Abstract
This article presents a novel control approach, hybrid neuro-fuzzy (HNF), for the load frequency control (LFC) of a four-area interconnected power system. The advantage of this controller is that it can handle nonlinearities, and at the same time, it is faster than other existing controllers. The effectiveness of the proposed controller in increasing the damping of local and inter-area modes of oscillation is demonstrated in a four-area interconnected power system. Areas 1 and 2 consist of a thermal reheat power plant, whereas Areas 3 and 4 consist of a hydropower plant. Performance evaluation is carried out by using fuzzy, artificial neural network (ANN), adaptive neuro-fuzzy inference system, and conventional proportional and integral (PI) control approaches. Four different models with different controllers are developed and simulated, and performance evaluations are carried out with said controllers. The result shows that the intelligent HNF controller has improved dynamic response and is at the same time faster than ANN, fuzzy, and conventional PI controllers.
1 Introduction
Many developments have taken place in the structure of the power system since its inception. All over the world, most of the power utilities have been operating in interconnected fashion due to numerous economical, technical, and environmental considerations. The power transmission network plays an important role in transporting electrical power in bulk from one power pool to other and to distantly located load centers. The main objective of automatic generation control (AGC) is to balance the total system generation against system load losses so that the desired frequency and power interchange with the neighboring system is maintained. Any mismatch between generation and demand causes the system frequency to deviate from the nominal value. This high-frequency deviation may lead to partial or complete system collapse. AGC is comprises an interconnected load frequency control (LFC) loop and an automatic voltage regulator (AVR) loop power systems, which regulate power flows and frequency. In a multi-area interconnected power system, the objectives of the LFC are to provide generator load control via frequency zero steady-state errors of frequency deviations and to provide optimal transient behavior [7]. LFC is being used as part of the AGC scheme in electric power systems for several years now [5, 14, 16, 34].
Literature survey shows that most of the earlier works in the area of LFC pertain to interconnected thermal system and relatively lesser attention has been devoted to the LFC of multiarea interconnected hydro-thermal system [2]. A control strategy that not only maintains a constant frequency and desired tie-power flow but also achieves zero steady-state error and inadvertent interchange is needed. Among the various types of load frequency controllers, the most widely used is the conventional proportional and integral (PI) controller. The PI and proportional integral and derivative (PID) controllers are very simple to implement and gives better dynamic response, but their performance deteriorates when the complexity in the system increases due to disturbances such as load variation boiler dynamics [2, 33]. Therefore, there is need for a controller that can overcome this problem, and artificial intelligence controllers such fuzzy and neural control approaches are more suitable in this respect. The fuzzy system has been applied to the LFC problems with rather promising results [1, 8, 17, 18, 21–23]. The salient feature of these techniques is that they provide a model-free description of control systems and do not require model identification [11, 22, 24, 30]. The artificial neural network (ANN) has been applied by Demiroren et al. [4], Shayeghi and Shayanfar [29], and Panna-Ram [24]. The results of ANN control approaches are better than fuzzy and conventional PI controllers, but it has some limitations in the training of network data. Farhangi et al. [6] presented a load frequency control of interconnected power system using emotional learning-based intelligent controller, whereas Khuntia and Panda [13] presented a simulation study for the AGC of a multiarea power system using the neuro-fuzzy inference system approach and Singh Parmar et al. [31] presented the LFC of a realistic power system with multisource power generation.
In this article, an attempt has been made to apply hybrid a neuro-fuzzy (HNF) controller for the automatic LFC for a four-area interconnected power system. A class of an adaptive network that is functionally equivalent to a fuzzy inference system has been proposed. The proposed architecture is referred to as the adaptive neuro-fuzzy inference system (ANFIS). The performance of the HNF controller is compared with fuzzy, ANN, and conventional PI controllers to show its superiority. The results of the ANFIS controller are compared with the published results of Farhangi et al. [6], Khuntia and Panda [13], and Singh Parmar et al. [31], and then the dynamic performance obtained with the above control strategy, i.e., ANFIS-based controller, is analyzed.
2 Power System Investigated
An interconnected power system consists of many control areas connected by tie lines. A power system has complex and multivariable structures. In addition, they consist of many different controls blocks. Most of them are nonlinear time variant and/or nonminimum phase systems. All the generators are supposed to constitute a coherent group in each control area. The power system experiment shows that each area needs to control its system frequency and tie-line power flow. Frequency control is accomplished by two different control actions in an interconnected four-area power system: primary speed control and supplementary or secondary control actions. The primary speed control makes the initial coarse readjustment of the frequency. Through its action, the various generators in the control area track a load variation and share it in proportion to their capacities. The speed of the response is limited only by the natural time lags of the turbine and the system itself. The secondary loops take over the fine adjustment in frequency by resetting the frequency error to zero through integral action. The relationship between speed and load can be adjusted by changing a load reference set point input. In practice, the adjustment of the load reference set point is accomplished by operating the speed changer motor. The output of each unit at a given system frequency can be varied only by changing its load reference, which, in effect, moves the speed droop characteristics up and down. This control is considerably slower and goes into action only when the primary control has done its job. For power and load sharing among generators connected to the system, speed regulation or droop characteristic must be provided [19]. The speed droop or regulation characteristic may be obtained by intelligent controllers.
In this article, the performance evaluation based on ANN, fuzzy, and ANFIS control techniques for a four-area interconnected thermal-hydro power plant is proposed. The sliding concept arises due to a variable structure concept. The objective of VSC has been greatly extended from stabilization to other control functions. The most distinguished feature of VSC is its ability to result in very robust control systems and external disturbances [10, 15]. The four-area hydro-thermal power system interconnected with tie lines is shown in Figure 1.

