Developmental scores in offspring of women with subclinical hypothyroidism in pregnancy are affected by gender and thyrotropin cutoff
-
Julie Kristine Guldberg Stryhn
, Mette Skovgaard Væver
, Anne Lisbeth Hoffmann and Peter Haulund Gæde
Abstract
Objectives
Subclinical hypothyroidism (SCH) is defined by elevated thyrotropin (TSH) and normal level of thyroxine (T4). The definition of SCH and the cutoff for TSH normality in pregnancy are debated. In the present study, we assess offspring perinatal outcome, anthropometrics and early development in relation to different TSH levels.
Methods
An observational study with 77 singleton-pregnant women included by thyroid screening before a planned cesarean section. Two TSH-cutoffs (3.0 and 3.7 mIU/L) defined euthyroid and SCH groups, and were applied to evaluate offspring anthropometrics, complication rates (maternal blood loss, Apgar-score, cord arterial-pH, admission to neonatal intensive care unit, perinatal hypoglycemia) and offspring development. Development was evaluated by Bayley-III test in a subsample at age 6 months (n=27) and 15 months (n=22).
Results
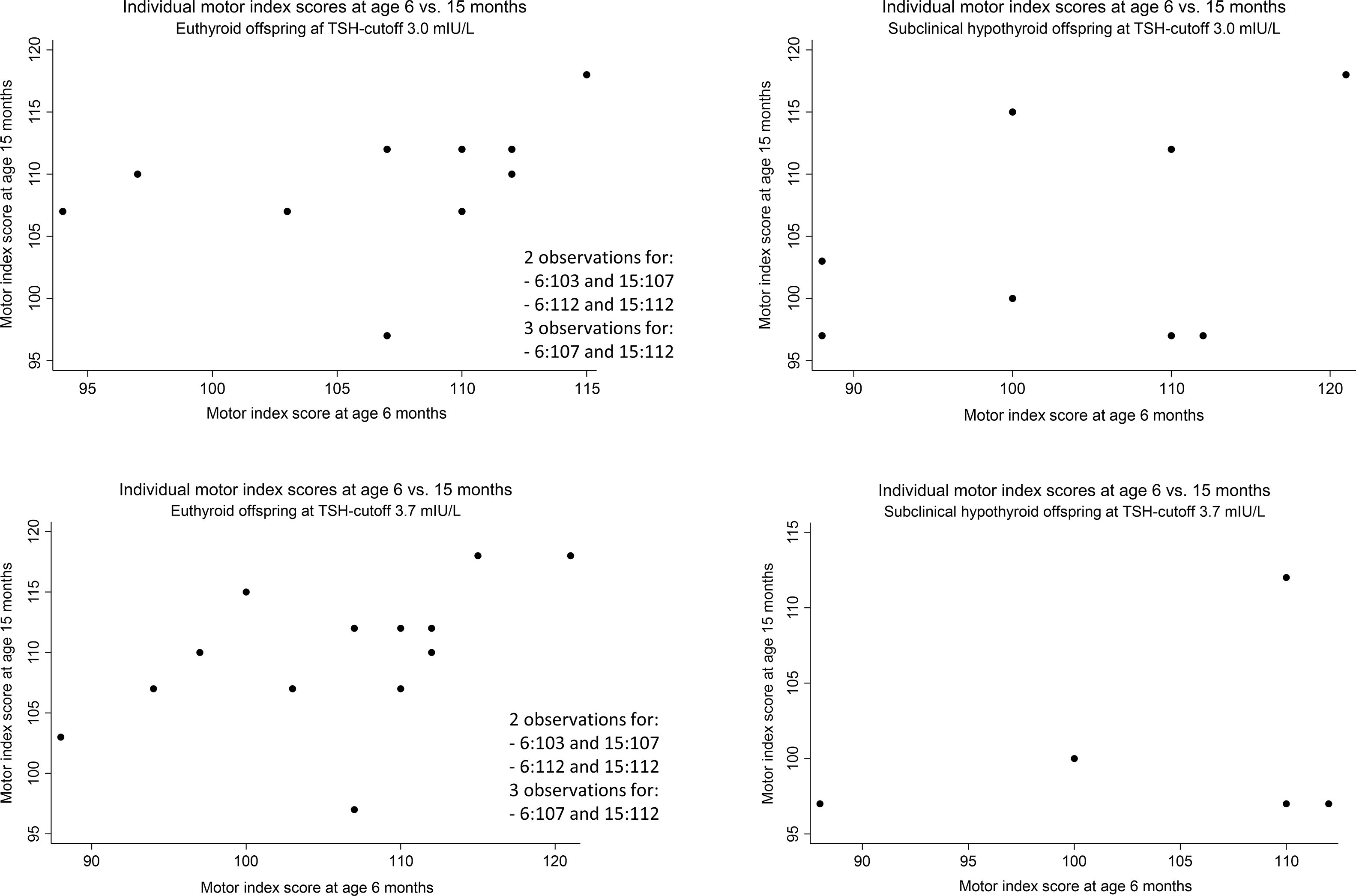
