Abstract
The synthesis of homoleptic gallium(III) bis(dimethylsilyl)amide Ga[N(SiHMe2)2]3 was attempted via different pathways. A transsilylamination protocol using Ga[N(SiMe3)2]3 and HN(SiHMe2)2 was unsuccessfully applied. An unexpected side product, MeGa[N(SiMe3)SiMe2N(SiMe3)2]2, could be obtained from the synthesis of homoleptic gallium(III) bis(trimethylsilyl)amide via GaCl3 and LiN(SiMe3)2. Alkane elimination from Me3Ga or Et3Ga and HN(SiHMe2)2 did not lead to the isolation of Ga[N(SiHMe2)2]3 either. When a salt metathesis route was conducted, reacting GaCl3 with LiN(SiHMe2)2, the silylamido-bridged dimeric hydride complex {H2Ga[μ-N(SiHMe2)2]}2 was obtained. Its further reaction with N,N,N′,N′-tetramethylethylendiamine (tmeda) gave the dinuclear, tmeda-bridged {[H2GaN(SiHMe2)2]2(μ-tmeda)}.
Introduction
Gallium hydride complexes have gained considerable attention since the 1990s owing to their various applications such as in hydrogallation reactions and as precursors to metal films or semiconductors. The first hydrogallation was conducted by Schmidbaur and Wolfsberger in 1966, reacting HGaCl2 with ethene and cyclohexene to give the corresponding alkylgallium dichlorides (Schmidbaur and Wolfsberger, 1966). Interest in this research field was renewed when the synthesis of stable gallium hydrides of type [HGaR2]x (R=Et, nPr, iPr, tBu, CH2CMe3; x=2,3) was achieved (Uhl, 2008). For example, the addition of dialkylgallium hydrides to terminal alkynes under hydrogen elimination leads to gallium alkynides, which can further react with excess [HGaR2]x, yielding gallium-alkyl cages.
The formation of GaN films from single-source precursors depicts a more exploited field of application for gallium hydrides (see, e.g., Atwood et al., 1991a; McMurran et al., 1998; Carmalt et al., 2001; Luo et al., 2004). The most widely applied technique to generate GaN films is the dual-source chemical vapor deposition (CVD) of Me3Ga or Et3Ga with ammonia at high temperatures (Neumayer and Ekerdt, 1996). More desirable are less or nonpyrophoric precursors without direct gallium-carbon bonds to avoid carbon contamination. Furthermore, the use of toxic ammonia as nitrogen source becomes unnecessary if the gallium precursors already contain Ga-N bonds. (H2GaNH2)3, for example, suits these requirements and has been successfully transformed into GaN by Hwang et al. (1990). Interestingly, CVD of (H2GaNH2)3 afforded cubic GaN instead of hexagonal GaN, previously produced by different methods.
Most gallium hydride complexes are synthesized via salt metathesis from HGaCl2 or H2GaCl, which can be obtained from Me3SiH and GaCl3(Goode et al., 1988); thus, the Ga-H bond is already formed before other ligands are introduced (Aldridge and Downs, 2001). For instance, quinuclidine (quin)-stabilized gallium hydride complexes bearing bis(trimethylsilyl)amido ligands have been obtained in this manner by reacting mono- or dichlorogallane with one or two equivalents of LiN(SiMe3)2 (Luo et al., 2000). Different pathways include reaction of gallium chlorides with LiGaH4 or LiH, or hydrogen elimination from H3Ga‧do (do=donor) (Schumann et al., 1994; Alexander et al., 2009; Rudolf et al., 2010; Pugh et al., 2012). For example, Cowley et al. were able to synthesize the monomeric dihydride (2,4,6-tBu3C6H2)GaH2 from (2,4,6-tBu3C6H2)GaCl2 and LiGaH4(Cowley et al., 1994). Reaction of a β-diketiminato-supported methylgallium chloride with LiH resulted in a monomeric gallium hydride complex as well (Singh et al., 2006). Dimeric amido-bridged gallium hydrides can readily be obtained from H3Ga‧NMe3 and the respective amine via dehydrogenation (Atwood et al., 1991b; Luo and Gladfelter, 2000; Pugh et al., 2012). Jones et al. (2006) presented a different protocol to obtain gallium hydrides. Starting from the gallium(I) N-heterocyclic carbene (NHC) analogue [K(tmeda)]+[:Ga{[N(Ar)C(H)]2}]- (Ar=2,6-iPr2C6H3), oxidative addition of the imidazolium salt [HC{N(Mes)C(H)}2]Cl (Mes=mesitylene) yields an NHC-coordinated gallium(III) hydride {[N(Ar)C(H)]2}GaH[C{N(Mes)C(H)}2] (Jones et al., 2006).
Herein, we report the synthesis of a bis(dimethylsilyl)amidogallium(III) dihydride (2) obtained from GaCl3 and LiN(SiHMe2)2. The mechanism of its formation remains unclear, unfortunately, but most likely the hydrido ligand arises from ligand degradation. Moreover, an unpredicted methyl gallium(III) silylamide complex (1a) is described. Reaction of 2 with N,N,N′,N′-tetramethylethylendiamine (tmeda) results in a dinuclear, donor-bridged gallium(III) hydride species (4).
Results and discussion
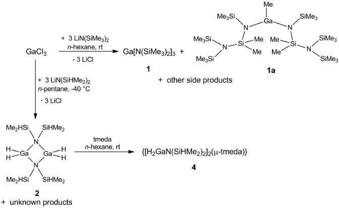
As an entry into Ga(III) silylamide chemistry, we targeted the homoleptic bis(trimethylsilyl)amide derivative. The synthesis of Ga[N(SiMe3)2]3 (1) from GaCl3 with three equivalents of LiN(SiMe3)2 was already described in 1971 (Bürger et al., 1971). Vacuum sublimation of the crude product was suggested to obtain it in high purity. Likewise, we observed that recrystallization from n-hexane was not sufficient to eliminate all the side products that are formed during the reaction (see Figure S1). There have been former attempts to identify side products from the reaction of GaCl3 with one equivalent of LiN(SiMe3)2, but Luo et al. could only isolate cyclic (Me3SiNSiMe2)2 (Luo et al., 2002).
We identified one of the gallium-containing side products of the reaction of GaCl3 with three equivalents of LiN(SiMe3)2 by X-ray crystallography as MeGa[N(SiMe3)SiMe2N(SiMe3)2]2(1a) (Figure 1, Table 1, and Scheme 1). Since 1a gives hexagonal platelike crystals, it could be separated from the main product 1, which crystallizes as needles.

Molecular structure of compound 1a.
Ellipsoids are set at the 50% level; hydrogen atoms and disorder of C2 are omitted for clarity. Selected bond lengths (Å) and angles (°): Ga1-C1 1.978(5), Ga1-N1 1.870(2), N1-Ga1-C1 117.71(1), N1-Ga1-N1′ 124.56(1).
Crystallographic data for complexes 1a, 2, 3a, and 4.
| 1a | 2 | 3a | 4 | |
|---|---|---|---|---|
| Formula weight (g/mol) | 696.26 | 408.16 | 731.70 | 524.36 |
| T (K) | 173(2) | 173(2) | 163(1) | 100(2) |
| Space group | C2/c | P-1 | P-1 | P21/c |
| a, b, c (Å) | 16.0452(6), 8.9610(2), 29.311(1) | 6.9668(5), 10.2997(7), 14.717(1) | 10.0671(2), 10.3005(3), 12.6208(4) | 7.9555(2), 11.7606(2), 14.7257(3) |
| α, β, γ (°) | 104.846(3) | 109.862(5), 90.363(6), 94.399(6) | 67.648(1), 73.878(1), 70.130(2) | 93.929(1) |
| V (Å3) | 4073.6(2) | 989.7(1) | 1121.64(6) | 1374.52(5) |
| Z | 4 | 2 | 1 | 2 |
| dcalc(g/cm3) | 1.135 | 1.370 | 1.083 | 1.267 |
| R1(all data)a | 0.0355 | 0.0396 | 0.0548 | 0.0251 |
| wR2(all data)b | 0.0898 | 0.0868 | 0.0993 | 0.0528 |
| GOFc | 1.189 | 1.074 | 1.047 | 1.045 |
aR1=S(|F0|-|Fc|)/Σ|F0|, F0>4σ(F0).
b
c

Reaction of GaCl3 with LiN(SiMe3)2 and LiN(SiHMe2)2 to give 1, 1a, and 2 and further reaction of 2 with tmeda to yield 4.
