasurfaces
- Effective medium concept in temporal metamaterials
- Helium focused ion beam direct milling of plasmonic heptamer-arranged nanohole arrays
- Strongly coupled, high-quality plasmonic dimer antennas fabricated using a sketch-and-peel technique
- Effect of quantized conductivity on the anomalous photon emission radiated from atomic-size point contacts
- Tunneling-induced broadband and tunable optical emission from plasmonic nanorod metamaterials
- Review
- Terahertz quantum plasmonics at nanoscales and angstrom scales
- Research Articles
- Fundamental limits of hot carrier injection from metal in nanoplasmonics
- Nanoantennas with balanced gain and loss
- Review
- Perspective: plasmon antennas for nanoscale chiral chemistry
- Research Articles
- Plasmonic nanofocusing spectral interferometry
- Mono-crystalline gold platelets: a high-quality platform for surface plasmon polaritons
- Tailoring the plasmonic Fano resonance in metallic photonic crystals
- Darkfield colors from multi-periodic arrays of gap plasmon resonators
Articles in the same Issue
- Editorial
- Proceedings of the 9th International Conference on Surface Plasmon Photonics (SPP9)
- Research Articles
- Ground state chemistry under vibrational strong coupling: dependence of thermodynamic parameters on the Rabi splitting energy
- Ultrastrong coupling in single plexcitonic nanocubes
- Strong coupling between organic dye molecules and lattice modes of a dielectric nanoparticle array
- Ultrastrong coupling effects in molecular cavity QED
- Circular dichroism mode splitting and bounds to its enhancement with cavity-plasmon-polaritons
- Quantum theory of surface-enhanced resonant Raman scattering (SERRS) of molecules in strongly coupled plasmon–exciton systems
- Probing graphene’s nonlocality with singular metasurfaces
- Ultra-compact integrated graphene plasmonic photodetector with bandwidth above 110 GHz
- GeSe nanosheets modified surface plasmon resonance sensors for enhancing sensitivity
- Exciton-plasmon polariton coupling and hot carrier generation in two-dimensional SiB semiconductors: a first-principles study
- Second harmonic imaging of plasmonic Pancharatnam-Berry phase metasurfaces coupled to monolayers of WS2
- Near-IR wide-field-of-view Huygens metalens for outdoor imaging applications
- Focused vortex-beam generation using gap-surface plasmon metasurfaces
- Effective medium concept in temporal metamaterials
- Helium focused ion beam direct milling of plasmonic heptamer-arranged nanohole arrays
- Strongly coupled, high-quality plasmonic dimer antennas fabricated using a sketch-and-peel technique
- Effect of quantized conductivity on the anomalous photon emission radiated from atomic-size point contacts
- Tunneling-induced broadband and tunable optical emission from plasmonic nanorod metamaterials
- Review
- Terahertz quantum plasmonics at nanoscales and angstrom scales
- Research Articles
- Fundamental limits of hot carrier injection from metal in nanoplasmonics
- Nanoantennas with balanced gain and loss
- Review
- Perspective: plasmon antennas for nanoscale chiral chemistry
- Research Articles
- Plasmonic nanofocusing spectral interferometry
- Mono-crystalline gold platelets: a high-quality platform for surface plasmon polaritons
- Tailoring the plasmonic Fano resonance in metallic photonic crystals
- Darkfield colors from multi-periodic arrays of gap plasmon resonators