Home Synthesis and characterization of a new series of thiadiazole derivatives as potential anticancer agents
Article Open Access

Synthesis and characterization of a new series of thiadiazole derivatives as potential anticancer agents

  • Ulviye Acar Çevik , Derya Osmaniye EMAIL logo , Serkan Levent , Begüm Nurpelin Sağlik , Betül Kaya Çavuşoğlu , Yusuf Özkay and Zafer Asım Kaplancikl
Published/Copyright: March 10, 2020

Abstract

Cancer is one of the most common causes of death in the world. Despite the importance of combating cancer in healthcare systems and research centers, toxicity in normal tissues and the low efficiency of anticancer drugs are major problems in chemotherapy. Nowadays the aim of many medical research projects is to discover new safer and more effective anticancer agents. 1,3,4-Thiadiazole compounds are important fragments in medicinal chemistry because of their wide range of biological activities, including anticancer activities. The aim of this study was to determine the capacity of newly synthesized 1,3,4-thiadiazole compounds as chemotherapeutic agents. The structures of the obtained compounds were elucidated using 1H-NMR, 13C-NMR and mass spectrometry. Although the thiadiazole derivatives did not prove to be significantly cytotoxic to the tumour tissue cultures, compound 4i showed activity against the C6 rat brain cancer cell line (IC50 0.097 mM) at the tested concentrations.

Introduction

Cancer is a disease caused by a group of cells (usually coming from a single cell) that have uncontrolled growth [1]. Cancer has become one of the most feared diseases worldwide. Cancer is the second leading cause of death after cardiovascular disease. Every year, 9.6 million people die of this disease worldwide [2,3].

Many cancers can be cured if detected early and treated promptly by surgery, radiation, chemotherapy, or immunotherapy [4]. Chemotherapy (CTX), which is a very common and standardized therapy, uses anticancer drugs (or chemotherapeutical agents) to treat cancer. But chemotherapy has its limitations: one is the lack of selectivity which leads to severe side effects and limited efficacy; the other is the emergence of drug resistance [5]. Therefore, there is an urgent need to design and synthesize potent and highly selective molecules to improve current anticancer therapy with lower or no toxicity to normal cells [6].

Sulfur-containing organic molecules have acquired special attention in the field of medicinal chemistry. Heterocyclic compounds with nitrogen and sulfur in their structures are often employed in medicinal chemistry drug design [7]. The five-membered thiadiazole ring is an important pharmacophore which contains one sulfur and two nitrogen atoms [8]. The sulfur atom of 1,3,4-thiadiazole imparts the improved mesoionic nature and liposolubility which give this class of compounds good tissue permeability [9]. The potential anticancer activity of this structure is one the most interesting areas that have encouraged researchers to focus on it. Hence, a large number of 1,3,4-thiadiazole derivatives have been synthesized and their molecular mechanism of anticancer activity has been investigated [10, 11, 12, 13, 14, 15].

In the present study, aiming to identify new chemical entities, 1,3,4-thiadiazole derivatives were synthesized and their anticancer activity was evaluated against human breast and lung cancer cell lines.

Experimental

Chemistry

All chemicals were obtained either from Merck (Merck KGaA, Darmstadt, Germany) or Sigma-Aldrich (Sigma-Aldrich Corp., St. Louis, MO, USA) and used without further chemical purification. Chemical purities of the compounds were checked by classical TLC applications performed on silica gel 60 F254 (Merck KGaA, Darmstadt, Germany). Melting points of the compounds were measured using an automatic melting point determination instrument (MP90, Mettler-Toledo, OH, USA) and were presented as uncorrected. 1H and 13C NMR spectra were recorded in DMSO-d6 using a Bruker digital FT-NMR spectrometer (Bruker Bioscience, MA, USA) at 300 MHz and 75 MHz, respectively. M+1 peaks were determined using a Shimadzu LC/MS IT-TOF system (Shimadzu, Tokyo, Japan).

Materials and methods

Preparation of N-substitutedhydrazinecarbothioamides (1a-1j)

A suitable isothiocyanate derivative (0.01 mol) and hydrazine hydrate (0.02 mol) were stirred in ethanol (100 mL) at room temperature. After completion of the reaction, the precipitated product was filtered and recrystallized from ethanol.

Preparation of 5-(substitutedamino)-1,3,4-thiadiazole-2-thiols (2a-2j)

Compounds 1a-1j (0.009 mol) were dissolved in ethanol (100 mL) and a solution of NaOH (0.01 mol, 0.4 g) in ethanol was added. Carbon disulfide (0.01 mol, 0.6 mL) was added and the mixture was refluxed for 8 h. After this period, the solution was cooled and acidified to pH 4–5 with hydrochloric acid solution and recrystallized from ethanol.