An almost trigonal planar coordination mode is adopted for the gallium center in 1a. The Ga1-C1 bond length is similar to those observed for other complexes with one methyl group coordinated to gallium bearing (trimethylsilyl)amide/imide ligands [1.953(4) Å for [MeGa=NSiMe3]4 (Kühner et al., 1997) and 1.957(3) Å for [MeGaN(SiMe3)2(μ-NH2)]2 (Kormos et al., 2005)]. Me2GaN(Ph)SiMe3 (Waezsada et al., 1998) and Me3Ga (Lustig and Mitzel, 2004) exhibit longer Ga-C bonds with Ga-C1 1.974(3) and Ga-C2 1.978(3) Å for the silylamide complex and an average Ga-C bond length of 1.975 Å for the gallium alkyl. Regarding the chloride complexes MeGaCl2(Carmalt et al., 2001; Lustig and Mitzel, 2004) and Me2GaCl (Lustig and Mitzel, 2004), the Ga-C bond lengths adopt much lower values of 1.921(3) and 1.933(7), respectively.
Methyl abstractions with the aid of GaCl3 have been observed in several cases, one of the first examples being the reaction of tetramethylsilane (TMS) with gallium(III) chloride to give Me3SiCl and MeGaCl2 (Schmidbaur and Findeiss, 1964). This type of reaction can also be observed with siloxanes (Schmidbaur and Findeiss, 1966). The authors state that the Lewis acid (GaCl3 or GaBr3) attacks the silicon atom in an electrophilic manner to form a four-membered transition state. This also explains the low reactivity of AlCl3 compared to GaCl3 and GaBr3. The latter exist as dimers, and hence the suggested transition state with a fourfold coordination of the gallium atom is feasible. Aluminum(III) chloride, however, forms polymeric structures with a coordination number of six at the metal center, and a seven-coordinate transition state is unlikely to be formed. More recently, the reaction of GaCl3 with N(SiMe3)3 yielded MeGaCl2as well, showing that methyl abstraction is also possible in the case of silylamines (Carmalt et al., 2001). Schulz et al. presented a publication on a GaCl3-assisted methyl/chlorine exchange, where the methyl groups of SiMe3 substituents of the hydrazine(dichloro)arsane (Me3Si)2NN(SiMe3)AsCl2 were transferred to the adjacent As atom, yielding (Me2ClSi)2NN(SiMe3)AsMe2(Chart 1A; Schulz et al., 2007). Formation of MeGaCl2has not been observed; gallium(III) chloride functions as a catalyst in this case, which is supported by density functional theory (DFT) calculations. The reaction proceeds via a GaCl3-hydrazine(dichloro)arsane adduct that can be split by addition of dmap (4-dimethylaminopyridine) after completion of the methyl/chlorine exchange. A four-membered transition state, similar to the reaction of GaCl3 with Me4Si (Schmidbaur and Findeiss, 1966), is suggested. Formation of the same silylamido ligand as in 1 has been found when Ga[N(SiMe3)2]3 was reacted with NH3BH3 to give B[(NHBH)N(SiMe3)SiMe2N(SiMe3)2]3 (Chart 1B) (Hansmann et al., 2011). The authors could not draw a mechanism for this reaction but proposed that finely divided Ga metal, which is generated during the reaction, could be responsible for a reductive cleavage leading to ligand fragmentation and rearrangement. When Yandulov et al. tested the ability of several lithium bases to remove the sulfonate group from cis,trans-OsH2(OTf)(NO)L2 (OTf=CF3SO3-, L=PiPr3), they observed β-Me-transfer from the lithium bases to the osmium complex (Yandulov et al., 2002). Using four equivalents of LiN(SiMe3)2 in thf-d8 with [cis,trans-Os(H)2(THF)(NO)(PiPr3)2]-[B(C6H3-3,5-(CF3)2)4]‧ THF(tetrahydrofuran) gave an equilibrium mixture of HN(SiMe3)SiMe2N(SiMe3)2 and LiN(SiMe3)SiMe2N(SiMe3)2 as organic side products. The authors suggest that β-Me-transfer occurs concurrently with the attack of (SiMe3)2N- at the silicon atom from which the methyl group is abstracted. They were also able to synthesize this ligand directly via several steps beginning from LiN(SiMe3)2 and Me2SiCl2.
![Chart 1 Products of Ga(III)-assisted methyl abstractions.(A) (Me2ClSi)2NN(SiMe3)AsMe2 (Schulz et al., 2007). (B) B[(NHBH)N(SiMe3)SiMe2N(SiMe3)2]3(Hansmann et al., 2011).](/document/doi/10.1515/mgmc-2013-0039/asset/graphic/mgmc-2013-0039_chart1.jpg)
Products of Ga(III)-assisted methyl abstractions.
(A) (Me2ClSi)2NN(SiMe3)AsMe2 (Schulz et al., 2007). (B) B[(NHBH)N(SiMe3)SiMe2N(SiMe3)2]3(Hansmann et al., 2011).
With the sublimed, and hence side product-free, gallium(III) bis(trimethylsilyl)amide as precursor, the synthesis of Ga[N(SiHMe2)2]3via transsilylamination (Nagl et al., 1999) was attempted. The reaction was first monitored by in situ nuclear magnetic resonance (NMR) scale, but even after heating the mixture of Ga[N(SiMe3)2]3 and three equivalents of HN(SiHMe2)2 to 70°C overnight, no reaction could be observed (Figure S4). Most probably, the substitution of the silylamido ligand could not proceed because the attack of the free amine at the gallium center was sterically hindered by the large (trimethyl)silylamido groups. Even in the case of the smaller lanthanides, which exhibit a much larger ionic radius than gallium(III), it was observed that this transsilylamination proceeds very slowly and only to a small extent (Yuen and Marks, 2008).
Further attempts to synthesize Ga[N(SiHMe2)2]3 included an alkane elimination pathway using Me3Ga or Et3Ga with three equivalents of the amine HN(SiHMe2)2. Hill et al. were able to synthesize {Me2Ga[μ-N(SiHMe2)2]}2 in the same manner using equimolar amounts of Me3Ga and HN(SiHMe2)2 (Hill et al., 1994). When the bulkier Et3Ga and the amine were reacted in a 1:3 ratio at ambient and elevated temperatures on NMR scale, no conversion took place (Figure S5). An oily product was isolated when the less bulky trimethylgallium was applied as gallium precursor and the reaction was carried out for 20 min at ambient temperature. The proton NMR spectrum confirmed that Me3Ga and HN(SiHMe2)2 were still present in the mixture but new compounds had also formed (Figure S6). When the same reaction was conducted for 3 h instead of only 20 min a white solid formed. This time, only resonances of the newly formed compound(s) appeared in the proton NMR spectrum, whereas the peaks of the reactants had vanished (Figure S6). In the 1:3 reaction, the formation of {Me2Ga[μ-N(SiHMe2)2]}2 (Hill et al., 1994) could not be observed in the proton NMR spectrum (cf. Figure S7). Unfortunately, crystals could not be obtained from the reaction, and hence the new substance(s) could not be identified yet. The aluminum homologue of the desired product, Al[N(SiHMe2)2]3, is a colorless liquid (Hodgson et al., 2002). This could apply as well for the gallium(III) bis(dimethylsilyl)amide, which would explain the lack of crystal formation.
Because the transsilylamination and the alkane eliminations did not yield Ga[N(SiHMe2)2]3, a salt metathesis pathway was applied as well. During the reaction of GaCl3 with LiN(SiHMe2)2, a gray powder formed, which is most likely elemental gallium. Astonishingly, the only compound that could be isolated was the gallium hydride species {H2Ga[μ-N(SiHMe2)2]}2 (2) (Figure 2, Table 2, and Scheme 1). The same bis(dimethylsilyl)amido-bridged hydride complex is known for aluminum(III) {H2Al[μ-N(SiHMe2)2]}2 (Hodgson et al., 2002), but it has been prepared from the diethyl ether adduct of AlH3 and one equivalent of HN(SiHMe2)2 via dehydrogenation. The earlier mentioned dimethylgallium bis(dimethylsilyl)amide {Me2Ga[μ-N(SiHMe2)2]}2 possesses a very similar structure as well (Hill et al., 1994). All three compounds crystallize in the triclinic space group P-1 and are dimeric with the amido ligands bridging between the two metal centers, whereupon only the two hydride complexes contain two dimers in the asymmetric unit. The M1-N1-M1′-N1′ core is almost square planar for all three compounds (cf. Table 2). As expected, the Al1-N bonds are shorter than those for both gallium compounds. Other bond lengths and angles differ only slightly. The Ga1-H1/2 distances are similar to those obtained for bis(trimethylsilyl)amide-substituted gallium hydrides HGa[N(SiMe3)2]2(quin) and H2Ga[N(SiMe3)2](quin) [1.49(2) and 1.473(2), 1.462(2), respectively] (Luo et al., 2000). The formation of the gallium hydride complex 2 can be unequivocally evidenced by diffuse reflectance infrared fourier transform (DRIFT) spectroscopy since the Ga-H bond gives rise to a very strong vibration at about 1900 cm-1 (Figure 3). In the 1H NMR spectrum, the hydride can be observed as a very broad peak at about 5.50 ppm along with the resonances for the Si-H and Si-Me groups at 5.09 and 0.26, respectively (Figure S8).

