Home Linguistics & Semiotics Presuppositions cross-linguistically: A comparison of soft and hard triggers in Chinese and German
Article Open Access

Presuppositions cross-linguistically: A comparison of soft and hard triggers in Chinese and German

  • Yuqiu Chen

    Yuqiu Chen is teaching and doing research at the Department of German Philology, Georg-August-University of Göttingen. She defended her dissertation in 2023 and will join the DFG-project “Lying, deceiving, misleading: are we committed to our gestures?” As a post-doc in 2024. Her main research interests are theoretical and experimental linguistics, the semantic-pragmatics interface with a focus on implicatures and presuppositions, the acquisition of German as L1 and L2, and contrastive pragmatics.

    and Mailin Antomo

    Since 2009, Mailin Antomo is a permanent lecturer for Linguistics at the Department of German Philology in Göttingen. Currently, she does research in theoretical and experimental pragmatics and its interfaces to syntax and semantics. Furthermore, she is interested in language didactics and teaching linguistics at school. She is principal investigator of the project “Lying, deceiving, misleading: Are we committed to our gestures?”, funded by the German national research foundation (DFG).

    EMAIL logo
Published/Copyright: March 29, 2024
Become an author with De Gruyter Brill

Abstract

Presuppositions are typically considered as projective inferences that are triggered by certain expressions and taken for granted. Whereas Simons (Simons, Mandy. 2001. On the conversational basis of some presuppositions. Semantics and Linguistic Theory 11. 431–448) observes that expressions with a similar semantic content belonging to the same language give rise to the same presupposition, this has not been investigated in a systematic way for semantically equivalent expressions from different languages. Furthermore, more recent research has shown that different presupposition triggers are characterized by differing projective strength, therefore, a distinction of highly projective hard triggers and less projective soft triggers has been proposed (Abusch, Dorit. 2002. Lexical alternatives as a source of pragmatic presuppositions. Semantics and Linguistic Theory 12. 1–19, Abusch, Dorit. 2010. Presupposition triggering from alternatives. Journal of Semantics 27(1). 37–80). Here, we present an experiment comparing four classical presupposition triggers from German and their counterparts in Chinese (cleft sentences, win, factive predicates regret and discover) in order to a) investigate the cross-linguistic stability of their projective strength and b) to verify the heterogeneity of these triggers in both languages. Our results show that the projective behavior and the heterogeneity of presuppositions can be considered cross-linguistically stable, at least when suitable equivalences for both languages can be found. Furthermore, our data suggest that the group of soft triggers has to be more heterogeneous than previously assumed. More precisely, whereas hard triggers behave the same way, it is possible that each soft trigger might be soft in its own way. In sum, our experimental investigation aims to improve the understanding of presuppositions, the underlying triggering process and their projective behavior across different languages.

1 Introduction

In everyday communication, speakers take a lot of information for granted. In example (1), for instance, it is assumed to be common knowledge that Karim used to smoke.

(1)
Karim stopped smoking.
≫ Karim used to smoke.

In our example, the use of the change of state predicate stop gives rise to the inference presented as ≫. We call such requirements of a specific linguistic expression presuppositions and the expressions that induce such preconditions presupposition triggers: by uttering (1), thus, the speaker presupposes that Karim used to smoke. If the precondition is not met, the utterance is odd or even not interpretable truth-conditionally.

The list of expressions that have been observed to trigger presuppositions is long and it includes, to mention just some examples, definite and possessive expressions like the cat or Peter’s cat, factive predicates such as regret, additive particles like too or even some specific syntactic structures like clefts as in example (2) (see Beaver et al. 2021; Levinson 1983b for a more extensive overview):

(2)
It was Karim who broke the window.
≫ Someone broke the window.

Typically, presupposed content is characterized by its ability to project, i.e. to survive under the embedding of an entailment-canceling operator. This can be seen in example (3), where the presupposed content remains unchanged, whereas the assertion of the utterance is cancelled (negated or questioned):

(3)
a.
It wasn’t Karim who broke the window.
b.
Was it Karim who broke the window?
≫ Someone broke the window.
Karim broke the window.

Projection, that is the persistence under negation, a question operator, in conditionalization (if S) and modalization (perhaps S) (the so-called family of sentences following Chierchia and McConnell-Ginet 2000), is a key piece of our investigation and we will come back to it later.

Another characteristic property of presupposed content is that it cannot be challenged directly using No. A direct challenge can be used to target the asserted content of the utterance but not the presupposition, as can be seen in (4) (see also Shanon 1976; von Fintel 2004):

(4)
A: Karim stopped smoking.
(i) B: No, I saw him smoking yesterday.
(ii) B: #No, he never used to smoke.

Concerning projection and deniability, it has been observed that not all presupposition triggers behave uniformly – whereas the presuppositions of some triggers are very robust and project with a very high probability, the presuppositions triggered of other expressions do not always arise. This has led to various taxonomic proposals concerning the classification of presupposition triggers, the most important of these will be discussed in Section 3.

As Simons (2001) observes, the presupposition of a lexical trigger is not dependent on a specific linguistic form, but is also triggered by expressions with the same truth-conditional content. This nondetachability of presuppositions can be seen in the following example, where the substitution of the expression stopped through semantically equivalent expressions does not influence the presupposition of the utterance (example slightly modified from Simons 2001, p. 435):[1]

(5)
Karim stopped/quit/ceased smoking.
≫ Karim used to smoke.

The example shows that an expression with the same semantic content will generate the same presupposition, presuppositions are, thus, nondetachable – they “attach to the content expressed, and not to any lexical item” (Simons 2001, p. 435). But what if we consider the same utterance in another language? Does the German translation in (6a) or the Chinese equivalent in (6b) induce the same presuppositional content as the English examples? While this is often tacitly assumed, there is very little research on the cross-linguistic comparison of presupposition triggers.

(6)
a.
Karim hat aufgehört zu rauchen.
b.
Karim tingzhi xiyan le.
? ≫ Karim used to smoke.

In this article, we are interested in two issues concerning presupposition triggers, namely (a) their universality and (b) their heterogeneity.

  1. The universality of presupposition triggers: Most of the time, it is tacitly assumed that two expressions x and y from two different languages X and Y have the same presuppositional requirements, provided their meaning is the same. However, recent research also suggests that pragmatic strategies can be influenced by language specific and cultural aspects. In particular, differences between Western and non-Western societies have been observed. However, there is little to no systematic research on presuppositions in Western and non-Western languages. Thus, we will discuss the results of an experiment in which we investigate the projective behaviour of selected triggers from German in comparison to their equivalents in Chinese.

  2. The heterogeneity of presupposition triggers: Previous research has shown that the group of presupposition triggers is more heterogeneous than originally assumed. More specifically, differences can be observed concerning their projective behavior, amongst others, which has led to various subclassifications. In this experiment, we are going to verify the classical distinction between hard and soft triggers (see e.g. Abusch 2002, 2010; Simons 2001), together with the split of factive verbs (Hooper and Thompson 1973; Karttunen 1971).

Of course, these two issues are interrelated: By investigating whether selected expressions in German and their counterparts in Chinese share the same projective behaviour, we also intend to explore the classification of these triggers in both languages.

To investigate these two issues, we will first review previous studies on the cross-linguistic comparison of presupposition triggers in Section 2 and then give a short overview of the most important results concerning the heterogeneity of triggers in Section 3. In Section 4, we will discuss some reflections and difficulties that arise when equivalences in both languages have to be chosen. Our own experiment is presented in Section 5, which will be followed by a detailed discussion of the results in Section 6.

2 Presupposition triggers cross-linguistically: Previous investigations

Recall our example (5) and its translations to German and Chinese. These examples raise the question whether two expressions from two different languages generate the same presuppositional content, provided their meaning is the same. Without being systematically investigated, usually, this is tacitly assumed – as an example consider the translations of Levinson’s (1983a) textbook Pragmatics, in which his list of English presupposition triggers is translated to different languages, such as German and Italian, without further notice. The thinking behind these tacitly assumed universality of presuppositions might be rooted in the observed nondetachability (see example 5), which suggests that presuppositions not so much dependent on a specific linguistic form, but more so on the semantic contribution of an expression: if two formally distinct expressions have the same semantic contribution, they will trigger the same presupposition. Extending this nondetachability beyond the scope of one single language to the contrastive perspective on different languages, we might be allowed to expect that if a trigger has a counterpart in other languages with a similar semantic meaning and perhaps also similar syntactic features, then the generation of their presuppositions and their projective behavior should also be stable across languages. Note, however, that this assumption is neither theoretically nor empirically fully investigated.

Theoretically, neither Gricean accounts (see e.g. Grice 1989; Horn 2004; Levinson 2000) nor Relevance Theory (see e.g. Sperber and Wilson 1996; Wilson and Sperber 2004) do explicitly address the question whether presuppositions are universal. But since in both trends pragmatic principles are considered as general and rooted in human cognition, we are allowed to assume that both pragmatic currents more or less predict the universality of pragmatic strategies and hence also imply the universality of presuppositions, although in Relevancy Theory, some language and cultural specific pragmatic aspects are acknowledged.

Empirically, according to the overview in Ameka and Terkourafi (2019), pragmatic investigations focusing on cross-linguistic comparisons have mainly favored topics such as (im)politeness (see for instance the summaries in Chen 2010; Jia and Yang 2021), conversational strategies (see e.g. Ameka 2006; Ayodele 2016; Boone et al. 2022; Keenan 1976; Kondowe et al. 2014; Obeng 1994, 1999, 2003), speech acts (see e.g. Ameka 2017; Maíz-Arévalo and Méndez-García 2023; Wierzbicka 1985), and conversation analysis (see e.g. Dingemanse and Enfield 2015; Dingemanse et al. 2014; Holler et al. 2016; Rossi et al. 2020). What is important to us is that these investigations of different pragmatic phenomena conclude that cross-linguistic variation exists: concerning the so-called East-West divide, for instance, differences have been observed at least since the 90s with regard to politeness, amongst others (see e.g. Gu 1990; Ide 1989; Matsumoto 1989), and the East-West divide remains a popular topic nowadays in studies on multi-party conversations and online communication (see e.g. Li et al. 2020; Xia and Lan 2019). This suggests that pragmatic principles and strategies are, at least to some degree, subject to cultural and/or language-specific differences, what has to be taken into account by future research (see e.g. also Chen 2019; Ran and Zhao 2018). Moreover, as summarized and discussed in Ameka and Terkourafi (2019), in their majority, pragmatic theories are based mainly on observations from Western societies, therefore, there is a need for verifying these concepts for non-Western languages.

Although all empirical studies mentioned above are doubtlessly relevant for universal pragmatics, they offer hardly any direct evidence for or against the universality of presuppositions. Narrowing the scope to presuppositions, there are only very few systematic cross-linguistic investigations.[2] To the best of our knowledge, the first experimental study in this question is conducted by Amaral and Cummins (2015), who compare Spanish presupposition triggers with their functional equivalents in English, relying on results from Cummins et al. (2012). In their experiments, two kinds of triggers were compared with respect to deniablity (see example 4 above). The results of the investigation show that in both languages, presuppositions can hardly be addressed by a direct challenge.Additionally, Amaral and Cummins (2015) observe a difference between lexical triggers and resolution triggers, which is also stable for both English and Spanish. The authors therefore propose that “the differences between presupposition triggers are rooted in general logical or cognitive principles, rather than arising as a language-specific feature of English (p. 158)”, supporting the universality of presuppositions.

Another series of experiments using deniability as a hallmark for presuppositions is presented in Djärv et al. (2018) and Schwarz et al. (2020). Comparing Italian presupposition triggers with their equivalents in English, the authors observe slight differences between both languages: in comparison to their English counterparts, ‘no’-answers were judged significantly less appropriate for cognitive factive triggers such as be aware or realize in Italian.

However, a potential weakness of these investigations is pointed out by Snider (2017a, 2017b), who argues that differences in deniability might not result from backgroundedness but rather from differences in anaphoric availability.

More recently, Reins et al. (2021) investigate presuppositions in the context of their research on lying and misleading. In their experiment, they compare presuppositions in English to their Russian equivalents by using presuppositions as one of four possibilities for lying indirectly. After reading a vignette with an untruthful presupposition, participants were asked to judge whether the examples constitute cases of lying or misleading. Overall, the results are very similar for Russian and English speakers, nevertheless, we can observe at least a numerical difference between the two languages when we consider misleading-ratings.

Finally, Chen (2022) presents an empirical investigation on presuppositions involving native German speakers and Chinese learner of German. In this experiment, presuppositions are used to target the Question Under Discussion directly, which leads to pragmatic infelicities. Strikingly, in this study, the Chinese learner are more tolerant to these at-issueness violations than the native German speakers. A follow-up question, then, is whether this tolerance of the Chinese learner of German is a result of the influence of their first language Chinese, or if it solely reflects their insecurity when confronted with a German set-up. Moreover, in this experiment, the difference between groups is mainly significant with regard to hard triggers, but not for soft triggers. It would be, therefore, very interesting to investigate the stability of projective strength in the context of the soft-hard-classification for German and Chinese – we will come back to this in the next section.

It can be seen that previous investigations of the universality of presuppositions mostly used deniability to measure the backgroundedness of the presupposed content. However, as has already been pointed out, differences in the results might be due to anaphoric availability. Moreover, the majority of the experiments discussed above investigate only Western languages, whereas the only investigation that includes non-Western speaker (Chen 2022) can observe differences. Thus, what can be said is that the cross-linguistic stability of presuppositions cannot just be assumed but has to be verified through experimental investigations, especially if we consider Western and non-Western languages. In the context of the results of Chen (2022), who observes different ratings of native German speaker and Chinese learner of German, in our experiment, we will compare presuppositions in German to their Chinese counterparts. In order to avoid the problem linked to deniability, for this comparison, we will use projection as a touchstone.