Preparation of 2-chloro-N-(5-trifluoromethyl -1, 3,4-thiadiazol-2-yl)acetamide (3a)

2-Amino-5-trifluoromethyl-1,3,4-thiadiazole (0.06 mol, 10.1 g) was dissolved in tetrahydrofuran (150 mL) and triethylamine (0.07 mol, 10.2 mL) was added. The mixture was cooled in an ice bath and chloroacetyl chloride (0.07 mol, 5.8 mL) was added dropwise with stirring. After addition of chloroacetyl chloride was completed, the reaction mixture was stirred for an additional 1h at room temperature. The solvent was evaporated under reduced pressure and the product was washed with water, dried and recrystallized from ethanol.

Preparation of N-(5-trifluoromethyl-1,3,4-thiadiazol-2-yl)-2-[(5-(substitutedamino)-1,3,4-thiadiazol-2-yl)thio] acetamides (4a-4j)

Compounds 2a-2j (2 mmol) and compound 3a (2 mmol, 0.489 g) were stirred at room temperature in acetone (40 mL) for 6 h. After TLC screening, the solvent was evaporated under reduced pressure. The product was washed with water, dried, and recrystallized from ethanol.

N-(5-trifluoromethyl-1,3,4-thiadiazol-2-yl)-2-((5-(methylamino)-1,3,4-thiadiazol-2-yl)thio)acetamide (4a)

Yield: 80 %, M.P. = 247.6 – 249.9 °C, 1H-NMR (300 MHz, DMSO-d6): 2.84 (3H, d, J=4.5 Hz, -CH3), 4.13 (2H, s, -CH2-), 7.74 (1H, br.s., -NH), 13C-NMR (75 MHz, DMSO-d6): δ = 31.49, 38.86, 120.79 (J1=269.8 Hz), 149.30, 149.72 (J2=36.7 Hz), 164.63, 169.72, 170.98. HRMS (m/z): [M+H]+ calcd for C8H7 F3N6OS3: 356.9868; found: 356.9855.

2-((5-(Ethylamino)-1,3,4-thiadiazol-2-yl)thio)-N-(5-trifluoromethyl-1,3,4-thiadiazol-2-yl)acetamide (4b)

Yield: 79 %, M.P. = 247.6 – 249.9 °C, 1H-NMR (300 MHz, DMSO-d6): 1.13 (3H, t, J=7.2 Hz, -CH3), 3.24 (2H, q, J=5.3 Hz, -CH2-), 4.17 (2H, s, -CH2-), 7.81 (1H, br.s., -NH). 13C-NMR (75 MHz, DMSO-d6): δ = 14.62, 38.10, 39.83, 120.56 (J1=270.2 Hz), 148.64, 150.53 (J2=37.1 Hz), 163.09, 168.93, 170.15. HRMS (m/z): [M+H]+ calcd for C9H9F3N6OS3: 371.0025; found: 371.0005.

2-((5-((2-Methoxyethyl)amino)-1,3,4-thiadiazol-2-yl)thio)-N-(5-trifluoromethyl-1,3,4-thiadiazol-2-yl)acetamide (4c)

Yield: 81 %, M.P. = 247.6 – 249.9 °C, 1H-NMR (300 MHz, DMSO-d6): 3.25 (3H, s, -CH3), 3.41 (2H, t, J=4.5 Hz, -CH2-), 3.47 (2H, t, J=4.6 Hz, -CH2-), 4.03 (2H, s, -CH2-), 7.88 (1H, br.s., -NH), 12.67 (1H, s, -NH). 13C-NMR (75 MHz, DMSO-d6): δ = 40.41, 44.35, 58.40, 70.39, 121.32 (J1=269.3 Hz), 147.90 (J2=38.2 Hz), 150.63, 168.12, 169.81, 171.52. HRMS (m/z): [M+H]+ calcd for C10H11F3N6O2S3: 401.00130; found: 401.0108.

N-(5-trifluoromethyl-1,3,4-thiadiazol-2-yl)-2-((5-(propylamino)-1,3,4-thiadiazol-2-yl)thio)acetamide (4d)

Yield: 80 %, M.P. = 247.6 – 249.9 °C, 1H-NMR (300 MHz, DMSO-d6): 0.88 (3H, t, J=7.4 Hz, -CH3), 1.54 (2H, q, J=7.11 Hz, -CH2-), 3.18 (2H, q, J=5.55 Hz, -CH2-), 4.00 (2H, s, -CH2-), 7.76 (1H, br.s., -NH). 13C-NMR (75 MHz, DMSO-d6): δ = 11.81, 22.22, 40.83, 46.79, 121.43 (J1=269.3 Hz), 147.53 (J2=35.8 Hz), 150.30, 168.81, 170.05, 171.86. HRMS (m/z): [M+H]+ calcd for C10H11F3N6OS3: 385.0181; found: 385.0149.