Molecular structure of compound 2; one of two independent molecules is shown.
The ellipsoids are set at the 50% level; hydrogen atoms of the methyl groups are omitted for clarity.
Selected bond lengths and angles of both independent molecules in the unit cell of compound 2 compared to {H2Al[μ-N(SiHMe2)2]}2 (Hodgson et al., 2002) and {Me2Ga[μ-N(SiHMe2)2]}2(Hill et al., 1994).
| {H2Al[μ-N(SiHMe2)2]}2 | 2 | {Me2Ga[μ-N(SiHMe2)2]}2 | ||
|---|---|---|---|---|
| Molecule 1 | Molecule 2 | |||
| Bond lengths (Å) | ||||
| M1-N1 | 1.956(2) | 2.046(2) | 2.047(2) | 2.077(5) |
| M1-N1′ | 1.965(2) | 2.039(2) | 2.037(2) | 2.086(5) |
| M1-H1 | 1.49(3) | 1.42(3) | 1.42(3) | |
| M1-H2 | 1.52(3) | 1.42(3) | 1.50(2) | |
| Angles (°) | ||||
| (C1)H1-M1-H2(C2) | 121.0(2) | 123.0(2) | 125.0(2) | 113.9(3) |
| M1-N1-M1′ | 88.99(7) | 89.71(6) | 89.80(6) | 90.3(2) |
| N1-M1-N1′ | 92.01(7) | 90.29(6) | 90.20(6) | 89.7(2) |
| M1-N1-Si1 | 110.63a | 109.43(9) | 109.74(8) | 111.4(3) |
| M1-N1-Si2 | 111.90a | 110.93(8) | 109.96(9) | 111.1(2) |
| Si1-N1-Si2 | 119.90(9) | 121.48(9) | 121.57(9) | 118.6(2) |
aValues have been obtained with the aid of Mercury 3.1 Development, CCDC.

DRIFT spectra of compounds 2 and 4.
Only a few examples are known in which gallium hydrides are not formed via salt metathesis or dehydrogenation, as described in the introduction, but by hydride abstraction from the reactants or the solvent. The most similar example is the formation of dichlorogallane from GaCl3 and Me3SiH (Goode et al., 1988) or Et3SiH (Nogai and Schmidbaur, 2002). Two publications describe the elimination of isobutene when gallium chloride complexes are reacted with tBuLi. Wehmschulte et al. report that upon reaction of Mes*2GaCl (Mes*=2,4,6-tris-tert-butylbenzene) with one equivalent of tBuLi, the monomeric Mes*2GaH is formed, while LiCl and isobutene are produced (Chart 2C) (Wehmschulte et al., 1994). They assume that the large steric bulk of the organic substituents is the driving force for the alkene elimination in order to reduce steric congestion. Uhl et al. performed a similar reaction starting from (Cl2Ga)2C(SiR2R′)CH2Ph (a: R=R′=Me; b: R=Ph, R′=Me; c: R=Me, R′=tBu) and tBuLi to give a tetranuclear cluster, where each gallium atom bears one tert-butyl group and one hydride (Chart 2E) (Uhl et al., 2011). Isobutene elimination was observed as well. A more unusual hydride formation has been found upon the reaction of [(2,4,6-iPr3C6H2)2C6H3]GaCl2 with P(SiMe3)3, yielding the Ga-Ga-Ga chain complex [(2,4,6-iPr3C6H2)2C6H3]Ga{H2PGa(H)PH2}Ga[(2,4,6-iPr3C6H2)2C6H3] (Chart 2D) (Li et al., 2000). Li et al. suggest that the hydride could arise from a stripped m-terphenyl ligand or even from the solvent. Hydride abstraction from the solvent is also described by Uhl and El-Hamdan, starting from a gallium(II) compound [(SiMe3)3CGaI]2(Uhl and El-Hamdan, 2006). The oxidative addition of LiP(C6H5)2 to the gallium(II) precursor gave {(SiMe3)3CGaH[μ-P(C6H5)2]}2 (Chart 2F). Formation of this hydride species was only observed if toluene was applied as a solvent and not in the case of n-hexane. Most likely, a homolytic cleavage of the Ga-Ga bond leads to radicals that can abstract a hydrogen atom from toluene, resulting in relatively stable benzyl radicals. A similar reaction was observed when the gallium(I) species ‘GaI’ (Green et al., 1990) was converted into gallium(III) hydride complexes with (thf)2KSi(SiMe3)3 or KOtBu (Linti et al., 2003). Toluene was used as a solvent in both cases. Gorden et al. showed that a hydride can also be abstracted from a Cp* (C5Me5) ligand (Gorden et al., 2002). The simple reaction of GaCp*3 with the N-heterocyclic (NHC) carbene tetramethylimidazol-2-ylidene gave GaCp*2H‧carbene in 54% yield (Chart 2G). The authors propose a mechanism for the hydride formation with a [GaCp*2‧carbene]+[Cp*]- transition state (Chart 2G). The carbene adduct is unstable and undergoes a reaction with the [Cp*]- counteranion via hydride transfer under elimination of tetramethylfulvene. Alternatively, a radical mechanism via [Cp*]• was suggested.
![Chart 2 Ga(III) hydrides that have been synthesized via unconventional pathways.(C) Mes*2GaH (Wehmschulte et al., 1994). (D) [(2,4,6-iPr3C6H2)2C6H3]Ga{H2PGa(H)PH2}Ga[(2,4,6-iPr3C6H2)2C6H3] (Li et al., 2000). (E) {[(Me3C)(H)Ga]2C(SiR2R′)CH2Ph}2 (a: R=R′=Me; b: R=Ph, R′=Me; c: R=Me, R′=tBu; Bn=benzyl) (Uhl et al., 2011); (F) {(SiMe3)3CGaH[μ-P(C6H5)2]}2 (Uhl and El-Hamdan, 2006); (G) [GaCp*2‧carbene]+[Cp*]- transition state and GaCp*2H‧carbene (Gorden et al., 2002).](/document/doi/10.1515/mgmc-2013-0039/asset/graphic/mgmc-2013-0039_chart2.jpg)
Ga(III) hydrides that have been synthesized via unconventional pathways.
(C) Mes*2GaH (Wehmschulte et al., 1994). (D) [(2,4,6-iPr3C6H2)2C6H3]Ga{H2PGa(H)PH2}Ga[(2,4,6-iPr3C6H2)2C6H3] (Li et al., 2000). (E) {[(Me3C)(H)Ga]2C(SiR2R′)CH2Ph}2 (a: R=R′=Me; b: R=Ph, R′=Me; c: R=Me, R′=tBu; Bn=benzyl) (Uhl et al., 2011); (F) {(SiMe3)3CGaH[μ-P(C6H5)2]}2 (Uhl and El-Hamdan, 2006); (G) [GaCp*2‧carbene]+[Cp*]- transition state and GaCp*2H‧carbene (Gorden et al., 2002).