Model of a Four-Area Hydro-Thermal Reheat Power System Interconnected by Tie Lines.
The aims of the control areas are twofold:
Each control area should as much as possible supply its own load demand, and the power transfer through tie line should be on mutual agreement.
Each control area should be controllable by the frequency control [25].
In an isolated control area case, the incremental power (ΔPG – ΔPD) was accounted for by the rate of increase of stored kinetic energy and increase in area load caused by the increase in frequency. The four-area hydro-thermal reheat power system simulated model is shown in Figure 1.
The stat variable for each of areas is ΔPi (i = 1, …, 4), and the state space equations related to the variables are different for each area.

A tie-line bias control is used to eliminate steady-state errors in frequency in a tie-line power flow. This states that each control area must contribute to frequency control in addition to their own net interchange.
Let ACE1 = area control error of area 1,
ACE2 = area control error of area 2,
ACE3 = area control error of area 3
ACE4 = area control error of area 4.
In this control, ACE1, ACE2, and ACE3 are made linear through the combination of frequency and tie-line power error [14].

where the constants b1, b2, b3, and b4 are the area frequency bias of areas 1–4, respectively, and ΔPR1, ΔPR2, ΔPR3, and ΔPR4 are the mode integrals of ACE1, ACE2, ACE3, and ACE4, respectively. The control methodology used is discussed in the following sections.
3 Automatic Controller
The task of load frequency controller is to generate a control signal Ui that maintains system frequency and tie-line interchange power at predetermined values. The PI control scheme is shown in Figure 2[3].

Conventional PI Controller Installed on the ith area.

Taking the derivative of Eq. (9) yields

4 Intelligent Control Approach
4.1 Artificial Neural Network Controller
ANN is an information-processing system where the element called neurons processes the information. The signals are transmitted by connecting links. The links process an associated weight that is multiplied along with the incoming signal (net input) for any typical neural net. The output signal is obtained by applying activations to the net input. The field of neural networks is very broad [9, 20].
A neural network architecture with a multilayer perceptron as the unknown function to be approximated is shown in Figure 3. The parameters of the network are adjusted so that it produces the same response as the unknown function if the same input is applied to both systems. The unknown function could also represent the inverse of a system being controlled; in this case, the neural network can be used to implement the controller [9]. Feed-forward networks often have one or more hidden layers of sigmoid neurons followed by an output layer of linear neurons. Multiple layers of neurons with nonlinear transfer functions allow the network to learn nonlinear and linear relationships between input and output vectors. The linear output layer lets the network produce values outside the –1 to 1 range. Meanwhile, if it is required to constrain the outputs of a network (such as between 0 and 1), then the output layer should use a sigmoid transfer function (such as logsig). For multiple-layer networks in neuron model and network architectures, the number of layers is used to determine the superscript on the weight matrices. This network can be used as a general function approximator as shown in Figure 3.