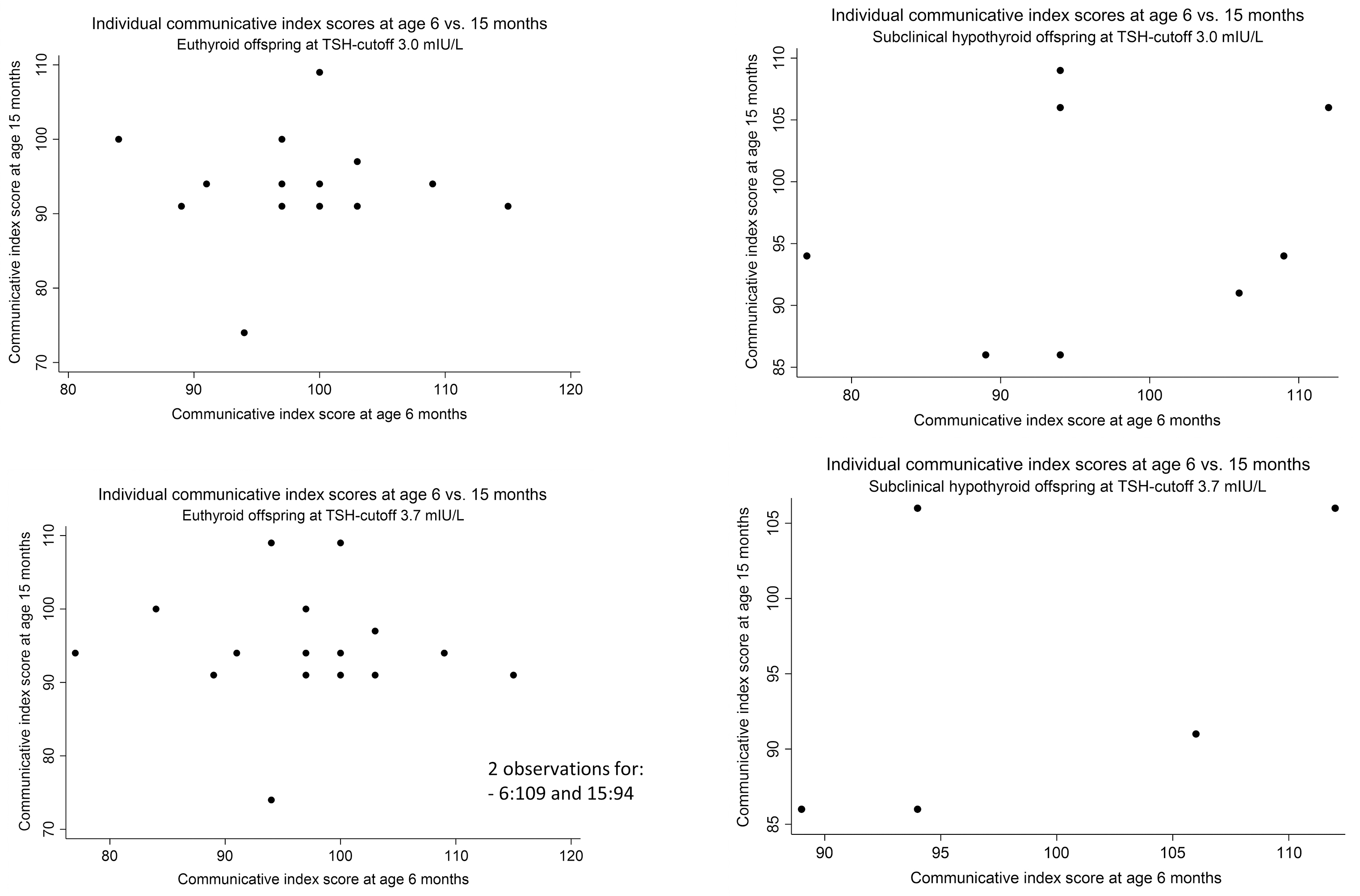
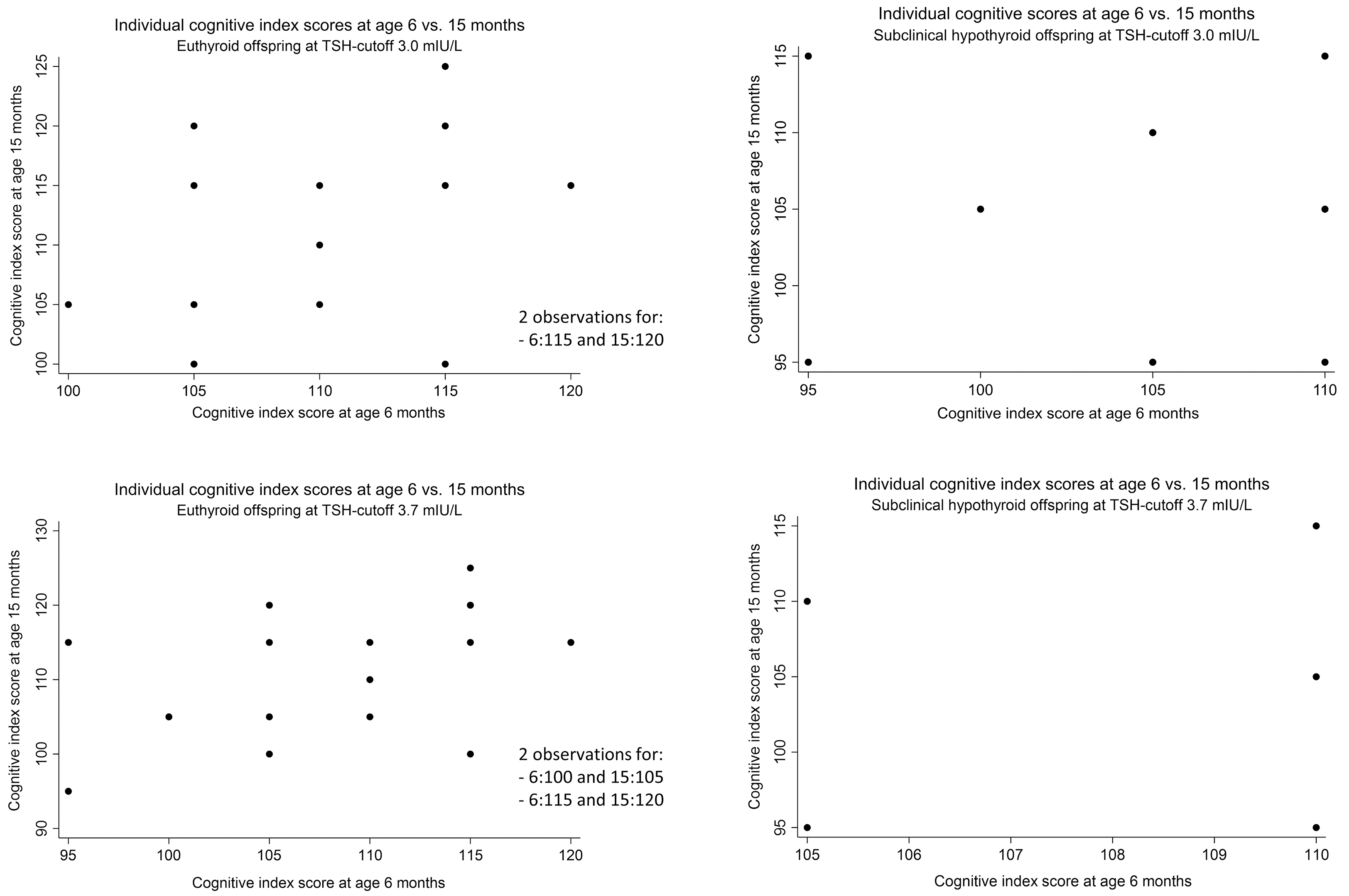
Prevalence of SCH was 31.2 % at TSH-cutoff 3.0 mIU/L, and 16.9 % at TSH-cutoff 3.7 mIU/L. No differences in complications and anthropometrics were observed. In Bayley-III tests, cognitive score was decreased at 6 months (p=0.012) and at 15 months (p=0.056) by applying TSH-cutoff 3.0 mIU/L. At cutoff 3.7 mIU/L, motor score was decreased at 15 months (p=0.020). Male offspring had significantly lower cognitive scores at age 6 and 15 months (TSH-cutoff 3.0 mIU/L), and motor scores at age 15 months (TSH-cutoff 3.7 mIU/L).
