Synthesis, spectroscopic characterization and crystal structures of diorganotin (IV) complexes of 2-N-propyl and 2-N-benzyl-amino-1-cyclopentene-1-carbodithioates
-
Marcela López-Cardoso
, Cristina Rodríguez-Narváez , Gabriela Vargas-Pineda , Perla Patricia Román-Bravo , Alan Ariza-Roldán , Patricia García y García and Raymundo Cea-Olivares
Abstract
Six new diorganotin (IV) complexes, [Ph2Sn(Pr-ACDA)2] 1, [Bu2Sn(Pr-ACDA)2] 2, [Ph2Sn(Bz-ACDA)2] 3, [Bu2Sn(Bz-ACDA)2] 4, [Me2Sn(Bz-ACDA)2] 5, [t-Bu2Sn(Bz-ACDA)2] 6 are reported (where ACDA is the 2-amino-1-cyclopentene-1-carbodithioic anion). The diorganotin complexes were prepared from reactions between sodium N-propyl and N-benzyl-2-amino-1-cyclopentene-1-carbodithioate with R2SnCl2 (R=Ph, Bu, Me, tBu) in a 2:1 ratio. All complexes were characterized by elemental analysis, IR, multinuclear NMR (1H, 13C, and 119Sn), FAB+ mass spectrometry and in the case of 2, 3 and 5 by single-crystal X-ray diffraction. Both solution and solid state studies show that dithioacid ligands are coordinated to tin in an aniso-bidentate manner. In all complexes coordination takes place only through the carbodithioate moieties. 119Sn NMR data indicate pentacoordination of tin in solution. The tin coordination geometry, in all three structures is a highly distorted octahedral geometry, where tin is bonded to the four sulfur atoms of the two aniso-bidentate carbodithioate ligands in the equatorial plane and the organic substituents on tin atom in trans-positions. In addition, the crystal structures show the presence of N-H…S hydrogen bonding contacts.
Introduction
Organotin (IV) compounds have a wide range of applications, including five major commercial applications: PVC heat stabilizers, biocides, catalysts, agrochemicals and glass coatings (Sousa et al., 2014). However, compounds of this type present great toxicological and ecotoxicological problems (Davies et al., 2008), but such negative properties are mitigated by using organosulfur ligands, such as dithiophosphates, dithiocarbamates, xanthates, etc., which have soft donor atoms, and chelate well to the metal center (Amado and Ribeiro-Claro, 2004).
The coordination chemistry of organometallic tin complexes has been widely studied, more so than that of the other 14 group elements. Some of the most important scientific contributions correspond to the development of tin compounds with high biological activity, including anti-tumoral behavior, novel supramolecular arrangements and the synthesis of compounds with unprecedented geometric arrangements, promoted by the presence of soft donor atoms.
Nowadays, it is well known that organotin compounds of the general formula RnSnL4–n exhibit a variety of biological effects depending on n, on the type of the organic group R bound to the metal ion and on the ligand L. The number and nature of the organic groups bounded to the central Sn atom essentially determine the biological activity. It seems that the nature of the anionic group is only of secondary importance (Pellerito and Nagy, 2002). The activity ranges from severe toxicity to compounds with potential pharmacological applications. The most extensively studied field of these applications is based on the findings that a series of organotin compounds, mainly with biologically active ligands, exhibit promising antitumor activities (Saxena and Huber, 1989; Gielen, 1996; Tian et al., 2005; Kovala-Demertzi 2006; Pellerito et al., 2006).
Inter(intra)molecular secondary bonding of the type Sn···E (E=S, O, N) has been suggested to be important with respect to the biological activity of organotin compounds (Blunden et al., 1987; Gielen et al., 2000; Basu et al., 2007).
2-Amino-1-cyclopentene-1-carbodithioic anion (ACDA) and its N-derivatives are versatile chelating agents (Yokoyama et al., 1969) and recently the related complexes have been used in the synthesis of nanoparticles (Gholivand et al., 2011; Maji et al., 2012; Dutta et al., 2014). The coordination patterns can be through the nitrogen of the amino group and the deprotonated thiol (Pattnaik and Sen, 1971) (N, S coordination) or only through the carbodithioate entity, using the two sulfur atoms (S, S coordination) in either iso- or aniso-bidentade fashions or only through one of the sulfur atoms. Aniso-bidentate coordination is the most frequently observed pattern for main group cations (Amado and Ribeiro-Claro, 2004).
In the last decade, various investigations have been reported on the synthesis of complexes of diorganotin(IV) (Tarassoli et al., 2006; Hanif et al., 2008) with ACDA type ligands.
The biological activity of organotin compounds and the interesting behavior of ACDA type ligands, as well as the new uses for the preparation of nanomaterials, motivate us to synthesize new ACDA/Sn compounds. In this contribution we report the synthesis of six new complexes of diorganotin (IV) with the ligands 2-N-propyl-amino-(Pr-ACDA) and 2-N-benzyl-amino- (Bz-ACDA).
Results and discussion
Preparation and spectroscopic characterization
The ligands were prepared by reported methods (Bordas et al., 1972; Nag and Joardak, 1976), the structure of the dithioacid ligands are shown in Scheme 1, these are based on reported spectroscopic data, as suggested by Singh et al. (1989).

The structure for N-substituted ACDA ligands.