How the gallium hydride complex 2 is formed remains unclear, unfortunately, but it most probably arises from hydride abstraction from the bis(dimethylsilyl)amido ligand. Degradation of a Si-H moiety was as well observed in a tris(pyrazolyl)borate zinc (II) bis(dimethylsilyl)amide complex, when it was kept in THF instead of benzene (Mukherjee et al., 2010). According to the authors, the hydride formation was mediated by LiCl, while cyclic (Me2SiNSiHMe2)2 was isolated as a side-product. The latter was not detected in our studies. Another distinct degradation reaction was observed during the synthesis of Al[N(SiHMe2)2]3 from AlCl3 and LiN(SiHMe2)2 in n-hexane (Gerstberger, 1999). The lutescent oil is the main product, which can be proven by analytical data, but different species are produced concomitantly. From n-hexane solution, crystals of {[(SiHMe2)2N]2Al[μ-N(H)(SiHMe2)]}2 (3a) were obtained and characterized by X-ray crystallography (Scheme 2, Figure 4). The formation of complex 3a clearly shows that the silylamido ligand is degrading, probably via N-Si bond cleavage caused by the high Lewis acidity of Al3+. Sterically induced decomposition could be possible as well. However, no other decomposition products could be isolated. There are similar Al(III) complexes known with a -N(H)SiMe3 bridge, for example, {Cl2Al[μ-N(H)(SiMe3)]}2 (Schmidbaur and Schmidt, 1962; Riedel et al., 1991), {Me2Al[μ-N(H)(SiMe3)]}2 (Schmidbaur and Schmidt, 1962; Choquette et al., 1992), and {(SiMe3)2Al[μ-N(H)(SiMe3)]}2 (Janik et al., 1993). Table 3 gives a comparative summary of selected bond lengths and angles of these compounds together with 3a and {[(SiMe3)2N]2Al(μ-NH2)}2 (Paciorek et al., 1991). All these complexes exhibit an almost square planar Al-N-Al-N core. The Al-Nbridging and Nbridging-Si bonds are shortest for the structure reported in this work, whereas the Al-N3-Si5 angle is widest in 3a. Less steric demand of the bis(dimethylsilyl)amido compared to the bis(trimethylsilyl)amido group can give rise to this finding. In comparison with the homoleptic Al[N(SiMe3)2]3(Sheldrick and Sheldrick, 1969), the terminal Al-N bonds are slightly longer in 3a [1.78(2) and 1.834(2), respectively], in accordance with the higher coordination number of four. Only one more Al(III) compound is known in which the formation of the N-H moiety of the -N(H)SiMe3 bridge stems from ligand decomposition. Reaction of two equivalents of (Me3SiCH2)2AlCl with the hydrazide Li2N2(SiMe3)2 yielded two compounds simultaneously, namely, {(Me3SiCH2)2Al[μ-N(H)(SiMe3)]}2 and {(Me3SiCH2)Al[N(SiMe3)(CH2SiMe2CH2)]}2(Scheme 3, Uhl et al., 2000). This reaction clearly shows that the methyl groups undergo C-H activation, causing the formation of the N-H moiety. Formation of N-H bonds and silylamido ligand degradation were also observed for Lewis acidic Ln(III) bis(trimethylsilyl)amide complexes in reactions with alcohols (Covert et al., 1991; Bradley et al., 1992; Herrmann et al., 1994). Also, activation of Si-H bonds in lanthanide bis(dimethylsilyl)amide complexes is known in literature (Jende et al., 2013 and references therein). Cleavage of the N-Si bond of the silylamido ligand was observed when AlCl3 was reacted with the amine HN(SiMe3)2as well as in the salt metathesis of AlCl3 and LiN(SiHMe2)2, yielding the same -N(H)SiR3 bridge. In the case of gallium(III) chloride, reaction with the amine HN(SiHMe2)2 did not lead to the same product as in the salt metathesis reaction of GaCl3 with LiN(SiHMe2)2. When the reaction with an excess of the amine was monitored in a J. Young NMR tube in C6D6, formation of the gallium(III) hydride 2 was not observed. Instead, a new set of signals arose (a doublet at 0.22 ppm and a septet at 4.75 ppm) along with the peaks for the free amine (Figure S10). The new signals became stronger after the solution was heated for 19 h at 70°C. Unfortunately, these peaks could not be assigned yet, but the different reactivity of aluminum(III) and gallium(III) is accentuated again.
![Scheme 2 Reaction of AlCl3 and LiN(SiHMe2)2 to give homoleptic Al[N(SiHMe2)2]3 (3) and side product 3a.](/document/doi/10.1515/mgmc-2013-0039/asset/graphic/mgmc-2013-0039_scheme2.jpg)
Reaction of AlCl3 and LiN(SiHMe2)2 to give homoleptic Al[N(SiHMe2)2]3 (3) and side product 3a.

Molecular structure of compound 3a.
The ellipsoids are set at the 30% level; hydrogen atoms of the methyl groups are omitted for clarity.
Selected bond lengths and angles of compound 3a compared to {Cl2Al[μ-N(H)(SiMe3)]}2 (Schmidbaur and Schmidt, 1962; Riedel et al., 1991), {Me2Al[μ-N(H)(SiMe3)]}2 (Schmidbaur and Schmidt, 1962; Choquette et al., 1992), {(SiMe3)2Al[μ-N(H)(SiMe3)]}2 (Janik et al., 1993), and {[(SiMe3)2N]2Al(μ-NH2)}2 (Paciorek et al., 1991).
| 3a | {Cl2Al[μ-N(H)(SiMe3)]}2 | {Me2Al[μ-N(H)(SiMe3)]}2 | {(SiMe3)2Al[μ-N(H)(SiMe3)]}2 | {[(SiMe3)2N]2Al(μ-NH2)}2 | |
|---|---|---|---|---|---|
| Bond lengths (Å) | |||||
| Al-R1 (R=N, Cl, Si) | 1.834(2) | 2.098(3) | 1.959(4) | 2.479(1) | 1.836(4) |
| Al-R2 (R=N, Cl, Si) | 1.833(2) | 2.102(3) | 1.957(5) | 2.501(1) | 1.846(4) |
| Al-N3 | 1.891(2) | 1.916(4) | 1.965(3) | 1.974(3) | 1.944(5) |
| Al-N3a | 1.901(2) | 1.925(5) | 1.969(3) | 1.973(3) | 1.926(5) |
| N3-Si5 | 1.712(2) | 1.803(4) | 1.778(3) | 1.764(3) | - |
| Angles (°) | |||||
| N3-Al-N3a | 83.91(8) | 90.1(2) | 89.2(1) | 87.8 | 84.2(2) |
| Al-N3-Ala | 96.09(9) | 89.9(2) | 90.8(1) | 92.2(1) | 95.3(2) |
| R1-Al-R2 (R=N, Cl, Si) | 116.44(9) | 112.4(1) | 118.8(2) | 109.9(1) | 120.0(2) |
| R1-Al-N3 (R=N, Cl, Si) | 112.00(8) | 115.42a | 107.5(2) | 108.1(1) | 112.85a |
| R1-Al-N3a (R=N, Cl, Si) | 111.80(9) | 115.5(1) | 114.0(2) | 120.84a | 107.33a |
| R2-Al-N3 (R=N, Cl, Si) | 113.38(9) | 115.4(1) | 116.0(2) | 121.2(1) | 110.67a |
| R2-Al-N3a (R=N, Cl, Si) | 115.03(9) | 110.8(2) | 107.8(2) | 108.39a | 115.75a |
| Al-N3-Si5 | 129.3(1) | 125.3(2) | 128.0(2) | 124.4(1) | – |
aValues have been obtained with the aid of Mercury 3.1 Development, CCDC.

Reaction of (Me3SiCH2)2AlCl with the hydrazide Li2N2(SiMe3)2 to a C-H activated product (right) and a -N(H)SiMe3 bridged complex (left) (Uhl et al., 2000).
Gallium hydride compounds are known to eliminate hydrogen upon heating (Goode et al., 1988). When complex 2 was heated in a J. Young NMR tube in C6D6, hydrogen formation could be observed by a resonance appearing at 4.47 ppm (Figure S11). The hydrogen elimination led to the formation of other silylamides, silylamines, or silanes. Two more doublets appeared at 0.11 and 0.14 ppm along with a new septet at 4.75 ppm, which confirms the presence of -SiHMe2 groups. A singlet at 0.30 ppm, however, shows that decomposition of some -SiHMe2 groups took place as well, leading to species with -SiMex moieties (x=1,2,3). Unfortunately, none of these compounds could be identified yet. Cowley et al. were able to isolate a product of the thermal decomposition of (Me2N)2C=NH‧GaH3, the heptanuclear HN{[HGaNMe][H2GaNC(NMe2)2]}3GaH cluster (Cowley et al., 2005). Cluster formation could be possible in our case as well. The thermal decomposition of 2 seems to equilibrate after some time. After a final 16 h at 80°C the percentage of hydrogen and decomposition products increased only very slightly (cf. Table S1).
Having in mind the synthesis of mixed gallium(III) hydride amide complexes via hydrogen elimination from GaH3‧donor with an amine, we tried to obtain the homoleptic Ga[N(SiHMe2)2]3 from 2 with two equivalents of HN(SiHMe2)2. The reaction was performed on NMR scale in a J. Young NMR tube, but even after 24 h at ambient temperature only the resonances of the two reactants were present in the 1H NMR spectrum (Figure S12). Elevated temperatures were avoided because 2 decomposes when exposed to heat.
To break the dimeric structure of 2, it was reacted with 1,1,3,3-N,N,N′,N′-tetramethylendiamine (tmeda). Unfortunately, a different dinuclear complex {[H2GaN(SiHMe2)2]2(μ-tmeda)} (4) (Figure 5, Table 1), with tmeda bridging between the two gallium centers, was obtained. There are only a few connatural gallium complexes known in the literature (Hallock et al., 1985; Byers et al., 1992; Gardiner et al., 1995; Quillian et al., 2007) and only one more hydride complex, namely, the tmeda-bridged dinuclear GaH3(O’Hare et al., 1991). In 4, the Ga1 atom adopts a distorted tetrahedral coordination mode (cf. Figure 5), whereas for the GaH3 tmeda adduct, the H1-Ga1-Ntmeda and H1-Ga-H2 angles are nearly perpendicular with 88.29° (value was obtained with the help of Mercury 3.1 Development, CCDC) and 88(2)°, respectively. The Ga1-Ntmeda distances differ only slightly but are a little bit longer in 4. As expected, the 1H NMR spectrum of 4 differs from the spectrum recorded for complex 2 (Figure S13). The peak for the Si-Me groups is shifted downfield by 0.17 ppm to 0.43 ppm. Unfortunately, the Si-H and Ga-H peaks at 5.10 and 5.05 ppm are overlapping, and hence the integrals cannot be assigned properly. The resonances of the methyl and methylene groups of the donor can be found at 1.97 and 2.40 ppm, respectively. A small amount of the dimer 2 is still present, giving rise to a peak at 0.26 ppm.