Conclusions
The importance of the definition of thyroid normality in pregnancy is underlined. This study suggests that a gender-effect might be present in maternal thyroid disease, and that developmental differences exist if TSH-cutoff is low. Further research is needed.
Acknowledgments
The authors would like to thank retired professor and endocrinologist Jan Kvetny for inspiration and help in launching this project. Also, molecular biologists Palle Lyngsie Pedersen and Jacob Larsen should be acknowledged for their great help in the design and initiation of this study, and Jane Clements should be acknowledged for English proofreading of the manuscript. Finally, we would like to thank all the women and children for their participation, as spending time on child examinations for research is not easy to incorporate in a busy family life.
-
Research ethics: The study was approved by the Regional Ethic Committee of Zealand (SJ-361) and the Danish Data Protection Agency. Adult participants received oral and written information. Both parents had to accept inclusion of the child to the study by written consent. The study conformed to the Declaration of Helsinki. The study was registered in Clinical Trials with identification number NCT02061111.
-
Informed consent: Written and verbal informed consent were obtained from all individuals included in this study. Written and verbal informed consent on behalf of the children were always obtained from both parents.
-
Author contributions: Julie Stryhn handled data collection and all child examinations. Mette Væver, Lisbeth Hoffmann and Peter Gæde supervised the process. Everyone contributed to the manuscript. All authors have accepted responsibility for the entire content of this manuscript and approved its submission.
-
Competing interests: Authors state no conflict of interest.
-
Research funding: NSR Hospitals Research Foundation and Region Zealands Research Foundation have granted this study by sponsoring materials for the project and salary to the main investigator in the main study period. In respect of this paper, the Bayley-III test and items, scoring-booklets, seca 416 infantometer, seca 212 measuring tape, and a video camera were financed by the mentioned research foundations. The Dept. of Gynecology and Obstetrics at Naestved Hospital sponsored the seca 376 baby scale. The Dept. of Gynecology and Obstetrics at Slagelse Hospital has also supported the project by granting leave of absence for writing, to the main investigator. The funding organizations played no role in the study design; in the collection, analysis and interpretation of data; in the writing of the report; or in the decision to submit the report for publication.