Diorganotin complexes (IV) 1–6 were obtained from reaction of R2SnCl2 (R=Ph, nBu, Me, tBu) with the two ligands in a 1:2 molar ratio in methanol, in presence of sodium hydroxide. Yields range from 25.6% to 86.5%. The products are all air stable and soluble in common organic solvents and the overall reaction is given in Scheme 2. The six diorganotin complexes were characterized by elemental analysis, infrared (IR), multi-nuclear magnetic resonance (NMR) (1H, 13C, 119Sn), mass spectrometry and for compounds 2, 4 and 5 by X-ray diffraction.

Synthetic procedure and chemical composition of the compounds 1–6.
IR spectra analysis
IR bands were assigned by comparison with the spectra of Bz-HACDA and Pr-HACDA and with previously reported data (Tarassoli et al., 2006; Hanif et al., 2008). A band in the 3340–3350 cm-1 region is assigned to the ν(NH) stretching mode (Chauhan et al., 1984), which shows no significant shift from that of the free ligand, indicating that this functional group is not involved in the coordination to tin. This is confirmed by the X-ray studies of compounds 2, 4 and 5. The unequivocal feature is the absence of the band in the region 2450–2530 cm-1, which appears in the free ligands spectra as the ν(S-H) stretching vibration, thus indicating the participation of the carbodithioate group in tin-ligand bonding. There are new bands which can be assigned to symmetric and asymmetric ν(C-Sn) vibration in the ranges 500–520 and 440–470 cm-1, respectively. Strong bands are observed in the range 1615–1626 cm-1 ν(NH+C=C) and 1470–1476 cm-1ν (CH2+C=C). A single asymmetric sharp band ν(CSS) between 850–950 cm-1, observed in all the complexes is correlated with the fact that the two sulfur atoms are involved in the coordination with the tin atom (Kumar and Chaudhury, 1992).
NMR spectroscopy
1H NMR spectra of the ligands exhibit a broad signal in the region δ 3.7–4.8 ppm, which is assigned to the SH proton, but such signal is absent in the spectra of the Sn(IV) complexes. This suggests the deprotonation of SH group and the bonding of the tin atom with the ligand through the sulfur atom. Chemical shifts of N-propyl and N-benzyl groups remain practically unchanged in the complexes with respect to the ligands. This means that nitrogen is not involved in bonding with tin.
Chemical shifts of the C3, C4 and C5 protons of the cyclopentane ring are also not significantly shifted. The downfield shift of the NH protons in Pr-HACDA (12.4 ppm) and Bz-HACDA (12.7 ppm) of the ligands is attributed to hydrogen bonding with the carbodithioate group (NH···S=C). On complexing with tin, these signals are shifted between 10.3 and 11.5 ppm, indicating the coordination of the carbodithioate group (CSS-) and the consequent weakening of the hydrogen bond (NH···S=C) (Tarassoli et al., 2003). All chemical shifts of protons of the R groups bonded to tin show the expected values.
13C NMR shifts of the CSS- group in the complexes fall between 195.4 and 202.5 ppm. These fall to a lower field with respect to the free ligands, due to the deprotonation of the SH group, confirming the coordination of the sulfur to tin. Other 13C signals exhibit no substantial changes from the free ligands. As result of the complex pattern of the N-butyl and N-phenyl proton and 13C NMR resonances, in the spectra of 2, 3 and 4 the corresponding nJ(119Sn,1H) and nJ(119Sn,13C) couplings could not be observed.
The 119Sn NMR spectra for the complexes 1–6 show single resonances at δ -242.3, -184.9, -184.7, -253.4, -186.8, -218.1 ppm, respectively. These values are at lower frequencies compared with the diorganotin precursors Ph2SnCl2 (-31.3 ppm), Bu2SnCl2 (123.1 ppm), Me2SnCl2 (138.1 ppm), and t-Bu2SnCl2 (50.8 ppm), respectively, indicating that an increase in the coordination number in the complexes is accompanied by a marked increase in 119Sn nuclear shielding (Wrackmeyer, 1985, 1999). The chemical shifts are consistent with the complexes 1–6 containing pentacoordinated tin atoms (Seth et al., 1992). In other reports (Barroso-Flores et al., 2004) such 119Sn chemical shifts were considered as intermediate between tetra and hexacoordination.
Mass spectra
The mass spectra (FAB+) of complexes 1–6 show in all cases the expected molecular ion with an abundance of <20%.
Description of the crystal structures
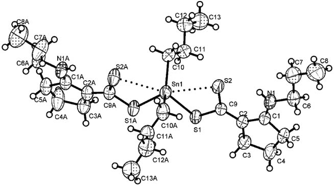
The solid-state structures for 2, 4 and 5 were obtained from single crystal X-ray diffraction analysis. The crystallographic data for the three compounds are summarized in Table 1 and selected bond lengths (Å) and bond angles (°) are given in Table 2. Figures 1 and 2 show the molecular structure of 2 and 5.