Molecular structure of compound 4.
The ellipsoids are set at the 50% level; hydrogen atoms of the methyl groups and the disorder of C7 are omitted for clarity. Selected bond lengths (Å) and angles (°): Ga-H1 1.46(2), Ga1-H2 1.51(2), Ga1-N1 1.909(1), Ga1-N2 2.124(1), N1-Ga1-N2 102.34(5), H1-Ga-H2 121.0(1), N1-Ga1-H1 112.3(9), N1-Ga1-H2 115.5(7), N2-Ga1-H1 101.1(8), N2-Ga1-H2 101.0(7), Ga1-N1-Si1 114.76(6), Ga1-N1-Si2 118.40(6).
In conclusion, we were not able to synthesize/isolate the homoleptic Ga[N(SiHMe2)2]3, but our attempts led to other interesting gallium(III) silylamide species. One of the manifold side products of the synthesis of homoleptic Ga(III) bis(trimethylsilyl)amide, MeGa[N(SiMe3)SiMe2N(SiMe3)2]2, could be fully characterized. Salt metathesis of GaCl3 and LiN(SiHMe2)2 gave the dimeric silylamido-bridged hydride {H2Ga[μ-N(SiHMe2)2]}2. In contrast, reaction of AlCl3 with three equivalents of LiN(SiHMe2)2 gave homoleptic Al[N(SiHMe2)2]3 together with {[(SiHMe2)2N]2Al[μ-N(H)(SiHMe2)]}2 as a side product. Hence, different decomposition products were isolated for gallium(III) and aluminum(III), demonstrating the diverse reactivity of both Lewis acids. Further reaction of {H2Ga[μ-N(SiHMe2)2]}2 with tmeda yielded a dinuclear hydride complex, {[H2GaN(SiHMe2)2]2(μ-tmeda)} in which the gallium atoms are now bridged by the bidentate donor.
Experimental
General considerations
All reactions were carried out under a dry argon or nitrogen atmosphere using standard Schlenk or glovebox techniques (MBraun, Garching, Germany, MB150B-G-II, <1 ppm H2O, O2; MBraun, Garching, Germany, MB250B, <0.1 ppm H2O, O2). The solvents were dried over Grubbs columns (MBraun, Solvent Purification System) or distilled over Na/K and stored inside the glovebox. Elemental analyses were carried out on an Elementar Vario MICRO instrument (ThermoScientific, Waltham, MA, USA). NMR spectra were recorded on a JEOL JNM-GX-270-D (Akishima, Japan) or a Bruker-AVII-400 spectrometer (Billerica, MA, USA). 1H and 13C NMR chemical shifts were referenced to internal solvent resonances reported in parts per million relative to TMS. DRIFT spectra were measured on a Thermo Scientific Nicolet 6700 FTIR spectrometer (Waltham, MA, USA) using KBr powder and a DRIFT cell equipped with KBr windows. The spectra were recorded with 256 scans from 4000 to 400 cm-1 with a resolution of 2 cm-1. Infrared (IR) spectra were recorded on a Perkin-Elmer 1650 FTIR spectrometer (Waltham, MA, USA) in Nujol between CsI plates. CI mass spectrometry was carried out on a Finnigan-MAT 90 (San José, CA, USA). 1,1,3,3-Tetramethyldisilazane (97%) and 1,1,1,3,3,3-hexamethyldisilazane (98%) were purchased from ABCR (Karlsruhe, Germany). Gallium(III) chloride (99.999%) was obtained from Alfa Aesar (Ward Hill, MA, USA). N-butyllithium (2.5 m in n-hexane) and aluminum(III) chloride were purchased from Sigma Aldrich (St. Louis, MO, USA). LiN(SiMe3)2 (Bradley et al., 1973), LiN(SiHMe2)2 (Eppinger et al., 1998), and Ga[N(SiMe3)2]3 (1) (Bürger et al., 1971) were synthesized according to literature procedures.
Side product of the synthesis of gallium(III) bis(trimethylsilyl)amide (1), MeGa[N(SiMe3)SiMe2N(SiMe3)2]2 (1a)
Anal. calcd. for C23H69N4Si8Ga (%): C 39.68, H 9.99, N 8.05. Found (%): C 39.19, H 9.39, N 7.84. 1H NMR (400 MHz, C6D6, 25°C): δ (ppm) 0.35 (s, 36H, N[Si(CH3)3]2), 0.36 (s, 18H, NSi(CH3)3), 0.51 (s, 3H, GaCH3), 0.61 (s, 12H, Si(CH3)2). 13C {1H} NMR (100 MHz, C6D6, 25°C): δ (ppm) 6.0 (N[Si(CH3)3]2), 6.5 (NSi(CH3)3), 9.4 (GaCH3), 9.8 (Si(CH3)2). DRIFT (KBr, cm-1): 2957 (m), 2902 (w), 1436 (w), 1404 (w), 1299 (w), 1259 (s), 1205 (w), 936 (s), 837 (s), 757 (m), 720 (w), 674 (m), 643 (w), 625 (w), 562 (w), 486 (w), 440 (w).
Synthesis of {H2Ga[μ-N(SiHMe2)2]}2 (2)
GaCl3 (144 mg, 0.82 mmol) was dissolved in pentane and cooled to -40°C. LiN(SiHMe2)2 (352 mg, 2.53 mmol) was suspended in pentane, cooled to -40°C, and then added to the GaCl3 solution in the cold with the aid of a cooled copper block. The white suspension was stirred for 5 min while being cooled by the copper block, then put back in the freezer at -40°C. This process was repeated four times. Then, the suspension was centrifuged and the colorless liquid was filtered. Pentane was removed under vacuum while being cooled, giving a white precipitate. This process was repeated several times until a colorless oil was obtained. Recrystallization from n-pentane gave colorless crystals. Yield: 102 mg, 61%. Anal. calcd. for C8H32N2 Si2Ga (%): C 32.54, H 7.90, N 6.86. Found (%): C 32.65, H 7.84, N 6.86. 1H NMR (400 MHz, C6D6, 25°C): δ (ppm) 0.26 (d, 12H, SiH(CH3)2), 5.09 (m, 2H, SiH(CH3)2), 5.50 (br, 2H, GaH2). 13C {1H} NMR (100 MHz, C6D6, 25°C): δ (ppm) 1.1 (SiH(CH3)2). DRIFT (KBr, cm-1): 2967 (m), 2955 (m), 2902 (w), 2177 (m), 2155 (s), 1901 (s), 1792 (vw), 1418 (w), 1252 (s), 928 (m), 904 (s), 872 (s), 844 (s), 784 (s), 730 (s), 707 (s), 670 (s), 634 (m), 602 (s), 510 (s), 482 (m).
Synthesis of Al[N(SiHMe2)2]3 (3) and side product {[(SiHMe2)2N]2Al[μ-N(H)(SiHMe2)]}2 (3a) formation (Gerstberger, 1999)
AlCl3 (267 mg, 2.0 mmol) and LiN(SiHMe2)2 (808 mg, 5.8 mmol) were suspended in n-hexane and stirred at ambient temperature for 15 h. The mixture was then heated for 1 h to 60°C. Subsequently, the solution was separated from LiCl via centrifugation. Evaporation of the solvent led to 590 mg of a lutescent oil (3) from which crystals of 3a could be grown at -35°C from n-hexane. The following analytical data refer to 3. However, the N-H vibration of 3a can be observed in the IR spectrum. Unfortunately, it was not possible to conduct any further analyses on 3a as we only obtained a few crystals. Anal. calcd. for C12H42N3Si6Al (%): C 33.99, H 9.98, N 9.95. Found (%): C 33.17, H 9.31, N 8.97 (better microanalytical data could not be obtained). 1H NMR (400 MHz, C6D6, 25°C): δ (ppm) 0.2–0.5 (several d, 36H, 3J(H,H)=3.48 Hz, SiH(CH3)2), 4.7–5.2 (several h, 6H, 3J(H,H)=3.48 Hz, SiH(CH3)2). 13C {1H} NMR (100.5 MHz, C6D6, 25°C): δ (ppm) 1.0–5.5 (several) SiH(CH3)2). IR (KBr, cm-1): 3199 (m), 2108 (s), 1876 (m), 1255 (s), 1111 (m), 1080 (m), 1060 (m), 1040 (m), 896 (vs), 796 (s), 769 (s), 731 (m), 685 (m), 668 (m), 632 (m), 563 (m), 499 (m). MS (CI): m/z (%) 394 [4, M+-2 CH3], 380 [4, M+-2 SiCH3], 264 [49, N(SiHMe2)2], 160 [1, M+-2 N(SiHMe2)2], 132 [86, N(SiHMe2)2], 118 [100, (SiHMe2)2].