Neural Networks as Function Approximator.
4.2 Nonlinear Autoregressive Moving Average L2 Controller
The ANN controller architecture used here is a nonlinear autoregressive model reference adaptive controller. This controller requires the least computation of the three architectures. This controller is simply a rearrangement of the neural network plant model, which is trained offline in batch form. It consists of a reference, a plant output, and a control signal. The controller is adaptively trained to force the plant output to track a reference model output. The model network is used to predict the effect of controller changes on plant output, which allows the updating of controller parameters. In the study, the frequency deviations, tie-line power deviation, and load perturbation of the area are chosen as the neural network controller inputs [9]. The outputs of the neural network are the control signals, which are applied to the governors in the area. The data required for the ANN controller training is obtained from designing the reference model neural network and applying a step response load disturbance to the power system. After a series of trial and error and modifications, the ANN architecture provides the best performance. It is a three-layer perceptron with 5 inputs, 13 neurons in the hidden layer, and 1 output in the ANN controller. In addition, in the ANN plant model, it is a three-layer perceptron with 4 inputs, 10 neurons in the hidden layer, and 1 output. The activation function of the networks neurons is the trainlm function; 300 training samples have been taken to train 300 epochs. The proposed network has been trained using learning performance. The learning algorithms cause an adjustment in the weights, so that the controlled system gives the desired response [4].
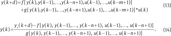
One standard model that is used to represent general discrete time nonlinear systems is the nonlinear autoregressive moving average model:

where u(k) is the system input and y(k) is the system output. For the identification phase, the neural network can be trained to approximate the nonlinear function N. This is the identification procedure used for the neural network predictive controller. If the system output is required to follow a reference trajectory y(k + d) = yr(k + d), the next step is to develop a nonlinear controller of the form

The problem with this controller is that if it is required to train a neural network to create function G in order to minimize mean square error, a dynamic back-propagation is needed. This model is in companion form, where the next controller input u(k) is not contained inside the nonlinearity. The advantage of this form is that it can be solved for the control input that causes the system output to follow the reference y(k + d) = yr(k + d). The resulting controller would have the form

4.3 Fuzzy Logic Controller
Fuzzy logic is a thinking process or problem-solving control methodology incorporated in control system engineering to control systems when inputs are either imprecise or the mathematical models are not present at all. Fuzzy logic can process a reasonable number of inputs, but system complexity increases with the increase in the number of inputs and outputs; therefore, distributed processors would probably be easier to implement. Fuzzification is the process of turning a crisp or precise quantity into a fuzzy one [28]. They carry considerable uncertainty. If the form of uncertainty arises because of imprecision, ambiguity, or vagueness, then the variable is probably fuzzy and can be represented by a membership function (MF).
Defuzzification is the conversion of a fuzzy quantity to a crisp quantity. There are many methods of defuzzification, of which the smallest of the maximum method is applied in making a fuzzy inference system. The fuzzy logic control (FLC) consists of three main stages: namely the fuzzification interface, the inference rules engine (Table 1), and the defuzzification interface[8, 18]. For LFC, the process operator is assumed to respond to variables error (e) and change of error (ce). The Momdani model is used to investigate the LFC.
FUZZY Inference Rule for Fuzzy Logic Controller.
| Input | e(k) | |||||||
|---|---|---|---|---|---|---|---|---|
| ce(k) | NB | NM | NS | ZO | PS | PM | PB | |
| NB | PB | PB | PB | PB | PM | PM | PS | |
| NM | PB | PM | PM | PM | PS | PS | PS | |
| NS | PM | PM | PS | PS | PS | PS | ZO | |
| ZO | NS | NS | NS | ZO | PS | PS | PS | |
| PS | ZO | NS | NS | NS | NS | NM | NM | |
| PM | NS | NS | NM | NM | NM | NB | NB | |
| PB | NS | NM | NB | NB | NB | NB | NB | |
The final output of the model is the aggregation of outputs from all rules using the max operator:

Output C is a fuzzy set that can be defuzzified into a crisp output [28]. The fuzzy logic controller with error and change in error is shown in Figure 4.

Model of Fuzzy Logic Controller.
The variable error is equal to the real power system frequency deviation (Δf). The frequency deviation Δf is the difference between the nominal or scheduled power system frequency (fN) and the real power system frequency (f). Taking the scaling gains into account, the global function of the FLC output signal can be written as