We can conclude this short review of the most important previous investigations by stating that while pragmatic principles are traditionally considered general, rooted in human cognition, and cultural-neutral, experiments on politeness, conversational strategies, and speech acts, among others, reveal the impact of social and language specific perspectives. As for presuppositions, cross-linguistic experiments, although only a few, illustrate not only similarities but also some potential differences in their behavior. Therefore, the cross-linguistic stability of their projective strength cannot be taken for granted either, but need to be investigated experimentally. Additionally, note that the experiments on presuppositions discussed in this section explore mainly Western languages. Considering the observations on related phenomena, especially the East-West divide, a comparison of presuppositions in Western and non-Western languages is overdue.

3 The heterogeneity of presupposition triggers

Recall that we are interested in two issues concerning presupposition triggers, namely their universality and their heterogeneity. After having reviewed the most important results on the cross-linguistic comparison of presuppositions, we will now summarize the crucial research on the heterogeneity of presupposition triggers, focusing on their projective strength. We will start with the heterogeneity within the class of factive predicates before proceeding to a more general perspective on soft and hard triggers.

It has been known for a long time that factive predicates, which were first investigated by Kiparsky and Kiparsky (1970), do not behave uniformly. According to Hooper and Thompson (1973), predicates that select a that-complements can be classified into five groups. Among them, two groups are classified as being factive, meaning that they presuppose their sentential complement as being true:

(7)
Two groups of factive predicates according to Hooper and Thompson (1973)
a. Emotive factives: regret, be sorry, be surprised, bother be strange, be odd, be interesting
b. Cognitive factives: discover, realize, learn, find out, know, see, recognize

Emotive factives such as regret express the subjects’ emotional attitude towards the proposition of their complement, whereas cognitive factives such as discover illustrate the subject’s epistemic status or its cognitive manner towards the embedded proposition. It has been observed that the two groups differ in terms of projection. According to Karttunen (1971, p. 63), the complement of a cognitive factive verb like discover can lose its presupposed status once the main clause is questioned or conditionalized, while the complement of a verb like regret remains projective, as shown in the following examples:

(8)
a. Did you regret that you had not told the truth?
b. Did you discover that you had not told the truth?

Embedded under a question operator, both sentences can be interpreted as giving rise to the presupposition that the addressee did not tell the truth. However, for (8b), there is also another interpretation available, as Karttunen (1971) observes: in this interpretation, the speaker is ignorant about the truth of the complement – he or she does not know whether the addressee has told the truth. Such an interpretation is hardly possible for (8a). In other words, comparing (8b) with (8a), it can be seen that, although both discover and regret are classified as factive verbs, the projective strength of their complements is very different. Due to this observation, cognitive predicates are also classified as semi-factives (see e.g. Hooper and Thompson 1973; Karttunen 1971; Stalnaker 1977). About half a century later, Karttunen (2016) revises the classification proposed by Hooper and Thompson (1973): the emotive-cognitive contrast is abandoned and predicates are categorized into five groups. In contrast to the classification based on Hooper and Thompson (1973), Karttunen (2016) assumes a separate class for verbs of discovery, including discover. He argues that members of this class are not presupposition triggers at all, as they do not project in examples like (8): “negative sentences, questions, and conditionals with coming-to-know verbs are in principle noncommittal” (p. 713). Therefore, he clearly distinguishes them from a predicate like regret, which is categorized as a propositional attitude verb.

In sum, the classification of factive verbs is still controversial, while the distinction between regret and discover in non-affirmative utterances is generally accepted. Both accounts, that is, the emotive-cognitive contrast by Hooper and Thompson (1973) and the five-group classification proposed by Karttunen (2016), predict that the presupposition of regret should be more stable and projective than the presupposition of discover, if it triggers one at all. For our experiment in Section 5, we will rely on the concepts of emotive and cognitive factive verbs, as this classification is widely accepted and since the difference between these two types of predicates has seen experimental support (see e.g. Djärv et al. 2018; Egré 2008; Schwarz et al. 2020).

The classifications discussed so far mainly concentrate on predicates that select a presupposed complement clause. A taxonomy of presupposition triggers with a broader perspective is the soft-hard split, first proposed by Abusch (2002, 2010. The classification of presupposition triggers into hard and soft ones is also based on the observation that presuppositions differ in their projective behaviour. Consider the following examples: Here, the difference between soft and hard triggers can be illustrated by means of epistemically deficient contexts, first discussed by Simons (2001):

(9)
Test with explicit ignorance context:
a. I don’t know whether Pikachu participated in the game, but if he won the game, he was happy.
b. # I don’t know whether anyone else was ill, but if Pikachu was ill too, his friends were worried.

According to Abusch (2002, 2010, these differences in projection can be traced back to a fundamental difference of the triggering process: a hard trigger like too in (9b) generates a semantic based presupposition that projects globally and leads to a contradiction between the two clauses as in (10b). On the other hand, soft triggers like win in (9a) give rise to a pragmatically based presupposition: pragmatic presuppositions of soft triggers can receive a local interpretation as shown in (10a) and are, therefore, less projective:

(10)
a. I don’t know whether Pikachu participated in the game, but if he participated and won the game, he was happy.
b. # Someone else was ill, and I don’t know whether anyone else was ill, but if Pikachu was ill too, his friends were worried.

Note that within this account, the difference between emotive and cognitive factive predicates as described above is subsumed under the more general division of presupposition triggers into soft and hard ones – where emotive factive predicates are considered as typical hard triggers, while cognitive predicates, including discover, are assumed to be soft (see e.g. Abbott 2006; Abusch 2010; Simons 2001, 2007, among others).

The varying projective strength has also seen experimental support. Tonhauser et al. (2018), for instance, use a certainty judgment task to measure projection. In their experiment, presuppositions are considered as commitments of the speaker, therefore, participants were asked to judge how certain a speaker is about the (assumed) presupposed content of the utterance. One example from Tonhauser et al. (2018: 502) is given below.[3] We will adopt this design in our experiment in Section 5.[4]

(11)
Patrick asks: Was Martha’s new car, a BMW, expensive?
‘certain that’ question (projectivity): Is Patrick certain that Martha’s new car is a BMW?

After this short review of the two core elements of our investigation the heterogeneity within factive predicates and the heterogeneity of presupposition triggers in general, we are now able to motivate the selection of presupposition triggers for our experiment.

For our investigation of the universality and the heterogeneity of presuppositions, we chose four triggers: cleft sentences, to win, to regret, and to discover, or rather, their counterparts in German and Chinese. Clefts are considered as a typical hard trigger, that projects strongly out of embedding and resists a local interpretation of its presupposition. The change of state predicate win, on the other hand, is generally assumed to be a typical soft trigger. Together, clefts and win will function as anchors in our rating task. Regret is an emotive factive predicate – this class of factives is typically subsumed under the class of hard triggers. With discover we chose a cognitive factive which behaves like a soft trigger. We are, therefore, allowed to expect that the projective behavior of the emotive factive verb regret patterns with that of the typical hard trigger (cleft structure), while the cognitive factive predicate discover is predicted to show a similar projection behaviour as the soft trigger win. But before we turn to our experimental investigation of these four presupposition triggers, we have to say a few words about their translations to German and Chinese.

4 Trigger selection and their translation

In order to investigate the issues formulated in Section 1, we chose four triggers, namely win, discover, regret and cleft structures. For a cross-linguistic investigation, it is important that the language-specific versions of these four triggers are equally frequent in both languages. Furthermore and even more importantly, their German and Chinese counterparts have to be both semantically and syntactically as parallel as possible. Thus, in this section, we will give some insights on the reasons why we chose a particular translation for each trigger.

We will start with the emotive factive regret. In German, this expression can be translated as ‘bereuen’ (see for instance Antomo 2012; Büring and Hartmann 2001; Ito 2017). In Chinese, the counterpart of regret is assumed to be ‘后悔 (houhui)’ (see for instance Ji 2009; Xu 2014). Besides their correspondence in semantic meaning, syntactically, ‘bereuen’ in German and ‘后悔 (houhui)’ in Chinese can both take a clausal complement. Furthermore, for both languages, it has been argued that the content of the complemet clause is presupposed, as shown below:

(12)
a.
Ich bereue, dass ich den Kuchen gegessen habe.
I regret, that I the cake eaten have
‘I regret that I ate the cake’ (Ito 2017:114)
≫ I ate the cake.
b.
很长一段时间里, 我都后悔自己那次选择站岗。
≫ 我那次选择了站岗。 (Xu 2014:67)
hen chang yi duan shijian li, wo dou houhui ziji
very long one measure word time in, I always regret myself
naci xuanze zhangang.
that time choose stand guard.
‘For a long time, I always regretted that I chose to stand guard that time.’
≫ ‘I chose to stand guard that time.’

The second trigger of our experiment, the verb discover, is a very well investigated presupposition trigger (see for instance Abrusán 2011, 2016; Abusch 2010; Djärv et al. 2018; Simons 2001, 2007, among others). We chose it for two reasons: First of all, it is a typical cognitive factive predicate. If cognitive factives (or semifactives) can be subsumed under the more general category of soft triggers, then discover has to be the best candidate to illustrate this and its projection behaviour should pattern with that of the typical soft trigger win. The second advantage is that the counterparts of discover in German (‘entdecken’) and Chinese (‘发现 faxian’) are syntactically parallel: both ‘entdecken’ and ‘发现 (faxian)’ can trigger presuppositions when taking clausal complements, but are ambiguous when taking simple objects. Since in our experiment, we will investigate only clausal complements, the former property is shown in the following examples, using projection out of negation as a test for presupposition:

(13)
a.
Die Experten haben nicht entdeckt, dass ein Panda
The experts have-prs-3pl neg discover-pprt, that a panda
hinter den Bambuspflanzen gesessen hat.
behind the bamboos sit-pprt have-prs-3sg.
‘The experts did not discover that a panda sat behind the bamboos.’
b.
专家没有发现竹子后面坐着一只熊猫。
zhuanjia meiyou faxian zhuzi houmian zuozhe yi
expert neg discover bamboo behind sit a
zhi xiongmao.
measure word panda.
‘The experts did not discover that a panda sat behind the bamboos.’
≫  A panda sat behind the bamboos.

As a baseline, we will use win and cleft constructions. There are many theoretical and empirical investigations concerning win, which show that this predicate behaves like a typical soft trigger (see e.g. Abusch 2002, 2010; Bill et al. 2016). Additionally, the syntax of its counterparts in German (‘gewinnen’) and Chinese (ying’) can be parallel, furthermore, intuitively, both give rise to the same presupposition:

(14)
a.
Er hat das Spiel gewonnen.
He have-prs-3sg the game win-pprt.
‘He won the game.’
b.
他赢了比赛。
ta ying le bisai.
He win pst-particle game.
‘He won the game.’
≫  He participated in the game.

There are several reasons why we chose clefts as a baseline for hard triggers: First, as all other triggers are lexical items, adding a structural trigger can be interesting in terms of a crosslinguistic comparison. Second, other classical hard triggers like again or too/also do not qualify for a cross-linguistic comparison since they are characterized by a non-parallel behavior in German and Chinese. Take again for example: According to Xu (2014), the counterpart of again in Chinese is ‘又 (you)’, a word with six meanings in the Contemporary Chinese Dictionary (现代汉语词典, The Commercial Press 2016), and not all of them do trigger presuppositions. Even when it expresses the meaning of repetition or iteration, the usage of ‘又 (you)’ is still different from that of ‘wieder’, the counterpart of again in German: as shown in Xu (2014), ‘又 (you)’ can also be used in a context with different subjects or different predicates as shown in the following example (adopted from Xu 2014, pp. 97–99), while ‘wieder’ can only be used with the same subject and the same predicate, similar to again in English:

(15)

Different subjects, different predicates:

早在三四十年代, 美国就推广了杂交玉米, 50 年代, 墨西哥又出现了 […] 杂交小麦。
zao zai sansishi niandai, meiguo jiu tuiguang le zajiao
early in three-four-ten period, USA already promote pst-particle hybrid
yumi, 50 niandai, moxige you chuxian le […] zajiao xiaomai.
corn, 50 period, Mexico you emerge pst-particle […] hybrid wheat.
‘As early as the 1930s and 1940s, hybrid corn was already promoted in the USA, and in the 1950s, hybrid wheat emerged in Mexico.’
≫ Other hybrid crops have appeared elsewhere.

In short, while ‘wieder’ in German mainly triggers the presupposition that the same subject has done the same thing before (just like again in English), ‘又 (you)’ can trigger several different kinds of presuppositions, some of which even overlap with too and also in English. There are similar problems with too/also in German, especially embedded under a question operator. Depending on the context, they can also give rise to different presuppositions. For these reasons, we refrained from using again, too and also as an example for a hard trigger in our experiment and chose cleft-sentences as a typical hard trigger, since these are not-ambiguous concerning their presupposition.

So how do cleft-constructions look like in German and in Chinese? In German, it-clefts are semantically and syntactically very similar to English it-clefts, although less frequent. They are biclausal constructions consisting of a main clause and a subordinate clause with the construction pattern Es (’it’) copula X + subordinate clause. As in English, they express identity of two descriptions and have been argued to give rise to an existence presupposition:

(16)
Es war Peter, der Marie gestern im Stadtzentrum
It be-pst-3sg Peter, rel-nom Marie yesterday in city-center
gesehen hat.
see-pprt have-prs-3sg
‘It was Peter who saw Marie in the city center yesterday.’
≫ Someone saw Marie in the city center yesterday.