Crystal data and structure refinement for complexes 2, 4, and 5.
| Complex 2 | Complex 4 | Complex 5 | |
|---|---|---|---|
| Empirical formula | C26H46N2S4Sn | C34H46N2SSn | C28H34N2S4Sn |
| MW (g mol-1) | 633.58 | 729.71 | 645.55 |
| Crystal system | Monoclinic | Triclinic | Triclinic |
| Space group | C2/c | P-1 | P-1 |
| Temp. (°K) | 293(2) | 100(2) | 100(2) |
| Wavelength (Å) | 0.71073 | 0.71073 | 0.71073 |
| a (Å) | 13.4606(16) | 11.0452(5) | 10.4533(16) |
| b (Å) | 10.5777(12) | 11.2554(5) | 11.0356(17) |
| c (Å) | 22.212(3) | 14.4197(7) | 14.250(2) |
| α (°) | 90(2) | 85.020(1) | 70.448(2) |
| β (°) | 101.169(2) | 75.336(1) | 89.985(3) |
| γ (°) | 90(2) | 88.107(2) | 67.094(2) |
| V (Å3) | 3102.7(6) | 1727.6(1) | 1410.8(4) |
| Z | 4 | 2 | 2 |
| Absorption coefficient (mm-1) | 1.109 | 1.007 | 1.222 |
| ρcalcd (g cm-3) | 1.354 | 1.403 | 1.520 |
| F(000) | 1316 | 756 | 60 |
| Crystal size (mm3) | 0.65×0.43×0.23 | 0.401×0.123×0.120 | 0.45×0.35×0.23 |
| Theta range for data collection | 1.87–25.00° | 1.91–25.37° | 1.53–25.00° |
| No. coll. Refl. | 14611 | 45147 | 3742 |
| No. Ind. Refl. (Rint) | 2734 (0.0261) | 6318 (0.0175) | 4960(0.0304) |
| Data/restraints/parameters | 2734/0/156 | 6318/204/421 | 4960/0/348 |
| Goodness-of-fit on F2 | 1.100 | 1.035 | 1.089 |
| R1, wR2 [I>2sigma(I)] | 0.0272, 0.0749 | 0.0140, 0.0345 | 0.0261, 0.0619 |
| R1, wR2 (all data) | 0.0294, 0.0764 | 0.0146, 0.0349 | 0.0314, 0.0723 |
Selected bond lengths (Å) and bond angles (°) for complexes 2, 4 and 5.
| Complex 2 | Complex 4 | Complex 5 | |||
|---|---|---|---|---|---|
| Sn(1)-S(1) | 2.5027(7) | Sn(1)–S(1) | 2.5051(3) | Sn(1)-S(1) | 2.9498(12) |
| Sn(1)-S(2) | 3.0313(8) | Sn(1)–S(3) | 2.5191(3) | Sn(1)-S(2) | 2.4966(8) |
| Sn(1)-C(10) | 2.144(3) | Sn(1)–S(2) | 2.9634(4) | Sn(1)-S(3) | 2.4942(8) |
| S(1)-C(9) | 1.747(3) | Sn(1)–S(4) | 3.0261(4) | Sn(1)-S(4) | 3.0512(11) |
| S(2)-C(9) | 1.706(3) | Sn(1)–C(27) | 2.1474(12) | Sn(1)-C(25) | 2.128(3) |
| N(1)H(1)-S(2) | 2.3487(339) | S(1)–C(6) | 1.7534(13) | Sn(1)-C(26) | 2.122(3) |
| S(1A)-Sn(1)-S(1) | 87.83(3) | S(3)–C(19) | 1.7567(13) | S(3)-C(27) | 1.764(3) |
| C(10A)-Sn(1)-C(10) | 136.64(18) | S(2)–C(6) | 1.7167(13) | S(2)-C(28) | 1.760(3) |
| C(10A)-Sn(1)-S(1A) | 108.36(8) | S(4)–C(19) | 1.7169(13) | S(4)-C(27) | 1.704(3) |
| C(10)-Sn(1)-S(1A) | 102.55(9) | N(1)H(1)-S(2) | 2.352(151) | N(4)H(4)-S(4) | 2.3042(390) |
| C(9)-S(1)-Sn(1) | 96.79(9) | N(2)H(2)-S(4) | 2.277(145) | N(3)H(3)-S(1) | 2.3079(390) |
| N(1)-H(1)-S(2) | 136.443(3039) | S(1)-Sn(1)-S(3) | 84.387(11) | S(3)-Sn(1)-S(2) | 87.94(3) |
| C(27)-Sn(1)-C(31) | 129.19(5) | C(26)-Sn(1)-C(25) | 130.88(15) | ||
| C(31)-Sn(1)-S(1) | 106.87(4) | C(26)-Sn(1)-S(3) | 106.83(10) | ||
| C(27)-Sn(1)-S(3) | 105.47(4) | C(25)-Sn(1)-S(3) | 109.89(10) | ||
| C(31)-Sn(1)-S(3) | 111.71(4) | C(26)-Sn(1)-S(2) | 106.25(12) | ||
| C(6)-S(1)-Sn(1) | 95.50(4) | C(25)-Sn(1)-S(2) | 106.55(10) | ||
| C(19)-S(3)-Sn(1) | 96.85(4) | C(28)-S(2)-Sn(1) | 97.39(10) | ||
| C(14)-C(19)-S(3) | 117.18(10) | C(1)-C(28)-S(2) | 117.0(2) | ||
| S(3)-C(19)-S(4) | 117.70(7) | C(1)-C(28)-S(1) | 124.7(2) | ||
| C(14)-C(19)-S(4) | 125.11(10) | S(1)-C(28)-S(2 | 118.28(17) | ||
| C(1)-C(6)-S(1) | 117.13(11) | C(27)-S(3)-Sn(1) | 95.03(10) | ||
| C(1)-C(6)-S(2) | 125.33(10) | N(3)-H(3)-S(1) | 135.900(2675) | ||
| N(1)-H(1)-S(2) | 138.74(1225) | N(4)-H(4)-S(4) | 141.753(2977) | ||
| N(2)-H(2)-S(4) | 142.23(1340) | ||||
![Figure 1 X-ray structure of [Bu2Sn(Pr-ACDA)2] (2).](/document/doi/10.1515/mgmc-2014-0019/asset/graphic/mgmc-2014-0019_fig1.jpg)
X-ray structure of [Bu2Sn(Pr-ACDA)2] (2).