where ne and nce are the error and the change in error scaling gains, respectively, and F is a fuzzy nonlinear function. FLC is dependent on its inputs’ scaling gains [8]. A label set corresponding to the linguistic variables of the input control signals, e(k), and ce(k), with a sampling time of 0.01 s is given. Seven triangular MFs, namely negative big (NB), negative medium (NM), negative small (NS), zero (ZO), positive small (PS), positive medium (PM), and positive big (PB), were examined. The range of input (error in frequency deviation and change in frequency deviation), i.e., universe of discourse, is –0.25 to 0.25 and –0.01 to 0.01, and there are 49 rules.
4.4 Adaptive Neuro-Fuzzy Inference System
The ANFIS controller combines the advantages of fuzzy controller as well as the quick response and the adaptable nature of ANN. Fundamentally, an ANFIS can take a fuzzy inference system (FIS) and tune it with a back-propagation algorithm based on a collection of input–output data. This allows the fuzzy systems to learn. A network structure facilitates the computation of the gradient vector for parameters in a fuzzy inference system. Because ANFIS is much more complex than the fuzzy inference systems discussed so far, the available fuzzy inference system options cannot be used. Specifically, ANFIS only supports Sugeno systems subject to the following constraints:
First-order Sugeno-type systems
A single-output derived by weighted average defuzzification,
Unity weight for each rule
AND method: prod
OR method: max
Implication method: prod
Aggregation method: max
Meanwhile, users can provide ANFIS with their own number of MFs (numMFs) for both the input and the output of the fuzzy controller, the number of training and checking data sets (numPts), the type of MF (mfType), and the optimization criterion for reducing the error measure (usually defined by the number of the squared difference between the actual and the linearized N curve) [13, 23].
4.4.1 Sugeno Model
Assume that the fuzzy inference system has two inputs x and y and one output z. The first-order Sugeno fuzzy model has the following rules (Figure 5):


Rules of Sugeno Model.
The best advantage of the neuro-fuzzy design method, compared with the fuzzy design method, is the small number of input and output MFs (usually 2–4) needed, which implies the same maximum number of rules. Thus, the rule base and the occupied memory become small. The ANFIS architecture is shown in Figure 6.

Architecture of ANFIS.
From the proposed ANFIS architecture, it is observed that given the values of the premise parameters, the overall output can be expressed as a linear combination of the consequent parameters. More precisely, output f in this figure can be rewritten as

where wi is the normalized firing strength from layer 3 and pi, qi, and ri are the parameter set of this node. These are referred to as consequent parameters. The ANFIS architecture has following three layers of operation:
fuzzification layer,
fuzzy rule layer, and
defuzzification layer [12].
An adaptive network is a superset of all kinds of feed-forward neural networks with supervised learning capability. An adaptive network, as its name implies, is a network structure consisting of nodes and directional link through which the nodes are connected. Moreover, a part or all of the nodes are adaptive, which means their outputs depend on parameter(s) pertaining to these nodes and the learning rule specifies how these parameters should be changed to minimize a prescribed error measure. Because the basic learning rule is based on the gradient method, which is notorious for its slowness and tendency to become trapped in local minima, a hybrid learning rule, which can speed up the learning process substantially, is proposed [12].
4.4.2 Steps for Designing the ANFIS Controller
The basic steps for designing the ANFIS controller in MATLAB/Simulink are outlined:
Draw the Simulink model with a fuzzy controller and simulate it with the given rule base.
Collecting training data while simulating the model with the fuzzy controller.
The two inputs, i.e., ACE and d(ACE)/dt, and the output signal gives the training data.
Use ANFISEDIT to create the ANFIS FIS file.
Load the training data collected in Step (ii) and generate the FIS with gbell MFs.
Train the collected data with the generated FIS up to a particular number of epochs.
Save the FIS file, which is the neuro-fuzzy-enhanced ANFIS file.
4.5 Training and Checking: ANFIS
The number of epoch is determined according to the above-mentioned parameters and the excepted error measure fixed by the user. The training and checking data are the following: number of nodes, 53, number of linear parameters, 16; number of nonlinear parameters, 24; total number of epoch, 40; number of training data pairs, 51; number of checking data pairs, 51; number of fuzzy rules, 16. Errors ranged from 0.000527979 to 0.00470353 and from 0.000611368 to 0.00492588. The gbell MFs is taken. The frequency deviation Δf is the difference between the nominal or scheduled power system frequency (fN) and the real power system frequency (f).
5 Result And Discussion
An HNF AGC is designed using the procedure presented earlier. The proposed scheme utilizes the Sugeno-type fuzzy inference system controller, with the parameters inside the fuzzy inference system decided by the neural network back-propagation method. The ANFIS is designed by taking ACE and rate of change of ACE as input. The parameters used for simulation are given in the appendix. Four types of Simulink models are developed using PI, fuzzy, ANN, and ANFIS controllers to obtain better dynamic behavior. The frequency deviation plots for thermal and hydro cases are obtained separately for the 1% step-load change in system frequency and tie-line power as shown in Figures 7–21, respectively.

Change in Frequency (Hydro-Thermal Plant): With PI Controller.

Change in Tie-Line Power (Hydro-Thermal Plant): With PI Controller.