As for Chinese, it is generally assumed that the counterpart of an it-cleft is the ‘是 … 的 (shi … de)’-structure as in the following example (see e.g. Huang 1982, 1988; Liu and Kempson 2018; Zhan and Sun 2013; Zhou 2020):[5]

(17)
是皮卡丘昨天在市中心看见了喵喵的。
Shi pikaqiu zuotian zai shizhongxin kanjian le
shi Pikachu yesterday in city-center see pst-particle
miaomiao de.
Meowth de.
‘It was Pikachu who saw Meowth in the city center yesterday.’

Note that in our experiment, we will investigate the projection of presuppositions out of the scope of a question operator. Now it happens that, embedded under a question operator, 的 (de) is typically omitted in ‘是 … 的 (shi … de)’-structures or, more precisely, ‘的 (de)’ is omitted if the sentence ends with a question particle like ‘吗 (ma)’, amongst others (Zhan and Sun 2013). In other words, a question like (18a) sounds more natural and is used more frequently than (18b):

(18)
a.
是皮卡丘昨天在市中心看见了喵喵吗?
Shi pikaqiu zuotian zai shizhongxin kanjian le miaomiao
Shi Pikachu yesterday in city-center see pst-particle Meowth
ma?
qst-particle.
‘Was it Pikachu who saw Meowth in the city center yesterday?’
b.
?/# 是皮卡丘昨天在市中心看见了喵喵的吗?
Shi Pikaqiu zuotian zai shizhongxin kanjian le miaomiao de
Shi Pikachu yesterday in city-center see pst-particle Meowth de
ma?
qst-particle.
‘Was it Pikachu who saw Meowth in the city center yesterday?’

However, ‘是 … 的 (shi … de)’-structures with omitted 的 (de) are ambiguous: they can be interpreted as clefts or as bare ‘是 (shi)’-sentences. According to Paul and Whitman (2008:420), “shi … de patterns with cleft constructions, while bare shi behaves like association with focus”. However, they also propose that sentences with initial bare ‘是 (shi)’ with subject focus can also be considered as clefts. Therefore, in order to guarantee a cleft-reading, we decided to use the ‘是 … 的 (shi … de)’-structure with the initial ‘是 (shi)’, subject focus and omitted ‘的 (de)’.[6]

In sum, the four selected triggers used in the experiment are listed below in Table 1 with their traditional classification and translations in both Chinese and German.

Table 1:

The list of triggers used in the experiment.

Trigger Classification Chinese German
clefts typical hard 是 … 的 (shi … de) with omitted de es war x, der/die …
win typical soft 赢 (ying) gewinnen
regret emotive factive, assumed to be hard 后悔 (houhui) bereuen
discover cognitive factive, assumed to be soft 发现 faxian entdecken

Combining the theoretical background discussed in Sections 2 and 3 with the considerations concerning translation and our choice of triggers, we are now able to articulate our particular research questions:

(19)
a. When the translation is controlled for as strictly as possible, is the varying projective behavior of presuppositions stable across German and Chinese, two very different languages?
b. Combining the soft-hard split and the emotive-cognitive split, can we observe that the emotive factive verb regret patterns with clefts (a typical hard trigger) and the cognitive factive verb discover patterns with win (a typical soft trigger) in terms of their projective behaviour? Additionally, is there a significant difference between regret and discover as both the emotive-cognitive split and the five-group classification would predict?

5 Experiment

5.1 Design

To address the research questions above, we adopted the certainty judgment task from Tonhauser et al. (2018). Here, the projective strength is measured by asking the participants whether the speaker is certain about some contents in her/his question (see example 11 in Section 3).

According to Tonhauser et al. (2018), gathering speaker’s certainty can estimate speaker commitment more directly than other indicators.[7] Instead of a yes/no-rating, as used by Tonhauser et al. (2018), in our test, we employed a 7-point certainty scale from 1 (absolutely uncertain) to 7 (absolutely certain). The paper-and-pencil questionnaires in both German and Chinese were built with OnExp (version 1.3.1) and collected online due to Covid-19.

With two parameters, the experiment has a 4 × 2 design, the first one being Trigger with four levels: it-clefts as a typical hard trigger, win as a typical soft trigger, regret and discover as a typical emotive and a cognitive factive predicate, respectively. This parameter is within subjects but between items. The second parameter is Language with two levels, German and Chinese, within items and between subjects.

To improve the understanding of the items, we designed a background story to introduce the context and to embed the items and the speakers. The story is about a wedding party during which a guest has been found dead in the men’s room. The speakers of the items are attending the party and talk to each other about the events. Participants of the experiment were informed that all speakers, startled by the fatality, are honest. This introduction is followed by an explanation of the rating task. All items and an English translation of the introduction can be found in the Appendix.

In order to check whether participants paid attention and understood the task correctly, we also created filler and control items. The ratings of a participant were excluded from the analysis if s/he did not pass the attention check. More details about the filler and control items and the attention control are given in the next sections.

5.2 Materials

In our experiment, we have three types of items: critical, control, and filler items. All of them are structured the same way: a speaker utters a question, which, in the style of Tonhauser et al. (2018), is followed by a target question regarding the speaker’s certainty about some content of his/her question.

Each critical item contains one of our four selected triggers and the following ‘certain that’ question addresses the presupposition of the utterance. For each of the four triggers, six critical items were created, resulting in 24 critical items in total. Table 2 below shows one critical item per trigger in both German and Chinese together with an English translation.[8]

Table 2:

Examples for critical items.

Trigger Chinese German English translation
cleft 丁问道: 发型师女士a在晚饭前和王先生在酒吧见了面吗?

丁确定有人在晚饭前和王先生在酒吧见面吗?
David fragt: War es die Friseurin, die Herrn Müller kurz vor dem Abendessen an der Bar getroffen hat?

Ist sich David sicher, dass jemand Herrn Müller kurz vor dem Abendessen an der Bar getroffen hat?
David asks: Was it the hairdresser who met Mr. Müller at the bar shortly before dinner?

Is David certain that someone met Mr. Müller at the bar shortly before dinner?
win 丙问道: 酒保先生下午了歌唱比赛吗?

丙确定酒保先生下午参加了歌唱比赛吗?
Charlotte fragt: Hat der Barkeeper nachmittags den Gesangswettbewerb gewonnen?

Ist sich Charlotte sicher, dass der

Barkeeper nachmittags an dem Gesangswettbewerb teilgenommen hat?
Charlotte asks: Did the bartender win the singing competition in the afternoon?

Is Charlotte certain that the bartender participated in the singing competition in the afternoon?
regret 甲问道: 伴郎后悔他在茶歇期间吃了四块胡萝卜蛋糕了吗?

甲确定伴郎在茶歇期间吃了四块胡萝卜蛋糕吗?
Anna fragt: Bereut der Trauzeuge, dass er während der Kaffeepause vier Stück Karottenkuchen gegessen hat?

Ist sich Anna sicher, dass der Trauzeuge während der Kaffeepause vier Stück Karottenkuchen gegessen hat?
Anna asks: Does the best man regret that he ate four pieces of carrot cake during the coffee break?

Is Anna certain that the best man ate four pieces of carrot cake during the coffee break?
discover 己问道: 录影师先生发现了新娘晚餐前换了发饰吗?

己确定新娘晚餐前换了发饰吗?
Felix fragt: Hat der Kameramann entdeckt, dass die Braut vor dem Abendessen ihren Haarschmuck gewechselt hat?

Ist sich Felix sicher, dass die Braut vor dem Abendessen ihren Haarschmuck gewechselt hat?
Felix asks: Did the cameraman discover that the bride changed her hair ornament before dinner?

Is Felix certain that the bride changed her hair ornament before dinner?
  1. aIn German, most job titles are gendered, for instance, a female hairdresser is a Friseurin, a male hairdresser is a Friseur. In contrast, job titles in Chinese are mainly semantically gender neutral, nevertheless, there exist potential gender preferences following stereotypical standards. Therefore, the gender information in German was also translated into the Chinese version by adding ‘女士 (nüshi)’ (Ms.) or ‘先生 (xiangsheng)’ (Mr.) after the job titles.

In the filler and the control items, the target question always addresses the asserted content of the uttered question. Our four presupposition triggers also occur in the control items, but not in the fillers. Thus, if a participant does not pay attention or has a very different understanding of certainty, this participant can be detected and discarded. There were three control items for each trigger, thus 12 control items in total. Additionally, there were also 12 fillers without our presupposition triggers, resulting in 24 non-critical items in total.

For the filler and control items, we expect ratings on the lower half of the scale (uncertain), whereas the critical items should receive ratings rather on the upper part of the rating scale.

5.3 Procedure

The experiment was carried out online and test links were sent via Email. In order to explain the task and the rating scale, two examples together with ratings suggestions were presented. In these illustrative examples, we refrained from using presupposition triggers in order to avoid an influence on the rating during the experiment. Instead, we chose an appositive expression for these two explanations (see 25 in the Appendix).

Furthermore, before the actual test session, it was emphasized that the participants did not have to judge whether the utterance is grammatically appropriate or how likely the speaker can receive a yes or no as an answer. Instead, they were instructed to always focus on the certainty level of the speakers.

In the test session, the 48 items occurred in random order and the whole task took 15–20 min on average.

5.4 Participants

In our experiment, we compared two groups. The group of Chinese speakers consisted of 51 participants; six of them did not pass the attention and understanding check (plot per subject see Figure 3 in the Appendix), leaving 45 participants (group CNS, mean age 22.91 ± 4.54) for the statistical analysis. The group of German speakers consisted of 34 participants; two of them did not pass the attention and understanding check (plot per subject see Figure 4 in the Appendix). Therefore, 32 participants (group DE, mean age 27.45 ± 8.95) were included in the statistical analysis.

5.5 Predictions

Recall that we intend to investigate two issues, the universality of presuppositions (at least for the exemplary comparison of German and Chinese) and the heterogeneity of presuppositions. Both issues shall be investigated by measuring the projective strength out of the embedding under a question operator. Concerning the first issue, we expect the following: if the projective behavior of the presuppositions and the differences between them are language specific, then we should observe at least a significant interaction of Language and Trigger, or even a main effect of Language. With regard to our second issue, we expect that the emotive factive verb regret patterns with clefts and that both are judged to express a high level of certainty, since previous investigations of these two triggers argue that both are typical hard triggers. On the other hand, we predict that the cognitive factive verb discover patterns with the soft trigger win and that for both triggers the speaker’s certainty is rated comparatively lower. Additionally, significant differences between clefts and win on the one hand, and between regret and discover on the other are also expected.

5.6 Results

For the analysis of the judgments of the critical items, all ratings of the control items and fillers were excluded. The data then encompassed 1,848 judgments taken from 77 individuals out of 2 groups for 24 critical items. The mean judgments with 95 % confidence interval are presented in Figure 1.

Figure 1: 
Mean judgments ±95 % confidence interval for the factors Language and Trigger.
Figure 1:

Mean judgments ±95 % confidence interval for the factors Language and Trigger.

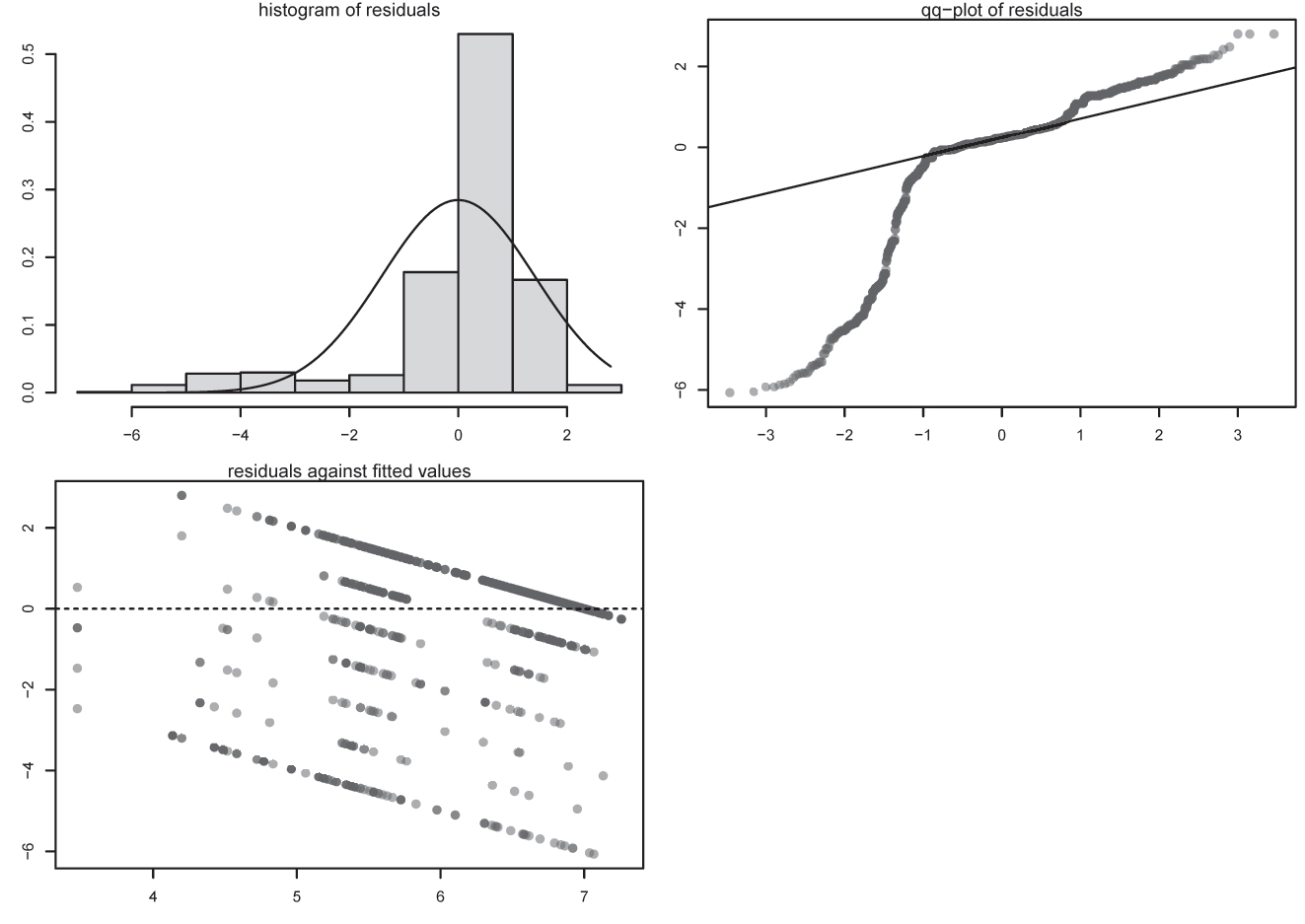
To estimate the effects of Trigger, Language and their interactions, the data was analyzed using R (version 4.0.3, R Core Team 2020). Since the 7-points-scale that we used in the test can be understood as a kind of ordinal scale (for more discussion about ordinal data and metric models, see Liddell and Kruschke 2018), and since the residual of the LMM fitting did not seem to be as ideally symmetric as required (see Figure 2 in the Appendix), the data was analyzed with the Cumulative Link Mixed Model (CLMM) using the clmm function from the ordinal package (Christensen 2019). The CLMM full model included Trigger, Language and their interaction as fixed effects and the maximal random effects structure[9] and used logit as the link function. The factor Language was centered with the sum-contrast, coded with (−0.5, 0.5), while the factor trigger was dummy coded. The results of the full CLMM model are listed in Table 3.