Synthesis of {[H2GaN(SiHMe2)2]2(μ-tmeda)} (4)
{H2Ga[μ-N(SiHMe2)2]}2 (2) (84 mg, 0.41 mmol) was dissolved in n-hexane, and 1,1,3,3-tetramethylethylendiamine (53 mg, 0.45 mmol) in n-hexane was added. The clear solution was stirred for 1.5 h at ambient temperature. Evaporation of the solvent yielded a colorless oil that gave colorless crystals via recrystallization from n-pentane. Yield: 115 mg, 87%. Anal. calcd. for C14H48N4Si4Ga2(%): C 32.07, H 9.23, N 10.69. Found (%): C 32.18, H 9.26, N 10.76. 1H NMR (400 MHz, C6D6, 25°C): δ (ppm) 0.43 (d, 24H, SiH(CH3)2), 1.97 (s, 12H, N(CH3)2), 2.40 (s, 4H, N(CH2)2N), 5.05 (br, 2H, GaH2), 5.09 (m, 2H, SiH(CH3)2). 13C {1H} NMR (100 MHz, C6D6, 25°C): δ (ppm) 1.1 (SiH(CH3)2). DRIFT (KBr, cm-1): 2951 (s), 2897 (m), 2859 (sh), 2823 (w), 2799 (w), 2771 (w), 2095 (s), 1867 (s), 1463 (m), 1410 (w), 1291 (w), 1245 (s), 1099 (w), 981 (s), 942 (sh), 926 (s), 901 (s), 862 (s), 831 (m), 763 (s), 747 (s), 714 (s), 689 (s), 645 (m), 625 (m), 567 (w), 523 (w), 484 (w).
Crystallographic data collection and refinement
Crystals of 1a–4 were grown by standard techniques from saturated solutions using n-hexane or n-pentane at -38°C. Single crystals of 1a, 2, and 4 suitable for X-ray structure analyses were selected in a glovebox and coated with Paratone-N (Hampton Research). Single crystals of 3a were selected in the glovebox and then transferred into a glass capillary with the aid of a perfluorated polyether. The capillaries were sealed before the measurement. X-ray data for compounds 1a and 2 were collected on a Stoe IPDS II diffractometer (Stoe & Cie, Darmstadt, Germany) using MoKα radiation (λ=0.71073 Å) and were corrected for Lorentz and polarization effects and absorption by air. (Stoe & Cie, Stoe_s X-Area 1.26, Darmstadt, Germany, 2004) and WinGX (Farrugia, 1999) suite of programs, including SHELXS (Sheldrick, 2008a) and SHELXL (Sheldrick, 2008a), were used for structure solution and refinement. X-ray data of 3a were recorded on a NONIUS Kappa CCD using MoKα radiation (λ=0.71073 Å) with a rotating anode. SIR-92 (Altomare et al., 1992) and SHELXL-93 (Sheldrick, 1993) were used for data solution and refinement. X-ray data for 4 were collected on a Bruker APEX II DUO diffractometer (Bruker AXS, Madison, WI, USA) equipped with a graphite multilayer monochromator and MoKα radiation (λ=0.71073 Å). Raw data were collected by using the program COSMO (Bruker AXS, APEX v. 2008.5-0, Madison, WI, USA, 2008) integrated and reduced with the program SAINT (Bruker AXS, Bruker Saint v. 756A, Madison, WI, USA, 2009). Corrections for adsorption effects were applied with SHELXTL (Sheldrick, 2008a) and/or SADABS (Sheldrick, 2008b). The structures were solved by direct methods and refined with standard difference Fourier techniques. The metal- and silicon-bonded hydrogen atoms were located in the difference Fourier and refined isotropically. All plots were generated utilizing the program Diamond 3.2i and POV-Ray 3.6. CCDCs 954022 (3a), 955362 (4), 955363 (1a), and 955364 (2) contain the supplementary crystallographic data for this paper. These data can be obtained free of charge from The Cambridge Crystallographic Data Centre via www.ccdc.cam.ac.uk/data_request/cif.
References
Aldridge, S.; Downs, J. A. Hydrides of the main group metals: new variations on an old theme. Chem. Rev. 2001, 101, 3305–3365.Search in Google Scholar
Alexander, S. G.; Cole, M. L.; Forsyth, C. M.; Furfari, S. K.; Konstas, K. Bulky triazenide complexes of alumino- and gallohydrides. Dalton Trans.2009, 2326–2336.10.1039/b817397dSearch in Google Scholar
Altomare, A.; Cascarano, G.; Giacovazzo, C.; Guagliardi, A.; Burla, M. C.; Polidori, G.; Camalli, M. SIR-92. University of Bari, Italy, 1992.Search in Google Scholar
Atwood, J. L.; Bott, S. G. ; Elms, F. M.; Jones, C.; Raston, C. L. Tertiary amine adducts of gallane: gallane-rich [{GaH3}2(TMEDA)] (TMEDA=N,N,N′,N′-tetramethylethylenediamine) and thermally robust [GaH3(quinuclidine)]. Inorg. Chem.1991a, 30, 3792–3793.Search in Google Scholar
Atwood, J. L.; Bott, S. G.; Jones, C.; Raston, C. L. Oligomeric gallium amide/hydride complexes, [H2Ga2{(NPriCH2)2}2] and [H5Ga3{(NMeCH2)2}2], via hydrometalation and metalation. Inorg. Chem.1991b, 30, 4868–4870.Search in Google Scholar
Bradley, D. C.; Ghotra, J. S.; Hart, F. A. Low co-ordination numbers in lanthanide and actinide compounds. Part I. The preparation and characterization of tris{bis(trimethylsilyl)-amido}lanthanides. J. Chem. Soc., Dalton Trans.1973, 1021–1023.10.1039/dt9730001021Search in Google Scholar
Bradley, D. C.; Chudzynska, H.; Hammond, M. E.; Hursthouse, M. B.; Motevalli, M.; Ruowen, W. The preparation and characterization of volatile derivatives of trivalent metals using fluorinated alkoxide ligands. X-ray structures of [Sc{OCH(CF3)2}3(NH3)2]2, [Pr{OCMe(CF3)2}3(NH3)2]2, [Y{OCMe(CF3)2}3(thf)3] and [Pr{OCMe2(CF3}3]3. Polyhedron1992, 11, 375–379.Search in Google Scholar
Bürger, H.; Cichon, J.; Goetze, U.; Wannagat, U.; Wismar, H. J. Beiträge zur chemie der silicium-stickstoff-verbindungen: CVII. Darstellung, schwingungsspektren und normalkoordinatenanalyse von disilylamiden der 3. Gruppe: M[N(SiMe3)2]3 mit M=Al, Ga und In. J. Organomet. Chem.1971, 33, 1–12.Search in Google Scholar
Byers, J. J.; Pennington, W. T.; Robinson, G. H. Bis-adducts of trimethylaluminium and trimethylgallium with N,N,N′,N′-tetramethylethylenediamine. Acta Crystallogr., Sect. C1992, 48, 2023–2025.Search in Google Scholar
Carmalt, C. J.; Mileham, J. D.; White, A. J. P.; Williams, D. J.; Steed, J. W. Synthesis and characterization of gallium silylamido complexes. Inorg. Chem.2001, 40, 6035–6038.Search in Google Scholar
Choquette, D. M.; Timm, M. J.; Hobbs, J. L.; Rahim, M. M.; Ahmed, K. J.; Planalp, R. P. Syntheses, Structures, and isomerization processes of dialkylaluminum silylamido complexes. Organometallics1992, 11, 529–534.Search in Google Scholar
Covert, K. J.; Neithamer, D. R.; Zonnevylle, M. C.; LaPointe, R. E.; Schaller, C. P.; Wolczanski, P. T. Pyridine and related adducts, (silox)3ML (M=scandium, titanium, vanadium, tantalum): η1-pyridine-N vs η2-pyridine-N,C ligation. Inorg. Chem.1991, 30, 2494–2508.Search in Google Scholar
Cowley, A. H.; Gabbaï, F. P.; Isom, H. S.; Carrano, C. J.; Bond, M. R. Basenfreie monomere organogalliumhydride. Angew. Chem.1994, 106, 1354–1356. Base-free monomeric organogallium hydrides. Angew. Chem., Int. Ed. Engl.1994, 33, 1253–1255.Search in Google Scholar
Cowley, A. R.; Downs, A. J.; Himmel, H.-J.; Marchant, S.; Parsons, S.; Yeoman, J. A. 1,1,3,3-Tetramethylguanidine-gallane, (Me2N)2CN(H)*GaH3: an unusually strongly bound gallane adduct. Dalton Trans.2005, 1591–1597.10.1039/B501818HSearch in Google Scholar
Eppinger, J.; Herdtweck, E.; Anwander, R. Synthesis and characterization of alkali metal bis(dimethylsilyl) amides: infinite all-planar laddering in the unsolvated sodium derivative. Polyhedron1998, 17, 1195–1201.Search in Google Scholar