2-((5-(Isopropylamino)-1,3,4-thiadiazol-2-yl)thio)-N-(5-trifluoromethyl-1,3,4-thiadiazol-2-yl)acetamide (4e)

Yield: 78 %, M.P. = 247.6 – 249.9 °C, 1H-NMR (300 MHz, DMSO-d6): 1.15 (6H, d, J=6.5 Hz, -CH3), 3.72-3.78 (1H, m, -CH-), 4.01 (2H, s, -CH2-), 7.68 (1H, br.s., -NH). 13C-NMR (75 MHz, DMSO-d6): δ = 22.58, 40.61, 46.91, 121.37 (J1=269.3 Hz), 147.70 (J2=35.7 Hz), 150.17, 168.48, 169.05, 171.71. HRMS (m/z): [M+H]+ calcd for C10H11F3N6OS3: 385.0181; found: 385.0158.

2-((5-(Allylamino)-1,3,4-thiadiazol-2-yl)thio)-N-(5-trifluoromethyl-1,3,4-thiadiazol-2-yl)acetamide (4f)

Yield: 85 %, M.P. = 247.6 – 249.9 °C, 1H-NMR (300 MHz, DMSO-d6): 3.87 (2H, t, J=5.1 Hz, -CH2-), 4.19 (2H, s, -CH2-), 5.15 (2H, qd, J1=1.7 Hz, J2=15.5 Hz, -CH2-), 5.80-5.93 (1H, m, -CH-), 7.99 (1H, br.s., -NH). 13C-NMR (75 MHz, DMSO-d6): δ = 37.89, 47.09, 116.69, 120.50 (J1=270.2 Hz), 134.67, 149.11, 150.72 (J2=37.1 Hz), 162.73, 168.73, 170.17. HRMS (m/z): [M+H]+ calcd for C10H9F3N6OS3: 383.0025; found: 383.0010.

2-((5-(butylamino)-1,3,4-thiadiazol-2-yl)thio)-N-(5-trifluoromethyl-1,3,4-thiadiazol-2-yl)acetamide (4g)

Yield: 82 %, M.P. = 247.6 – 249.9 °C, 1H-NMR (300 MHz, DMSO-d6): 0.87 (3H, t, J=7.3 Hz, -CH3), 1.31 (2H, q, J=7.6 Hz, -CH2-), 1.49 (2H, q, J=7.4 Hz, -CH2-), 3.21 (2H, q, J=5.4 Hz, -CH2-), 4.20 (2H, s, -CH2-), 7.83 (1H, br.s., -NH), 13.57 (1H, s, -NH). 13C-NMR (75 MHz, DMSO-d6): δ = 14.05, 19.96, 30.95, 37.54, 44.70, 120.38 (J1=270.2 Hz), 148.11, 151.16 (J2=37.6 Hz), 161.89, 168.32, 170.42. HRMS (m/z): [M+H]+ calcd for C11H13F3N6OS3: 399.0338; found: 399.0335.

2-((5-(Isobutylamino)-1,3,4-thiadiazol-2-yl)thio)-N-(5-trifluoromethyl-1,3,4-thiadiazol-2-yl)acetamide (4h)

Yield: 80 %, M.P. = 247.6 – 249.9 °C, 1H-NMR (300 MHz, DMSO-d6): 0.88 (6H, d, J=6.7 Hz, -CH3), 1.81-1.89 (1H, m, -CH-), 3.05 (2H, dd, J1=5.7 Hz, J2=6.7 Hz, -CH2-), 3.91 (2H, s, -CH2-), 7.75 (1H, br.s., -NH). 13C-NMR (75 MHz, DMSO-d6): δ = 20.52, 27.95, 42.21, 52.60, 121.88 (J1=268.9 Hz), 145.95 (J2=35.1 Hz), 151.20, 170.04, 171.92, 173.49. HRMS (m/z): [M+H]+ calcd for C11H13F3N6OS3: 399.0338; found: 399.0324.

N-(5-trifluoromethyl-1,3,4-thiadiazol-2-yl)-2-((5-(phenylamino)-1,3,4-thiadiazol-2-yl)thio)acetamide (4i)

Yield: 86 %, M.P. = 247.6 – 249.9 °C, 1H-NMR (300 MHz, DMSO-d6): 4.04 (2H, s, -CH2-), 6.98 (1H, t, J=7.3 Hz, -phenyl), 7.32 (2H, t, J=7.4 Hz, -phenyl), 7.56 (2H, d, J=7.7 Hz, -phenyl), 10.33 (1H, s, -NH). 13C-NMR (75 MHz, DMSO-d6): δ = 41.38, 117.75, 121.82 (J1=268.8 Hz), 122.24, 129.52, 140.98, 146.25 (J2=35.2 Hz), 152.21, 154.59, 165.06, 173.05. HRMS (m/z): [M+H]+ calcd for C13H9F3N6OS3: 419.0025; found: 419.0017.