![Figure 2 X-ray structure of [Me2Sn(Bz-ACDA)2] (5).](/document/doi/10.1515/mgmc-2014-0019/asset/graphic/mgmc-2014-0019_fig2.jpg)
X-ray structure of [Me2Sn(Bz-ACDA)2] (5).
The structures show that the ligands are unsymmetrically coordinated via the two sulfur atoms of each ligand and also that nitrogen is not involved in tin coordination. It is also noted that the hydrogen bond between the NHR group and one of the sulfur atoms in the carbodithioate group in the free ligands (Tarassoli et al., 2002) apparently remains in complexes 2, 4 and 5.
The tin atom in all three complexes exhibits highly distorted octahedral geometry with the four sulfur atoms in the equatorial plane and the organic substituents in trans-positions. These substituents are moving toward the weakest bonded sulfur atoms because there is, in such position, less steric hindrance. The carbon atoms of the alkyl groups bonded to tin show angles C-Sn-C of 136.64 (18)° for complex 2, 129.19 (5)° for 4 and 130.88 (15)° for complex 5, values that are intermediate between cis and trans positions of an octahedral geometry (Lockhart et al., 1985). This distortion may be due to steric effects and the different electronegativities of the ligands bonded to tin (Vrabel et al., 1992), but it has also been ascribed sometimes to crystal packing effects (Tiekink et al., 2000). It is important to note that the n-butyl groups in 4 are disordered. However, an alternative description of the coordination geometry might be that of a bicapped-tetrahedron, being consistent with the particular orientation of the organic substituents on tin atoms.
In 2, 4 and 5, the ligands are chelated to tin in an aniso-bidentate fashion with short bond distances Sn-S [2.5027 (7) Å and 2.5027(7) Å; 2.5051(3) Å and 2.5191(3) Å; 2.4942(8) Å and 2.4966(8) Å for 2, 4 and 5, respectively]. These values are consistent with the usual Sn-S single bond distance, while the long Sn-S bonds [3.031 (3) Å and 3.031(3); 2.9634(3) Å and 3.0261(3) Å; 3.051(8) Å and 2.950(8) Å] are longer than the Sn-S single bond, but shorter than the Van der Waals radii (4.0 Å). The coordination number in the three complexes is unequivocally assigned as six. In the complexes each shorter tin-sulfur bond is associated with a longer carbon-sulfur bond and vice-versa, a situation usually found with other unsymmetrically coordinating ligands.
Conclusions
This contribution shows that only the carbodithioate group in these ACDA type ligands is coordinated to tin(IV) in an aniso-bidentate fashion. The metal center is hexacoordinate, showing highly distorted octahedral geometry, in which the four sulfur atoms lie in the equatorial plane and the organic substituents on tin are in trans-positions. These substituents are displaced towards the weakest bonded sulfur atoms because there is less steric hindrance in such region.
Experimental section
Instrumentation
IR spectra were obtained using KBr discs on a Bio-Rad FTIRspectrophotometer in the 4000–400 cm-1 range. Mass spectra were obtained on Jeol JMS 700 equipment. NMR studies were carried out with Varian Gemini 200 and Varian Inova 400 Instruments using CDCl3 as solvent. 1H, 13C and 119Sn chemical shifts and J values are given in ppm and Hz, respectively. Standard references were used: TMS for 1H, 13C and SnMe4 for 119Sn. Elemental analyses were carried out on an Elemental Vario EI TCD instrument. Single crystal X-ray diffraction data (SC-XRD) were collected with a Bruker APEX CCD diffractometer with Mo-Kα radiation (λ=0.7107 Å). An absorption correction was applied to the data (SADABS) and the structures were solved by SHELXS and refined by full matrix anisotropic least-squares against F2 using the SHELXL program (Sheldrick, 2000). Crystallographic data for 2, 4 and 5 have been deposited with the Cambridge Crystallographic Data Centre under CCDC-1003794, 1003796 and 1003795 respectively.
Preparative part
Starting reagents were obtained commercially (Aldrich Chemical Co.) and were used as received, all solvents were dried by reported methods (Armarego and Chai, 2003).
Preparation of the ligands and diorganotin complexes
Synthesis of ligands:
The ligands 2-N-propyl-amino-(Pr-HACDA) and 2-N-benzyl-amino-(Bz-HACDA)-1-cyclopentene-1-carbodithioic acids were prepared according to reported procedures (Bordas et al., 1972); spectroscopic and analytical data were as expected.
Ligand Pr-HACDA:
The ligand was obtained with a yield of 60.7%; m.p. 92–94°C. 1H NMR (CDCl3) δ1.0 (3H, t, H-9), 1.6 (2H, m, H-8), 1.8 (2H, qui, H-4), 2.7 (2H, t, H-3), 3.1 (2H, t, H-5), 3.3 (2H, m, H-7), 3.7 (1H, b, SH), 12.4 (1H, s, NH). 13C NMR (CDCl3) δ 11.7 (C-9), 20.0 (C-4), 23.2 (C-8), 33.4 (C-3), 34.3 (C-5), 47.7 (C-7), 118.9 (C-2), 171.6 (C-1), 188.4 (C-6). Anal. Calcd. for C9H15NS2: C 53.69, H 7.51. Found: C 53.55, H 5.38.