Change in Tie-Line Power (Thermal-Hydro Plant): With PI Controller.

Change in Frequency (Thermal Plant): With Fuzzy Controller.

Change in Frequency (Hydro Plant): With Fuzzy Controller.

Change in Tie-Line Power (Thermal Plant): With Fuzzy Controller.

Change in Tie-Line Power (Hydro Plant): With Fuzzy Controller.

Change in Frequency (Thermal Plant): With ANN Controller.

Change in Frequency (Hydro Plant): With ANN Controller.

Change in Tie-Line Power (Hydro-Thermal Plant): With ANN Controller.

Change in Tie-Line Power (Thermal-Hydro Plant): With ANN Controller.

Change in Frequency (Thermal Plant): With ANFIS Controller.

Change in Frequency (Hydro Plant): With ANFIS Controller.

Change in Tie-Line Power (Hydro Plant): With ANFIS Controller.

Change in Tie-Line Power (Thermal Plant): With ANFIS Controller.
The model developed with the PI controller has been simulated, and the responses obtained, shown in Figures 7–9 reveal that the PI controller reduces steady-state error in frequency deviation and maximum peak overshoot. The settling time in case of frequency deviation is limited to 64 s for the thermal plant and 70 s for the hydro plant. The deviation in the tie-line power is also limited to 70 s.
Figures 10–13 reveal that the fuzzy controller further reduces the steady-state error in frequency deviation and maximum peak overshoot. The settling time in case of frequency deviation is limited to 45 s for the thermal plant and 48 s for the hydro plant. The deviation in the tie-line power is also limited to 45 s. The settling time and peak overshoot are much lesser than the in the PI controller.
A 1% step-load perturbation is considered in an area and simultaneously in all the areas. Figures 14–17 reveal that the ANN controller further reduces the steady-state error in frequency deviation and maximum peak overshoot. The settling time in case of frequency deviation is limited to 40 s for both thermal and hydro plants. The deviation in the tie-line power is also limited to 30 s. The settling time and peak overshoot are much lesser than in the PI and fuzzy controllers.
The model developed with the ANFIS controller has been simulated, and the responses obtained above in Figures 18–21 reveal that the ANFIS controller further reduces the steady-state error in frequency deviation and maximum peak overshoot. The settling time in case of frequency deviation is limited to 18 s for the thermal plant and 17 s for hydro plant. The deviation in the tie-line power is also limited to 15 s for the thermal plant and 27 s for the hydro plant. The settling time and peak overshoot are much lesser than the PI, fuzzy, and ANN controllers.
The system settles very quickly, the number of oscillation is also reduced, and the overshoot of frequency and tie-line power are within the tolerance limits, whereas in the case of PI, fuzzy, and ANN, the settling time is longer and the system settles after a large number of sustained oscillations.
The above simulation results shows that the proposed ANFIS-based controllers track the load changes and achieve good robust performance than conventional PI and other intelligent control (fuzzy and ANN) approach, with 1% load variation in the power system. The conventional PI and intelligent (fuzzy and neuro-fuzzy) control approach, with the inclusion of slider gain, provides a better dynamic performance and reduces the steady-state error and oscillation of the frequency deviation and the tie-line power flow in each area of the hydro-thermal combination four-area interconnected power system. The settling time and maximum peak overshoot in the transient condition for both changes in system frequency and change in tie-line power are given in Tables 2 and 3, respectively.
Comparative Study of Settling Time.
| Controllers | Δf (s) | ΔPtie (s) | ||||
|---|---|---|---|---|---|---|
| Area 1 | Area 2 | Area 3 | Area 4 | Thermal-thermal | Hydro-thermal | |
| PI | 64 | 64 | 70 | 65 | 65 | 70 |
| Fuzzy | 45 | 45 | 45 | 48 | 40 | 45 |
| ANN | 40 | 40 | 40 | 40 | 30 | 35 |
| ANFIS | 18 | 18 | 17 | 17 | 15 | 27 |
Comparative Study of Peak Overshoots.
| Controllers | Δf (Hz) | ΔPtie (pu) | ||||
|---|---|---|---|---|---|---|
| Area 1 | Area 2 | Area 3 | Area 4 | Thermal-thermal | Hydro-thermal | |
| PI | –0.055 | –0.055 | –0.067 | 0.066 | –0.0145 | –0.05 |