N-(5-methyl-1,3,4-thiadiazol-2-yl)-2-((5-(p-tolylamino)-1,3,4-thiadiazol-2-yl)thio)acetamide (4j)

Yield: 83 %, M.P. = 247.6 – 249.9 °C, 1H-NMR (300 MHz, DMSO-d6): 2.24 (3H, s, -CH3), 2.60 (3H, s, -CH3), 4.21 (2H, s, -CH2-), 7.13 (2H, d, J=8.3 Hz, -phenyl), 7.43 (2H, d, J=8.5 Hz, -phenyl), 10.31 (1H, s, -NH), 12.68 (1H, s, -NH). 13C-NMR (75 MHz, DMSO-d6): δ = 18.95, 20.76, 117.88, 123.57 (J1=268.8 Hz), 129.87, 131.22, 138.60, 146.35 (J2=35.2 Hz), 154.01, 165.32, 171.47, 173.08. HRMS (m/z): [M+H]+ calcd for C14H11F3N6OS3: 433.0181; found: 433.0171.

Cytotoxicity test

Metabolic activity of viable cells was measured by MTT assay based on the reduction of 3-(4,5-dimethylthiazol-2-yl)-2,5-diphenyltetrazolium salt to formazan product, which can be quantified spectrophotometrically to determine the percentage of viable cells. The anticancer activity of compounds 4a-4j were screened according to the MTT assay. The MTT assay was performed as previously described [16, 17, 18]. A459, MCF-7, HepG2 and C6 cancer cell lines were used in the MTT assay. Cisplatin was used as a reference drug.

Prediction of ADME (Absorption, Distribution, Metabolism, and Excretion) parameters and BBB (Blood–brain barrier) permeability

Online Molinspiration property calculation program was used to predict absorption, distribution, metabolism and excretion (ADME) parameters of compounds 3a-3j [19]. The blood brain barrier (BBB) permeability of the compounds was evaluated using an online BBB Predictor [20].

Results and discussion

Chemistry

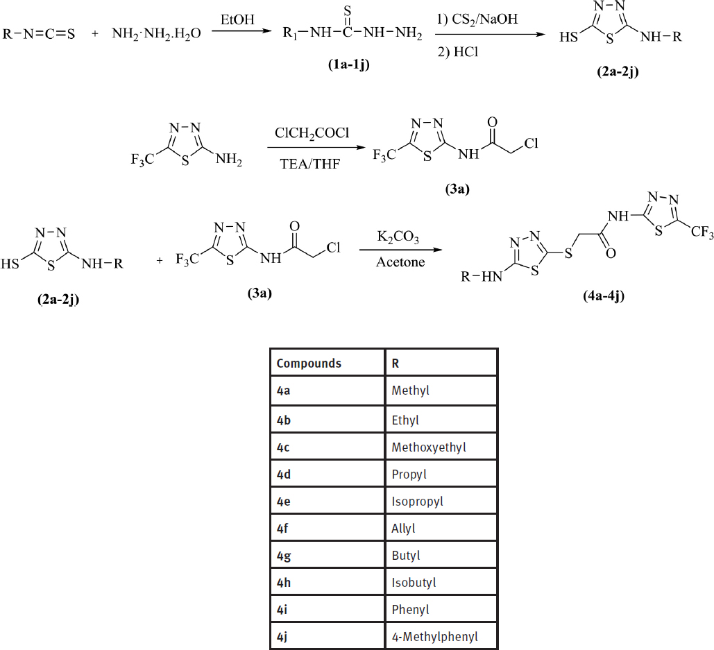
The compounds 4a-4j were synthesized as summarized in Scheme 1. For the synthesis of the compounds 1a-1j, a suitable isothiocyanate and an excess of hydrazine hydrate were reacted. Secondly, thiadiazole derivatives (2a-2j) were obtained by means of the reaction of thiourea derivatives (1a-1j) and carbon disulfide in the presence of NaOH. 2-Chloro-N-(5-trifluoromethyl-1,3,4-thiadiazol-2-yl) acetamide (3a) was prepared via the acetylation reaction between 2-amino-5-trifluoromethyl-1,3,4-thiadiazole and chloroacetyl chloride. In the last step, the reaction of compounds 2a-2j and compound 3a afforded the target compounds (4a-4j).