Farrugia, L. J. Win, G. X. WinGX suite for small-molecule single-crystal crystallography. J. Appl. Crystallogr.1999, 32, 837.Search in Google Scholar
Gardiner, M. G.; Raston, C. L.; Cloke, F. G. N.; Hitchcock, P. B. 1,4-Bis(trimethylsilyl)but-2-ene-1,4-diyl complexes of lithium, magnesium, aluminum, and gallium. Organometallics1995, 14, 1339–1353.Search in Google Scholar
Gerstberger, G. Molekulare und immobilisierte selternerd(III)-silylamide. Technische Universität München, 1999.Search in Google Scholar
Goode, M. J.; Downs, A. J.; Pulham, C. R.; Rankin, D. W. H.; Robertson, H. E. Monochlorogallane: synthesis, properties, and structure of the dimer H2Ga(μ-Cl)2GaH2 in the gas phase as determined by electron diffraction. J. Chem. Soc., Chem. Commun.1988, 768–769.10.1039/C39880000768Search in Google Scholar
Gorden, J. D.; Macdonald, C. L. B.; Cowley, A. H. The unusual reaction of Ga(C5Me5)3 with a nucleophilic carbene. J. Organomet. Chem.2002, 643–644, 487–489.Search in Google Scholar
Green, M. L. H.; Mountford, P.; Smout, G. J.; Speel, S. R. New synthetic pathways into the organometallic chemistry of gallium. Polyhedron1990, 9, 2763–2765.Search in Google Scholar
Hallock, R. B.; Hunter, W. E.; Atwood, J. L.; Beachley, O. T. Synthesis, characterization and crystal and molecular structure of Ga(CH2SiMe3)3*Me2NC2H4NMe2*Ga(CH2SiMe3)3. Organometallics1985, 4, 547–549.Search in Google Scholar
Hansmann, M. M.; Melen, R. L.; Wright, D. S. Group 13 BN dehydrocoupling reagents, similar to transition metal catalysts but with unique reactivity. Chem. Sci.2011, 2, 1554–1559.Search in Google Scholar
Herrmann, W. A.; Anwander, R.; Munck, F. C.; Scherer, W.; Dufaud, V.; Huber, N. W.; Artus, G. R. J. Lanthanoiden-Komplexe, IX; Reaktivitätsbestimmender Einfluss der Ligandenkonstitution bei Seltenerdamiden: Herstellung und Struktur sterisch überladener Alkoxid-Komplexe. Z. Naturforsch.1994, 49b, 1789–1797.Search in Google Scholar
Hill, J. B.; Talley, T. A.; Pennington, W. T.; Robinson, G. H. Reaction of trimethylaluminum and trimethylgallium with bifunctional amines: syntheses and molecular structures of [Me2Al−N(CH2CH2)2-C-(OCH2)2]2 and [Me2Ga-N(Si(H)Me2)2]2. J. Chem. Crystallogr.1994, 24, 61–65.Search in Google Scholar
Hodgson, M.; Khan, M.; Wehmschulte, R. Synthesis and reactivity of amidoaluminum hydride compounds as potential precursors to AlN. J. Cluster Sci.2002, 13, 503–520.Search in Google Scholar
Hwang, J. W.; Hanson, S. A.; Britton, D.; Evans, J. F.; Jensen, K. F.; Gladfelter, W. L. Cyclotrigallazane, [H2GaNH2]3. Its preparation, structure, and conversion to cubic gallium nitride at 150°C. Chem. Mater.1990, 2, 342–343.Search in Google Scholar
Janik, J. F.; Duesler, E. N.; Paine, R. T. Synthesis and structure of a silyl-aminoalane ring. Chem. Ber.1993, 126, 2649–2651.Search in Google Scholar
Jende, L. N.; Maichle-Mössmer, C.; Schädle, C.; Anwander, R. Yttrium half-sandwich complexes bearing the 2-(N,N-dimethylamino)ethyl-tetramethylcyclopentadienyl ligand. J. Organomet. Chem.2013, 744, 74–81.Search in Google Scholar
Jones, C.; Mills, D. P.; Rose, R. P. Oxidative addition of an imidazolium cation to an anionic gallium(I) N-heterocyclic carbene analogue: synthesis and characterisation of novel gallium hydride complexes. J. Organomet. Chem.2006, 691, 3060–3064.Search in Google Scholar
Kormos, B. L.; Jegier, J. A.; Ewbank, P. C.; Pernisz, U.; Young, V. G.; Cramer, C. J.; Gladfelter, W. L. Oligomeric rods of alkyl- and hydridogallium imides. J. Am. Chem. Soc.2005, 127, 1493–1503.Search in Google Scholar
Kühner, S.; Kuhnle, R.; Hausen, H. D.; Weidlein, J. Methylmetall(III)-stickstoffverbindungen mit oligocyclischer sowie mit käfigstruktur (M(III)=Al, Ga, In). Z. Anorg. Allg. Chem.1997, 623, 25–34.Search in Google Scholar
Li, X.-W.; Wei, P.; Beck, B. C.; Xie, Y.; Schaefer III, H. F.; Su, J.; Robinson, G. H. Synthesis and molecular structure of an unusual -Ga-Ga-Ga-linked organometallic. Chem. Commun.2000, 453–454.10.1039/a909451bSearch in Google Scholar
Linti, G.; Çoban, S.; Rodig, A.; Sandholzer, N. Siliciumhaltige ringverbindungen des galliums und indiums – neue hydridogallanate. Z. Anorg. Allg. Chem.2003, 629, 1329–1333.Search in Google Scholar
Luo, B.; Gladfelter, W. L. 1,1-Dimethylhydrazidogallane and a gallium hydrazide with two GaN rings bridged by two NNMe ligands. Chem. Commun.2000, 825–826.10.1039/b001010nSearch in Google Scholar
Luo, B.; Young, V. G.; Gladfelter, W. L. Syntheses and structures of quinuclidine-stabilized amido- and azidogallanes. Inorg. Chem.2000, 39, 1705–1709.Search in Google Scholar
Luo, B.; Young Jr, V. G.; Gladfelter, W. L. Si-C bond cleavage in the reaction of gallium chloride with lithium bis(trimethylsilyl)amide and thermolysis of base adducts of dichloro(trimethylsilyl)amido gallium compounds. J. Organomet. Chem.2002, 649, 268–275.Search in Google Scholar
Luo, B; Lee, S. Y.; White, J. M. Adsorption, desorption, and reaction of a gallium nitride precursor, (H2GaNHNMe2)2, on HfO2. Chem. Mater.2004, 16, 629–638.Search in Google Scholar
Lustig, C.; Mitzel, N. W. Crystal structures of the supramolecular aggregates of the methyl and chloro substituted gallanes MexGaCl3-x. Z. Naturforsch.2004, 59b, 140–147.Search in Google Scholar
McMurran, J.; Dai, D.; Balasubramanian, S. C.; Kouvetakis, J.; Hibbard, J. L. H2GaN3 and derivatives: a facile method to gallium nitride. Inorg. Chem. 1998, 37, 663810.1021/ic981022dSearch in Google Scholar
Mukherjee, D.; Ellern, A.; Sadow, A. D. Conversion of a zinc disilazide to a zinc hydride mediated by LiCl. J. Am. Chem. Soc. 2010, 132, 7582–7583.Search in Google Scholar
Nagl, I.; Scherer, W.; Tafipolsky, M.; Anwander, R. The first oligomeric samarium(ii) silylamide: coordinative saturation through agostic Sm···SiH interactions. Eur. J. Inorg. Chem.1999, 1405–1407.10.1002/(SICI)1099-0682(199909)1999:9<1405::AID-EJIC1405>3.0.CO;2-#Search in Google Scholar
Neumayer, D. A.; Ekerdt, J. G. Growth of group III nitrides. A review of precursors and techniques. Chem. Mater.1996, 8, 9–25.Search in Google Scholar
Nogai, S.; Schmidbaur, H. Dichlorogallane (HGaCl2)2: its molecular structure and synthetic potential. Inorg. Chem.2002, 41, 4770–4774.Search in Google Scholar
O’Hare, D.; Foord, J. S.; Page, T. C. M.; Whitaker, T. J. Gallane adducts of bifunctional group V ligands; crystal structures of (GaH3)2(tmen) and (GaH3)2(dmpe). J. Chem. Soc., Chem. Commun.1991, 1445–1447.10.1039/c39910001445Search in Google Scholar
Paciorek, K. J. L.; Nakahara, J. H.; Hoferkamp, L. A.; George, C.; Flippen-Anderson, J. L.; Gilardi, R.; Schmidt, W. R. Reactions of tris[bis(trimethylsilyl)amino]aluminum with ammonia and pyrolysis studies. Chem. Mater.1991, 3, 82–87.Search in Google Scholar
Pugh, D.; Marchand, P.; Parkin, I. P.; Carmalt, C. J. Group 13 β-ketoiminate compounds: gallium hydride derivatives as molecular precursors to thin films of Ga2O3. Inorg. Chem.2012, 51, 6385–6395.Search in Google Scholar