Ligand Bz-HACDA:
The ligand was obtained with a yield of 70.0%; m.p. 94–96°C. 1H NMR (CDCl3) δ 1.8 (2H, qui, H-4), 2.7 (2H, t, H-3), 3.1 (2H, t, H-5), 4.5 (2H, s, H-7), 4.8 (1H, s, SH), 7.2–7.5 (5H, m, aromatic-H), 12.7 (1H, s, NH). 13C NMR (CDCl3) δ 20.2 (C-4), 33.4 (C-3), 34.2 (C-5), 49.4 (C-7), 119.0 (C-2), 127.1–136.8 (5C, aromatic-C), 171.4 (C-1), 190.7 (C-6). Anal. Calcd. for C13H15NS2: C 62.61, H 6.06. Found: C 62.76, H 6.17.
Synthesis of the diorganotin complexes 1–6
[Ph2Sn(Pr-ACDA)2]1 A solution of NaOH (0.059 g, 1.49 mmol) in methanol (10 mL) was added dropwise to a solution of Pr-HACDA (0.300 g, 1.49 mmol) in the same solvent (10 mL). The reaction mixture was stirred for 10 min at 20°C and then was added dropwise to a solution of Ph2SnCl2 (0.256 g, 0.745 mmol) in methanol. The mixture was stirred overnight when a pale yellow precipitate formed; this was filtered, washed with MeOH and recrystallized from CH2Cl2-hexane to give pale yellow crystals. Yield=0.25 g (50%); m.p. 235–237°C. 1H NMR (CDCl3) δ 0.9 (6H, t, H-9, 3JHH=6.4 Hz), 1.5 (4H, m, H-8), 1.8 (4H, m, H-4), 2.6 (4H, t, H-3, 3JHH=7.4 Hz), 2.8 (4H, t, H-5, 3JHH=7.7 Hz), 3.2 (4H, m, H-7), 7.2–7.3 (10H, m, aromatic-H), 10.3 (2H, s, NH). 13C NMR (CDCl3) δ 11.6 (C-9), 19.9 (C-4), 23.3 (C-8), 33.8 (C-3), 35.8 (C-5), 47.7 (C-7), 120.6 (C-2), 128.7 (3JSnC=23.4 Hz, mC), 129.0 (4JSnC=5.0 Hz, pC), 129.6 (2JSnC=38.0 Hz, oC), 140.0 (1JSnC=234.2/245.1 Hz, iC), 169.1 (C-1), 201.4 (C-6). 119Sn NMR (CDCl3) δ -242.3. MS(FAB+): m/z (%) 673 (M+, 17.9). Anal. Calcd. for C30H38N2S4Sn: C 53.49, H 5.69. Found: C 53.33, H 5.85.
The related diorganotin complexes 2, 3, 4, 5, and 6 were obtained following the procedure described for 1.
[Bu2Sn(Pr-ACDA)2]2 Yield=0.12 g (25.5%); m.p. 170–172°C. 1H NMR (CDCl3) δ 0.9 (6H, t, Hδ-nBuSn), 1.0 (6H, m, H-9), 1.4 (4H, m, Hγ-nBuSn), 1.6 (4H, m, H-8), 1.8 (4H, m, H-4), 1.9 (4H, m, Hα-nBuSn), 2.0 (4H, m, Hβ-nBuSn), 2.6 (4H, t, H-3, 3JHH=7.4 Hz), 2.8 (4H, t, H-5, 3JHH=7.7 Hz), 3.3 (4H, m, H-7), 10.3 (2H, s, NH). 13C NMR (CDCl3) δ 11.5 (C-9), 14.0 (Cδ-nBuSn), 19.9 (C-4), 23.3 (C-8), 26.8 (Cγ-nBuSn), 28.6 (Cβ-nBuSn), 30.6 (Cα-nBuSn), 33.8 (C-3), 35.7 (C-5), 47.7 (C-7), 120.6 (C-2), 169.1 (C-1), 199.4 (C-6). 119Sn NMR (CDCl3) δ -184.9. MS(FAB+): m/z (%) 633 (M+, 16.5). Anal. Calcd. for C26H46N2S4Sn: C 49.28, H 7.32. Found: C 49.44, H 7.50.
[Ph2Sn(Bz-ACDA)2]3 Yield=0.39 g (68.2%); m.p. 213–216°C. 1H NMR (CDCl3) δ 1.80 (4H, m, H-4), 2.6 (4H, t, H-3, 3JHH=7.4 Hz), 2.8 (4H, t, H-5, 3JHH=7.7 Hz), 4.5 (4H, m, H-7), 7.2–7.5 (20H, m, aromatic-H), 10.7 (2H, s, NH). 13C NMR (CDCl3) δ 19.9 (C-4), 34.0 (C-3), 35.7 (C-5), 49.7 (C-7), 120.2 (C-2), 127.2–132 (24C, aromatic-C), 170.1 (C-1), 195.4 (C-6). 119Sn NMR (CDCl3) δ -184.7. MS(FAB+): m/z (%) 769 (M+, 13.6). Anal. Calcd. for C38H38N2S4Sn: C 59.30, H 4.98. Found: C 59.43, H 4.90.