Scheme 1 Synthesis route for the target compounds (4a-4j).
Scheme 1

Synthesis route for the target compounds (4a-4j).

The final compounds were purified, and their structures were characterized by spectroscopic methods (1H-NMR, 13C-NMR, and LC-MS/MS). In the 1H NMR spectrum, mono-substituted benzene protons had triplet and doublet peaks between 6.98 ppm and 7.56 ppm. 1,4-disubstituted benzene protons had doublet peaks between 7.13 ppm and 7.43 ppm. Methylene protons had singlet peaks between 3.91 ppm and 4.21 ppm. The thiadiazole NH gave broad singlet peaks between 7.68 ppm and 7.99 ppm if it had an aliphatic substituent. The thiadiazole NH of compounds 4i and 4j, with aromatic substituents, gave broad singlet peaks between 10.31 ppm and 10.33 ppm. Compound 4f bearing an allyl moiety gave a double quartet peak at 5.15 ppm. Additionally, 4f had a triplet peak at 3.87 and multiplet peak between 5.80 ppm and 5.93 ppm. In the 13C NMR spectrum, aliphatic peaks belonging to substituents were observed between 11.81 ppm and 70.39 ppm. Aromatic carbons were observed between 116.69 ppm and 173.49 ppm. The trifluoromethyl carbon gave a peak between 120.38 ppm and 123.57 ppm as a quartet. The thiadiazole carbon to which the trifluoromethyl group was attached gave a peak between 146.25 ppm and 150.72 ppm. All masses were in accordance with the estimated M+H values.

In addition to structure elucidations using routine spectroscopic methods, 2D NMR studies including 1H-13C HMBC and 1H-13C HSQC were performed for compound 4a, as seen in Figure 1 and Figure 2. According to the information obtained in the HSQC, the peak at 31.49 ppm belongs to the methyl carbon and the peak at 38.86 ppm belongs to the methylene carbon. HMBC shows interactions between hydrogen and carbon at a distance of 2 to 4 bonds. Using the HMBC spectrum presented in Figure 2, it was determined that the peak at 149.30 ppm belongs to the thiadiazole carbon to which the sulphur is attached, the peak at 169.72 ppm belongs to the carbonyl carbon and the peak at 170.98 ppm belongs to the methylamino-bound carbon of the thiadiazole ring.

Figure 1 HSQC spectrum of compound 4a.
Figure 1

HSQC spectrum of compound 4a.

Figure 2 HMBC spectrum of compound 4a.
Figure 2

HMBC spectrum of compound 4a.

Biological Evaluations

All new synthesized thiadiazole compounds (4a-4j) were tested for cytotoxicity against A549 (lung) and MCF-7 (breast) human cancer lines. The IC50 values of the compounds are presented in Table 1. Anticancer activities were tested using an MTT assay against human lung (A549), breast (MCF-7) liver (HepG2) and rat brain (C6) cancer cells; the assay is used to measure cell viability (the activity of living cells) via the mitochondrial dehydrogenase catalyzed conversion of tetrazolium MTT salt (3-(4,5dimethylthiazol-2-yl)-2,5-diphenyl tetrazolium bromide) to formazan. These structures of thiadiazole derivatives did not prove to be significantly cytotoxic to the A549, MCF-7 and C6 cell lines at tested concentrations. Compound 4i (phenyl-substituted) was determined to have an IC50 value of 0.097 mM against C6 cell line. In contrast, the p-tolyl-containing derivative (4j) showed no promising activity. Based on the activity results obtained on the C6 cell line, it can be assumed that incorporation of an aromatic ring into the structure increases the activity. However, when the non-substituted state of this aromatic ring was compared to the methyl-bearing state at position 4, it was found that the methyl group reduced activity.

Table 1

IC50 of compounds 4a–4j and cisplatin against MCF-7 and A549 cell lines.

IC50 (mM)
CompoundMCF-7A549HepG2C6
4a≥1≥1≥1≥1
4b≥10.358±0.142≥1≥1
4c≥10.217±0.135≥10.487±0.089
4d≥1≥10.756±0.0950.728±0.075
4e0.867±0.206≥10.341±0.0260.626±0.081
4f0.417±0.276≥1≥1≥1
4g≥10.365±0.0280.541±0.043≥1
4h0.647±0.3300.385±0.0880.885±0.0680.587±0.048
4i0.472±0.251≥10.353±0.0910.097±0.021
4j0.264±0.0300.332±0.0240.258±0.0220.256±0.055
cis0.019±0.0090.013±0.0030.06±0.0040.03±0.004