| Fuzzy | –0.059 | –0.06 | –0.068 | –0.065 | 0.005 | –0.012 |
| ANN | –0.038 | –0.038 | –0.055 | –0.051 | –0.006 | –0.013 |
| ANFIS | –0.061 | –0.061 | –0.054 | –0.054 | –0.052 | –0.045 |
The 1% step-load perturbation is considered in an area and simultaneously in all the areas, which is in fact a novel study. Tables 2 and 3 shows that a large number of oscillations are found and the settling time is longer when conventional PI controller is used. When the fuzzy controller is applied for the same condition, the settling time is reduced, and it is further reduced when the ANN controller is used for the same condition and disturbances to control the deviation in load frequency and tie-line power. However, in contrast, the ANFIS controller results are found to be more satisfactory, having a small overshoot, and also, the system settles very early in each area irrespective of the disturbance location as compared with conventional PI, fuzzy, and ANN controllers. The simulation results of Farhangi et al. [6], Khuntia and Panda [13], and Singh Parmar et al. [31], show that their system settles after a large number of sustained oscillation and having a large peak overshoot of frequency as well as tie-line power as compared with our proposed method even in a four-area hydro-thermal complex system. Therefore, the comparative study of all kind of controller reveals the superiority of the HNF ANFIS controller. The settling time is shorter in the frequency deviation and tie-line power deviation as well because ANFIS combines the advantages of fuzzy as well as ANN, and it provides a good inference system and hybrid learning rules.
6 Conclusion
In this article, the AGC of a four-area interconnected hydro-thermal power system is investigated. To demonstrate the effectiveness of the proposed method, a control strategy based on neuro-fuzzy, ANN, and conventional PI technique is applied. The performance of the proposed controller is evaluated through simulation. The results are given in Tables 2 and 3. Analysis reveals that the proposed technique gives good results, and this method reduces peak deviation of frequencies, tie-line power, time error, and inadvertent interchange. It can be concluded that the ANFIS controller with sliding gain provides a better settling performance than the fuzzy, ANN, and conventional PI controllers. Therefore, the intelligent control approach using the neuro-fuzzy concept is more accurate and faster than the fuzzy, ANN, and PI control scheme even for a complex dynamic system. The superiority of the ANFIS controller is evident from the simulation results for all types of perturbation location. Moreover, the ANFIS controller is found to be more suitable in the present-day power system where complexity is gradually increasing daily.
Nomenclature
| I | Subscript referring to area (i = 1, …, 4) |
| F | Nominal system frequency |
| Hi | Inertia constant |
| ΔPDi | Incremental load change |
| ΔPgi | Incremental generation change |
![]() | |
| Tg | Steam governor time constant |
| Kr | Reheat constant |
| Tr | Reheat time constant |
| Tt | Steam turbine time constant |
| Ri | Governor speed regulation parameter |
| Bi | Frequency bias constant |
| Tpi | 2Hi/fDi |
| Kpi | 1/Di |
| Kt | Feedback gain of FLC |
| Tw | Water starting time |
| ACE | Area control error |
| P | Power |
| E | Generated voltage |
| V | Terminal voltage |
| δ | Angle of voltage (V) |
| Δδ | Change in angle |
| ΔP | Change in power |
| Δf | Change in supply frequency |
| ΔPc | Speed changer position |
| R | Speed regulation of the governor |
| KH | Gain of speed governor |
| TH | Time constant of speed governor |
| Kp | 1/B = power system gain |
| Tp | 2H/B f0 = power system time constant |
Appendix
| Parameters |
| f = 50 Hz, R1 = R2 = R3 = R4 = 2.4 Hz/per unit (pu) MW |
| Tgi = 0.08 s |
| Tpi = 20 s |
| Ptie,max = 200 MW |
| Tr = 10 s, Kr = 0.5 |
| H1 = H2 = H3 = H4 = 5 s |
| Pri = 2000 MW, Tti = 0.3 s |
| Kp1 = Kp2 = Kp3 = Kp4 = 120 Hz pu/MW |
| Kd = 4.0 |
| Ki = 5.0, Tw = 1.0 s |
| Di = 8.33×10–3 pu MW/Hz |
| B1 = B2 = B3 = B4 = 0.425 pu MW/Hz |
| ai = 0.545, a = 2piT12 = 2piT23 = 2piT34 = 2piT41 = 0.545 |
| delPdi = 0.01 |
Bibliography
[1] B. Anand, A. Ebenezer and Jeyakumar, Load frequency control with fuzzy logic controller considering non-linearities and boiler dynamics, ICGST-ACSE J. 8 (2009), 15–20.Search in Google Scholar