[Bu2Sn(Bz-ACDA)2]4 Yield=0.145 g (26.84%); m.p. 168–173°C. 1H NMR (CDCl3) δ 0.9 (6H, m, Hδ-nBuSn), 1.4 (4H, m, Hγ-nBuSn), 1.8 (4H, m, H-4), 1.9 (4H, m, Hβ-nBuSn), 2.0 (4H, m, Hα-nBuSn), 2.6 (4H, t, H-3, 3JHH=7.4 Hz), 2.8 (4H, t, H-5, 3JHH=7.7 Hz), 4.5 (4H, m, H-7), 7.2–7.3 (10H, m, aromatic-H), 11.4 (2H, s, NH). 13C NMR (CDCl3) δ 14.0 (Cδ-nBuSn), 19.9 (C-4), 28.7 (Cγ-nBuSn), 28.9 (Cβ-nBuSn), 30.6 (Cα-nBuSn), 34.0 (C-3), 35.4 (C-5), 49.6 (C-7), 121.0 (C-2), 127.2–136.8 (10C, aromatic-C), 168.8 (C-1), 202.1 (C-6). 119Sn NMR (CDCl3) δ -253.4. MS(FAB+): m/z (%) 729 (M+, 11.5). Anal. Calcd. for C34H46N2S4Sn: C 55.96, H 6.35. Found: C 55.83, H 6.50.
[Me2Sn(Bz-ACDA)2]5 Yield=0.415 g (86.55%); m.p. 185–187°C. 1H NMR (CDCl3) δ 1.4 (6H, s, H-8, 2JSnH=45.4 Hz), 1.8 (4H, m, H-4), 2.6 (4H, t, H-3, 3JHH=7.4 Hz), 2.8 (4H, t, H-5, 3JHH=7.4 Hz), 4.5 (4H, m, H-7), 7.2–7.4 (10H, m, aromatic-H), 11.4 (2H, s, NH). 13C NMR (CDCl3) δ 11.6 (1JSnC=216.1 Hz, C-8), 19.8 (C-4), 33.9 (C-3), 35.2 (C-5), 49.8 (C-7), 121.0 (C-2), 127.1–136.8 (10C, aromatic-C), 169.3 (C-1), 202.4 (C-6). 119Sn NMR (CDCl3) δ -186.8. MS(FAB+): m/z (%) 645 (M+, 19.2). Anal. Calcd. for C28H34N2S4Sn: C 52.09, H 5.31. Found: C 52.23, H 5.17.
[tBu2Sn(Bz-ACDA)2]6 Yield=0.371 g (68.4%); m.p. 188–191°C. 1H NMR (CDCl3) δ 1.5 (18H, s, H-9, 3JSnH=15.9 Hz), 1.76 (4H, m, H-4), 2.6 (4H, t, H-3, 3JHH=7.4 Hz), 2.9 (4H, t, H-5, 3JHH=7.6 Hz), 4.5 (4H, m, H-7), 7.2–7.4 (10H, m, aromatic-H), 11.5 (2H, s, NH). 13C NMR (CDCl3) δ 19.9 (C-4), 31.6 (2JSnC=119.4 Hz, C-9), 33.9 (C-3), 35.9 (C-5), 45.0 (1JSnC=239.4 Hz, C-8), 49.5 (C-7), 120.6 (C-2), 127.1–137.0 (10C, aromatic-C), 167.9 (C-1), 202.2 (C-6). 119Sn NMR (CDCl3) δ -218.1. MS(FAB+): m/z (%) 729 (M+, 14.9). Anal. Calcd. for C34H46N2S4Sn: C 55.96, H 6.35. Found: C 55.81, H 6.23.
Acknowledgments
We are grateful to Prof. Bryan Sowerby for his comments.
References
Amado, A. M.; Ribeiro-Claro, P. J. A. Coordination properties of 2-aminocyclopentene-1-dithiocarboxylic acid to transition metal ions as studied by ab initio calculations. J. Inorg. Biochem.2004, 98, 561–568.Search in Google Scholar
Armarego, W. F. F.; Chai, C. L. L. Purification of Laboratory Chemicals; 5th Edition. Butterworth: Oxford, 2003.10.1016/B978-075067571-0/50008-9Search in Google Scholar
Barroso-Flores, J.; Cea-Olivares, R.; Toscano, R. A.; Cogordan, J. A. Synthesis of the anisobidentate compound bis(2-amino-cyclopent-1-ene-carbodithioate)diethyltin (IV). Experimental and theoretical study. J. Organomet. Chem. 2004, 689, 2096–2102.Search in Google Scholar
Basu, B. T. S.; Masharing, C.; Ruisi, G.; Jirasko, R.; Holcapek, M.; de Vos, D.; Wolstenholme, D.; Linden, A. Self-assembly of extended Schiff base amino acetate skeletons, 2-{[(2Z)-(3-hydroxy-1-methyl-2-butenylidene)]amino}phenylpropionate and 2-{[(E)-1-(2-hydroxyaryl)alkylidene]amino}phenylpropionate skeletons incorporating organotin(IV) moieties: Synthesis, spectroscopic characterization, crystal structures, and in vitro cytotoxic activity. J. Organomet. Chem. 2007, 692, 4849–4862.Search in Google Scholar
Blunden, S. J.; Patel, B. N.; Smith, P. J.; Sugavanam, B. Synthesis, 119Sn NMR and Mössbauer studies and bioassay data of O-tricyclohexylstannyl derivatives of substituted 8-hydroxyquinolines. Appl. Organomet. Chem. 1987, 1, 241–244.Search in Google Scholar
Bordas, B.; Sohar, P.; Matolcsy, G.; Berenesi, P. Synthesis and antifungal properties of dithiocarboxylic acid derivatives. II. Novel preparation of 2-alkylamino-1-cyclopentene-1-dithiocarboxylic acids and some of their derivatives. J. Org. Chem.1972, 37, 1727–1730.Search in Google Scholar
Chauhan, H. P. S.; Srivastava, G.; Mehrotra, R. C. Adducts of arsenic(III), antimony(III) and bismuth(III) trichlorides with benzothiazolines. Indian J. Chem. 1984, 23A, 436–437.Search in Google Scholar
Davies, A. G.; Gielen, M.; Pannell, K. H.; Tiekink, E. R. T. Tin chemistry: Fundamentals, Frontiers and Applications; John Wiley & Sons, Ltd.: West Sussex, UK, 2008.Search in Google Scholar