Prediction of ADME parameters and BBB permeability

As an important drug discovery approach it is beneficial to evaluate the pharmacokinetic profiles of drug candidates during the early developmental phases. In recent years, with the help of combinatorial chemistry, the number of drug candidates for which early data on absorption, distribution, metabolism and excretion (ADME) are needed has significantly increased [21]. Thus, predictions of the ADME properties of the obtained compounds (4a-4j) were calculated using online Molinspiration chemical property software [19]. This program is based on Lipinski’s rule of five, which predicts the ADME properties of drug-like compounds, and is very important to optimize a biologically active compound. According to Lipinski’s rule, an orally active drug should not possess more than one violation of the criteria. The theoretical calculations of ADME parameters (topological polar surface area (TPSA), molecular volume (MV), number of hydrogen acceptors (nOHNH), number of hydrogen donors (nON), partition coefficient (log P), and molecular weight (MW)) are accessible in Table 2 along with the violations of Lipinski’s rule. In regard to these data, the obtained compounds (4a-4j) suited Lipinski’s rule by displaying no violation. As a result, it can be suggested that the synthesized compounds may have a good pharmacokinetic profile, increasing their pharmacological significance.

Table 2

Some physicochemical parameters of the compounds 4a-4j in prediction of ADME profiles.

Comp.MW (g/mol)logPTPSA (ANG2)HBAHBDVol (ANG3)VioBBB
4a356.381.3892.6972246.830+
4b370.411.7692.6972263.630+
4c400.431.36101.9382289.420+
4d384.432.2692.6972280.430+
4e384.432.0592.6972280.220+
4f382.422.0292.6972274.800+
4g398.462.8292.6972297.230+
4h398.462.5092.6972297.020+
4i418.453.5192.6972301.680+
4j432.483.9692.9672318.240+

The activity of the compounds against brain cancer (C6) has prompted curiosity as to whether they can cross the blood brain barrier. Therefore, BBB permeability of the synthesized compounds (4a-4j) was calculated by a CBLigand-BBB prediction server [20]. This online predictor uses two different algorithms as AdaBoost and Support Vector Machine (SVM), combined with four different fingerprints, employed to predict if a compound can pass (+) or cannot pass (-) the BBB. Predictor scores higher than 0 indicate that a compound can pass the BBB. Table 2 demonstrates that calculations for all compounds resulted with BBB (+), which is essential for anticancer agents against brain cells to display their biological activity.

Conclusion

In addition to the work previously conducted by our team [22], it has been wondered how the addition of the CF3 substituent to the structure will affect the activity. For this purpose, we synthesized new N-(5-trifluoromethyl-1,3,4-thiadiazol-2-yl)-2-[(5-(substitutedamino)-1,3,4-thiadiazol-2-yl)thio]acetamides (4a-4j) and evaluated their anticancer potency against carcinogenic A549, MCF-7, HepG2 and C6 cell lines. Although the thiadiazole derivatives did not prove to be significantly cytotoxic to the tumour tissue cultures, compound 4i showed activity against the C6 rat brain cancer cell line (IC50 0.097 mM) at the tested concentrations.


Tel.: +90-222-335-0780 (ext. 3777); Fax: +90-222-335-0750

Acknowledgements

This study was financially supported by Anadolu University Scientific Projects Fund, Project No: 1903S016.

  1. Conflicts of Interest: The authors declare no conflict of interest.

References

[1] Abdelhamid AO, Gomha SM, Abdelrehem NA, Shalaby AM, Kandeel SM. Synthesis and biological evaluation of some novel thiadiazole-benzofuran hybrids as potential antitumor agents. Synth Commun. 2018;48(6):677–84.10.1080/00397911.2017.1416637Search in Google Scholar

[2] Farooqi SI, Arshad N, Channar PA, Perveen F, Saeed A, Larik FA, et al. Synthesis, theoretical, spectroscopic and electrochemical DNA binding investigations of 1, 3, 4-thiadiazole derivatives of ibuprofen and ciprofloxacin: cancer cell line studies. J Photochem Photobiol. 2018;189:104–18.10.1016/j.jphotobiol.2018.10.006Search in Google Scholar

[3] Gomha SM, Edrees MM, Muhammad ZA, El-Reedy AA. 5-(Thiophen-2-yl)-1, 3, 4-thiadiazole derivatives: Synthesis, molecular docking and in vitro cytotoxicity evaluation as potential anticancer agents. Drug Des Devel Ther. 2018;12:1511–23.10.2147/DDDT.S165276Search in Google Scholar

[4] Molina JR, Yang P, Cassivi SD, Schild SE, Adjei AA. Non-small cell lung cancer: epidemiology, risk factors, treatment, and survivorship. Mayo Clin Proc. 2008;83:584–94.10.1016/S0025-6196(11)60735-0Search in Google Scholar