Table 3:

Overview of the CLMM full model, fitted with the Laplace approximation, with estimates, standard errors, z- and p-values of fixed effects and threshold coefficients.

Effect Estimate SE z-Value p-Value
Triregret 0.48 0.38 1.28 0.20
Tridiscover 0.78 0.47 1.67 0.09
Triwin −2.03 0.29 −6.92 <0.001
Lan.con1 −0.22 0.42 -0.52 0.60
Triregret × lan.con1 −0.93 0.53 −1.74 0.08
Tridiscover × lan.con1 −0.28 0.65 −0.43 0.67
Triwin × lan.con1 −0.48 0.50 −0.97 0.33

Threshold Estimate z-Value

1|2 −4.44 −15.44
2|3 −4.14 −14.69
3|4 −3.89 −14.01
4|5 −3.52 −12.92
5|6 −3.17 −11.83
6|7 −2.23 −8.73

Regarding our first main research question on the cross-linguistic stability, the full model was firstly compared with the restrictive model which comprised only the fixed effect Trigger and the random effects,[10] that is, the effect of Language and the interaction were removed. The comparison between these two CLMM models was not significant (LR.stat = 6.46, df = 4, p = 0.17), indicating that statistically, the effect of Language and the interaction is not significant.[11]

Considering our second main research issue, the heterogeneity of presupposition triggers, what we can state is that, according to both LMM and CLMM analyses, Trigger is the only main effect that significantly influences ratings. Applying the CLMM full model to the emmeans function from the emmeans package (Lenth 2021), the four triggers were compared pairwise with each other within Language using z test.[12] Results that are relevant to our research questions are listed in Table 4 below.

Table 4:

Comparison of triggers based on the CLMM full model with z test, p-value adjusted with tukey method.

Language Comparison of triggers Estimate z-Ratio p-Value
Chinese cleft − win

regret − discover
1.79 4.58 <0.001
0.02 0.03 1
cleft − regret −0.94 −1.88 0.23
discover − win 2.72 4.47 <0.001

German cleft − win

regret − discover
2.28 5.99 <0.001
−0.63 −1.03 0.73
cleft − regret −0.02 −0.05 1
discover − win 2.92 4.61 <0.001

The comparisons show that the similarity and the difference between the individual triggers are also stable across languages. In both Chinese and German, the difference between the typical hard trigger (cleft-sentences) and the typical soft trigger win is highly significant. Additionally, as expected, we can observe a clear similarity between clefts and the typical emotive trigger regret. However, in contrast to our predictions, the typical cognitive trigger discover does not pattern with the soft trigger win, as most theories on the soft-hard classification would predict. Quite on the contrary, the results for discover are very similar to those of clefts, our typical hard trigger, and to those of the emotive trigger regret.

6 General discussion

The aim of our experimental investigation was to answer the research questions (19a) and (19b). Our first research question addresses the universality issue. Through the example of a comparison of presuppositions in Chinese to their equivalents in German, we wanted to investigate whether presupposition triggers are cross-linguistically stable. As a touchstone, we exploited projection out of the scope of a question operator. Of course, it would be presumptuous to extrapolate from our results, collected from only two languages, to a statement about the universality of presupposition triggers. Nevertheless, our data from two typologically very distinct languages allow for a first tentative step towards a broader understanding of presuppositions in language comparison.

Our results show that there is no significant effect of Language nor a significant interaction. Concerning the similarity between patterns, we are allowed to assume that the projective behavior of presuppositions is stable between the two languages investigated, when triggers and their equivalents are carefully selected. This observation is consistent with the main findings in previous investigations like Amaral and Cummins (2015) and Schwarz et al. (2020), who also observe a similar behaviour of presuppositions in some selected Western languages. Additionally, the ratings illustrate that not only the triggering of presuppositions by certain expressions can be cross-linguistically stable, but also their projective strength and their interaction with contextual effects. Recall that Simons (2001) notices the nondetachability of presuppositions within one language, i.e. the observation that expressions with the same semantic content give rise to the same presupposition (see example 5 above). Now our results suggest that this observation can be extended to a cross-linguistic perspective: if a trigger has a semantic and syntactic equivalent expression (or construction as in the case of clefts) in another language, it leads to the same presupposition with the same projective behaviour. For Simons (2001), this nondetachability is proof for a pragmatic source of the presupposition. However, in our opinion, this does not follow straightforwardly. Especially if we consider the observed cross-linguistically stable projective behaviour of clefts, which have to be considered a hard trigger, it is not convincing that the presuppositions of these constructions in German and Chinese arise via pragmatic reasoning. Nevertheless, what we can say is that our results suggest that the triggering process, semantic or pragmatic, seems to be the same in both languages we investigated. It is more than likely that the presupposition triggered by an expression like win, regret or discover is closely related to the semantic content of its trigger. Thus, an expression in another language with the same semantic content should typically lead to the same presupposition. However, this line of reasoning cannot be applied to cleft-structures: without semantic content, the arising presupposition cannot be a result of this content. Instead, giving rise to a presupposition seems to be the raison d’être of cleft-constructions, their specific function that distinguishes them from a mere main clause. As a consequence, we predict that if a language offers the possibility to use a cleft, this construction should give rise to a presupposition. We will leave the question on how presuppositions are triggered for future research – contrastive investigations, however, seem to be a promising way to shed light onto the triggering process.

However, we cannot exclude that cross-linguistic or cross-cultural differences exist. First of all, although German and Chinese are typologically two very different languages, they can of course not represent all languages. Secondly, we selected the triggers for our experiment with great care, excluding some triggers with potential differences already before the test. It is possible that there are expressions that do trigger presuppositions in German, whereas their counterpart in Chinese (or another language) does not give rise to the same or to any presupposition (or vice versa). Furthermore, in this experiment, features that have been said to depend on cultural or social dimensions, such as politeness or lying, for instance, have been reduced to a minimum. Interestingly, recall that in the experiments run by Reins et al. (2021) on lying and misleading, at least numerically, presuppositions were judged differently by English and Russian speakers. Combining our results with their observations, we may assume that this cross-linguistic difference more likely results from a different understanding of the concept of misleading in different cultures or societies, rather than from differences concerning presuppositions or commitment attribution. The interaction between presuppositions and those cultural or social features should be investigated in more depth by future research in contrastive pragmatics. The stability observed in our experiment can serve as a baseline for future studies that compare presuppositions or related phenomena in different languages and cultures, or for investigations of presuppositions involving a L2-perspective, especially when differences are observed.

Our second research aim is repeated in (20):

(20)
Combining the soft-hard split and the emotive-cognitive split, can we observe that the emotive factive verb regret patterns with clefts (a typical hard trigger) and the cognitive factive verb discover patterns with win (a typical soft trigger) in terms of their projective behaviour? Additionally, is there a significant difference between regret and discover as both the emotive-cognitive split and the five-group classification would predict?

Regarding these questions, our observations are only partially in line with our predictions. First of all, as predicted, there is a significant difference between clefts and win, both in German and Chinese, showing that these two triggers can function as baselines for a typical hard and a typical soft trigger, respectively. Additionally, in both languages, the emotive factive verb regret patterns with clefts as predicted. Both triggers were judged to involve a very high level of certainty, which distinguishes them from the soft trigger win and is in line with most assumptions made in the context of the traditional classifications discussed in Section 3 (e.g. Abbott 2006; Abusch 2010; Simons 2001, 2007).

However, in contrast to our predictions, the cognitive factive verb discover did not pattern with the soft trigger win, but with clefts, our typical hard trigger. Additionally, the difference between regret and discover, which is expected by researchers like Karttunen (1971), Hooper and Thompson (1973), and Karttunen (2016), was also absent in this experiment. This finding also differs from the results of previous empirical studies such as Djärv et al. (2018).

A question that arises, then, is why did discover differ from win? In most previous theoretical analyses, the softness of win and discover is typically explained with the same mechanism (see e.g. Abusch 2002, 2010; Klinedinst 2016; Romoli 2012, 2014; Zehr and Schwarz 2016, 2020) and cannot straightforwardly explain the difference between the two classical soft triggers that we observe in our test. For illustration, take the items given in Table 2, repeated below as (21) and (22).

(21)
Felix asks: Did the cameraman discover that the bride changed her hair ornament before dinner?
(22)
Charlotte asks: Did the bartender win the singing competition in the afternoon?

The questions then can be specialized as follows: What is it that boosted the projective strength (i.e. the factive interpretation) of the complement embedded by the soft trigger discover? And why is the typical soft trigger win impervious to these factors? How did the questions involving discover become more committal with respect to the embedded clause than the questions involving win?

One might argue that the complement clause of the question (21) is about something that can be observed by the guests at the party, i.e. a change in the bride’s hair ornament. Therefore, the truth of the embedded clause can be considered to be part of the common ground. However, there are two arguments against this assumption: first, there were also critical discover-items where the content of the complement clause cannot be considered to be common knowledge (see items in Table 5). However, the ratings of these items did not decline or differ from the other items. Second, the same observation can be made for some of the items involving win: example (22), for instance, describes an event that happened during the party and should also be widely known among the guests. Nevertheless, ratings for this item were not higher than those of the other three win-items, which described competitions that took place in the last year (for more about mean ratings splited by Trigger and Language, see Figure 5 in Appendix). So this should only be a minor effect.

Another explanation is that the difference between the two soft triggers is due to the events: in comparison, the competition results are perhaps less interesting or less relevant to Mr. Müller’s death than the discovery status of some guests. However, there are several events mentioned in other items that are not relevant to the death either, for instance the best man’s feeling about the four pieces of carrot cake (see Table 2). Nevertheless, these ratings were still different from the win-items. In short, the possible lack of relations between the competitions and Mr. Müller’s death should not be the main reason for the difference between win and discover.

A more plausible explanation is, then, that the soft triggers are not similarly soft. That is, the softness of win and discover is due to different reasons. According to Karttunen (1971), Simons (2007), and Karttunen (2016), the softness of discover is due to the fact that the verb can receive more than one reading: a presuppositional interpretation, where the embedded proposition is not-at-issue and hence projects, and a non-presuppositional interpretation which can serve as a sincere question about the truth status of the embedded proposition. According to Simons (2007), a discover-sentence can lose its presupposition when it is the complement that answers the current Question Under Discussion (QUD), not the main clause. In this case, the complement is at-issue and cannot project, while the verb discover has a purely evidential function, as in the following example (see Abusch 2010; Simons 2007; Simons et al. 2010 for more discussion):

(23)
A: Where was Harriet yesterday?
B: Henry discovered that she had a job interview at Princeton.
(Simons 2007:1035)

In our test, on the contrary, with such a thrilling background story, expressing a question using discover can effectively boost the relevance of the cognitive status itself and thus that of the matrix clause. As for the question in (21), this means that the discovery status of the cameraman is marked as highly relevant to the QUD and the main clause becomes clearly at-issue, while the embedded proposition gets pushed into the background. With regard to the verb win on the other hand, we are allowed to assume that its softness is due to different reasons. One possibility might be that, in contrast to discover, the presupposition of the achievement verb win is part of the process it describes, so that the presupposition participate and the assertion win are temporally and logically extremely closely related and stored with a strong connection in our mental lexicon. Then, our results suggest that the assumed heterogeneity of presuppositions is more fine-grained than previously assumed. While hard triggers seem to be alike, at least if we consider the projective behaviour of the two hard triggers in our experiment, soft triggers seem to be much more heterogeneous, as their softness is due to different mechanisms.