Dutta, A. K.; Maji, S. K.; Mitra, K.; Sarkar, A.; Saha, N.; Ghosh, A. B.; Adhikary, B. Single source precursor approach to the synthesis of Bi2S3 nanoparticles: A new amperometric hydrogen peroxide biosensor. Sens. Actuators B.2014, 192, 578–585.Search in Google Scholar
Gholivand, M. B.; Pashabadi, A.; Azadbakht, A.; Menati, S. A nano-structured Ni(II)-ACDA modified gold nanoparticle self-assembled electrode for electrocatalytic oxidation and determination of tryptophan. Electrochim. Acta2011, 56, 4022–4030.Search in Google Scholar
Gielen, M. Tin-based antitumour drugs. Coord. Chem. Rev. 1996, 151, 41–51.Search in Google Scholar
Gielen, M.; Biesemans, M.; deVos, D.; Willem, R. Synthesis, characterization and in vitro antitumor activity of di- and triorganotin derivatives of polyoxa- and biologically relevant carboxylic acids. J. Inorg. Biochem. 2000, 79,139–145.Search in Google Scholar
Hanif, M.; Hussain, M.; Bhatti, M. H.; Ali, S.; Evans, H. S. Chlorodiphenyltin(IV) and triphenyltin(IV) complexes of N-alkylated 2-amino-1-cyclopentene-1-carbodithioic acids: synthesis, spectroscopic characterization and x-ray studies. Struct. Chem.2008, 19, 777–784.Search in Google Scholar
Kovala-Demertzi, D. Synthesis, characterization and biological activity of triorganotin 2-phenyl-1,2,3-triazole-4-carboxylates. J. Organomet. Chem.2006, 691, 1767–1774.Search in Google Scholar
Kumar, S.K.; Chaudhury, M. Synthesis and characterization of sulfur-rich manganese (III) and vanadium(IV) complexes containing dithioacid ligands. J. Chem. Soc. Dalton Trans1992, 3439–3443.10.1039/dt9920003439Search in Google Scholar
Lockhart, T. P.; Manders, W. F.; Schlemper, E. O. Solid-state carbon-13 NMR determination of methyltin(IV) structure. Crystal and molecular structure of dimethyltin(IV) bis(1-pyrrolidinecarbodithioate). J. Am. Chem. Soc. 1985, 107, 7451–7453.Search in Google Scholar
Maji, S. K.; Dutta, A. K.; Srivastava, D. N.; Paul, P. Mondal, A.; Adhikary, B. Peroxidase- like behavior, amperometric biosensing of hydrogen peroxide and photocatalytic activity by cadmium sulfide nanoparticles. J. Mol. Catal. A: Chem.2012, 358, 1–9.Search in Google Scholar
Nag, K.; Joardak, D. S. Metal complexes of sulfur-nitrogen chelating agents V. 2-N-ethylaminocyclopentene-1-dithiocarboxylic acid complexes of nickel(II), palladium(II), platinum(II), cobalt(II), cobalt(III), and copper(I). Can. J. Chem. 1976, 54, 2827–2831.Search in Google Scholar
Pattnaik, K. C.; Sen D. Metal complexes of 2-amino-1-cyclopentene-1dithiocarboxylate. J. Ind. Chem. Soc.1971, 48, 319–322.Search in Google Scholar
Pellerito, L.; Nagy, L. Organotin(IV)+ complexes formed with biologically active ligands: equilibrium and structural studies, and some biological aspects. Coord. Chem. Rev.2002, 224, 111–150.Search in Google Scholar
Pellerito, C.; Nagy, L.;Pellerito, L.; Szorcsik, A. Biological activity studies on organotin(IV)n+ complexes and parent compounds. J. Organomet. Chem.2006, 691, 1733–1747.Search in Google Scholar
Saxena, A.K.; Huber, F. Organotin compounds and cancer chemotherapy. Coord. Chem. Rev. 1989, 95, 109–123.Search in Google Scholar
Seth, N.; Gupta, V. D.; Noth, H.; Toman, M. Synthesis and molecular structure of tin(IV) 1-pyrrolecarbodithioates. Chem. Ber.1992, 125, 1523–1528.Search in Google Scholar
Sheldrick, G. M. SHELXTL V 6.10, SMART, Bruker AXS, INC., Madison, WI, USA, 2000.Search in Google Scholar
Singh, S. K.; Singh, Y.; Rai, A. K.; Mehrotra, R. C. Synthesis, characterization and structural elucidation of indium(III) complexes of 2-alkylaminocyclopentene-1-carbodithioic acid and of its esters. Polyhedron1989, 8, 633–639.Search in Google Scholar
Sousa, A. C. A.; Ramiro, P. M.; Takahashi, S.; Tanabe, S. History on organotin compounds from snails to humans. Envir. Chem. Lett.2014, 12, 117–137.Search in Google Scholar
Vrabel, V.; Lokaj, J.; Kello, E.; Rattay, V.; Batsanov, A. C.; Struchkov Yu, T. Structure of di(butyl)bis(N,N-dipropyldithiocarbamato)tin(IV). Acta Crystallogr. C1992, 48, 627–629.Search in Google Scholar
Tarassoli, A.; Asadi, A.; Hitchcock, P. B. Synthesis and crystal structures of new complexes of di- and tribenzyltin N-ethyl and N-benzyl-2-aminocyclopent-1-ene-1-carbodithioates. J. Organomet. Chem. 2002, 645, 105–111.Search in Google Scholar