References
1. Lazarus, J, Brown, RS, Daumerie, C, Hubalewska-Dydejczyk, A, Negro, R, Vaidya, B. 2014 European thyroid association guidelines for the management of subclinical hypothyroidism in pregnancy and in children. Eur Thyroid J 2014;3:76–94. https://doi.org/10.1159/000362597.Search in Google Scholar PubMed PubMed Central
2. Turunen, S, Vääräsmäki, M, Männistö, T, Hartikainen, AL, Lahesmaa-Korpinen, AM, Gissler, M, et al.. Pregnancy and perinatal outcome among hypothyroid mothers: a population-based cohort study. Thyroid 2019;29:135–41. https://doi.org/10.1089/thy.2018.0311.Search in Google Scholar PubMed
3. Coene, KL, Demir, AY, Broeren, MA, Verschuure, P, Lentjes, EG, Boer, AK. Subclinical hypothyroidism: a ’laboratory-induced’ condition? Eur J Endocrinol 2015;173:499–505. https://doi.org/10.1530/eje-15-0684.Search in Google Scholar PubMed
4. Stagnaro-Green, A, Abalovich, M, Alexander, E, Azizi, F, Mestman, J, Negro, R, et al.. Guidelines of the American thyroid association for the diagnosis and management of thyroid disease during pregnancy and postpartum. Thyroid 2011;21:1081–125. https://doi.org/10.1089/thy.2011.0087.Search in Google Scholar PubMed PubMed Central
5. De Groot, L, Abalovich, M, Alexander, EK, Amino, N, Barbour, L, Cobin, RH, et al.. Management of thyroid dysfunction during pregnancy and postpartum: an Endocrine Society clinical practice guideline. J Clin Endocrinol metabolism 2012;97:2543–65. https://doi.org/10.1210/jc.2011-2803.Search in Google Scholar PubMed
6. Alexander, EK, Pearce, EN, Brent, GA, Brown, RS, Chen, H, Dosiou, C, et al.. 2017 Guidelines of the American thyroid association for the diagnosis and management of thyroid disease during pregnancy and the postpartum. Thyroid 2017;27:315–89 https://doi.org/10.1089/thy.2016.0457.Search in Google Scholar PubMed
7. Thyroid disease in pregnancy: ACOG practice bulletin, number 223. Obstet Gynecol 2020;135:e261–74.10.1097/AOG.0000000000003893Search in Google Scholar PubMed
8. Juul, AB, al e. Society of Danish endocrinologists, National guideline: thyroid disease in pregnancy and infertility; 2018. Available from: https://endocrinologydk/nbv/thyroideasygdomme/thyroideasygdom-ved-graviditet-og-infertiliet/.Search in Google Scholar
9. Grovesen, DLPJ, Pedersen, IB, Nielsen, HS, Feldt-Rasmussen, U, Nielsen, T, Nygård, B, et al.. Society of Danish endocrinologists, National guideline: thyroid disease in pregnancy and infertility; 2022. Available from: https://endocrinology.dk/nbv/thyroideasygdomme/thyroideasygdom-ved-graviditet-og-infertiliet/.Search in Google Scholar
10. Maraka, S, Ospina, NM, O’Keeffe, DT, Espinosa De Ycaza, AE, Gionfriddo, MR, Erwin, PJ, et al.. Subclinical hypothyroidism in pregnancy: a systematic review and meta-analysis. Thyroid 2016;26:580–90. https://doi.org/10.1089/thy.2015.0418.Search in Google Scholar PubMed PubMed Central
11. Thompson, W, Russell, G, Baragwanath, G, Matthews, J, Vaidya, B, Thompson-Coon, J. Maternal thyroid hormone insufficiency during pregnancy and risk of neurodevelopmental disorders in offspring: a systematic review and meta-analysis. Clin Endocrinol 2018;88:575–84. https://doi.org/10.1111/cen.13550.Search in Google Scholar PubMed PubMed Central
12. Liu, Y, Chen, H, Jing, C, Li, F. The association between maternal subclinical hypothyroidism and growth, development, and childhood intelligence: a meta-analysis. J Clin Res Pediatr Endocrinol 2018;10:153–61. https://doi.org/10.4274/jcrpe.4931.Search in Google Scholar PubMed PubMed Central
13. Derakhshan, A, Peeters, RP, Taylor, PN, Bliddal, S, Carty, DM, Meems, M, et al.. Association of maternal thyroid function with birthweight: a systematic review and individual-participant data meta-analysis. Lancet Diabetes Endocrinol 2020;8:501–10. https://doi.org/10.1016/s2213-8587(20)30061-9.Search in Google Scholar PubMed PubMed Central
14. Lazarus, JH, Bestwick, JP, Channon, S, Paradice, R, Maina, A, Rees, R, et al.. Antenatal thyroid screening and childhood cognitive function. N Engl J Med 2012;366:493–501. https://doi.org/10.1056/nejmoa1106104.Search in Google Scholar