7 Conclusion

We conducted an empirical investigation involving four presupposition triggers in German and their semantic and syntactic counterparts in Chinese: cleft sentences as an instance of a typical hard trigger and win as a typical soft trigger served as a baseline for the emotive factive verb regret and the cognitive factive verb discover. Our aims were to measure the projective strength of their arising presuppositions out of the scope of a question operator a) to investigate the cross-linguistic stability of these triggers and b) to verify the heterogeneity of these triggers in both languages.

Concerning our first research question, our experiment shows that the projective behavior and the heterogeneity of presuppositions can be considered cross-linguistically stable, as long as suitable equivalences can be found. Of course, these results need further confirmation from other languages and more triggers. Still, with our results in mind, it seems probable that the underlying triggering process of presuppositions functions in a similar way across different languages. We think that our results give us a hint towards a better understanding of presuppositions and projection cross-linguistically, while our data might serve as a baseline for future research.

With regard to our second aim, our data suggest that the group of soft triggers has to be more heterogeneous than theoretical research has expected so far. In other words, if hard triggers are alike, it is possible that each soft trigger might be soft in its own way. That is, their softness or less typicality might result from different reasons or mechanisms.

In sum, our results add a piece to the puzzle to yield a better understanding of the basic but crucial questions on presuppositions: what are they, why are they projective and why do they project differently. Again, further research involving further triggers and other languages has to be done.


Corresponding author: Mailin Antomo, Department of German Philology, Georg August University of Göttingen, Göttingen, Germany, E-mail:

About the authors

Yuqiu Chen

Yuqiu Chen is teaching and doing research at the Department of German Philology, Georg-August-University of Göttingen. She defended her dissertation in 2023 and will join the DFG-project “Lying, deceiving, misleading: are we committed to our gestures?” As a post-doc in 2024. Her main research interests are theoretical and experimental linguistics, the semantic-pragmatics interface with a focus on implicatures and presuppositions, the acquisition of German as L1 and L2, and contrastive pragmatics.

Mailin Antomo

Since 2009, Mailin Antomo is a permanent lecturer for Linguistics at the Department of German Philology in Göttingen. Currently, she does research in theoretical and experimental pragmatics and its interfaces to syntax and semantics. Furthermore, she is interested in language didactics and teaching linguistics at school. She is principal investigator of the project “Lying, deceiving, misleading: Are we committed to our gestures?”, funded by the German national research foundation (DFG).

Acknowledgments

We would like to express our special thanks to Thomas Weskott for his valuable advice on statistics, and to Chang Xuan, Chen Hairong, Tang Wenli and Xia Yihui for their constructive discussions and suggestions for the construction of the Chinese items. We are also grateful to Chen Shuhua (Nanjing Normal University) for her generous help with the acquisition of participants and all participants from Germany and China for contributing to our experiments. Lastly, we would also like to thank our two anonymous reviewers and the editor for their evaluation. This research project was partly funded by the China Scholarship Council.

Appendix A

A.1 Introduction with examples

(24) Introduction

She, an athlete, and he, an elementary school teacher, are celebrating their wedding with numerous guests. After many games and performances in the afternoon and a big dinner, the bridal couple now wants to open the dance floor. Suddenly, police officers storm into the hall: a guest, Mr. Müller, has been found dead in the men’s room. The guests are startled and whisper to each other.

You are an detective who is also there by accident. At your table, there are six other guests: Anna, Ben, Charlotte, David, Emma and Felix. You can clearly hear the quiet conversations between these six people. Anna, Ben, Charlotte, David, Emma and Felix don’t know that you are a detective and are listening carefully, therefore they are all honest.

Based on the conversations, please try to conclude what level of knowledge the speaker has and rate it on a scale from 7 (= absolutely certain) to 1 (= absolutely uncertain). Please try to use the whole range of the scale for rating.

(25) Example

a.
Anna asks: Was the dead man, Mr. Müller, found in the men’s room?
Is Anna certain that the dead man is Mr. Müller?
Rating suggestion:
In this example, it is appropriate to mark 7: The expression of this question is only meaningful if Anna is very certain that the dead man is Mr. Müller.
b.
Anna asks: Is the dead man in the men’s room Mr. Müller?
Is Anna certain that the dead man in the men’s room is Mr. Müller?
Rating suggestion:
In this example, it is appropriate to mark 1: Anna asks the question exactly because
she does not know whether the dead man in the men’s room is Mr. Müller.

A.2 Critical items

Table 5:

Critical items.

Chinese German English translation
Clefts

1 甲问道: 是伴娘给新娘送了一条珍珠项链吗?

甲确定有人给新娘送了一条珍珠项链吗?
Anna fragt: War es die Trauzeugin, die der Braut eine Perlenkette geschenkt hat?

Ist sich Anna sicher, dass jemand der Braut eine Perlenkette geschenkt hat?
Anna asks: Was it the maid of honor who gave the bride a pearl necklace?

Is Anna certain that someone gave the bride a pearl necklace?
2 乙问道: 是伴郎往新娘手花里面插了一朵百合吗?

乙确定有人往新娘手花里插了一朵百合吗?
Ben fragt: War es der Trauzeuge, der eine Lilie in den Brautstrauß gesteckt hat?

Ist sich Ben sicher, dass jemand eine Lilie in den Brautstrauß gesteckt hat?
Ben asks: Was it the best man who put a lily in the bridal bouquet?

Is Ben certain that someone put a lily in the bridal bouquet?
3 丙问道: 是厨师女士在下午短暂离开了典礼吗?

丙确定下午有人短暂离开典礼吗?
Charlotte fragt: War es die Köchin, die die Feier nachmittags kurz verlassen hat?

Ist sich Charlotte sicher, dass jemand die Feier nachmittags kurz verlassen hat?
Charlotte asks: Was it the cook who left the party shortly in the afternoon?

Is Charlotte certain that someone left the party shortly in the afternoon?
4 丁问道: 是发型师女士在晚饭前和王先生在酒吧见了面吗?

丁确定有人在晚饭前和王先生在酒吧见面吗?
David fragt: War es die Friseurin, die Herrn Müller kurz vor dem Abendessen an der Bar getroffen hat?

Ist sich David sicher, dass jemand Herrn Müller kurz vor dem Abendessen an der Bar getroffen hat?
David asks: Was it the hairdresser who met Mr. Müller at the bar shortly before dinner?

Is David certain that someone met Mr. Müller at the bar shortly before dinner?
5 戊问道: 是王先生在节目表演过程中多次打电话吗?

戊确定节目表演过程中有人多次打电话吗?
Emma fragt: War es Herr Müller, der während der Aufführung mehrmals telefoniert hat?

Ist sich Emma sicher, dass jemand während der Aufführung mehrmals telefoniert hat?
Emma asks: Was it Mr. Müller who made several phone calls during the performance?

Is Emma certain that someone made several phone calls during the performance?
6 己问道: 是新郎重新摆放了所有座椅吗?

己确定有人重新摆放了所有座椅吗?
Felix fragt: War es der Bräutigam, der alle Stühle umgestellt hat?

Ist sich Felix sicher, dass jemand alle Stühle umgestellt hat?
Felix asks: Was it the groom who moved all the chairs?

Is Felix certain that someone moved all the chairs?

Win

1 甲问道: 新娘去年赢了 200 米自由泳的地区赛吗?

甲确定新娘去年参加了 200 米自由泳的地区赛吗?
Anna fragt: Hat die Braut letztes Jahr das Finale über 200 Meter Freistil im regionalen Wettbewerb gewonnen?

Ist sich Anna sicher, dass die Braut letztes Jahr an dem Finale über 200 Meter Freistil im regionalen Wettbewerb teilgenommen hat?
Anna asks: Did the bride win the 200 m freestyle final in the regional competition last year?

Is Anna certain that the bride participated in the 200 m freestyle final in the regional competition last year?
2 乙问道: 伴娘 2018 年赢了水球的地区赛吗?

乙确定伴娘 2018 年参加了水球的地区赛吗?
Ben fragt: Hat die Trauzeugin 2018 den regionalen Wasserball-Wettbewerb gewonnen?

Ist sich Ben sicher, dass die Trauzeugin 2018 an dem regionalen Wasserball-Wettbewerb teilgenommen hat?
Ben asks: did the maid of honor win the regional water polo competition in 2018?

Is Ben certain the maid of honor participated in the regional water polo competition in 2018?
3 丙问道: 酒保先生下午赢了歌唱比赛吗?

丙确定酒保先生下午参加了歌唱比赛吗?
Charlotte fragt: Hat der Barkeeper nachmittags den Gesangswettbewerb gewonnen?

Ist sich Charlotte sicher, dass der Barkeeper nachmittags an dem Gesangswettbewerb teilgenommen hat?
Charlotte asks: Did the bartender win the singing competition in the afternoon?

Is Charlotte certain that the bartender participated in the singing competition in the afternoon?
4 丁问道: 鼓手女士去年赢了地区音乐大赛吗?

丁确定鼓手女士去年参加了地区音乐大赛吗?
David fragt: Hat die Schlagzeugspielerin letztes Jahr den regionalen Musikwettbewerb gewonnen?

Ist sich David sicher, dass die Schlagzeugspielerin letztes Jahr an dem regionalen Musikwettbewerb teilgenommen hat?
David asks: did the percussion player win the regional music competition last year?

Is David certain that the percussion player participated in the regional music competition last year?
5 戊问道: 厨师女士下午赢了竞答吗?

戊确定厨师女士下午参加了竞答吗?
Emma fragt: Hat die Köchin nachmittags das Quiz gewonnen?

Ist sich Emma sicher, dass die Köchin nachmittags an dem Quiz teilgenommen hat?
Emma asks: Did the cook win the quiz in the afternoon?

Is Emma certain that the cook participated in the quiz in the afternoon?
6 己问道: 花童们下午赢了拔河比赛吗?

己确定花童们下午参加了拔河比赛吗?
Felix fragt: Haben die Blumenkinder nachmittags das Tauziehen gewonnen?

Ist sich Felix sicher, dass die Blumenkinder nachmittags an dem Tauziehen teilgenommen haben?
Felix asks: Did the flower children win the tug-of-war in the afternoon?

Is Felix certain that the flower children took part in the tug-of-war in the afternoon?

Regret

1 甲问道: 伴郎后悔他在茶歇期间吃了四块胡萝卜蛋糕了吗?

甲确定伴郎在茶歇期间吃了四块胡萝卜蛋糕吗?
Anna fragt: Bereut der Trauzeuge, dass er während der Kaffeepause vier Stück Karottenkuchen gegessen hat?

Ist sich Anna sicher, dass der Trauzeuge während der Kaffeepause vier Stück Karottenkuchen gegessen hat?
Anna asks: Does the best man regret that he ate four pieces of carrot cake during the coffee break?

Is Anna certain that the best man ate four pieces of carrot cake during the coffee break?
2 乙问道: 新娘后悔她邀请了六位花童吗?

乙确定新娘邀请了六位花童吗?
Ben fragt: Bereut die Braut, dass sie sechs Blumenkinder eingeladen hat?

Ist sich Ben sicher, dass die Braut sechs Blumenkinder eingeladen hat?
Ben asks: Does the bride regret that she invited six flower children?

Is Ben certain that the bride invited six flower children?
3 丙问道: 鼓手女士后悔她选择了一件红衬衫吗?

丙确定鼓手女士选择了一件红衬衫吗?
Charlotte fragt: Bereut die Schlagzeugspielerin, dass sie sich für eine rote Bluse entschieden hat?

Ist sich Charlotte sicher, dass sich die Schlagzeugspielerin für eine rote Bluse entschieden hat?
Charlotte asks: Does the percussion player regret that she chose a red blouse?

Is Charlotte certain that the percussion player chose a red blouse?
4 丁问道: 烘培师女士后悔她在烘焙时使用了杏仁泥吗?

丁确定烘培师女士在烘焙时使用了杏仁泥吗?
David fragt: Bereut die Konditorin, dass sie beim Backen Marzipan verwendet hat?

Ist sich David sicher, dass die Konditorin beim Backen Marzipan verwendet hat?
David asks: Does the pastry chef regret that she used marzipan in her baking?

Is David certain that the pastry chef used marzipan in the baking?
5 戊问道: 录影师先生后悔他在饭前和伴娘眉来眼去了吗?

戊确定录影师先生在饭前和伴娘眉来眼去了吗?
Emma fragt: Bereut der Kameramann, dass er vor dem Essen mit der Trauzeugin geflirtet hat?

Ist sich Emma sicher, dass der Kameramann vor dem Essen mit der Trauzeugin geflirtet hat?
Emma asks: Does the cameraman regret that he flirted with the maid of honor before the meal?

Is Emma certain that the cameraman flirted with the maid of honor before the meal?
6 己问道: 主持人先生后悔他在午餐后又吃了三个冰淇淋球吗?

己确定主持人先生在午餐后又吃了三个冰淇淋球吗?
Felix fragt: Bereut der Moderator, dass er nach dem Mittagessen noch drei Kugeln Eis gegessen hat?

Ist sich Felix sicher, dass der Moderator nach dem Mittagessen noch drei Kugeln Eis gegessen hat?
Felix asks: Does the emcee regret that he ate three scoops of ice cream after lunch?

Is Felix certain that the emcee ate three scoops of ice cream after lunch?

Discover

1 丁问道: 伴娘发现了有一只化妆刷不见了吗?

丁确定有一只化妆刷不见了吗?
David fragt: Hat die Trauzeugin entdeckt, dass ein Makeup-Pinsel verschwunden war?