Tarassoli, A.; Sedaghat, T.; Helm, M. L.; Norman, A. D. Synthesis, spectroscopic characterization and X-ray studies of new complexes of organotin(IV) chlorides with N-alkylated 2-amino-1-cyclopentene-1-carbodithioic acids. J. Coord. Chem. 2003, 56, 1179–1189.Search in Google Scholar
Tarassoli, A.; Asadi, A.; Hitchcock, P. B. Synthesis and crystal structures of new complexes of di- and tribenzyltin 2-amino-1-cyclopentene-1-carbodithioates, J. Organomet. Chem.2006, 691, 1631–1636.Search in Google Scholar
Tian, L.; Sun, Y.; Li, H.; Zheng, X.; Cheng, Y.; Liu, X.; Qian, B. Synthesis, characterization and biological activity of triorganotin 2-phenyl-1,2,3-triazole-4-carboxylates. J. Inorg. Biochem.2005, 99, 1646–1652.Search in Google Scholar
Tiekink, R. T.; Buntine, M. A.; Cox, M. J.; Mohammed Ibrahim, M. I.; Chee, S. S. Structural variation in diorganotindimethylxanthates, R2Sn(S2COMe)2: A Combined crystallographic and theoretical investigation. Organometallics2000, 19, 5410–5415.Search in Google Scholar
Wrackmeyer. B. Tin-119 NMR parameters. Annu. Rep. NMR Spectrosc.1985, 16, 73–186.10.1016/S0066-4103(08)60226-4Search in Google Scholar
Wrackmeyer, B. Application of 119Sn NMR parameters. Annu. Rep. NMR Spectrosc.1999, 38, 203–264.Search in Google Scholar
Yokoyama, M.; Takeshima, T.; Imamoto, T.; Akano, M.; Asaba, H. Reaction of active methylene compounds with carbon disulfide in the presence of ammonia. III. Reaction of cyclopentanone and cycloheptanone. J. Org. Chem.1969, 34, 730.Search in Google Scholar
©2015 by De Gruyter
This article is distributed under the terms of the Creative Commons Attribution Non-Commercial License, which permits unrestricted non-commercial use, distribution, and reproduction in any medium, provided the original work is properly cited.
Articles in the same Issue
- Frontmatter
- Research Articles
- Synthesis, spectroscopic characterization and crystal structures of diorganotin (IV) complexes of 2-N-propyl and 2-N-benzyl-amino-1-cyclopentene-1-carbodithioates
- Crystal growth, characterization and dielectric studies of silica gel-grown polydistrontiumdimalate pentahydrate: a 2D porous metal-organic framework
- Synthesis, spectroscopic [IR, (1H, 13C, 27Al) NMR] and mass spectrometric studies of aluminium(III) complexes containing O- and N-chelating Schiff bases
- Synthesis, crystal structure, and fungicidal activity of triorganotin(IV) 1-methyl-1H-imidazole-4-carboxylates
- Self-assembly of zinc(II) tetraaza macrocyclic complex and 1,3,5-cyclohexanetricarboxylic acid
- Synthesis and crystal structure of a new 2D supramolecular Cd(II) complex with 1-phenyl-3-methyl-4-benzoyl-5-pyrazolone ligand
- Antimony and antimony oxide@graphene oxide obtained by the peroxide route as anodes for lithium-ion batteries
- Short Communications
- Unexpected photochemical reactions of 2-aryl- 2-ethynyltrisilane derivative
- Synthesis and structure of zinc dichloride bis(t-butylhydrazine) monohydrate
Articles in the same Issue
- Frontmatter
- Research Articles
- Synthesis, spectroscopic characterization and crystal structures of diorganotin (IV) complexes of 2-N-propyl and 2-N-benzyl-amino-1-cyclopentene-1-carbodithioates
- Crystal growth, characterization and dielectric studies of silica gel-grown polydistrontiumdimalate pentahydrate: a 2D porous metal-organic framework
- Synthesis, spectroscopic [IR, (1H, 13C, 27Al) NMR] and mass spectrometric studies of aluminium(III) complexes containing O- and N-chelating Schiff bases
- Synthesis, crystal structure, and fungicidal activity of triorganotin(IV) 1-methyl-1H-imidazole-4-carboxylates
- Self-assembly of zinc(II) tetraaza macrocyclic complex and 1,3,5-cyclohexanetricarboxylic acid
- Synthesis and crystal structure of a new 2D supramolecular Cd(II) complex with 1-phenyl-3-methyl-4-benzoyl-5-pyrazolone ligand
- Antimony and antimony oxide@graphene oxide obtained by the peroxide route as anodes for lithium-ion batteries
- Short Communications
- Unexpected photochemical reactions of 2-aryl- 2-ethynyltrisilane derivative
- Synthesis and structure of zinc dichloride bis(t-butylhydrazine) monohydrate