15. Casey, BM, Thom, EA, Peaceman, AM, Varner, MW, Sorokin, Y, Hirtz, DG, et al.. Treatment of subclinical hypothyroidism or hypothyroxinemia in pregnancy. N Engl J Med 2017;376:815–25. https://doi.org/10.1056/nejmoa1606205.Search in Google Scholar PubMed PubMed Central
16. Andersen, SL, Olsen, J, Laurberg, P. Foetal programming by maternal thyroid disease. Clin Endocrinol 2015;83:751–8. https://doi.org/10.1111/cen.12744.Search in Google Scholar PubMed
17. de Escobar, GM, Ares, S, Berbel, P, Obregon, MJ, del Rey, FE. The changing role of maternal thyroid hormone in fetal brain development. Semin Perinatol 2008;32:380–6. https://doi.org/10.1053/j.semperi.2008.09.002.Search in Google Scholar PubMed
18. Ding, Z, Liu, Y, Maraka, S, Abdelouahab, N, Huang, HF, Fraser, WD, et al.. Pregnancy and neonatal outcomes with levothyroxine treatment in women with subclinical hypothyroidism based on new diagnostic criteria: a systematic review and meta-analysis. Front Endocrinol 2021;12:797423. https://doi.org/10.3389/fendo.2021.797423.Search in Google Scholar PubMed PubMed Central
19. Osinga, JAJ, Derakhshan, A, Palomaki, GE, Ashoor, G, Männistö, T, Maraka, S, et al.. TSH and FT4 reference intervals in pregnancy: a systematic review and individual participant data meta-analysis. J Clin Endocrinol metabolism 2022;107:2925–33. https://doi.org/10.1210/clinem/dgac425.Search in Google Scholar PubMed PubMed Central
20. Stryhn, JKG, Larsen, J, Pedersen, PL, Feldthusen, AD, Kvetny, J, Gaede, PH. Mitochondrial energetics and contents evaluated by flow cytometry in human maternal and umbilical cord blood. Scand J Clin Lab Invest 2020;80:351–9. https://doi.org/10.1080/00365513.2020.1768584.Search in Google Scholar PubMed
21. Bayley, N. Bayley scales of infant and toddler development, 3rd ed. Danish Manual 2009 ed: Pearson; 2005.10.1037/t14978-000Search in Google Scholar
22. Casey, BM, Dashe, JS, Wells, CE, McIntire, DD, Byrd, W, Leveno, KJ, et al.. Subclinical hypothyroidism and pregnancy outcomes. Obstetrics Gynecol 2005;105:239–45. https://doi.org/10.1097/01.aog.0000152345.99421.22.Search in Google Scholar
23. Ghassabian, A, Bongers-Schokking, JJ, Henrichs, J, Jaddoe, VW, Visser, TJ, Visser, W, et al.. Maternal thyroid function during pregnancy and behavioral problems in the offspring: the generation R study. Pediatr Res 2011;69:454–9. https://doi.org/10.1203/pdr.0b013e3182125b0c.Search in Google Scholar
24. Li, Y, Shan, Z, Teng, W, Yu, X, Li, Y, Fan, C, et al.. Abnormalities of maternal thyroid function during pregnancy affect neuropsychological development of their children at 25-30 months. Clin Endocrinol 2010;72:825–9. https://doi.org/10.1111/j.1365-2265.2009.03743.x.Search in Google Scholar PubMed
25. Murphy, NC, Diviney, MM, Donnelly, JC, Cooley, SM, Kirkham, CH, Foran, AM, et al.. The effect of maternal subclinical hypothyroidism on IQ in 7- to 8-year-old children: a case-control review. Aust N Z J Obstet Gynaecol 2015;55:459–63. https://doi.org/10.1111/ajo.12338.Search in Google Scholar PubMed
26. Korevaar, TI, Muetzel, R, Medici, M, Chaker, L, Jaddoe, VW, de Rijke, YB, et al.. Association of maternal thyroid function during early pregnancy with offspring IQ and brain morphology in childhood: a population-based prospective cohort study. Lancet Diabetes Endocrinol 2016;4:35–43. https://doi.org/10.1016/s2213-8587(15)00327-7.Search in Google Scholar
27. Oken, E, Braverman, LE, Platek, D, Mitchell, ML, Lee, SL, Pearce, EN. Neonatal thyroxine, maternal thyroid function, and child cognition. J Clin Endocrinol metabolism 2009;94:497–503. https://doi.org/10.1210/jc.2008-0936.Search in Google Scholar PubMed PubMed Central
28. Medici, M, Korevaar, TI, Visser, WE, Visser, TJ, Peeters, RP. Thyroid function in pregnancy: what is normal? Clin Chem 2015;61:704–13. https://doi.org/10.1373/clinchem.2014.236646.Search in Google Scholar PubMed