Ist sich David sicher, dass ein Make-up-Pinsel verschwunden war?
David asks: Did the maid of honor discover that a makeup brush was missing?

Is David certain that a makeup brush was missing?
2 戊问道: 花艺师先生发现了有许多向日葵在晚餐后不见了吗?

戊确定有许多向日葵在晚餐后不见了吗?
Emma fragt: Hat der Florist entdeckt, dass viele Sonnenblumen nach dem Abendessen weg waren?

Ist sich Emma sicher, dass viele Sonnenblumen nach dem Abendessen weg waren?
Emma asks: Did the florist discover that many sunflowers were gone after dinner?

Is Emma certain that many sunflowers were gone after dinner?
3 己问道: 录影师先生发现了新娘晚餐前换了发饰吗?

己确定新娘晚餐前换了发饰吗?
Felix fragt: Hat der Kameramann entdeckt, dass die Braut vor dem Abendessen ihren Haarschmuck gewechselt hat?

Ist sich Felix sicher, dass die Braut vor dem Abendessen ihren Haarschmuck gewechselt hat?
Felix asks: Did the cameraman discover that the bride changed her hair ornament before dinner?

Is Felix certain that the bride changed her hair ornament before dinner?
4 甲问道: 主持人先生发现了有一只话筒在典礼后坏了吗?

甲确定有只话筒在典礼后坏了吗?
Anna fragt: Hat der Moderator entdeckt, dass nach der Trauung ein Mikrofon defekt war?

Ist sich Anna sicher, dass nach der Trauung ein Mikrofon defekt war?
Anna asks: Did the emcee discover that a microphone was defective after the wedding ceremony?

Is Anna certain that a microphone was defective after the wedding ceremony?
5 乙问道: 厨师女士发现了王先生晚餐期间一口没碰鱼吗?

乙确定王先生晚餐期间一口没碰鱼吗?
Ben fragt: Hat die Köchin entdeckt, dass Herr Müller beim Abendessen keinen Bissen von dem Fischgericht angerührt hat?

Ist sich Ben sicher, dass Herr Müller beim Abendessen keinen Bissen von dem Fischgericht angerührt hat?
Ben asks: Did the cook discover that Mr. Müller didn’t touch a bite of the fish dish at dinner?

Is Ben certain that Mr. Miller didn’t take a bite of the fish dish at dinner?
6 丙问道: 新郎发现了他的父亲和王先生是大学同学了吗?

丙确定新郎的父亲和王先生是大学同学吗?
Charlotte fragt: Hat der Bräutigam entdeckt, dass sein Vater und Herr Müller Studienkollegen waren?

Ist sich Charlotte sicher, dass der Vater des Bräutigams und Herr Müller Studienkollegen waren?
Charlotte asks: Did the groom discover that his father and Mr. Müller were fellow students?

Is Charlotte certain that the groom’s father and Mr. Müller were fellow students?

A.3 Control items

Table 6:

Control items.

Chinese German English translation
Clefts

1 丁问道: 是发型师女士点了一份无乳糖饮食吗?

丁确定发型师女士点了一份无乳糖饮食吗?
David fragt: War es die Friseurin, die ein laktosefreies Menü bestellt hat?

Ist sich David sicher, dass die Friseurin ein laktosefreies Menü bestellt hat?
David asks: Was it the hairdresser who ordered a lactose-free menu?

Is David certain that the hairdresser ordered a lactose-free menu?
2 戊问道: 是歌手先生偷偷给新郎拍了照吗?

戊确定歌手先生偷偷给新郎拍了照吗?
Emma fragt: War es der Sänger, der den Bräutigam heimlich fotografiert hat?

Ist sich Emma sicher, dass der Sänger den Bräutigam heimlich fotografiert hat?
Emma asks: Was it the singer who secretly photographed the groom?

Is Emma certain it was the singer who secretly photographed the groom?
3 己问道: 是新郎为庆典挑选了音乐吗?

己确定新郎为庆典挑选了音乐吗?
Felix fragt: War es der Bräutigam, der die Musik für die Feier ausgesucht hat?

Ist sich Felix sicher, dass der Bräutigam die Musik für die Feier ausgesucht hat?
Felix asks: Was it the groom who chose the music for the ceremony?

Is Felix certain that the groom chose the music for the celebration?

Win

1 甲问道: 王先生下午赢了扎花束比赛吗?

甲确定王先生下午赢了扎花束比赛吗?
Anna fragt: Hat Herr Müller nachmittags den Wettbewerb im Blumenstraußbinden gewonnen?

Ist sich Anna sicher, dass Herr Müller nachmittags den Wettbewerb im Blumenstraußbinden gewonnen hat?
Anna asks: Did Mr. Müller win the bouquet tying competition in the afternoon?

Is Anna certain that Mr. Müller won the bouquet tying competition in the afternoon?
2 乙问道: 照相师女士去年赢了环保协会的摄影大赛吗?

乙确定照相师女士去年赢了环保协会的摄影大赛吗?
Ben fragt: Hat die Fotografin letztes Jahr den Fotowettbewerb des Naturschutzvereins gewonnen?

Ist sich Ben sicher, dass die Fotografin letztes Jahr den Fotowettbewerb des Naturschutzvereins gewonnen hat?
Ben asks: Did the photographer win the Nature Preservation Association’s photo contest last year?

Is Ben certain that the photographer won the Nature Preservation Association’s photo contest last year?
3 丙问道: 厨师女士 2015 年赢了厨艺大赛吗?

丙确定厨师女士 2015 年赢了厨艺大赛吗?
Charlotte fragt: Hat die Köchin 2015 den Kochwettbewerb gewonnen?

Ist sich Charlotte sicher, dass die Köchin 2015 den Kochwettbewerb gewonnen hat?
Charlotte asks: Did the cook win the cooking competition in 2015?

Is Charlotte certain that the cook won the cooking competition in 2015?

Regret

1 丁问道: 照相师女士后悔她在婚礼前拜访了王先生吗?

丁确定照相师女士后悔她在婚礼前拜访了王先生吗?
David fragt: Bereut die Fotografin, dass sie vor der Hochzeit Herrn Müller besucht hat?

Ist sich David sicher, dass die Fotografin bereut, dass sie vor der Hochzeit Herrn Müller besucht hat?
David asks: Does the photographer regret that she visited Mr. Müller before the wedding?

Is David certain that the photographer regrets that she visited Mr. Müller before the wedding?
2 戊问道: 伴娘后悔她早上打磨了镜子吗?

戊确定伴娘后悔她早上打磨了镜子吗?
Emma fragt: Bereut die Trauzeugin, dass sie morgens die Spiegel poliert hat?

Ist sich Emma sicher, dass die Trauzeugin bereut, dass sie morgens die Spiegel poliert hat?
Emma asks: Does the maid of honor regret that she polished the mirrors in the morning? Is Emma certain that the maid of honor regrets that she polished the mirrors in the morning?
3 己问道: 花童们后悔他们下午把糖果藏在了鲜花下面吗?

己确定花童们后悔他们下午把糖果藏在了鲜花下面吗?
Felix fragt: Bereuen die Blumenkinder, dass sie nachmittags Bonbons unter den Blumen versteckt haben?

Ist sich Felix sicher, dass die Blumenkinder bereuen, dass sie nachmittags Bonbons unter den Blumen versteckt haben?
Felix asks: Do the flower children regret that they hid candy under the flowers in the afternoon?

Is Felix certain that the flower children regret that they hid candy under the flowers in the afternoon?

Discover

1 甲问道: 伴娘发现了她的发夹滑到了餐桌下面吗?

甲确定伴娘发现了她的发夹滑到了餐桌下面吗?
Anna fragt: Hat die Trauzeugin entdeckt, dass ihre Haarspange unter einen Tisch gerutscht ist?

Ist sich Anna sicher, dass die Trauzeugin entdeckt hat, dass ihre Haarspange unter einen Tisch gerutscht ist?
Anna asks: Did the maid of honor discover that her hair clip slipped under a table?

Is Anna certain that the maid of honor discovered that her hair clip slipped under a table?
2 乙问道: 伴郎发现了他的母亲和王先生大学时是一对儿了吗?

乙确定伴郎发现了他的母亲和王先生大学时是一对儿了吗?
Ben fragt: Hat der Trauzeuge entdeckt, dass seine Mutter und Herr Müller während des Studiums ein Paar waren?

Ist sich Ben sicher, dass der Trauzeuge entdeckt hat, dass seine Mutter und Herr Müller während des Studiums ein Paar waren?
Ben asks: Did the best man discover that his mother and Mr. Müller were a couple during their studies?

Is Ben certain that the best man discovered that his mother and Mr. Müller were a couple during their studies?
3 丙问道: 新娘发现了她的母亲在典礼前哭了吗?

丙确定新娘发现了她的母亲在典礼前哭了吗?
Charlotte fragt: Hat die Braut entdeckt, dass ihre Mutter vor der Trauung geweint hat?

Ist sich Charlotte sicher, dass die Braut entdeckt hat, dass ihre Mutter vor der Trauung geweint hat?
Charlotte asks: Did the bride discover that her mother cried before the wedding ceremony?

Is Charlotte certain that the bride discovered that her mother cried before the wedding ceremony?

A.4 Filler items

Table 7:

Filler items.

Chinese German English translation
1 甲问道: 新郎在更衣室里藏了一朵玫瑰吗?

甲确定新郎在更衣室里藏了一朵玫瑰吗?
Anna fragt: Hat der Bräutigam im Umkleidezimmer eine Rose versteckt?

Ist sich Anna sicher, dass der Bräutigam im Umkleidezimmer eine Rose versteckt hat?
Anna asks: Did the groom hide a rose in the dressing room?

Is Anna certain that the groom hid a rose in the dressing room?
2 乙问道: 录影师先生晚餐前休息了一下吗?

乙确定录影师先生晚餐前休息了一下吗?
Ben fragt: Hat der Kameramann vor dem Abendessen eine Pause gemacht?

Ist sich Ben sicher, dass der Kameramann vor dem Abendessen eine Pause gemacht hat?
Ben asks: Did the cameraman take a break before dinner?

Is Ben certain that the cameraman took a break before dinner?
3 丙问道: 新娘的父亲典礼期间看了好多次手机吗?

丙确定新娘的父亲典礼期间看了好多次手机吗?
Charlotte fragt: Hat der Vater der Braut während der Trauung mehrmals auf sein Handy geschaut?

Ist sich Charlotte sicher, dass der Vater der Braut während der Trauung mehrmals auf sein Handy geschaut hat?
Charlotte asks: Did the bride’s father look at his cell phone several times during the wedding ceremony?

Is Charlotte certain that the father of the bride looked at his cell phone several times during the wedding ceremony?
4 甲问道: 歌手先生说了他今天只吃了蔬菜吗?

甲确定歌手先生今天只吃了蔬菜吗?
Anna fragt: Hat der Sänger gesagt, dass er heute nur Gemüse gegessen hat?

Ist sich Anna sicher, dass der Sänger heute nur Gemüse gegessen hat?
Anna asks: Did the singer say that he ate only vegetables today?

Is Anna certain that the singer ate only vegetables today?
5 乙问道: 花艺师先生说了他上午装饰了舞台吗?

乙确定花艺师先生上午装饰了舞台吗?
Ben fragt: Hat der Florist gesagt, dass er vormittags die Bühne dekoriert hat?

Ist sich Ben sicher, dass der Florist vormittags die Bühne dekoriert hat?
Ben asks: Did the florist say that he decorated the stage in the morning?

Is Ben certain that the florist decorated the stage in the morning?
6 丙问道: 调酒师先生说了他派对期间只喝了水吗?

丙确定调酒师先生派对期间只喝了水吗?
Charlotte fragt: Hat der Barkeeper gesagt, dass er während der Party nur Wasser getrunken hat?

Ist sich Charlotte sicher, dass der Barkeeper während der Party nur Wasser getrunken hat?
Charlotte asks: Did the bartender say that he only drank water during the party?

Is Charlotte certain that the bartender only drank water during the party?
7 丁问道: 王先生下午参加了唱歌比赛吗?

丁确定王先生下午参加了唱歌比赛吗?
David fragt: Hat Herr Müller nachmittags am Gesangswettbewerb teilgenommen?

Ist sich David sicher, dass Herr Müller nachmittags am Gesangwettbewerb teilgenommen hat?
David asks: Did Mr. Müller participate in the singing competition in the afternoon?

Is David certain that Mr. Müller participated in the singing competition in the afternoon?
8 戊问道: 主持人先生下午参加了扎花束比赛吗?

戊确定主持人先生下午参加了扎花束比赛吗?
Emma fragt: Hat der Moderator nachmittags an dem Wettbewerb im Blumenstraußbinden teilgenommen?

Ist sich Emma sicher, dass der Moderator nachmittags an dem Wettbewerb im Blumenstraußbinden teilgenommen hat?
Emma asks: Did the emcee take part in the bouquet tying competition in the afternoon?

Is Emma certain that the emcee took part in the bouquet tying competition in the afternoon?
9 己问道: 花童们下午参加了竞答吗?

己确定花童们下午参加了竞答吗?
Felix fragt: Haben die Blumenkinder nachmittags am Quiz teilgenommen?

Ist sich Felix sicher, dass die Blumenkinder nachmittags am Quiz teilgenommen haben?
Felix asks: Did the flower children take part in the quiz in the afternoon?

Is Felix certain that the flower children took part in the quiz in the afternoon?
10 丙问道: 鼓手女士认为宾客们更喜欢快歌吗?