[2] P. Aravindan and M. Y. Sanavullah, Fuzzy logic based automatic load frequency control of two area power system with GRC, Int. J. Comput. Intell. Res.5 (2009), 37–44.Search in Google Scholar
[3] K. Chatterjee, Design of dual mode PI controller for load frequency control, Int. J. Emerging Elect. Power Syst.11 (2010), article 3.10.2202/1553-779X.2452Search in Google Scholar
[4] A. Demiroren, H. L. Zeynelgil and N. S. Sengor, The application of ANN technique to load-frequency control for three-area power system, in: IEEE Porto Power Tech Conference, PPT001, Porto, Portugal, 10–13 September, 2001.Search in Google Scholar
[5] O. I. Elgerd, Electric Energy System Theory: An Introduction, McGraw-Hill, New York, USA, 1971.Search in Google Scholar
[6] R. Farhangi, M. Boroushaki and S. Hamid Hosseini, Load–frequency control of interconnected power system using emotional learning-based intelligent controller, Elect. Power Energy Syst.36 (2012), 76–83.10.1016/j.ijepes.2011.10.026Search in Google Scholar
[7] G. Gross and J. W. Lee, Analysis of load frequency control performance assessment criteria, IEEE Trans. Power Syst.16 (2001), 520–525.10.1109/59.932290Search in Google Scholar
[8] Q. P. Ha, A fuzzy sliding mode controller for power system load frequency control, in: Second International Conference of Knowledge-Based Intelligent Electronic System, 1, pp. 149–154, 21–23 April, 1998.Search in Google Scholar
[9] S. Haykin, Neural Network, Macmillan College Publishing, New York, USA, 1994.Search in Google Scholar
[10] J. Y. Hung, Variable structure control: a survey, IEEE Trans. Indust. Electron.40 (1993), 2–22.10.1109/41.184817Search in Google Scholar
[11] I. Ibraheem, P. Kumar and D. P. Kothari, Recent philosophies of automatic generation control strategies in power systems, IEEE Trans. Power Syst.20 (2005), 346–357.10.1109/TPWRS.2004.840438Search in Google Scholar
[12] J. S. R. Jang, ANFIS: adaptive-network-based fuzzy inference system, IEEE Trans. Syst. Man Cybern. 23 (1993), 665–685.10.1109/21.256541Search in Google Scholar
[13] S. R. Khuntia and S. Panda, Simulation study for automatic generation control of a multi-area power system by NFIS approach, Appl. Soft Comput.12 (2012), 333–341.10.1016/j.asoc.2011.08.039Search in Google Scholar
[14] D. P. Kothari and I. J. Nagrath, Modern Power System Analysis, 3rd ed., Tata McGraw-Hill, 2003.Search in Google Scholar
[15] A. Kumar, O. P. Malik and G. S. Hope, Variable-structure – system control applied to AGC of an interconnected power system, IEEE Proc.132 (1985), 23–29.10.1049/ip-c.1985.0005Search in Google Scholar
[16] P. Kundur, Power System Stability and Control, McGraw-Hill, New York, NY, 1994.Search in Google Scholar
[17] A. Mangla and J. Nanda, Automatic generation control of an interconnected hydro-thermal system using conventional integral and fuzzy logic control, in: Proceedings of IEEE International Conference on Electric Utility Deregulation, Restructuring and Power Technologies, DRPT2004, Hong Kong, pp. 372–377, 2004.Search in Google Scholar
[18] M. Masiala, M. Ghnbi and A. Kaddouri, An adaptive fuzzy controller gain scheduling for power system load–frequency control, in: IEEE International Conference on Industrial Technology, ICIT, pp. 1515–1520, 2004.Search in Google Scholar
[19] H. D. Mathur and H. V. Manjunath, Extended Fuzzy Logic Based Integral Controller for Three Area Power System with Generation Rate Constraints, IEEE International Conference on Industrial Technology, ICIT, Mumbai, India, pp. 917–921, 2006.10.1109/ICIT.2006.372279Search in Google Scholar
[20] J. N. Mines, MATLAB Supplement to Fuzzy and Neural Approach in Engineering, John Wiley, New York, NY, 1997.Search in Google Scholar
[21] J. Nanda and J. S. Kakkarum, Automatic generation control with fuzzy logic controllers considering generation constraints, in: Proceedings of 6th International Conference on Advances in Power System Control Operation and Managements, Hong Kong, 2003.10.1049/cp:20030683Search in Google Scholar
[22] E. Ozkop, I. H. Altas and A. M. Sharaf, Load frequency control in four area power systems using fuzzy logic PI controller, in: 16th National Power Systems Conference, Department of Electrical Engineering, College of Engineering, Osmania University, Hyderabad, AP, India, pp. 233–236, 2010.Search in Google Scholar