29. Krogh, MT, Væver, MS. Does gender affect Bayley-III scores and test-taking behavior? Infant Behav Dev 2019;57:101352. https://doi.org/10.1016/j.infbeh.2019.101352.Search in Google Scholar PubMed
30. Velikos, K, Soubasi, V, Michalettou, I, Sarafidis, K, Nakas, C, Papadopoulou, V, et al.. Bayley-III scales at 12 months of corrected age in preterm infants: patterns of developmental performance and correlations to environmental and biological influences. Res Dev Disabil 2015;45–46:110–9. https://doi.org/10.1016/j.ridd.2015.07.014.Search in Google Scholar PubMed
31. Månsson, J, Fellman, V, Stjernqvist, K. Extremely preterm birth affects boys more and socio-economic and neonatal variables pose sex-specific risks. Acta Paediatr 2015;104:514–21. https://doi.org/10.1111/apa.12937.Search in Google Scholar PubMed
32. Pakkila, F, Mannisto, T, Surcel, HM, Ruokonen, A, Bloigu, A, Pouta, A, et al.. Maternal thyroid dysfunction during pregnancy and thyroid function of her child in adolescence. J Clin Endocrinol metabolism 2013;98:965–72. https://doi.org/10.1210/jc.2012-2028.Search in Google Scholar PubMed PubMed Central
33. Laurberg, P, Andersen, SL, Hindersson, P, Nohr, EA, Olsen, J. Dynamics and predictors of serum TSH and fT4 reference limits in early pregnancy: a study within the Danish national birth cohort. J Clin Endocrinol metabolism 2016;101:2484–92. https://doi.org/10.1210/jc.2016-1387.Search in Google Scholar PubMed
34. Korevaar, TI, Medici, M, de Rijke, YB, Visser, W, de Muinck Keizer-Schrama, SM, Jaddoe, VW, et al.. Ethnic differences in maternal thyroid parameters during pregnancy: the generation R study. J Clin Endocrinol metabolism 2013;98:3678–86. https://doi.org/10.1210/jc.2013-2005.Search in Google Scholar PubMed
35. La’ulu, SL, Roberts, WL. Ethnic differences in first-trimester thyroid reference intervals. Clin Chem 2011;57:913–5. https://doi.org/10.1373/clinchem.2010.161240.Search in Google Scholar PubMed
36. Barhanovic, NG, Antunovic, T, Kavaric, S, Djogo, A, Spasojevic, VK. Age and assay related changes of laboratory thyroid function tests in the reference female population. J Med Biochem 2019;38:22–32. https://doi.org/10.2478/jomb-2018-0020.Search in Google Scholar PubMed PubMed Central
37. Ittermann, T, Khattak, RM, Nauck, M, Cordova, CM, Volzke, H. Shift of the TSH reference range with improved iodine supply in Northeast Germany. Eur J Endocrinol 2015;172:261–7. https://doi.org/10.1530/eje-14-0898.Search in Google Scholar PubMed
38. Kirkegaard-Klitbo, DM, Perslev, K, Andersen, SL, Perrild, H, Knudsen, N, Weber, T, et al.. Iodine deficiency in pregnancy is prevalent in vulnerable groups in Denmark. Dan Med J 2016;63.Search in Google Scholar
39. Laurberg, P, Cerqueira, C, Ovesen, L, Rasmussen, LB, Perrild, H, Andersen, S, et al.. Iodine intake as a determinant of thyroid disorders in populations. Best Pract Res Clin Endocrinol metabolism 2010;24:13–27. https://doi.org/10.1016/j.beem.2009.08.013.Search in Google Scholar PubMed
40. Springer, D, Bartos, V, Zima, T. Reference intervals for thyroid markers in early pregnancy determined by 7 different analytical systems. Scand J Clin Lab Invest 2014;74:95–101. https://doi.org/10.3109/00365513.2013.860617.Search in Google Scholar PubMed
41. Barth, JH, Luvai, A, Jassam, N, Mbagaya, W, Kilpatrick, ES, Narayanan, D, et al.. Comparison of method-related reference intervals for thyroid hormones: studies from a prospective reference population and a literature review. Ann Clin Biochem 2018;55:107–12. https://doi.org/10.1177/0004563217691549.Search in Google Scholar PubMed
42. Bliddal, S, Feldt-Rasmussen, U, Boas, M, Faber, J, Juul, A, Larsen, T, et al.. Gestational age-specific reference ranges from different laboratories misclassify pregnant women’s thyroid status: comparison of two longitudinal prospective cohort studies. Eur J Endocrinol 2014;170:329–39. https://doi.org/10.1530/eje-13-0672.Search in Google Scholar
Supplementary Material
This article contains supplementary material (https://doi.org/10.1515/jpem-2023-0197).