丙确定宾客们更喜欢快歌吗?
David fragt: Glaubt die Schlagzeugspielerin, dass den Gästen schnellere Lieder besser gefallen?

Ist sich David sicher, dass den Gästen schnellere Lieder besser gefallen?
David asks: Does the percussion player think that the guests like faster songs better?

Is David certain that the guests like faster songs better?
11 戊问道: 厨师女士认为大多数宾客更喜欢肉菜吗?

戊确定大多数宾客更喜欢肉菜吗?
Emma fragt: Glaubt die Köchin, dass die meisten Gäste das Fleischgericht bevorzugen?

Ist sich Emma sicher, dass die meisten Gäste das Fleischgericht bevorzugen?
Emma asks: Does the cook think that most guests prefer the meat dish?

Is Emma certain that most of the guests prefer the meat dish?
12 丁问道: 照相师女士认为花童们吃光了巧克力吗?

丁确定花童们吃光了巧克力吗?
Felix fragt: Glaubt die Fotografin, dass die Blumenkinder die Schokolade aufgegessen haben?

Ist sich Felix sicher, dass die Blumenkinder die Schokolade aufgegessen haben?
Felix asks: Does the photographer think that the flower children ate all the chocolate?

Is Felix certain that the flower children ate all the chocolate?

Appendix B LMM

The linear mixed model (LMM) was fitted using the lme4 package from Bates et al. (2015b) by maximum likelihood. The factor Language was centered with the sum-contrast, coded with (−0.5, 0.5), while the factor Trigger was dummy coded. In order to achieve the maximal random effects structure (cf. Barr et al. 2013), the random effects structure should consist of byparticipant random intercepts and random slopes for Trigger, and by-item random intercepts with random slopes for the factor Language. However, this model obtained a singular fit and failed to converge. Following Bates et al. (2015a), the model was too complex and the random structure needed to be reduced until the random-effect Principal Components Analysis (rePCA) did not report overidentification. Therefore, the final maximal random effects structure that neither caused converge failure nor led to a singular fit included only the by-participant random intercept.[13] The model had then 184.80 observations per estimated term.

In order to generate p-values from the linear mixed model, the fully specified model and restrictive models which left out one parameter at a time were compared by using the mixed function with Type 3 tests from the afex package (Singmann et al. 2020). An overview of the results can be found in Table 8.

Table 8:

LMM overview with p-values based on likelihood ratio tests.

Model parameter df χ 2 p-Value
Trigger 3 234.75 <0.001
Language 1 0.07 0.797
Trigger × language 3 5.37 0.147

As shown in Table 8, only the factor Trigger had a significant effect, indicating that the four different triggers clearly influence the certainty rating; in other words, their presuppositions differ in projection strength. Additionally, both the factor Language and the interaction of Trigger and Language had no significant effect, showing that the difference between triggers is similar or parallel in both languages.

Note, however, that the residual of this LMM fitting does not seem to be as ideally symmetric as required (see Figure 2).

Figure 2: 
Plots of residuals against the LMM fitting.
Figure 2:

Plots of residuals against the LMM fitting.

Appendix C Further plots

Figure 3: 
Attention check: mean ratings per item type ± standard errors for the group CNS. n = 51, 6 participants discarded as they did not pass the attention and understanding check: CNS1744, CNS1971, CNS2143, CNS2279, CNS2477, CNS3007.
Figure 3:

Attention check: mean ratings per item type ± standard errors for the group CNS. n = 51, 6 participants discarded as they did not pass the attention and understanding check: CNS1744, CNS1971, CNS2143, CNS2279, CNS2477, CNS3007.

Figure 4: 
Attention check: mean ratings per item type ± standard errors for the group DE. n = 34, 2 participants discarded as they did not pass the attention and understanding check: DE1768, DE525.
Figure 4:

Attention check: mean ratings per item type ± standard errors for the group DE. n = 34, 2 participants discarded as they did not pass the attention and understanding check: DE1768, DE525.

Figure 5: 
Mean ratings for each critical item used in the experiment, split by Trigger and Group.
Figure 5:

Mean ratings for each critical item used in the experiment, split by Trigger and Group.

References

Abbott, Barbara. 2006. Where have some of the presuppositions gone. In Betty Birner & Gregory Ward (eds.), Drawing the boundaries of meaning: Neo-Gricean studies in pragmatics and semantics in honor of Laurence R. Horn, 1–20. Amsterdam: John Benjamins Publishing.10.1075/slcs.80.02abbSearch in Google Scholar

Abrusán, Márta. 2011. Predicting the presuppositions of soft triggers. Linguistics and Philosophy 34(6). 491–535. https://doi.org/10.1007/s10988-012-9108-y.Search in Google Scholar

Abrusán, Márta. 2016. Presupposition cancellation: Explaining the ‘soft–hard’ trigger distinction. Natural Language Semantics 24(2). 165–202. https://doi.org/10.1007/s11050-016-9122-7.Search in Google Scholar

Abusch, Dorit. 2002. Lexical alternatives as a source of pragmatic presuppositions. Semantics and Linguistic Theory 12. 1–19. https://doi.org/10.3765/salt.v0i0.2867.Search in Google Scholar

Abusch, Dorit. 2010. Presupposition triggering from alternatives. Journal of Semantics 27(1). 37–80. https://doi.org/10.1093/jos/ffp009.Search in Google Scholar

Amaral, Patrícia & Chris Cummins. 2015. A cross-linguistic study on information backgrounding and presupposition projection. In Florian Schwarz (ed.), Experimental perspectives on presuppositions, 157–172. Cham: Springer.10.1007/978-3-319-07980-6_7Search in Google Scholar

Ameka, Felix K. 2006. “When I die, don’t cry”: The ethnopragmatics of “gratitude” in West African languages. In Cliff Goddard (ed.), Ethnopragmatics, 231–266, Chap. 8. Berlin: De Gruyter Mouton.10.1515/9783110911114.231Search in Google Scholar

Ameka, Felix K. 2017. Meaning between algebra and culture. In Hilke Reckman, Lisa L. S. Cheng, Maarten Hijzelendoorn & Rint Sybesma (eds.), Crossroads semantics: Computation, experiment and grammar, 227–248, Chap. 14. Amsterdam: John Benjamins Publishing Company.Search in Google Scholar

Ameka, Felix K. & Marina Terkourafi. 2019. What if …? Imagining non-Western perspectives on pragmatic theory and practice. Journal of Pragmatics 145. 72–82. https://doi.org/10.1016/j.pragma.2019.04.001.Search in Google Scholar

Antomo, Mailin. 2012. Projective meaning and the licensing of Embedded Root Phenomena. Proceedings of ConSOLE XIX 1. 1–23.Search in Google Scholar

Ayodele, Ayo. 2016. OMOLUWABI: Towards a theory of cooperation in Yoruba interactional discourse practices. In Karim Traore, Mobolanle Solunsa & Akinloye Ojo (eds.), Expressions of indigenous and local knowledge in Africa and its diaspora, 80–90, Chap. 6. Newcastle Upon Tyne: Cambridge Scholars Publishing.Search in Google Scholar

Barr, Dale J., Roger Levy, Christoph Scheepers & Harry J. Tily. 2013. Random effects structure for confirmatory hypothesis testing: Keep it maximal. Journal of Memory and Language 68(3). 255–278. https://doi.org/10.1016/j.jml.2012.11.001.Search in Google Scholar

Bates, Douglas, Reinhold Kliegl, Shravan Vasishth & Harald Baayen. 2015a. Parsimonious mixed models. In arXiv preprint arXiv:1506.04967. arXiv: 1506.04967.Search in Google Scholar

Bates, Douglas, Martin Mächler, Ben Bolker & Steve Walker. 2015b. Fitting linear mixed-effects models using {lme4}. Journal of Statistical Software 67(1). 1–48. https://doi.org/10.18637/jss.v067.i01.Search in Google Scholar

Beaver, David, Bart Geurts & Kristie Denlinger. 2021. Presupposition. In Edward N. Zalta (ed.), The Stanford Encyclopedia of philosophy. Spring 2021. Stanford: Metaphysics Research Lab, Stanford University.Search in Google Scholar

Bill, Cory, Jacopo Romoli, Florian Schwarz & Stephen Crain. 2016. Scalar implicatures versus presuppositions: The view from acquisition. Topoi 35(1). 57–71. https://doi.org/10.1007/s11245-014-9276-1.Search in Google Scholar

Boone, Griet, Nicolas Ruytenbeek & Sofie Decock. 2022. “The message is clear”: An L1 business perspective on non-target-like formulaic expressions in L2 German. Intercultural Pragmatics 19. 571–595. https://doi.org/10.1515/ip-2022-5002.Search in Google Scholar

Büring, Daniel & Katharina Hartmann. 2001. The syntax and semantics of focus-sensitive particles in German. Natural Language & Linguistic Theory 19(2). 229–281. https://doi.org/10.1023/a:1010653115493.10.1023/A:1010653115493Search in Google Scholar

Chen, Rong. 2010. Pragmatics east and west: Similar or different? In Anna Trosborg (ed.), Pragmatics across languages and cultures, 167–188, Chap. 5. Berlin, New York: De Gruyter Mouton.10.1515/9783110214444.1.167Search in Google Scholar

Chen, Xinren. 2019. ‘Family-culture’ and Chinese politeness: An emancipatory pragmatic account. Acta Linguistica Academica 66(2). 251–270. https://doi.org/10.1556/2062.2019.66.2.6.Search in Google Scholar

Chen, Yuqiu. 2022. Wenn Nicht-Muttersprachler/innen mehr Toleranz zeigen: Eine experimentelle Studie zu Präsuppositionen, At- issueness und DaF. In Laura Auteri, Natascia Barrale, Di Bella Arianna & Sabine Hoffmann (eds.), Wege der Germanistik in transkultureller Perspektive (Bd. 6). Jahrbuch für Internationale Germanistik Beihefte, 213–227. Lausanne: Peter Lang Verlag.Search in Google Scholar

Chen, Yuqiu. 2024. Presuppositions at the semantics-pragmatics interface: Experimental studies on their classification, acquisition and cross-linguistic comparison. Göttingen: University of Göttingen PhD thesis.Search in Google Scholar

Chen, Yuqiu, Maik Thalmann & Mailin Antomo. 2022. Presupposition triggers and (not-)at-issueness: Insights from language acquisition into the soft-hard distinction. Journal of Pragmatics 199. 21–46. https://doi.org/10.1016/j.pragma.2022.06.014.Search in Google Scholar

Cheng, Lisa Lai-shen. 2008. Deconstructing the shì. De construction. The Linguistic Review 25. 235–266. https://doi.org/10.1515/tlir.2008.007.Search in Google Scholar

Chierchia, Gennaro & Sally McConnell-Ginet. 2000. Meaning and grammar. An introduction to semantics. Cambridge, Massachusetts: The MIT Press.Search in Google Scholar

Christensen, Rune Haubo. 2019. Ordinal – regression models for ordinal data. R package.Search in Google Scholar

Cummins, Chris, Patrícia Amaral & Napoleon Katsos. 2012. Experimental investigations of the typology of presupposition triggers. Humana. Mente Journal of Philosophical Studies 23. 1–15.Search in Google Scholar

Dingemanse, Mark, Joe Blythe & Tyko Dirksmeyer. 2014. Formats for other-initiation of repair across languages. Studies in Language 38(1). 5–43. https://doi.org/10.1075/sl.38.1.01din.Search in Google Scholar

Dingemanse, Mark & N. J. Enfield. 2015. Other-initiated repair across languages: Towards a typology of conversational structures. Open Linguistics 1(1). 96–118. https://doi.org/10.2478/opli-2014-0007.Search in Google Scholar

Djärv, Kajsa, Jérémy Zehr & Florian Schwarz. 2018. Cognitive versus emotive factives: An experimental differentiation. Proceedings of Sinn und Bedeutung 21(1). 367–386.Search in Google Scholar

Egré, Paul. 2008. Question-embedding and factivity. Grazer Philosophische Studien 77(1). 85–125. https://doi.org/10.1163/18756735-90000845.Search in Google Scholar

Grice, H. Paul. 1989. Studies in the way of words, Cambridge, Massachusetts: Harvard University Press.Search in Google Scholar

Gu, Yueguo. 1990. Politeness phenomena in modern Chinese. Journal of Pragmatics 14(2). 237–257. https://doi.org/10.1016/0378-2166(90)90082-o.Search in Google Scholar

Holler, Judith, Kobin Kendrick, Marisa Casillas & Stephen C. Levinson. 2016. Turn-taking in human communicative interaction. Lausanne: Frontiers Media SA.10.3389/978-2-88919-825-2Search in Google Scholar

Hooper, Joan & Sandra Thompson. 1973. On the applicability of root transformations. Linguistic Inquiry 4(4). 465–497.Search in Google Scholar

Horn, Laurence. 2004. Implicature. In Laurence Horn & Gregory Ward (eds.), The handbook of pragmatics. Blackwell handbooks in linguistics, 3–27, Chap. 1. Oxford: Blackwell Publishing.Search in Google Scholar

Huang, Cheng-Teh James. 1982. Logical relations in Chinese and the theory of grammar. Cambridge, Massachusetts: Massachusetts Institute of Technology PhD thesis.Search in Google Scholar

Huang, Cheng-Teh James. 1988. 说 [是] 和 [有] [On ‘Be’ and ‘Have’ in Chinese]. The bulletin of the Institute of History and Philology LIX. 43–64.10.2307/3887619Search in Google Scholar