[5] Bhatt P, Kumar M, Jha A. Design, Synthesis and Anticancer Evaluation of Oxa/Thiadiazolylhydrazones of Barbituric and Thiobarbituric Acid: A Collective In Vitro and In Silico Approach. Chem Select. 2018;3(25):7060–5.10.1002/slct.201800832Search in Google Scholar

[6] Rashid M, Husain A, Mishra R, Karim S, Khan S, Ahmad M, et al. Design and synthesis of benzimidazoles containing substituted oxadiazole, thiadiazole and triazolo-thiadiazines as a source of new anticancer agents. Arab J Chem. 2015;12(8):3202–24.10.1016/j.arabjc.2015.08.019Search in Google Scholar

[7] Terzioglu N, Gürsoy A. Synthesis and anticancer evaluation of some new hydrazone derivatives of 2, 6-dimethylimidazo [2,1-b][1,3,4] thiadiazole-5-carbohydrazide. Eur J Med Chem. 2003;38:781.10.1016/S0223-5234(03)00138-7Search in Google Scholar

[8] Raj V, Rai A, Saha S. Human cancer cell line based approach of 1, 3, 4-thiadiazole and its fused ring: a comprehensive review. Anticancer Agents Med Chem. 2017;17:500.10.2174/1871520616666161013150151Search in Google Scholar PubMed

[9] Liu HY, Wang HX, Li X, Wu Z, Li CW, Liu YM, et al. Chen, Synthesis, antitumor and antimicrobial evaluation of novel 1, 3, 4-thiadiazole derivatives bearing disulfide bond. Med Chem Res. 2018;27:1929.10.1007/s00044-018-2204-ySearch in Google Scholar

[10] Bahmani Y, Bahrami T, Alabadi A. Synthesis, Cytotoxicity Assessment and Molecular Docking of N-(5-(substituted-benzylthio)-1,3,4-thiadiazole-2-yl)-2-p-fluorophenylacetamide Derivatives as Tyrosine Kinase Inhibitors. Indian J Pharm Sci. 2019;81:63.10.4172/pharmaceutical-sciences.1000480Search in Google Scholar

[11] El-Naggar M, Sallam HA, Shaban SS, Abdel-Wahab SS, Amr E, El-Galil A, et al. Design, Synthesis, and Molecular Docking Study of Novel Heterocycles Incorporating 1, 3, 4-Thiadiazole Moiety as Potential Antimicrobial and Anticancer Agents. Molecules. 2019;24:1066.10.3390/molecules24061066Search in Google Scholar

[12] Gowramma B, Praveen TK, Gomathy S, Kalirajan R, Babu B, Krishnavenic N. Synthesis of 2-(Bis (2-Chloroethyl) Amino)-N-(5-Substitutedphenyl)-1,3,4-Thiadiazol-2-Yl) Acetohydrazide And Evaluation of Anticancer Activity. Curr Bioact Compd. 2018;14:309.10.2174/1573407213666170428110528Search in Google Scholar

[13] Zhang S, Liu XJ, Tang R, Wan HX, Liu HY, Liu YM, et al. Design, Synthesis and Antiproliferative Evaluation of Novel Disulfides Containing 1,3,4-Thiadiazole Moiety. Chem Pharm Bull (Tokyo). 2017;65:950.10.1248/cpb.c17-00485Search in Google Scholar

[14] Rezaei Z, Moghimi S, Javaheri R, Asadi M, Mahdavi M, Shabani S, et al. Synthesis and biological evaluation of 1, 3, 4-thiadiazole linked phthalimide derivatives as anticancer agents. Lett Drug Des Discov. 2017;14:1138.10.2174/1570180814666170127164759Search in Google Scholar

[15] Ovsepyan TR, Arsenyan FG, Nersesyan LE, Danielyan IS, Agaronyan AG, Melik-Ogandzhanyan R, et al. Synthesis and Antitumor Properties of New 1,2,4-Triazoles and 1,3,4-Thiadiazoles. Pharm Chem J. 2017;50:724.10.1007/s11094-017-1520-8Search in Google Scholar

[16] Berridge MV, Herst PM, Tan AS. Tetrazolium dyes as tools in cell biology: new insights into their cellular reduction. Biotechnol Annu Rev. 2005;11:127.10.1016/S1387-2656(05)11004-7Search in Google Scholar

[17] Ovsepyan TR, Arsenyan FG, Nersesyan LE, Danielyan IS, Agaronyan AG, Melik-Ogandzhanyan RG. Design, synthesis, and AChE inhibitory activity of new benzothiazole–piperazines. Bioorg Med Chem Lett. 2016;26:5387.10.1016/j.bmcl.2016.10.041Search in Google Scholar PubMed

[18] Sağlık BN, Ilgın S, Özkay Y. Synthesis of new donepezil analogues and investigation of their effects on cholinesterase enzymes. Eur J Med Chem. 2016;124:1026.10.1016/j.ejmech.2016.10.042Search in Google Scholar PubMed