Quillian, B.; Wang, Y.; Wei, P.; Wannere, C. S.; Schleyer, P. V. R.; Robinson, G. H. Gallepins. Neutral gallium analogues of the tropylium ion: synthesis, structure, and aromaticity. J. Am. Chem. Soc.2007, 129, 13380–13381.Search in Google Scholar
Riedel, R.; Schaible, S.; Klingebiel, U.; Noltemeyer, M.; Werner, E. Bis(dichlor-N-trimethylsily)cycloaminoalan kristallstruktur und thermischer abbau zu aluminiumnitrid. Z. Anorg. Allg. Chem.1991, 603, 119–127.Search in Google Scholar
Rudolf, D.; Kaifer, E.; Himmel, H.-J. Novel bi- and trinuclear gallium halides and hydrides with acyclic and bicyclic guanidinate substituents: synthesis and reactivity. Eur. J. Inorg. Chem.2010, 2010, 4952–4961.Search in Google Scholar
Schmidbauer, H; Findeiss, W. Ein einfacher weg zu organogalliumverbindungen. Angew. Chem.1964, 76, 752–753. A simple route to organogallium compounds. Angew. Chem., Int. Ed. Engl.1964, 3, 696.Search in Google Scholar
Schmidbaur, H.; Findeiss, W. Neue wege zu organogalliumhalogeniden. Chem. Ber.1966, 99, 2187–2196.Search in Google Scholar
Schmidbaur, H.; Schmidt, M. Über alkylsilazalane. Angew. Chem.1962, 74, 327–328. Alkylsilazalanes. Chem., Int. Ed. Engl.1962, 1, 327–328.Search in Google Scholar
Schmidbaur, H.; Wolfsberger, M. W. Isostere des hexamethyldisiloxans und des tris-trimethylsilylamins. Angew. Chem.1966, 78, 306–307. Isosteres of hexamethyldisiloxane und tris(trimethylsilylamine). Angew. Chem., Int. Ed. Engl.1966, 5, 312.Search in Google Scholar
Schulz, A.; Mayer, P.; Villinger, A. An unusual reaction: a GaCl3-assisted methyl/chlorine exchange in silylated hydrazinodichloroarsane. Inorg. Chem.2007, 46, 8316–8322.Search in Google Scholar
Schumann, H.; Just, O.; Seuß, T. D.; Weimann, R. Intramolekular stabilisierte gallium- und indiumorganyle: synthese und röntgenstrukturanalyse repräsentativer 5-methyl-1- galla(inda)-5-azacyclooktane. J. Organomet. Chem.1994, 472, 15–26.Search in Google Scholar
Sheldrick, G. M. SHELXL-93. Crystallographic Computing1993, 3, 175–189.Search in Google Scholar
Sheldrick, G. M. SHELXS, SHELXL. Acta Crystallogr., Sect. A: Found. Crystallogr.2008a, 64, 112.Search in Google Scholar
Sheldrick, G. M. SADABS v. 2008/1. University of Göttingen: Göttingen, 2008b.Search in Google Scholar
Sheldrick, G. M.; Sheldrick, W. S. Crystal and molecular structure of tris[bis(trimethylsilyl)amino]aluminium, Al[N(SiMe3)2]3. J. Chem. Soc. A1969, 2279–2282.10.1039/j19690002279Search in Google Scholar
Singh, S.; Ahn, H.-J.; Stasch, A.; Jancik, V.; Roesky, H. W.; Pal, A.; Biadene, M.; Herbst-Irmer, R.; Noltemeyer, M.; Schmidt, H.-G. Syntheses, characterization, and X-ray crystal structures of β-diketiminate group 13 hydrides, chlorides, and fluorides. Inorg. Chem.2006, 45, 1853–1860.Search in Google Scholar
Uhl, W. Hydroalumination and hydrogallation of alkynes: New insights into the course of well-known reactions. Coord. Chem. Rev.2008, 252, 1540–1563.Search in Google Scholar
Uhl, W.; El-Hamdan, A. H. Die reaktion des digalliumsubiodids R(I)Ga-Ga(I)R [R=C(SiMe3)3] mit lithium-diphenylphosphanid – radikalische öffnung der Ga-Ga-bindung. Z. Anorg. Allg. Chem.2006, 632, 793–796.Search in Google Scholar
Uhl, W.; Molter, J.; Neumüller, B.; Saak, W. Aluminiumhydrazide. Bildung eines dimeren di(tert-butyl)aluminiumhydrazids mit viergliedrigem Al2N2-heterozyklus und umsetzung eines dialkylaluminiumchlorids mit dilithium-bis(trimethylsilyl)hydrazid. Z. Anorg. Allg. Chem.2000, 626, 2284–2292.Search in Google Scholar
Uhl, W.; Kovert, D.; Zemke, S.; Hepp, A. Unexpected formation of Ga4C2H4 heteroadamantane cages by the reaction of carbon-bridged bis(dichlorogallium) compounds with tert-butyllithium. Organometallics2011, 30, 4736–4741.Search in Google Scholar
Waezsada, S. D.; Rennekamp, C.; Roesky, H. W.; Röpken, C.; Parisini, E. Neue aminometallane des aluminiums und galliums. Z. Anorg. Allg. Chem.1998, 624, 987–990.Search in Google Scholar
Wehmschulte, R. J.; Ellison, J. J.; Ruhlandt-Senge, K.; Power, P. P. New base-free alanes and gallanes: synthesis and characterization of monomeric Mes*2GaH (Mes*=2,4,6-tert-Bu3C6H2), dimeric (Trip2MH)2 (Trip=2,4,6-i-Pr3C6H2; M=Al, Ga), and related sterically crowded arylaluminum species. Inorg. Chem.1994, 33, 6300–6306.Search in Google Scholar
Yandulov, D. V.; Huffman, J. C.; Caulton, K. G. Conventional lithium bases as unconventional sources of methyl anion: facile Me-Si and Me-C bond cleavage in RLi, R2NLi, and BR4- by an electrophilic osmium dihydride. Organometallics2002, 21, 4030–4049.Search in Google Scholar
Yuen, H. F.; Marks, T. J. Synthesis and catalytic properties of phenylene-bridged binuclear organolanthanide complexes. Organometallics2008, 27, 155–158.Search in Google Scholar
©2013 by Walter de Gruyter Berlin Boston
This article is distributed under the terms of the Creative Commons Attribution Non-Commercial License, which permits unrestricted non-commercial use, distribution, and reproduction in any medium, provided the original work is properly cited.
Articles in the same Issue
- Masthead
- Masthead
- Review
- Structural characterization of heterometallic platinum complexes with non-transition metals. Part V: Heterooligo- and heteropolynuclear complexes
- Research Articles
- {Sn10Si(SiMe3)2[Si(SiMe3)3]4}2-: cluster enlargement via degradation of labile ligands
- Unusual reaction pathways of gallium(III) silylamide complexes
- Molecular structures of pyridinethiolato complexes of Sn(II), Sn(IV), Ge(IV), and Si(IV)
- Arylphosphonic acid esters as bridging ligands in coordination polymers of bismuth
- Synthesis of germanium dioxide nanoparticles in benzyl alcohols – a comparison
- X-ray crystal structures of [(Cy2NH2)]3[C6H3(CO2)3]·4H2O and [i-Bu2NH2][(Me3 SnO2C)2C6H3CO2]
- Crystal and molecular structure of bis(di-n-propylammonium) dioxalatodiphenylstannate, [n-Pr2NH2]2[(C2O4)2SnPh2]
- Short Communication
- Synthesis and structural characterization of a dimeric N,N-dimethylformamide solvate of isobutyltin(IV) dichloride hydroxide, [iBuSnCl2(OH)(DMF)]2
Articles in the same Issue
- Masthead
- Masthead
- Review
- Structural characterization of heterometallic platinum complexes with non-transition metals. Part V: Heterooligo- and heteropolynuclear complexes
- Research Articles
- {Sn10Si(SiMe3)2[Si(SiMe3)3]4}2-: cluster enlargement via degradation of labile ligands
- Unusual reaction pathways of gallium(III) silylamide complexes
- Molecular structures of pyridinethiolato complexes of Sn(II), Sn(IV), Ge(IV), and Si(IV)
- Arylphosphonic acid esters as bridging ligands in coordination polymers of bismuth
- Synthesis of germanium dioxide nanoparticles in benzyl alcohols – a comparison
- X-ray crystal structures of [(Cy2NH2)]3[C6H3(CO2)3]·4H2O and [i-Bu2NH2][(Me3 SnO2C)2C6H3CO2]
- Crystal and molecular structure of bis(di-n-propylammonium) dioxalatodiphenylstannate, [n-Pr2NH2]2[(C2O4)2SnPh2]
- Short Communication
- Synthesis and structural characterization of a dimeric N,N-dimethylformamide solvate of isobutyltin(IV) dichloride hydroxide, [iBuSnCl2(OH)(DMF)]2