[23] G. Panda, S. Panda and C. Ardil, Automatic generation control of interconnected power system with generation rate constraints by hybrid neuro fuzzy approach, World Acad. Sci. Eng. Technol.52 (2009), 543–548.Search in Google Scholar
[24] Jha A. N. Panna Ram, Automatic generation control of interconnected hydro-thermal system in deregulated environment considering generation rate constraints, in: International Conference on Industrial Electronics, Control and Robotics, IIT, New Delhi, India. pp. 148–158, 2010.Search in Google Scholar
[25] S. Prakash, S. K. Sinha, A. S. Pandey and B. Singh, Impact of slider gain on load frequency control using fuzzy logic controller, ARPN J. Eng. Appl. Sci.4 (2009), 20–27.Search in Google Scholar
[26] S. Prakash and S. K. Sinha, Artificial intelligent and PI in load frequency control of interconnected power system, Int. J. Eng. Sci. Technol.1 (2010), 377–384.Search in Google Scholar
[27] S. Prakash and S. K. Sinha, Application artificial intelligent in load frequency control of interconnected power system, Int. J. Eng. Sci. Technol.3 (2011), 264–275.10.4314/ijest.v3i4.68558Search in Google Scholar
[28] T. J. Ross, Fuzzy Logic with Engineering Application, int. ed., McGraw-Hill, New York, USA, 1995.Search in Google Scholar
[29] H. Shayeghi and H. A. Shayanfar, Power system load frequency control using RBF neural network based on μ-Synthesis theory, in: Proceeding of IEEE Conference on Cybernetics and Intelligent System, Singapore, pp. 93–98, 1–3 December, 2004.Search in Google Scholar
[30] H. Shayeghi, H. A. Shayanfar and A. Jalili, Load frequency control strategies: a state-of-the-art survey for the researcher, Energy Conv. Manage.50 (2009), 344–353.10.1016/j.enconman.2008.09.014Search in Google Scholar
[31] P. K. Singh Parmar, S. Majhi and D. P. Kothari, Load frequency control of a realistic power system with multi-source power generation, Elect. Power Energy Syst.42 (2012), 426–433.10.1016/j.ijepes.2012.04.040Search in Google Scholar
[32] K. R. Sudha and R. Vijaya Santhi, Robust decentralized load frequency control of interconnected power system with generation rate constraint using type-2 fuzzy approach, Elect. Power Energy Syst.33 (2011), 699–707.10.1016/j.ijepes.2010.12.027Search in Google Scholar
[33] J. Talaq and F. Al-Basri, Adaptive fuzzy gain scheduling for load frequency control, IEEE Trans. Power Syst.14 (1999), 145–150.10.1109/59.744505Search in Google Scholar
[34] C. L. Wadhawa, Electric Power System, New Age International Publishing, New Delhi, India, 2007.Search in Google Scholar
©2013 by Walter de Gruyter Berlin Boston
This article is distributed under the terms of the Creative Commons Attribution Non-Commercial License, which permits unrestricted non-commercial use, distribution, and reproduction in any medium, provided the original work is properly cited.
Articles in the same Issue
- Masthead
- Masthead
- Review
- Single-Channel Speech Enhancement Techniques for Distant Speech Recognition
- Research Articles
- Group–Proxy Signature Scheme: A Novel Solution to Electronic Cash
- Vowel Phoneme Segmentation for Speaker Identification Using an ANN-Based Framework
- Four-Area Load Frequency Control of an Interconnected Power System Using Neuro-Fuzzy Hybrid Intelligent Proportional and Integral Control Approach
- A Novel Full-Reference Color Image Quality Assessment Based on Energy Computation in the Wavelet Domain
- Machine Vision Approach for Automating Vegetation Detection on Railway Tracks
- An Intelligent Fused Approach for Face Recognition
Articles in the same Issue
- Masthead
- Masthead
- Review
- Single-Channel Speech Enhancement Techniques for Distant Speech Recognition
- Research Articles
- Group–Proxy Signature Scheme: A Novel Solution to Electronic Cash
- Vowel Phoneme Segmentation for Speaker Identification Using an ANN-Based Framework
- Four-Area Load Frequency Control of an Interconnected Power System Using Neuro-Fuzzy Hybrid Intelligent Proportional and Integral Control Approach
- A Novel Full-Reference Color Image Quality Assessment Based on Energy Computation in the Wavelet Domain
- Machine Vision Approach for Automating Vegetation Detection on Railway Tracks
- An Intelligent Fused Approach for Face Recognition