© 2023 Walter de Gruyter GmbH, Berlin/Boston
Articles in the same Issue
- Frontmatter
- Review
- Clinical heterogeneity and therapeutic options for idiopathic infantile hypercalcemia caused by CYP24A1 pathogenic variant
- Original Articles
- Growth hormone use in pediatric inflammatory bowel disease
- Extremely and very preterm children who were born appropriate for gestational age show no differences in cortisol concentrations or diurnal rhythms compared to full-term children
- A prospective comparison study of subcutaneous and intramuscular testosterone injections in transgender male adolescents
- Excess body weight and dyslipidemia at well-child visit
- Body mass index evolution and ovarian function in adolescent girls who received GnRH agonist treatment for central precocious puberty or early and fast puberty
- Assessment of pubertal onset and disorders of puberty in Indian children and youth with type-1 diabetes
- A different approach to the evaluation of the genotype-phenotype relationship in biotinidase deficiency: repeated measurement of biotinidase enzyme activity
- Expected vs. perceived effects of gender-affirming hormone therapy among transmasculine adolescents
- Developmental scores in offspring of women with subclinical hypothyroidism in pregnancy are affected by gender and thyrotropin cutoff
- Assessment of the diagnosis, treatment, and follow-up of a group of Turkish pediatric glycogen storage disease type 1b patients with varying clinical presentations and a novel mutation
- IGAm: A novel index predicting long-term survival in patients with early-diagnosed inherited metabolic disorders
- Case Report
- Persistent hypercalcemia mimicking hypophosphatasia after discontinuation of a ketogenic diet: a case report
Articles in the same Issue
- Frontmatter
- Review
- Clinical heterogeneity and therapeutic options for idiopathic infantile hypercalcemia caused by CYP24A1 pathogenic variant
- Original Articles
- Growth hormone use in pediatric inflammatory bowel disease
- Extremely and very preterm children who were born appropriate for gestational age show no differences in cortisol concentrations or diurnal rhythms compared to full-term children
- A prospective comparison study of subcutaneous and intramuscular testosterone injections in transgender male adolescents
- Excess body weight and dyslipidemia at well-child visit
- Body mass index evolution and ovarian function in adolescent girls who received GnRH agonist treatment for central precocious puberty or early and fast puberty
- Assessment of pubertal onset and disorders of puberty in Indian children and youth with type-1 diabetes
- A different approach to the evaluation of the genotype-phenotype relationship in biotinidase deficiency: repeated measurement of biotinidase enzyme activity
- Expected vs. perceived effects of gender-affirming hormone therapy among transmasculine adolescents
- Developmental scores in offspring of women with subclinical hypothyroidism in pregnancy are affected by gender and thyrotropin cutoff
- Assessment of the diagnosis, treatment, and follow-up of a group of Turkish pediatric glycogen storage disease type 1b patients with varying clinical presentations and a novel mutation
- IGAm: A novel index predicting long-term survival in patients with early-diagnosed inherited metabolic disorders
- Case Report
- Persistent hypercalcemia mimicking hypophosphatasia after discontinuation of a ketogenic diet: a case report