[19] Cheminformatics M. Bratislava, SlovakRepublic, http://www.molinspiration.com/services/properties.html (Accessed Nov 2019).Search in Google Scholar

[20] http://www.cbligand.org/BBB/index.php (Accessed July 2017)Search in Google Scholar

[21] Carpenter TS, Kirshner DA, Lau EY, Wong SE, Nilmeier JP, Lightstone FC. A Method to Predict Blood-Brain Barrier Permeability of Drug-Like Compounds Using Molecular Dynamics Simulations. Biophys J. 2014;107:630.10.1016/j.bpj.2014.06.024Search in Google Scholar PubMed PubMed Central

[22] Çevik UA, Osmaniye D, Levent S, Sağlik BN, Çavuşoğlu BK, Karaduman AB, et al. Synthesis And Biological Evaluation Of Novel 1, 3, 4-Thiadiazole Derivatives As Possible Anticancer Agents. Acta Pharm. 2020:70.10.2478/acph-2020-0034Search in Google Scholar PubMed

Received: 2019-07-31
Accepted: 2020-01-22
Published Online: 2020-03-10

© 2020 Ulviye Acar Çevik et al., published by De Gruyter

This work is licensed under the Creative Commons Attribution 4.0 International License.

Articles in the same Issue

  1. Research Article
  2. Synthesis of 2-aryl-benzothiazoles via Ni-catalyzed coupling of benzothiazoles and aryl sulfamates
  3. Synthesis and characterization of a new series of thiadiazole derivatives as potential anticancer agents
  4. Isatin as a simple, highly selective and sensitive colorimetric sensor for fluoride anion
  5. The oxidative coupling between benzaldehyde derivatives and phenylacetylene catalyzed by rhodium complexes via C-H bond activation
  6. A Facile and Catalyst-free Synthesis of Hexahydroacridine-1,8(2H,5H )-dione and Octahydroacridin-10(1H )-yl)thiourea Derivatives: Inter- and Intramolecular Aza-Michael addition
  7. Reactivity of 1-allylsilatrane in ruthenium-catalyzed silylative coupling with olefins – mechanistic considerations
  8. Ball-Type Dioxy-o-Carborane Bridged Cobaltphthalocyanine: Synthesis, Characterization and DFT Studies For Dye-Sensitized Solar Cells as Photosensitizer
  9. Coumarin sulfonamide derivatives: An emerging class of therapeutic agents
  10. Synthesis and characterization of novel biological tetracoumarin derivatives bearing ether moieties
  11. Synthesis and antiproliferative activities of polymethoxyflavones aminoalkyl and amino acid derivatives
  12. Synthesis and biological evaluation of novel 4-oxo-5-cyano thiouracil derivatives as SecA inhibitors
  13. Synthesis, antibacterial activities, and sustained perfume release properties of optically active5-hydroxy- and 5-acetoxyalkanethioamide analogues
  14. Some topological indices of dendrimers determined by their Banhatti polynomials
  15. Synthesis, Characterization, and Antioxidant Activity of Some 2-Methoxyphenols derivatives
  16. Isatin-3-thiosemicarbazone as Chromogenic Sensor for the Selective Detection of Fluoride Anion
  17. Fluorescence properties in different solvents and synthesis of axially substituted silicon phthalocyanine bearing bis-4-tritylphenoxy units
  18. Design, Synthesis and Study of Antibacterial and Antitubercular Activity of Quinoline Hydrazone Hybrids
  19. Synthesis and optical characterization of bipod carbazole derivatives
  20. Synthesis and Biological Evaluation of Benzodioxole Derivatives as Potential Anticancer and Antioxidant agents
  21. Communication
  22. Visible light mediated aerobic oxidative hydroxylation of 2-oxindole-3-carboxylate esters: an alternative approach to 3-hydroxy-2-oxindoles
  23. Research Article
  24. Synthesis and Activity of New Schiff Bases of Furocoumarin
  25. Design, Synthesis and Biological Evaluation of N-((2-phenyloxazol-4-yl)methyl) Pyrimidine Carboxamide Derivatives as Potential Fungicidal Agents
  26. Anticancer activity of novel Schiff bases and azo dyes derived from 3-amino-4-hydroxy-2H-pyrano[3,2-c]quinoline-2,5(6H)-dione
Downloaded on 21.10.2025 from https://www.degruyterbrill.com/document/doi/10.1515/hc-2020-0002/html?lang=en&srsltid=AfmBOorgVXyEFZ1rLNmbZCassQVg-DXa0M_LZi5HR5MIroYg2kE2icOo
Scroll to top button