Ide, Sachiko. 1989. Formal forms and discernment: Two neglected aspects of universals of linguistic politeness. Multilingua 8(2–3). 223–248. https://doi.org/10.1515/mult.1989.8.2-3.223.Search in Google Scholar

Ito, Katsumasa. 2017. The presupposition of exclamatives at the syntax-semantics interface: Evidence from German and Japanese. In ConSOLE XXV, 108–122. Leiden: Leiden University Centre for Linguistics.Search in Google Scholar

Ji, Anfeng (季安锋). 2009. 汉语预设触发语研究. Tianjin: 南开大学 PhD thesis.Search in Google Scholar

Jia, Mian & Guoping Yang. 2021. Emancipating Chinese (im)politeness research: Looking back and looking forward. Lingua 251. 103028. https://doi.org/10.1016/j.lingua.2020.103028.Search in Google Scholar

Karttunen, Lauri. 1971. Some observations on factivity. Paper in Linguistics 4(1). 55–69. https://doi.org/10.1080/08351817109370248.Search in Google Scholar

Karttunen, Lauri. 2016. Presupposition: What went wrong? Semantics and Linguistic Theory 26. 705. https://doi.org/10.3765/salt.v26i0.3954.Search in Google Scholar

Keenan, Elinor Ochs. 1976. The universality of conversational postulates. Language in Society 5(1). 67–80. https://doi.org/10.1017/s0047404500006850.Search in Google Scholar

Kiparsky, Paul & Carol Kiparsky. 1970. FACT. In Manfred Bierwisch & Karl Erich Heidolph (eds.), Progress in linguistics: A collection of papers, 143–173. Mouton: De Gruyter.Search in Google Scholar

Klinedinst, Nathan. 2016. Two types of semantic presuppositions. In Keith Allan, Alessandro Capone & Istvan Kecskes (eds.), Pragmemes and theories of language use, 601–624. Cham: Springer International Publishing.10.1007/978-3-319-43491-9_31Search in Google Scholar

Kondowe, Wellman, Flemmings Fishani Ngwira & Precious Madula. 2014. Linguistic analysis of Malawi political newspaper cartoons on President Joyce Banda: Towards Grice’s conversational implicature. International Journal of Humanities and Social Science 4(7). 401–451.Search in Google Scholar

Lenth, Russell V. 2021. emmeans: Estimated marginal means, aka least-squares means. R package version 1.7.0. R package.Search in Google Scholar

Levinson, Stephen C. 1983a. Pragmatics, 1st edn. Cambridge: Cambridge University Press.Search in Google Scholar

Levinson, Stephen C. 1983b. Presupposition. In Pragmatics, 167–225, Chap. 4. Cambridge: Cambridge University Press.10.1017/CBO9780511813313.007Search in Google Scholar

Levinson, Stephen C. 2000. On the notion of a generalized conversational implicature. In Presumptive meanings: The theory of generalized conversational implicature, 11–72, Chap. 1. Cambridge, Mass: MIT Press.10.7551/mitpress/5526.001.0001Search in Google Scholar

Li, Mingyang, Louis Hickman, Louis Tay, Lyle Ungar & Sharath Chandra Guntuku. 2020. Studying politeness across cultures using English Twitter and Mandarin Weibo. In Proceedings of the ACM on human-computer interaction, vol. 4, 1–15. New York: CSCW2.10.1145/3415190Search in Google Scholar

Liddell, Torrin M. & John K. Kruschke. 2018. Analyzing ordinal data with metric models: What could possibly go wrong? Journal of Experimental Social Psychology 79. 328–348. https://doi.org/10.1016/j.jesp.2018.08.009.Search in Google Scholar

Liu, Wei & Ruth Kempson. 2018. Chinese cleft structures and the dynamics of processing. Transactions of the Philological Society 116(1). 91–116. https://doi.org/10.1111/1467-968x.12106.Search in Google Scholar

Maíz-Arévalo, Carmen & María-del-Carmen Méndez-García. 2023. “I would like to complain”: A study of the moves and strategies employed by Spanish EFL learners in formal complaint e-mails. Intercultural Pragmatics 20(2). 161–197. https://doi.org/10.1515/ip-2023-2003.Search in Google Scholar

Matsumoto, Yoshiko. 1989. Politeness and conversational universals –. Multilingua 8(2/3). 207–221.10.1515/mult.1989.8.2-3.207Search in Google Scholar

Obeng, Samuel Gyasi. 1994. Verbal indirection in Akan informal discourse. Journal of Pragmatics 21(1). 37–65. https://doi.org/10.1016/0378-2166(94)90046-9.Search in Google Scholar

Obeng, Samuel Gyasi. 1999. “In future if I buy a dog, I’ll call it ‘Okyeman-is-ungrateful’.” Indirect response to potentially difficult communicative situations: The case of Akan dog names. International Journal of the Sociology of Language 140(1). 83–104.10.1515/ijsl.1999.140.83Search in Google Scholar

Obeng, Samuel Gyasi. 2003. Language in African social interaction: Indirectness in Akan communication. Hauppauge, New York: Nova Science Pub Inc.Search in Google Scholar

Paul, Waltraud & John Whitman. 2008. Shi. De focus clefts in Mandarin Chinese. Linguistic Review 25(3–4). 413–451. https://doi.org/10.1515/tlir.2008.012.Search in Google Scholar

R Core Team. 2020. R: A language and environment for statistical computing. Vienna, Austria: R Foundation for Statistical Computing.Search in Google Scholar

Ran, Yongping & Linsen Zhao. 2018. Building mutual affection-based face in conflict mediation: A Chinese relationship management model. Journal of Pragmatics 129. 185–198. https://doi.org/10.1016/j.pragma.2018.01.013.Search in Google Scholar

Reins, Louisa M., Alex Wiegmann, Olga P. Marchenko & Irina Schumski. 2021. Lying without saying something false? A cross-cultural investigation of the folk concept of lying in Russian and English speakers. Review of Philosophy and Psychology 14. 735–762. https://doi.org/10.1007/s13164-021-00587-w.Search in Google Scholar

Romoli, Jacopo. 2012. Soft but strong. Neg-raising, soft triggers, and exhaustification. Cambridge, Massachusetts: Harvard University PhD thesis.Search in Google Scholar

Romoli, Jacopo. 2014. The presuppositions of soft triggers are obligatory scalar implicatures. Journal of Semantics 32(2). 173–219. https://doi.org/10.1093/jos/fft017.Search in Google Scholar

Rossi, Giovanni, Simeon Floyd & N. J. Enfield. 2020. Recruitments and pragmatic typology. In Simeon Floyd, Giovanni Rossi & N. J. Enfield (eds.), Getting others to do things: A pragmatic typology of recruitments, 1–16, Chap. 1. Berlin: Language Science Press.Search in Google Scholar

Schlenker, Philippe. 2019. Gestural semantics: Replicating the typology of linguistic inferences with pro- and post-speech gestures. Natural Language and Linguistic Theory 37(2). 735–784. https://doi.org/10.1007/s11049-018-9414-3.Search in Google Scholar

Schlenker, Philippe. 2021a. Iconic presuppositions. Natural Language and Linguistic Theory 39(1). 215–289. https://doi.org/10.1007/s11049-020-09473-z.Search in Google Scholar

Schlenker, Philippe. 2021b. Triggering presuppositions. Glossa 6(1). 1–28. https://doi.org/10.5334/gjgl.1352.Search in Google Scholar

Schwarz, Florian, Kajsa Djärv & Jérémy Zehr. 2020. Do Italian factives entail their presupposition? Yes, but … In Bhatt, Rajesh; Frana, Ilaria and Menéndez-Benito, Paula (eds.), Do Italian factives entail their presupposition? Yes, but … *.Search in Google Scholar

Shanon, Benny. 1976. On the two kinds of presuppositions in natural language. Making worlds accessible. Essays in honor of Angelika Kratzer, 150–166. Amherst, Massachusetts: ScholarWorks@UMass.Search in Google Scholar

Simons, Mandy. 2001. On the conversational basis of some presuppositions. Semantics and Linguistic Theory 11. 431–448. https://doi.org/10.3765/salt.v11i0.3099.Search in Google Scholar

Simons, Mandy. 2007. Observations on embedding verbs, evidentiality, and presupposition. Lingua 117(6). 1034–1056. https://doi.org/10.1016/j.lingua.2006.05.006.Search in Google Scholar

Simons, Mandy, Judith Tonhauser, David Beaver & Craige Roberts. 2010. What projects and why. Semantics and Linguistic Theory 20. 309–327. https://doi.org/10.3765/salt.v0i20.2584.Search in Google Scholar

Singmann, Henrik, Ben Bolker, Jake Westfall, Frederik Aust & Mattan S. Ben-Shachar. 2020. afex: Analysis of factorial experiments. R package.Search in Google Scholar

Smith, E. Allyn & Kathleen Currie Hall. 2011. Projection diversity: Experimental evidence. In Proceedings of the 2011 ESSLLI workshop on projective content, 156–170. Columbus: The Ohio State University.Search in Google Scholar

Snider, Todd. 2017a. Anaphoric reference to proposition. Ithaca, New York: Cornell University PhD thesis.Search in Google Scholar

Snider, Todd. 2017b. At-issueness ff anaphoric availability. Proceedings of the Linguistic Society of America 2. 39. https://doi.org/10.3765/plsa.v2i0.4089.Search in Google Scholar

Sperber, Dan & Deirdre Wilson. 1996. Relevance: Communication and cognition, 2nd edn. Oxford: Blackwell.Search in Google Scholar

Stalnaker, Robert. 1977. Pragmatic presuppositions. In Proceedings of the Texas conference on performatives, presuppositions and implicatures, 135–148. Arlington: Center for Applied Linguistics.Search in Google Scholar

Stevens, Jon Scott, Marie-Catherine de Marneffe, Shari R. Speer & Judith Tonhauser. 2017. Rational use of prosody predicts projection in manner adverb utterances. In Proceedings of the 39th annual meeting of the Cognitive Science Society, vol. 5, 1144–1149. https://cognitivesciencesociety.org/.Search in Google Scholar

The Commercial Press. 2016. 又, Xiandai hanyu cidian - 现代汉语词典, 7th edn. p. 1592. Beijing: The Commercial Press 商务印书馆.Search in Google Scholar

Tieu, Lyn, Philippe Schlenker & Emmanuel Chemla. 2019. Linguistic inferences without words. Proceedings of the National Academy of Sciences of the United States of America 116(20). 9796–9801. https://doi.org/10.1073/pnas.1821018116.Search in Google Scholar

Tonhauser, Judith. 2016. Prosodic cues to presupposition projection. Semantics and Linguistic Theory 26. 934. https://doi.org/10.3765/salt.v26i0.3788.Search in Google Scholar

Tonhauser, Judith, David Beaver & Judith Degen. 2018. How projective is projective content? Gradience in projectivity and at-issueness. Journal of Semantics 35. 495–542. https://doi.org/10.1093/jos/ffy007.Search in Google Scholar

von Fintel, Kai. 2004. Would you believe it? The king of France is back! Presuppositions and truth-value intuitions. In Marga Reimer & Anne Bezuidenhout (eds.), Descriptions and beyond, 315–341. Oxford: Oxford University Press.10.1093/oso/9780199270514.003.009Search in Google Scholar

Wierzbicka, Anna. 1985. Different cultures, different languages, different speech acts: Polish versus English. Journal of Pragmatics 9. 145–178. https://doi.org/10.1016/0378-2166(85)90023-2.Search in Google Scholar

Wilson, Deirdre & Dan Sperber. 2004. Relevance theory. In Laurence Horn & Cregory Ward (eds.), Handbook of pragmatics, 607–632, Chap. 27. Oxford: Blackwell Publishing.Search in Google Scholar

Xia, Dengshan & Chun Lan. 2019. (Im)politeness at a Chinese dinner table: A discursive approach to (im)politeness in multi-party communication. Journal of Politeness Research 15(2). 223–256. https://doi.org/10.1515/pr-2016-0056.Search in Google Scholar

Xu, Guangcan (许光灿). 2014. 现代汉语中几类预设触发语研究. Tianjin: 南开大学 PhD thesis.Search in Google Scholar

Xue, Jingyang & Edgar Onea. 2011. Correlation between presupposition projection and atissueness: An empirical study. In Proceedings of the ESSLLI 2011 workshop on projective meaning, 171–184. Columbus: The Ohio State University.Search in Google Scholar

Zehr, Jérémy & Florian Schwarz. 2016. Entailed versus non-entailed presuppositions – an experimental assessment. Proceedings of NELS 46. 319–328.Search in Google Scholar

Zehr, Jérémy & Florian Schwarz. 2018. Returning to non-entailed presuppositions again. ZAS Papers in Linguistics 61. 463–480. https://doi.org/10.21248/zaspil.61.2018.507.Search in Google Scholar

Zhan, Fangqiong & Chaofen Sun. 2013. A copula analysis of shì in the Chinese cleft construction. Language and Linguistics 14(4). 755–789.Search in Google Scholar

Zhou, Mengru (周梦茹). 2020. A pragmatic study of the exhaustivity of Chinese “shi” clefts. Modern Linguistics 08(01). 6–14. https://doi.org/10.12677/ml.2020.81002.Search in Google Scholar

Published Online: 2024-03-29
Published in Print: 2024-04-25

© 2024 the author(s), published by De Gruyter, Berlin/Boston

This work is licensed under the Creative Commons Attribution 4.0 International License.

Downloaded on 5.2.2026 from https://www.degruyterbrill.com/document/doi/10.1515/ip-2024-2001/html
Scroll to top button